Computational Methods
Mussie Abrhaley
December 14, 2023
1/27
Chapter Five
Interpolation
2/27
Interpolation
Interpolation is a mathematical and computa-
tional technique used to estimate values that fall
between known values.
Consider the following problem:
Table 1: Table of numerical values.
x x0 x1 · · · xn
y y0 y1 · · · yn
Our objective is to find a polynomial curve that
passes through the given points (xi, yi), which is
p(xi) = yi for i = 0, 1, ..., n. (1) 3/27
Polynomial Interpolation Theory
Given the data in Table 1 where the x’s is are as-
sumed to be distinct, we want to study the prob-
lem of finding a polynomial
p(x) = a0 + a1x + a2x2
+ · · · + anxn
(2)
that interpolates the given data.
Substituting the given data in to equation 1 gives
the system of equations
4/27
a0 + a1x0 + a2x2
0 + · · · + anxn
0 = y0
a0 + a1x1 + a2x2
1 + · · · + anxn
1 = y1
.
.
. =
.
.
.
a0 + a1xn + a2x2
n + · · · + anxn
n = yn
This is a system of (n + 1) linear equations in (n
+ 1) unknowns a0, a1, · · · , an. It is solvable.
For n+1 nodes there is a unique polynomial p of
degree ≤ n that interpolates Table 5.1
5/27
Example
Find the polynomial that interpolates the table
x 4.5 6.1
y 7.1 2.3
Solution
p(x) = a0 + a1x.
Substituting the points to the equation
a0 + 4.5a1 = 7.1
a0 + 6.1a1 = 2.3.
Solving for a0 and a1 we get
p(x) = 20.6 − 3.0x. 6/27
Newton’s Divided-Difference Interpolating Polynomial
In this section we want to develop an interpolat-
ing formula that will be more efficient and conve-
nient to use than the one shown in the previous
section
This will avoid the problem of finding the solution
to a system of simultaneous equations.
Pn(x) = f [x0] + f [x0, x1](x − x0)
+f [x0, x1, x2](x − x0)(x − x1)
+ · · · f [x0, x1, x2 · · · , xn](x − x0)(x − x1) · · · (x − xn−1)
7/27
Newton’s Divided-Difference Interpolating Polynomial
The above equation is know as n-order
newron-divided deference polynomial and where
the notation
f [x0, x1, · · · , xn] =
f [x1, x2, · · · xn] − f [x0, x2, · · · xn−1]
xn − x0
is know as divided-difference
ˆ The first four divided differences denoted as ff
f [x0] = f (x0)
f [x0, x1] =
f [x1] − f [x0]
x1 − x0
8/27
Newton’s Divided-Difference Interpolating Polynomial
f [x0, x1, x2] =
f [x1, x2] − f [x0, x1]
x2 − x0
f [x0, x1, x2, x3] =
f [x1, x2, x3] − f [x0, x1, x2]
x3 − x0
ˆ The divided difference canbe illustrated best in
table form as shown in table 2
9/27
Newton’s Divided-Difference Interpolating Polynomial
Table 2: divided differences.
xi f[xi] f[xi,xi+1] f[xi,xi+1,xi+2] · · ·
x0 f[x0]
f[x0,x1]
x1 f[x1] f[x0,x1,x2]
f[x1,x2] · · ·
x2 f[x2] f[x1,x2,x3]
f[x2,x3] · · ·
x3 f[x3] f[x2,x3,x4]
f[x3,x4] 10/27
Newton’s Divided-Difference Interpolating Polynomial
Example
Form a divided-difference table for the following
data and obtain Newton’s interpolating
polynomial.
x 2 4 6 8
y 4 8 14 16
solution:
we have four nodes then the polynomial is at most
3 order
11/27
Newton’s Divided-Difference Interpolating Polynomial
P3(x) = f [x0] + f [x0, x1](x − x0) + f [x0, x1, x2](x − x0)(x − x1)
+f [x0, x1, x2, x3](x − x0)(x − x1)(x − x2)
Now form the divided difference table by solving
each divided difference.
12/27
Newton’s Divided-Difference Interpolating Polynomial
xi f[xi] f[xi,xi+1] f[xi,xi+1,xi+2] f[xi,xi+1,xi+2,xi+3]
2 4
2
4 8 0.25
3 -0.125
6 14 -0.5
1
8 16
13/27
Newton’s Divided-Difference Interpolating Polynomial
P3(x) = 4 + 2(x − 2) + 0.25(x − 2)(x − 4)
−0.125(x − 2)(x − 4)(x − 6)
P3(x) = −
1
8
x3
+
7
4
x2
− 5x + 8
14/27
Lagrange Interpolating Polynomial
we seek a polynomial of degree n which passes
through the n+1 points given by Table ??
the nth Lagrange interpolating polynomial in the
form
pn(x) =
n
X
i=0
f (xi)Li(x) (3)
Where
Li (x) =
(x − x0)(x − x1) · · · (x − xi−1)(x − xi+1) · · · (x − xn)
(xi − x0)(xi − x1) · · · (xi − xi−1)(xi − xi+1) · · · (xi − xn)
=
n
Y
j=0j̸=i
x − xj
xi − xj
, i = 0, 1, ..., n
15/27
Example
Derive the Lagrange polynomial that interpolates the
data in the following table and evaluates it at x =
-0.5.
x -1 0 3
f(x) 8 -2 4
Solution
L0(x) = (x−0)(x−3)
(−1−0)(−1−3) = 1
4x(x − 3)
L1(x) = (x−1)(x−3)
(0+1)(0−3) = −1
3(x + 1)(x − 3)
L2(x) = (x+1)(x−0)
(3+1)(3−0) = 1
12x(x + 1)
the Lagrange interpolating polynomial is
p2(x) = 2x(x − 3) +
2
3
(x + 1)(x − 3) +
1
3
x(x + 1)
16/27
Spline interpolation
Many scientific and engineering phenomena being
measured undergo a transition from one physical
domain to another.
Data obtained from these measurements are bet-
ter represented by a set of piecewise continuous
curves rather than by a single curve.
17/27
Let f be a real-valued function defined on some
interval [a, b] and let the set of data points be
given below
x a = x1 x2 · · · xn = b
y f (x1) f (x2) · · · f (xn)
assume that a = x1<x2< · · · <xn = b.
Using the formula of the equation of the line, it
is easy to see that the function S(x) is defined by
Si (x) = f (xi ) +
f (xi+1) − f (xi )
xi+1 − xi
(x − xi )
= f (xi ) + f [xi+1, xi ](x − xi ) for i = 1, 2, ..., n − 1
18/27
Outside the interval [a, b], S(x) is usually defined
by
S(x) =
(
S1(x) if x<a
Sn−1(x) if x>b
Because S(x) is continuous on [a, b], it is called
a spline of degree 1.
Example
Find a first degree spline interpolating the following table:
x 1 2 3 4 5
f(x) 3 4 3 9 1
Use the resulting spline to approximate f(2.3).
19/27
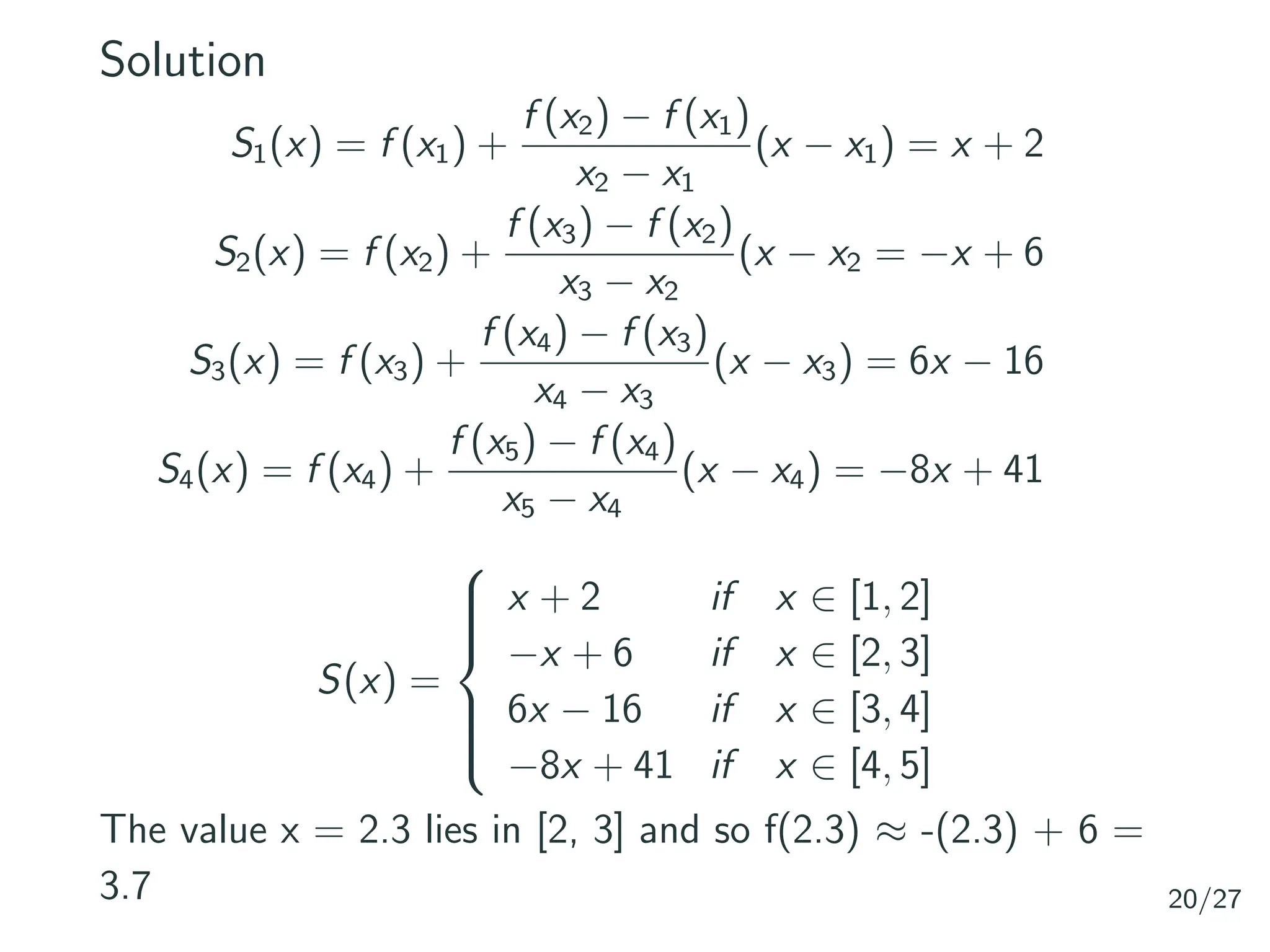
Solution
S1(x) = f (x1) +
f (x2) − f (x1)
x2 − x1
(x − x1) = x + 2
S2(x) = f (x2) +
f (x3) − f (x2)
x3 − x2
(x − x2 = −x + 6
S3(x) = f (x3) +
f (x4) − f (x3)
x4 − x3
(x − x3) = 6x − 16
S4(x) = f (x4) +
f (x5) − f (x4)
x5 − x4
(x − x4) = −8x + 41
S(x) =









x + 2 if x ∈ [1, 2]
−x + 6 if x ∈ [2, 3]
6x − 16 if x ∈ [3, 4]
−8x + 41 if x ∈ [4, 5]
The value x = 2.3 lies in [2, 3] and so f(2.3) ≈ -(2.3) + 6 =
3.7 20/27
Reading Assignment
ˆ QUADRATIC SPLINE
ˆ CUBIC SPLINE
21/27
The Method of least-square
ˆ The method of least squares is a mathematical
approach used for finding the best-fitting curve
to a set of data points.
22/27
Linear least-square
ˆ Therefore, a reasonable guess function to the data
in Figure 7.2 might be a linear one, that is.
f (x) = ax + b.
ˆ The problem becomes that of finding the values
of the parameters a and b that make f(x) the
“best” function to fit the data.
ˆ The objective of ”least squares” is to minimize
the sum of the squares of the error
23/27
Linear least-square
a =
n
P
xiyi −
P
xi
P
yi
n
P
x2
i − (
P
xi)2
b =
P
x2
i
P
yi −
P
xiyi
P
xi
n
P
x2
i − (
P
xi)2
where
P
=
Pn
i=1
Example
Using the method of least-squares, find the linear function
that best fits the following data.
x 1 1.5 2 2.5 3 3.5 4
f(x) 25 31 27 28 36 35 32 24/27
Solution
P7
i=1 xi = 1 + 1.5 + 2 + 2.5 + 3 + 3.5 + 4 = 17.5,
P7
i=1 yi = 25 + 31 + 27 + 28 + 36 + 35 + 32 = 214,
P7
i=1 x2
i = 12
+ 1.52
+ 22
+ 2.52
+ 32
+ 3.52
+ 42
=
50.75,
P7
i=1 xiyi = (1)(25) + (1.5)(31) + (2)(27) +
(2.5)(28) + (3)(36) + (3.5)(35) + (4)(32) = 554.,
a =
7(554) − (17.5)(214)
7(50.75) − (17.5)2
= 2.71428571
,
b =
(50.75)(214) − (17.5)(554)
7(50.75) − (17.5)2
= 23.78571429. 25/27
Solution
Therefore, the least-squares line is
y = 2.71428571x + 23.78571429.
Reading Assignment
ˆ LEAST-SQUARES POLYNOMIAL
26/27
END of Chapter Five
Practice More!!
27/27

Computational methods for engineering...

  • 1.
  • 2.
  • 3.
    Interpolation Interpolation is amathematical and computa- tional technique used to estimate values that fall between known values. Consider the following problem: Table 1: Table of numerical values. x x0 x1 · · · xn y y0 y1 · · · yn Our objective is to find a polynomial curve that passes through the given points (xi, yi), which is p(xi) = yi for i = 0, 1, ..., n. (1) 3/27
  • 4.
    Polynomial Interpolation Theory Giventhe data in Table 1 where the x’s is are as- sumed to be distinct, we want to study the prob- lem of finding a polynomial p(x) = a0 + a1x + a2x2 + · · · + anxn (2) that interpolates the given data. Substituting the given data in to equation 1 gives the system of equations 4/27
  • 5.
    a0 + a1x0+ a2x2 0 + · · · + anxn 0 = y0 a0 + a1x1 + a2x2 1 + · · · + anxn 1 = y1 . . . = . . . a0 + a1xn + a2x2 n + · · · + anxn n = yn This is a system of (n + 1) linear equations in (n + 1) unknowns a0, a1, · · · , an. It is solvable. For n+1 nodes there is a unique polynomial p of degree ≤ n that interpolates Table 5.1 5/27
  • 6.
    Example Find the polynomialthat interpolates the table x 4.5 6.1 y 7.1 2.3 Solution p(x) = a0 + a1x. Substituting the points to the equation a0 + 4.5a1 = 7.1 a0 + 6.1a1 = 2.3. Solving for a0 and a1 we get p(x) = 20.6 − 3.0x. 6/27
  • 7.
    Newton’s Divided-Difference InterpolatingPolynomial In this section we want to develop an interpolat- ing formula that will be more efficient and conve- nient to use than the one shown in the previous section This will avoid the problem of finding the solution to a system of simultaneous equations. Pn(x) = f [x0] + f [x0, x1](x − x0) +f [x0, x1, x2](x − x0)(x − x1) + · · · f [x0, x1, x2 · · · , xn](x − x0)(x − x1) · · · (x − xn−1) 7/27
  • 8.
    Newton’s Divided-Difference InterpolatingPolynomial The above equation is know as n-order newron-divided deference polynomial and where the notation f [x0, x1, · · · , xn] = f [x1, x2, · · · xn] − f [x0, x2, · · · xn−1] xn − x0 is know as divided-difference ˆ The first four divided differences denoted as ff f [x0] = f (x0) f [x0, x1] = f [x1] − f [x0] x1 − x0 8/27
  • 9.
    Newton’s Divided-Difference InterpolatingPolynomial f [x0, x1, x2] = f [x1, x2] − f [x0, x1] x2 − x0 f [x0, x1, x2, x3] = f [x1, x2, x3] − f [x0, x1, x2] x3 − x0 ˆ The divided difference canbe illustrated best in table form as shown in table 2 9/27
  • 10.
    Newton’s Divided-Difference InterpolatingPolynomial Table 2: divided differences. xi f[xi] f[xi,xi+1] f[xi,xi+1,xi+2] · · · x0 f[x0] f[x0,x1] x1 f[x1] f[x0,x1,x2] f[x1,x2] · · · x2 f[x2] f[x1,x2,x3] f[x2,x3] · · · x3 f[x3] f[x2,x3,x4] f[x3,x4] 10/27
  • 11.
    Newton’s Divided-Difference InterpolatingPolynomial Example Form a divided-difference table for the following data and obtain Newton’s interpolating polynomial. x 2 4 6 8 y 4 8 14 16 solution: we have four nodes then the polynomial is at most 3 order 11/27
  • 12.
    Newton’s Divided-Difference InterpolatingPolynomial P3(x) = f [x0] + f [x0, x1](x − x0) + f [x0, x1, x2](x − x0)(x − x1) +f [x0, x1, x2, x3](x − x0)(x − x1)(x − x2) Now form the divided difference table by solving each divided difference. 12/27
  • 13.
    Newton’s Divided-Difference InterpolatingPolynomial xi f[xi] f[xi,xi+1] f[xi,xi+1,xi+2] f[xi,xi+1,xi+2,xi+3] 2 4 2 4 8 0.25 3 -0.125 6 14 -0.5 1 8 16 13/27
  • 14.
    Newton’s Divided-Difference InterpolatingPolynomial P3(x) = 4 + 2(x − 2) + 0.25(x − 2)(x − 4) −0.125(x − 2)(x − 4)(x − 6) P3(x) = − 1 8 x3 + 7 4 x2 − 5x + 8 14/27
  • 15.
    Lagrange Interpolating Polynomial weseek a polynomial of degree n which passes through the n+1 points given by Table ?? the nth Lagrange interpolating polynomial in the form pn(x) = n X i=0 f (xi)Li(x) (3) Where Li (x) = (x − x0)(x − x1) · · · (x − xi−1)(x − xi+1) · · · (x − xn) (xi − x0)(xi − x1) · · · (xi − xi−1)(xi − xi+1) · · · (xi − xn) = n Y j=0j̸=i x − xj xi − xj , i = 0, 1, ..., n 15/27
  • 16.
    Example Derive the Lagrangepolynomial that interpolates the data in the following table and evaluates it at x = -0.5. x -1 0 3 f(x) 8 -2 4 Solution L0(x) = (x−0)(x−3) (−1−0)(−1−3) = 1 4x(x − 3) L1(x) = (x−1)(x−3) (0+1)(0−3) = −1 3(x + 1)(x − 3) L2(x) = (x+1)(x−0) (3+1)(3−0) = 1 12x(x + 1) the Lagrange interpolating polynomial is p2(x) = 2x(x − 3) + 2 3 (x + 1)(x − 3) + 1 3 x(x + 1) 16/27
  • 17.
    Spline interpolation Many scientificand engineering phenomena being measured undergo a transition from one physical domain to another. Data obtained from these measurements are bet- ter represented by a set of piecewise continuous curves rather than by a single curve. 17/27
  • 18.
    Let f bea real-valued function defined on some interval [a, b] and let the set of data points be given below x a = x1 x2 · · · xn = b y f (x1) f (x2) · · · f (xn) assume that a = x1<x2< · · · <xn = b. Using the formula of the equation of the line, it is easy to see that the function S(x) is defined by Si (x) = f (xi ) + f (xi+1) − f (xi ) xi+1 − xi (x − xi ) = f (xi ) + f [xi+1, xi ](x − xi ) for i = 1, 2, ..., n − 1 18/27
  • 19.
    Outside the interval[a, b], S(x) is usually defined by S(x) = ( S1(x) if x<a Sn−1(x) if x>b Because S(x) is continuous on [a, b], it is called a spline of degree 1. Example Find a first degree spline interpolating the following table: x 1 2 3 4 5 f(x) 3 4 3 9 1 Use the resulting spline to approximate f(2.3). 19/27
  • 20.
    Solution S1(x) = f(x1) + f (x2) − f (x1) x2 − x1 (x − x1) = x + 2 S2(x) = f (x2) + f (x3) − f (x2) x3 − x2 (x − x2 = −x + 6 S3(x) = f (x3) + f (x4) − f (x3) x4 − x3 (x − x3) = 6x − 16 S4(x) = f (x4) + f (x5) − f (x4) x5 − x4 (x − x4) = −8x + 41 S(x) =          x + 2 if x ∈ [1, 2] −x + 6 if x ∈ [2, 3] 6x − 16 if x ∈ [3, 4] −8x + 41 if x ∈ [4, 5] The value x = 2.3 lies in [2, 3] and so f(2.3) ≈ -(2.3) + 6 = 3.7 20/27
  • 21.
    Reading Assignment ˆ QUADRATICSPLINE ˆ CUBIC SPLINE 21/27
  • 22.
    The Method ofleast-square ˆ The method of least squares is a mathematical approach used for finding the best-fitting curve to a set of data points. 22/27
  • 23.
    Linear least-square ˆ Therefore,a reasonable guess function to the data in Figure 7.2 might be a linear one, that is. f (x) = ax + b. ˆ The problem becomes that of finding the values of the parameters a and b that make f(x) the “best” function to fit the data. ˆ The objective of ”least squares” is to minimize the sum of the squares of the error 23/27
  • 24.
    Linear least-square a = n P xiyi− P xi P yi n P x2 i − ( P xi)2 b = P x2 i P yi − P xiyi P xi n P x2 i − ( P xi)2 where P = Pn i=1 Example Using the method of least-squares, find the linear function that best fits the following data. x 1 1.5 2 2.5 3 3.5 4 f(x) 25 31 27 28 36 35 32 24/27
  • 25.
    Solution P7 i=1 xi =1 + 1.5 + 2 + 2.5 + 3 + 3.5 + 4 = 17.5, P7 i=1 yi = 25 + 31 + 27 + 28 + 36 + 35 + 32 = 214, P7 i=1 x2 i = 12 + 1.52 + 22 + 2.52 + 32 + 3.52 + 42 = 50.75, P7 i=1 xiyi = (1)(25) + (1.5)(31) + (2)(27) + (2.5)(28) + (3)(36) + (3.5)(35) + (4)(32) = 554., a = 7(554) − (17.5)(214) 7(50.75) − (17.5)2 = 2.71428571 , b = (50.75)(214) − (17.5)(554) 7(50.75) − (17.5)2 = 23.78571429. 25/27
  • 26.
    Solution Therefore, the least-squaresline is y = 2.71428571x + 23.78571429. Reading Assignment ˆ LEAST-SQUARES POLYNOMIAL 26/27
  • 27.
    END of ChapterFive Practice More!! 27/27