The Unreasonable Benefits
of Deep Learning
Daniel	
  Kuster,	
  Ph.D.	
  
@djkust @indicodata
“All good researchers will tell you
that the most promising direction is
the one they are currently pursuing.
If they thought something else was
more promising, they would be
doing that instead.”
— G. Hinton
What is deep learning?
…a method for applying simple
mathematical functions to data.
web: search, facial recognition
smartphones: speech -> text
email: smart reply
mail: handwriting -> digits
cars: pedestrian detection
art & design: artistic style transfer
Wait, why now?
~1960’s (visual cortex is a deep neural network)
Simple neurons ⇾ hierarchical features ⇾ complex
~1990’s (computational models)
Neural networks ⇾ simple functions, applied piecewise
~ 2000’s (the internet + cheap storage)
Lots of data
~2012 (2 GPUs beat Google’s 16,000 CPU cluster)
Very fast and cheap parallel computing power
Deep neural networks ≈ mathematics + data
How deep learning works:
(1-minute theoretical explanation)
Cat detector = eyes + fur + nose + …
…but how do we discover the features?
and where are they?
input
simple math functions
pooling
simple math functions
classifier
But how do we know what to detect?
learn from the data…
How to use deep learning:
(10-second practical explanation)
data
(content)
model classifier data
(predictions)
How to use deep learning
Maybe you are skeptical that deep learning
will have a lasting impact…
Maybe you are skeptical that mathematics

will have a lasting impact?
“The enormous usefulness of
mathematics in the natural sciences is
something bordering the mysterious and
there is no rational explanation for it.”
—Eugene Wigner (1960) 

“The Unreasonable Effectiveness of 

Mathematics in the Natural Sciences”
Unreasonable Benefits of Deep Learning
“…mathematical formulation…leads in an uncanny
number of cases to an amazingly accurate
description of a large class of phenomena.”
“…the concepts of mathematics are not chosen for
their conceptual simplicity…but for their
amenability to clever manipulations and to
striking, brilliant arguments.”
—Eugene Wigner (1960) 

“The Unreasonable Effectiveness of 

Mathematics in the Natural Sciences”
Unreasonable Benefits of Deep Learning
simplicity
Unreasonable Benefits of Deep Learning
accuracy
flexibility hacks
simplicity
Unreasonable Benefits of Deep Learning
accuracy
flexibility hacks
Simple? Compared to what?
• Expert systems

Domain expertise ⇾ think a lot ⇾ codify rules (e.g., 1700 pages of English grammar)

More data, more pain.

Previous wave of “A.I.” (good rules can seem magical).
• Traditional machine learning

Data ⇾ domain expertise ⇾ feature extraction ⇾ learned weights

Learn everything from scratch. 

Manual feature engineering, biased and tedious.

More data helps!
• Deep neural networks

Data ⇾ model ⇾ learned weights

End-to-end learning, directly from examples. Like we (humans) do.

Can learn transferable features.

More data really helps!
Example: the simplest text analysis task:
sentiment!
text
(reviews)
model classifier
Sentiment:
compress text to one bit of info
1
0
text
(reviews)
model classifier
Sentiment:
compress text to one bit of info
Sentiment over time:
the shapes of stories
story + vis + code
http://indico.io/blog/plotlines
text model classifier
Emotion:
compress text to __ bits of info
😀
😉
😡
😈
😭
😍
😎
😞
Emotion
import indicoio
indicoio.emotion(“What?!?!? I had no idea
this sort of thing existed!”)
(~two lines of code)
text model classifier
Personality, topics, political lean, language, …
compress text to __ bits of info
image model classifier
image filtering:
compress images to one bit of info
mature

content
safe
(for work)
Content filtering
(especially for user-generated content)
You have a brand
Your brand has an identity
(Disney vs. Calvin Klein)
Your audience might
have different sensibilities
than you do, about
what is appropriate
for your brand
Filter out the
inappropriate content at
your own custom threshold
simplicity
Unreasonable Benefits of Deep Learning
accuracy
flexibility hacks
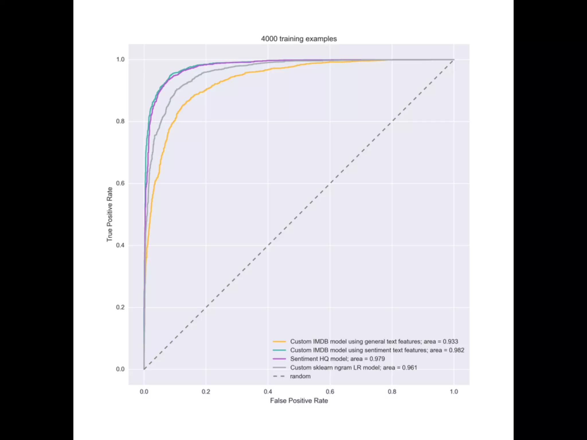
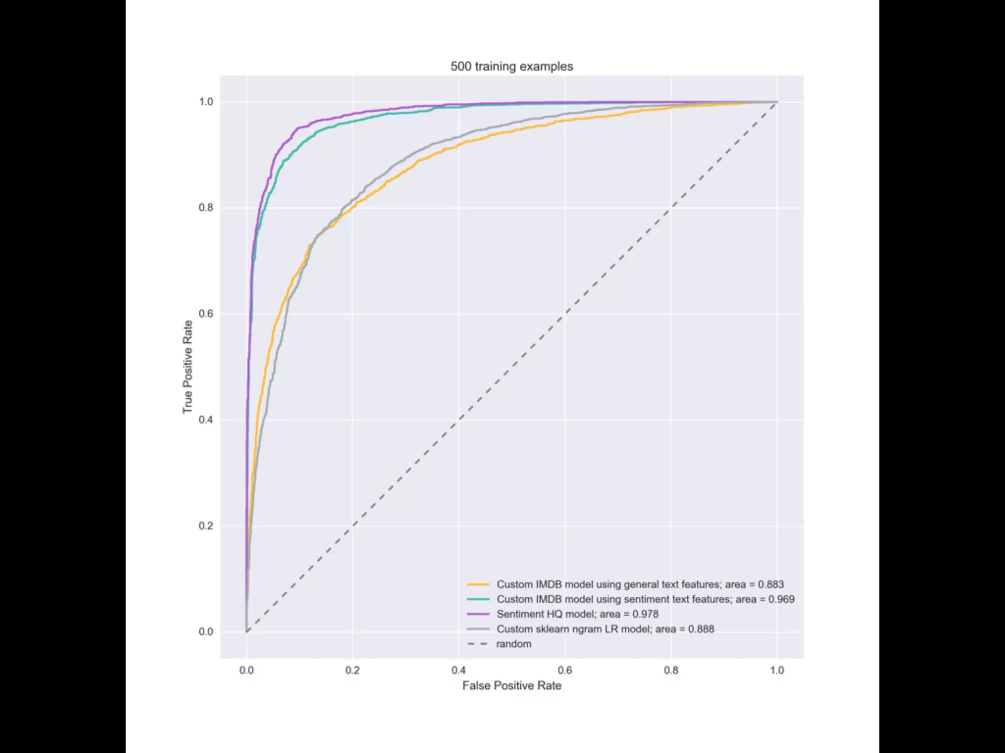
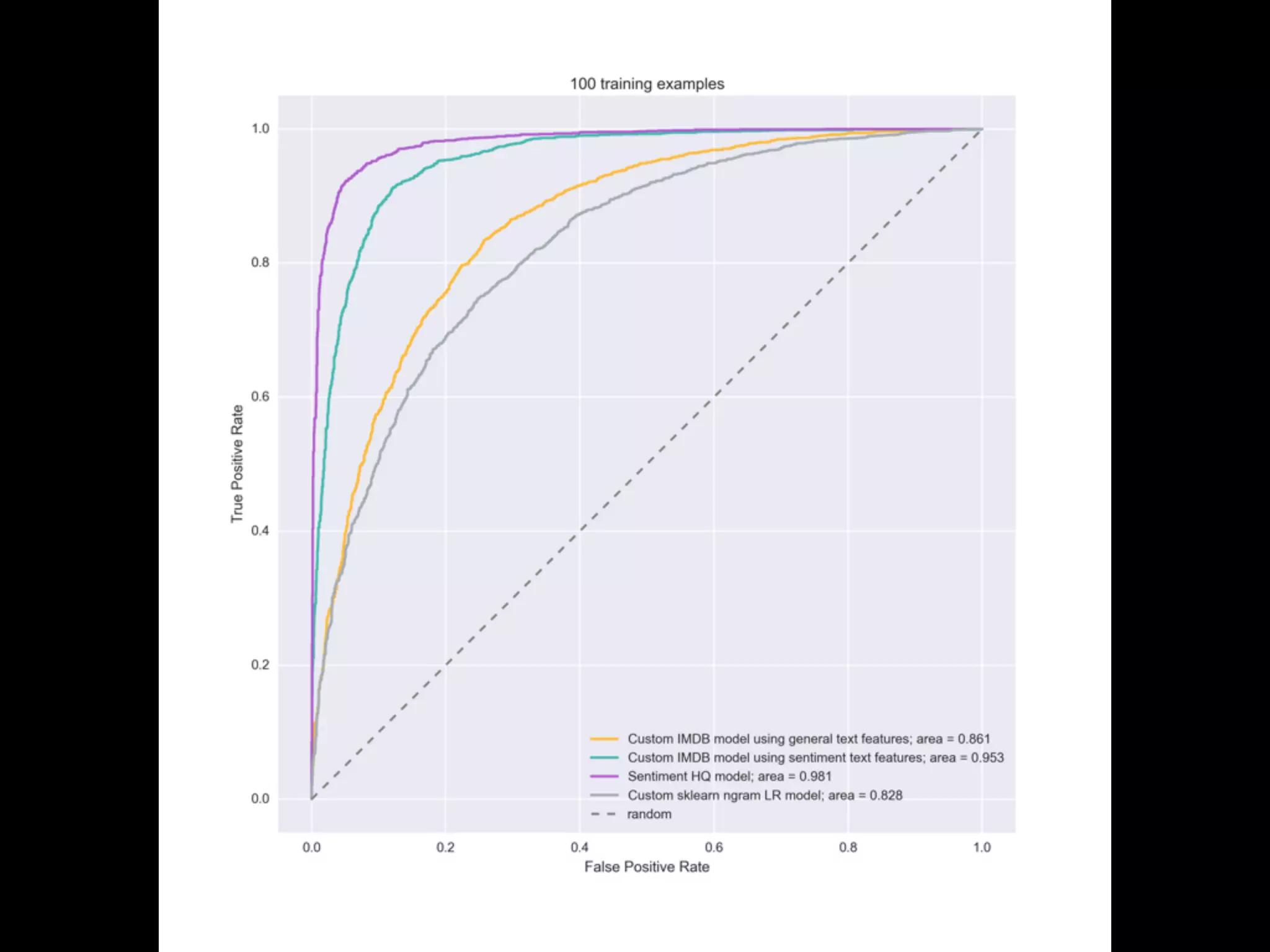
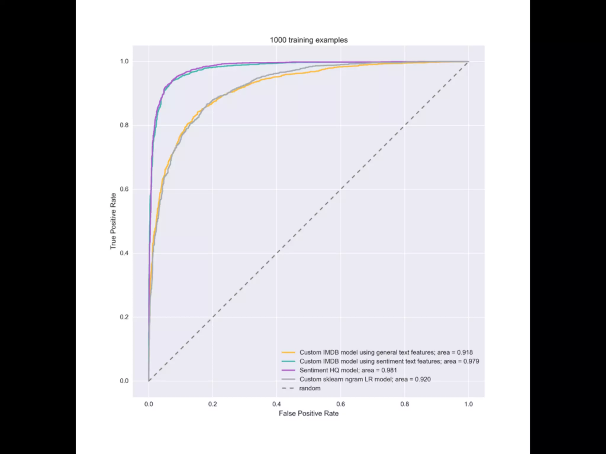
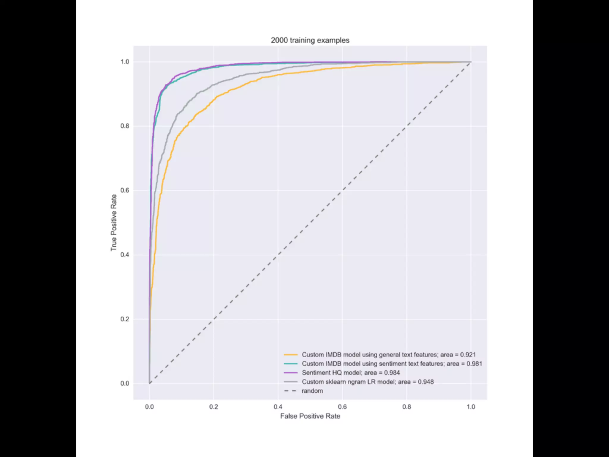
Most accurate sentiment API:
(93.8% on IMDB)
OK, accuracy is great…
…but how does this help me solve 

problems faster/cheaper/better?
simplicity
Unreasonable Benefits of Deep Learning
accuracy
flexibility hacks
Access features directly
…feed into a new classifier
data
(content)
model classifier data
(predictions)
Get the code (free):
https://github.com/IndicoDataSolutions/SuperCell
Labeling 100k+ examples…sucks!
…labeling a few hundred is just

a couple hours at the coffeeshop.
data
(content)
model classifier data
(predictions)
What’s happening in the the middle?
Let’s look at some features
RNN for sentiment prediction
t-SNE of recurrent features: pos/neg words
Features learned some rules of English
from binary sentiment labels
“The big payoff of deep learning is to allow
learning higher levels of abstraction”
— Y. Bengio
simplicity
Unreasonable Benefits of Deep Learning
accuracy
flexibility hacks!
Features are compressed knowledge
Who says we can’t combine them?
Experiment:

image features + text features
A man standing in
a field holding 

a small parachute
image
encoder
text
encoder
similarity(image, text)
“in the sky” ⇾ most similar images
photo with wine glass ⇾ intent ⇽ campaign
image-in-image search
Q: What problems can be solved with a
deep neural network?
A: If a human mind can do it in 1/10th of a second, a
deep neural network can probably do it well enough…
assuming you have data!
“Many scientists (myself included) take a sadistic
pleasure in proving other people wrong.
— Y. LeCun
The Unreasonable Benefits of Deep Learning:
simplicity, accuracy, flexibility, hacks
Questions?
Daniel	
  Kuster,	
  Ph.D.	
  
@djkust @indicodata
Image credits:
Unsplash (backgrounds)
Google search, Facebook AI Research (DeepFace), nVidia, Gatys et al. (arXiv: 1508.06576)
Brigitewear International (Borat swimsuit)
Imgur (skeptical dogs)
Jack the cat
…and the team at indico!
“A machine learning researcher,
a crypto-currency expert,
and an Erlang programmer
walk into a bar.
Facebook buys the bar for $27 billion.”


@ML_Hipster

The Unreasonable Benefits of Deep Learning