Government Engineering College, Bhavnagar.
Civil Engineering Department
Topic:-
Interpolation
NUMERICAL AND STATISTICAL METHODS
FOR CIVIL ENGINEERING (2140606).
Contents
 Introduction
 Newton’s Divided-Difference Interpolating Polynomials
 Error Estimation in Newton’s Interpolating
Polynomials
 Lagrange Interpolating Polynomials
 Image Interpolation - Theory
Introduction
Interpolation : Estimation of a function value at an intermediate point
that lie between precise data points.
 There is one and only one nth-order polynomial that perfectly fits n+1 data points:
 There are several methods to find the fitting polynomial:
the Newton polynomial and the Lagrange polynomial (unequal
interval)
Newton’s Divided-Difference Interpolating
Polynomials
Linear Interpolation
Connecting two data points with a straight line
f1(x) designates a first-order interpolating polynomial.
)()()()(
01
01
0
01
xx
xfxf
xx
xfxf





Linear-
interpolation
formula
Slope
)(
)()(
)()( 0
01
01
01 xx
xx
xfxf
xfxf 



Quadratic Interpolation
• If three (3) data points are available, the estimate is improved by introducing some curvature into the line
connecting the points.
A second-order polynomial (parabola) can be used for this purpose
• A simple procedure can be used to determine the values of the coefficients
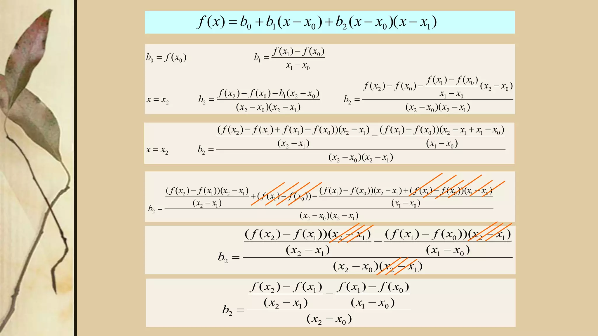
))(()()( 1020102 xxxxbxxbbxf 
)( 000 xfbxx  Could you
figure out how
to derive this
using the above
equation?
Represents a
second order
polynomial
)()(
01
01
11
xx
xfxf
bxx



02
01
01
12
12
22
xx
xx
xfxf
xx
xfxf
bxx







)()()()(
))(()()( 102010 xxxxbxxbbxf 
))((
)(
)()(
)()(
))((
)()()(
)()(
)(
1202
02
01
01
02
2
1202
02102
22
01
01
100
xxxx
xx
xx
xfxf
xfxf
b
xxxx
xxbxfxf
bxx
xx
xfxf
bxfb












))((
)(
)))(()((
)(
)))(()((
1202
01
1201
12
1212
2
xxxx
xx
xxxfxf
xx
xxxfxf
b







)(
)(
)()(
)(
)()(
02
01
01
12
12
2
xx
xx
xfxf
xx
xfxf
b







))((
)(
)))(()(()))(()((
))()((
)(
)))(()((
1202
01
01011201
01
12
1212
2
xxxx
xx
xxxfxfxxxfxf
xfxf
xx
xxxfxf
b







))((
)(
)))(()((
)(
)))(()()()((
1202
01
011201
12
120112
22
xxxx
xx
xxxxxfxf
xx
xxxfxfxfxf
bxx







General Form of Newton’s Interpolating
Polynomials
)()(
],[
ji
ji
ji
xx
xfxf
xxf



Bracketed function
evaluations are finite
divided differences
],,,,[],,[],[)(
)())(())(()()(
011012201100
110102010
xxxxfbxxxfbxxfbxfb
xxxxxxbxxxxbxxbbxf
nnn
nnn






],[],[
],,[
ki
kjji
kji
xx
xxfxxf
xxxf



0
02111
011
xx
xxxfxxxf
xxxxf
n
nnnn
nn


 

],,,[],,,[
],,,,[



xi f(xi)
x0 f(x0)
x1 f(x1)
x2 f(x2)
x3 f(x3)
x4 f(x4)
xi f(xi)
x0=0 2
x1=2 14
x2=3 74
x3=4 242
x4=5 602
f1(x) = 2 + 6*(x-0) (based on x0 and x1)
f2(x) = 2 + 6*(x-0)+18(x-0)(x-2) (based on x0, x1 and x2)
f3(x) = 2 + 6*(x-0)+18(x-0)(x-2)+9(x-0)(x-2)(x-3) (based on x0, x1, x2, and x3)
f4(x) = 2 + 6x +18x(x-2) +9x(x-2)(x-3) +1x(x-2)(x-3)(x-4) (based on x0, x1, x2, x3, and x4)
= x4 – x2 + 2
EXAMPLEDIVIDED DIFFERENCE TABLE
f[xi,xj]
6
60
168
360
f[xi,xj,xk]
18
54
96
f[x,x,x,x]
9
14
f[x...x]
1
f[xi,xj]
f[x1,x0]
f[x2,x1]
f[x3,x2]
f[x4,x3]
f[xi,xj,xk]
f[x2,x1,x0]
f[x3,x2,x1]
f[x4,x3,x2]
f[x,x,x,x]
f[x3,x2,x1,x0]
f[x4,x3,x2,x1]
Given:
x0=1 f(x0)=ln(1) = 0
x1=e f(x1)=ln(2.72) = 1
x2=e2 f(x2)=ln(7.39) = 2
Estimate ln(2) = ?
using interpolation
Find f(x) first
xi f(xi)
x0=1 0
x1=2.72 1
x2=7.39 2
f[xi,xj]
.58
.214
f[xi,xj xk]
-.057
f(x) = 0.58(x-1)
-0.057(x-1)(x-
2.72)
Then calculate
f(2)=0.58(2-1)-0.057(2-1)(2-
2.72)
= 0.621
[ TRUE ln(2) = 0.6931 ]
Example
Lagrange Interpolating Polynomials
• The Lagrange interpolating polynomial is simply a reformulation of the Newton’s polynomial that avoids the
computation of divided differences:
• Above formula can be easily verified by plugging in x0, x1…in the equation one at a time and checking if the
equality is satisfied.









n
ij
j ji
j
i
n
i
iin
xx
xx
xL
xfxLxf
0
0
)(
)()()(
)()()( 1
01
0
0
10
1
1 xf
xx
xx
xf
xx
xx
xf






  
  
  
  
  
  
)(
)(
)()(
2
1202
10
1
2101
20
0
2010
21
2
xf
xxxx
xxxx
xf
xxxx
xxxx
xf
xxxx
xxxx
xf









A visual depiction of the rationale behind
the Lagrange polynomial . The figure
shows a second order case:
Each of the three terms passes through
one of the data points and zero at the
other two. The summation of the three
terms must, therefore, be unique second
order polynomial f2(x) that passes exactly
through three points.
  
  
  
  
  
  
)(
)(
)()(
2
1202
10
1
2101
20
0
2010
21
2
xf
xxxx
xxxx
xf
xxxx
xxxx
xf
xxxx
xxxx
xf









Image Interpolation - Theory
 [IDEA]
 In order to provide a richer environment we are thinking of using
interpolation methods that will generate “artificial images” thus revealing
hidden information.
 [RADON RECONSTRUCTION]
 Radon reconstruction is the technique in which the object is reconstructed
from its projections. This reconstruction method is based on approximating
the inverse Radon Transform.
 [RADON Transform]
 The 2-D Radon transform is the mathematical relationship which maps the
spatial domain (x,y) to the Radon domain (p,phi). The Radon transform
consists of taking a line integral along a line (ray) which passes through the
object space. The radon transform is expressed mathematically as:



 dxdypyxyxpR )sincos(),(),}({ 
Image Interpolation - Graphical
Representation (I)





l
z
dy
y
z
dxzyxyR
dyzyxxR
0
0
0
),,()0,(
),,()90,(
0
0
0
0


Image Interpolation - Graphical
Representation (II)
BHAVIK SHAH – 130210106049
DIGVIJAY SOLANKI – 130210106055
KARTIK HINGOL – 130210106030
NITIN CHAREL – 130210106011
Thank You For Bearing

Interpolation

  • 1.
    Government Engineering College,Bhavnagar. Civil Engineering Department
  • 2.
    Topic:- Interpolation NUMERICAL AND STATISTICALMETHODS FOR CIVIL ENGINEERING (2140606).
  • 3.
    Contents  Introduction  Newton’sDivided-Difference Interpolating Polynomials  Error Estimation in Newton’s Interpolating Polynomials  Lagrange Interpolating Polynomials  Image Interpolation - Theory
  • 4.
    Introduction Interpolation : Estimationof a function value at an intermediate point that lie between precise data points.  There is one and only one nth-order polynomial that perfectly fits n+1 data points:  There are several methods to find the fitting polynomial: the Newton polynomial and the Lagrange polynomial (unequal interval)
  • 5.
    Newton’s Divided-Difference Interpolating Polynomials LinearInterpolation Connecting two data points with a straight line f1(x) designates a first-order interpolating polynomial. )()()()( 01 01 0 01 xx xfxf xx xfxf      Linear- interpolation formula Slope )( )()( )()( 0 01 01 01 xx xx xfxf xfxf    
  • 6.
    Quadratic Interpolation • Ifthree (3) data points are available, the estimate is improved by introducing some curvature into the line connecting the points. A second-order polynomial (parabola) can be used for this purpose • A simple procedure can be used to determine the values of the coefficients ))(()()( 1020102 xxxxbxxbbxf  )( 000 xfbxx  Could you figure out how to derive this using the above equation? Represents a second order polynomial )()( 01 01 11 xx xfxf bxx    02 01 01 12 12 22 xx xx xfxf xx xfxf bxx        )()()()(
  • 7.
    ))(()()( 102010 xxxxbxxbbxf ))(( )( )()( )()( ))(( )()()( )()( )( 1202 02 01 01 02 2 1202 02102 22 01 01 100 xxxx xx xx xfxf xfxf b xxxx xxbxfxf bxx xx xfxf bxfb             ))(( )( )))(()(( )( )))(()(( 1202 01 1201 12 1212 2 xxxx xx xxxfxf xx xxxfxf b        )( )( )()( )( )()( 02 01 01 12 12 2 xx xx xfxf xx xfxf b        ))(( )( )))(()(()))(()(( ))()(( )( )))(()(( 1202 01 01011201 01 12 1212 2 xxxx xx xxxfxfxxxfxf xfxf xx xxxfxf b        ))(( )( )))(()(( )( )))(()()()(( 1202 01 011201 12 120112 22 xxxx xx xxxxxfxf xx xxxfxfxfxf bxx       
  • 8.
    General Form ofNewton’s Interpolating Polynomials )()( ],[ ji ji ji xx xfxf xxf    Bracketed function evaluations are finite divided differences ],,,,[],,[],[)( )())(())(()()( 011012201100 110102010 xxxxfbxxxfbxxfbxfb xxxxxxbxxxxbxxbbxf nnn nnn       ],[],[ ],,[ ki kjji kji xx xxfxxf xxxf    0 02111 011 xx xxxfxxxf xxxxf n nnnn nn      ],,,[],,,[ ],,,,[   
  • 9.
    xi f(xi) x0 f(x0) x1f(x1) x2 f(x2) x3 f(x3) x4 f(x4) xi f(xi) x0=0 2 x1=2 14 x2=3 74 x3=4 242 x4=5 602 f1(x) = 2 + 6*(x-0) (based on x0 and x1) f2(x) = 2 + 6*(x-0)+18(x-0)(x-2) (based on x0, x1 and x2) f3(x) = 2 + 6*(x-0)+18(x-0)(x-2)+9(x-0)(x-2)(x-3) (based on x0, x1, x2, and x3) f4(x) = 2 + 6x +18x(x-2) +9x(x-2)(x-3) +1x(x-2)(x-3)(x-4) (based on x0, x1, x2, x3, and x4) = x4 – x2 + 2 EXAMPLEDIVIDED DIFFERENCE TABLE f[xi,xj] 6 60 168 360 f[xi,xj,xk] 18 54 96 f[x,x,x,x] 9 14 f[x...x] 1 f[xi,xj] f[x1,x0] f[x2,x1] f[x3,x2] f[x4,x3] f[xi,xj,xk] f[x2,x1,x0] f[x3,x2,x1] f[x4,x3,x2] f[x,x,x,x] f[x3,x2,x1,x0] f[x4,x3,x2,x1]
  • 10.
    Given: x0=1 f(x0)=ln(1) =0 x1=e f(x1)=ln(2.72) = 1 x2=e2 f(x2)=ln(7.39) = 2 Estimate ln(2) = ? using interpolation Find f(x) first xi f(xi) x0=1 0 x1=2.72 1 x2=7.39 2 f[xi,xj] .58 .214 f[xi,xj xk] -.057 f(x) = 0.58(x-1) -0.057(x-1)(x- 2.72) Then calculate f(2)=0.58(2-1)-0.057(2-1)(2- 2.72) = 0.621 [ TRUE ln(2) = 0.6931 ] Example
  • 11.
    Lagrange Interpolating Polynomials •The Lagrange interpolating polynomial is simply a reformulation of the Newton’s polynomial that avoids the computation of divided differences: • Above formula can be easily verified by plugging in x0, x1…in the equation one at a time and checking if the equality is satisfied.          n ij j ji j i n i iin xx xx xL xfxLxf 0 0 )( )()()( )()()( 1 01 0 0 10 1 1 xf xx xx xf xx xx xf                         )( )( )()( 2 1202 10 1 2101 20 0 2010 21 2 xf xxxx xxxx xf xxxx xxxx xf xxxx xxxx xf         
  • 12.
    A visual depictionof the rationale behind the Lagrange polynomial . The figure shows a second order case: Each of the three terms passes through one of the data points and zero at the other two. The summation of the three terms must, therefore, be unique second order polynomial f2(x) that passes exactly through three points.                   )( )( )()( 2 1202 10 1 2101 20 0 2010 21 2 xf xxxx xxxx xf xxxx xxxx xf xxxx xxxx xf         
  • 13.
    Image Interpolation -Theory  [IDEA]  In order to provide a richer environment we are thinking of using interpolation methods that will generate “artificial images” thus revealing hidden information.  [RADON RECONSTRUCTION]  Radon reconstruction is the technique in which the object is reconstructed from its projections. This reconstruction method is based on approximating the inverse Radon Transform.  [RADON Transform]  The 2-D Radon transform is the mathematical relationship which maps the spatial domain (x,y) to the Radon domain (p,phi). The Radon transform consists of taking a line integral along a line (ray) which passes through the object space. The radon transform is expressed mathematically as:     dxdypyxyxpR )sincos(),(),}({ 
  • 14.
    Image Interpolation -Graphical Representation (I)      l z dy y z dxzyxyR dyzyxxR 0 0 0 ),,()0,( ),,()90,( 0 0 0 0  
  • 15.
    Image Interpolation -Graphical Representation (II)
  • 16.
    BHAVIK SHAH –130210106049 DIGVIJAY SOLANKI – 130210106055 KARTIK HINGOL – 130210106030 NITIN CHAREL – 130210106011 Thank You For Bearing