CSIRO Mathematical and Information Sciences
An Introduction to R:
Software for Statistical Modelling & Computing
Course Materials and Exercises
Petra Kuhnert and Bill Venables
CSIRO Mathematical and Information Sciences
Cleveland, Australia
c CSIRO Australia, 2005
c CSIRO Australia 2005
All rights are reserved. Permission to reproduce individual copies of this document for
personal use is granted. Redistribution in any other form is prohibited.
The information contained in this document is based on a number of technical, circum-
stantial or otherwise specified assumptions and parameters. The user must make its own
analysis and assessment of the suitability of the information or material contained in or
generated from the use of the document. To the extent permitted by law. CSIRO excludes
all liability to any party for any expenses, losses, damages and costs arising directly or
indirectly from using this document.
Contents
An Elementary Introduction to R 11
Whirlwind Tour of R . . . . . . . . . . . . . . . . . . . . . . . . . . . . . . . . . . . 13
Example 1: The Whiteside Insulation Data . . . . . . . . . . . . . . . . . . . . 13
Example 2: Cars and Fuel Economy . . . . . . . . . . . . . . . . . . . . . . . 15
Example 3: Images of Volcanic Activity . . . . . . . . . . . . . . . . . . . . . 19
Example 4: Coastline and Maps . . . . . . . . . . . . . . . . . . . . . . . . . . 19
R and the Tinn-R Editor . . . . . . . . . . . . . . . . . . . . . . . . . . . . . . . . . 21
R and the Tinn-R Editor . . . . . . . . . . . . . . . . . . . . . . . . . . . . . . 21
Obtaining R . . . . . . . . . . . . . . . . . . . . . . . . . . . . . . . . . . . . . 21
R Manuals . . . . . . . . . . . . . . . . . . . . . . . . . . . . . . . . . . . . . . 22
R Reference Material . . . . . . . . . . . . . . . . . . . . . . . . . . . . . . . . 22
How Does R Work and How Do I Work with it? . . . . . . . . . . . . . . . . 23
Installing and Loading R Packages . . . . . . . . . . . . . . . . . . . . . . . . 25
Customisation . . . . . . . . . . . . . . . . . . . . . . . . . . . . . . . . . . . . 26
The Rprofile.site file: An Example . . . . . . . . . . . . . . . . . . . . . 27
What Editor can I use with R . . . . . . . . . . . . . . . . . . . . . . . . . . . 28
The Tinn-R Editor: A Demonstration . . . . . . . . . . . . . . . . . . . . . . . 28
The R Language: Basic Syntax . . . . . . . . . . . . . . . . . . . . . . . . . . . 29
The R Language: Data Types . . . . . . . . . . . . . . . . . . . . . . . . . . . 35
The R Language: Missing, Indefinite and Infinite Values . . . . . . . . . . . . 37
Distributions and Simulation . . . . . . . . . . . . . . . . . . . . . . . . . . . 38
R Objects . . . . . . . . . . . . . . . . . . . . . . . . . . . . . . . . . . . . . . . . . . 45
3
4
Data Objects in R . . . . . . . . . . . . . . . . . . . . . . . . . . . . . . . . . . 45
Creating Vectors . . . . . . . . . . . . . . . . . . . . . . . . . . . . . . . . . . . 45
Creating Matrices . . . . . . . . . . . . . . . . . . . . . . . . . . . . . . . . . . 49
Manipulating Data: An Example . . . . . . . . . . . . . . . . . . . . . . . . . 51
Accessing Elements of a Vector or Matrix . . . . . . . . . . . . . . . . . . . . 53
Lists . . . . . . . . . . . . . . . . . . . . . . . . . . . . . . . . . . . . . . . . . . 56
Example: Cars93 Dataset . . . . . . . . . . . . . . . . . . . . . . . . . . . . . . 59
Graphics: An Introduction . . . . . . . . . . . . . . . . . . . . . . . . . . . . . . . . 61
Anatomy of a Plot . . . . . . . . . . . . . . . . . . . . . . . . . . . . . . . . . . 61
Overview of Graphics Functions . . . . . . . . . . . . . . . . . . . . . . . . . 64
Displaying Univariate Data . . . . . . . . . . . . . . . . . . . . . . . . . . . . 65
Working with Time Series Objects . . . . . . . . . . . . . . . . . . . . . . . . . 76
Displaying Bivariate Data . . . . . . . . . . . . . . . . . . . . . . . . . . . . . 80
Labelling and Documenting Plots . . . . . . . . . . . . . . . . . . . . . . . . . 85
Displaying Higher Dimensional Data . . . . . . . . . . . . . . . . . . . . . . 86
Manipulating Data . . . . . . . . . . . . . . . . . . . . . . . . . . . . . . . . . . . . 97
Sorting . . . . . . . . . . . . . . . . . . . . . . . . . . . . . . . . . . . . . . . . 97
Dates and Times . . . . . . . . . . . . . . . . . . . . . . . . . . . . . . . . . . . 99
Tables . . . . . . . . . . . . . . . . . . . . . . . . . . . . . . . . . . . . . . . . . 100
Split . . . . . . . . . . . . . . . . . . . . . . . . . . . . . . . . . . . . . . . . . . 101
with, subset and transform Functions . . . . . . . . . . . . . . . . . . . . 102
Vectorised Calculations . . . . . . . . . . . . . . . . . . . . . . . . . . . . . . . 103
Classical Linear Models . . . . . . . . . . . . . . . . . . . . . . . . . . . . . . . . . 109
Statistical Models in R . . . . . . . . . . . . . . . . . . . . . . . . . . . . . . . 109
Model Formulae . . . . . . . . . . . . . . . . . . . . . . . . . . . . . . . . . . . 109
Generic Functions for Inference . . . . . . . . . . . . . . . . . . . . . . . . . . 109
Example: The Janka Data . . . . . . . . . . . . . . . . . . . . . . . . . . . . . . 111
Example: Iowa Wheat Yield Data . . . . . . . . . . . . . . . . . . . . . . . . . 117
A Flexible Regression . . . . . . . . . . . . . . . . . . . . . . . . . . . . . . . . 120
c CSIRO Australia, 2005 Course Materials and Exercises
5
Example: Petroleum Data . . . . . . . . . . . . . . . . . . . . . . . . . . . . . 123
Non-Linear Regression . . . . . . . . . . . . . . . . . . . . . . . . . . . . . . . . . . 129
Example: Stormer Viscometer Data . . . . . . . . . . . . . . . . . . . . . . . . 129
Overview and Description . . . . . . . . . . . . . . . . . . . . . . . . . . . . . 129
Fitting the Model and Looking at the Results . . . . . . . . . . . . . . . . . . 130
Self Starting Models . . . . . . . . . . . . . . . . . . . . . . . . . . . . . . . . . 131
Example: Muscle Data . . . . . . . . . . . . . . . . . . . . . . . . . . . . . . . 133
Final Notes . . . . . . . . . . . . . . . . . . . . . . . . . . . . . . . . . . . . . . 139
Generalized Linear Modelling . . . . . . . . . . . . . . . . . . . . . . . . . . . . . . 141
Methodology . . . . . . . . . . . . . . . . . . . . . . . . . . . . . . . . . . . . 141
Example: Budworm Data . . . . . . . . . . . . . . . . . . . . . . . . . . . . . 144
Example: Low Birth Weight . . . . . . . . . . . . . . . . . . . . . . . . . . . . 150
GLM Extensions . . . . . . . . . . . . . . . . . . . . . . . . . . . . . . . . . . . . . . 157
The Negative Binomial Distribution . . . . . . . . . . . . . . . . . . . . . . . 157
Multinomial Models . . . . . . . . . . . . . . . . . . . . . . . . . . . . . . . . 163
Example: Copenhagen Housing Data . . . . . . . . . . . . . . . . . . . . . . 163
Proportional Odds Models . . . . . . . . . . . . . . . . . . . . . . . . . . . . . 167
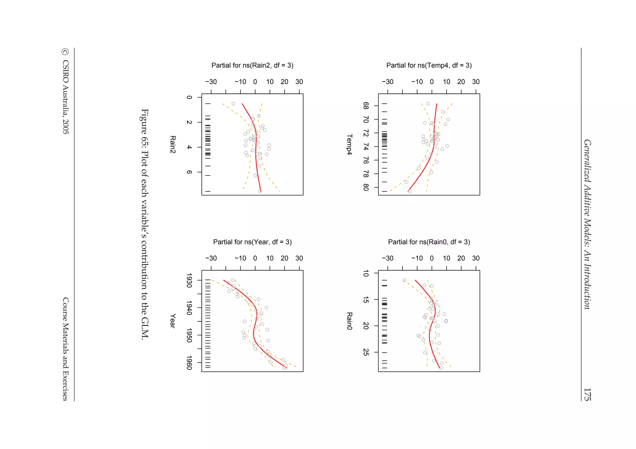
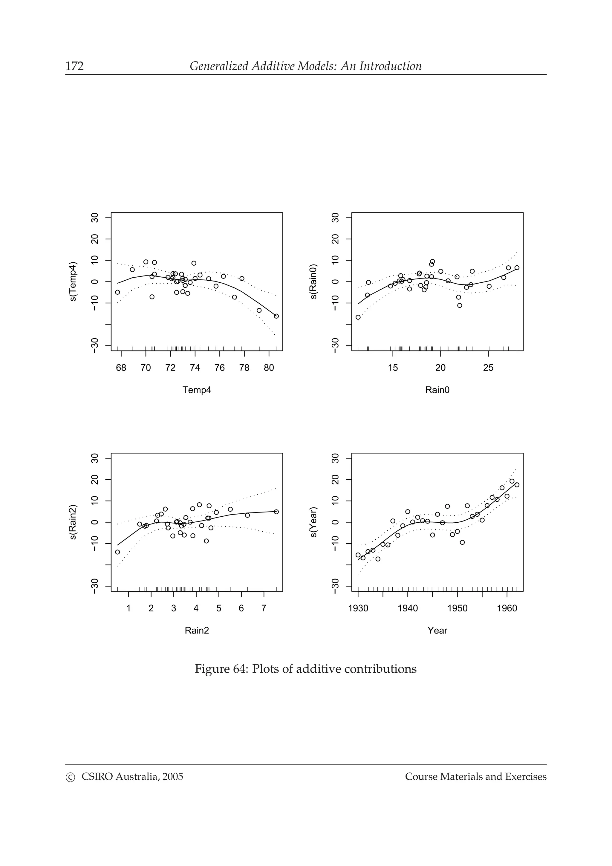
Generalized Additive Models: An Introduction . . . . . . . . . . . . . . . . . . . . 169
Methodology . . . . . . . . . . . . . . . . . . . . . . . . . . . . . . . . . . . . 169
Example: The Iowa Wheat Yield Data . . . . . . . . . . . . . . . . . . . . . . 170
Example: Rock Data . . . . . . . . . . . . . . . . . . . . . . . . . . . . . . . . 174
Advanced Graphics . . . . . . . . . . . . . . . . . . . . . . . . . . . . . . . . . . . . 179
Lattice Graphics . . . . . . . . . . . . . . . . . . . . . . . . . . . . . . . . . . . 179
Example: Whiteside Data . . . . . . . . . . . . . . . . . . . . . . . . . . . . . 179
Changing Trellis Parameters & Adding Keys . . . . . . . . . . . . . . . . . . 183
Example: Stormer Viscometer Data . . . . . . . . . . . . . . . . . . . . . . . . 185
Adding Fitted Values . . . . . . . . . . . . . . . . . . . . . . . . . . . . . . . . 188
Output Over Several Pages . . . . . . . . . . . . . . . . . . . . . . . . . . . . 189
Example: Volcanos in New Zealand . . . . . . . . . . . . . . . . . . . . . . . 191
c CSIRO Australia, 2005 Course Materials and Exercises
6
Colour Palettes . . . . . . . . . . . . . . . . . . . . . . . . . . . . . . . . . . . 194
Mathematical Expressions . . . . . . . . . . . . . . . . . . . . . . . . . . . . . 198
Maps, Coastlines and Co-ordinate Systems . . . . . . . . . . . . . . . . . . . 199
Importing and Exporting . . . . . . . . . . . . . . . . . . . . . . . . . . . . . . . . . 203
Getting Stuff In . . . . . . . . . . . . . . . . . . . . . . . . . . . . . . . . . . . 203
Editing Data . . . . . . . . . . . . . . . . . . . . . . . . . . . . . . . . . . . . . 206
Importing Binary Files . . . . . . . . . . . . . . . . . . . . . . . . . . . . . . . 206
Reading in Large Data Files . . . . . . . . . . . . . . . . . . . . . . . . . . . . 207
Getting Stuff Out . . . . . . . . . . . . . . . . . . . . . . . . . . . . . . . . . . 209
Getting Out Graphics . . . . . . . . . . . . . . . . . . . . . . . . . . . . . . . . 211
Mixed Effects Models: An Introduction . . . . . . . . . . . . . . . . . . . . . . . . 213
Linear Mixed Effects Models . . . . . . . . . . . . . . . . . . . . . . . . . . . . 213
Generalized Linear Mixed Effects Models . . . . . . . . . . . . . . . . . . . . 220
Programming . . . . . . . . . . . . . . . . . . . . . . . . . . . . . . . . . . . . . . . 237
Introductory Example . . . . . . . . . . . . . . . . . . . . . . . . . . . . . . . 237
The Call Component and Updating . . . . . . . . . . . . . . . . . . . . . . . . 241
Combining Two Estimates . . . . . . . . . . . . . . . . . . . . . . . . . . . . . 242
Some Lessons . . . . . . . . . . . . . . . . . . . . . . . . . . . . . . . . . . . . 243
Some Under-used Array and Other Facilities . . . . . . . . . . . . . . . . . . 243
Some Little-used Debugging Functions and Support Systems . . . . . . . . . 245
Compiled Code and Packages . . . . . . . . . . . . . . . . . . . . . . . . . . . 245
Making and Maintaining Extensions . . . . . . . . . . . . . . . . . . . . . . . 249
Neural Networks: An Introduction . . . . . . . . . . . . . . . . . . . . . . . . . . . 251
Methodology . . . . . . . . . . . . . . . . . . . . . . . . . . . . . . . . . . . . 251
Regression Function . . . . . . . . . . . . . . . . . . . . . . . . . . . . . . . . 252
Penalized Estimation . . . . . . . . . . . . . . . . . . . . . . . . . . . . . . . . 252
Tree-based Models I: Classification Trees . . . . . . . . . . . . . . . . . . . . . . . . 259
Decision Tree Methodology . . . . . . . . . . . . . . . . . . . . . . . . . . . . 259
Recursive Partitioning And Regression Trees (RPART) . . . . . . . . . . . . . 263
c CSIRO Australia, 2005 Course Materials and Exercises
7
A Classification Example: Fisher’s Iris Data . . . . . . . . . . . . . . . . . . . 265
Pruning Trees . . . . . . . . . . . . . . . . . . . . . . . . . . . . . . . . . . . . 270
Predictions . . . . . . . . . . . . . . . . . . . . . . . . . . . . . . . . . . . . . . 279
Plotting Options . . . . . . . . . . . . . . . . . . . . . . . . . . . . . . . . . . . 279
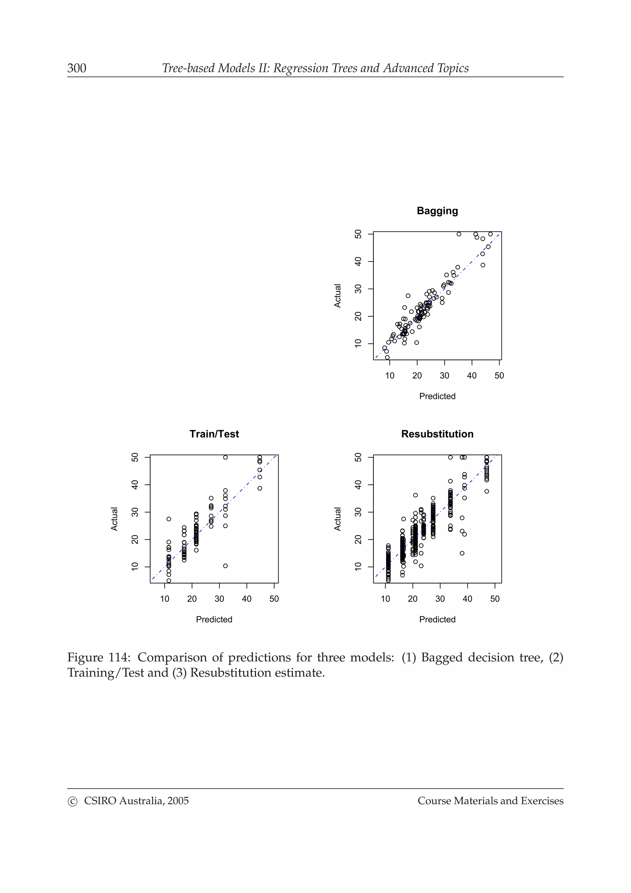
Tree-based Models II: Regression Trees and Advanced Topics . . . . . . . . . . . . 283
Regression Trees . . . . . . . . . . . . . . . . . . . . . . . . . . . . . . . . . . . 283
Advanced Topics . . . . . . . . . . . . . . . . . . . . . . . . . . . . . . . . . . 297
Appendix I: Datasets 301
Absenteeism from School in NSW . . . . . . . . . . . . . . . . . . . . . . . . . . . 303
Cars93 Dataset . . . . . . . . . . . . . . . . . . . . . . . . . . . . . . . . . . . . . . . 304
Car Road Tests Data . . . . . . . . . . . . . . . . . . . . . . . . . . . . . . . . . . . . 306
Copenhagen Housing Conditions Study . . . . . . . . . . . . . . . . . . . . . . . . 307
Fisher’s Iris Data . . . . . . . . . . . . . . . . . . . . . . . . . . . . . . . . . . . . . 308
Iowa Wheat Yield Data . . . . . . . . . . . . . . . . . . . . . . . . . . . . . . . . . . 309
Janka Hardness Data . . . . . . . . . . . . . . . . . . . . . . . . . . . . . . . . . . . 310
Lung Disease Dataset . . . . . . . . . . . . . . . . . . . . . . . . . . . . . . . . . . . 311
Moreton Bay Data . . . . . . . . . . . . . . . . . . . . . . . . . . . . . . . . . . . . . 312
Muscle Contraction in Rat Hearts . . . . . . . . . . . . . . . . . . . . . . . . . . . . 313
Petroleum Rock Samples . . . . . . . . . . . . . . . . . . . . . . . . . . . . . . . . . 314
Petrol Refinery Data . . . . . . . . . . . . . . . . . . . . . . . . . . . . . . . . . . . . 315
Recovery of Benthos on the GBR . . . . . . . . . . . . . . . . . . . . . . . . . . . . 316
Stormer Viscometer Data . . . . . . . . . . . . . . . . . . . . . . . . . . . . . . . . . 317
US State Facts and Figures . . . . . . . . . . . . . . . . . . . . . . . . . . . . . . . . 318
Volcano Data . . . . . . . . . . . . . . . . . . . . . . . . . . . . . . . . . . . . . . . . 319
Whiteside’s Data . . . . . . . . . . . . . . . . . . . . . . . . . . . . . . . . . . . . . 320
Appendix II: Laboratory Exercises 321
Lab 1: R - An Introductory Session . . . . . . . . . . . . . . . . . . . . . . . . . . . 323
Lab 2: Understanding R Objects . . . . . . . . . . . . . . . . . . . . . . . . . . . . . 331
c CSIRO Australia, 2005 Course Materials and Exercises
8
Animal Brain and Body Sizes . . . . . . . . . . . . . . . . . . . . . . . . . . . 331
H O Holck’s Cat Data . . . . . . . . . . . . . . . . . . . . . . . . . . . . . . . . 331
Combining Two Data Frames with Some Common Rows . . . . . . . . . . . 333
The Tuggeranong House Data . . . . . . . . . . . . . . . . . . . . . . . . . . . 334
The Anorexia Data . . . . . . . . . . . . . . . . . . . . . . . . . . . . . . . . . 335
Lab 3: Elementary Graphics . . . . . . . . . . . . . . . . . . . . . . . . . . . . . . . 337
Scatterplots and Related Issues . . . . . . . . . . . . . . . . . . . . . . . . . . 337
Student Survey Data . . . . . . . . . . . . . . . . . . . . . . . . . . . . . . . . 338
The Swiss Banknote Data . . . . . . . . . . . . . . . . . . . . . . . . . . . . . 339
Lab 4: Manipulating Data . . . . . . . . . . . . . . . . . . . . . . . . . . . . . . . . 341
Birth Dates . . . . . . . . . . . . . . . . . . . . . . . . . . . . . . . . . . . . . . 341
The Cloud Data . . . . . . . . . . . . . . . . . . . . . . . . . . . . . . . . . . . 341
The Longley Data . . . . . . . . . . . . . . . . . . . . . . . . . . . . . . . . . . 343
Lab 5: Classical Linear Models . . . . . . . . . . . . . . . . . . . . . . . . . . . . . 345
H O Holck’s cats data, revisited . . . . . . . . . . . . . . . . . . . . . . . . . . 345
Cars Dataset . . . . . . . . . . . . . . . . . . . . . . . . . . . . . . . . . . . . . 345
The Painters Data . . . . . . . . . . . . . . . . . . . . . . . . . . . . . . . . . . 346
Lab 6: Non-Linear Regression . . . . . . . . . . . . . . . . . . . . . . . . . . . . . . 347
The Stormer Viscometer Data . . . . . . . . . . . . . . . . . . . . . . . . . . . 347
The Steam Data . . . . . . . . . . . . . . . . . . . . . . . . . . . . . . . . . . . 347
Lab 7& 8: Generalized Linear Models and GAMs . . . . . . . . . . . . . . . . . . . 349
Snail Mortality Data . . . . . . . . . . . . . . . . . . . . . . . . . . . . . . . . 349
The Janka Data . . . . . . . . . . . . . . . . . . . . . . . . . . . . . . . . . . . 349
The Birth Weight Data . . . . . . . . . . . . . . . . . . . . . . . . . . . . . . . 350
Lab 9: Advanced Graphics . . . . . . . . . . . . . . . . . . . . . . . . . . . . . . . . 351
Graphics Examples . . . . . . . . . . . . . . . . . . . . . . . . . . . . . . . . . 351
The Akima Data . . . . . . . . . . . . . . . . . . . . . . . . . . . . . . . . . . . 351
Heights of New York Choral Society Singers . . . . . . . . . . . . . . . . . . 351
Lab 10: Mixed Effects Models . . . . . . . . . . . . . . . . . . . . . . . . . . . . . . 353
c CSIRO Australia, 2005 Course Materials and Exercises
9
The Rail Dataset . . . . . . . . . . . . . . . . . . . . . . . . . . . . . . . . . . . 353
The Pixel Dataset . . . . . . . . . . . . . . . . . . . . . . . . . . . . . . . . . . 354
Lab 11: Programming . . . . . . . . . . . . . . . . . . . . . . . . . . . . . . . . . . . 355
Elementary Programming Examples . . . . . . . . . . . . . . . . . . . . . . . 355
Round Robin Tournaments . . . . . . . . . . . . . . . . . . . . . . . . . . . . 357
Lab 12: Neural Networks . . . . . . . . . . . . . . . . . . . . . . . . . . . . . . . . . 359
The Rock Data . . . . . . . . . . . . . . . . . . . . . . . . . . . . . . . . . . . . 359
The Crab Data . . . . . . . . . . . . . . . . . . . . . . . . . . . . . . . . . . . . 359
Lab 13& 14: Classification and Regression Trees . . . . . . . . . . . . . . . . . . . . 361
The Crab Data Revisited . . . . . . . . . . . . . . . . . . . . . . . . . . . . . . 361
The Cuckoo Data . . . . . . . . . . . . . . . . . . . . . . . . . . . . . . . . . . 361
The Student Survey Data . . . . . . . . . . . . . . . . . . . . . . . . . . . . . . 361
Bibliography 363
c CSIRO Australia, 2005 Course Materials and Exercises
Elementary Introduction To R
Whirlwind Tour of R 13
Whirlwind Tour of R
The following examples provide a summary of analyses conducted in R. Results are not
shown in this section and are left for the reader to verify.
Example 1: The Whiteside Insulation Data
Description
The Whiteside Insulation dataset is described in detail in Appendix I. The dataset consists
of the weekly gas consumption and average external temperature records at a house in
south-east England taken over two heating seasons:
• 26 weeks before cavity-wall insulation was installed
• 30 weeks after cavity-wall insulation was installed
The aim of the experiment was to examine the effect of insulation on gas consumption.
The dataset consists of 56 rows and three columns that contain information on:
• Insul: Insulation (before/after)
• Temp: Temperature in degrees Celsius
• Gas: Gas consumption in 1000s of cubic feet
Exploratory Analysis
Prior to modelling, an exploratory analysis of the data is often useful as it may highlight
interesting features of the data that can be incorporated into a statistical analysis.
Figure 1 is the result of a call to the high level lattice function xyplot. The plot pro-
duces a scatterplot of gas consumption versus the average external temperature for each
treatment type before insulation and similarly, after insulation).
Statistical Modelling
Based on the exploratory plots shown in Figure 1, it seems appropriate to fit straight lines
through the points and examine whether these lines are different for varying treatment
levels.
The analyses suggest that a straight line relationship is suitable for the data at each treat-
ment level. In fact, nearly 95% of the variation is explained for the model using data prior
to the insulation being installed, while approximately 81% of the variation was explained
by the model incorporating data post insulation. Slopes for both models are very similar.
c CSIRO Australia, 2005 Course Materials and Exercises
14 Whirlwind Tour of R
Average external temperature (deg. C)
Gasconsumption(cu.ft/1000)
2 4 6 8 10
2
4
6
Before
2 4 6 8 10
After
Figure 1: Scatterplot of gas consumption versus average external temperature for the two
treatment levels: prior to insulation and post insulation. Least square lines are overlayed.
We can consider fitting a single model using both datasets. To check for curvature, we
can introduce a polynomial term for the slopes. The results indicate that second order
polynomial terms are not required in the model.
In the previous model fit where both lines were fitted in the one model, there is a sugges-
tion that the lines may be parallel. To test this theory, we can fit a model with an overall
treatment effect and an overall effect of temperature.
This model (not shown) suggests that there is a marked decrease in gas consumption after
insulation was installed compared to having no insulation. The model also suggests that
as the average external temperature increased, gas consumption decreased by a factor of
0.33.
Although the terms in the model are significant, the level of variation explained is lower
than the model where both lines were fitted (∼91%). We can test whether separate regres-
sion lines fitted in the one model may be more appropriate using an analysis of variance.
It is useful to check the fit of the model using some diagnostic plots which examine the
residuals with the assumptions of the model.
Figure 2 shows residual plots from the model where both lines were fitted. Residual plots
indicate that the fit of the model is reasonable as both plots show no obvious departures
from Normality.
c CSIRO Australia, 2005 Course Materials and Exercises
Whirlwind Tour of R 15
2 3 4 5 6 7
−1.0−0.50.00.5
Plot of Residuals
Fitted Values
Residuals
−2 −1 0 1 2
−1.0−0.50.00.5
Normal Q−Q Plot
Theoretical Quantiles
SampleQuantiles
Normal Q−Q Plot
(a) (b)
Figure 2: Residual plots of fitted model to the Whiteside Gas Consumption dataset. Fig-
ure (a) displays a plot of the residuals versus fitted values. Figure (b) presents a Normal
quantile-quantile plot.
Example 2: Cars and Fuel Economy
The Cars93 dataset is described in detail in Appendix I and by Lock (1993). It consists of
a random list of passenger car makes and models (93 rows and 23 columns of data).
The information collected can be broken up into the type of data each variable represents.
These are described below.
• Factors: AirBags, Cylinders, DriveTrain, Make, Man.trans.avail, Manufacturer, Model,
Origin, Type
• Numeric:
– Integer: MPG.city, MPG.highway, Luggage.room, Length, Horsepower, Pas-
sengers, Rev.per.mile, RPM, Turn.circle, Weight, Wheelbase, Width.
– Double: EngineSize, Fuel.tank.capacity, Max.Price, Min.Price,
Price, Rear.seat.room
We can produce a scatterplot of some of the data in this data frame. An interesting plot
that can be produced is a scatterplot to investigate the relationship between gallons per
100 miles and weight. The plot is shown in Figure 3.
The scatterplot shown in Figure 3(a) suggests a possible linear relationship between gal-
lons per 100 miles and weight. Note, the response is easier to model linearly if we use gal-
lons per mile rather than miles per gallon. Before rushing into a formal analysis, we can
investigate this assumption graphically, by reproducing the scatterplot with least square
c CSIRO Australia, 2005 Course Materials and Exercises
16 Whirlwind Tour of R
Cars(1993 Makes & Models)
Weight
Gallonsper100miles
2000 2500 3000 3500 4000
2.0
2.5
3.0
3.5
4.0
4.5
5.0
Cars(1993 Makes & Models)
Weight
Gallonsper100miles
2000 2500 3000 3500 4000
2.0
2.5
3.0
3.5
4.0
4.5
5.0
(a) (b)
Figure 3: Scatterplot of gallons per 100 miles and weight of 1993 model cars (a) without
and (b) with a least squares line overlayed
lines overlayed. Figure 3(b) shows a reasonable linear relationship between gallons per
100 miles and weight.
We can model this relationship more formally using least squares regression. The model
(not shown) suggests a strong linear relationship between the weight of each vehicle and
mileage. In fact, for every one pound increase, the gallons per 100 miles is expected to
increase by a factor of 0.000829.
Examining the residuals from this fit (Figure 4) reveal a fairly reasonable fit with residuals
that are behaving well with respect to Normal distribution assumptions.
We now extend the analysis to examine the relationship between mileage, weight and
type of vehicle. Figure 5 shows a scatterplot of the data broken up by type of vehicle
into six separate panels. This plot was produced using the following code: From Figure 5
we can see that as weight increases (for all types), the fuel consumption increases also.
We also note some large variation between car types. To investigate these relationships
further we fit a random effects model that has
• weight as the main predictor
• a term that incorporates type of vehicle
• a random intercept term associated with Manufacturer
The results from the model indicate that both type of car and weight are important pre-
c CSIRO Australia, 2005 Course Materials and Exercises
Whirlwind Tour of R 17
2.5 3.0 3.5 4.0
−0.50.00.5
Residual Plot
Fitted Values
Residuals
−2 −1 0 1 2
−0.50.00.5
Normal Q−Q Plot of Residuals
Theoretical Quantiles
SampleQuantiles
Histogram of Residuals
resid(cars93.lm)
Frequency
−0.5 0.0 0.5 1.0
0510152025
Figure 4: Residuals from fitted linear model to the Cars93 dataset.
Cars(1993 Makes & Models)
Weight
Gallonsper100miles
2000 2500 3000 3500 4000
2.0
2.5
3.0
3.5
4.0
4.5
5.0
Compact Large
2000 2500 3000 3500 4000
Midsize
Small
2000 2500 3000 3500 4000
Sporty
2.0
2.5
3.0
3.5
4.0
4.5
5.0
Van
Figure 5: Panel plot of the Cars93 data showing scatterplots of gallons per 100 miles
versus weight broken up by vehicle type.
c CSIRO Australia, 2005 Course Materials and Exercises
18 Whirlwind Tour of R
dictors for gallons per 100 miles. The baseline type is Compact, (panel 4 in Figure 5).
With respect to compact vehicles, vans and to some extent, sporty vehicles cost more to
run. This can be seen in the scatterplots shown in Figure 5.
The random effect predictions are shown below
Honda -0.223489568 Eagle 0.022092001
Geo -0.202257478 Subaru 0.031985280
BMW -0.160629835 Cadillac 0.036147200
Saturn -0.103301920 Acura 0.047566558
Mazda -0.098418520 Mercedes-Benz 0.051035604
Pontiac -0.095375212 Chrysler 0.052572242
Suzuki -0.088319971 Audi 0.054595702
Oldsmobile -0.082034099 Mitsubishi 0.076673770
Chevrolet -0.080333517 Hyundai 0.092313779
Toyota -0.079260798 Ford 0.105985086
Lincoln -0.059304804 Volkswagen 0.107058971
Buick -0.057098894 Infiniti 0.107264569
Nissan -0.052045909 Mercury 0.122912226
Chrylser -0.021220000 Dodge 0.142520788
Plymouth -0.007800792 Saab 0.157016239
Volvo 0.016483859 Lexus 0.186667440
The random effect predictions show some variation (but only slight). There appears to be
two different types of vehicles:
• economical: good fuel consumption e.g. Honda, Geo, BMW, Saturn, and Mazda
• expensive: higher fuel consumption per mile e.g. Lexus, Saab, Dodge, Mercury
The estimate of the variance for the random effects terms is 0.0237. The errors relating to
variation not accounted for in the model is almost negligible (0.062).
We may choose to investigate the prices of cars instead of the mileage for different makes
and models. A simple way to view this relationship is through a boxplot of the data split
by Manufacturer.
c CSIRO Australia, 2005 Course Materials and Exercises
Whirlwind Tour of R 19
Suzuki
Hyundai
Geo
Subaru
Saturn
Plymouth
Dodge
Mercury
Ford
Eagle
Chevrolet
Mazda
Nissan
Honda
Pontiac
Oldsmobile
Mitsubishi
Toyota
Chrylser
Volkswagen
Buick
Chrysler
Volvo
Acura
Saab
BMW
Lexus
Audi
Lincoln
Cadillac
Mercedes−Benz
Infiniti
10
20
30
40
50
60
Price(in$1,000)
Figure 6: Distribution of car prices by manufacturer sorted by the median.
Example 3: Images of Volcanic Activity
The volcano dataset is a digitized map of a New Zealand volcano compiled by Ross Ihaka.
The dataset is described in Appendix I and consists of a matrix with 87 rows and 61
columns. The topographic features of the dataset are plotted in Figure 7(a) using colours
that range from white through to red. Figure 7(b) is the result of setting a user defined
colour scheme.
Example 4: Coastline and Maps
Quite frequently you will need to produce a map for a project that you are working on.
These types of activities are typically done in a GIS system. However, R offers some very
useful functions for producing maps, given that you have the co-ordinates.
The following figure plots the main land and surrounding islands of Moreton Bay, in
South East Queensland Australia. The geographical locations were obtained using Coast-
line Extractor (Signell, 2005), a web based tool for extracting coastlines.
c CSIRO Australia, 2005 Course Materials and Exercises
20 Whirlwind Tour of R
20 40 60 80
102030405060
image()
0 20 40 60 80
0102030405060
row(volcano)
col(volcano)
plot() with user defined colours
(a) (b)
Figure 7: Image plots of volcanic activity on Mt Eden as produced by (a) image and (b)
using user defined colours.
153.20 153.25 153.30 153.35 153.40 153.45
−27.60−27.55−27.50−27.45−27.40−27.35
Longitude
Latitude
Coochiemudlo Island
Green Island
Mud Island
Myora Point
Peel Island Polka PointEmpire Point
Wellington Point
St Helena Island
Moreton Bay
Mainland
Nth Stradbroke
Island
Cleveland Pt
Figure 8: Map of Moreton Bay and surrounding islands.
c CSIRO Australia, 2005 Course Materials and Exercises
R and the Tinn-R Editor 21
R and the Tinn-R Editor
What is R?
Software Facilities
R provides a suite of software facilities for
• Reading and manipulating data
• Computation
• Conducting statistical analyses and
• Displaying the results
Implementation of the S Language
R is an implementation of the S language, a language for manipulating objects. For more
details on the S language, readers are referred to Becker et al. (1988) and Venables & Ripley
(2002).
R: A Programming Environment
R is a programming environment for data analysis and graphics. The S Programming
book by Venables & Ripley (2000) provides a comprehensive overview of programming
principles using S and R. The language was initially written by Ross Ihaka and Robert
Gentleman at the Department of Statistics at the University of Auckland. Since its birth,
a number of people have contributed to the package.
R: Platform for Development and Implementation of New Algorithms
R provides a platform for the development and implementation of new algorithms and
technology transfer. R can achieve this in three ways
• functions that make use of existing algorithms within R
• functions that call on external programs written in either C or Fortran
• packaged up pieces of code that have specific classes attached to handle printing,
summarising and the plotting data.
Obtaining R
Latest Copy
The latest copy of R (Version 2.1.0) can be downloaded from the CRAN (Comprehensive
R Archive Network) website: http://lib.stat.cmu.edu/R/CRAN/.
R Packages
R packages can also be downloaded from this site or alternatively, they can be obtained
c CSIRO Australia, 2005 Course Materials and Exercises
22 R and the Tinn-R Editor
via R once the package has been installed. A list of R packages accompanied by a brief
description can be found on the website itself.
R FAQ
In addition to these files, there is a manual and a list of frequently asked questions (FAQ)
that range from basic syntax questions and help on obtaining R and downloading and
installing packages to programming questions.
R Mailing Lists
Details of relevant mailing lists for R are available on http://www.R-project.org/mail.html
• R-announce: announcements of major developments of the package
• R developments R-packages: announcements of new R packages
• R-help: main discussion list
• R-devel: discussions about the future of R
R Manuals
There are a number of R manuals in pdf format provided on the CRAN website. These
manuals consist of:
• R Installation and Administration: Comprehensive overview of how to install R
and its packages under different operating systems.
• An Introduction to R: Provides an introduction to the language.
• R Data Import/Export: Describes import and export facilities.
• Writing R Extensions: Describes how you can create your own packages.
• The R Reference Index: Contains printable versions all of the R help files for stan-
dard and recommended packages
R Reference Material
There are a number of introductory texts and more advanced reference material that can
help you with your journey through R. Below is a shortened list of key references. Those
printed in red correspond to reference material that specifically focuses on S-Plus but has
references to R or can be used as reference material for the R programming language.
• Introductory texts
– Introductory Statistics with R by Peter Dalgaard
c CSIRO Australia, 2005 Course Materials and Exercises
R and the Tinn-R Editor 23
– Linear Models with R by Julian Faraway
– Data Analysis and Graphics using R: An Example Based Approach by John
Maindonald and John Braun
– Modern Applied Statistics with S-Plus by Bill Venables and Brian Ripley
– Statistical Computing: An Introduction to Data Analysis using S-Plus by Michael
Crawley
• Programming
– S Programming by Bill Venables and Brian Ripley
• Advanced Topics
– Mixed-Effects Models in S and S-Plus by Jose Pinheiro and Douglas Bates
How Does R Work and How Do I Work with it?
Dedicated Folder
R works best if you have a dedicated folder for each separate project. This is referred
to as the working folder. The intension is to put all data files in the working folder or in
sub-folders of it. This makes R sessions more manageable and it avoids objects getting
messed up or mistakenly deleted.
Starting R
R can be started in the working folder by one of three methods:
1. Make an R shortcut which points to the folder (See Figure 9) and double-clicking on
the R icon.
2. Double-click on the .RData file in the folder. This approach assumes that you have
already created an R session.
3. Double-click any R shortcut and use setwd(dir)
In the windows version of R, the software can be started in either multiple or single win-
dows format. Single windows format looks and behaves similar to a unix environment.
Help and graphics screens are brought up as separate windows when they are called. In
a multiple environment, graphics and help windows are viewed within the R session.
This type of configuration can be set in the Rgui Configuration Editor by going to
Edit-> GUI Preferences. The ’look and feel’ of your R session can also be changed
using this screen.
R Commands
Any commands issued in R are recorded in an .Rhistory file. In R, commands may be
c CSIRO Australia, 2005 Course Materials and Exercises
24 R and the Tinn-R Editor
Figure 9: The Properties dialog box for an R session.
recalled and reissued using the up- and down- arrow in an obvious way. Recalled com-
mands may be edited in a Windows familiar fashion with a few extras. Flawed commands
may be abandoned either by hitting the escape key (<Esc>) or (<Home Ctrl-K>) or
(<Home #>).
Copying and pasting from a script file can be achieved by using the standard shortcut
keys used by any Windows program: (<Ctrl-C>,<Ctrl-V>).
Copying and pasting from the history window is more suitable for recalling several com-
mands at once or multiple-line commands.
To ensure that a history of your commands are saved the savedhistory() function can
be used explicitly. To have access to what you did during the last session, a history of
previously used commands can be loaded using the loadhistory() function.
R Objects
R by default, creates its objects in memory and saves them in a single file called .RData.
R objects are automatically saved in this file.
Quitting R
To quit from R either type q() in the R console or commands window or alternatively
just kill the window. You will be prompted whether you want to save your session. Most
times you will answer yes to this.
c CSIRO Australia, 2005 Course Materials and Exercises
R and the Tinn-R Editor 25
Installing and Loading R Packages
The installation and loading of R packages can be done within R by going up to the
Packages menu and clicking on Install package(s) from CRAN. A dialog box
will appear with a list of available packages to install. Select the package or packages
required and then click on OK. Figure 10 shows a list of packages from the CRAN web-
site. In this example, the CODA package is selected to be installed. Alternatively, the
install.packages() function can be used from the command line. (Note, in the latest ver-
sion of R (2.1.0), you may be prompted to select a download site.)
(a) (b)
Figure 10: List of packages available from CRAN. The CODA package is selected from
the Select dialog in Figure (a). Progress of the installation is summarised in the R console
in Figure (b) and downloaded files are deleted.
Once installed, these packages can be loaded into R. Go to the Packages menu and select
Load package. Select the package that is required and click on OK. These packages
should be loaded into your current R session. Alternatively, the functions library()
or require() can be used to load installed packages into R. The require() function is
generally used inside functions as it provides a warning rather than an error (a feature of
the library() function) when a package does not exist.
Updating R packages can be achieved either through the menu or by using the function
update.packages() at the command line. If packages cannot be downloaded directly,
the package should be saved as a zip file locally on your computer and then installed
using the install.packages() function or using the options from the menu.
c CSIRO Australia, 2005 Course Materials and Exercises
26 R and the Tinn-R Editor
Customisation
Changes to the R console can be made through the Edit menu under GUI preferences.
The dialog box shown in Figure 11 highlights the options available for changing how R
looks and feels.
Figure 11: GUI preferences for changing the look and feel of the R console.
If global actions are required, actions that need to be taken every time R is used on a par-
ticular machine may be set in a file R Home/etc/Rprofile.site. Actions that happen
automatically every time this working folder is used can be set by defining a .First
function. For example,
> .First <- function() {
require(MASS)
require(lattice)
options(length=99999)
loadhistory()
}
c CSIRO Australia, 2005 Course Materials and Exercises
R and the Tinn-R Editor 27
To implement any actions at the end of a session in this working folder a .Last function
may be set up. For example,
.Last <- function()
savehistory("My.Rhistory")
The Rprofile.site file: An Example
An example of actions that you may want executed every time an R session begins is
shown in the following script:
# When quitting using q(), save automatically without prompting
q <- function(save="yes",status = 0, runLast = TRUE)
.Internal(quit(save, status, runLast))
# Things you might want to change
# options(width = 80,papersize = "a4",editor = "notepad")
# options(pager = "internal")
# to prefer Compiled HTML help
# options(chmhelp = TRUE)
# to prefer HTML help
# options(html = TRUE)
# to prefer Windows help
# options(winhelp = TRUE)
# Allows update.packages (for example) to proceed directly without
# prompting for the CRAN site.
options(show.signif.stars = FALSE,length = 999999)
c CSIRO Australia, 2005 Course Materials and Exercises
28 R and the Tinn-R Editor
options("CRAN = http://cran.au.r-project.org/")
options(repos = c(CRAN = getOption("CRAN"),
CRANextra = "http://www.stats.ox.ac.uk/pub/RWin"))
# Put working directory in the top border of the R console window
utils:::setWindowTitle(paste("-",getwd()))
What Editor can I use with R
Tinn-R is a free editor (distributed under the GNU Public License) that runs under Win-
dows (9X/Me/2000/XP). Tinn stands for Tinn is Not Notepad and unlike notepad it allows
syntax highlighting of R (in *.R, *.r, *.Q or *.q files). When an R session is open, Tinn-R
includes an additional menu and toolbar and it allows the user to interact with R by sub-
mitting code in whole or in part.
The software is available from: http://www.sciviews.org/Tinn-R/
The Tinn-R Editor: A Demonstration
The Tinn-R editor provides editing capabilities superior to that of the Windows notepad
editor. A sample session is shown in Figure 12. The File, Edit, Search, View, Window
and Help menus are standard for most Windows applications. However, Tinn-R offers a
few extra features that make editing R scripts easier.
• The Format menu item helps with formatting and editing a file. In particular, it
helps with bracket matching, a useful feature when writing programs.
• The Project menu allows you to set up a project containing more than one piece
of code. This can be useful if you need to separate your code into components rather
than placing each component in the one file.
• The Options menu allows you to change the look of the Tinn-R editor and how it
deals with syntax highlighting.
• The Tools menu allows you to define macros and record sessions
• The R menu is useful for interacting with an R session when one is made available.
It is useful before writing a script for the first time within Tinn-R to edit the options.
Figure 13 displays the list of application options available within the Tinn-R editor. A
c CSIRO Australia, 2005 Course Materials and Exercises
R and the Tinn-R Editor 29
Figure 12: The Tinn-R Editor
useful option to select is Active Line Highlighting. This helps when sending scripts line by
line.
Depending on the file being edited, Tinn-R offers syntax highlighting. See Figure 14 for
an example. This is useful for writing scripts in R as it highlights reserved words and
comments.
In Figure 14, a selection of the script is highlighted and then submitted to R from within
the Tinn-R editor. Text can be submitted by simple highlighting, line-by-line or by send-
ing the entire file.
Hotkeys may be set up in Tinn-R for the fast execution of commands. Figure 15 illustrates
how a hotkey can be set up for use with R. The Alt+S key has been reserved for sending
parts of highlighted scripts.
The R Language: Basic Syntax
It is important to learn some basic syntax of the R programming language before launch-
ing in to more sophisticated functions, graphics and modelling. Below is a compilation of
some of the basic features of R that will get you going and help you to understand the R
language.
R prompt
The default R prompt is the greater-than sign (>)
c CSIRO Australia, 2005 Course Materials and Exercises
30 R and the Tinn-R Editor
Figure 13: Options within Tinn-R
Figure 14: Example Tinn-R session. A selection of text is highlighted, sent to the R console
and run to produce a series of plots.
c CSIRO Australia, 2005 Course Materials and Exercises
R and the Tinn-R Editor 31
Figure 15: Setting hot keys in Tinn-R.
c CSIRO Australia, 2005 Course Materials and Exercises
32 R and the Tinn-R Editor
> 2 * 4
[1] 8
Continuation prompt
If a line is not syntactically complete, a continuation prompt (+) appears
> 2 *
+ 4
[1] 8
Assignment Operator
The assignment operator is the left arrow (< −) and assigns the value of the object on the
right to the object on the left
> value <- 2 * 4
The contents of the object value can be viewed by typing value at the R prompt
> value
[1] 8
Last Expression
If you have forgotten to save your last expression, this can be retrieved through an inter-
nal object .Last.value
> 2 * 4
[1] 8
> value <- .Last.value
> value
[1] 8
Removing Objects
The functions rm() or remove() are used to remove objects from the working directory
> rm(value)
> value
Error: Object ’value’ not found
Legal R Names
Names for R objects can be any combination of letters, numbers and periods (.) but they
must not start with a number. R is also case sensitive so
c CSIRO Australia, 2005 Course Materials and Exercises
R and the Tinn-R Editor 33
> value
[1] 8
is different from
> Value
Error: Object ’Value’ not found
Finding Objects
R looks for objects in a sequence of places known as the search path. The search path
is a sequence of environments beginning with the Global Environment. You can inspect it
at any time (and you should) by the search() function (or from the Misc menu). The
attach() function allows copies of objects to be placed on the search path as individual
components. The detach() function removes items from the search path.
Looking at the Search Path: An Example
> attach(Cars93)
> search()
[1] ".GlobalEnv" "Cars93" "package:methods"
[4] "package:graphics" "package:utils" "package:RODBC"
[7] "package:stats" "package:MASS" "Autoloads"
[10] "package:base"
> objects(2)
[1] "AirBags" "Cylinders" "DriveTrain"
[4] "EngineSize" "Fuel.tank.capacity" "Horsepower"
....
[19] "Price" "Rear.seat.room" "Rev.per.mile"
[22] "RPM" "Turn.circle" "Type"
[25] "Weight" "Wheelbase" "Width"
> names(Cars93)
[1] "Manufacturer" "Model" "Type"
[4] "Min.Price" "Price" "Max.Price"
[7] "MPG.city" "MPG.highway" "AirBags"
....
c CSIRO Australia, 2005 Course Materials and Exercises
34 R and the Tinn-R Editor
[22] "Turn.circle" "Rear.seat.room" "Luggage.room"
[25] "Weight" "Origin" "Make"
> find(Cars93)
[1] "package:MASS"
Assignments to Objects
Avoid using the names of built-in functions as object names. If you mistakenly assign an
object or value to a built-in function and it is passed to another function you may get a
warning but not always. . . things may go wrong.
R has a number of built-in functions. Some examples include c, T, F, t. An easy way to
avoid assigning values/objects to built-in functions is to check the contents of the object
you wish to use. This also stops you from overwriting the contents of a previously saved
object.
> Value
# Object with no Error: Object "Value" not found
# value assigned
> value # Object with a
[1] 8 # a value assigned
> T # Built in R Value
[1] TRUE
> t # Built in R
function (x) # function
UseMethod("t")
<environment: namespace:base>
Spaces
R will ignore extra spaces between object names and operators
> value <- 2 * 4
[1] 8
c CSIRO Australia, 2005 Course Materials and Exercises
R and the Tinn-R Editor 35
Spaces cannot be placed between the < and − in the assignment operator
> value < -2 * 4
[1] FALSE
Be careful when placing spaces in character strings
> value <- "Hello World"
is different to
> value <- ’Hello World’
Getting Help
To get help in R on a specific function or an object or alternatively an operator, one of the
following commands can be issued:
> ?function
> help(function)
or click on the Help menu within R.
To get help on a specific topic, either one of the following will suffice
> help.search("topic")
or click on the Help menu within R
The R Language: Data Types
There are four atomic data types in R.
• Numeric
> value <- 605
> value
[1] 605
• Character
> string <- "Hello World"
> string
[1] "Hello World"
c CSIRO Australia, 2005 Course Materials and Exercises
36 R and the Tinn-R Editor
• Logical
> 2 < 4
[1] TRUE
• Complex number
> cn <- 2 + 3i
> cn
[1] 2+3i
The attribute of an object becomes important when manipulating objects. All objects have
two attributes, the mode and their length.
The R function mode can be used to determine the mode of each object, while the function
length will help to determine each object’s length.
> mode(value)
[1] "numeric"
> length(value)
[1] 1
> mode(string)
[1] "character"
> length(string)
[1] 1
> mode(2<4)
[1] "logical"
> mode(cn)
[1] "complex"
> length(cn)
[1] 1
c CSIRO Australia, 2005 Course Materials and Exercises
R and the Tinn-R Editor 37
> mode(sin)
[1] "function"
NULL objects are empty objects with no assigned mode. They have a length of zero.
> names(value)
[1] NULL
The R Language: Missing, Indefinite and Infinite Values
In many practical examples, some of the data elements will not be known and will there-
fore be assigned a missing value. The code for missing values in R is NA. This indicates
that the value or element of the object is unknown. Any operation on an NA results in an
NA.
The is.na() function can be used to check for missing values in an object.
> value <- c(3,6,23,NA)
> is.na(value)
[1] FALSE FALSE FALSE TRUE
> any(is.na(value))
[1] TRUE
> na.omit(value)
[1] 3 6 23
> attr(,"na.action")
[1] 4
> attr(,"class")
[1] "omit"
Indefinite and Infinite values (Inf, -Inf and NaN) can also be tested using the is.finite,
is.infinite, is.nan and is.number functions in a similar way as shown above.
c CSIRO Australia, 2005 Course Materials and Exercises
38 R and the Tinn-R Editor
These values come about usually from a division by zero or taking the log of zero.
> value1 <- 5/0
> value2 <- log(0)
> value3 <- 0/0
> cat("value1 = ",value1," value2 = ",value2,
" value3 = ",value3,"n")
value1 = Inf value2 = -Inf value3 = NaN
Arithmetic and Logical Operators
The last few sections used a variety of arithmetic and logical operators to evaluate expres-
sions. A list of arithmetic and logical operators are shown in Tables 1 and 2 respectively.
Table 1: Arithmetic Operators
Operator Description Example
+ Addition > 2+5
[1] 7
− Subtraction > 2-5
[1] -3
× Multiplication >2*5
[1] 10
/ Division > 2/5
[1] 0.4
∧ Exponentiation > 2∧ 5
[1] 32
%/% Integer Divide > 5%/%2
[1] 2
%% Modulo > 5%%2
[1] 1
Distributions and Simulation
There are a number of distributions available within R for simulating data, finding quan-
tiles, probabilities and density functions. The complete list of distributions are displayed
in Table 3. Other less common distributions, which are found in developed packages (not
included with the original distribution) are also displayed in this table.
c CSIRO Australia, 2005 Course Materials and Exercises
R and the Tinn-R Editor 39
Table 2: Logical Operators
Operator Description Example
== Equals > value1
[1] 3 6 23
> value1==23
[1] FALSE FALSE TRUE
! = Not Equals > value1 != 23
[1] TRUE TRUE FALSE
< Less Than > value1 < 6
[1] TRUE FALSE FALSE
> Greater Than > value1 > 6
[1] FALSE FALSE TRUE
<= Less Than or Equal To > value1 <= 6
[1] TRUE TRUE FALSE
>= Greater Than or Equal To > value1 >= 6
[1] FALSE FALSE TRUE
& Elementwise And > value2
[1] 1 2 3
> value1==6 & value2 <= 2
[1] FALSE TRUE FALSE
| Elementwise Or > value1==6 | value2 <= 2
[1] TRUE TRUE FALSE
&& Control And > value1[1] <- NA
> is.na(value1) && value2 == 1
[1] TRUE
| Control Or > is.na(value1) || value2 == 4
[1] TRUE
xor Elementwise Exclusive Or > xor(is.na(value1), value2 == 2)
[1] TRUE TRUE FALSE
! Logical Negation > !is.na(value1)
[1] FALSE TRUE TRUE
c CSIRO Australia, 2005 Course Materials and Exercises
40 R and the Tinn-R Editor
Table 3: Probability Distributions in R
R Function Distribution Parameters Package
beta Beta shape1,shape2 stats
binom Binomial size,prob stats
cauchy Cauchy location,scale stats
chisq (non-central) Chi-squared df,ncp stats
dirichlet Dirichlet alpha MCMCpack
exp Exponential rate stats
f F df1,df2 stats
gamma Gamma shape,rate stats
geom Geometric prob stats
gev Generalized Extreme Value xi,mu,sigma evir
gpd Generalized Pareto xi,mu,beta evir
hyper Hypergeometric m,n,k stats
invgamma Inverse Gamma shape,rate MCMCpack
iwish Inverse Wishart v,S MCMCpack
logis Logistic location,scale stats
lnorm Log Normal meanlog,sdlog stats
multinom Multinomial size,prob stats
mvnorm Multivariate Normal mean,sigma mvtnorm
mvt Multivariate-t sigma,df mvtnorm
nbinom Negative Binomial size,prob stats
norm Normal mean,sd stats
pois Poisson lambda stats
signrank Wilcoxon Signed Rank Statistic n stats
t Student-t df stats
unif Uniform min,max stats
weibull Weibull shape,scale stats
wilcox Wilcoxon Rank Sum Statistic m,n stats
wish Wishart v,S MCMCpack
c CSIRO Australia, 2005 Course Materials and Exercises
R and the Tinn-R Editor 41
In R, each distribution has a name prefixed by a letter indicating whether a probability,
quantile, density function or random value is required. The prefixes available are shown
in more detail below:
• p: probabilities (distribution functions)
• q: quantiles (percentage points)
• d: density functions (probability for discrete RVs)
• r: random (or simulated) values
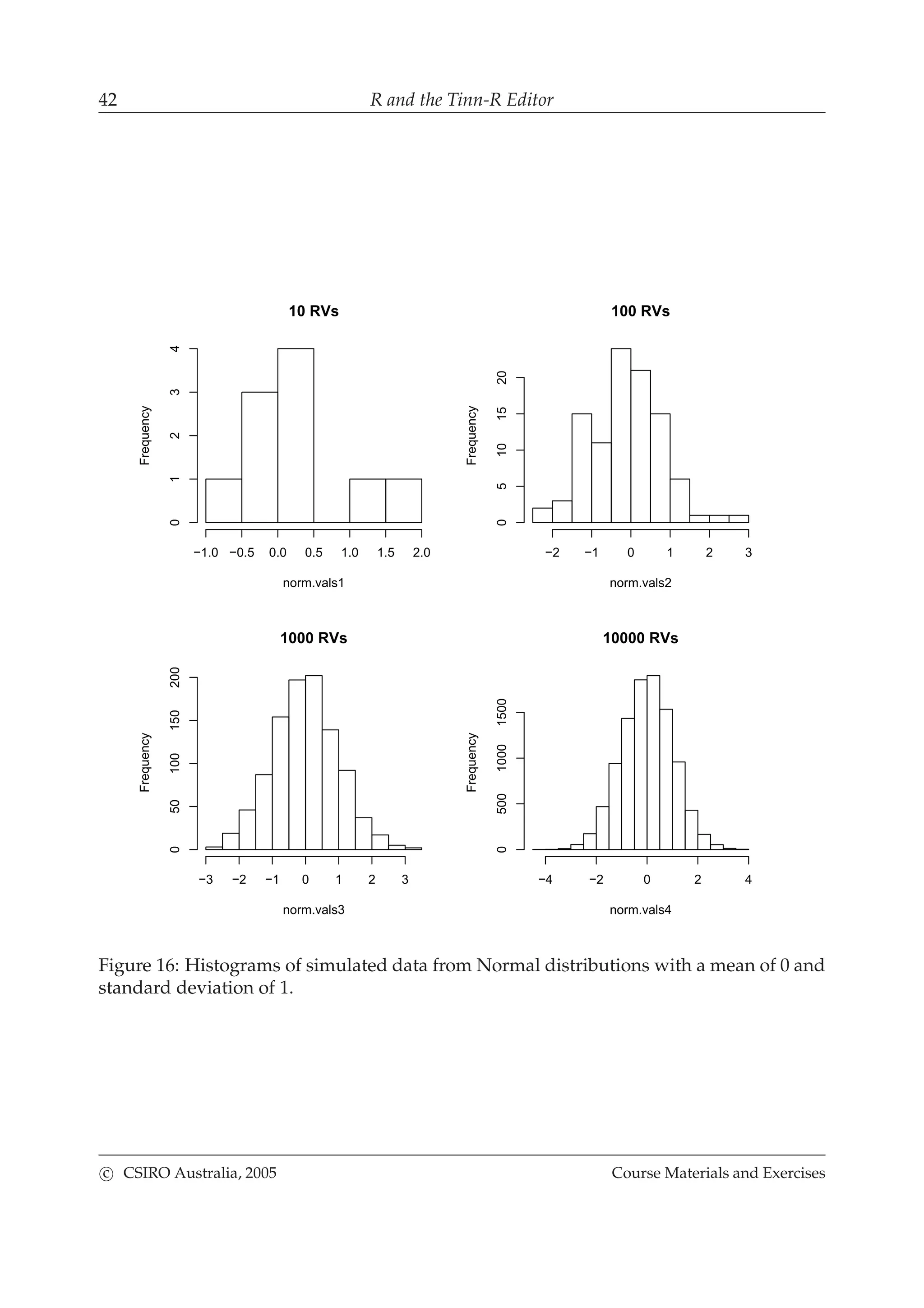
The following example illustrates how we can simulate data from a Normal distribution
using the rnorm function.
> norm.vals1 <- rnorm(n=10)
> norm.vals2 <- rnorm(n=100)
> norm.vals3 <- rnorm(n=1000)
> norm.vals4 <- rnorm(n=10000)
The first object, norm.vals1 generates 10 random values from a Normal distribution
with a default mean of 0 and default standard deviation of 1. If values were required
from a Normal distribution with a different mean and/or standard deviation then these
arguments would need to be explicitly specified. The second, third and fourth objects
generate random values from the same distribution with the same mean and standard
deviations but with varying sample sizes.
The result of the simulated data is shown graphically in Figure 16 using the following R
code:
# set up plotting region
> par(mfrow=c(2,2))
# produce plots
> hist(norm.vals1,main="10 RVs")
> hist(norm.vals2,main="100 RVs")
> hist(norm.vals3,main="1000 RVs")
> hist(norm.vals4,main="10000 RVs")
As the sample sizes increase the shape of the distribution looks more like a Normal distri-
bution. It is difficult to tell if the object norm.vals1 has been generated from a Normal
distribution with a mean of zero and a standard deviation of zero. This can be confirmed
by looking at summary statistics from this object as the mean and standard deviation are
not close to 0 or 1 respectively.
c CSIRO Australia, 2005 Course Materials and Exercises
42 R and the Tinn-R Editor
10 RVs
norm.vals1
Frequency
−1.0 −0.5 0.0 0.5 1.0 1.5 2.0
01234
100 RVs
norm.vals2
Frequency
−2 −1 0 1 2 3
05101520
1000 RVs
norm.vals3
Frequency
−3 −2 −1 0 1 2 3
050100150200
10000 RVs
norm.vals4
Frequency
−4 −2 0 2 4
050010001500
Figure 16: Histograms of simulated data from Normal distributions with a mean of 0 and
standard deviation of 1.
c CSIRO Australia, 2005 Course Materials and Exercises
R and the Tinn-R Editor 43
> c(mean(norm.vals1),sd(norm.vals1))
[1] 0.2461831 0.7978427
The interpretation of the Central Limit theorem is appropriate here for this example. The
theorem states that as the sample size n taken from a population with a mean µ and vari-
ance σ2
approaches infinity, then the statistics from the sampled distribution will converge
to the theoretical distribution of interest.
To illustrate this, if we calculate the mean and standard deviation of norm.vals4, the
object where we generated 10,000 random values from a N(0, 1) distribution, we find that
the summary statistics are close to the actual values.
> c(mean(norm.vals4),sd(norm.vals4))
[1] 0.004500385 1.013574485
For larger simulations, these are closer again,
> norm.vals5 <- rnorm(n=1000000)
> c(mean(norm.vals5),sd(norm.vals5))
[1] 0.0004690608 0.9994011738
We can also overlay a density on top of a histogram summarising the data. This can be
useful to display the features in the histogram and to identify intersection points where
components in the mixture distribution meet. We illustrate this through the generation
of a mixture of two Normal distributions using the following piece of R code. Figure 17
displays the two-component mixture with the density overlayed.
# Generating a two component mixture
> compMix <- ifelse(runif(5000) < 0.25,rnorm(5000,3,0.5),rnorm(5000))
# Plotting
> hist(comp,freq=F)
> lines(density(comp,bw=0.4),col="red")
R can also be used to evaluate probabilities or quantiles from distributions. This is a useful
mechanism for determining p-values instead of searching through statistical tables and
they can be easily achieved using the p(dist) and q(dist) functions. Some examples are
shown below.
# 2-tailed p-value for Normal distribution
> 1-pnorm(1.96)
[1] 0.0249979
c CSIRO Australia, 2005 Course Materials and Exercises
44 R and the Tinn-R Editor
Histogram of compMix
compMix
Density
−4 −2 0 2 4
0.000.050.100.150.200.250.30
Figure 17: Histograms of two-component mixture model generated from Normal distrib-
utions. The density is overlayed in red.
> qnorm(0.975) # quantile
[1] 1.959964
# 2-tailed p-value for t distribution
> 2*pt(-2.43,df=13)
[1] 0.0303309
> qt(0.025,df=13)
[1] -2.160369 # quantile
#p-value from a chi-squared distribution with 1 degree of freedom
> 1-pchisq(5.1,1)
[1] 0.02392584
> qchisq(0.975,1)
[1] 5.023886 # quantile
c CSIRO Australia, 2005 Course Materials and Exercises
R Objects 45
R Objects
Data Objects in R
The four most frequently used types of data objects in R are vectors, matrices, data frames
and lists.
A vector represents a set of elements of the same mode whether they are logical, numeric
(integer or double), complex, character or lists.
A matrix is a set of elements appearing in rows and columns where the elements are of the
same mode whether they are logical, numeric (integer or double), complex or character.
A data frame is similar to a matrix object but the columns can be of different modes.
A list is a generalisation of a vector and represents a collection of data objects.
Creating Vectors
c Function
The simplest way to create a vector is through the concatenation function, c. This function
binds elements together, whether they are of character form, numeric or logical. Some
examples of the use of the concatenation operator are shown in the following script.
> value.num <- c(3,4,2,6,20)
> value.char <- c("koala","kangaroo","echidna")
> value.logical.1 <- c(F,F,T,T)
# or
> value.logical.2 <- c(FALSE,FALSE,TRUE,TRUE)
The latter two examples require some explanation. For logical vectors, TRUE and FALSE
are logical values and T and F are variables with those values. This is the opposite for
S-PLUS. Although they have a different structure, logical vectors can be created using
either value.
rep and seq Functions
The rep function replicates elements of vectors. For example,
> value <- rep(5,6)
> value
[1] 5 5 5 5 5 5
c CSIRO Australia, 2005 Course Materials and Exercises
46 R Objects
replicates the number 5, six times to create a vector called value, the contents of which are
displayed.
The seq function creates a regular sequence of values to form a vector. The following
script shows some simple examples of creating vectors using this function.
> seq(from=2,to=10,by=2)
[1] 2 4 6 8 10
> seq(from=2,to=10,length=5)
[1] 2 4 6 8 10
> 1:5
[1] 1 2 3 4 5
> seq(along=value)
[1] 1 2 3 4 5 6
c, rep and seq Functions
As well as using each of these functions individually to create a vector, the functions can
be used in combination. For example,
> value <- c(1,3,4,rep(3,4),seq(from=1,to=6,by=2))
> value
[1] 1 3 4 3 3 3 3 1 3 5
uses the rep and seq functions inside the concatenation function to create the vector
value.
It is important to remember that elements of a vector are expected to be of the same mode.
So an expression
> c(1:3,"a","b","c")
will produce an error message.
scan Function
The scan function is used to enter in data at the terminal. This is useful for small datasets
but tiresome for entering in large datasets. A more comprehensive summary of how
data is read from files will be discussed in the session on ’importing and exporting’. An
example of reading data in from the terminal is shown below.
> value <- scan()
1: 3 4 2 6 20
c CSIRO Australia, 2005 Course Materials and Exercises
R Objects 47
6:
> value
[1] 3 4 2 6 20
Basic Computation with Numerical Vectors
Computation with vectors is achieved using an element-by-element operation. This is
useful when writing code because it avoids ’for loops’. However, care must be taken
when doing arithmetic with vectors, especially when one vector is shorter than another.
In the latter circumstance, short vectors are recycled. This could lead to problems if ’recy-
cling’ was not meant to happen. An example is shown below.
> x <- runif(10)
> x
[1] 0.3565455 0.8021543 0.6338499 0.9511269
[5] 0.9741948 0.1371202 0.2457823 0.7773790
[9] 0.2524180 0.5636271
> y < 2*x + 1 # recycling short vectors
> y
[1] 1.713091 2.604309 2.267700 2.902254 2.948390
[6] 1.274240 1.491565 2.554758 1.504836 2.127254
Some functions take vectors of values and produce results of the same length. Table 4 lists
a number of functions that behave this way.
Other functions return a single value when applied to a vector. Some of these functions
are summarised in Table 5.
The following script makes use of some of this functionality.
> z <- (x-mean(x))/sd(x) # see also ’scale’
> z
[1] -0.69326707 0.75794573 0.20982940 1.24310440
[5] 1.31822981 -1.40786896 -1.05398941 0.67726018
[9] -1.03237897 -0.01886511
> mean(z)
[1] -1.488393e-16
> sd(z)
c CSIRO Australia, 2005 Course Materials and Exercises
48 R Objects
Table 4: Functions that produce results of the same length.
Function Description
cos, sin, tan Cosine, Sine, Tangent
acos, asin, atan Inverse functions
cosh, sinh, tanh Hyperbolic functions
acosh, asinh, atanh Inverse hyperbolic functions
log Logarithm (any base, default is natural logarithm)
log10 Logarithm (base 10)
exp Exponential (e raised to a power)
round Rounding
abs Absolute value
ceiling, floor, trunc Truncating to integer values
gamma Gamma function
lgamma Log of gamma function
sqrt Square root
Table 5: Functions that produce a single result.
Function Description
sum Sum elements of a vector
mean arithmetic mean
max, min Maximum and minimum
prod Product of elements of a vector
sd standard deviation
var variance
median 50th percentile
c CSIRO Australia, 2005 Course Materials and Exercises
R Objects 49
[1] 1
Laboratory Exercise: Try the first three examples from Lab 2
Creating Matrices
dim and matrix functions
The dim function can be used to convert a vector to a matrix
> value <- rnorm(6)
> dim(value) <- c(2,3)
> value
[,1] [,2] [,3]
[1,] 0.7093460 -0.8643547 -0.1093764
[2,] -0.3461981 -1.7348805 1.8176161
This piece of script will fill the columns of the matrix. To convert back to a vector we
simply use the dim function again.
> dim(value) <- NULL
Alternatively we can use the matrix function to convert a vector to a matrix
> matrix(value,2,3)
[,1] [,2] [,3]
[1,] 0.7093460 -0.8643547 -0.1093764
[2,] -0.3461981 -1.7348805 1.8176161
If we want to fill by rows instead then we can use the following script
> matrix(value,2,3,byrow=T)
[,1] [,2] [,3]
[1,] 0.709346 -0.3461981 -0.8643547
[2,] -1.734881 -0.1093764 1.8176161
rbind and cbind Functions
To bind a row onto an already existing matrix, the rbind function can be used
c CSIRO Australia, 2005 Course Materials and Exercises
50 R Objects
> value <- matrix(rnorm(6),2,3,byrow=T)
> value2 <- rbind(value,c(1,1,2))
> value2
[,1] [,2] [,3]
[1,] 0.5037181 0.2142138 0.3245778
[2,] -0.3206511 -0.4632307 0.2654400
[3,] 1.0000000 1.0000000 2.0000000
To bind a column onto an already existing matrix, the cbind function can be used
> value3 <- cbind(value2,c(1,1,2))
[,1] [,2] [,3] [,4]
[1,] 0.5037181 0.2142138 0.3245778 1
[2,] -0.3206511 -0.4632307 0.2654400 1
[3,] 1.0000000 1.0000000 2.0000000 2
data.frame Function
The function data.frame converts a matrix or collection of vectors into a data frame
> value3 <- data.frame(value3)
> value3
X1 X2 X3 X4
1 0.5037181 0.2142138 0.3245778 1
2 -0.3206511 -0.4632307 0.2654400 1
3 1.0000000 1.0000000 2.0000000 2
Another example joins two columns of data together.
> value4 <- data.frame(rnorm(3),runif(3))
> value4
rnorm.3. runif.3.
1 -0.6786953 0.8105632
2 -1.4916136 0.6675202
3 0.4686428 0.6593426
c CSIRO Australia, 2005 Course Materials and Exercises
R Objects 51
Row and column names are already assigned to a data frame but they may be changed
using the names and row.names functions. To view the row and column names of a
data frame:
> names(value3)
[1] "X1" "X2" "X3" "X4"
> row.names(value3)
[1] "1" "2" "3"
Alternative labels can be assigned by doing the following
> names(value3) <- c("C1","C2","C3","C4")
> row.names(value3) <- c("R1","R2","R3")
Names can also be specified within the data.frame function itself.
> data.frame(C1=rnorm(3),C2=runif(3),row.names=c("R1","R2","R3")
C1 C2
R1 -0.2177390 0.8652764
R2 0.4142899 0.2224165
R3 1.8229383 0.5382999
Manipulating Data: An Example
The iris dataset (iris3) is a three dimensional dataset described in Appendix I. One
dimension is represented for each species: Setosa, Versicolor and Virginica. Each species
has the sepal lengths and widths, and petal lengths and widths recorded.
To make this dataset more manageable, we can convert the three-dimensional array into
a d-dimensional data frame.
To begin with, we examine the names of the three-dimensional array.
> dimnames(iris3)
[[1]]
NULL
[[2]]
c CSIRO Australia, 2005 Course Materials and Exercises
52 R Objects
[1] "Sepal L." "Sepal W." "Petal L." "Petal W."
[[3]]
[1] "Setosa" "Versicolor" "Virginica"
We see that the first dimension has not been given any names. This dimension corre-
sponds to the row names of the dataset for each species. The second dimension cor-
responds to the explanatory variables collected for each species. The third dimension
corresponds to the species.
Before coercing this three dimensional array into a two dimensional data frame, we first
store the species name into a vector.
> Snames <- dimnames(iris3)[[3]]
We now convert the three dimensional array into a 150× 3 matrix and coerce the matrix
into a data frame.
> iris.df <- rbind(iris3[,,1],iris3[,,2],iris3[,,3])
> iris.df <- as.data.frame(iris.df)
Now we check the column names of the data frame.
> names(iris.df)
[1] "Sepal L." "Sepal W." "Petal L." "Petal W."
Using the Snames vector, we create a species factor and bind it to the columns of iris.df.
> iris.df$Species <- factor(rep(Snames,rep(50,3)))
To check that we have created the data frame correctly, we print out the first five rows of
the data frame.
> iris.df[1:5,]
Sepal L. Sepal W. Petal L. Petal W. Species
1 5.1 3.5 1.4 0.2 Setosa
2 4.9 3.0 1.4 0.2 Setosa
3 4.7 3.2 1.3 0.2 Setosa
4 4.6 3.1 1.5 0.2 Setosa
5 5.0 3.6 1.4 0.2 Setosa
c CSIRO Australia, 2005 Course Materials and Exercises
R Objects 53
A pairwise plot of the data (Figure 18) can be produced using the pairs function in the
following way.
> pairs(iris.df[1:4],main = "Anderson’s Iris Data",
pch = 21,bg = c("red","green3","blue")[unclass(iris$Species)])
Sepal L.
2.0 2.5 3.0 3.5 4.0 0.5 1.0 1.5 2.0 2.5
4.55.56.57.5
2.02.53.03.54.0
Sepal W.
Petal L.
1234567
4.5 5.5 6.5 7.5
0.51.01.52.02.5
1 2 3 4 5 6 7
Petal W.
Anderson’s Iris Data
Figure 18: Pairwise plot of the iris data frame
Accessing Elements of a Vector or Matrix
Accessing elements is achieved through a process called indexing. Indexing may be done
by
• a vector of positive integers: to indicate inclusion
c CSIRO Australia, 2005 Course Materials and Exercises
54 R Objects
• a vector of negative integers: to indicate exclusion
• a vector of logical values: to indicate which are in and which are out
• a vector of names: if the object has a names attribute
For the latter, if a zero index occurs on the right, no element is selected. If a zero index
occurs on the left, no assignment is made. An empty index position stands for the lot!
Indexing Vectors
The first example involves producing a random sample of values between one and five,
twenty times and determining which elements are equal to 1.
> x <- sample(1:5, 20, rep=T)
> x
[1] 3 4 1 1 2 1 4 2 1 1 5 3 1 1 1 2 4 5 5 3
> x == 1
[1] FALSE FALSE TRUE TRUE FALSE TRUE FALSE FALSE TRUE
[10] TRUE FALSE FALSE TRUE TRUE TRUE FALSE FALSE FALSE
[19] FALSE FALSE
> ones <- (x == 1) # parentheses unnecessary
We now want to replace the ones appearing in the sample with zeros and store the values
greater than 1 into an object called y.
> x[ones] <- 0
> x
[1] 3 4 0 0 2 0 4 2 0 0 5 3 0 0 0 2 4 5 5 3
> others <- (x > 1) # parentheses unnecessary
> y <- x[others]
> y
[1] 3 4 2 4 2 5 3 2 4 5 5 3
The following command queries the x vector and reports the position of each element
that is greater than 1.
> which(x > 1)
[1] 1 2 5 7 8 11 12 16 17 18 19 20
Indexing Data Frames
c CSIRO Australia, 2005 Course Materials and Exercises
R Objects 55
Data frames can be indexed by either row or column using a specific name (that corre-
sponds to either the row or column) or a number. Some examples of indexing are shown
below.
Indexing by column:
> value3
C1 C2 C3 C4
R1 0.5037181 0.2142138 0.3245778 1
R2 -0.3206511 -0.4632307 0.2654400 1
R3 1.0000000 1.0000000 2.0000000 2
> value3[, "C1"] <- 0
> value3
C1 C2 C3 C4
R1 0 0.2142138 0.3245778 1
R2 0 -0.4632307 0.2654400 1
R3 0 1.0000000 2.0000000 2
Indexing by row:
> value3["R1", ] <- 0
> value3
C1 C2 C3 C4
R1 0 0.0000000 0.0000000 0
R2 0 -0.4632307 0.2654400 1
R3 0 1.0000000 2.0000000 2
> value3[] <- 1:12
> value3
C1 C2 C3 C4
R1 1 4 7 10
R2 2 5 8 11
R3 3 6 9 12
To access the first two rows of the matrix/data frame:
c CSIRO Australia, 2005 Course Materials and Exercises
56 R Objects
> value3[1:2,]
C1 C2 C3 C4
R1 1 4 7 10
R2 2 5 8 11
To access the first two columns of the matrix/data frame:
> value3[,1:2]
C1 C2
R1 1 4
R2 2 5
R3 3 6
To access elements with a value greater than five we can use some subsetting commands
and logical operators to produce the desired result.
> as.vector(value3[value3>5])
[1] 6 7 8 9 10 11 12
Lists
Creating Lists
Lists can be created using the list function. Like data frames, they can incorporate a
mixture of modes into the one list and each component can be of a different length or
size. For example, the following is an example of how we might create a list from scratch.
> L1 <- list(x = sample(1:5, 20, rep=T),
y = rep(letters[1:5], 4), z = rpois(20, 1))
> L1
$x
[1] 2 1 1 4 5 3 4 5 5 3 3 3 4 3 2 3 3 2 3 1
$y
[1] "a" "b" "c" "d" "e" "a" "b" "c" "d" "e" "a" "b"
c CSIRO Australia, 2005 Course Materials and Exercises
R Objects 57
[13] "c" "d" "e" "a" "b" "c" "d" "e"
$z
[1] 1 3 0 0 3 1 3 1 0 1 2 2 0 3 1 1 0 1 2 0
There are a number of ways of accessing the first component of a list. We can either access
it through the name of that component (if names are assigned) or by using a number
corresponding to the position the component corresponds to. The former approach can
be performed using subsetting ([[]]) or alternatively, by the extraction operator ($). Here
are a few examples:
> L1[["x"]]
[1] 2 1 1 4 5 3 4 5 5 3 3 3 4 3 2 3 3 2 3 1
> L1$x
[1] 2 1 1 4 5 3 4 5 5 3 3 3 4 3 2 3 3 2 3 1
> L1[[1]]
[1] 2 1 1 4 5 3 4 5 5 3 3 3 4 3 2 3 3 2 3 1
To extract a sublist, we use single brackets. The following example extracts the first com-
ponent only.
> L1[1]
$x
[1] 2 1 1 4 5 3 4 5 5 3 3 3 4 3 2 3 3 2 3 1
Working with Lists
The length of a list is equal to the number of components in that list. So in the previous
example, the number of components in L1 equals 3. We confirm this result using the
following line of code:
> length(L1)
[1] 3
To determine the names assigned to a list, the names function can be used. Names of lists
can also be altered in a similar way to that shown for data frames.
> names(L1) <- c("Item1","Item2","Item3")
Indexing lists can be achieved in a similar way to how data frames are indexed:
c CSIRO Australia, 2005 Course Materials and Exercises
58 R Objects
> L1$Item1[L1$Item1>2]
[1] 4 3 4 5 3 3 3 5 3 3 5
Joining two lists can be achieved either using the concatenation function or the append
function. The following two scripts show how to join two lists together using both func-
tions.
Concatenation function:
> L2 <- list(x=c(1,5,6,7),
y=c("apple","orange","melon","grapes"))
> c(L1,L2)
$Item1
[1] 2 4 3 4 1 5 3 1 1 2 3 3 5 2 1 3 2 3 5 1
$Item2
[1] "a" "b" "c" "d" "e" "a" "b" "c" "d" "e" "a" "b"
[13]"c" "d" "e" "a" "b" "c" "d" "e"
$Item3
[1] 0 0 2 1 1 0 2 0 0 1 1 1 0 0 1 1 1 3 0 2
$x
[1] 1 5 6 7
$y
[1] "apple" "orange" "melon" "grapes"
Append Function:
> append(L1,L2,after=2)
$Item1
[1] 2 4 3 4 1 5 3 1 1 2 3 3 5 2 1 3 2 3 5 1
$Item2
[1] "a" "b" "c" "d" "e" "a" "b" "c" "d" "e" "a"
[12]"b" "c" "d" "e" "a" "b" "c" "d" "e"
$x
[1] 1 5 6 7
c CSIRO Australia, 2005 Course Materials and Exercises
R Objects 59
$y
[1] "apple" "orange" "melon" "grapes"
$Item3
[1] 0 0 2 1 1 0 2 0 0 1 1 1 0 0 1 1 1 3 0 2
Adding elements to a list can be achieved by
• adding a new component name:
> L1$Item4 <- c("apple","orange","melon","grapes")
# alternative way
> L1[["Item4"]] <- c("apple","orange","melon","grapes")
• adding a new component element, whose index is greater than the length of the list
L1[[4]] <- c("apple","orange","melon","grapes")
> names(L1)[4] <- c("Item4")
There are also many functions within R that produce a list as output. Examples of these
functions include spline(), density() and locator().
Example: Cars93 Dataset
The Cars93 dataset was used in Session 1 to illustrate some modelling and graphical fea-
tures of R. We use this dataset again to demonstrate the use of lists.
The script that appears below produces a density plot of vehicle weight using splines of
different bin widths. The bin widths used are 500 and 1000 respectively and they change
the level of smoothness assigned to each density.
The spline function returns a list of densities (y) corresponding to bin values (x). These
can be passed to the plot routine to produce a line graph of the density.
A rug plot is produced beneath the graph to indicate actual data values. A legend de-
scribing the two lines on the plot is produced for clarity.
Figure 19 displays the density plot produced from the script below. (Note, this plot does
not reflect the mono family option that appears in the slides.)
> attach(Cars93)
> windows()
> par(family="mono")
c CSIRO Australia, 2005 Course Materials and Exercises
60 R Objects
> dw5 <- spline(density(Weight, width=500)) # list
> dw10 <- spline(density(Weight,width=1000)) # list
> rx <- range(dw5$x,dw10$x)
> ry <- range(dw5$y,dw10$y)
> par(mar=c(5,5,2,2)+0.1) -> oldpar
> plot(dw5,type="n",xlim=rx,ylim=ry,cex=1.5,
xlab="Weight",ylab="Density")
> lines(dw5,lty=1,col="blue")
> lines(dw10,lty=2,col="red")
> pu <- par("usr")[3:4] # actual y limits
> segments(Weight,pu[1],Weight,0,col="green")
> legend(locator(1),c("500kg window",
"1000kg window"),lty=1:2)
> detach("Cars93")
1000 2000 3000 4000 5000
0e+001e−042e−043e−044e−045e−046e−04
Weight
Density
500kg window
1000kg window
Figure 19: Density plot of vehicle weight from the Cars93 dataset.
c CSIRO Australia, 2005 Course Materials and Exercises
Graphics: An Introduction 61
Graphics: An Introduction
Anatomy of a Plot
High level plotting commands generate figures.
A figure consists of a plot region surrounded by margins:
Figure 20: Anatomy of a Figure
The size of the margins is controlled by the argument mai. The value of mai is a vector
c(bottom,left,top,right) of length 4 whose values are the widths, in inches, of the
corresponding margin sides.
A typical call to par() to set the margins might be
par(mai=c(5,5,8,5)/10)
which allows 0.8in at the top and 0.5in on all other sides.
Figure Margins
Axes, axis labels and titles all appear in the margins of the figure.
Each margin is considered to have a number of text lines (not necessarily a whole number):
• Lines specified at 0 correspond to the edge of a plotted region (where the axis lines
are drawn).
• Higher line numbers are further away from the plot.
The graphical parameter mar defines how many lines appear in each of the four margins.
So mar is an alternative way of defining margins.
c CSIRO Australia, 2005 Course Materials and Exercises
62 Graphics: An Introduction
For any open graphics device there is a standard font which will be used for any characters
if no other font is specified (font).
The standard font determines the width of the text lines in the margins.
If the font is expanded or contracted (cex) before mar is set, the text line width changes
accordingly.
The axis() function draws an axis on the current plot. The side argument determines
on which side it is to appear. Axes normally get drawn at line 0 but this may be changed
with the line argument, or even inside the plot with the pos argument. If you wish to
be specific about the positions of tick marks, use the at argument.
Margin Text
Axis labels can be created using the xlab and ylab graphics parameters when passed to
functions such as plot(). To add such labels after the plot has been created, the title()
function may be used.
An alternative approach to adding margin text is through the mtext() function:
> mtext("Label text",side=1,line=2)
The above piece of code will add text just below the x-axis. Using side=3 is an alternative
method for adding a plot title. Text is centred on the axis by default, but the at argument
to mtext() can be used for more specific positioning.
Axes and tickmarks
The axis() function and others such as plot() or tsplot() use the following graph-
ical parameters to allow control of the style of the axes:
• axes: should axes be drawn? (TRUE/FALSE)
• bty: controls the type of box which is drawn around plots
– bty="o": box drawn around plot (default)
– bty="l": L shaped axes drawn
– bty="7": part axes drawn on the left side and bottom of the plot. Lines drawn
to the top and right side of the plot
– bty="c": C shaped axes drawn
– bty="u": U shaped axes drawn
– bty="]": ] shaped axes drawn with part axis drawn on the left side of the plot
– bty="n": No box is drawn around plot
• lab=c(nx,ny,len): modifies the way that axes are annotated. Defines the num-
ber of x and y tick intervals and the length (in characters) of the tick labels.
c CSIRO Australia, 2005 Course Materials and Exercises
Graphics: An Introduction 63
• las: style of the axis labels
– las=0: always parallel to the axis (default)
– las=1: always horizontal
– las=2: always perpendicular to the axis
– las=3: always vertical
• tck: length of tick marks as a fraction of the plotting region. Negative values refer
to positions that fall outside the plotting region. Positive values indicate tick marks
inside the plotting region.
• xaxs/yaxs: style of the axis interval calculation
– "s" or "e": extreme than the range of the data
– "i" or "r": inside the range of the data
– "d": locks in the current axis
The Plot Region
Points within the plot region are accessed using user co-ordinates. The user co-ordinates are
defined when a high level plot is created, or may be explicitly set with the usr graphics
parameter. A setting
> par(usr=c(x.lo,x.hi,y.lo,y.hi))
means that x.lo, x.hi are the two extreme allowable plotting values in the x-direction
and similarly in the y-direction.
When a graphics device is initialised, usr defaults to c(0,1,0,1). The frame() com-
mand (which starts a new empty figure) uses the old value of usr for the new plotting
region.
Multiple Plots
There are two main ways of placing several plots on the one surface. The graphics para-
meter fig allows you to place several plots, possibly irregularly, on the one figure region.
It is also possible, and more common to have more than one figure to a page as a regular
n × m array of figures. This behaviour is controlled by the mfrow or mfcol graphics
parameter. For example
> par(mfrow=c(3,2))
will produce a plotting region with three rows and two columns.
Each high-level plotting command starts plotting on a new figure. When all figures are
exhausted, a new page is generated. The mfg graphics parameter keeps track of the row
c CSIRO Australia, 2005 Course Materials and Exercises
64 Graphics: An Introduction
and column of the current figure and the dimensions of the figure array. By setting this
parameter unusual figure arrangements can be achieved.
Other Graphics Parameters
Some other useful graphics parameters include
• ask=T: R asks before producing the graphic. This is useful if you need to view
multiple plots, one at a time.
• new=T: declares the current plot is unused (even if it is not). This means that R will
not erase it before moving on to the next plot. This is useful for more fancy plots,
where you may be producing a number of plots on the one figure.
• fin: gives the width and height of the current figure in inches.
• din: a read only parameter that returns the width and height of the current device
surface in inches.
Overview of Graphics Functions
R has a variety of graphics functions. These are generally classed into
• High-level plotting functions that start a new plot
• Low-level plotting functions that add elements to an existing plot
Each function has its own set of arguments. The most common ones are
• xlim,ylim: range of variable plotted on the x and y axis respectively
• pch, col, lty: plotting character, colour and line type
• xlab, ylab: labels of x and y axis respectively
• main, sub: main title and sub-title of graph
General graphing parameters can be set using the par() function. For example, to view
the setting for line type
> par()$lty
To set the line type using the par function
> par(lty=2)
Multiple plots per page can be achieved using the mfrow or mfcol argument to par. For
example,
c CSIRO Australia, 2005 Course Materials and Exercises
Graphics: An Introduction 65
# 2x2 plotting region where plots
# appear by row
> par(mfrow=c(2,2))
# 2x2 plotting region where plots
# appear by column
> par(mfcol=c(2,2))
The make.high() function produces a number of high-level graphics ranging from
dotcharts, histograms, boxplots and barplots for one dimensional data, scatterplots for
two-dimensional data and contour, image plots and perspective mesh plots for three di-
mensional data. Figure 21 displays the results from running this function.
Laboratory Exercise
Try editing this function using the Tinn-R editor and changing some
of the input parameters to these graphical functions.
The make.low() function produces a number of low-level graphics. These include plot-
ting points, symbols, lines, segments or text on a graph, producing a box around a plot
or joining line segments to create a polygon. These types of graphics are often useful for
enhancing the feature of an existing plot. Figure 22 displays the results from running this
function.
Laboratory Exercise
Try editing this function using the Tinn-R editor and changing some
of the input parameters such as the type of symbol or plotting char-
acter to these graphical functions.
Displaying Univariate Data
Graphics for univariate data are often useful for exploring the location and distribution of
observations in a vector. Comparisons can be made across vectors to determine changes
in location or distribution. Furthermore, if the data correspond to times we can use time
series methods for displaying and exploring the data.
Graphical methods for exploring the distributional properties of a vector include
• hist (histogram)
• boxplot
c CSIRO Australia, 2005 Course Materials and Exercises
66 Graphics: An Introduction
a
b
c
d
e
f
g
h
0.0 0.2 0.4 0.6 0.8
dotchart hist
y
Frequency
−2 0 2 4 6
05101520
1 2 3 4 5
barplot
05101520
Grp 1 Grp 3 Grp 5
−112345
boxplot
0.0 0.2 0.4 0.6 0.8 1.0
−112345
plot
x
y
−2 −1 0 1 2
−112345
qqnorm
Theoretical Quantiles
SampleQuantiles
contour
0 200 400 600 800
0200400600
200 400 600 800
100300500
image
x
y
persp
Figure 21: Examples of high level plotting functions
c CSIRO Australia, 2005 Course Materials and Exercises
Graphics: An Introduction 67
0.0 0.2 0.4 0.6 0.8
012345
points
x
y
0.0 0.2 0.4 0.6 0.8 1.0
−1123456
symbols
x
y
0.0 0.2 0.4 0.6 0.8
012345
abline
x
y
2 4 6 8 10
246810
arrows
1:11
1:11
box
0.0 0.2 0.4 0.6 0.8
012345
lines
x
y
2 4 6 8 10
246810
segments
1:11
1:11
0.0 0.2 0.4 0.6 0.8
012345
text
x
y
1
2
3
4
5
6
7
8
9
10
11
12
13
14
15
1617
18
19
20
0.0 0.2 0.4 0.6 0.8
012345
polygon
x
y
Figure 22: Examples of high level plotting functions
c CSIRO Australia, 2005 Course Materials and Exercises
68 Graphics: An Introduction
• density
• qqnorm (Normal quantile plot) and
• qqline
The Cars93 dataset will be used to illustrate some of these plots. The following script
sets up a 2×2 plotting region and produces a histogram, boxplot, density plot and Normal
scores plot of the MPG.highway vector.
> attach(Cars93)
> par(mfrow=c(2,2))
# Histogram
> hist(MPG.highway,xlab="Miles per US Gallon",
main="Histogram")
# Boxplot
> boxplot(MPG.highway,main="Boxplot")
# Density
> plot(density(MPG.highway),type="l",
xlab="Miles per US Gallon",main="Density")
# Q-Q Plot
> qqnorm(MPG.highway,main="Normal Q-Qplot")
> qqline(MPG.highway)
The resulting plot is shown in Figure 23 and shows a distribution that is skewed heavily
towards the right. This is visible in all four plots and it is particularly highlighted in the
Normal scores plot shown in the bottom right hand corner by a set of points that deviate
significantly from the line.
To make this variable more normal we could consider using a transformation, say logs,
of the data:
> log(MPG.highway)
If we reproduce these plots on the newly transformed dataset we see that the distribu-
tions look a little better but there is still some departure from Normality present. (See
Figure 24.)
Histograms
Histograms are a useful graphic for displaying univariate data. They break up data into
cells and display each cell as a bar or rectangle, where the height is proportional to the
c CSIRO Australia, 2005 Course Materials and Exercises
Graphics: An Introduction 69
Histogram
Miles per US Gallon
Frequency
20 25 30 35 40 45 50
010203040
20253035404550
Boxplot
20 30 40 50
0.000.020.040.060.08
Density
Miles per US Gallon
Density
−2 −1 0 1 2
20253035404550
Normal Q−Qplot
Theoretical Quantiles
SampleQuantiles
Figure 23: Distribution summaries of miles per gallon (highway)
Histogram
Miles per US Gallon
Frequency
3.0 3.2 3.4 3.6 3.8 4.0
0510152025
3.03.23.43.63.8
Boxplot
3.0 3.2 3.4 3.6 3.8 4.0
0.00.51.01.52.02.5
Density
Miles per US Gallon
Density
−2 −1 0 1 2
3.03.23.43.63.8
Normal Q−Qplot
Theoretical Quantiles
SampleQuantiles
Figure 24: Distribution summaries of miles per gallon (highway)
c CSIRO Australia, 2005 Course Materials and Exercises
70 Graphics: An Introduction
number of points falling within each cell. The number of breaks/classes can be defined
if required. The following shows example code for producing histograms. The second
histogram drawn in Figure 25 specifies break points.
> par(mfrow=c(1,2))
> hist(MPG.highway,nclass=4,main="Specifying the Number of Classes")
> hist(MPG.highway,breaks=seq(from=20,to=60,by=5),
main="Specifying the Break Points")
> par(mfrow=c(1,1))
Specifying the Number of Classes
MPG.highway
Frequency
20 25 30 35 40 45 50
0102030405060
Specifying the Break Points
MPG.highway
Frequency
20 30 40 50 60
010203040
Figure 25: Examples of histograms produced on the Cars93 data: (a) no breakpoints spec-
ified and (b) breakpoints specified
Boxplots
Boxplots summarise the data and display these summaries in a box and whisker forma-
tion. They represent useful summaries for one dimensional data.
The box represents the inter-quartile range (IQR) and shows the median (line), first (lower
edge of box) and third quartile (upper edge of box) of the distribution. Minimum and
c CSIRO Australia, 2005 Course Materials and Exercises
Graphics: An Introduction 71
maximum values are displayed by the whiskers (lines that extend from the box to the
minimum and maximum points).
If the distance between the minimum value and the first quartile exceeds 1.5 × IQR then
the whisker extends from the lower quartile to the smallest value within 1.5 × IQR. Ex-
treme points, representing those beyond this limit are indicated by points. A similar
procedure is adopted for distances between the maximum value and the third quartile.
Figure 26 shows the result from producing a boxplot in R using the boxplot function. A
summary of the data produces the following statistics:
> summary(MPG.highway}
Min. 1st Qu. Median Mean 3rd Qu. Max.
20.00 26.00 28.00 29.09 31.00 50.00
These can be visualised on the plot in Figure 26.
20253035404550
MPG.highway
Figure 26: An example boxplot produced on the Cars93 data.
Densities
Densities can be used to compute smoothed representations of the observed data. The
function density produces kernel density estimates for a given kernel and bandwidth.
By default, the Gaussian kernel is used but there is an array of other kernels available in
R. Look up the R help on density and see what options are available.
The bandwidth controls the level of smoothing. By default, this represents the standard
c CSIRO Australia, 2005 Course Materials and Exercises
72 Graphics: An Introduction
deviation of the smoothing kernel but this too, can be changed depending on your re-
quirements.
The following script produces a range of smoothed densities for the MPG.highway vari-
able in the Cars93 dataset.
> par(mfrow=c(2,2))
> plot(density(MPG.highway),type="l",
main="Default Bandwidth)
> plot(density(MPG.highway,bw=0.5),type="l",
main="Bandwidth=0.5")
> plot(density(MPG.highway,bw=1),type="l",
main="Bandwidth=1")
> plot(density(MPG.highway,bw=5),type="l",
main="Bandwidth=5")
> par(mfrow=c(1,1))
The plots shown in Figure 27 show the result of running this script. The first plot in the
top left hand corner of the figure is a density produced using the default bandwidth. This
plot is fairly smooth, showing the skewed nature of the data. The plot produced using
a bandwidth of 0.5 is a very rough representation of the data and does not accurately
portray the features of the data. The density corresponding to a bandwidth of 1 provides
a slightly higher level of smoothing but still appears too rough. The final plot, showing a
density with a bandwidth of 5 is probably too smooth as it does not highlight the skewed
nature of the data.
Quantile-Quantile Plots
Quantile-quantile plots are useful graphical displays when the aim is to check the dis-
tributional assumptions of your data. These plots produce a plot of the quantiles of one
sample versus the quantiles of another sample and overlays the points with a line that
corresponds to the theoretical quantiles from the distribution of interest. If the distribu-
tions are of the same shape then the points will fall roughly on a straight line.
Extreme points tend to be more variable than points in the centre. Therefore you can
expect to see slight departures towards the lower and upper ends of the plot.
The function qqnorm compares the quantiles of the observed data against the quantiles
from a Normal distribution. The function qqline will overlay the plot of quantiles with
a line based on quantiles from a theoretical Normal distribution.
Figure 28 shows a Normal scores plot for the MPG.highway variable using the qqnorm
and qqline functions in R. This plot shows some departure from Normality since the
c CSIRO Australia, 2005 Course Materials and Exercises
Graphics: An Introduction 73
20 30 40 50
0.000.020.040.060.08
Default Bandwidth
N = 93 Bandwidth = 1.356
Density
20 25 30 35 40 45 50
0.000.020.040.060.080.10
Bandwidth=0.5
N = 93 Bandwidth = 0.5
Density
20 25 30 35 40 45 50
0.000.020.040.060.08
Bandwidth=1
N = 93 Bandwidth = 1
Density
10 20 30 40 50 60
0.000.020.040.06
Bandwidth=5
N = 93 Bandwidth = 5
Density
Figure 27: Density plots of MPG.highway data produced using (a) the default bandwidth,
(b) a bandwidth of 0.5, (c) a bandwidth of 1 and (d) a bandwidth of 5
c CSIRO Australia, 2005 Course Materials and Exercises
74 Graphics: An Introduction
extreme points towards the upper end of the plot fall away from the plotted theoretical
line.
−2 −1 0 1 2
20253035404550
Normal Q−Q Plot
Theoretical Quantiles
MPG.highway
Figure 28: Normal scores plot of the MPG.highway data.
To compare a sample of data with other distributions, the qqplot function can be used.
The following script generates data from a Poisson distribution and compares the data
against the Normal distribution and Poisson distribution. Figure 29 presents the results
of these comparisons.
# Generating Data from Poisson Distribution
> x <- rpois(1000,lambda=5)
> par(mfrow=c(1,2),pty="s")
# Comparing against a Normal
> qqnorm(x,ylab="x")
> qqline(x)
# Comparing against a Poisson
> qqplot(qpois(seq(0,1,length=50),
lambda=mean(x)),x,
xlab="Theoretical Quantiles",ylab="x")
> title(main="Poisson Q-Q Plot")
c CSIRO Australia, 2005 Course Materials and Exercises
Graphics: An Introduction 75
> par(mfrow=c(1,1))
−3 −1 0 1 2 3
0246810
Normal Q−Q Plot
Theoretical Quantiles
x
0 2 4 6 8 10
0246810
Theoretical Quantiles
x
Poisson Q−Q Plot
Figure 29: Quantile-Quantile plots of sample data with (a) the Normal distribution and
(b) the Poisson distribution
Comparing Groups
There may be instances where you want to compare different groupings to investigate
differences between location and scale and other distributional properties. There are a
couple of graphical displays to help with these types of comparisons.
• Multiple histograms plotted with the same scale
• Boxplots split by groups
• Quantile-Quantile plots
These plots enable the comparison of quantiles between two samples to determine
if they are from similar distributions. If the distributions are similar, then the points
c CSIRO Australia, 2005 Course Materials and Exercises
76 Graphics: An Introduction
should lie in a straight line (roughly). Gaps between tick mark labels indicate dif-
ferences in location and scale for the two datasets.
The following script produces histograms, boxplots and quantile-quantile plots to enable
comparison between two variables in the Cars93 database.
# Set up plotting region
> par(mfcol=c(2,2))
# Produce histograms to compare each dataset
> hist(MPG.highway,
xlim=range(MPG.highway,MPG.city))
> hist(MPG.city,xlim=range(MPG.highway,MPG.city))
# Produce boxplot split by type of driving
> boxplot(list(MPG.highway,MPG.city),
names=c("Highway","City"),
main="Miles per Gallon")
# Q-Q plot to check distribution shape and scale
> qqplot(MPG.highway,MPG.city, main="Q-Q Plot")
> par(mfrow=c(1,1))
Figure 30 shows the result from running this script in R. The plots show some differences
between variables.
Working with Time Series Objects
Time series objects can be plotted using special plotting functions, which are available in
the stats package. This is a standard package that is loaded when an R session begins.
To illustrate the plotting of time series objects, we investigate the ldeaths dataset. This
is a time series object that reports the monthly deaths from bronchitis, emphysema and
asthma for both males and females in the UK between 1974 and 1979.
To verify that it is a time series object we can use the is.ts function
c CSIRO Australia, 2005 Course Materials and Exercises
Graphics: An Introduction 77
Histogram of MPG.highway
MPG.highway
Frequency
15 20 25 30 35 40 45 50
010203040
Histogram of MPG.city
MPG.city
Frequency
15 20 25 30 35 40 45 50
010203040
Highway City
1520253035404550
Miles per Gallon
20 25 30 35 40 45 50
15202530354045
Q−Q Plot
MPG.highway
MPG.city
Figure 30: Comparison between the MPG.highway and MPG.city variables in the
Cars93 database.
> is.ts(ldeaths)
[1] TRUE
Typing in ldeaths at the R prompt provides information about the time series
> ldeaths
Jan Feb Mar Apr May Jun Jul Aug Sep Oct Nov Dec
1974 3035 2552 2704 2554 2014 1655 1721 1524 1596 2074 2199 2512
1975 2933 2889 2938 2497 1870 1726 1607 1545 1396 1787 2076 2837
1976 2787 3891 3179 2011 1636 1580 1489 1300 1356 1653 2013 2823
1977 3102 2294 2385 2444 1748 1554 1498 1361 1346 1564 1640 2293
1978 2815 3137 2679 1969 1870 1633 1529 1366 1357 1570 1535 2491
1979 3084 2605 2573 2143 1693 1504 1461 1354 1333 1492 1781 1915
Plots of time series objects can be obtained via the plot.ts() function.
> plot.ts(ldeaths)
Figure 31 displays the resulting plot and shows a strong seasonal component with a high
number of deaths occurring in January and February.
c CSIRO Australia, 2005 Course Materials and Exercises
78 Graphics: An Introduction
Time
MonthlyDeathsfromLungDisease(MalesandFemales)
1974 1975 1976 1977 1978 1979 1980
15002000250030003500
Figure 31: Time series plot showing the strong seasonal component of the ldeaths
dataset.
The correlation at successive lags can be investigated using the acf function. This is
useful when we want to try and understand the components of the time series and the
dependencies over time. Three types of plots can be produced
• covariance computed at different lags (type="covariance")
• correlations computed at different lags (type="correlation")
• partial correlations computed at different lags (type="partial")
Autocorrelations and partial autocorrelations are the two most useful plots for assessing
serial correlation, determining an appropriate model and what parameters go into the
model. Partial autocorrelations are an extension of autocorrelations that partial out the
correlations with all elements within the lag. In other words, the dependence is on the
intermediate elements. If partial autocorrelations are requested for a lag of 1 then this is
equivalent to the autocorrelations.
Correlation functions produced for the ldeaths dataset are shown in Figure 32. All three
plots show a strong seasonal pattern that will need to be accommodated in the time series
model. A confidence interval (shown in blue) is also plotted to help with the choice of
model and associated parameters of the model.
Correlation plots were produced using the following code:
> par(mfrow=c(3,1))
c CSIRO Australia, 2005 Course Materials and Exercises
Graphics: An Introduction 79
0.0 0.5 1.0 1.5
−2e+051e+05
Lag
ACF(cov)
Autocovariance Function
0.0 0.5 1.0 1.5
−0.50.00.51.0
Lag
ACF
Autocorrelation Function
0.2 0.4 0.6 0.8 1.0 1.2 1.4
−0.40.00.40.8
Lag
PartialACF
Partial Autocorrelation Function
Figure 32: Correlation and Covariance functions of the ldeaths time series.
c CSIRO Australia, 2005 Course Materials and Exercises
80 Graphics: An Introduction
> acf(ldeaths,type="covariance")
> acf(ldeaths,type="correlation")
> acf(ldeaths,type="partial")
> par(mfrow=c(1,1))
Plotting multiple time series can be achieved using the ts.plot function. To illustrate
this, we use the ldeaths, mdeaths and fdeaths datasets which represent the monthly
deaths for both sexes, for males and females respectively. The script for producing such a
plot is shown below. Figure 33 displays the resulting plot.
> ts.plot(ldeaths,mdeaths,fdeaths,
gpars=list(xlab="year", ylab="deaths", lty=c(1:3)))
> legend(locator(1),c("Overall Deaths",
"Male Deaths","Female Deaths"),lty=1:3,bty="n")
year
deaths
1974 1975 1976 1977 1978 1979 1980
5001000150020002500300035004000
Overall Deaths
Male Deaths
Female Deaths
Figure 33: Time series plots of reported monthly deaths of lung disease.
Displaying Bivariate Data
The easiest way to display bivariate data is through a scatterplot using the plot function.
The type argument allows you to produce different types of plots
c CSIRO Australia, 2005 Course Materials and Exercises
Graphics: An Introduction 81
• type="p": plots a character at each point
• type="l": plots a line connecting each point
• type="b": plots both lines and characters
• type="o": plots lines and characters that overlay the lines
• type="s": plots stair steps
• type="h": plots histogram-like vertical lines
• type="n": no points or lines are plotted
Figure 34 shows a number of plots produced using the ldeaths dataset for different
settings of type. The script that produced this plot is shown below.
# Producing scatterplots of different types
> par(mfrow=c(4,2))
> plot(ldeaths,type="p",main=’pty="p"’)
> plot(ldeaths,type="l",main=’pty="l"’)
> plot(ldeaths,type="b",main=’pty="b"’)
> plot(ldeaths,type="o",main=’pty="o"’)
> plot(ldeaths,type="s",main=’pty="s"’)
> plot(ldeaths,type="h",main=’pty="h"’)
> plot(ldeaths,type="n",main=’pty="n"’)
> par(mfrow=c(1,1))
Adding Points, Text, Symbols & Lines
Adding points, text, symbols and lines to an existing plot is simple to do and will be
demonstrated using the Cars93 dataset.
Points can be added to an existing plot using the points function. See the following
script for an example of how to do this.
# Set up plotting region
> plot(MPG.highway,Price,type="n",
xlim=range(MPG.highway,MPG.city),
xlab="miles per gallon")
> points(MPG.highway,Price,col="red",pch=16)
> points(MPG.city,Price,col="blue",pch=16)
c CSIRO Australia, 2005 Course Materials and Exercises
82 Graphics: An Introduction
pty="p"
Time
ldeaths
1974 1975 1976 1977 1978 1979 1980
15003500
pty="l"
Time
ldeaths
1974 1975 1976 1977 1978 1979 1980
15003500
pty="b"
Time
ldeaths
1974 1975 1976 1977 1978 1979 1980
15003500
pty="o"
Time
ldeaths
1974 1975 1976 1977 1978 1979 1980
15003500
pty="s"
Time
ldeaths
1974 1975 1976 1977 1978 1979 1980
15003500
pty="h"
Time
ldeaths
1974 1975 1976 1977 1978 1979 1980
15003500
pty="n"
Time
ldeaths
1974 1975 1976 1977 1978 1979 1980
15003500
Figure 34: Time series plots of reported monthly deaths of lung disease using different
plotting characters.
c CSIRO Australia, 2005 Course Materials and Exercises
Graphics: An Introduction 83
> legend(locator(1),c("Highway","City"),
col=c("red","blue"),pch=16,bty="n")
Figure 35(a) shows the result from this script and displays a plot of the price of vehicles
versus the mile per gallon for highway driving (red) and city driving (blue).
We may wish to add text to the plot shown in Figure 35(a) to identify specific vehicles.
We can do this using the text function and this is demonstrated in the following script
using only the first ten rows of the data. Figure 35(b) is the resulting plot.
> plot(MPG.highway[1:10],Price[1:10],type="n",
ylab="Price",xlim=range(MPG.highway[1:10],
MPG.city[1:10]),xlab="miles per gallon")
> points(MPG.highway[1:10],Price[1:10],col="red",pch=16)
> points(MPG.city[1:10],Price[1:10],col="blue",pch=16)
> legend(locator(1),c("Highway","City"),
col=c("red","blue"),pch=16,bty="n")
# label highway data
> text(MPG.highway[1:10],Price[1:10],Manufacturer[1:10],
cex=0.7,pos=2)
Of course there may be a time where we want to select points interactively. These may
be outlying points for example in a residual plot. We can do this using the identify
function shown in the following script.
> identify(c(MPG.city[1:10],MPG.highway[1:10]),
rep(Price[1:10],2),rep(Manufacturer[1:10],2),pos=2)
Instead of adding points to a plot, we may wish to add a symbol that represents the size
of another variable in the database. For the Cars93 dataset, it may be interesting to look
at price versus miles per gallon according to engine size of the vehicle and produce a plot
such as the one shown in Figure 35(c). This plot indicates that the cars with the bigger
engine tend to be more expensive in price and have a lower miles per gallon ratio than
other cars with smaller engines and lower in price. The script used to produce this plot is
shown below.
symbols(MPG.highway,Price,circles=EngineSize,
xlab="miles per gallon",ylab="Price",inches=0.25,
main="Area of Circle Proportional to Engine Size")
c CSIRO Australia, 2005 Course Materials and Exercises
84 Graphics: An Introduction
15 20 25 30 35 40 45 50
102030405060
miles per gallon
Price
Highway
City
20 25 30
1520253035
miles per gallon
Price
Highway
City
Acura
Acura
Audi
Audi
BMW
Buick
Buick
Buick
Buick
Cadillac
(a) (b)
20 25 30 35 40 45 50
0102030405060
Area of Circle Proportional to Engine Size
miles per gallon
Price
2000 2500 3000 3500 4000
23456
Weight
100/MPG.city
Lowess Smoother
Least Squares
(c) (d)
Figure 35: Plots that show how to (a) add points, (b) add text, (c) add symbols and (d)
add lines to a plot.
c CSIRO Australia, 2005 Course Materials and Exercises
Graphics: An Introduction 85
Finally, we may wish to add lines to an existing plot. This can be achieved using the
lines function, which adds a line connected by specified points, or the abline function,
which adds a vertical, horizontal or straight line with specific intercept and slope. To
illustrate this concept, we produce a plot of gallons per 100 miles versus weight with
three different lines overlayed: (1) a lowess smoother, (2) a least squares fit using lines
and (3) a least squares fit using abline. The resulting plot is shown in Figure 35(d) using
the script set out below.
> with(Cars93, {
plot(Weight,100/MPG.city,pch=16)
lines(lowess(Weight,100/MPG.city),col="red")
lines(lsfit(Weight,100/MPG.city),col="blue")
abline(coef(lsfit(Weight,100/MPG.city)),col="blue")
xy <- par("usr")[c(1,4)]
legend(xy[1], xy[2],
c("Lowess Smoother","Least Squares"),
col=c("red","blue"),lty=1,bty="n")
})
Labelling and Documenting Plots
R contains a number of functions for providing labels and documentation for plots. Some
of these may have been mentioned before but here they are again.
• title: allows you to place a title, labels for the x and y axes and a subtitle
• legend: produces a legend for a plot at a specific location, unless the locator func-
tion has been used
• mtext: allows you to place text into the margins of a plot
The functions legend and title have been used frequently throughout this presenta-
tion. The function mtext has also been mentioned but now, here is an example.
For large datasets it is often easier to view the correlations of the covariates as an image
instead of viewing them as text. To illustrate this concept, we use the iris dataset.
To recap, the iris dataset consists of the sepal length and width and petal length and width
measurements for three species of Iris: Setosa, Versicolor and Virginica. The cor function
c CSIRO Australia, 2005 Course Materials and Exercises
86 Graphics: An Introduction
will calculate Pearson correlations between variables. Applying this function to the iris
dataset gives:
> cor(iris[,-5])
Sepal.Length Sepal.Width Petal.Length Petal.Width
Sepal.Length 1.0000000 -0.1175698 0.8717538 0.8179411
Sepal.Width -0.1175698 1.0000000 -0.4284401 -0.3661259
Petal.Length 0.8717538 -0.4284401 1.0000000 0.9628654
Petal.Width 0.8179411 -0.3661259 0.9628654 1.0000000
For small datasets, output to the screen if fine but for larger datasets this becomes a lit-
tle monotonous. Alternatively, we could visually display the correlations as an image,
where black pixels represent correlations of 1 and white pixels represent correlations of
-1. Here’s how we do it . . .
> image(1:4,1:4,cor(iris[,-5]),
col=gray(seq(from=100,to=0,length=100)/100),
axes=F,xlab="",ylab="")
> mtext(side=1,text=names(iris[,-5]),
at=seq(from=1,to=4,length=4),line=1,cex=0.8)
> mtext(side=2,text=names(iris[,-5]),
at=seq(from=1,to=4,length=4),line=1,cex=0.8)
> title(main="Image Plot of Correlations (Iris Data)")
Notice how we produce the image without any axes. The reason for this is to stop R
from printing numbers and tick marks on the x and y axes because we want the column
names to appear instead. To ensure that the column names are printed, we use the mtext
function and then add a title to the plot. The resulting plot is shown in Figure 36.
Displaying Higher Dimensional Data
Pairwise Plots
The pairs function is a useful high-level plotting function for displaying and exploring
multivariate data. It produces a scatterplot between all possible pairs of variables in a
dataset and for each variable, it uses the same scale. This is useful if you are looking for
patterns in your data.
c CSIRO Australia, 2005 Course Materials and Exercises
Graphics: An Introduction 87
Sepal.Length Sepal.Width Petal.Length Petal.Width
Sepal.LengthSepal.WidthPetal.LengthPetal.Width
Image Plot of Correlations (Iris Data)
Figure 36: Image plot of correlations for the iris dataset.
c CSIRO Australia, 2005 Course Materials and Exercises
88 Graphics: An Introduction
In a previous session a pairs plot was produced for the iris data. We now apply this func-
tion to the state.x77 dataset which provides information on 50 states of the USA. The
script below shows how you can produce such a plot and Figure 37 shows the resulting
figure.
> pairs(state.x77[,1:5],
main = "Information from 50 States of America",pch = 16)
Population
3000 4500 6000 68 70 72
01000020000
300045006000
Income
Illiteracy
0.51.52.5
687072
Life Exp
0 10000 20000 0.5 1.5 2.5 2 6 10 14
261014
Murder
Information from 50 States of America
Figure 37: Pairwise scatter plots of statistics reported from the US
For something a little more sophisticated, we can overlay the pairs plot with a smoother
to look for any trends in the data. We can achieve this using the following script. Figure 38
plots the result.
c CSIRO Australia, 2005 Course Materials and Exercises
Graphics: An Introduction 89
> pairs(state.x77[,1:5],
main = "Information from 50 States of America",
pch = 16,panel=panel.smooth)
Population
3000 4500 6000 68 70 72
01000020000
300045006000
Income
Illiteracy
0.51.52.5
687072
Life Exp
0 10000 20000 0.5 1.5 2.5 2 6 10 14
261014
Murder
Information from 50 States of America
Figure 38: Pairwise scatter plots of statistics reported from the US. A scatterplot smoother
is overlayed.
Star and Segment Plots
These type of plots are useful for exploring multivariate data. Each point on the star
represents a variable and the length of each radial is proportional to the value of that
variable. Similar stars therefore indicate similar cases.
To illustrate this concept, the Motor Vehicle Performance (1974 US dataset) will be used.
c CSIRO Australia, 2005 Course Materials and Exercises
90 Graphics: An Introduction
The aim is to investigate the similarity between makes and models using seven variables:
Miles/US gallon (mpg) number of cylinders (cyl) displacement (cub. in.)
gross horsepower (hp) rear axle ratio (drat) weight (wt)
quarter mile time (qsec)
Figure 39 displays a star plot using the stars function outlined in the script below. (Note
the specification of the key location in the script. This places the key in the bottom right
hand corner of the plot.) Of the different makes and models displayed, there are some
similarities between vehicles. For example, the Cadillac Fleetwood and Lincoln Conti-
nental appear to be similar in terms of all of the variables. The Mercedes vehicles appear
to be similar with the exception to the 240D series. Although the 280C series is similar
to the 230 and 280 series, there are slight differences in terms of the rear axle ratio and
mileage.
> stars(mtcars[,1:7],key.loc=c(14,1.8),
main="Motor Vehicle Performance",
flip.labels=FALSE)
A segment plot shown in Figure 40 is an alternative multivariate plot that tries to sum-
marise the features of each vehicle using segments from a circle. To obtain this plot, the
draw.segments=T must be specified.
Overlaying Figures
Figures can be overlayed using one of two features in R. The first uses the add=T option,
which is available in some plotting functions. This will add certain features to an existing
graph. For example, in the script below, a contour plot showing topographic information
about a New Zealand volcano is overlayed on an image. Figure 41 shows the resulting
graphic.
> z <- volcano
> x <- 10*(1:nrow(z)) # 10m spacing (S to N)
> y <- 10*(1:ncol(z)) # 10m spacing (E to W)
> image(x,y,z,main="Mt Eden")
> contour(x,y,z,add=T)
Alternatively, figures can be overlayed using the new=T option within the par function.
This was described earlier in the notes. To recap, this feature, when used in R, can overlay
a plot using the same axis setup as the first plot. This feature is also useful for producing
multiple figures as shown in the following piece of code.
c CSIRO Australia, 2005 Course Materials and Exercises
Graphics: An Introduction 91
Motor Vehicle Performance
Mazda RX4 Mazda RX4 Wag Datsun 710 Hornet 4 DriveHornet Sportabout Valiant
Duster 360 Merc 240D Merc 230 Merc 280 Merc 280C Merc 450SE
Merc 450SL Merc 450SLCCadillac FleetwoodLincoln ContinentalChrysler Imperial Fiat 128
Honda Civic Toyota Corolla Toyota CoronaDodge Challenger AMC Javelin Camaro Z28
Pontiac Firebird Fiat X1−9 Porsche 914−2 Lotus Europa Ford Pantera L Ferrari Dino
Maserati Bora Volvo 142E
mpg
cyl
disp
hp
drat
wt
qsec
Figure 39: Star plot of the motor vehicle performance dataset
c CSIRO Australia, 2005 Course Materials and Exercises
92 Graphics: An Introduction
Motor Vehicle Performance
Mazda RX4 Mazda RX4 Wag Datsun 710 Hornet 4 DriveHornet Sportabout Valiant
Duster 360 Merc 240D Merc 230 Merc 280 Merc 280C Merc 450SE
Merc 450SL Merc 450SLCCadillac FleetwoodLincoln ContinentalChrysler Imperial Fiat 128
Honda Civic Toyota Corolla Toyota CoronaDodge Challenger AMC Javelin Camaro Z28
Pontiac Firebird Fiat X1−9 Porsche 914−2 Lotus Europa Ford Pantera L Ferrari Dino
Maserati Bora Volvo 142E
mpg
cyl
disp
hp
drat
wt
qsec
Figure 40: Segment plot of the motor vehicle performance dataset
c CSIRO Australia, 2005 Course Materials and Exercises
Graphics: An Introduction 93
200 400 600 800
100200300400500600
Mt Eden
x
y
Figure 41: Image plot of the topographic of a New Zealand volcano with contours over-
layed.
c CSIRO Australia, 2005 Course Materials and Exercises
94 Graphics: An Introduction
> x <- rnorm(1000,1,1)
> y <- -1 + 4*x + rnorm(1000)
> frame()
> par(fig=c(0,1,0.4,1),mar=c(1,4,4,4))
> plot(x,y,xlab="",ylab="y",pch=16,col="gray",axes=F)
> abline(coef(lm(y˜x)),col="red")
> box()
> axis(side=2)
> par(new=T,fig=c(0,1,0,0.4),mar=c(5,4,0.5,4))
> hist(x,xlab="x",main="",ylab="Frequency")
In this script, we generate some data and store it in x. We then generate a response y
based on a linear relationship with some error. To set up the first plotting region we use
the frame() function. The plot we would like to produce needs to be plotted in two
components. The first is a plot of y versus x with a least squares line overlayed. The
second is a histogram of x showing the distribution of the explanatory variable. In order
to produce the second plot, new=T was specified to trick R into believing that it has gone
to a new graphics window. This allows you to produce multiple graphs per plot. The
resulting plot appears in Figure 42.
For something a little more fancy, we may want to overlay a series of plots to help with
an analysis. The script called Time Series Ex.R produces Figure 43, a panel of figures
that summarise some interesting features of a simulated time series. The figure comprises
a time series plot of the data, illustration of the seasonal component that was estimated
from a time series model, the estimated trend lines with 95% confidence limits and a plot
of residuals. Notice how the axis at the bottom is the same axis used for all of the plots.
The axis for each plot have also been alternated to appear on different sides, for clarity.
Laboratory Exercise
Step through this function in more detail
c CSIRO Australia, 2005 Course Materials and Exercises
Graphics: An Introduction 95
y
−10−5051015
x
Frequency
−2 −1 0 1 2 3 4
050100200
Figure 42: Example of overlaying figures
c CSIRO Australia, 2005 Course Materials and Exercises
96 Graphics: An IntroductionData
−20246
Seasonal
−0.40.00.20.4
Trend
6000650070007500
year
Residuals
1991 1992 1993 1994 1995 1996 1997 1998 1999 2000
−3−2−10123
Figure 43: Example of overlaying figures
c CSIRO Australia, 2005 Course Materials and Exercises
Manipulating Data 97
Manipulating Data
Sorting
order Function
Ordering is usually best done indirectly: Find an index vector that achieves the sort op-
eration and use it for all vectors that need to remain together. The function order allows
sorting with tie-breaking: Find an index vector that arranges the first of its arguments
in increasing order. Ties are broken by the second argument and any remaining ties are
broken by a third argument.
Example
> x <- sample(1:5, 20, rep=T)
> y <- sample(1:5, 20, rep=T)
> z <- sample(1:5, 20, rep=T)
> xyz <- rbind(x, y, z)
> dimnames(xyz)[[2]] <- letters[1:20]
> xyz
a b c d e f g h i j k l m n o p q r s t
x 4 4 2 4 3 4 4 1 2 2 5 3 1 5 5 3 4 5 3 4
y 5 5 2 5 2 3 5 4 4 2 4 2 1 4 3 4 4 2 2 2
z 4 5 3 2 4 2 4 5 5 2 4 2 4 5 3 4 3 4 4 3
> o <- order(x, y, z)
> xyz[, o]
m h j c i l e s p t f q d a g b r o k n
x 1 1 2 2 2 3 3 3 3 4 4 4 4 4 4 4 5 5 5 5
y 1 4 2 2 4 2 2 2 4 2 3 4 5 5 5 5 2 3 4 4
z 4 5 2 3 5 2 4 4 4 3 2 3 2 4 4 5 4 3 4 5
> xyz # reminder
a b c d e f g h i j k l m n o p q r s t
x 4 4 2 4 3 4 4 1 2 2 5 3 1 5 5 3 4 5 3 4
c CSIRO Australia, 2005 Course Materials and Exercises
98 Manipulating Data
y 5 5 2 5 2 3 5 4 4 2 4 2 1 4 3 4 4 2 2 2
z 4 5 3 2 4 2 4 5 5 2 4 2 4 5 3 4 3 4 4 3
sort Function
The sort function can also be used to sort a vector or a list respectively into ascending or
descending order
> sort(x)
[1] 1 1 2 2 2 3 3 3 3 4 4 4 4 4 4 4 5 5 5 5
> sort(x,decreasing=T)
[1] 5 5 5 5 4 4 4 4 4 4 4 3 3 3 3 2 2 2 1 1
To sort a vector partially, use the partial argument
> sort(x,partial=c(3,4))
[1] 1 1 2 2 3 4 4 4 2 4 5 3 4 5 5 3 4 5 3 4
rank Function
To rank the values in a vector, the rank function can be used. Ties result in ranks being
averaged by default but other options are available: taking the first occurrence, randomly
selecting a value or selecting the maximum or minimum value.
> rank(x)
[1] 13.0 13.0 4.0 13.0 7.5 13.0 13.0 1.5 4.0 4.0
[11] 18.5 7.5 1.5 18.5 18.5 7.5 13.0 18.5 7.5 13.0
> rank(x, ties="first") # first occurrence wins
[1] 4 4 2 4 3 4 4 1 2 2 5 3 1 5 5 3 4 5 3 4
> rank(x, ties="random") # ties broken at random
[1] 16 15 5 14 9 12 11 1 3 4 19 6 2 17 18 8 13 20
[19] 7 10
> rank(x, ties="min") # typical sports ranking
[1] 10 10 3 10 6 10 10 1 3 3 17 6 1 17 17 6 10 17
[19] 6 10
c CSIRO Australia, 2005 Course Materials and Exercises
Manipulating Data 99
Dates and Times
R has several mechanisms available for the representation of dates and times. The stan-
dard one however is the POSIXct/POSIXlt suite of functions and objects of (old) class
POSIXct are numeric vectors with each component representing the number of seconds
since the start of 1970. Such objects are suitable for inclusion in data frames, for example.
Objects of (old) class POSIXlt are lists with the separate parts of the date/time held as
separate components.
Conversion from one form to another
• The function as.POSIXlt(obj) converts from POSIXct to POSIXlt.
• The function as.POSIXct(obj) converts from POSIXlt to POSIXct.
• The function strptime(char,form) generates POSIXlt objects from suitable char-
acter string vectors where the format must be specified.
• The format(obj,form) generates character string vectors from POSIXlt or POSIXct
objects, which also requires the output format to be specified.
• The function as.character(obj) also generates character string vectors like format(,),
but only to the ISO standard time/date format. For formatting details see help on
strptime.
Example
On what day of the week were you born and for how many seconds have you lived?
> myBday <- strptime("18-Apr-1973", "%d-%b-%Y")
> class(myBday)
[1] "POSIXt" "POSIXlt"
> myBday
[1] "1973-04-18"
> weekdays(myBday)
[1] Wednesday"
> Sys.time()
[1] "2005-01-19 12:08:12 E. Australia Standard Time"
> Sys.time() - myBday
Time difference of 11599.51 days
c CSIRO Australia, 2005 Course Materials and Exercises
100 Manipulating Data
Arithmetic on POSIXt Objects
Some arithmetic operations are allowed on date/time objects (POSIXlt or POSIXct). These
are
• obj + number
• obj - number
• obj1 <lop> obj2
• obj1 - obj2
In the first two cases, number represents the number of seconds and each date is aug-
mented by this number of seconds. If you wish to augment by days you need to work
with multiples of 60*60*24. In the second case <lop> is a logical operator and the result is
a logical vector In the third case the result is a difftime object, represented as the number
of seconds time difference.
Birthday example continued.
> as.numeric(Sys.time())
[1] 1106100492
> as.numeric(myBday)
[1] 0 0 0 18 3 73 3 107 0
> as.numeric(as.POSIXct(myBday))
[1] 103903200
> as.numeric(Sys.time()) - as.numeric(as.POSIXct(myBday))
[1] 1002197292
Tables
It can be quite useful to tabulate factors or find the frequency of an object. This can be
achieved using the table function in R. The quine dataset consists of 146 rows describing
childrens ethnicity (Eth), age (Age), sex (Sex), days absent from school (Days) and their
learning ability (Lrn). Eth, Sex, Age and Lrn are factors. Days is a numeric vector. If we
want to find out the age classes in the quine dataset we can do the following
> attach(quine)
> table(Age)
c CSIRO Australia, 2005 Course Materials and Exercises
Manipulating Data 101
Age
F0 F1 F2 F3 # F0: primary, F1-F3: forms 1-3
27 46 40 33
If we need to know the breakdown of ages according to sex
> table(Sex,Age)
Age
Sex F0 F1 F2 F3
F 10 32 19 19
M 17 14 21 14
Split
The split function divides the data specified by vector x into the groups defined by fac-
tor f This function can be useful for graphical displays of data If we want to obtain a
summary of Days split by Sex we can write the following code.
> split(Days,Sex)
$F
[1] 3 5 11 24 45 5 6 6 9 13 23 25 32 53 54 5 5 11 17
[20] 19 8 13 14 20 47 48 60 81 2 0 2 3 5 10 14 21 36 40
[39] 25 10 11 20 33 5 7 0 1 5 5 5 5 7 11 15 5 14 6
[58] 6 7 28 0 5 14 2 2 3 8 10 12 1 1 9 22 3 3 5
[77] 15 18 22 37
$M
[1] 2 11 14 5 5 13 20 22 6 6 15 7 14 6 32 53 57 14 16
[20] 16 17 40 43 46 8 23 23 28 34 36 38 6 17 67 0 0 2 7
[39] 11 12 0 0 5 5 5 11 17 3 4 22 30 36 8 0 1 5 7
[58] 16 27 0 30 10 14 27 41 69
or for some nice graphical displays
c CSIRO Australia, 2005 Course Materials and Exercises
102 Manipulating Data
> boxplot(split(Days,Sex),ylab="Days Absent")
> library(lattice) # trellis graphics
> trellis.par.set(col.whitebg())
> bwplot(Days ˜ Age | Sex) # implicit split
F M
020406080
DaysAbsent
Days
F0 F1 F2 F3
0
20
40
60
80
F
F0 F1 F2 F3
M
(a) (b)
Figure 44: Boxplots showing the breakdown of days for (a) males and females and (b) age
classes.
with, subset and transform Functions
These functions operate on an object or elements within an object. No attachment of the
dataset is necessary
• with: evaluates expressions constructed from the data
> with(Cars93,plot(Weight,100/MPG.highway))
• subset: returns subsets of vectors or data frames that meet specific requirements
> Vans <- subset(Cars93,Type=="Van")
• transform: transforms elements of an object
> Cars93T <- transform(Cars93,WeightT=Weight/1000)
c CSIRO Australia, 2005 Course Materials and Exercises
Manipulating Data 103
Vectorised Calculations
Those from a programming background may be used to operating on individual elements
of a vector. However, R has the ability to perform vectorised calculations. This allows you
to perform calculations on an entire vector/matrix/dataframe/list instead of the individ-
ual elements. Not all problems can be vectorised but most can once you know how.
Four members: lapply, sapply, tapply, apply
• lapply: takes any structure, gives a list of results
• sapply: like lapply, but simplifies the result if possible
• apply: only used for arrays
• tapply: used for ragged arrays: vectors with an indexing specified by one or more
factors.
Those functions are used for efficiency and convenience.
The apply Function
This function allows functions to operate on successive sections of an array. To illustrate
this, we compute the mean of each column of the iris data
> iris[1:4,]
Sepal.Length Sepal.Width Petal.Length Petal.Width Species
1 5.1 3.5 1.4 0.2 setosa
2 4.9 3.0 1.4 0.2 setosa
3 4.7 3.2 1.3 0.2 setosa
4 4.6 3.1 1.5 0.2 setosa
> apply(iris[,-5],2,mean)
Sepal.Length Sepal.Width Petal.Length Petal.Width
5.843333 3.057333 3.758000 1.199333
The tapply Function
Ragged arrays represent a combination of a vector and a labelling factor or factors, where
the group sizes are irregular. To apply functions to ragged arrays the tapply function
is used, where the object, list of factors and function is supplied. We will illustrate this
function using the quine dataset again
> quine[1:5,]
Eth Sex Age Lrn Days
c CSIRO Australia, 2005 Course Materials and Exercises
104 Manipulating Data
1 A M F0 SL 2
2 A M F0 SL 11
3 A M F0 SL 14
4 A M F0 AL 5
5 A M F0 AL 5
To calculate the average number of days absent for each age class we can use the tapply
function
> tapply(Days,Age,mean)
F0 F1 F2 F3
14.85185 11.15217 21.05000 19.60606
To perform this calculation for each gender we need to specify using the list function two
factors: Sex and Age
> tapply(Days,list(Sex,Age),mean)
F0 F1 F2 F3
F 18.70000 12.96875 18.42105 14.00000
M 12.58824 7.00000 23.42857 27.21429
The lapply and sapply Functions
• lapply and sapply operate on components of a list or vector
• lapply will always return a list
• sapply is a more user friendly version of lappy and will attempt to simplify the
result into a vector or array
# Example 1: lapply # Example 2: sapply
> l <- list(Sex=Sex,Eth=Eth) > l <- list(Sex=Sex,Eth=Eth)
> lapply(l,table) > sapply(l,table)
$Sex Sex Eth
F M F 80 69
80 66 M 66 77
c CSIRO Australia, 2005 Course Materials and Exercises
Manipulating Data 105
$Eth
A N
69 77
The apply Functions versus Conventional Programming
Programming methods will be discussed in more detail in a later session but how do the
family of apply functions compare with conventional programming methods? We can
test the performance of these functions using the system.time function.
We consider the following problem: We wish to subtract the mean from each element in
a 25000 x 4 matrix
> mat <- matrix(rnorm(100000),ncol=4)
Program 1: The programmer’s approach (5 for loops)
program1 <- function(mat){
col.scale <- matrix(NA,nrow(mat),ncol(mat))
m <- rep(0,ncol(mat)) # create a vector, m and
# set it to zero
for(j in 1:ncol(mat)){
for(i in 1:nrow(mat)) {
m[j] <- m[j] + mat[i,j] # compute the sum of
# elements in each
# column
}
}
for(j in 1:ncol(mat))
m[j] <- m[j]/nrow(mat) # compute the mean
for(i in 1:nrow(mat)){
for(j in 1:ncol(mat)){
col.scale[i,j] <- mat[i,j]-m[j] # centre each column by
# the mean
}
c CSIRO Australia, 2005 Course Materials and Exercises
106 Manipulating Data
}
col.scale # print the scaled matrix
}
Program 2: The programmer’s approach (using a built-in function) (3 for loops)
program2 <- function(mat){
col.scale <- matrix(NA,nrow(mat),ncol(mat))
m <- NULL # initialise the vector,m
for(j in 1:ncol(mat))
m[j] <- mean(mat[,j]) # compute the mean of
# each column
for(i in 1:nrow(mat)){
for(j in 1:ncol(mat)){
col.scale[i,j] <- mat[i,j]-m[j] # centre columns
}
}
col.scale # print the scaled matrix
}
Program 3: R programming approach (No for loops)
program3 <- function(mat){
apply(mat,2,scale,scale=F) # apply to the matrix (mat)
# the function scale
# specifying that
# centring only be
# performed.
# print the scaled matrix
}
How does each program perform? The system.time function produces a vector of
length 5 containing information about (1) user CPU, (2) system CPU, (3) Elapsed time, (4)
subprocessor 1 time and (5) subprocessor 2 time. Only the first three are of real interest.
c CSIRO Australia, 2005 Course Materials and Exercises
Manipulating Data 107
> system.time(v1 <- program1(mat)) # Slowest
[1] 2.33 0.04 2.37
> system.time(v2 <- program2(mat)) # 3.5x increase in CPU
[1] 0.68 0.00 0.72
> system.time(v3 <- program3(mat)) # 78x increase in CPU
[1] 0.03 0.00 0.03
> system.time(v4 <- scale(mat,scale=F)) # 233x increase in CPU
[1] 0.01 0.00 0.01
> check <- function(v1,v2) abs(diff(range(v1-v2))) # check
> check(v1,v2) + check(v2,v3) + check(v3,v4)
[1] 4.440892e-16
Which approach would you use?
c CSIRO Australia, 2005 Course Materials and Exercises
Classical Linear Models 109
Classical Linear Models
Statistical Models in R
The expression for fitting a multiple linear regression model is shown in the following
equation. Here, yi is the response recorded at the i-th observation, xij is the j-th explana-
tory variable recorded for the i-th observation, βj are the regression coefficients and ei is
the error term that is independent and identically distributed (iid).
yi =
p
j=1
xijβj + ei
where
ei ∼ NID(0, σ2
)
(1)
In matrix terms this expression would be written as
y = Xβ + e
where y is the response vector, β is the vector of regression coefficients, X is the model
matrix or design matrix and e is the error vector.
Model Formulae
In R, the general form of this expression is: response ∼ termi ± term2 ± . . .. Extensions
to this are summarised in Table 6. In this table, x refers to continuous variables while G
refers to categorical variables. We will be using some of these expressions in the next few
sessions of the course.
Generic Functions for Inference
Once the model is fitted in R, we examine the fit. The most common functions are de-
scribed in Table 7.
c CSIRO Australia, 2005 Course Materials and Exercises
110 Classical Linear Models
Table 6: Model Formulae
Expression Description
y ∼ x Simple regression
y ∼ 1+x Explicit intercept
y ∼ -1 + x Through the origin
y ∼ x + x2
Quadratic regression
y ∼ x1 + x2 + x3 Multiple regression
y ∼ G + x1 + x2 Parallel regressions
y ∼ G/(x1+x2) Separate regressions
sqrt(y) ∼ x + x2
Transformed
y ∼ G Single Classification
y ∼ A+B Randomized block
y ∼ B+N*P Factorial in blocks
y ∼ x+B+N*P with covariate
y ∼ .-X1 All variables except X1
. ∼ .+A:B Add interaction (update)
Nitrogen ∼ Times*(River/Site) More complex design
Table 7: Common functions for inference
Expression Description
coef(obj) regression coefficients
resid(obj) residuals
fitted(obj) fitted values
summary(obj) analysis summary
predict(obj,newdata=ndat) predict for new data
deviance(obj) residual sum of squares
c CSIRO Australia, 2005 Course Materials and Exercises
Classical Linear Models 111
Example: The Janka Data
Description and Exploratory Analysis
We illustrate linear modelling using a very simple example, the Janka Hardness data. This
data is described in Appendix I and contains information on the hardness and density of
36 samples of Australian hardwoods. We are interested in building a prediction model
for hardness using density.
Figure 45 is a plot of hardness versus density. It was produced using the following piece
of code.
> janka <- read.csv("janka.csv")
> with(janka,plot(Density,Hardness,col="blue"))
30 40 50 60 70
50010001500200025003000
Density
Hardness
Figure 45: Hardness versus Density (Janka)
Initial Model Building
To begin with, we start with a linear or quadratic model (suggested by Williams) and
start examining the fit. Note how the function I is used in the specification of this model.
c CSIRO Australia, 2005 Course Materials and Exercises
112 Classical Linear Models
This function is used to prevent the operator, ∧ being used as a formula operator. When
used in a formula, the expression inside the brackets is evaluated first prior to the formula
being evaluated.
> jank.1 <- lm(Hardness ˜ Density, janka)
> jank.2 <- update(jank.1, . ˜ . + I(Densityˆ2))
> summary(jank.2)$coef
Estimate Std. Error t value Pr(>|t|)
(Intercept) -118.0073759 334.9669049 -0.3522956 0.726856611
Density 9.4340214 14.9356203 0.6316458 0.531969926
I(Densityˆ2) 0.5090775 0.1567210 3.2483031 0.002669045
The model suggests that a quadratic term for density is appropriate for this dataset. We
should however, also check the need for a cubic term in the model. To achieve this, we
simply add one more term to the model as follows.
> jank.3 <- update(jank.2, . ˜ . + I(Densityˆ3))
> summary(jank.3)$coef
Estimate Std. Error t value Pr(>|t|)
(Intercept) -6.414379e+02 1.235655e+03 -0.5191076 0.6072576
Density 4.686373e+01 8.630180e+01 0.5430215 0.5908777
I(Densityˆ2) -3.311734e-01 1.913986e+00 -0.1730281 0.8637192
I(Densityˆ3) 5.958701e-03 1.352646e-02 0.4405220 0.6625207
The results indicate that a quadratic term is necessary, but a cubic term is not supported.
The regression coefficients should remain more stable under extensions to the model if
we standardize, or even just mean-correct, the predictors. We can do this by subtracting
off the mean as follows
> janka <- transform(janka,d=Density-mean(Density))
> jank.1 <- lm(Hardness ˜ d, janka)
> jank.2 <- update(jank.1, .˜.+I(dˆ2))
> jank.3 <- update(jank.2, .˜.+I(dˆ3))
> summary(jank.1)$coef
Estimate Std. Error t value Pr(>|t|)
c CSIRO Australia, 2005 Course Materials and Exercises
Classical Linear Models 113
(Intercept) 1469.472 30.5099 48.164 0
d 57.507 2.2785 25.238 0
> summary(jank.2)$coef
Estimate Std. Error t value Pr(>|t|)
(Intercept) 1378.19661 38.93951 35.3933 0.000000
d 55.99764 2.06614 27.1026 0.000000
I(dˆ2) 0.50908 0.15672 3.2483 0.002669
> round(summary(jank.3)$coef, 4)
Estimate Std. Error t value Pr(>|t|)
(Intercept) 1379.1028 39.4775 34.9339 0.0000
d 53.9610 5.0746 10.6336 0.0000
I(dˆ2) 0.4864 0.1668 2.9151 0.0064
I(dˆ3) 0.0060 0.0135 0.4405 0.6625
Why is this so? Does it matter very much?
Centering results in properties of the coefficients that lie in the middle of the x range.
When unentered, the coefficients have properties at unrealistic values of the density, near
0. In the middle of the x-range, predictions under any model are pretty stable but at
density 0 they tend to fluctuate wildly. Therefore, always select a parametrisation of
your model where the parameters mean something and where the estimates of the fitted
function are stable.
Diagnostic Checks
We examine the fit of the model using a plot of residuals and a Normal scores plot shown
in Figures 46 and 47 respectively. These residual plots are plotted using the trellis library,
which will be discussed in more detail in Session 10.
> trellis.par.set(col.whitebg())
> require(MASS)
> xyplot(studres(jank.2) ˜ fitted(jank.2),
aspect = 0.6,
panel = function(x, y, ...) {
panel.xyplot(x, y, col = "navy", ...)
c CSIRO Australia, 2005 Course Materials and Exercises
114 Classical Linear Models
panel.abline(h = 0, lty = 4, col = "red")
}, xlab = "Fitted values", ylab = "Residuals")
> qqmath(˜ studres(jank.2), panel =
function(x, y, ...) {
panel.qqmath(x, y, col = "navy", ...)
panel.qqmathline(y, qnorm, col = "red", lty=4)
}, xlab = "Normal scores", aspect = 0.6,
ylab = "Sorted studentized residuals")
The plot shows some departures from the Normality assumptions. This is particularly
evident in the Normal scores plot shown in Figure 47 as the edges of the plot deviate
from the theoretical line. We may need to consider a transformation for this dataset.
Fitted values
Residuals
500 1000 1500 2000 2500
−2
0
2
4
Figure 46: Residuals versus Fitted Values (janka)
c CSIRO Australia, 2005 Course Materials and Exercises
Classical Linear Models 115
Normal scores
Sortedstudentizedresiduals
−2 −1 0 1 2
−2
0
2
4
Figure 47: Sorted Studentized Residuals versus Normal Scores (janka)
Transformation
The Box-Cox family of transformations includes square-root and log transformations as
special cases. The boxcox function in the MASS library allows the marginal likelihood
function for the transformation parameter to be calculated and displayed. Its use is easy.
(Note: it only applies to positive response variables.)
The following is an example of how to do this.
> require(MASS) # necessary if the MASS library
# has not been attached
> graphsheet() # necessary if no graphics
# device open.
> boxcox(jank.2,lambda = seq(-0.25, 1, len=20))
Figure 48 displays the marginal likelihood plot produced on the Janka fitted model object
jank.2. The plot shows that an appropriate value for λ is approximately 0.17, with 95%
confidence intervals that include zero. The plot indicates that a log transformation may
be suitable for this data.
c CSIRO Australia, 2005 Course Materials and Exercises
116 Classical Linear Models
−0.2 0.0 0.2 0.4 0.6 0.8 1.0
−246−244−242−240−238
λ
log−Likelihood
95%
Figure 48: Box-Cox Transformation (janka)
A plot of the transformed data using the script below is shown in Figure 49. A quadratic
relationship seems reasonable for this data under this transformation.
> with(janka,plot(Density, Hardness, log = "y"))
We now refit this model using a log transformation on the response, compute the resid-
uals and fitted values and produce a corresponding plot of residuals, which is shown in
Figure 50. The residual plot indicates a fairly good fit with no departure from Normal
distribution assumptions.
> ljank.2 <- update(jank.2, log(.)˜.)
> round(summary(ljank.2)$coef, 4)
Estimate Std. Error t value Pr(>|t|)
(Intercept) 7.2299 0.0243 298.0154 0
d 0.0437 0.0013 33.9468 0
I(dˆ2) -0.0005 0.0001 -5.3542 0
> lrs <- studres(ljank.2)
> lfv <- fitted(ljank.2)
c CSIRO Australia, 2005 Course Materials and Exercises
Classical Linear Models 117
30 40 50 60 70
50010001500200025003500
Density
Hardness
Figure 49: Plot of the transformed data (janka)
> xyplot(lrs ˜ lfv, panel =
function(x, y, ...) {
panel.xyplot(x, y, pch=16,...)
panel.abline(h=0, lty=4)
}, xlab = "Fitted (log trans.)",
ylab = "Residuals (log trans.)", col = "red")
Example: Iowa Wheat Yield Data
We use the Iowa Wheat Yield data as a second illustration of linear regression modelling.
This dataset is described in Appendix I and contains information on the yield of wheat
taken at different times throughout the year under different weather conditions.
> library(RODBC)
> iowheat <-sqlFetch(odbcConnectExcel("Iowa.xls"), "Iowa")
c CSIRO Australia, 2005 Course Materials and Exercises
118 Classical Linear Models
Fitted (log trans.)
Residuals(logtrans.)
6.5 7.0 7.5
−2
−1
0
1
2
Figure 50: Log transformed residuals versus log transformed fitted values (janka)
> names(iowheat)
[1] "Year" "Rain0" "Temp1" "Rain1" "Temp2"
[6] "Rain2" "Temp3" "Rain3" "Temp4" "Yield"
> bigm <- lm(Yield ˜ ., data = iowheat)
The above piece of code reads in the Iowa Wheat Yield dataset and fits a regression model
using all of the other variables in the data frame as predictors.
From the full model, we now examine the effect of dropping each term individually using
the dropterm function. The addterm function looks at the impact of adding in terms
from a smaller model in a stepwise fashion.
> dropterm(bigm, test = "F")
Single term deletions
Model:
Yield ˜ Year + Rain0 + Temp1 + Rain1 + Temp2 + Rain2 +
Temp3 + Rain3 + Temp4
c CSIRO Australia, 2005 Course Materials and Exercises
Classical Linear Models 119
Df Sum of Sq RSS AIC F Value Pr(F)
<none> 1404.8 143.79
Year 1 1326.4 2731.2 163.73 21.715 0.00011
Rain0 1 203.6 1608.4 146.25 3.333 0.08092
Temp1 1 70.2 1475.0 143.40 1.149 0.29495
Rain1 1 33.2 1438.0 142.56 0.543 0.46869
Temp2 1 43.2 1448.0 142.79 0.707 0.40905
Rain2 1 209.2 1614.0 146.37 3.425 0.07710
Temp3 1 0.3 1405.1 141.80 0.005 0.94652
Rain3 1 9.5 1414.4 142.01 0.156 0.69655
Temp4 1 58.6 1463.5 143.14 0.960 0.33738
> smallm <- update(bigm, . ˜ Year)
> addterm(smallm, bigm, test = "F")
Single term additions
Model:
Yield ˜ Year
Df Sum of Sq RSS AIC F Value Pr(F)
<none> 2429.8 145.87
Rain0 1 138.65 2291.1 145.93 1.8155 0.18793
Temp1 1 30.52 2399.3 147.45 0.3816 0.54141
Rain1 1 47.88 2381.9 147.21 0.6031 0.44349
Temp2 1 16.45 2413.3 147.64 0.2045 0.65437
Rain2 1 518.88 1910.9 139.94 8.1461 0.00775
Temp3 1 229.14 2200.6 144.60 3.1238 0.08733
Rain3 1 149.78 2280.0 145.77 1.9708 0.17063
Temp4 1 445.11 1984.7 141.19 6.7282 0.01454
Alternatively, we could automate the process to eliminate variables in a backwards fash-
ion. Notice how different approaches can lead to different solutions.
c CSIRO Australia, 2005 Course Materials and Exercises
120 Classical Linear Models
> stepm <- stepAIC(bigm,
scope = list(lower = ˜ Year))
Start: AIC= 143.79
....
Step: AIC= 137.13
Yield ˜ Year + Rain0 + Rain2 + Temp4
Df Sum of Sq RSS AIC
<none> NA NA 1554.6 137.13
- Temp4 1 187.95 1742.6 138.90
- Rain0 1 196.01 1750.6 139.05
- Rain2 1 240.20 1794.8 139.87
A Flexible Regression
The clearly useful predictor is Year, but Rain0, Rain2 and Temp4 may have some value.
Based on these results, we now consider a flexible version of the linear regression using
splines. The following script fits natural splines to Rain0, Rain2, Temp4 and Year, each
with 3 knots. Figure 51 displays the spline fits to each of the terms in the model. This plot
was produced using termplot.
> require(splines)
> iowa.spline <- aov(Yield ˜ ns(Rain0, 3) + ns(Rain2, 3) +
ns(Temp4, 3) + ns(Year, 3),iowheat)
> par(mfrow=c(2,2))
> termplot(iowa.spline, se = TRUE, rug = TRUE,
partial=TRUE)
The plots, although interesting can be somewhat deceiving in terms of examining their
contribution to the model as the scale of each plot is different for different variables. A
more useful plot is one where the limits of the y-axis for each plot is constrained. The
tplot function created by Bill Venables, is a variation on the termplot function. By
constraining the y-axis we are able to see which predictors are really contributing to the
fit of the model. Figure 52 displays the results. The big contributor to the model appears
c CSIRO Australia, 2005 Course Materials and Exercises
ClassicalLinearModels121
10152025
−20 −10 0 10
Rain0
Partial for ns(Rain0, 3)
0246
−20 −10 0 10
Rain2
Partial for ns(Rain2, 3)
68707274767880
−30 −20 −10 0 10
Temp4
Partial for ns(Temp4, 3)
1930194019501960
−30 −10 0 10 20 30
Year
Partial for ns(Year, 3)
Figure51:Plotofsplinetermsinregressionmodelusingthetermplot()function.
cCSIROAustralia,2005CourseMaterialsandExercises
122ClassicalLinearModels
10152025
−30 −10 0 10 20 30
Rain0
Partial for ns(Rain0, 3)
0246
−30 −10 0 10 20 30
Rain2
Partial for ns(Rain2, 3)
68707274767880
−30 −10 0 10 20 30
Temp4
Partial for ns(Temp4, 3)
1930194019501960
−30 −10 0 10 20 30
Year
Partial for ns(Year, 3)
Figure52:Plotofsplinetermsinregressionmodelusingthetplot()function
cCSIROAustralia,2005CourseMaterialsandExercises
Classical Linear Models 123
to be Year, showing an unusual drop and leveling off in yield just after 1945 before rising
again after 1950. We think that this result is related to the impact of the war.
Example: Petroleum Data
Overview and Description
The petroleum data of Nilon L Prater is described in Appendix I and will be touched
upon in a later session when we discuss random effects modelling in greater detail. The
dataset consists of measurements on ten crude oil sources. Subsamples of crude oil (3-5)
are refined to a certain end point and this is measured. The response is the yield of refined
petroleum (as a percentage).
The question we are investigating is: How can petroleum yield be predicted from prop-
erties of crude and end point?
Exploratory Analysis
For this kind of grouped data a Trellis display, by group, with a simple model fitted within
each group is often very revealing. Figure 53 displays the resulting plot.
> names(petrol)
[1] "No" "SG" "VP" "V10" "EP" "Y"
> xyplot(Y ˜ EP | No, petrol, as.table = T,
panel = function(x, y, ...) {
panel.xyplot(x, y, ...)
panel.lmline(x, y, ...)
}, xlab = "End point", ylab = "Yield (%)",
main = "Petroleum data of N L Prater")
Fixed Effects Model
Clearly a straight line model is reasonable. There is some variation between groups, but
parallel lines is also a reasonable simplification. There also appears to be considerable
variation between intercepts, though.
c CSIRO Australia, 2005 Course Materials and Exercises
124 Classical Linear Models
Petroleum data of N L Prater
End point
Yield(%)
10
20
30
40
A
250 300 350 400
B C
250 300 350 400
D
E F G
10
20
30
40
H
250 300 350 400
10
20
30
40
I J
Figure 53: Plot of the data with a least squares line fitted.
c CSIRO Australia, 2005 Course Materials and Exercises
Classical Linear Models 125
We examine three types of models: (1) A model with interactions between crude oil and
end point (pet.2), (2) a model with main effects terms only (pet.1) and (3) a model
with just end point fitted (pet.0).
> pet.2 <- aov(Y ˜ No*EP, petrol)
> pet.1 <- update(pet.2, .˜.-No:EP)
> pet.0 <- update(pet.1, .˜.-No)
> anova(pet.0, pet.1, pet.2)
Analysis of Variance Table
Model 1: Y ˜ EP
Model 2: Y ˜ No + EP
Model 3: Y ˜ No * EP
Res.Df RSS Df Sum of Sq F Pr(>F)
1 30 1759.69
2 21 74.13 9 1685.56 74.1008 3.912e-09
3 12 30.33 9 43.80 1.9257 0.1439
The analysis of variance table reveals a substantial improvement in the fit of the model
when main effect terms for both crude oil and end point are included in the model. Little
improvement is noted when interaction terms are fitted as well.
Random Effects Model
Although we discuss random effects models a little later in the course, it is useful to touch
on the topic here as there does appear to be some variation between intercepts (crude oil
type) and slopes (end point).
We fit the random effects model using the lme function which is part of the nlme library.
The result is shown below and indicates substantial variability between intercepts and
minimal variation between slopes.
> require(nlme)
> pet.re1 <- lme(Y ˜ EP, petrol, random = ˜1+EP|No)
> summary(pet.re1)
.....
c CSIRO Australia, 2005 Course Materials and Exercises
126 Classical Linear Models
AIC BIC logLik
184.8296 193.2367 -86.41478
Random effects:
Formula: ˜1 + EP | No
Structure: General positive-definite, Log-Cholesky parametrization
StdDev Corr
(Intercept) 5.05889184 (Intr)
EP 0.01139653 0.709
Residual 1.75086332
Fixed effects: Y ˜ EP
Value Std.Error DF t-value p-value
(Intercept) -32.10612 2.414396 21 -13.29778 0
EP 0.15486 0.006434 21 24.06915 0
Correlation:
.....
The Shrinkage Effect
Having the random effect terms in the model offers some stability in the model. If we
look at a plot of the least squares line (green) and fitted values from the random effects
model (navy) in Figure 54 we see that the navy lines are much more stable than the green.
> B <- coef(pet.re1)
> B
(Intercept) EP
A -24.03882 0.1707089
B -28.89570 0.1598992
C -27.19826 0.1666324
D -30.91653 0.1566529
c CSIRO Australia, 2005 Course Materials and Exercises
Classical Linear Models 127
E -31.52066 0.1598700
F -31.54272 0.1565821
G -34.07130 0.1474257
H -36.12921 0.1495958
I -36.91514 0.1436641
J -39.83281 0.1375851
> xyplot(Y ˜ EP | No, petrol, as.table = T, subscripts = T,
panel = function(x, y, subscripts, ...) {
panel.xyplot(x, y, ...)
panel.lmline(x, y, col="navy", ...)
wh <- as(petrol$No[subscripts][1], "character")
panel.abline(B[wh, 1], B[wh, 2], col = "green")
}, xlab = "End point", ylab = "Yield (%)")
General Notes on Modelling
Some final notes . . .
1. Analysis of variance models are linear models but are usually fitted using aov
rather than lm. The computation is the same but the resulting object behaves differ-
ently in response to some generics, especially summary.
2. Generalized linear modelling (logistic regression, log-linear models, quasi-likelihood
etc) also use linear modelling formulae in that they specify the model matrix, not the
parameters. Generalized additive modelling (smoothing splines, loess models etc)
formulae are quite similar.
3. Non-linear regression uses a formula, but a completely different paradigm: the for-
mula gives the full model as an expression, including parameters.
c CSIRO Australia, 2005 Course Materials and Exercises
128 Classical Linear Models
End point
Yield(%)
10
20
30
40
A
250 300 350 400
B C
250 300 350 400
D
E F G
10
20
30
40
H
250 300 350 400
10
20
30
40
I J
Figure 54: Plot of the data with a least squares (green) and random effect (navy) lines
overlayed. Note how the random effect lines are less variable than the separate least
squares lines.
c CSIRO Australia, 2005 Course Materials and Exercises
Non-Linear Regression 129
Non-Linear Regression
Non-linear regression is a generalization of linear regression that was discussed in the
last session. Normality and equal variance are retained but the linearity of parameters
are relaxed somewhat.
Generally, non-linear regression arises from a fairly secure theory but it is not often ap-
propriate for empirical work.
Estimation is still by least squares, that is, maximum likelihood, but the sum of squares
surface is not necessarily quadratic.
The theory behind non-linear regression is approximate and relies on the sum of squared
surface being nearly quadratic in a region around the minimum.
Example: Stormer Viscometer Data
We illustrate the concept of non-linear regression using an example, the Stormer Viscome-
ter data.
Overview and Description
The stormer viscometer measures the viscosity of a fluid by measuring the time taken for
an inner cylinder in the mechanism to perform a fixed number of revolutions in response
to an actuating weight. The viscometer is calibrated by measuring the time taken with
varying weights while the mechanism is suspended in fluids of accurately known vis-
cosity. The data comes from such a calibration, and theoretical considerations suggest a
non-linear relationship between time, weight and viscosity of the form
T =
βυ
W − θ
+ ε (2)
where β and θ are unknown parameters to be estimated and ε represents the error term.
Appendix I describes the data in more detail.
Ignoring the error term and re-arranging the above expression gives
WT ≃ βυ + θT (3)
We consider fitting this relationship with ordinary least squares to get initial values for β
and θ before launching into a non-linear regression analysis.
c CSIRO Australia, 2005 Course Materials and Exercises
130 Non-Linear Regression
Fitting the Model and Looking at the Results
Fitting a linear model is very easy for this example. The first few lines extract the coeffi-
cients from the least squares fit. These represent starting values for the non-linear model.
The nls function is then used to fit the non-linear model expressed above using the start-
ing values from the previous model. The results are presented in the summary below and
indicate that both β and θ are significant terms in the model.
> b <- coef(lm(Wt*Time ˜ Viscosity + Time - 1,stormer))
> names(b) <- c("beta", "theta")
> b
beta theta
28.876 2.8437
> storm.1 <- nls(Time ˜ beta*Viscosity/(Wt - theta),
stormer, start=b, trace=T)
885.365 : 28.8755 2.84373
825.110 : 29.3935 2.23328
825.051 : 29.4013 2.21823
> summary(storm.1)
Formula: Time ˜ (beta * Viscosity)/(Wt - theta)
Parameters:
Value Std. Error t value
beta 29.4013 0.9155 32.114
theta 2.2183 0.6655 3.333
Residual standard error: 6.268 on 21 degrees of freedom
Correlation of Parameter Estimates:
beta
c CSIRO Australia, 2005 Course Materials and Exercises
Non-Linear Regression 131
theta -0.92
Self Starting Models
Self starting models allow the starting procedure to be encoded into the model function.
This may seem somewhat arcane but very powerful.
The selfStart function takes on a model argument that defines a nonlinear model or a
nonlinear formula, an initial argument, a function object that takes three arguments:
mCall, data and LHS that represent a matched call to the function model, a data frame
to interpret the variables in mCall and the expression from the left and side of the model
formula in the call to nls, and a parameters argument which is a character vector
specifying the terms on the right hand side of the model which are to be calculated. Refer
to the help on self starting models for more information.
The eval function in the script below evaluates an expression, in this case mCall and
LHS, two arguments passed to the storm.init function.
> require(MASS)
> storm.init <- function(mCall, data, LHS) {
v <- eval(mCall[["V"]], data)
w <- eval(mCall[["W"]], data)
t <- eval(LHS, data)
b <- lsfit(cbind(v, t), t * w, int = F)$coef
names(b) <- mCall[c("b", "t")]
b
}
> NLSstormer <- selfStart( ˜ b*V/(W-t),storm.init, c("b","t"))
> args(NLSstormer)
function(V, W, b, t)
NULL ...
> tst <- nls(Time ˜ NLSstormer(Viscosity, Wt, beta,
theta), stormer, trace = T)
885.365 : 28.8755 2.84373
c CSIRO Australia, 2005 Course Materials and Exercises
132 Non-Linear Regression
825.110 : 29.3935 2.23328
825.051 : 29.4013 2.21823
We can think about bootstrapping the model to obtain standard errors of the estimates.
We can achieve this by constructing a matrix called B consisting of 500 rows and two
columns. We then mean correct the residuals from the fitted model, sample from the
residuals 500 times and add these residuals to the fitted values from the model. We then
update the model using these new values as the response. To avoid any failures, we use
the try function. Try evaluates an expression and traps any errors that may occur from
the function that is being run.
We can then compute the means and standard deviations across the 500 bootstrap sam-
ples.
> tst$call$trace <- NULL
> B <- matrix(NA, 500, 2)
> r <- scale(resid(tst), scale = F) # mean correct
> f <- fitted(tst)
> for(i in 1:500) {
v <- f + sample(r, rep = T)
B[i, ] <- try(coef(update(tst, v ˜ .))) # guard!
}
> cbind(Coef = colMeans(B), SD = sd(B))
Coef SD
[1,] 29.353547 0.8145761
[2,] 2.243293 0.5910415
Alternatively we could calculate the standard errors using a parametric approach as fol-
lows:
> cbind(Coef = coef(tst), SD = sqrt(diag(vcov(tst))))
Coef SD
beta 29.401257 0.9155336
theta 2.218274 0.6655216
A Bayesian Bootstrap is yet another alternative.
> b <- c(b = 29.1, th=2.21)
c CSIRO Australia, 2005 Course Materials and Exercises
Non-Linear Regression 133
> n <- nrow(stormer)
> B <- matrix(NA, 1000, 2)
>
> for(i in 1:1000) {
w <- rexp(n)
B[i, ] <- try(coef(
nls(˜sqrt(w)*(Time - b*Viscosity/(Wt - th)),
data = stormer, start = b)))
}
>
> cbind(Coef = colMeans(B), SD = sd(B))
Coef SD
[1,] 29.378877 0.5587205
[2,] 2.251673 0.5822162
Example: Muscle Data
The muscle dataset is an old data from an experiment on muscle contraction in experi-
mental animals. The data is explained and referenced in Appendix I.
The data consists of the variables: Strip (identifier of muscle), Conc (CaCl concentra-
tions used to soak the section and Length (resulting length of muscle section for each
concentration).
The model we are considering for this data is a non-linear model of the form
L = α + β exp(−C/θ) + error (4)
where α and β may vary with the animal but θ is constant. Note that α and β are (very
many) linear parameters.
c CSIRO Australia, 2005 Course Materials and Exercises
134 Non-Linear Regression
First Model: Fixed Parameters
Since there are 21 animals with separate alpha’s and beta’s for each, the number of pa-
rameters is 21+21+1=43, from 61 observations! We use the plinear algorithm since all
parameters are linear with the exception to one.
> X <- model.matrix(˜ Strip - 1, muscle)
> musc.1 <- nls(Length ˜ cbind(X, X*exp(-Conc/th)),
muscle, start = list(th = 1), algorithm = "plinear",
trace = T)
....
> b <- coef(musc.1)
> b
th .lin1 .lin2 .lin3 .lin4 .lin5 .lin6 .lin7
0.79689 23.454 28.302 30.801 25.921 23.2 20.12 33.595
......
.lin39 .lin40 .lin41 .lin42
-15.897 -28.97 -36.918 -26.508
Conventional Fitting Algorithm
Parameters in non-linear regression may be indexed as follows
> b <- as.vector(b) # remove names attribute
> th <- b[1]
> a <- b[2:22]
> b <- b[23:43]
> musc.2 <- nls(Length ˜ a[Strip] +
b[Strip]*exp(-Conc/th),
muscle, start = list(a = a, b = b, th = th),
trace = T)
......
c CSIRO Australia, 2005 Course Materials and Exercises
Non-Linear Regression 135
As we have some proper starting values, the algorithm converges in one step now. Note
that with indexed parameters, the starting values must be given in a list (with names).
Plotting the Result
To plot the results, we use the expand.grid function to create a data frame from all
combinations of the supplied vectors or factors.
> range(muscle$Conc)
[1] 0.25 4.00
> newdat <- expand.grid(
Strip = levels(muscle$Strip),
Conc = seq(0.25, 4, 0.05))
> dim(newdat)
[1] 1596 2
> names(newdat)
[1] "Strip" "Conc"
> newdat$Length <- predict(musc.2, newdat)
Trellis then comes to the rescue, plotting the predictions from the expanded grid to pro-
duce the plot shown in Figure 55.
> trellis.par.set(col.whitebg())
> xyplot(Length ˜ Conc | Strip, muscle, subscripts = T,
panel = function(x, y, subscripts, ...) {
panel.xyplot(x, y, ...)
ws <- as(muscle$Strip[subscripts[1]], "character")
wf <- which(newdat$Strip == ws)
xx <- newdat$Conc[wf]
yy <- newdat$Length[wf]
llines(xx, yy, col = "red")
}, ylim = range(newdat$Length, muscle$Length),
as.table = T, col = "navy")
c CSIRO Australia, 2005 Course Materials and Exercises
136 Non-Linear Regression
Conc
Length
0
10
20
30
S01
1 2 3 4
S02 S03
1 2 3 4
S04 S05
S06 S07 S08 S09
0
10
20
30
S10
0
10
20
30
S11 S12 S13 S14 S15
S16 S17 S18 S19
0
10
20
30
S20
1 2 3 4
0
10
20
30
S21
Figure 55: Predictions produced for the muscle dataset on an expanded grid.
c CSIRO Australia, 2005 Course Materials and Exercises
Non-Linear Regression 137
A Random Effects Version
Random effect modelling of this dataset will be explored in a later session. However,
we briefly touch upon the approach here. Random effects models allow the parametric
dimension to be more easily controlled. We assume α and β are now random over animals
> musc.re <- nlme(Length ˜ a + b*exp(-Conc/th),
fixed = a+b+th˜1, random = a+b˜1|Strip,
data = muscle, start = c(a = mean(a),
b = mean(b), th = th))
The vectors a, b and th come from the previous fit so there is no need to supply initial
values for the random effects, (though you may).
We can produce a plot showing the predictions from the two models: fixed effects (gold)
and random effects (navy), with points overlayed in hot pink. The resulting plot is shown
in Figure 56.
> newdat$L2 <- predict(musc.re, newdat)
> xyplot(Length ˜ Conc | Strip, muscle, subscripts = T,
par.strip.text=list(lines=1,cex=0.7),
panel =function(x, y, subscripts, ...) {
panel.xyplot(x, y, ...)
ws <- as(muscle$Strip[subscripts[1]], "character")
wf <- which(newdat$Strip == ws)
xx <- newdat$Conc[wf]
yy <- newdat$Length[wf]
llines(xx, yy, col = "gold")
yy <- newdat$L2[wf]
llines(xx, yy, lty=4, col = "navy")
},
ylim = range(newdat$Length, muscle$Length),
as.table = T, col = "hotpink")
c CSIRO Australia, 2005 Course Materials and Exercises
138 Non-Linear Regression
Conc
Length
0
10
20
30
S01
1 2 3 4
S02 S03
1 2 3 4
S04 S05
S06 S07 S08 S09
0
10
20
30
S10
0
10
20
30
S11 S12 S13 S14 S15
S16 S17 S18 S19
0
10
20
30
S20
1 2 3 4
0
10
20
30
S21
Figure 56: A Composite Plot
c CSIRO Australia, 2005 Course Materials and Exercises
Non-Linear Regression 139
Final Notes
• Non-linear regression can be tricky. Some ingenuity in finding good starting values
can be well rewarded.
• We have considered two bootstrapping techniques
– bootstrapping mean-centred residuals and
– using exponential weights.
• Ordinary bootstrapping by re-sampling the data can lead to problems in non-linear
regression if influential points are omitted.
• Non-linear mixed models can require a great deal of computation. Large data sets
can pose particularly difficult computational problems.
c CSIRO Australia, 2005 Course Materials and Exercises
Generalized Linear Modelling 141
Generalized Linear Modelling
Methodology
Generalisations of Traditional Linear Models: A Roadmap
Figure 57 displays a roadmap of the different statistical models and their origins. Table 8
provides an explanation of acronyms to accompany the roadmap.
In the previous sessions we focussed on linear and non-linear models. This session we
focus on generalized linear models. Future sessions will discuss the remaining modelling
approaches shown in this diagram.
Figure 57: A roadmap of regression modelling techniques
c CSIRO Australia, 2005 Course Materials and Exercises
142 Generalized Linear Modelling
Table 8: Explanation of Acronyms
Model Acronym R function
Linear Models LM lm, aov
Multivariate LMs MLM manova
Generalized LMs GLM glm
Linear Mixed Models LMM lme, aov
Non-linear Models NLM nls
Non-linear Mixed Models NLMM nlme
Generalized LMMs GLMM glmmPQL
Generalized Additive Ms GAM gam
Nature of the Generalization
If we consider a single response variable y and some candidate predictor variables
x1, x2, . . ., xp, the distribution of y can only depend on the predictors through a single
linear function:
η = b1x1 + b2x2 + . . . + bpxp
The distribution belongs to the GLM family of distributions, where there may (or may
not) be an unknown scale parameter.
Distributions in the GLM Family
There are a number of distributions that we can consider apart from the Normal distri-
bution that leads to a linear model. A summary of these distributions is displayed in
Table 9.
Table 9: Distributions in the GLM Family
Distribution Model
Normal Ordinary linear models
Binomial Logistic regression, probit
Poisson Log-linear models
Gamma Alternative to lognormal models
Negative Binomial Take into account overdispersion
c CSIRO Australia, 2005 Course Materials and Exercises
Generalized Linear Modelling 143
Link Functions
It is assumed that the linear predictor determines the mean of the response. The linear
predictor is unbounded, but the mean of some of these distributions (e.g. binomial) is
restricted. The mean is assumed to be a (monotone) function of the linear predictor and
the inverse of this function is called the link function. Choosing a link is often the first
problem in constructing a GLM.
Here are a few examples:
Normal → Identity link
Binomial → Logistic or Probit links
Poisson → Log or Square-root link
Gamma → log or inverse link
For the binomial distribution the response is taken as the proportion of cases responding.
Thus the mean lies between 0 and 1 and the logistic link uses
µ =
exp η
1 + exp η
, η = log
µ
1 − µ
A question you may be wondering is why the link function is defined backwards. This
is largely due to historical reasons. GLM theory was developed as a replacement for an
older approximate theory that used transformations of the data. The link function is de-
fined in the same sense, but the data are never transformed. The connection however, is
assumed between parameters. The newer theory produces exact maximum likelihood es-
timates, but apart from the normal/identity case, inference procedures are still somewhat
approximate.
Practice
Constructing GLMs in R is almost entirely analogous to constructing linear models. Es-
timation is by iteratively weighted least squares, so some care has to be taken that the
iterative scheme has converged.
Some tools exist for manual and automated variable selection. There are differences how-
ever. For example, the residuals function distinguishes four types of residuals which all
coincide in the case of linear models.
c CSIRO Australia, 2005 Course Materials and Exercises
144 Generalized Linear Modelling
Example: Budworm Data
We illustrate fitting a GLM using the Budworm data. The data needs to be constructed
and this is achieved using the following script.
> options(contrasts = c("contr.treatment", "contr.poly"))
> ldose <- rep(0:5, 2)
> numdead <- scan()
1 4 9 13 18 20
0 2 6 10 12 16
> sex <- factor(rep(c("M", "F"), each = 6))
> SF <- cbind(numdead, numalive = 20 - numdead)
> Budworms <- data.frame(ldose, sex)
> Budworms$SF <- SF
> rm(sex, ldose, SF)
An Initial Model
We fit an initial GLM to the budworm data using a Binomial distribution since we have
information on the proportion of worms dead and we are trying to relate that proportion
to the sex of the worm and dosage. (The trace option is set to true so we can examine
the number of iterations required in the model fitting process.) The results are printed
below.
> budworm.lg <- glm(SF ˜ sex/ldose, family = binomial,
data = Budworms, trace = T)
Deviance = 5.016103 Iterations - 1
Deviance = 4.993734 Iterations - 2
Deviance = 4.993727 Iterations - 3
Deviance = 4.993727 Iterations - 4
> summary(budworm.lg, cor = F)
c CSIRO Australia, 2005 Course Materials and Exercises
Generalized Linear Modelling 145
...
Deviance Residuals:
Min 1Q Median 3Q Max
-1.39849 -0.32094 -0.07592 0.38220 1.10375
Coefficients:
Estimate Std. Error z value Pr(>|z|)
(Intercept) -2.9935 0.5527 -5.416 6.09e-08 ***
sexM 0.1750 0.7783 0.225 0.822
sexF:ldose 0.9060 0.1671 5.422 5.89e-08 ***
sexM:ldose 1.2589 0.2121 5.937 2.91e-09 ***
Results indicate that dosage fitted separately for males and females is significant.
Displaying the Fit
We display the fit of the model using the following script, which shows the probability
of death versus dosage plotted on the log scale. The with function temporarily attaches
the Budworms dataset and allows us to extract the variables required to produce the plot.
Males are shown in orange and females are shown in blue indicating that females have
a lower probability of dying than males and this becomes more prominent as dosage
increases. The plot is shown in Figure 58.
> with(Budworms,{
plot(c(1,32), c(0,1), type = "n", xlab = "dose",
log = "x", axes = F,ylab = "Pr(Death)")
axis(1, at = 2ˆ(0:5))
axis(2)
points(2ˆldose[1:6], numdead[1:6]/20, pch = 4)
points(2ˆldose[7:12], numdead[7:12]/20, pch = 1)
ld <- seq(0, 5, length = 100)
c CSIRO Australia, 2005 Course Materials and Exercises
146 Generalized Linear Modelling
lines(2ˆld, predict(budworm.lg, data.frame(ldose = ld,
sex = factor(rep("M", length(ld)),
levels = levels(sex))),
type = "response"), col = "orange", lwd = 2)
lines(2ˆld, predict(budworm.lg, data.frame(ldose = ld,
sex = factor(rep("F", length(ld)), levels = levels(sex))),
type = "response"), lty = 2, col = "blue", lwd = 2)
})
dose
Pr(Death)
1 2 4 8 16 32
0.00.20.40.60.81.0
Figure 58: Plot of predictions for male (orange) and female (blue) worms.
c CSIRO Australia, 2005 Course Materials and Exercises
Generalized Linear Modelling 147
Is Sex Significant?
This is a marginal term and so its meaning has to be interpreted carefully. Watch what
happens if ldose is re-centred. In the previous analysis, we fitted separate lines for each
sex and tested the hypothesis that the lines do not differ at zero log-dose. If we repa-
rameterise the model to include the intercept at dose 8 we find that there is significant
differences between sexes at dose 8 and the model fits reasonably well.
> budworm.lgA <- update(budworm.lg, . ˜ sex/I(ldose - 3))
Deviance = 5.016103 Iterations - 1
Deviance = 4.993734 Iterations - 2
Deviance = 4.993727 Iterations - 3
Deviance = 4.993727 Iterations - 4
> summary(budworm.lgA, cor = F)$coefficients
Estimate Std. Error z value Pr(>|z|)
(Intercept) -0.2754324 0.2305173 -1.194845 2.321475e-01
sexM 1.2337258 0.3769761 3.272689 1.065295e-03
sexF:I(ldose - 3) 0.9060364 0.1671016 5.422068 5.891353e-08
sexM:I(ldose - 3) 1.2589494 0.2120655 5.936607 2.909816e-09
Checking for Curvature
We now check for curvature by adding in a squared term into the model and examining
the fit using analysis of variance. Results suggest that there is no evidence of curvature in
the data.
> anova(update(budworm.lgA, . ˜ . + sex/I((ldose - 3)ˆ2)),
test = "Chisq")
Deviance = 3.178919 Iterations - 1
Deviance = 3.171635 Iterations - 2
Deviance = 3.171634 Iterations - 3
Deviance = 3.171634 Iterations - 4
Deviance = 121.9229 Iterations - 1
c CSIRO Australia, 2005 Course Materials and Exercises
148 Generalized Linear Modelling
Deviance = 118.7995 Iterations - 2
Deviance = 118.7986 Iterations - 3
Deviance = 118.7986 Iterations - 4
Deviance = 5.016103 Iterations - 1
Deviance = 4.993734 Iterations - 2
Deviance = 4.993727 Iterations - 3
Deviance = 4.993727 Iterations - 4
Analysis of Deviance Table
Model: binomial, link: logit
Response: SF
Terms added sequentially (first to last)
Df Deviance Resid. Df Resid. Dev P(>|Chi|)
NULL 11 124.876
sex 1 6.077 10 118.799 0.014
sex:I(ldose - 3) 2 113.805 8 4.994 1.939e-25
sex:I((ldose - 3)ˆ2) 2 1.822 6 3.172 0.402
Final Model: Parallelism
The final model we examine is one that checks for parallelism. If we reparameterise the
model so that we fit separate parallel lines to each sex we find the following:
> budworm.lg0 <- glm(SF ˜ sex + ldose - 1, family = binomial,
Budworms, trace = T)
Deviance = 6.81165 Iterations - 1
Deviance = 6.757094 Iterations - 2
Deviance = 6.757064 Iterations - 3
c CSIRO Australia, 2005 Course Materials and Exercises
Generalized Linear Modelling 149
Deviance = 6.757064 Iterations - 4
> anova(budworm.lg0, budworm.lgA, test = "Chisq")
Analysis of Deviance Table
Model 1: SF ˜ sex + ldose - 1
Model 2: SF ˜ sex + sex:I(ldose - 3)
Resid. Df Resid. Dev Df Deviance P(>|Chi|)
1 9 6.7571
2 8 4.9937 1 1.7633 0.1842
Comparison with the previous model suggests that parallel lines is a reasonable assump-
tion.
Effective Dosages
We now try and estimate for each sex, the dose where the probability of the moth dying
is 50%. This is usually referred to as LD50 and it can be expressed as
xp = (l(p) − β0)/β1
The MASS library has a function, dose.p for calculating xp and its associated standard
error. There is also a special print function for printing the results (see below for more
details). If we use this function on the budworm fitted model, (where we fitted parallel
lines), we find the dosages and standard errors for probabilities ranging between 0.25 and
0.75.
> dose.p
function(obj, cf = 1:2, p = 0.5)
{
eta <- family(obj)$link(p)
b <- coef(obj)[cf]
x.p <- (eta - b[1])/b[2]
c CSIRO Australia, 2005 Course Materials and Exercises
150 Generalized Linear Modelling
names(x.p) <- paste("p = ", format(p), ":", sep = "")
pd <- - cbind(1, x.p)/b[2]
SE <- sqrt(((pd %*% vcov(obj)[cf, cf]) * pd) %*% c(1, 1))
res <- structure(x.p, SE = SE, p = p)
oldClass(res) <- "glm.dose"
res
}
> print.glm.dose <- function(x, ...){
M <- cbind(x, attr(x, "SE"))
dimnames(M) <- list(names(x), c("Dose", "SE"))
x <- M
NextMethod("print")
> dose.p(budworm.lg0, cf = c(1, 3), p = 1:3/4)
Dose SE
p = 0.25: 2.231265 0.2499089
p = 0.50: 3.263587 0.2297539
p = 0.75: 4.295910 0.2746874
Example: Low Birth Weight Data
The low birthweight data is described in Appendix I and contains information on low
birth weight in infants born at a US hospital. A number of variables were collected that
might explain the cause of the low birth weight.
We attach the birthwt dataset and examine some of the factors in the dataset.
> options(contrasts = c("contr.treatment", "contr.poly"))
> attach(birthwt)
> race <- factor(race, labels = c("white", "black", "other"))
> table(ptl)
0 1 2 3
c CSIRO Australia, 2005 Course Materials and Exercises
Generalized Linear Modelling 151
159 24 5 1
> ptd <- factor(ptl > 0)
> table(ftv)
0 1 2 3 4 6
100 47 30 7 4 1
> ftv <- factor(ftv)
> levels(ftv)[ - (1:2)] <- "2+"
> table(ftv)
0 1 2+
100 47 42
> bwt <- data.frame(low = factor(low), age, lwt, race,
smoke = (smoke > 0), ptd, ht = (ht > 0), ui = (ui > 0), ftv)
> detach("birthwt")
> rm(race, ptd, ftv)
Initial Model
We consider as an initial model fitting a logistic regression to the low birth weight binary
response and drop terms one at a time and test for significance. The resulting model is
shown below.
> birthwt.glm <- glm(low ˜ ., family = binomial, data = bwt)
> dropterm(birthwt.glm, test = "Chisq")
Single term deletions
Model:
low ˜ age + lwt + race + smoke + ptd + ht + ui + ftv
Df Deviance AIC LRT Pr(Chi)
<none> 195.476 217.476
age 1 196.417 216.417 0.942 0.331796
lwt 1 200.949 220.949 5.474 0.019302 *
race 2 201.227 219.227 5.751 0.056380 .
c CSIRO Australia, 2005 Course Materials and Exercises
152 Generalized Linear Modelling
smoke 1 198.674 218.674 3.198 0.073717 .
ptd 1 203.584 223.584 8.109 0.004406 **
ht 1 202.934 222.934 7.458 0.006314 **
ui 1 197.585 217.585 2.110 0.146342
ftv 2 196.834 214.834 1.358 0.507077
---
The previous model output suggests removing fitv and age. This is confirmed by suc-
cessive deletion of these terms in the model. What happens, though, when we check for
interactions between factors and curvatures in the numeric predictors? The next piece of
code examines this issue.
> birthwt.step2 <- stepAIC(birthwt.glm, ˜ .ˆ2 + I(scale(age)ˆ2) +
I(scale(lwt)ˆ2), trace = F)
> birthwt.step2$anova
Stepwise Model Path
Analysis of Deviance Table
Initial Model:
low ˜ age + lwt + race + smoke + ptd + ht + ui + ftv
Final Model:
low ˜ age + lwt + smoke + ptd + ht + ui + ftv + age:ftv + smoke:ui
Step Df Deviance Resid. Df Resid. Dev AIC
1 178 195.4755 217.4755
2 + age:ftv 2 12.474896 176 183.0006 209.0006
3 + smoke:ui 1 3.056805 175 179.9438 207.9438
4 - race 2 3.129586 177 183.0734 207.0734
The model results in adding an interaction between age and fitv and removing race.
Sometimes adding terms in one at a time and observing the coefficients may hint to con-
founding terms and/or interactions worthwhile exploring.
c CSIRO Australia, 2005 Course Materials and Exercises
Generalized Linear Modelling 153
Final Model: Two Important Interactions
The final model we arrive at is a model that has main effect terms in age, weight of the
mother, smoking status, hypertension, uterine irritability and number of physician visits
as well as interactions between age and physician visits and smoking and uterine irri-
tability.
> dropterm(birthwt.step2, test = "Chisq")
Single term deletions
Model:
low ˜ age + lwt + smoke + ptd + ht + ui + ftv + age:ftv + smoke:ui
Df Deviance AIC LRT Pr(Chi)
<none> 183.073 207.073
lwt 1 191.559 213.559 8.486 0.0035797 **
ptd 1 193.588 215.588 10.515 0.0011843 **
ht 1 191.211 213.211 8.137 0.0043361 **
age:ftv 2 199.003 219.003 15.930 0.0003475 ***
smoke:ui 1 186.986 208.986 3.913 0.0479224 *
---
We can check for linearity on age within number of physician visits. The idea is to fit
separate spline terms within the levels of ftv, but keeping all other important terms
(including interactions). It is important that spline terms be chosen with enough knots
to allow non-linear behaviour to become apparent, but not so much that the fit becomes
nearly indeterminate. This is how we do this.
We first create a grid of points ranging the full extent of the data.
> attach(bwt)
> BWT <- expand.grid(age=14:45, lwt = mean(lwt),
race = factor("white", levels = levels(race)),
smoke = c(T,F),
ptd = factor(c(T,F)),
ht = c(T,F),
ui = c(T,F),
c CSIRO Australia, 2005 Course Materials and Exercises
154 Generalized Linear Modelling
ftv = levels(ftv))
> detach("bwt")
We then create a function that constructs natural splines with knots based on quantiles of
the data. Here, the splines library is temporarily attached using the :: operator.
> nsAge <- function(x)
splines::ns(x, knots = quantile(bwt$age, 1:2/3),
Boundary.knots = range(bwt$age))
We then hard wire the knot placements using the nsAge function. This is referred to as
safe prediction.
# Hard wiring the knot placements
> birthwt.glm2 <- glm(low ˜ lwt + ptd + ht + smoke * ui +
ftv/nsAge(age), binomial, bwt, trace = F)
If we are not careful about how to construct these knots we can have difficulties getting
out the correct predictions (and not even know it). The sloppy version for constructing
knots is shown below:
# Sloppy version
> birthwt.glm2 <- glm(low ˜ lwt + ptd + ht + smoke * ui +
ftv/splines::ns(age,df=3), binomial, bwt, trace = F)
We now predict using the predict function and overlay the predictions on a graph. Fig-
ures 59 and 60 show the results from hard wiring knots and calculating knots arbitrarily.
Notice the differences in the predictions.
> prob <- predict(birthwt.glm2, BWT, type = "resp")
> xyplot(prob ˜ age | ftv, BWT, type = "l",
subset = smoke == F & ptd == F & ht == F & ui == F,
as.table = T, ylim = c(0, 1), ylab = "Pr(Low bwt)")
c CSIRO Australia, 2005 Course Materials and Exercises
Generalized Linear Modelling 155
age
Pr(Lowbwt)
0
20 30 40
0.2
0.4
0.6
0.8
1
20 30 40
0.2
0.4
0.6
0.8
2+
Figure 59: Hard Wiring Knot Placements
c CSIRO Australia, 2005 Course Materials and Exercises
156 Generalized Linear Modelling
age
Pr(Lowbwt)
0
20 30 40
0.2
0.4
0.6
0.8
1
20 30 40
0.2
0.4
0.6
0.8
2+
Figure 60: Sloppy Version
c CSIRO Australia, 2005 Course Materials and Exercises
GLM Extensions 157
GLM Extensions
The Negative Binomial Distribution
The probability function of the negative binomial distribution is displayed below
Pr(Y = y) =
Γ(θ + y)
Γ(θ)y!
θθ
µy
(θ + µ)θ+y
, y = 0, 1, 2, . . .
with a mean-variance relationship expressed as
V ar[Y ] = µ + µ2
/θ
Software for fitting negative binomial models are provided in the MASS library. The
function glm.nb fits a negative binomial model to a set of data and it can also be fitted
by optimisation functions, e.g. optim.
Genesis
We consider briefly, a Gamma mixture of Poissons (GLMM)
Y |G ∼ Po(µG), G ∼ γ(θ, θ), , E[G] = 1, V ar[G] = 1/θ
and a compound Poisson
Y = X1 + X2 + . . . + XN , N ∼ Po, Xi ∼ logarithmic
We consider fitting these models to the Quine data as an example. We start with an initial
Poisson fit however.
An Initial Poisson Fit
A Poisson model was fit to the Quine dataset, the results of which are displayed below.
The summary of the fit indicates an excessively large deviance. Inspection of the mean
variance relationship indicates that a negative binomial model may be more appropriate.
> quine.po1 <- glm(Days ˜ .ˆ4, poisson, quine, trace = T)
c CSIRO Australia, 2005 Course Materials and Exercises
158 GLM Extensions
Deviance = 1371.787 Iterations - 1
Deviance = 1178.433 Iterations - 2
Deviance = 1173.905 Iterations - 3
Deviance = 1173.899 Iterations - 4
Deviance = 1173.899 Iterations - 5
> summary(quine.po1, cor = F)
Call:
glm(formula = Days ˜ .ˆ4, family = poisson, data = quine, trace = T)
(Dispersion Parameter for Poisson family taken to be 1 )
Null Deviance: 2073.5 on 145 degrees of freedom
Residual Deviance: 1173.9 on 118 degrees of freedom
We consider the heuristic: G ≈ Y/µ and use the fitted value from the Poisson fit as an
estimate of µ. The fit of the model is shown below.
> t0 <- 1/var(quine$Days/fitted(quine.po1))
> t0
[1] 1.966012
> quine.nb1 <- glm.nb(Days ˜ Eth * Lrn * Age * Sex,
data = quine, init.theta = t0, trace = 2)
Initial fit:
Deviance = 176.1053 Iterations - 1
Deviance = 169.9369 Iterations - 2
Deviance = 169.8431 Iterations - 3
Deviance = 169.8431 Iterations - 4
Deviance = 169.8431 Iterations - 5
Initial value for theta: 1.92836
Deviance = 167.4535 Iterations - 1
Theta( 1 ) = 1.92836 , 2(Ls - Lm) = 167.453
c CSIRO Australia, 2005 Course Materials and Exercises
GLM Extensions 159
> quine.nb1$call$trace <- F # turn off tracing
> dropterm(quine.nb1, test = "Chisq")
Single term deletions
Model:
Days ˜ Eth * Lrn * Age * Sex
Df AIC LRT Pr(Chi)
<none> 1095.3
Eth:Lrn:Age:Sex 2 1092.7 1.4 0.4956
The previous analysis indicated that the four-way interaction of terms was not required
in the model. So we updated the model with this term removed. This provided the
following results.
> quine.nb2 <- update(quine.nb1, . ˜ . - Eth:Lrn:Age:Sex)
dropterm(quine.nb2, test = "Chisq", k = log(nrow(quine)))
Single term deletions
Df AIC LRT Pr(Chi)
<none> 1170.30
Eth:Lrn:Age 2 1166.31 5.97 0.05045
Eth:Lrn:Sex 1 1167.91 2.60 0.10714
Eth:Age:Sex 3 1158.03 2.68 0.44348
Lrn:Age:Sex 2 1166.61 6.28 0.04330
Dropping the interaction between Eth, Age and Sex provides the following results
> quine.nb3 <- update(quine.nb2, . ˜ . - Eth:Age:Sex)
dropterm(quine.nb3, test = "Chisq", k = log(nrow(quine)))
Single term deletions
...
Df AIC LRT Pr(Chi)
<none> 1158.03
Eth:Lrn:Age 2 1153.83 5.77 0.05590
Eth:Lrn:Sex 1 1158.09 5.04 0.02479
c CSIRO Australia, 2005 Course Materials and Exercises
160 GLM Extensions
Lrn:Age:Sex 2 1153.77 5.70 0.05779
We now consider also dropping the interaction between Lrn, Age and Sex. This produces
the following output.
> quine.nb4 <- update(quine.nb3, . ˜ . - Lrn:Age:Sex)
dropterm(quine.nb4, test = "Chisq", k = log(nrow(quine)))
Single term deletions
...
Df AIC LRT Pr(Chi)
<none> 1153.77
Age:Sex 3 1158.51 19.69 0.0001968
Eth:Lrn:Age 2 1148.12 4.32 0.1153202
Eth:Lrn:Sex 1 1154.27 5.49 0.0191463
We now drop the interaction between Lrn, Age and Eth.
> quine.nb5 <- update(quine.nb4, . ˜ . - Lrn:Age:Eth)
> dropterm(quine.nb5, test = "Chisq", k = log(nrow(quine)))
Single term deletions
Df AIC LRT Pr(Chi)
<none> 1148.12
Eth:Age 3 1138.56 5.39 0.145324
Lrn:Age 2 1141.94 3.79 0.150482
Age:Sex 3 1154.31 21.14 0.000098
Eth:Lrn:Sex 1 1152.25 9.12 0.002535
We now drop the interaction between Lrn and Age.
> quine.nb6 <- update(quine.nb5, . ˜ . - Lrn:Age)
> dropterm(quine.nb6, test = "Chisq", k = log(nrow(quine)))
Single term deletions
Df AIC LRT Pr(Chi)
<none> 1141.94
Eth:Age 3 1132.80 5.81 0.1214197
c CSIRO Australia, 2005 Course Materials and Exercises
GLM Extensions 161
Age:Sex 3 1145.43 18.44 0.0003569
Eth:Lrn:Sex 1 1145.40 8.44 0.0036727
Finally, we drop the interaction between Eth and Age to reveal the following summary
table.
> quine.nb7 <- update(quine.nb6, . ˜ . - Eth:Age)
dropterm(quine.nb7, test = "Chisq",
k = log(nrow(quine)))
Single term deletions
Model:
Days ˜ Eth + Lrn + Age + Sex + Eth:Lrn + Eth:Sex + Lrn:Sex +
Age:Sex + Eth:Lrn:Sex
Df AIC LRT Pr(Chi)
<none> 1132.80
Age:Sex 3 1136.46 18.62 0.0003277
Eth:Lrn:Sex 1 1140.23 12.42 0.0004244
> quine.check <- glm.nb(Days ˜ Sex/(Age + Eth * Lrn), quine)
> deviance(quine.nb7)
> deviance(quine.check)
[1] 167.5558
[1] 167.5558
> range(fitted(quine.nb7) - fitted(quine.check))
[1] -1.484696e-06 5.938008e-07
Diagnostic Checks
Diagnostic checks of the fitted model are shown in Figure 61 and were produced using
the following script.
> fv <- fitted(quine.nb7)
> rs <- resid(quine.nb7, type = "deviance")
> pv <- predict(quine.nb7)
c CSIRO Australia, 2005 Course Materials and Exercises
162 GLM Extensions
> par(mfrow = c(1,2))
> plot(fv, rs, xlab = "fitted values",
ylab = "deviance residuals")
> abline(h = 0, lty = 4, lwd = 2, col = "orange")
> qqnorm(rs, ylab = "sorted deviance residuals")
> qqline(rs, col = "orange", lwd = 2, lty = 4)
> par(mfrow=c(1,1))
10 20 30 40 50
−3−2−1012
fitted values
devianceresiduals
−2 −1 0 1 2
−3−2−1012
Normal Q−Q Plot
Theoretical Quantiles
sorteddevianceresiduals
Figure 61: Diagnostic plots of the fitted model to the Quine dataset.
Some Notes on the model . . .
• We are led to the same model as with the transformed data.
• The big advantage we have with this analysis is that it is on the original scale, so
predictions would be direct.
• Diagnostic analyses are still useful here, though they are less so with small count
data
• Often the value for theta is not critical. One alternative to this is to fit the models
with a fixed value for theta as ordinary glms.
c CSIRO Australia, 2005 Course Materials and Exercises
GLM Extensions 163
Fixing Theta at a Constant Value
We now fix θ to be a constant value and examine the results. Fortunately we are led to the
same model. This is a common occurrence if theta is a reasonable value to use.
> quine.glm1 <- glm(Days ˜ Eth * Sex * Lrn * Age,
negative.binomial(theta = t0), data = quine, trace = F)
> quine.step <- stepAIC(quine.glm1, k = log(nrow(quine)),
trace = F)
> dropterm(quine.step, test = "Chisq")
Single term deletions
Model:
Days ˜ Eth + Sex + Lrn + Age + Eth:Sex + Eth:Lrn + Sex:Lrn +
Sex:Age + Eth:Sex:Lrn
Df Deviance AIC scaled dev. Pr(Chi)
<none> 195.99 1093.49
Sex:Age 3 219.70 1108.48 20.99 0.0001056
Eth:Sex:Lrn 1 211.52 1105.24 13.75 0.0002086
Multinomial Models
Surrogate Poisson models offer a powerful way of analysing frequency data, even if the
distribution is not Poisson. This is possible because the multinomial distribution can be
viewed as a conditional distribution of independent Poisson variables, given their sum.
In multiply classified frequency data, it is important to separate response and stimulus
classifications (which may change according to viewpoint). With only one response clas-
sification, multinomial models may be fitted directly using multinom.
Example: Copenhagen Housing Data
The Copenhagen housing dataset is described in Appendix I. It contains information on
three stimulus classifications: Influence, Type and Contact. There is one response
classification: Satisfaction. The null model is Influence*Type*Contact, which corre-
sponds to equal probabilities of 1/3 for each satisfaction class.
c CSIRO Australia, 2005 Course Materials and Exercises
164 GLM Extensions
The simplest real model is Influence*Type*Contact+Satisfaction, which corre-
sponds to a homogeneity model. More complex models are tested by their interactions
with Satisfaction.
We begin with fitting a Poisson model based on the null hypothesis and then add to it a
main effects term, Satisfaction, reflecting the real model.
> hous.glm0 <- glm(Freq ˜ Infl*Type*Cont, poisson, housing)
> hous.glm1 <- update(hous.glm0, .˜.+Sat)
> anova(hous.glm0, hous.glm1, test = "Chisq")
(Difference in deviance is 44.657 on 2 d.f.)
> addterm(hous.glm1, . ˜ . + Sat * (Infl + Type + Cont),
test = "Chisq")
Single term additions
Model:
Freq ˜ Infl + Type + Cont + Sat + Infl:Type + Infl:Cont +
Type:Cont + Infl:Type:Cont
Df Deviance AIC LRT Pr(Chi)
<none> 217.46 610.43
Sat:Infl 4 111.08 512.05 106.37 0.00000
Sat:Type 6 156.79 561.76 60.67 0.00000
Sat:Cont 2 212.33 609.30 5.13 0.07708
It appears from the above analysis that all three terms are necessary, but no more.
> hous.glm2 <- update(hous.glm1, .˜.+Sat*(Infl+Type+Cont))
To find a table of estimated probabilities we need to arrange the fitted values in a table
(matrix) and normalize to have row sums equal to unity. How do we do this?
> attach(housing)
> levs <- lapply(housing[, -5], levels)
> dlev <- sapply(levs, length)
> ind <- do.call("cbind", lapply(housing[, -5],
c CSIRO Australia, 2005 Course Materials and Exercises
GLM Extensions 165
function(x) match(x, levels(x))))
> detach("housing")
(Note, The do.call function executes the cbind function to the lapply statement.).
> RF <- Pr <- array(0, dim = dlev, dimnames = levs)
> RF[ind] <- housing$Freq
> tots <- rep(apply(RF, 2:4, sum), each = 3)
> RF <- RF/as.vector(tots)
> RF
> Pr[ind] <- fitted(hous.glm2)
> Pr <- Pr/as.vector(tots)
> Pr
The printed results shown in Figure 62 can be cross-referenced against those produced
from R.
Figure 62: Extract of the results as a check.
The function multinom is set up to take either a factor or a matrix with k columns as the
c CSIRO Australia, 2005 Course Materials and Exercises
166 GLM Extensions
response. In our case we have frequencies already supplied. These act as case weights.
Fitted values from a multinomial fit are the matrix of probability estimates, with the
columns corresponding to the response classes. Hence in our case they will occur three
times over.
Fit a multinomial model and check that the fitted values agree with our surrogate Poisson
estimates. Here is an example of how we might do this.
> require(nnet)
> hous.mult <- multinom(Sat ˜ Infl + Type + Cont, data = housing,
weights = Freq, trace = T)
# weights: 24 (14 variable)
initial value 1846.767257
iter 10 value 1747.045232
final value 1735.041933
converged
> round(fitted(hous.mult), 2)
Low Medium High
1 0.40 0.26 0.34
2 0.40 0.26 0.34
3 0.40 0.26 0.34
4 0.26 0.27 0.47
71 0.27 0.26 0.47
72 0.27 0.26 0.47
> h1 <- t(fitted(hous.mult)[seq(3, 72, 3), ])
> range(h1 - as.vector(Pr))
[1] -2.762006e-06 2.014685e-06
c CSIRO Australia, 2005 Course Materials and Exercises
GLM Extensions 167
Proportional Odds Models
A parametrically economic version of the multinomial model is the proportional odds
model, where the response classification is assumed ordered. The model may be specified
as
π(x) = Pr(Y ≤ k|x), log(
π(x)
1 − π(x)
) = ζk − xT
β
Hence the cumulative probabilities conform to a logistic model, with parallelism in the
logistic scale. The MASS library contains a function polr to fit such models. Here is an
example.
0.1 0.2 0.3 0.4 0.5 0.6 0.7
0.10.20.30.40.50.60.7
fitted(hous.polr)
fitted(hous.mult)
Figure 63:
> hous.polr <- polr(Sat ˜ Infl+Type+Cont,
data = housing, weights = Freq)
> plot(fitted(hous.polr), fitted(hous.mult))
c CSIRO Australia, 2005 Course Materials and Exercises
168 GLM Extensions
> abline(0, 1, col="orange", lty=4, lwd=1)
> hous.polr2 <- stepAIC(hous.polr, ˜.ˆ2,
k = log(24))
> hous.polr2$call$formula
Sat ˜ Infl + Type + Cont + Infl:Type
With a more parsimonious model the automatic selection procedure uncovers a possible
extra term.
A plot of fitted values from the two types of models is shown in Figure 63. The plot
indicates similarities between the two fits.
c CSIRO Australia, 2005 Course Materials and Exercises
Generalized Additive Models: An Introduction 169
Generalized Additive Models: An Introduction
Methodology
Overview
The generalized additive model assumes that the mean response is a sum of terms each
depending on (usually) a single predictor:
Y = α +
p
j=1
fj(xj) + ǫ
If the fjs are linear terms, this is just like the regression models discussed in the previous
sessions. If they are step functions then the main effect consists of a factor term. In general
however, they may be smooth terms, with the degree of smoothness chosen by cross
validation.
In some cases the additive terms may be known. They may consist of smoothing splines,
local regression, splines with fixed degrees of freedom, harmonic terms or splines with
known knots and boundary knot positions. Often it is useful to use a smoothing spline
initially to determine the placement of knots and then follow up with fitting natural spline
terms with fixed knot locations as natural splines have better computational properties.
Comparison with GLMs
Additive models are analogous to regression models. The generalized version of this is
akin to the GLMs. GAMs may employ a link function to relate the linear predictor to the
mean of the response, and they may have a non-normal distribution for example.
Fitting GAMs is the same process as fitting GLMs (but with one letter different in the
function name). The fitting process is NOT maximum likelihood if there are any smoother
terms present. A likelihood penalized by a roughness term is maximised, with the tuning
constant chosen (usually) by cross-validation.
Inference for GAMs is difficult and somewhat contentious. Best regarded as an exploratory
technique with standard models to follow. Some of the examples in the following sections
will attempt to illustrate this.
c CSIRO Australia, 2005 Course Materials and Exercises
170 Generalized Additive Models: An Introduction
Example: The Iowa Wheat Yield Data
The Iowa Wheat Yield data has already been analysed in previous sessions. The response
consists of the yield of wheat in bushels/acre for the state of Iowa for the years 1930-
1962. Potential predictors are Year (as surrogate), Rain0, Rain1, Rain2, Rain3, Temp1,
Temp2, Temp3 and Temp4. The problem focuses on building a predictor for yield from
the predictors available. Note, with only 33 observations and 9 possible predictors some
care has to be taken in choosing a model.
Initial Linear Model
We consider fitting an initial linear model using all of the predictors and drop terms one
at a time
> Iowa <- read.csv("Iowa.csv")
> iowa.lm1 <- lm(Yield ˜ ., Iowa)
> iowa.step <- stepAIC(iowa.lm1,
scope = list(lower = ˜ Year, upper = ˜ .),
k = log(nrow(Iowa)), trace = F)
> dropterm(iowa.step, test = "F", k = log(nrow(Iowa)),
sorted = T)
Single term deletions
Model:
Yield ˜ Year + Rain0 + Rain2 + Temp4
Df Sum of Sq RSS AIC F Value Pr(F)
<none> 1554.6 144.6
Temp4 1 188.0 1742.6 144.9 3.4 0.07641 .
Rain0 1 196.0 1750.6 145.0 3.5 0.07070 .
Rain2 1 240.2 1794.8 145.9 4.3 0.04680 *
Year 1 1796.2 3350.8 166.5 32.4 4.253e-06 ***
Even with the more stringent BIC penalty on model complexity, two of the terms found
are only borderline significant in the conventional sense. This is a consequence of the
small sample size. Nevertheless the terms found are tentatively realistic:
• Year: surrogate for crop improvements.
c CSIRO Australia, 2005 Course Materials and Exercises
Generalized Additive Models: An Introduction 171
• Rain0: a measure of pre-season sowing conditions
• Rain2: rainfall during the critical growing month
• Temp4: climatic conditions during harvesting
We now investigate if strictly linear terms in these variables seems reasonable. We achieve
this using additive models. These are described in the following section.
Additive Models
Two libraries are available for fitting additive models. The first is the gam library which
was written by Trevor Hastie and follows closely to the S implementation. The second
is a package called and mgcv. This library is an implementation by Simon Wood that
provides more robust methods for estimating smoothing parameters. We will use both
libraries in this session.
If we consider a non-parametric smoother in each term we obtain the following:
> require(gam)
> iowa.gam <- gam(Yield ˜ s(Temp4) + s(Rain0) +
s(Rain2) + s(Year), data = Iowa)
> par(mfrow = c(2,2))
> plot(iowa.gam, se = T, ylim = c(-30, 30),resid = T)
Figure 64 displays a plot of the additive terms in the model. It can be important to keep
the y-axes of these plots approximately the same to allow comparisons between terms.
A number of conclusions can be drawn from these additive plots.
• Temp4: There are two very hot years that appeared to have crop damage during
harvest.
• Rain0: There appears to be a wide range where there is little difference in yield.
However, very dry years may lead to a reduced yield and very wet years to an
enhanced one perhaps.
• Rain2: One very dry growing month led to a reduced yield.
• Year: The strongest and most consistent predictor by far. Some evidence of a pause
in new varieties during the war and immediately post-war period.
If we examine the summary of the GAM fit we see that Year is by far the best predictor,
followed by Rain0 and Temp4. Note the latter two are significant at the 1% level.
> summary(iowa.gam) # (result edited)
c CSIRO Australia, 2005 Course Materials and Exercises
172 Generalized Additive Models: An Introduction
68 70 72 74 76 78 80
−30−100102030
Temp4
s(Temp4)
15 20 25
−30−100102030
Rain0
s(Rain0)
1 2 3 4 5 6 7
−30−100102030
Rain2
s(Rain2)
1930 1940 1950 1960
−30−100102030
Year
s(Year)
Figure 64: Plots of additive contributions
c CSIRO Australia, 2005 Course Materials and Exercises
Generalized Additive Models: An Introduction 173
Call: gam(formula = Yield ˜ s(Temp4) + s(Rain0) + s(Rain2) +
s(Year), data = Iowa)
(Dispersion Parameter for Gaussian family taken to be 31.1175 )
Residual Deviance: 497.8868 on 16.002 degrees of freedom
Number of Local Scoring Iterations: 2
DF for Terms and F-values for Nonparametric Effects
Df Npar Df Npar F Pr(F)
(Intercept) 1
s(Temp4) 1 3 2.4709 0.09917
s(Rain0) 1 3 3.0301 0.05993
s(Rain2) 1 3 1.3746 0.28638
s(Year) 1 3 3.6841 0.03437
Can we get to the same place with GLMs
An interesting exercise is to determine whether we can get to the same place with GLMs.
We fit a GLM to the Iowa Wheat Yield data using spline terms that are specified using
natural spline functions. We could also consider fitting B-splines, which differ only in
behaviour near the end points.
We need to specify the knot and boundary knot positions. This is recommended if pre-
diction will be needed. Alternatively, if only exploratory analysis is being conducted, the
degrees of freedom can be specified.
Each spline term is a collection of ordinary linear terms, but the coefficients have no sim-
ple meaning and the individual significance tests are meaningless. In this circumstance,
splines are best regarded as a single composite term and retained or removed as a block.
See the following for an implementation of the GLM with spline terms.
> iowa.ns <- lm(Yield ˜ ns(Temp4, df=3) + ns(Rain0, df=3) +
ns(Rain2, df = 3) + ns(Year, df=3), Iowa)
> tplot(iowa.ns, se = TRUE, rug = TRUE, partial = TRUE)
> dropterm(iowa.ns, test = "F", k = log(nrow(Iowa)))
Single term deletions
c CSIRO Australia, 2005 Course Materials and Exercises
174 Generalized Additive Models: An Introduction
Model:
Yield ˜ ns(Temp4, df = 3) + ns(Rain0, df = 3) +
ns(Rain2, df = 3) + ns(Year, df = 3)
Df Sum of Sq RSS AIC F Value Pr(F)
<none> 726.26 147.47
ns(Temp4, df = 3) 3 274.60 1000.86 147.56 2.52 0.08706
ns(Rain0, df = 3) 3 332.31 1058.57 149.41 3.05 0.05231
ns(Rain2, df = 3) 3 70.61 796.87 140.04 0.65 0.59327
ns(Year, df = 3) 3 2022.93 2749.19 180.91 18.57 0.00001
Figure 65 presents a plot of each variable’s contribution to the model. This plot was
constructed using tplot.
The above results show a very similar pattern to the components fitted in the additive
model. It is now clear that the term in Rain2 is not useful and Temp4 and Rain0 terms
will need to be re-assessed. The term in Year stands out as dominant with a clear pattern
in the response curve and the partial residuals following it closely. Small data sets like
this can be very misleading and therefore extreme caution is needed.
Example: Rock Data
A second example we investigate with GAMs is the Rock data, where the response con-
sists of the permeability of rock samples taken from a petroleum reservoir. The potential
predictors are area, perimeter and shape.
We focus on building a predictor for log(perm) using the available predictors. The
following script sets out the model below. Make sure you have attached the gam library
and not the mgcv library for this one.
> rock.lm <- lm(log(perm) ˜ area + peri + shape,
data = rock)
> summary(rock.lm)
Coefficients:
Value Std. Error t value Pr(>|t|)
(Intercept) 5.3331 0.5487 9.720 0.000
area 0.0005 0.0001 5.602 0.000
c CSIRO Australia, 2005 Course Materials and Exercises
GeneralizedAdditiveModels:AnIntroduction175
68707274767880
−30 −10 0 10 20 30
Temp4
Partial for ns(Temp4, df = 3)
10152025
−30 −10 0 10 20 30
Rain0
Partial for ns(Rain0, df = 3)
0246
−30 −10 0 10 20 30
Rain2
Partial for ns(Rain2, df = 3)
1930194019501960
−30 −10 0 10 20 30
Year
Partial for ns(Year, df = 3)
Figure65:Plotofeachvariable’scontributiontotheGLM.
cCSIROAustralia,2005CourseMaterialsandExercises
176 Generalized Additive Models: An Introduction
peri -0.0015 0.0002 -8.623 0.000
shape 1.7570 1.7560 1.000 0.323
The linear model suggests that both area and perimeter are strong predictors for the log
of permeability. Fitting an additive model with smoothing splines fitted to each of the
three terms produces the following.
> rock.gam <- gam(log(perm) ˜ s(area) + s(peri) + s(shape),
control = gam.control(maxit = 50,bf.maxit=50), data = rock)
> summary(rock.gam)
Call: gam(formula = log(perm) ˜ s(area) + s(peri) + s(shape),
data = rock, control = gam.control(maxit = 50,bf.maxit=50))
Residual Deviance: 26.0574 on 34.9981 degrees of freedom
Number of Local Scoring Iterations: 2
DF for Terms and F-values for Nonparametric Effects
Df Npar Df Npar F Pr(F)
(Intercept) 1
s(area) 1 3 0.34177 0.7953
s(peri) 1 3 0.94085 0.4314
s(shape) 1 3 1.43219 0.2499
> anova(rock.lm, rock.gam)
The analysis of variance shows little improvement in the fit of the model when spline
terms are added. We now include linear terms for area and perimeter and a spline term
for shape and compare the results against the previous two models.
> par(mfrow = c(2, 3), pty = "s")
> plot(rock.gam, se = TRUE)
> rock.gam1 <- gam(log(perm) ˜ area + peri + s(shape), data = rock)
> plot(rock.gam1, se = TRUE)
> anova(rock.lm, rock.gam1, rock.gam)
The results once again suggest no improvement with the addition of the spline term on
c CSIRO Australia, 2005 Course Materials and Exercises
Generalized Additive Models: An Introduction 177
shape. The plots shown in Figure 66 also show that there is no advantage in fitting a
spline term for any of the predictors but there are definite increase and decreasing trends
for area and perimeter.
Although suggestive, the curve in shape is not particularly convincing. Choosing the de-
gree of smoothness can be tricky. The gam function in Simon Woods (SWs) R implemen-
tation (mgcv library) offers a way around this. In this case, SWs gam function suggests
essentially linear terms, at most, in all three variables. The script below produces a GAMs
model based on this implementation and then produces plots of their contribution.
require(mgcv)
rock.gamSW <- gam(log(perm) ˜ s(area) + s(peri) + s(shape),
data = rock)
plot(rock.gamSW)
c CSIRO Australia, 2005 Course Materials and Exercises
178 Generalized Additive Models: An Introduction
0 4000 8000 12000
−4−2024
area
Partialfors(area)
0 1000 3000 5000
−4−2024
peri
Partialfors(peri)
0.1 0.2 0.3 0.4
−4−2024
shape
Partialfors(shape)
0 4000 8000 12000
−4−2024
area
Partialforarea
0 1000 3000 5000
−4−2024
peri
Partialforperi
0.1 0.2 0.3 0.4
−4−2024
shape
Partialfors(shape)
Figure 66: Partial residual plots showing the contribution of area, perimeter and shape to
the fit of the model. The first three plots have spline terms fitted to all three terms, while
the bottom three plots are the result of fitting linear terms for area and perimeter and a
spline term for shape.
c CSIRO Australia, 2005 Course Materials and Exercises
Advanced Graphics 179
Advanced Graphics
Lattice Graphics
Lattice is a collection of functions roughly parallel to the traditional graphics functions.
It implements the ideas of Bill Cleveland on data presentation given in Visualising Data.
R lattice graphics mirrors the functionality of S-PLUSs Trellis graphics, but the low-level
implementation is very different. Lattice graphics is based on Paul Murrels grid graphics
implying that traditional and lattice graphics cannot (easily) be mixed.
Lattice graphics functions produce a graphics object. Printing this object is what produces
the graphical output. After a lattice graphics object is printed, the user coordinate system
is replaced by a (0, 1, 0, 1) system and interaction with lattice graphics is not possible.
A draft copy of a book entitled R Graphics is available on the web at the following web lo-
cation: http://www.stat.auckland.ac.nz/ paul/RGraphics/rgraphics.html. It contains some nice
examples (with scripts) for producing graphics and in particular, it provides some tips on
how to work with Trellis graphics.
Example: Whiteside Data
We begin with the Whiteside data and produce some fairly simple trellis plots using the
xyplot function. Figures 67 and 68 display the results.
> graphics.off()
> require(lattice)
> trellis.device()
> trellis.par.set(theme=col.whitebg())
> xyplot(Gas ˜ Temp, whiteside, groups = Insul,panel = panel.superpose)
> xyplot(Gas ˜ Temp | Insul, whiteside,
xlab = "External temperature",
ylab = "Gas consumption",
main = "Whiteside heating data", aspect = 0.6)
We can now add a least squares line using the following piece of code. This produces the
plot shown in Figure 69.
> xyplot(Gas ˜ Temp | Insul, whiteside,
c CSIRO Australia, 2005 Course Materials and Exercises
180 Advanced Graphics
Temp
Gas
0 2 4 6 8 10
2
3
4
5
6
7
Figure 67: xyplot of the Whiteside data showing the relationships between gas and
temperature for different levels of insulation.
Whiteside heating data
External temperature
Gasconsumption
0 2 4 6 8 10
2
3
4
5
6
7
Before
2
3
4
5
6
7
After
Figure 68: A more elegant plot showing gas consumption versus external temperature for
different levels of insulation.
c CSIRO Australia, 2005 Course Materials and Exercises
Advanced Graphics 181
xlab = "External temperature",
ylab = "Gas consumption",
main = "Whiteside heating data", aspect = 0.6,
panel = function(x, y, ...) {
panel.xyplot(x, y, ...)
panel.lmline(x, y, ...,col="red")
}, ylim = c(0, 7))
Whiteside heating data
External temperature
Gasconsumption
0 2 4 6 8 10
1
2
3
4
5
6
Before
1
2
3
4
5
6
After
Figure 69: Adding a least squares line to the Whiteside data.
We may want to de-link the scales and let each plot have its own x and y axis. Figure 70
shows the result.
> xyplot(Gas ˜ Temp | Insul, whiteside,
xlab = "External temperature",
ylab = "Gas consumption",
c CSIRO Australia, 2005 Course Materials and Exercises
182 Advanced Graphics
main = "Whiteside heating data",
aspect = 0.6,
panel = function(x, y, ...) {
panel.xyplot(x, y, ...)
panel.lmline(x, y, ...)
}, prepanel = function(x, y, ...) {
list(xlim = range(x), ylim = range(0, y),
dx = NULL, dy = NULL)
}, scales = list(relation = "free"))
Whiteside heating data
External temperature
Gasconsumption
0 2 4 6 8 10
0246
Before
0 2 4 6 8
01234
After
Figure 70: De-linking the scales to produce plots with their own axes.
c CSIRO Australia, 2005 Course Materials and Exercises
Advanced Graphics 183
Changing Trellis Parameters & Adding Keys
When a lattice device is opened, it has various colours, line-types and plotting symbols
associated with it that any printing of lattice objects will use. You can change these choices
but it gets messy!
You need to know how to access this scheme if you want to set a key saying what is what.
The easiest way to achieve this is to keep an example on hand that works and re-read the
help information with this example in mind.
The following example obtains information on symbols, (their size, colour, font etc). We
print out the settings for symbols and display the settings using the show.settings()
command. The result is displayed in Figure 71.
> sps <- trellis.par.get("superpose.symbol")
> sps
$alpha
[1] 1 1 1 1 1 1 1
$cex
[1] 0.7 0.7 0.7 0.7 0.7 0.7 0.7
$col
[1] "darkgreen" "red" "royalblue" "brown" "orange"
[6] "turquoise" "orchid"
$font
[1] 1 1 1 1 1 1 1
$pch
[1] 1 3 6 0 5 16 17
> show.settings()
We now change a couple of these settings, display the results in Figure 72 and produce
another version of the whiteside data. The result is displayed in Figure 73.
> sps$pch <- c(16,18,4,3,1,2,7)
> sps$col <- c("purple","pink","blue","orange",
"red","brown","black")
> trellis.par.set("superpose.symbol", sps)
c CSIRO Australia, 2005 Course Materials and Exercises
184 Advanced Graphics
superpose.symbol superpose.line strip.background strip.shingle
dot.[symbol, line] box.[dot, rectangle, umbrella]
Hello
World
add.[line, text] reference.line
plot.[symbol, line] plot.shingle[bar.fill] histogram[bar.fill] barchart[bar.fill]
superpose.fill regions
Figure 71: Current settings for trellis graphics.
c CSIRO Australia, 2005 Course Materials and Exercises
Advanced Graphics 185
> Rows(sps, 1:3)
$alpha
[1] 1 1 1
$cex
[1] 0.7 0.7 0.7
$col
[1] "purple" "pink" "blue"
$font
[1] 1 1 1
$pch
[1] 16 18 4
> show.settings()
> xyplot(Gas ˜ Temp , whiteside, groups=Insul,
xlab = "External temperature",
ylab = "Gas consumption",panel=panel.superpose,
main = "Whiteside heating data", aspect = 0.6,
ylim = c(0, 7))
Example: Stormer Viscometer Data
We illustrate some trellis graphics using the Stormer Viscometer data that is described in
Appendix I. The dependent variable is Time, while the independent variables consist of
Viscosity and Weight. The theoretical model that we are interested in fitting (and will
be used elsewhere in the course is)
T =
βV
W − θ
+ ǫ
Plotting Time versus Viscosity should give straight lines with slope depending on
Weight.
> require(MASS)
> xyplot(Time ˜ Viscosity, stormer, groups = Wt,
c CSIRO Australia, 2005 Course Materials and Exercises
186 Advanced Graphics
superpose.symbol superpose.line strip.background strip.shingle
dot.[symbol, line] box.[dot, rectangle, umbrella]
Hello
World
add.[line, text] reference.line
plot.[symbol, line] plot.shingle[bar.fill] histogram[bar.fill] barchart[bar.fill]
superpose.fill regions
Figure 72: Trellis settings with the symbol information altered.
c CSIRO Australia, 2005 Course Materials and Exercises
Advanced Graphics 187
Whiteside heating data
External temperature
Gasconsumption
0 2 4 6 8 10
1
2
3
4
5
6
Figure 73: Scatterplot of the whiteside data under the new Trellis settings.
panel = panel.superpose, type = "b",
main = "Stormer viscometer calibration data")
Figure 74(a) displays the resulting plot for the three types of weight.
To make this plot a little more informative, we add a key or legend to the plot (Fig-
ure 74(b)). This key helps us identify the lines corresponding to each weight. Now we
can conclude that for larger weights, it takes less time for an inner cylinder to perform
a fixed number of revolutions than for smaller weights. For all three weights, the time
taken appears to increase linearly with viscosity.
> xyplot(Time ˜ Viscosity, stormer,
groups = Wt, panel = panel.superpose,
type = "b",
main = "Stormer viscometer calibration data",
key =
list(columns = 3,
text = list(paste(c("Weight: ", "",
c CSIRO Australia, 2005 Course Materials and Exercises
188 Advanced Graphics
Stormer viscometer calibration data
Viscosity
Time
50 100 150 200 250
50
100
150
200
250
Stormer viscometer calibration data
Viscosity
Time
50 100 150 200 250 300
50
100
150
200
250
Weight: 20 gms 50 gms 100 gms
(a) (b)
Figure 74: Plot of time versus viscosity for three different types of weight (a) without a
key and (b) with a key.
""),sort(unique(stormer$Wt)), "gms")),
points = Rows(sps, 1:3),
lines = Rows(sps, 1:3))
)
Adding Fitted Values
The following script is an illustration of how fitted values can be added to a plot. In the
example, we generate some data x, which represents the explanatory variable. We then
generate a response y, which represents a quadratic expression of the x’s and add some
error to the plot. We then produce a plot of the data with fitted values from fitting a spline
overlayed. The result is displayed in Figure 75.
> dat <- data.frame(x = rep(1:20, 6),
f = factor(rep(1:6, each = 20)))
> dat <- transform(dat,
c CSIRO Australia, 2005 Course Materials and Exercises
Advanced Graphics 189
y = 1 + (dat$x-10.5)ˆ2 + rnorm(120, sd = 10))
> fm <- lm(y ˜ f + poly(x, 2), dat)
> dat$fit <- fitted(fm)
> xyplot(y ˜ x | f, dat, subscripts = TRUE,
as.table = TRUE,
panel = function(x, y, subscripts, ...) {
panel.xyplot(x, y, ...)
llines(spline(x, dat$fit[subscripts]),
col="orchid")
})
Output Over Several Pages
Producing output over several pages is not very well handled in R. Probably the simplest
way to do this is to set the graphics parameter:
> par(ask = TRUE)
and manually save each page as it appears. See the example below for an illustration.
Note the use of the function bringToTop() to force the plotting window to appear on
top of all other windows on the desktop.
> with(dat,for(i in unique(f)){
plot(x[f==i],y[f==i],xlab="x",ylab="y")
lines(spline(x[f==i],fit[f==i]),col="red")
title(main=paste("Data group",i))
bringToTop()
}
Hit <Return> to see next plot:
Hit <Return> to see next plot:
Hit <Return> to see next plot:
...
c CSIRO Australia, 2005 Course Materials and Exercises
190 Advanced Graphics
x
y
1
5 10 15 20
2
0
50
100
3
5 10 15 20
0
50
100
4 5
5 10 15 20
6
Figure 75: Plot of simulated data with fitted values from spline terms overlayed.
c CSIRO Australia, 2005 Course Materials and Exercises
Advanced Graphics 191
> par(ask = FALSE)
Unfortunately, the ask=TRUE parameter does not work for trellis functions. One way
around this is to record the History of graphs displayed using the History option in the
graphics window.
History -> Recording
Alternatively, we can send these graphs to file using the % option, which automatically
generates files with different file names, increasing by one each time a new graph is plot-
ted.
> trellis.device(win.metafile,
width = 7, filename = "myPlots%02d.wmf")
> xyplot(y ˜ x | f, dat, subscripts = TRUE,
as.table = TRUE,
panel = function(x, y, subscripts, ...) {
panel.xyplot(x, y, ...)
llines(spline(x, dat$fit[subscripts]),
col="orchid")
},
layout = c(2,1), aspect = "xy")
> dev.off()
Example: Volcanos in New Zealand
The third example in this session explores a topographic map of the Maunga Whau Vol-
cano in New Zealand. The data for this example was digitized from a map by Ross Ihaka.
We begin with an image plot of the volcano terrain using the image function in R, setting
colours using a predefined colour system terrain.colors. A contour is overlayed to
highlight the hotspots of the volcano. The resulting plot is shown in Figure 76.
> data(volcano)
> x <- 10*(1:nrow(volcano))
> y <- 10*(1:ncol(volcano))
> image(x, y, volcano,col = terrain.colors(100),
c CSIRO Australia, 2005 Course Materials and Exercises
192 Advanced Graphics
axes = FALSE)
> contour(x, y, volcano,
levels = seq(90, 200, by=5),add = TRUE,
col = "peru")
> axis(1, at = seq(100, 800, by = 100))
> axis(2, at = seq(100, 600, by = 100))
> box()
> title(main = "Maunga Whau Volcano",font.main = 4)
The image function is not part of the lattice library. However, we can achieve similar
graphs using the trellis functions available in R. Here is how we might go about this.
> length(x)
[1] 87
> length(y)
[1] 61
> dim(volcano)
[1] 87 61
> vdat <- expand.grid(x = x, y = y)
> vdat$v <- as.vector(volcano)
> levelplot(v ˜ x*y, vdat, contour=T, main="levelplot()")
> wireframe(v ˜ x*y, vdat, drape=TRUE,
main="wireframe():default")
> wireframe(v ˜ x*y, vdat, drape=TRUE,
col.regions =rainbow(100), main="wireframe():rainbow")
> wireframe(v ˜ x*y,vdat,drape=TRUE, col.regions=topo.colors(100),
main="wireframe():topo.colors")
Four types of plots are produced using the above piece of code. The first shown in Fig-
ure 77(a) produces an image and an overlayed contour using default colours (heatmap)
similar to what was produced by the image function. The second plot in Figure 77(b)
produces a perspective mesh plot using default colours (heatmap) to show the ridges and
gullies of the volcano. The third plot shown in Figure 77(c) is the same plot again but
plotted with a different colour scheme (rainbow). The final plot shown in Figure 77(d)
c CSIRO Australia, 2005 Course Materials and Exercises
Advanced Graphics 193
x
y
100 200 300 400 500 600 700 800
100200300400500600
Maunga Whau Volcano
Figure 76: Image plot of the Maunga Whau Volcano in New Zealand. White areas show
extreme values of the volcano where volcanic activity is likely to take place.
c CSIRO Australia, 2005 Course Materials and Exercises
194 Advanced Graphics
displays a perspective mesh plot with a topographic colour scheme.
A few notes on lattice graphics . . .
• Lattice graphics are constructed all in one hit. It is generally impossible to add to an
existing trellis (lattice) graph.
• The functions build graphics objects and printing them produces graphics output.
Printing must be done explicitly in loops or functions.
• Separate panels are preferred, with shared axes. This acts as a powerful data inspec-
tion device.
• Lattice provides a vast array of arguments and these are best assimilated as and
when needed.
• All the action takes place inside the panel function. Using lattice graphics amounts
to writing panel functions.
Colour Palettes
There are a range of color palettes predefined in R rainbow, terrain.colors,
heat.colors, topo.colors, cm.colors, gray. We have already seen a couple
of them in action.
Run the demo.pal(), a function defined in the R-Help to view different colour palettes
(Figure 78). For grey scale, the grey or gray functions can be used to allocate grey levels
to a vector (Figure 79).
> barplot(rep(1,20),col=gray((0:20)/20),
main="Grey Scale Palette")
User Defined Colour Palettes
The pre-defined colour palettes are sufficient for most applications. However there are
some occasions where you may want to define your own colour palette use the gplots
package. Here is an example using the volcano dataset again.
> require(gplots)
> cols1 <- colorpanel(25,"green","yellow","red")
> fr <- cut(volcano,breaks=quantile(volcano,0:25/25),
include=T)
c CSIRO Australia, 2005 Course Materials and Exercises
Advanced Graphics 195
levelplot()
x
y
200 400 600 800
100
200
300
400
500
94.12625
101.32250
101.32250
101.32250
108.51875
108.51875
108.51875
108.51875
115.71500
115.71500
122.91125
130.10750
137.30375
144.50000
151.69625
151.69625
158.89250
158.89250
166.08875
166.08875
166.08875
173.28500
180.48125
187.67750
194.87375
100
120
140
160
180
200
wireframe():default
x
y
v
100
120
140
160
180
200
(a) (b)
wireframe():rainbow
x
y
v
100
120
140
160
180
200
wireframe():topo.colors
x
y
v
100
120
140
160
180
200
(c) (d)
Figure 77: Plots showing the contours of a New Zealand volcano using an array of trellis
functions
c CSIRO Australia, 2005 Course Materials and Exercises
196 Advanced Graphics
5 10 15
color palettes; n= 16
i
rainbow(n, start=.7, end=.1)
heat.colors(n)
terrain.colors(n)
topo.colors(n)
cm.colors(n)
Figure 78: Colour palette produced using the demo.pal() function
c CSIRO Australia, 2005 Course Materials and Exercises
Advanced Graphics 197
Grey Scale Palette
0.00.20.40.60.81.0
Figure 79: Grey scale palette.
> plot(row(volcano),col(volcano),pch=15,
col=cols1[fr],cex=1.5,xlab="",ylab="") # plot()
> title(main="plot() with user defined colours")
> detach("package:gplots")
> cols2 <- gplots::colorpanel(25,"brown","yellow","white")
> image(volcano,col=cols2,
main="image() with user defined colours") # image()
Figure 80 displays the resulting plots. Both plots are produced with user defined colours,
however the plot in Figure 80(a) is produced using the plot command with a specified
pixel size (cex=1.5) while the other in Figure 80(b) is produced using the image func-
tion. Both produce satisfactory plots.
c CSIRO Australia, 2005 Course Materials and Exercises
198 Advanced Graphics
0 20 40 60 80
0102030405060
plot() with user defined colours
0.0 0.2 0.4 0.6 0.8 1.0
0.00.20.40.60.81.0
image() with user defined colours
(a) (b)
Figure 80: Image plots produced with (a) the plot function and (b) the image function
for the volcano dataset using user defined palettes.
Mathematical Expressions
For many statistical and mathematical applications it is useful to place mathematical ex-
pressions on graphs. This can be achieved using plotmath which is part of the grDevices
package.
Mathematical notation can be defined as an expression in any of the text-drawing func-
tions (text, mtext or axis). Output is formatted in a similar way to TeX, so for TeX
users, this transition is easy. For a complete overview of symbols see the help file on
plotmath and run the demonstration.
plotmath(): an Example
Here is an example where mathematic expressions are required on the graph and in the
title of the plot. We generate some data using the expression y = α2
+ β2
2x. We generate
x from a Normal distribution with a mean of zero and a standard deviation of 1. The
resulting figure is shown in Figure 81.
# Generate Data
> x <- rnorm(5000)
c CSIRO Australia, 2005 Course Materials and Exercises
Advanced Graphics 199
> b <- 1
> y <- 1+b*x+rnorm(5000)
# Plot Data
> plot(x,y)
# Place mathematical expressions
> text(locator(1),
expression(paste(y,"=",alphaˆ2+beta[2]ˆ2*x)))
> title(main=substitute(paste("Coefficients: ",alpha,"=",1,",",
beta[2],"=",b),list(b=b)))
−4 −2 0 2 4
−4−20246
x
y
y=α2
+ β2
2
x
Coefficients: α=1,β2=1
Figure 81: An example of putting mathematical expressions on a plot.
Maps, Coastlines and Co-ordinate Systems
Obtaining maps and coastlines for a study region can be obtained from Geographical
Information Systems (GIS) such as ARC View but may require some manipulation. Of-
ten this can be quite tedious. An alternative and easy way to obtain coastlines that can
c CSIRO Australia, 2005 Course Materials and Exercises
200 Advanced Graphics
be readily plotted in R is to extract a coastline from the coastline extractor website. This
was developed by Rich Signell and is currently hosted by the National Geophysical Data
Center in Boulder Colorado. Go to: http://rimmer.ngdc.noaa.gov/mgg/coast/getcoast.html for
more information.
The website and data are free to use but need to be acknowledged in any publications
or reports. The extractor program requires a range of latitudes and longitudes in your
study region in order to extract the coastlines that you require. If no ranges are specified
the entire set of coastlines for the world will be extracted and this is too big to use or
manipulate. The website provides an option to save the data in S-PLUS format. This
is suitable for input into R as it produces a text file with two columns: Longitudes and
Latitudes that can be plotted once read in using the read.table command. Try it when
you have time.
When dealing with maps, it is important to think about the plotting region. Furthermore,
it is paramount to have a scaling of the axes which is geometrically accurate. This can be
achieved using the eqscplot function from the MASS library. eqscplot ”behaves like
the plot function but shrinks the scale on one axis until geometrical accuracy is attained”
(V&R, 2000).
The following example shows what happens when inappropriate scales are used for plot-
ting coastlines. The data used were extracted from the coastline extractor website and
represent islands in Moreton Bay in South East Queensland, Australia. (This is a study
region for some coral and substrate work.)
# Read in Co-ordinates
> MB.cl <- read.table("MB_coastline.txt")
> names(MB.cl) <- c("Longitude","Latitude")
# Using plot()
> plot(MB.cl$Long,MB.cl$Lat,type="l",
xlab="Longitude",ylab="Latitude")
> title(main="Moreton Bay (plot() function)")
# Using "eqscplot()"
> eqscplot(MB.cl$Long,MB.cl$Lat,type="l",
xlab="Longitude",ylab="Latitude")
> title(main="Moreton Bay (eqscplot() function)")
Figure 82(a) shows a plot of the mainland and surrounding coastlines using the plot
function, which stretches the coastline out of proportion. The plot in Figure 82(b) is the
result of using the eqscplot function that plots the coastlines in proportion and shows
no distortion.
c CSIRO Australia, 2005 Course Materials and Exercises
Advanced Graphics 201
153.25 153.30 153.35 153.40
−27.60−27.55−27.50−27.45−27.40−27.35
Longitude
Latitude
Moreton Bay (plot() function)
153.20 153.25 153.30 153.35 153.40 153.45
−27.60−27.55−27.50−27.45−27.40−27.35
Longitude
Latitude
Moreton Bay (eqscplot() function)
(a) (b)
Figure 82: Plot of mainland and islands in Moreton Bay using data extracted from the
coastline extractor. The first plot in (a) is produce without appropriate scaling applied to
each axis. The second plot in (b) is the result of appropriate scaling using the eqscplot
function.
c CSIRO Australia, 2005 Course Materials and Exercises
Importing and Exporting 203
Importing and Exporting
Getting Stuff In
There are a number of methods for reading data into R. Here is a summary:
• scan() offers a low-level reading facility
• read.table() can be used to read data frames from formatted text files
• read.fwf() can be used to read in data files that have a fixed width format
• read.csv() can be used to read data frames from comma separated variable files.
• When reading from excel files, the simplest method is to save each worksheet sepa-
rately as a csv file and use read.csv() on each. (Wimpy!)
• A better way is to open a data connection to the excel file directly and use the odbc
facilities
The easiest form of data to import into R is a text file, but this is only useful for small
to medium problems. The primary function for reading in data in R is the scan()
function. This is the underlying function for other more convenient functions such as
read.table(), read.fwf() and read.csv().
Each of these functions will be examined in more detail in the following sections.
The Low-Level Input Function: scan()
The simplest use of the scan() function is to read a vector of numbers:
> vec <- scan()
1: 22 35 1.7 2.5e+01 77
6:
Read 5 items
> vec
[1] 22.0 35.0 1.7 25.0 77.0
A blank line (two returns) signals the end of the input
c CSIRO Australia, 2005 Course Materials and Exercises
204 Importing and Exporting
Reading Characters with scan()
The scan() function can also be used to read in characters.
> chr <- scan(what = "", sep = "n")
1: This is the first string
2: This is the second
3: and another
4: that’s all we need for now
5:
Read 4 items
> chr
[1] "This is the first string"
[2] "This is the second"
[3] "and another"
[4] "that’s all we need for now"
Mixed Characters and Numbers
Reading in a mixture of character data and numbers can also be achieved using the
scan() function.
> lis <- scan(what = list(flag = "", x = 0, y = 0))
1: a 10 3.6
2: a 20 2.4
3: a 30 1.2
4: b 10 5.4
5: b 20 3.7
6: b 30 2.4
7:
Read 6 records
> dat <- as.data.frame(lis)
c CSIRO Australia, 2005 Course Materials and Exercises
Importing and Exporting 205
> dat
flag x y
1 a 10 3.6
2 a 20 2.4
3 a 30 1.2
4 b 10 5.4
5 b 20 3.7
6 b 30 2.4
Importing Rectangular Grids: read.table
The most convenient way to read in rectangular grids, spreadsheets or text files is using
the read.table() function. This function allows you to specify a header argument,
separators, how to deal with missing values and unfilled or blank lines. This function
is only suitable for small-medium sized datasets and is unsuitable for larger numerical
matrices. The functions read.csv or read.delim could also be used to read in comma
delimited rectangular files. Furthermore, read.csv is often a better choice for reading
in comma delimited text files that have been exported from excel.
> samp1 <- read.csv("samp1.csv")
> samp1[1:3,]
ID Name Prob
1 1 a 0.812
2 2 b 0.982
3 3 c 0.725
Importing Fixed Width Formats: read.fwf
Fixed width formats is an uncommon format for many datasets. Most datasets are tab or
comma delimited. For this type of format, a vector of widths needs to be specified along
with the separator. The function read.fwf writes out a temporary tab-separated file and
then makes a call to read.table. This function is useful only for small data files. Here
is an example:
> dat.ff <- tempfile()
c CSIRO Australia, 2005 Course Materials and Exercises
206 Importing and Exporting
> cat(file=dat.ff,"12345678","abcdefgh",sep="n")
> read.fwf(dat.ff,width=c(2,4,1,1))
V1 V2 V3 V4
1 12 3456 7 8
2 ab cdef g h
> unlink(dat.ff) # clean up afterwards
Editing Data
The functions edit and fix allow you to make changes to data files using a default
editor. This is useful for small datasets and for obtaining a snapshot of your data without
writing to file or printing to the screen.
The fix function allows you to make edits and then assigns the new edited version to
the workspace
> fix(samp1)
The edit function invokes a text editor on the object, the result of which is a copy that
can be assigned to a new object.
> samp1.new <- edit(samp1)
Importing Binary Files
Binary data written from another statistical package can be read into R (but really should
be avoided). The R package foreign provides import facilities for: EpiInfo, Minitab,
S-Plus, SAS, SPSS, Stat and Systat binary files. Here is a list of them.
• read.epiinfo() reads in EpiInfo text files
• read.mtp() imports Minitab worksheets
• read.xport() reads in SAS files in TRANSPORT format
• read.S() reads in binary objects produced by S-PLUS 3.x, 4.x or 2000 on (32-
bit) Unix or Windows Data dumps from S-PLUS 5.x and 6.x using dump(...,
oldStyle=T) can be read using the data.restore function
• read.spss() reads in files from SPSS created by the save and export commands
• read.dta() reads in binary Stata files
c CSIRO Australia, 2005 Course Materials and Exercises
Importing and Exporting 207
• read.systat() reads in rectangular files saved in Systat
Reading in Large Data Files
There are some limitations to the types of files that R can read in. Large data files can
be a problem and here is the reason why. R stores objects and datasets in memory. So
several copies of a dataset can be kept when executing a function. Data objects > 100Mb
can cause R to run out of memory.
Database management systems may be more appropriate for extracting and summarising
data. Open Database Connectivity (ODBC) allows a user to access data from a variety of
database management systems.
There are several packages available that provide different levels of functionality: copy-
ing, data selection, querying and retrieval. Most however, relate to specific relational
databases.
RODBC is a package that can deal with a few: Microsoft SQL Server, Access, MySQL (on
Windows), Oracle and (also Excel, Dbase and text files). Many simultaneous connections
are possible with RODBC.
The RODBC Package
As mentioned above, RODBC is a package that allows you to connect with a database and
retrieve information. Important functions within RODBC include
• Establish connections to ODBC databases
odbcConnect, odbcConnectAccess, odbcConnectDbase, odbcConnectExcel
• Listing of tables on an ODBC database
sqlTables
• Reads a table on an ODBC database
sqlFetch
• Queries an ODBC database and retrieves the results
sqlQuery
Importing Excel Spreadsheets into R: An Example
The RODBC library allows you to import multiple sheets directly from an excel file (Note,
sheet names cannot contain any spaces for this feature to work!). Here is an example.
c CSIRO Australia, 2005 Course Materials and Exercises
208 Importing and Exporting
> library(RODBC)
> con <- odbcConnectExcel("ExampleData.xls") # open
# the connection
> con
RODB Connection 1
Details:
case=nochange
DBQ=D:DataMy DocumentsSlidesR CourseExampleData.xls
DefaultDir=D:DataMy DocumentsSlidesR Course
Driver={Microsoft Excel Driver (*.xls)}
DriverId=790
MaxBufferSize=2048
PageTimeout=5
What tables (spreadsheets) are available? Using the sqlTables command, we find that
there are two tables available, one called samp1 and a second called samp2.
> sqlTables(con)
TABLE_CAT
1 D:DataMy DocumentsSlidesR CourseExampleData
2 D:DataMy DocumentsSlidesR CourseExampleData
TABLE_SCHEM TABLE_NAME TABLE_TYPE REMARKS
1 <NA> samp1$ SYSTEM TABLE <NA>
2 <NA> samp2$ SYSTEM TABLE <NA>
> samp1 <- sqlFetch(con, "samp1")
> samp2 <- sqlFetch(con, "samp2")
> odbcCloseAll() # close the connection
c CSIRO Australia, 2005 Course Materials and Exercises
Importing and Exporting 209
Getting Stuff Out
Writing objects out is a much more easier task than reading files in. The function cat is
the underlying function used to export data. The function can either write objects to file
or alternatively, print the object to the screen. The sink function can be used to write
data to file as well.
The print function prints the object and returns it invisibly.
The function write, writes a vector or matrix to file with a specified number of columns.
For writing out matrices or data frames, write.table is recommended, however for
very large matrices, write.matrix (MASS library) is the better option. The function
write.matrix has the option of writing the matrix in blocks to cut down on the memory
usage associated with writing large datasets to file.
The cat Function
The cat function is very useful for printing objects to the screen. For example,
> cat("Hello Worldn")
Hello World
Alternatively, we could write text to file,
> cat("Hello Worldn",file="output.txt")
Here is another example where we are writing text and output to the screen.
> pval <- 1-pchisq(2,1)
> pval
[1] 0.1572992
> cat("Test for Independence: p-value=",
round(pval,3),"n")
Test for Independence: p-value= 0.157
The sink Function
The sink function can be used to send objects and text to a file. This is useful when you
want to look at the contents of an object or function that may be too big to display on
screen. Here is an example
c CSIRO Australia, 2005 Course Materials and Exercises
210 Importing and Exporting
> sink("output.txt")
> sample(1:100,100,replace=T)
> letters[1:10]
> sink()
Contents of output.txt
[1] 29 19 8 35 82 29 35 3 61 19 45 58 49 71
[15] 38 31 82 64 64 16 19 8 26 73 33 40 3 35
[29] 25 9 13 16 52 40 63 59 24 22 78 16 34 50
[43] 5 54 2 22 67 96 33 52 50 72 56 43 23 81
[57] 68 95 56 15 6 42 89 82 92 10 79 4 99 8
[71] 57 29 72 87 98 24 100 82 38 59 69 40 45 40
[85] 56 18 45 76 29 76 35 74 8 76 41 69 8 29
[99] 9 27
[1] "a" "b" "c" "d" "e" "f" "g" "h" "i" "j"
The write.table Function
The function write.table can be used to write datasets to file. The function is more
elaborate than cat, print and sink. We present two examples for writing data explicitly
out to a file.
Example 1: Creating a connection before writing
> con <- file("myData.csv", "w+")
> write.table(myData, con, sep = ",")
> close(con)
Example 2: Writing data out explicitly
> write.table(myData, "myData.txt")
c CSIRO Australia, 2005 Course Materials and Exercises
Importing and Exporting 211
The write.matrix Function
For larger datasets, write.matrix may be more efficient in terms of how memory is
handled. Data can be output in blocks using the blocksize argument as shown in the
following script.
> require(MASS)
> write.matrix(myData,file="myData.csv",sep=",",
blocksize=1000)
Getting Out Graphics
There are four ways to output graphics from R. Some are more straight forward than oth-
ers. and it will depend on how you want to use and display the graphics. The following
lists the choices available:
1. The postscript function will start a graphics device and produce an encapsulated
postscript file containing the graphic
• This is a flexible function that allows you to specify the size and orientation of
the graphic.
• These can be incorporated directly into LaTeX using the includegraphics
command
> postscript("graph.ps",paper="a4")
> hist(rnorm(10000))
> dev.off()
windows
2
Other functions are available within R and can be used in a similar way: windows,
pdf, pictex, png, jpeg, bmp and xfig
2. A simpler, less flexible version is achieved via the R Graphics window. A graphic
can be saved by going
File -> Save As
Many options are listed: metafile, postscript, pdf, png, bitmap or jpeg
c CSIRO Australia, 2005 Course Materials and Exercises
212 Importing and Exporting
3. Graphics can be copied to the clipboard and pasted into Windows applications such
as Word, Excel or Powerpoint. This is the most useful way to get graphics into
presentations.
File -> Copy to the clipboard -> as Metafile
4. Printing directly from R. This can be achieved using the print feature on the R
Graphics Window.
c CSIRO Australia, 2005 Course Materials and Exercises
Mixed Effects Models: An Introduction 213
Mixed Effects Models: An Introduction
Linear Mixed Effects Models
Example: Petroleum Data
The Petroleum dataset of N H Prater is described in Appendix 1. It contains information
on ten samples of crude oil, which were partitioned and tested for yield at different end
points. The samples themselves are classified by specific gravity (SG), vapour pressure
(VP) and volatility as measured by the ASTM 10% point (V10).
We investigate this data for two specific reasons. First, we are interested in estimating
the rate of rise in yield (Y) with end point (EP). Second, we are interested in explaining
differences between samples in terms of external measures.
The plot shown in Figure 83 shows a scatterplot of yield versus end point broken up into
panels by crude oil. Least square lines are overlayed on each plot to look for linearity.
> xyplot(Y ˜ EP | No, petrol,
panel = function(x, y, ...) {
panel.xyplot(x, y, ...)
panel.lmline(x, y, col = 3, lty = 4)
},
as.table = T, aspect = "xy",
xlab = "End point",
ylab = "Yield (%)")
We can see quite evidently that straight lines fitted to the data is reasonable, but can the
slopes be regarded as parallel? To investigate this question we fitted two types of models.
The first fits separate slopes for crude oil, while the second just fits main effects terms.
The analysis of variance table below suggests that parallel slopes cannot be discarded.
> petrol.lm1 <- aov(Y ˜ No/EP, petrol)
> petrol.lm2 <- aov(Y ˜ No + EP, petrol)
> anova(petrol.lm2, petrol.lm1)
Analysis of Variance Table
c CSIRO Australia, 2005 Course Materials and Exercises
214 Mixed Effects Models: An Introduction
End point
Yield(%)
10
20
30
40
A
250 300 350 400
B C
250 300 350 400
D
E F G
10
20
30
40
H
250 300 350 400
10
20
30
40
I J
Figure 83: Scatterplot of yield versus end point broken up by crude oil.
c CSIRO Australia, 2005 Course Materials and Exercises
Mixed Effects Models: An Introduction 215
Model 1: Y ˜ No + EP
Model 2: Y ˜ No/EP
Res.Df RSS Df Sum of Sq F Pr(>F)
1 21 74.132
2 12 30.329 9 43.803 1.9257 0.1439
Can we explain differences in intercepts? To investigate this question we fit a multiple
linear model to the data with crude oil removed and examine the fit against the model
containing just crude oil and end point. The p-value is significant at the 5% level of
significance and suggests that there is no real difference between intercepts.
> petrol.lm3 <- aov(Y ˜ . - No, petrol)
> anova(petrol.lm3, petrol.lm2)
Analysis of Variance Table
Model 1: Y ˜ (No + SG + VP + V10 + EP) - No
Model 2: Y ˜ No + EP
Res.Df RSS Df Sum of Sq F Pr(>F)
1 27 134.804
2 21 74.132 6 60.672 2.8645 0.03368 *
We now attempt to look at the predictions from all three models: (1) Separate regression
lines for each type of crude oil (green); (2) Separate intercept terms but a common slope
(blue); (3) Common intercept term and common slope (red). Figure 84 presents the results
from xyplot which compares the three models.
> tmp <- update(petrol.lm2, .˜.-1)
> a0 <- predict(tmp, type="terms")[, "No"]
> b0 <- coef(tmp)["EP"]
> a <- with(petrol,cbind(1, SG, VP, V10)) %*% coef(petrol.lm3)[1:4]
> b <- coef(petrol.lm3)["EP"]
c CSIRO Australia, 2005 Course Materials and Exercises
216 Mixed Effects Models: An Introduction
> xyplot(Y ˜ EP | No, petrol, subscripts = T,
panel = function(x, y, subscripts, ...) {
panel.xyplot(x, y, ...)
panel.lmline(x, y, col = "green", lty = 1)
panel.abline(a0[subscripts][1], b0, col = "blue",
lty = 2)
panel.abline(a[subscripts][1], b, col = "red",
lty = 3)
}, as.table = T, aspect = "xy", xlab = "End point",
ylab = "Yield (%)",
key=list(lines= list(lty = 1:3,
col = c("green","blue","red")),columns=3,
text=list(c("separate","parallel","explained"))))
Adding a Random Term
The external (sample-specific) variables explain much of the differences between the in-
tercepts, but there is still significant variation between samples unexplained. One natural
way to model this is to assume that, in addition to the systematic variation between in-
tercepts explained by regression on the external variables, there is a random term as well.
We assume this term to be normal with zero mean. Its variance measures the extent of
this additional variation. For more information about fitting random effect terms in the
model see Pinheiro & Bates (2000).
Fitting random effect terms in R can be achieved using the nlme library and more specific,
the lme function as shown below.
> require(nlme)
> petrol.lme <- lme(Y ˜ SG + VP + V10 + EP, data = petrol,
random = ˜1 | No)
> summary(petrol.lme)
Linear mixed-effects model fit by REML
c CSIRO Australia, 2005 Course Materials and Exercises
Mixed Effects Models: An Introduction 217
End point
Yield(%)
10
20
30
40
A
250 300 350 400
B C
250 300 350 400
D
E F G
10
20
30
40
H
250 300 350 400
10
20
30
40
I J
separate parallel explained
Figure 84: Comparison of three models using xyplot
c CSIRO Australia, 2005 Course Materials and Exercises
218 Mixed Effects Models: An Introduction
Random effects:
Formula: ˜ 1 | No
(Intercept) Residual
StdDev: 1.445028 1.872146
Fixed effects: Y ˜ SG + VP + V10 + EP
Value Std.Error DF t-value p-value
(Intercept) -6.134690 14.55592 21 -0.42146 0.6777
SG 0.219397 0.14696 6 1.49295 0.1861
VP 0.545861 0.52059 6 1.04855 0.3348
V10 -0.154244 0.03997 6 -3.85929 0.0084
EP 0.157177 0.00559 21 28.12841 0.0000
This model fits random intercept terms for crude oil and fixed terms for the other ex-
planatory variables in the model. By default, the model is fitted using restricted maxi-
mum likelihood (REML). The output summarises the variation between crude oil sam-
ples (σ2
C = 2.088) and other variation not explained by the model (σ2
= 3.505). Fixed
effect terms are summarised in a table beneath the random effect terms in the usual way.
Only endpoint and volatility are important predictors in the model.
If we compare these results with the previous model shown below, we notice that both SG
and VP have changed considerably in terms of their level of significance. In the previous
fixed effects model, SG was a significant predictor but in the mixed effects model, it is
no longer significant. This suggests that most of the variability that was being explained
by SG was captured in the random effect term in the model. This indicates that there are
differences between crude oil samples.
> round(summary.lm(petrol.lm3)$coef, 5)
Value Std. Error t value Pr(>|t|)
(Intercept) -6.82077 10.12315 -0.67378 0.50618
SG 0.22725 0.09994 2.27390 0.03114
VP 0.55373 0.36975 1.49756 0.14585
V10 -0.14954 0.02923 -5.11597 0.00002
EP 0.15465 0.00645 23.99221 0.00000
c CSIRO Australia, 2005 Course Materials and Exercises
Mixed Effects Models: An Introduction 219
Fixed effects: Y ˜ SG + VP + V10 + EP
Value Std.Error DF t-value p-value
(Intercept) -6.134690 14.55592 21 -0.42146 0.6777
SG 0.219397 0.14696 6 1.49295 0.1861
VP 0.545861 0.52059 6 1.04855 0.3348
V10 -0.154244 0.03997 6 -3.85929 0.0084
EP 0.157177 0.00559 21 28.12841 0.0000
Adding Random Slopes
The deviation from parallel regressions was not significant, but still somewhat suspicious.
We might consider making both the intercept and the slope have a random component.
This is also achieved using the random argument in the lme model as shown below.
> petrol.lme2 <- lme(Y ˜ SG + VP + V10 + EP, data = petrol,
random = ˜ 1 + EP | No)
> summary(petrol.lme2)
> summary(petrol.lme2)
Linear mixed-effects model fit by REML
Random effects:
Formula: ˜1 + EP | No
Structure: General positive-definite, Log-Cholesky parametrization
StdDev Corr
(Intercept) 1.728521061 (Intr)
EP 0.003301084 -0.537
Residual 1.853930438
Fixed effects: Y ˜ SG + VP + V10 + EP
c CSIRO Australia, 2005 Course Materials and Exercises
220 Mixed Effects Models: An Introduction
Value Std.Error DF t-value p-value
(Intercept) -6.230273 14.633344 21 -0.425759 0.6746
SG 0.219106 0.147953 6 1.480914 0.1891
VP 0.548149 0.523157 6 1.047772 0.3351
V10 -0.153937 0.040216 6 -3.827752 0.0087
EP 0.157249 0.005667 21 27.749578 0.0000
The results suggest substantial variation between crude oil samples as indicated before
(σ2
C = 2.99) and only slight variation attributed to slopes. Other unexplained variation
is estimated to be around 3.4. Once again, only V10 and EP are significant in the fixed
effects summary.
Generalized Linear Mixed Effects Models
Generalized linear mixed effects models (GLMMs) are an extension to linear mixed effects
models that allow for non-normal error structures. The glmmPQL function within the
MASS library fits GLMMs. We discuss these models in the context of a marine example.
Example: Great Barrier Reef
The recovery of benthos after trawling on the Great Barrier Reef is an important research
topic in Australia. To investigate the impact of trawling on benthos a longitudinal study
was devised consisting of six control plots and six impact plots. These were visited two
times prior to treatment and four times after treatment. Inspection of the trawled area
was conducted by benthic sled.
The total number of animals of each species was counted for each transect and the mean
trawl intensity in the transect was recorded along with the total swept area of the sled
video camera, topography and other variables.
The Model
The model considered is a generalized linear mixed effects model for the total count Ypmd
for a control or pre-experiment treatment plot using a Poisson distribution as follows:
Ypmd|Cm, Emp ∼ Po(exp(τd + Cm + Emp)), Cm ∼ N(0, σ2
c ), Emp ∼ N(0, σ2
E)
In the above equation, Ypmd represents the total count taken at plot p, month m and depth
d; τd is the treatment at depth d; Cm represents the cruise conducted in month m, Emp
represents an error term.
c CSIRO Australia, 2005 Course Materials and Exercises
Mixed Effects Models: An Introduction 221
The random terms in the model are important as they allow for uncontrolled influences
due to the particular cruise and plot. After adjusting for this variability it is envisaged
that the true effects due to trawling and recovery can be more easily disentangled.
For a post-experiment treatment plot the distribution is similar, but the Poisson mean
has additional spline terms in mean trawl intensity (ns(t)) and a factor term to allow for
recovery (γm).
Ypmd|Cm, Emp ∼ Po(exp(τd + ns(t) + γm + Cm + Emp))
Some Functions and Data
Before fitting the model, some manipulation of the data is required. Furthermore, func-
tions for setting knots in spline terms for the post-experiment treatment plot are required.
These are set out below.
> Species <- scan("SpeciesNames.csv", what = "")
> Benthos <- read.csv("Benthos.csv")
> match(Species, names(Benthos))
[1] 13 16 20 21 22 23 27 29 30 31 34 37 39 40 42 44 45 48
These first few lines identify rows in which species names from the Species data file
match those in the Benthos data file.
The bin function shown below, converts a factor into a matrix of treatment contrasts. Try
running it on the Time variable in the Benthos dataset.
> bin <- function(fac, all = F) {
#
# binary matrix for a factor
#
fac <- as.factor(fac)
X <- outer(fac, levels(fac), "==") + 0
dimnames(X) <- list(NULL,paste("B",1:ncol(X),sep=""))
if(all) X else X[, -1]
}
The nsi function sets up knots for variables based on quantiles of the data. It temporarily
attaches the splines library to construct natural splines of the data. The guard function
c CSIRO Australia, 2005 Course Materials and Exercises
222 Mixed Effects Models: An Introduction
sets values less than -5 to missing. This is used in the plotting routines that follow.
> nsi <- function(x, k = 3, Intensity = Benthos$Intensity){
#
# natural spline in intensity
#
knots <- as.vector(quantile(unique(Intensity),0:k/k))
splines::ns(x, knots = knots[2:k],
Boundary.knots = knots[c(1, k + 1)])
}
> guard <- function(x) ifelse(x < -5, NA, x)
Setting up the Prediction Data
The following piece of code massages the data into a format for fitting the model and ob-
taining predictions. It creates transformations of the data and joins them with the existing
data to form a new prediction dataset, newData.
> vals <- with(Benthos, tapply(Intensity, Impact, mean))
> msa <- with(Benthos, mean(SweptArea))
> newData <- Benthos[, c("Cruise", "Plot", "Months",
"Treatment", "Time", "Impact", "Topography", "Unity")]
> newData <- transform(newData,
Months = as.numeric(as.character(Months)),
Intensity = vals[factor(Impact)],
SweptArea = rep(msa, nrow(Benthos)))
> newData <- with(newData, newData[order(Months), ])
The Key Species
To get a listing of the key species in the dataset, the print function can be used. These
are names of some columns in the Benthos data frame. We need to fit the master model
for each and produce plots of the fixed and random effects
c CSIRO Australia, 2005 Course Materials and Exercises
Mixed Effects Models: An Introduction 223
> print(Species, quote = F)
[1] Alcyonacea Annella.reticulata
[3] Ctenocella.pectinata Cymbastela.coralliophila
[5] Dichotella.divergens Echinogorgia.sp.
[7] Hypodistoma.deeratum Ianthella.flabelliformis
[9] Junceella.fragilis Junceella.juncea
[11] Nephtheidae Porifera
[13] Sarcophyton.sp. Scleractinia
[15] Solenocaulon.sp. Subergorgia.suberosa
[17] Turbinaria.frondens Xestospongia.testudinaria
The Trick: Fitting Multiple Similar Models
In order to fit multiple similar models we need to set up a function. The following piece
of code defines the GLMM that was described above. The Quote() function is required
because it tells R to treat everything between the brackets as text. If the Quote() function
is not used, R will try to evaluate the right hand side and we do not want to do this yet.
> fitCommand <- Quote({
fm <- glmmPQL(Species ˜ Topography +
I(Impact * cbind(nsi(Intensity), bin(Time))) +
offset(log(SweptArea)),
random = ˜1|Cruise/Plot,
family = poisson, data = Benthos, verbose = T)
})
Putting the Trick to Work
To put this trick to work we need to construct a manual loop and we start with defining
spno to equal 1.
> spno <- 1
### --- start of (manual) main loop
> mname <- paste("GLMM", Species[spno], sep=".")
c CSIRO Australia, 2005 Course Materials and Exercises
224 Mixed Effects Models: An Introduction
> sname <- Species[spno]
> thisFitCommand <- do.call("substitute", list(fitCommand,
list(fm = as.name(mname), Species = as.name(sname))))
> eval(thisFitCommand)
> print(spno <- spno + 1)
[1] 2
### --- end of main loop
> objects(pat = "GLMM.*")
[1] "GLMM.Alcyonacea"
The mname and sname objects get the model name, which will store the model results and
species name respectively. The do.call function executes a function call from the name
of the function and a list of arguments passed to it. The function being executed here is
the substitute function. This function substitutes the values of fm and Species into
the fitCommand function. The eval function simply evaluates the function with those
substitutions in place. We then move on to the next species and repeat for all available
species. Try running this for a few species and examine results. Here, we have only run
it for one species.
This is basically a clever way of repeating analyses for different species without having
to type in the model each time.
Plots
We now examine some plots of the fitted model and predictions using data from one of
the species, Alcyonacea.
The first few lines form predictions at different levels of grouping. When level=0, the
predictions are derived at the population level and do not include random effect terms.
By default, predictions are constructed at the highest grouping level and are based on
fixed and random effects. Note, the offset term is also added to the predictions.
> pfm <- predict(GLMM.Alcyonacea, newData) +
log(newData$SweptArea)
> pfm0 <- predict(GLMM.Alcyonacea, newData, level=0) +
log(newData$SweptArea)
> graphics.off()
The plot of predictions for fixed and random effects and fixed effects only is shown in
c CSIRO Australia, 2005 Course Materials and Exercises
Mixed Effects Models: An Introduction 225
Figures 85 and Figures 86 respectively. This was constructed using the following piece of
code.
> trellis.device()
> trellis.par.set(col.whitebg())
> xyplot(guard(pfm) ˜ Months|Treatment*Topography, newData,
groups = Plot, panel = panel.superpose, type="b",
main = "Alcyonacea", ylab = "log(mean)",
sub = "fixed and random effects")
> trellis.device()
> trellis.par.set(col.whitebg())
> xyplot(exp(pfm0) ˜ Months|Treatment*Topography, newData,
groups = Plot, panel = panel.superpose, type="b",
main = "Alcyonacea", ylab = "mean",
sub = "fixed effects only")
The results indicate some variation between cruises as well as between shallow and deep
plots (Figure 85). After adjusting for the variation between cruises and plots within
cruises, not much can be explained by the fixed effects (Figure 86. There does however,
indicate a sharp decline in the mean number of species in the impacted site after approx-
imately 10 months. This is particularly evident in deep waters but soon recovers at about
20 months.
Variance Components
A closer look at the variance components shows some variation explained by cruise and
plot within cruise, however, only slight. Most of the variation is unexplained, indicating
that large proportion of variation is not being adequately explained by this model.
> summary(GLMM.Alcyonacea, corr = F)
Linear mixed-effects model fit by maximum likelihood
Data: Benthos
AIC BIC logLik
339.7326 371.9182 -157.8663
c CSIRO Australia, 2005 Course Materials and Exercises
226 Mixed Effects Models: An Introduction
Alcyonacea
fixed and random effects
Months
log(mean)
0 20 40 60
1
2
3
4
5
Control
Deep
Impact
Deep
Control
Shallow
0 20 40 60
1
2
3
4
5
Impact
Shallow
Figure 85: Plot of fixed and random effects
c CSIRO Australia, 2005 Course Materials and Exercises
Mixed Effects Models: An Introduction 227
Alcyonacea
fixed effects only
Months
mean
0 20 40 60
5
10
15
20
25
Control
Deep
Impact
Deep
Control
Shallow
0 20 40 60
5
10
15
20
25
Impact
Shallow
Figure 86: Plot of fixed effects only
c CSIRO Australia, 2005 Course Materials and Exercises
228 Mixed Effects Models: An Introduction
Random effects:
Formula: ˜1 | Cruise
(Intercept)
StdDev: 0.7587749
Formula: ˜1 | Plot %in% Cruise
(Intercept) Residual
StdDev: 0.591846 2.495568
Variance function:
Structure: fixed weights
Formula: ˜invwt
Fixed effects: Alcyonacea ˜ Topography + I(Impact *
cbind(nsi(Intensity), bin(Time))) + offset(log(SweptArea))
For this study, the model produces a result where the components of variance are smaller
than the underlying Poisson component. This type of model is a useful way of isolating
various parts of the model to reveal (perhaps speculatively) the fixed pattern. It is also a
good way of handling overdispersion.
There is a close connection between GLMMs and Negative Binomial Models but this is
somewhat controversial. The inference process is still a matter of debate.
Example: Muscle Data
The muscle dataset can be viewed using a scatterplot of log(length) versus concentra-
tion of calcium chloride broken down by heart muscle strip (Figure 87). The dataset is
described in Appendix I.
> xyplot(log(Length) ˜ Conc | Strip, muscle, as.table = T,
xlab = "CaCl concentration")
Initial Fit: Fixed Effects Only
One model that we may consider fitting is a fixed effects model of the form
log(lij) = αj + βjρcij
+ ǫ
c CSIRO Australia, 2005 Course Materials and Exercises
Mixed Effects Models: An Introduction 229
CaCl concentration
log(Length)
1.0
1.5
2.0
2.5
3.0
3.5
S01
1 2 3 4
S02 S03
1 2 3 4
S04 S05
S06 S07 S08 S09
1.0
1.5
2.0
2.5
3.0
3.5
S10
1.0
1.5
2.0
2.5
3.0
3.5
S11 S12 S13 S14 S15
S16 S17 S18 S19
1.0
1.5
2.0
2.5
3.0
3.5
S20
1 2 3 4
1.0
1.5
2.0
2.5
3.0
3.5
S21
Figure 87: Plot of log(length) versus concentration of calcium chloride broken down by
heart muscle.
c CSIRO Australia, 2005 Course Materials and Exercises
230 Mixed Effects Models: An Introduction
where lij is the length of the strip and cij is the concentration for observation i and strip j.
If we fit this as a fixed effects model, we need to estimate 43 parameters but we only have
61 data points. Therefore, special care needs to be taken with fitting the model.
We use the plinear algorithm in the non-linear least squares function to simplify the
model specification and to make the fitting process more robust. In this type of model
we only need to specify the non-linear parameters and then re-fit the model in a standard
way to simplify predictions. Here is how we do this.
> X <- model.matrix(˜Strip - 1, muscle)
> muscle.nls1 <- nls(log(Length) ˜
cbind(X, X*rhoˆConc), muscle,
start = c(rho = 0.1), algorithm = "plinear", trace = T)
......
> b <- as.vector(coef(muscle.nls1))
> init <- list(rho = b[1],alpha = b[2:22],
beta = b[23:43])
> muscle.nls2 <- nls(log(Length) ˜ alpha[Strip] +
beta[Strip]*rhoˆConc, muscle, start = init, trace = T)
......
Prediction and Presentation of Fit
We present the results from this model fit in Figure 88 using the following piece of code.
> Muscle <- expand.grid(Conc = seq(0.25, 4, len=20),
Strip = levels(muscle$Strip), Length = 0)
> Muscle <- rbind(muscle, Muscle)
> Muscle <- with(Muscle, Muscle[order(Strip, Conc), ]
> Muscle$fit <- predict(muscle.nls2, Muscle)
> xyplot(fit ˜ Conc|Strip, Muscle, type = "l", subscripts = T,
prepanel = function(x, y, subscripts)
c CSIRO Australia, 2005 Course Materials and Exercises
Mixed Effects Models: An Introduction 231
list(xlim = range(x),
ylim = range(y, Muscle$fit[subscripts]),
dx = NULL, dy=NULL),
panel = function(x, y, subscripts, ...) {
panel.xyplot(x, y, ...)
panel.points(x, log(Muscle$Length[subscripts]))
},
as.table = T, ylab = "log(Length)",
xlab = "CaCl concentration")
The plot indicates that there is an increase in length (on the log scale) as the concentration
increases up to 1.5 for most strips. However, the impact levels off at a length of approxi-
mately 3 (on the log scale).
Fitting a Mixed Effects Model
A mixed effects model may be more sensible for this application as we can fit random
terms for the α’s and β’s within each strip, therefore reducing the number of parameters
that need to be estimated.
The following piece of code fits the non-linear mixed effects model and plots the results,
which are shown in Figure 89. Most of the variation is exhibited by the non-linear term
in the model, β. This is confirmed in the summary of the fit of the model shown below.
> ival <- sapply(init, mean)
> muscle.nlme <- nlme(log(Length) ˜ alpha + beta*rhoˆConc,
muscle,fixed = rho+alpha+beta ˜ 1,
random = alpha + beta ˜ 1|Strip, start = ival)
> Muscle$RandomFit <- predict(muscle.nlme, Muscle)
> xyplot(RandomFit ˜ Conc|Strip, Muscle, type = "l",
subscripts = T,
xlim = with(Muscle,range(Conc)),
ylim = with(Muscle,range(RandomFit,fit,log(muscle$Length))),
c CSIRO Australia, 2005 Course Materials and Exercises
232 Mixed Effects Models: An Introduction
CaCl concentration
log(Length)
−2
−1
0
1
2
3
S01
1 2 3 4
S02 S03
1 2 3 4
S04 S05
S06 S07 S08 S09
−2
−1
0
1
2
3
S10
−2
−1
0
1
2
3
S11 S12 S13 S14 S15
S16 S17 S18 S19
−2
−1
0
1
2
3
S20
1 2 3 4
−2
−1
0
1
2
3
S21
Figure 88: Results from the non-linear least squares fit.
c CSIRO Australia, 2005 Course Materials and Exercises
Mixed Effects Models: An Introduction 233
par.strip.text = list(lines=1,cex=0.7),
panel = function(x, y, subscripts, ...) {
panel.xyplot(x, y, ...)
panel.lines(x, Muscle$fit[subscripts], col=2,lty=2)
panel.points(x, log(Muscle$Length[subscripts]))
}, as.table = T, ylab = "log(Length)",
xlab = "CaCl concentration")
> summary(muscle.nlme)
Nonlinear mixed-effects model fit by maximum likelihood
Model: log(Length) ˜ alpha + beta * rhoˆConc
...
Random effects:
Formula: list(alpha ˜ 1, beta ˜ 1)
...
StdDev Corr
alpha 0.16991613 alpha
beta 0.88268574 0.35
Residual 0.07692169
Fixed effects: rho + alpha + beta ˜ 1
Value Std.Error DF t-value p-value
rho 0.094083 0.01349832 37 6.96996 0
alpha 3.363546 0.04486974 37 74.96247 0
beta -2.817441 0.29503865 37 -9.54940 0
Some final comments are noted below:
• Non-linear regression offers a way of integrating empirical and process models. If
different kinds of non-linear regressions are to be repeatedly done then some invest-
ment in selfStart models pays off.
• The plinear algorithm offers an effective way of using the simplicity of linear
parameters.
c CSIRO Australia, 2005 Course Materials and Exercises
234 Mixed Effects Models: An Introduction
CaCl concentration
log(Length)
−1
0
1
2
3
S01
1 2 3
S02 S03
1 2 3
S04 S05
S06 S07 S08 S09
−1
0
1
2
3
S10
−1
0
1
2
3
S11 S12 S13 S14 S15
S16 S17 S18 S19
−1
0
1
2
3
S20
1 2 3
−1
0
1
2
3
S21
Figure 89: Results of non-linear mixed effects model for the Muscle dataset
c CSIRO Australia, 2005 Course Materials and Exercises
Mixed Effects Models: An Introduction 235
• Random effects can be very tricky, but they offer a way of borrowing strength from
one group to another, in order to gain a more holistic representation of the process
generating the data.
c CSIRO Australia, 2005 Course Materials and Exercises
Programming 237
Programming
Techniques for programming in R are described extensively by Venables & Ripley (2000)
in the S Programming book. We will touch on a few aspects in this session.
The S programming book covers a number of topics, from the S language to developing
classes and incorporating programs. The chapters are summarised below.
1 Introduction 1
2 The S Language: Syntax and Semantics 5
3 The S Language: Advanced Aspects 39
4 Classes 75
5 New-style Classes 99
6 Using Compiled Code 123
7 General Strategies and Extended Examples 151
8 S Software Development 179
9 Interfaces under Windows 205
A Compiling and Loading Code 235
B The Interactive Environment 247
C BATCH Operation 253
References 255
Index 257
Introductory Example
We illustrate some of the programming features in R through the following introductory
example.
Example: How many balls of diameter 2 can you fit inside a box of side 2?
To answer this question we need to know how to calculate the volume of a sphere and
the volume of the cube.
The volume of a sphere of side r is
πd/2
rd
Γ(d/2 + 1)
c CSIRO Australia, 2005 Course Materials and Exercises
238 Programming
where d is the number of dimensions and r = 1 (for this example). The volume of the
cube is 2d
. The proportion (p) of the cube occupied by the sphere is
πd/2
Γ(d/2 + 1)d2
Therefore the maximum number (N) is
Γ(d/2 + 1)2d
πd/2
Figure 90 graphically portrays the problem for the scenario when d = 3 and r = 1 and
indicates that nearly 2 balls can fit in a cube of size 2.
Figure 90: Illustration of the problem when d = 3 and r = 1.
To calculate the relative volume we can write a function in R as follows:
> rvball <- function(d)
exp(d/2 * log(pi) - d * log(2) - lgamma(d/2 + 1))
This function takes on one argument, d and evaluates the volume for this value. The
function is also vectorized so we can check several cases at once:
c CSIRO Australia, 2005 Course Materials and Exercises
Programming 239
> structure(floor(1/rvball(1:10)), names = 1:10)
1 2 3 4 5 6 7 8 9 10
1 1 1 3 6 12 27 63 155 401
Consider now how we might go about checking this relative volume formula by simula-
tion.
1. Sample n points at random in the origin-centred cube.
2. Calculate how many of them are closer to the origin than 1 in the sense of Euclidean
distance, say k, Return k and n, but can we make it behave like the ratio k/n when
that would be convenient?
We allow for large numbers of trials but conduct them in blocks so as not to use too much
memory all at once. The object will carry information about itself, including how it was
generated. The object has a class so we can provide methods for key generic functions
that allow results to be conveniently handled.
> mcrvball <-
function(d, N = 10000, blocksize = 10000) {
n2 <- inside <- 0
while(n2 < N) {
n1 <- n2
n2 <- min(n2 + blocksize, N)
No <- n2 - n1
samp <- matrix(runif(No * d, -1, 1), No, d)
inside <- inside +
sum((samp * samp) %*% rep(1, d) < 1)
}
res <- list(dimensions = d, inside = inside,
total = N, call = match.call())
oldClass(res) <- "mcrvball"
res
}
The above function takes on the arguments d, N and blocksize. It begins by first initialising
n2 and inside to be zero. It then runs a number of scripts within a while loop until the
condition n2 < N is not satisfied.
c CSIRO Australia, 2005 Course Materials and Exercises
240 Programming
To understand what this function is doing, try inserting a browser(). This will stop R
where you put the browser and allow you to inspect objects created in the function in
more detail.
The following piece of code writes a print method for ”mcrvball” objects. When you
issue the command print(obj), the print.mcrvball function will be executed. It
provides a neat way of viewing the dimensions, the estimate of the proportion of balls
and the actual proportion of the cube occupied for d = 2.
> print.mcrvball <- function(x, ...) {
cat("Dim.:", x$d,
"Estimated:", signif(x$inside/x$total, 4),
"Actual:", signif(rvball(x$dim), 4), "n")
invisible(x)
}
The Ops class allows for arithmetic operations to be performed and calculated. It is a
function called within other functions. It is not called directly. The NextMethod function
is usually used within methods to call the next method. It does this by looking down the
list of classes to see whether there is a method for the current generic. For this example,
the Ops function calculates the ratio between the number of samples inside and the total
number. This is what is printed in the output.
> Ops.mcrvball <- function(e1, e2) {
if(!is.null(class(e1)) && class(e1) == "mcrvball")
e1 <- e1$inside/e1$total
if(!missing(e2) && !is.null(class(e2)) &&
class(e2) == "mcrvball")
e2 <- e2$inside/e2$total
NextMethod()
}
We try out these functions in a test run for a variety of dimensions as follows and compare
with actual values. We notice that the Monte Carlo estimates are not too different to the
Actual estimate.
> for(i in 4:10) print(mcrvball(i, 1000000))
Dim.: 4 Estimated: 0.3081 Actual: 0.3084
c CSIRO Australia, 2005 Course Materials and Exercises
Programming 241
Dim.: 5 Estimated: 0.1647 Actual: 0.1645
Dim.: 6 Estimated: 0.08089 Actual: 0.08075
Dim.: 7 Estimated: 0.03673 Actual: 0.03691
Dim.: 8 Estimated: 0.01588 Actual: 0.01585
Dim.: 9 Estimated: 0.006375 Actual: 0.006442
Dim.: 10 Estimated: 0.002428 Actual: 0.00249
> X <- matrix(NA, 7, 2)
> X[,2] <- floor(1/rvball(4:10))
> for(i in 4:10)
X[i-3,1] <- floor(1/mcrvball(i, 100000))
> dimnames(X) <- list(4:10,
c("Monte Carlo", "Actual"))
> X
Monte Carlo Actual
4 3 3
5 6 6
6 12 12
7 27 27
8 64 63
9 151 155
10 375 401
Are the Monte Carlo results likely to be biased downwards?
The Call Component and Updating
If an object has a call component, update() may be used to create a new object by mak-
ing simple modifications to the call. Here it is not very useful, but it does work:
c CSIRO Australia, 2005 Course Materials and Exercises
242 Programming
> p1 <- mcrvball(10)
> floor(1/p1)
[1] 625
> p2 <- update(p1, N = 200000)
> floor(1/p2)
[1] 416
Special methods for lm and glm objects allow convenient forms for changes to formulas,
such as the use of the period.
Combining Two Estimates
We combine two relative frequencies by adding numerators and denominators. The most
convenient way to do this is with a binary operator.
> "%+%" <- function(e1, e2) UseMethod("%+%")
> "%+%.mcrvball" <- function(e1, e2) {
if(e1$dimensions != e2$dimensions)
stop("ball dimensions differ!")
res <- list(dimensions = e1$dimensions,
inside = e1$inside + e2$inside,
total = e1$total + e2$total,
call = e1$call)
oldClass(res) <- "mcrvball"
res
}
> p1 %+% p2
Dim.: 10 Estimated: 0.002362 Actual: 0.00249
> floor(1/(p1 %+% p2))
[1] 423
Now, for efficiency and convenience, we collect results as we go
c CSIRO Australia, 2005 Course Materials and Exercises
Programming 243
> p0 <- p1
> for(i in 1:10) p0 <- p0 %+% print(update(p1))
Dim.: 10 Estimated: 0.0023 Actual: 0.00249
Dim.: 10 Estimated: 0.0026 Actual: 0.00249
Dim.: 10 Estimated: 0.0018 Actual: 0.00249
Dim.: 10 Estimated: 0.0031 Actual: 0.00249
> p0
Dim.: 10 Estimated: 0.002345 Actual: 0.00249
> floor(1/p0)
[1] 426
> unlist(sapply(p0, as.character))
dimensions inside total call1 call2
"10" "258" "110000" "mcrvball" "10"
Some Lessons
We summarise some of the main points from this example.
1. Vectorization. (rvball)
2. Taking the whole object view of the problem. (mcrvball)
3. Object orientation: put all the information you are likely to need into the object and
give it a class. (mcrvball)
4. Methods for existing generics. (print.mcrvball)
5. Group generic functions. (Ops.mcrvball)
6. Binary operators and new generic functions. (%+%)
Some Under-used Array and Other Facilities
Some functions that are sometimes overlooked when it comes to dealing with arrays are
listed below.
c CSIRO Australia, 2005 Course Materials and Exercises
244 Programming
1. cumsum, cummax, cummin, cumprod
2. pmax, pmin
3. The empty index, especially in replacements.
4. row, col and slice.index
5. outer
6. aperm
7. diag and diag<-
8. A matrix as an index.
To illustrate some of these functions, we write a function to construct a tri-diagonal matrix
with constant values in each diagonal position. The function appears below and it takes
on arguments r and v. The outer function creates a 3 × 4 matrix with the elements in
each row and column being cumulatively added. The diagonal elements and those to the
left and right of the diagonal are then replaced with the values set for v.
> tridiag <- function(r, v) {
cind <- as.vector(outer(-1:1, 1:r, "+"))
rind <- rep(1:r, each = 3)
mind <- cbind(rind, cind)
mind <- mind[ -c(1, 3*r), ]
X <- matrix(0, r, r)
X[mind] <- rep(v, r)[ -c(1, 3*r)]
X
}
> tridiag(4, c(1,2,1))
[,1] [,2] [,3] [,4]
[1,] 2 1 0 0
[2,] 1 2 1 0
[3,] 0 1 2 1
[4,] 0 0 1 2
A more direct calculation can be achieved using subsetting as shown below:
> X <- matrix(0, 5, 5)
c CSIRO Australia, 2005 Course Materials and Exercises
Programming 245
> X[row(X) == col(X)] <- 2
> X[abs(row(X) - col(X)) == 1] <- 1
> X
[,1] [,2] [,3] [,4] [,5]
[1,] 2 1 0 0 0
[2,] 1 2 1 0 0
[3,] 0 1 2 1 0
[4,] 0 0 1 2 1
[5,] 0 0 0 1 2
Some Little-used Debugging Functions and Support Systems
Some useful debugging functions are listed in the following table. They are presented in
increasing order of investment and payoff:
1. cat or print statements, strategically placed.
2. trace, untrace and tprint
3. browser
4. inspect
5. emacs with ESS
I find that the most useful debugging function is browser(). To quit from the browser
you can type a capital Q at the prompt. Typing c at each browser pause will cause R to
advance to the next set of calculations.
Compiled Code and Packages
Compiling code and packages is a useful feature in R. The add-on packages available
from the CRAN website have all been generated in this way. Having this feature in R
allows you to perform some complex and computational calculations outside of R and
bring in the results for printing and graphically displaying the information.
We present a very simple example to show how a package can be developed. You will
need a couple of other packages though. These will be described in detail later.
c CSIRO Australia, 2005 Course Materials and Exercises
246 Programming
The example we use is one which can be computed within R itself. It is a function to
calculate the convolution of two numerical sequences
a = {ai}, b = {bj}.(a ∗ b)k =
i+j=k
aibj
We first consider a C function to do the crude arithmetic and how to link it to R. Then we
consider four possible R functions to perform the computation. Finally we look at system
timings for a relatively large computation.
The C function in VR convolve.c
The C function for producing this convolution is shown below:
void VR_convolve(double *a, long *na,
double *b, long *nb,
double *ab)
{
int i, j, nab = *na + *nb - 1;
for(i = 0; i < nab; i++)
ab[i] = 0.0;
for(i = 0; i < *na; i++)
for(j = 0; j < *nb; j++)
ab[i + j] += a[i] * b[j];
}
Note that for this to work, all arguments to the function must be pointers.
Before making the DLL, some care is required to ensure that the arguments supplied to
the function have the correct storage mode. Creating the dll is relatively easy provided
you have the MinGW compiler installed. You can easily download this package from the
Internet. It is Free.
Ensure that R.exe and gcc are both visible on the %PATH% (Windows) environment
variable (if using Windows). The compiler, gcc can be obtained from the tools zip file
from Bates website. (See http://www.murdoch-sutherland.com/Rtools/).
In either a DOS or cygwin window (if you also have cygwin installed), type in the follow-
ing:
c CSIRO Australia, 2005 Course Materials and Exercises
Programming 247
$ gcc O2 c VR_convolve.c
$ dllwrap o VR_convolve.dll def VR_convolve.def
VR_convolve.o
Several files (either Fortran or C or both) can be compiled at once. See S Programming
(p241-) for more details on how the compilation of files to produce DLL’s can be per-
formed.
Loading the Shared Library
Once the DLL has been created, we need to load the shared library. This is done in the
function we propose to use. The function is.loaded checks to see if the DLL has been
loaded. If not, then it is loaded using dyn.load. Storage modes for each parameter are
defined. This is important so R knows how to interact correctly with the C or Fortran
code.
> convolve3 <- function(a, b) {
if(!is.loaded(symbol.C("VR_convolve")))
dyn.load("VR_convolve.dll")
storage.mode(a) <- "double"
storage.mode(b) <- "double"
.C("VR_convolve",
a,
length(a),
b, length(b),
ab = double(length(a) + length(b) - 1))$ab
}
A few explanations about loading in code . . .
• .C() takes the name of the entry point as a character string as its first argument
• subsequent arguments correspond to those of the C function itself, with correct stor-
age mode ensured
• Subsequent arguments may be named
• The result is a list with names as supplied to the arguments. The results of the C
function must be reflected as changes in the supplied arguments
• In our case only one result was needed, so this is the only one we named (ab)
c CSIRO Australia, 2005 Course Materials and Exercises
248 Programming
• is.loaded() may be used to check if an entry point is visible
• symbol.C() and symbol.For() can be used to ensure portability across plat-
forms
Three Pure R Code Contenders
We now examine three pure R code contenders and evaluate their performance with the
C function written. The first uses two for loops. The second uses one for loop, while the
third uses an apply function.
> convolve0 <- function(a, b) {
ab <- rep(0, length(a) + length(b) - 1)
for(i in 1:length(a))
for(j in 1:length(b))
ab[i+j-1] <- ab[i+j-1] + a[i]*b[j]
ab
}
> convolve1 <- function(a, b) {
ab <- rep(0, length(a) + length(b) - 1)
ind <- 1:length(a)
for(j in 1:length(b)) {
ab[ind] <- ab[ind] + a*b[j]
ind <- ind + 1
}
ab
}
> convolve2 <- function(a, b)
tapply(outer(a, b), outer(seq(along = a), seq(along = b),
"+"), sum)
We evaluate each function by running the function on some sample data, recorded the
time and compare estimates. The first three values reported from system.time repre-
c CSIRO Australia, 2005 Course Materials and Exercises
Programming 249
sents the user CPU, system CPU, and elapsed or real time. The results show increasing
improvement as we move from convolve0 to convolve3.
> a <- rep(1/1000, 1000)
> b <- dbinom(0:1000, 1000, 0.5)
> system.time(ab0 <- convolve0(a, b))
[1] 12.65 0.09 13.27 NA NA
> system.time(ab1 <- convolve1(a, b))
[1] 0.27 0.02 0.29 NA NA
> system.time(ab2 <- convolve2(a, b))
[1] 1.63 0.03 1.73 NA NA
> system.time(ab3 <- convolve3(a, b))
[1] 0 0 0 NA NA
> range(abs(ab0-ab1)+abs(ab1-ab2)+abs(ab2-ab3))
[1] 0.000000e+00 2.602085e-18
Some comments regarding this comparison . . .
• The slick version is NOT the fastest, probably because of memory use
• Both the conventional R versions are much faster than the translated Fortran first
version
• Much bigger problems are needed before the compiled code version registers on the
timing
• This first invocation will, in fact, be the slowest as it needs to load the dll before it
does anything.
• A good strategy is to reserve C for the heavy computational part of the calculation
but do everything else in pure R.
• The .Call interface allows you to manipulate R objects directly from within C code.
This requires much more specialised coding using C macros that are rather sketchily
documented.
Making and Maintaining Extensions
For more information about making and maintaining extensions, read the section in Writ-
ing R Extensions (at least once).
c CSIRO Australia, 2005 Course Materials and Exercises
250 Programming
Read the readme.packages file and consult the web portals for the tools. Make sure
they are visible within your %PATH%. This is a very specialised area, but the payoff is
large when you have it under control.
The function package.skeleton() establishes a good part of the work needing to be
done, but then you have to do it.
Building packages does the compilation as part of the process.
install.packages() and update.packages() may be used to get packages from
CRAN (or .zip files) and update packages from CRAN from within R itself. They require
administrator capabilities within Windows (usually).
c CSIRO Australia, 2005 Course Materials and Exercises
Neural Networks: An Introduction 251
Neural Networks: An Introduction
Methodology
Neural networks can be considered a type of nonlinear regression that takes a set of in-
puts (explanatory variables), transforms and weights these within a set of hidden units
and hidden layers to produce a set of outputs or predictions (that are also transformed).
Figure 91 is an example of a feed forward neural network consisting of five inputs, a
hidden layer that contains three units and an output layer that contains three outputs.
The model can be expressed as follows:
yk = φ0(αk +
i→k
wikxi +
j→k
wjkφj(αj +
i→j
wijxi)
where φo is the transformation on the hidden layers to produce the output, αk represent
the biases associated with each observation k, wik are weights assigned to variable xi and
φh is the transformation applied to the hidden units in the hidden layer.
Figure 91: An example of a neural network.
c CSIRO Australia, 2005 Course Materials and Exercises
252 Neural Networks: An Introduction
Regression Function
The expression shown above can be viewed as regression equations:
yk = fk(w; x)
with internal layer transformations that are typically logistic
φh(z) =
exp(z)
1 + exp(z)
Output transformations that are most often used are either linear, logistic or consist of a
threshold. Estimation is either through ordinary least squares, logistic or using log-linear
modelling estimation (softmax). For example, the fitting function for least squares is
E =
p
||tp
− yp
||2
where tp
is the target output and yp
is the output for the p-th example pattern.
Penalized Estimation
To ensure that the function f is smooth, we can restrict the estimates to have a limited
number of spline knots. An alternative approach is to use regularization where the fitting
criterion becomes
E + λC(f)
where C(f) is a penalty function and λ is the degree of roughness. In neural networks,
the penalty function is typically the sum of squares of the weights wij, known as weight
decay. Having this penalty term in the fitting process helps with the optimization process
and tries to avoid overfitting. Choices of lambda vary depending on the type of fitting
function, E chosen. For an entropy fit (deviance), good choices for λ lie between 0.01 and
0.1. For least squares, choices for λ lie between λ ≈ 10−4
− 10−2
.
Special Cases
The neural network shown in Figure 91 is a typical model for most problems. However,
situations may arise where special types of neural network models are warranted. These
are outlined below.
c CSIRO Australia, 2005 Course Materials and Exercises
Neural Networks: An Introduction 253
• Linear Regression (the hard way)
A model with no internal nodes, no penalties and a linear output function (Multi-
variate)
• Logistic Regression (the hard way)
A model with no internal nodes, no penalties, a logistic output function and one
output node
• Logistic Regression (again)
A model with no skip layer, one internal node and a Kullback-Liebler objective func-
tion with no penalties
• Multiple Logistic, Multinomial Regression
A model with no internal nodes, a softmax objective function and no penalties
Linear Regression the Hard Way: Check
The following sample code is an example of how to perform a linear regression on the
Cars93 dataset using neural networks.
We first fit the model using the nnet function. To fit a linear model we need to specify
a model with no internal nodes (size=0), no penalties (decay=0) and a linear output
function (linout=T).
> require(nnet)
> tst <- nnet(1000/MPG.city ˜ Weight+Origin+Type,
Cars93, linout = T, size = 0,
decay = 0, rang = 0, skip = T, trace = T)
# weights: 8
initial value 213926.871110
iter 10 value 1560.625585
final value 1461.849465
> coef(tst)
b->o i1->o i2->o i3->o
6.01509864 0.01337820 -1.20290333 -0.65095242
i4->o i5->o i6->o i7->o
0.78448665 -1.48859419 2.96276360 2.38761012
We now check the coefficients produced from the neural network with those estimated
using linear regression and the lm model.
c CSIRO Australia, 2005 Course Materials and Exercises
254 Neural Networks: An Introduction
> tst1 <- lm(1000/MPG.city ˜ Weight + Origin+Type, Cars93)
> coef(tst1)
(Intercept) Weight Originnon-USA TypeLarge
6.01509685 0.01337820 -1.20290356 -0.65095077
TypeMidsize TypeSmall TypeSporty TypeVan
0.78448750 -1.48859321 2.96276400 2.38761020
> range(coef(tst) - coef(tst1))
[1] -1.646830e-06 1.793509e-06
We see that the results are very similar. The difference between coefficients range between
−1.6 × 10−6
and 1.79 × 10−6
.
Logistic Regression is a Special Case
We now examine logistic regression models fit as a neural network using the birth weight
data. Once again we specify no weight decay (decay=0) and no input layers (size=0).
By default, logistic output units are specified.
> tst <- nnet(low ˜ ptd + ftv/age, data = bwt, skip = T, size = 0,
decay = 0, rang = 0, trace = T)
# weights: 7
initial value 131.004817
iter 10 value 101.713567
final value 101.676271
converged
> tst1 <- glm(low ˜ ptd + ftv/age, binomial, bwt)
> range(coef(tst) - coef(tst1))
[1] -0.0001691730 0.0003218216
These are compared with estimates produced using a generalized linear model and once
again the differences between coefficients are negligible.
We now set up a training and test set and begin with a parametric model using the birth
weight data again. Predictions from the GLM are then tabulated with the actual data to
produce a confusion matrix. We see below that 28 observations are misclassified in this
c CSIRO Australia, 2005 Course Materials and Exercises
Neural Networks: An Introduction 255
model.
> sb1 <- sample(1:nrow(bwt), 100)
> bwt.train <- bwt[sb1, ]
> bwt.test <- bwt[ - sb1, ]
> bm.train <- update(tst1, data = bwt.train)
> bm.tst <- predict(bm.train, bwt.test, type = "resp")
> bm.class <- round(bm.tst)
> table(bm.class, bwt.test$low)
0 1
0 53 16
1 12 8
Now Consider a Tree Model
Now we consider a tree model. (These will be explained in the following two sections in
more detail.) The tree function is used here to fit a classification tree.
> require(tree)
> tm.train <- tree(low ˜ race + smoke + age + ptd + ht + ui + ftv,
bwt.train)
> plot(cv.tree(tm.train, FUN = prune.misclass))
> tm.train <- prune.tree(tm.train, best = 6)
> tm.class <- predict(tm.train, bwt.test,
type = "class")
> table(tm.class, bwt.test$low)
0 1
0 43 12
1 22 12
The optimal model is one that misclassifies 34 observations, a substantially higher pro-
portion of cases. One option that might improve misclassification rates is setting up a loss
function. (This will be described in the next session.)
Some Initial Explorations of a Neural Network
Neural networks may prove to be a better way of modelling this data but it is not clear
c CSIRO Australia, 2005 Course Materials and Exercises
256 Neural Networks: An Introduction
what degree of non-linearity is warranted. Here is one that we tried. It consists of a
network with one hidden layer and three units and a weight decay of 0.001.
> X0 <- model.matrix( ˜ race + smoke + age + ptd + ht + ui + ftv,
bwt.train)[, -1]
> std <- function(x) (x - min(x))/(max(x) - min(x))
> X <- apply(X0, 2, std)
> nm.train <- nnet(low ˜ X, data = bwt.train, size = 3, skip = T,
decay = 0.001, trace = T, maxit = 1000)
# weights: 43
initial value 71.792542
iter 10 value 55.167514
iter 20 value 50.647657
...
iter 210 value 19.234755
iter 220 value 19.234745
final value 19.234743
converged
Test Data
We then obtain predictions from this model and compare it with the actual classifications.
> X <- model.matrix( ˜ race + smoke + age + ptd + ht + ui + ftv,
bwt.test)[, -1]
> for(j in 1:ncol(X))
X[, j] <- (X[, j] min(X0[, j]))/
(max(X0[, j]) - min(X0[, j]))
> nm.tst <- predict(nm.train, newdata = bwt.test, type = "raw")
> nm.class <- round(nm.tst)
> table(nm.class, bwt.test$low)
0 1
c CSIRO Australia, 2005 Course Materials and Exercises
Neural Networks: An Introduction 257
0 46 15
1 19 9
The results indicate that
• The tree model does about as well as the parametric model and is constructed more-
or-less blind.
• The neural network model is by far the most difficult to fit and performs (appar-
ently) slightly worse than the other models.
• Cross-validation should perhaps be used to come to some decision on the amount
of smoothing warranted in the NN model (See Venables & Ripley (2002)).
• Neural networks may be more useful with much larger data sets and more complex
prediction situations (maybe)
c CSIRO Australia, 2005 Course Materials and Exercises
Tree-based Models I: Classification Trees 259
Tree-based Models I
RPART offers two libraries for constructing Classification and Regression Tree (CART)
models. The first is an S-PLUS/R native library called tree, which implements the tradi-
tional S-PLUS/R tree methodology described in Chambers & Hastie (1992). The second
is the rpart library developed by Beth Atkinson and Terry Therneau of the Mayo Clinic,
Rochester, New York, which implements methodology closer to the traditional CART ver-
sion of trees due to Breiman et al. (1984).
Both have their advantages and disadvantages. However, we mostly favour the RPART
version in this course. Although we focus on this library, all examples can be done using
the tree library.
Decision Tree Methodology
Decision trees have been applied to a number of interesting problems in the medical,
environmental and financial areas. They have been recognised as a useful modelling tool
among non-statisticians, particularly in the medical area, as they produce a model that is
very easy to interpret.
Decision trees have a number of interesting features, which are summarised below.
• Decision trees are non-parametric and therefore do not require Normality assump-
tions of the data.
• Decision trees can handle data of different types: continuous, categorical, ordinal,
binary. Transformations of the data are therefore not required.
• Trees can be useful for detecting important variables, interactions and identifying
outliers. This can be useful at the exploratory stage of modelling.
Figure 92 displays a diagram of a decision tree (not produced from R) that high-
lights an interaction between age and sex. The interaction is suggested because
of multiple splitting that occurs using these variables. If decision trees were being
used as an exploratory tool, this model would suggest incorporating an interaction
term between sex and age in a model.
Figure 93 shows a mock tree with an outlier present on the age variable. This ex-
ample shows a fairly obvious outlier but an important one none-the-less.
• Decision trees cope with missing data by identifying surrogate splits in the mod-
elling process. Surrogate splits are splits highly associated with the primary split
(which will be explained below). They can be used in situations when data cannot
be collected using the primary split variable.
• Decision trees are used for analysis of a wide range of applications
c CSIRO Australia, 2005 Course Materials and Exercises
260 Tree-based Models I: Classification Trees
Figure 92: Illustration of Interactions
Figure 93: Illustration of Outliers
c CSIRO Australia, 2005 Course Materials and Exercises
Tree-based Models I: Classification Trees 261
The methodology can be summarised into three main steps. These are described below.
1. Splitting Criterion
Splits are formed on subsets of the data in a greedy fashion. To begin with, a variable
and split location is defined (usually based on a particular criterion: Gini (classifica-
tion), sums of squares (regression)) from the entire dataset. The data is partitioned
into two groups based on this split and the process is repeated on the two sub-
groups. (Hence the reason why the algorithm is sometimes referred to as greedy).
Splitting continues until a large tree is constructed where only a small number of
observations of the same class reside in each terminal node.
2. Pruning Procedure
Pruning commences once a large tree has been grown. It involves successively snip-
ping back splits of the tree into smaller trees using a cost complexity measure (which
will be described later). This involves computing an error measure, usually calcu-
lated using cross-validation.
3. Tree Selection
Tree selection is typically based on cross-validation and/or the use of a test dataset
for larger applications. The tree yielding the lowest cross-validated error rate is
examined. In addition, trees that are smaller in size but comparable in accuracy
(corresponding to the 1 SE rule) are also investigated.
Tree Definitions
Figure 94 summarises the key terms used in decision tree modelling. The node which
is to be split is referred to as the parent node. The branches emanating from the parent
node define the split which is a logical statement comprised of one of the variables in the
dataset and a value indicating the split location. A split forms two new nodes, a left child
node and a right child node. Each is assigned a prediction, whether a classification or a
mean (for regression problems).
Split Criterion
The split criterion for a decision tree model is different for different types of responses.
The two main types of response are categorical, where we might be interested in produc-
ing a classification or continuous, where interest lies in producing a mean prediction.
c CSIRO Australia, 2005 Course Materials and Exercises
262 Tree-based Models I: Classification Trees
Figure 94: Key terms in decision tree modelling
For classification problems, Gini is the most common split criterion used. It is defined as
i(t) =
i=j
p(i|t)p(j|t)
where p(i|t) is the probability that item in node t is of class i and i(t) is the impurity
measure or misclassification error.
For a two-class problem, this expression reduces to 2p(1|t)p(2|t).
Costs can be incorporated into the impurity measure to reflect weightings of different
groups. For example, in a medical study, we are more interested in the accurate classifi-
cation of sick or dying patients more than the well patients. Often though, the number
of sick patients in medical studies is limited and this compromises prediction for the sick
cases somewhat. To avoid this problem, we weight the sick cases higher than the well
cases and we do this using costs. Sometimes this is referred to as setting up a loss matrix.
When we incorporate unequal costs into a classification tree model, we alter p(i|t) and
p(j|t). This is described in more detail in Breiman et al. (1984).
For regression problems, the impurity measure consists of the residual sums of squares,
similar to what we examine in the output from a linear regression model. The expression
for the impurity measure, i(t) is
i(t) = {y(i|t)¯y(t)}2
where ¯y(t) is the mean of observations in node t and y(i|t) represents observation i in
c CSIRO Australia, 2005 Course Materials and Exercises
Tree-based Models I: Classification Trees 263
node t.
Split Formation
Figure 95 illustrates the actual split formation from the parent node (P) into left (L) and
right (R) child nodes. In determining the best split for a node, the impurity measure is
evaluated for the parent node (i(t)P ), left child node (i(t)L) and right child node (i(t)R).
The change in impurity is then determined through the expression
∆ = i(t)P − [pLi(t)L + pRi(t)R]
where pL and pR represent the proportions of the data sent to the left and right respec-
tively. The split producing the greatest change in impurity is therefore selected.
Figure 95: Illustration of split formation
Recursive Partitioning And Regression Trees (RPART)
The RPART software is going to be the focus in this section. Documentation for RPART
can be downloaded in pdf form from the CRAN website. The help is usually sufficient to
get you started.
RPART functions for fitting and producing decision trees can be broken up into two dis-
tinct types: modelling functions and plotting functions. Those functions responsible for
fitting the decision tree include
c CSIRO Australia, 2005 Course Materials and Exercises
264 Tree-based Models I: Classification Trees
• rpart: fitting the actual model
• rpart.control: tuning parameters that feed into rpart
• summary.rpart: summarises the fitted model
• snip.rpart: interactive pruning feature
• prune.rpart: pruning
Plotting functions responsible for producing the output as a nice graphical figure include
plot.rpart, text.rpart and post.rpart. The latter function is responsible for
producing postscript versions of the fitted models.
RPART Features
RPART offers models for different types of problems. We have just been focusing on
fitting classification trees and regression trees. However, RPART offers methodologies for
survival and count data. Descriptions of these models are summarised in the technical
report by Therneau & Atkinson (1997).
Fitting the Model
The function rpart() is used to fit the decision tree. It is comprised of the following
arguments that you can extract from the help file.
formula y ∼ x1+x2+x3+. . .
data data where the above variables can be found
na.action Default: omits observations with missing data in y
method class or anova
parms priors and loss matrix (class only)
control parameters that control the model fitting
The model is controlled by the function rpart.control(). Arguments to this function
are outlined below.
minsplit minimum no. of observations in a
node before a split occurs
cp complexity parameter
usesurrogate How to use surrogates for
missing data:
c CSIRO Australia, 2005 Course Materials and Exercises
Tree-based Models I: Classification Trees 265
0 = display only
1 = use surrogates to split variables with missing data.
If all are missing, no split is created.
2 = Breimans surrogate rule.
Breiman’s surrogate rule is described in his book and uses surrogates to split variables
with missing data. However if all surrogates have missing data, the observation is di-
rected to the node with the largest proportion of observations.
A Classification Example: Fisher’s Iris Data
Fisher’s Iris dataset is described in detail in Appendix I and has been used throughout
other sections of these lecture notes. The data consists of data recorded for three species
of Iris: Setosa, Versicolor and Virginica. Four pieces of information were recorded for 150
observations. These included sepal length and width and Petal length and width, both of
which are recorded in centimetres. The aim is to classify the three species of iris based on
petal and sepal measurements using a classification tree approach.
Fitting the Model
Before fitting the model, we first have to attach the rpart library. This can be done using
the require function. We set the seed value to ensure that we all get the same results as
sometimes we may get different trees through the cross-validation process. To produce a
really large tree, we make the complexity parameter (cp) really small.
> require(rpart)
> set.seed(123456)
> iris.rp <- rpart(Species ˜ ., method="class", data=iris,
control=rpart.control(minsplit=4,cp=0.000001))
> summary(iris.rp)
Call:
...
CP nsplit rel error xerror xstd
1 0.50000 0 1.00 1.21 0.04836666
2 0.44000 1 0.50 0.76 0.06123180
c CSIRO Australia, 2005 Course Materials and Exercises
266 Tree-based Models I: Classification Trees
3 0.02000 2 0.06 0.10 0.03055050
4 0.01000 3 0.04 0.11 0.03192700
5 0.00001 5 0.02 0.10 0.03055050
Node number 1: 150 observations, complexity param=0.5
predicted class=setosa expected loss=0.6666667
class counts: 50 50 50
probabilities: 0.333 0.333 0.333
left son=2 (50 obs) right son=3 (100 obs)
Primary splits:
Petal.Length < 2.45 to the left, improve=50.00000, (0 missing)
Petal.Width < 0.8 to the left, improve=50.00000, (0 missing)
Surrogate splits:
Petal.Width < 0.8 to the left, agree=1.000, adj=1.00, (0 split)
Sepal.Length < 5.45 to the left, agree=0.920, adj=0.76, (0 split)
The summary of the model provides us with some interesting information. The complex-
ity table shown at the top of the summary, provides information about all of the trees
considered for the final model. It lists their complexity parameter, the number of splits,
the resubstitution error rate, cross-validated error rate and the associated standard error.
These latter three statistics will be described shortly.
The node information is described in sections beneath the complexity table. It provides
information about the predicted class for that node, the number of observations, primary
and competing splits and surrogates splits that can be used in the event of missing data.
The primary split chosen for that node is the first one displayed. The splits beneath it are
competing splits for that node. This information is useful when you have large datasets
with many variables, some of which may be highly correlated.
The tree may be plotted using the following commands
> plot(iris.rp)
> text(iris.rp)
to produce a tree like the one shown in Figure 96. Predicted classes are displayed beneath
each terminal node of the tree. Important splits that provide the best discrimination be-
tween classes are those that have the longest branches. For larger, more complicated trees
it is sometimes useful to specify uniform=T as an argument to plot.
c CSIRO Australia, 2005 Course Materials and Exercises
Tree-based Models I: Classification Trees 267
|
Petal.Length< 2.45
Petal.Width< 1.75
Petal.Length< 4.95
Petal.Width< 1.65 Petal.Width>=1.55
setosa
versicolor virginica versicolor virginica
virginica
Figure 96: Classification tree produced on Fisher’s Iris data (unpruned)
c CSIRO Australia, 2005 Course Materials and Exercises
268 Tree-based Models I: Classification Trees
Recursive Partitioning Up Close
To illustrate the recursive partitioning process, we can produce a scatterplot of the pri-
mary split variables and overlay the plot with the locations of the splits. Figure 97 is the
result of running the following script in R. The plot is produced using Trellis graphics.
require(lattice)
trellis.par.set(col.whitebg())
xyplot(Petal.Width˜Petal.Length,iris,groups=Species,pch=16,
col=c("red","green","blue"),
panel=function(x,y,groups,...){
panel.superpose(x,y,groups,...)
panel.abline(v=2.45,lty=2)
panel.segments(2.45,1.75,max(x)*2,1.75,lty=2)
panel.segments(4.95,min(y)*-2,4.95,1.75,lty=2)
panel.segments(2.45,1.65,4.95,1.65,lty=2)
panel.segments(4.95,1.55,max(x)*2,1.55,lty=2)
},
key=list(columns=3,col=c("red","green","blue"),
text=list(c("setosa","versicolor","virginica"))))
The plot shows the three species of iris, Setosa (red), Versicolor (green) and Virginica
(blue) with the splits overlayed to illustrate how the data was partitioned. The first split
on petal length ideally partitions setosa from the remaining two species. However the
remaining two species are a little more difficult to partition based on petal length and
petal width. Notice how we could have also used petal width to partition setosa from
versicolor and virginica. In the summary output, petal width was listed as a surrogate
with an agreement rating of 1, indicating that it would produce the same partition.
The Complexity Table
> printcp(iris.rp)
Classification tree:
rpart(formula = Species ˜ Sepal.Length + Sepal.Width + Petal.Length +
c CSIRO Australia, 2005 Course Materials and Exercises
Tree-based Models I: Classification Trees 269
Petal.Length
Petal.Width
1 2 3 4 5 6
0.5
1.0
1.5
2.0
2.5
setosa versicolor virginica
Figure 97:
Petal.Width, data = iris, method = "class",
control = rpart.control(minsplit = 4, cp = 1e-05))
Variables actually used in tree construction:
[1] Petal.Length Petal.Width
Root node error: 100/150 = 0.66667
n= 150
CP nsplit rel error xerror xstd
1 0.50000 0 1.00 1.21 0.048367
2 0.44000 1 0.50 0.76 0.061232
3 0.02000 2 0.06 0.10 0.030551
4 0.01000 3 0.04 0.11 0.031927
5 0.00001 5 0.02 0.10 0.030551
c CSIRO Australia, 2005 Course Materials and Exercises
270 Tree-based Models I: Classification Trees
The printcp command prints out the complexity table that we saw in the summary of
the tree. In this table, the tree yielding the lowest cross-validated error rate (xerror) is
tree number 3. The tree yielding the minimum resubstitution error rate is tree number 5.
The largest tree will always yield the lowest resubstitution error rate. Why? This will be
explained later.
For larger trees, looking at a printout of the complexity table can be quite frightening.
Sometimes a plot can help and this can be achieved using the plotcp function. Figure 98
produces the result and indicates that the best tree is the tree with 3 terminal nodes cor-
responding to a complexity value of 0.094.
> plotcp(iris.rp)
cp
X−valRelativeError
0.00.20.40.60.81.01.21.4
Inf 0.47 0.094 0.014 0.00032
1 2 3 4 6
size of tree
Figure 98: Graphical representation of the complexity table.
Pruning Trees
Once a large tree has been grown, it is important to prune the tree back to avoid overfit-
ting. This is important for two reasons
• to ensure that the tree is small enough to avoid putting random variation into pre-
dictions
c CSIRO Australia, 2005 Course Materials and Exercises
Tree-based Models I: Classification Trees 271
• to ensure that the tree is large enough to avoid putting systematic biases into pre-
dictions
Trees are pruned using a cost complexity measure which is defined as follows
Rα = R + α × T
In the above expression, T represents the number of splits/terminal nodes in the tree, R
represents the tree risk and α represents the complexity parameter, which is a penalty term
that controls the size of the tree. The estimate of tree risk differs depending on the type of
tree produced. For a classification tree, tree risk refers to the misclassification error, while
for a regression tree, tree risk corresponds to the residual sum of squares.
Illustration of Pruning
Figure 99 illustrates the pruning process using a tree with five splits. At each split, we
Figure 99: Illustration of the pruning process.
can produce an estimate for the resubstitution rate, R. This decreases as we move further
down the tree. For the terminal node at the bottom of the tree (orange), α is 0. This
increases as we move towards the root node (cyan). Calculation of Rα is via the above
formula. For the top node, Rα is 1 and becomes smaller as the tree gets bigger.
Figure 100(a) is the result of plotting the resubstitution rates versus tree size and shows
this downward trend in error as tree size increases. The following script produces this
plot.
c CSIRO Australia, 2005 Course Materials and Exercises
272 Tree-based Models I: Classification Trees
# Plot the resubstitution error
> with(iris.rp,plot(cptable[,3],xlab="Tree Number",
ylab="Resubstitution Error (R)",type="b"))
1 2 3 4 5
0.00.20.40.60.81.0
Tree Number
ResubstitutionError(R)
1 2 3 4 5
0.20.40.60.81.01.2
Tree Number
Cross−ValidatedError(R(cv))
(a) (b)
Figure 100: Plot of (a) the resubstitution error rate and (b) the cross-validated error rate
for trees produced on the iris dataset.
Although this is a measure of error, the resubstitution error rate is not all that useful
in helping to decide on an optimal tree. Of course we could always choose the largest
tree because this has the lowest resubstitution error rate but this tree would be biased.
Furthermore, if we obtained a validation dataset, it is anticipated that classification using
this tree would be poor.
Tree Selection
Instead of selecting a tree based on the resubstitution error rate, 10-fold cross-validation
is used to obtain a cross-validated error rate, from which, the optimal tree is selected.
To recap, 10-fold cross-validation involves creating 10 random subsets of the original data,
setting one portion aside as a test set, constructing a tree for the remaining 9 portions and
evaluating the tree using the test portion. This is repeated for all portions and an estimate
of the error, Rα is evaluated. Adding up the error across the 10 portions represents the
cross-validated error rate, RCV
α .
If we now plot the error rates computed via cross-validation using the following script
c CSIRO Australia, 2005 Course Materials and Exercises
Tree-based Models I: Classification Trees 273
> with(iris.rp,plot(cptable[,4],xlab="Tree Number",
ylab="Cross-Validated Error (R(cv))",type="b"))
we obtain a plot of the tree error like that shown in Figure 100(b). The minimum now
occurs somewhere near the tree with three terminal nodes.
Selecting the Right Sized Tree
There are a number of ways to select the right sized tree. The first is to simply choose the
tree with the lowest cross-validated error rate: min(RCV
α ). The second, uses the 1 standard
error (SE) rule that is outlined in Breiman et al. (1984). This represents a tree, smaller in
size but within one standard error to the tree yielding the minimum cross-validated error
rate: minRCV
α + SE.
There is no hard and fast rule for tree selection. These are merely a guide.
Illustration of the 1 SE rule
The 1 SE rule is illustrated using the following piece of code, producing the plot in Fig-
ure 101.
plotcp(iris.rp)
with(iris.rp, {
lines(cptable[,2]+1,cptable[,3],type="b",col="red")
legend(locator(1),c("Resub. Error","CV Error","min(CV Error)+1SE"),
lty=c(1,1,2),col=c("red","black","black"),bty="n")
})
The script produces a plot of the resubstitution error (red) and the cross-validated error
rate (black), with a dotted line drawn at the minimum plus one standard error. The dotted
line helps us to choose the tree within one standard error of the tree yielding the mini-
mum. We do this by seeing if a smaller sized tree has a cross-validated estimate below the
dotted line. In this case, tree selection is straight forward and the tree yielding the lowest
cross-validated error rate is also the 1SE tree.
c CSIRO Australia, 2005 Course Materials and Exercises
274 Tree-based Models I: Classification Trees
cp
X−valRelativeError
0.00.20.40.60.81.01.21.4
Inf 0.47 0.094 0.014 0.00032
1 2 3 4 6
size of tree
Resub. Error
CV Error
min(CV Error)+1SE
Figure 101: Illustration of the one standard error rule.
Pruning the Tree
We can use the information in the complexity table or alternatively the complexity plot
(Figure 101) to prune the tree. To select the tree with three splits, we choose a complexity
value greater than 0.094 but less than 0.47, which represents the tree with two splits. The
tree can then be pruned using the prune function and associated summary tables and
plots can be produced.
> iris.prune <- prune(iris.rp,cp=0.1)
> summary(iris.prune)
Call:
...
n= 150
CP nsplit rel error xerror xstd
1 0.50 0 1.00 1.21 0.04836666
2 0.44 1 0.50 0.76 0.06123180
c CSIRO Australia, 2005 Course Materials and Exercises
Tree-based Models I: Classification Trees 275
3 0.10 2 0.06 0.10 0.03055050
Node number 1: 150 observations, complexity param=0.5
predicted class=setosa expected loss=0.6666667
class counts: 50 50 50
probabilities: 0.333 0.333 0.333
left son=2 (50 obs) right son=3 (100 obs)
Primary splits:
Petal.Length < 2.45 to the left, improve=50.00000, (0 missing)
Petal.Width < 0.8 to the left, improve=50.00000, (0 missing)
Surrogate splits:
Petal.Width < 0.8 to the left, agree=1.000, adj=1.00, (0 split)
Sepal.Length < 5.45 to the left, agree=0.920, adj=0.76, (0 split)
Node number 2: 50 observations
predicted class=setosa expected loss=0
class counts: 50 0 0
probabilities: 1.000 0.000 0.000
Node number 3: 100 observations, complexity param=0.44
predicted class=versicolor expected loss=0.5
class counts: 0 50 50
probabilities: 0.000 0.500 0.500
left son=6 (54 obs) right son=7 (46 obs)
Primary splits:
Petal.Width < 1.75 to the left, improve=38.969400, (0 missing)
Petal.Length < 4.75 to the left, improve=37.353540, (0 missing)
Surrogate splits:
Petal.Length < 4.75 to the left, agree=0.91, adj=0.804, (0 split)
c CSIRO Australia, 2005 Course Materials and Exercises
276 Tree-based Models I: Classification Trees
Sepal.Length < 6.15 to the left, agree=0.73, adj=0.413, (0 split)
Node number 6: 54 observations
predicted class=versicolor expected loss=0.09259259
class counts: 0 49 5
probabilities: 0.000 0.907 0.093
Node number 7: 46 observations
predicted class=virginica expected loss=0.02173913
class counts: 0 1 45
probabilities: 0.000 0.022 0.978
> plot(iris.prune)
> text(iris.prune)
A partitioned plot can also be produced from the pruned model using the following piece
of code.
require(lattice)
trellis.par.set(theme=col.whitebg())
xyplot(Petal.Width˜Petal.Length,iris,groups=Species,pch=16,
col=c("red","green","blue"),main="Partitioned Plot",
panel=function(x,y,groups,...){
panel.superpose(x,y,groups,...)
panel.abline(v=2.45,lty=2)
panel.segments(2.45,1.75,max(x),1.75,lty=2)
},
key=list(columns=3,col=c("red","green","blue"),
text=list(c("setosa","versicolor","virginica"))))
The resulting plot is shown in Figure 103 and shows two distinct partitions of the data
into the three species. Using this tree it is evident that there is some misclassification
between versicolor and virginica.
c CSIRO Australia, 2005 Course Materials and Exercises
Tree-based Models I: Classification Trees 277
|
Petal.Length< 2.45
Petal.Width< 1.75
setosa
versicolor virginica
Figure 102: Pruned tree.
c CSIRO Australia, 2005 Course Materials and Exercises
278 Tree-based Models I: Classification Trees
Partitioned Plot
Petal.Length
Petal.Width
1 2 3 4 5 6
0.5
1.0
1.5
2.0
2.5
setosa versicolor virginica
Figure 103: Partitioned plot of the pruned model
c CSIRO Australia, 2005 Course Materials and Exercises
Tree-based Models I: Classification Trees 279
Predictions
Predictions can be made using the predict function. For example,
> iris.pred <- predict(iris.prune,type="class")
will produce predicted classes for the iris data based on the pruned model. To assess the
performance of the model, we can produce a confusion matrix as follows
> table(iris.pred,iris$Species)
iris.pred setosa versicolor virginica
setosa 50 0 0
versicolor 0 49 5
virginica 0 1 45
The results indicate that the model misclassifies six species. Refer to the previous plot to
see the misclassifications. The real test of course comes from a training/test sample.
Laboratory Exercise: Try this as an exercise.
Plotting Options
There are a number of ways to produce a plot of a decision tree using the RPART software.
Here are four versions to choose from.
• Version A (Figure 104) is the default and produces simple square shaped splits with
predicted classifications at terminal nodes.
> plot.rpart(iris.prune,main="Version A")
> text.rpart(iris.prune)
• Version B (Figure 105) provides a prettier version with angled splits and classification
breakdowns at terminal nodes.
> plot(iris.prune,uniform=T,branch=0.1,
main="Version B")
> text(iris.prune,pretty=1,use.n=T)
• Version C (Figure 106) provides a more fancy version with elipses for intermediate
nodes and rectangles for terminal nodes. (N.B. Earlier versions of RPART blocked
out the elipses and rectangles to make the node information more legible.)
c CSIRO Australia, 2005 Course Materials and Exercises
280 Tree-based Models I: Classification Trees
> plot(iris.prune,uniform=T,branch=0.1,
margin=0.1,main="Version C")
> text(iris.rp2,pretty=1,all=T,use.n=T,fancy=T)
• The postscript version sends the previous plot to file
> post.rpart(iris.prune,filename="iris.ps",
main="Postscript Version")
Version A
|
Petal.Length< 2.45
Petal.Width< 1.75
setosa
versicolor virginica
Figure 104: Default plot.
c CSIRO Australia, 2005 Course Materials and Exercises
Tree-based Models I: Classification Trees 281
Version B
|
Petal.Length< 2.45
Petal.Width< 1.75
setosa
50/0/0
versicolor
0/49/5
virginica
0/1/45
Figure 105: Prettier version with angled splits.
c CSIRO Australia, 2005 Course Materials and Exercises
282 Tree-based Models I: Classification Trees
Version C
|
Petal.Length< 2.45
Petal.Width< 1.75
Petal.Length>=2.45
Petal.Width>=1.75
setosa
50/50/50
setosa
50/0/0
versicolor
0/50/50
versicolor
0/49/5
virginica
0/1/45
Figure 106: Fancy version. Note that in earlier versions of R, the elipses and boxes had
white backgrounds.
c CSIRO Australia, 2005 Course Materials and Exercises
Tree-based Models II: Regression Trees and Advanced Topics 283
Tree-based Models II
Regression Trees
Example: Boston Housing Data
The Boston Housing dataset is described in Appendix I and contains information about
owner occupied homes in Boston. For more information regarding this dataset please see
the paper by Harrison & Rubinfeld (1978).
The Boston Housing dataset will be used to create a regression tree to predict the median
value of owner occupied homes in Boston using a variety of explanatory variables listed
in the table below.
Covariates
crim per capita crime rate by town
zn proportion of residential land zoned for lots over
25,000 sq.ft.
indus proportion of non-retail business acres per town
chas Charles River dummy variable (= 2 if tract bounds
river;1 otherwise)
nox nitric oxides concentration (parts per 10 million)
rm average number of rooms per dwelling
age proportion of owner-occupied units built prior to 1940
dis weighted distances to five Boston employment centres
rad index of accessibility to radial highways
tax full-value property-tax rate per $10,000
ptratio pupil-teacher ratio by town
black 1000(Bk - 0.63)ˆ2 where Bk is the proportion of
blacks by town
lstat % lower status of the population
Specification of the regression tree model can be performed using the following R code
> require(MASS)
> require(rpart)
> ?Boston
> boston.rp <- rpart(medv˜.,method="anova",data=Boston,
c CSIRO Australia, 2005 Course Materials and Exercises
284 Tree-based Models II: Regression Trees and Advanced Topics
control=rpart.control(cp=0.0001))
> summary(boston.rp)
The summary of the fit is shown below. Note that in comparison to the classification tree,
many more trees are produced. The largest tree with 39 terminal nodes has the smalled
cross-validated error rate. However this would be too large and biased to predict from.
The primary split for the first split of the tree is on the average number of rooms per
dwelling. If a house has fewer than seven rooms (split=6.941) then that observation moves
off to the left side of the tree otherwise it moves off to the right side of the tree. A compet-
ing split for that tree is the lower status of the population. This variable is also a surrogate
for the rm. So if we did not know the number of rooms for a house we could use lower
population status to perform that split instead.
Call:
rpart(formula = medv ˜ ., data = Boston, method = "anova",
control = rpart.control(cp = 1e-04))
n= 506
CP nsplit rel error xerror xstd
1 0.4527442007 0 1.0000000 1.0027628 0.08298070
2 0.1711724363 1 0.5472558 0.6153397 0.05783459
3 0.0716578409 2 0.3760834 0.4343630 0.04807590
4 0.0361642808 3 0.3044255 0.3401563 0.04301558
...
37 0.0002274363 39 0.1170596 0.2502034 0.03772380
38 0.0001955788 40 0.1168322 0.2486663 0.03723079
39 0.0001000000 41 0.1166366 0.2483847 0.03722298
Node number 1: 506 observations, complexity param=0.4527442
mean=22.53281, MSE=84.41956
left son=2 (430 obs) right son=3 (76 obs)
Primary splits:
rm < 6.941 to the left, improve=0.4527442, (0 missing)
lstat < 9.725 to the right, improve=0.4423650, (0 missing)
c CSIRO Australia, 2005 Course Materials and Exercises
Tree-based Models II: Regression Trees and Advanced Topics 285
indus < 6.66 to the right, improve=0.2594613, (0 missing)
Surrogate splits:
lstat < 4.83 to the right, agree=0.891, adj=0.276, (0 split)
ptratio < 14.55 to the right, agree=0.875, adj=0.171, (0 split)
...
If we look at the complexity table in more detail we see that the tree corresponding to
the lowest error rate is a tree with 27 terminal nodes. However, if we look higher up on
the table, we see that there is a tree smaller in size but within one standard error of the
minimum (0.2786 < 0.2482 + 0.03755) . This is a tree that has 12 terminal nodes.
CP nsplit rel error xerror xstd
1 0.4527442 0 1.0000 1.0028 0.08298
2 0.1711724 1 0.5473 0.6153 0.05783
3 0.0716578 2 0.3761 0.4344 0.04808
4 0.0361643 3 0.3044 0.3402 0.04302
5 0.0333692 4 0.2683 0.3498 0.04594
6 0.0266130 5 0.2349 0.3460 0.04537
7 0.0158512 6 0.2083 0.3148 0.04314
8 0.0082454 7 0.1924 0.2953 0.04396
9 0.0072654 8 0.1842 0.2885 0.04195
10 0.0069311 9 0.1769 0.2869 0.04115
11 0.0061263 10 0.1700 0.2879 0.04124
12 0.0048053 11 0.1639 0.2786 0.04128 <- 1 SE
13 0.0045609 12 0.1591 0.2706 0.04081
14 0.0039410 13 0.1545 0.2708 0.04082
15 0.0033161 14 0.1506 0.2647 0.04067
16 0.0031206 15 0.1472 0.2608 0.03991
17 0.0022459 16 0.1441 0.2561 0.03977
18 0.0022354 18 0.1396 0.2541 0.03892
19 0.0021721 19 0.1374 0.2539 0.03892
20 0.0019336 20 0.1352 0.2532 0.03769
c CSIRO Australia, 2005 Course Materials and Exercises
286 Tree-based Models II: Regression Trees and Advanced Topics
21 0.0017169 21 0.1333 0.2514 0.03768
22 0.0014440 22 0.1316 0.2495 0.03766
23 0.0014098 23 0.1301 0.2487 0.03758
24 0.0013635 24 0.1287 0.2490 0.03757
25 0.0012778 25 0.1273 0.2491 0.03758
26 0.0012474 26 0.1261 0.2487 0.03758
27 0.0011373 28 0.1236 0.2482 0.03755 <- Minimum
28 0.0009633 29 0.1224 0.2484 0.03753
29 0.0008487 30 0.1215 0.2485 0.03755
30 0.0007099 31 0.1206 0.2516 0.03779
31 0.0005879 32 0.1199 0.2505 0.03773
32 0.0005115 33 0.1193 0.2502 0.03772
33 0.0003794 34 0.1188 0.2499 0.03772
34 0.0003719 35 0.1184 0.2497 0.03773
35 0.0003439 36 0.1181 0.2501 0.03773
36 0.0003311 37 0.1177 0.2500 0.03773
37 0.0002274 39 0.1171 0.2502 0.03772
38 0.0001956 40 0.1168 0.2487 0.03723
39 0.0001000 41 0.1166 0.2484 0.03722
An alternative way to select the tree is through a plot of the cross-validated error versus
the complexity parameter or tree size. Figure 107 summarises the information in the
complexity table and highlights the optimal tree using a dotted line.
Both the complexity table and the complexity plot reveal a regression tree with 12 splits.
Pruning the tree can be achieved by selecting a complexity value that is greater than that
produced for the optimal tree but less than the complexity value for the next tree above it.
For this example, we require a tree that has a complexity parameter between 0.0048 and
0.0061. Figure 108 displays the resulting pruned model.
> boston.prune <- prune(boston.rp,cp=0.005)
> plot(boston.prune)
> text(boston.prune)
The model shown in Figure 108 shows an important first split on theaverage number of
c CSIRO Australia, 2005 Course Materials and Exercises
Tree-based Models II: Regression Trees and Advanced Topics 287
cp
X−valRelativeError
0.20.40.60.81.01.2
Inf 0.035 0.0071 0.0036 0.002 0.0013 0.00078 0.00034
1 3 5 7 9 11 14 17 21 24 27 31 34 37 41
size of tree
Figure 107: Plot of cross-validated errors produced for all trees versus the complexity
value.
rooms per dwelling. The second split off to the left on lstat also seems to be quite an
important split in terms of the models ability to partition the data to reduce the residual
sums of squares.
The more expensive houses appear to be those that have a higher number of rooms (on
average), while the cheap houses have a smaller number of rooms (<6.941 on average)
and have a low status in the population with a high crime rate.
Interactive pruning allows you to interact with the tree and snip off splits of the tree using
the mouse. For larger trees, this feature works best when you set the uniform=T option
in the plot. The following script shows how you can interact with a plot.
> plot(boston.prune,uniform=T,branch=0.1)
> text(boston.prune,pretty=1,use.n=T)
> boston.prune.int <- snip.rpart(boston.prune)
Clicking once on the node reveals information about that node. Clicking a second time
removes that split. Figure 109 produces a tree with 9 terminal nodes resulting from this
exercise of interactive pruning.
Predictions
We now examine the predictions from both models. We do this using the predict func-
c CSIRO Australia, 2005 Course Materials and Exercises
288 Tree-based Models II: Regression Trees and Advanced Topics
|
rm< 6.941
lstat>=14.4
crim>=6.992
nox>=0.6055 nox>=0.531
dis>=1.551
rm< 6.543
lstat>=7.57
rm< 7.437
lstat>=9.65 ptratio>=17.6
11.08 16.63 16.24 20.02
20.99 23.97 27.43
38
23.06 33.74 38.89 46.99
Figure 108: Pruned model.
c CSIRO Australia, 2005 Course Materials and Exercises
Tree-based Models II: Regression Trees and Advanced Topics 289
|
rm< 6.941
lstat>=14.4
crim>=6.992 dis>=1.551
rm< 6.543
rm< 7.437
lstat>=9.65 ptratio>=17.6
11.98
n=74
17.14
n=101
21.66
n=193
27.43
n=55
38
n=7
23.06
n=7
33.74
n=39
38.89
n=7
46.99
n=23
Figure 109: Pruned tree resulting from interactive pruning
c CSIRO Australia, 2005 Course Materials and Exercises
290 Tree-based Models II: Regression Trees and Advanced Topics
tion as follows:
# Model 1: Pruning based on the 1SE rule
> boston.pred1 <- predict(boston.prune)
# Model 2: Result from interactive pruning
> boston.pred2 <- predict(boston.prune.int)
To assess the performance of each model, we compute the correlation matrix of predic-
tions with the actual response.
> boston.mat.pred <- cbind(Boston$medv,
boston.pred1,boston.pred2)
> boston.mat.pred <- data.frame(boston.mat.pred)
> names(boston.mat.pred) <- c("medv","pred.m1","pred.m2")
> cor(boston.mat.pred)
medv pred.m1 pred.m2
medv 1.0000000 0.9144071 0.9032262
pred.m1 0.9144071 1.0000000 0.9877725
pred.m2 0.9032262 0.9877725 1.0000000
The correlations indicate that the predictions between both models are highly correlated
with the response. Model 1 predictions are slightly better than model 2 predictions.
The predictions can be plotting using the following script. The eqscplot function is
used to set up a square plotting region with axes that are in proportion to one another.
> par(mfrow=c(1,2),pty="s")
> with(boston.mat.pred,{
eqscplot(pred.m1,medv,
xlim=range(pred.m1,pred.m2),ylab="Actual",
xlab="Predicted",main="Model 1")
abline(0,1,col="blue",lty=5)
eqscplot(pred.m2,medv,
xlim=range(pred.m1,pred.m2),ylab="Actual",
c CSIRO Australia, 2005 Course Materials and Exercises
Tree-based Models II: Regression Trees and Advanced Topics 291
xlab="Predicted",main="Model 2")
abline(0,1,col="blue",lty=5)
par(mfrow=c(1,1))
})
The plots in Figure 110 indicate that both models do reasonably well in predicting the
median value of house prices in Boston. However, model 1 is a slight improvement over
model 2.
15 25 35 45
0204060
Model 1
Predicted
Actual
10 20 30 40 50
1020304050
Model 2
Predicted
Actual
Figure 110: Actual versus predicted values for models 1 and 2.
Omitting a Variable
c CSIRO Australia, 2005 Course Materials and Exercises
292 Tree-based Models II: Regression Trees and Advanced Topics
What happens to the tree when we omit the average number of rooms per dwelling (rm)?
The following script updates the decision tree and removes this variable from the set of
explanatory variables that the algorithm has to choose from.
> boston.rp.omitRM <- update(boston.rp,˜.-rm)
> summary(boston.rp.omitRM)
Call:
CP nsplit rel error xerror xstd
1 0.4423649998 0 1.0000000 1.0024048 0.08301982
2 0.1528339955 1 0.5576350 0.6023236 0.04816705
3 0.0627501370 2 0.4048010 0.4405161 0.04012065
Node number 1: 506 observations, complexity param=0.442365
mean=22.53281, MSE=84.41956
left son=2 (294 obs) right son=3 (212 obs)
Primary splits:
lstat < 9.725 to the right, improve=0.4423650, (0 missing)
indus < 6.66 to the right, improve=0.2594613, (0 missing)
Surrogate splits:
indus < 7.625 to the right, agree=0.822, adj=0.575, (0 split)
nox < 0.519 to the right, agree=0.802, adj=0.528, (0 split)
The result is that the primary split is now on lstat with surrogate splits on indus and
nox. If we look closely at the original model below, we see that the competing split at
node 1 is lstat at 9.725.
Node number 1: 506 observations, complexity param=0.4527442
mean=22.53281, MSE=84.41956
left son=2 (430 obs) right son=3 (76 obs)
Primary splits:
rm < 6.941 to the left, improve=0.4527442, (0 missing)
lstat < 9.725 to the right, improve=0.4423650, (0 missing)
indus < 6.66 to the right, improve=0.2594613, (0 missing)
c CSIRO Australia, 2005 Course Materials and Exercises
Tree-based Models II: Regression Trees and Advanced Topics 293
Surrogate splits:
lstat < 4.83 to the right, agree=0.891, adj=0.276, (0 split)
ptratio < 14.55 to the right, agree=0.875, adj=0.171, (0 split)
In the absence of rm the new model uses the competing split of the previous model to
make the first split.
Node number 1: 506 observations, complexity param=0.442365
mean=22.53281, MSE=84.41956
left son=2 (294 obs) right son=3 (212 obs)
Primary splits:
lstat < 9.725 to the right, improve=0.4423650, (0 missing)
indus < 6.66 to the right, improve=0.2594613, (0 missing)
Surrogate splits:
indus < 7.625 to the right, agree=0.822, adj=0.575, (0 split)
nox < 0.519 to the right, agree=0.802, adj=0.528, (0 split)
Examining Performance through a Test/Training Set
To obtain a realistic estimate of model performance, we randomly divide the dataset into
a training and test set and use the training dataset to fit the model and the test dataset to
validate the model. Here is how we do this:
> set.seed(1234)
> n <- nrow(Boston)
# Sample 80% of the data
> boston.samp <- sample(n, round(n*0.8))
> bostonTrain <- Boston[boston.samp,]
> bostonTest <- Boston[-boston.samp,]
> testPred <- function(fit, data = bostonTest) {
#
# mean squared error for the performance of a
c CSIRO Australia, 2005 Course Materials and Exercises
294 Tree-based Models II: Regression Trees and Advanced Topics
# predictor on the test data.
#
testVals <- data[,"medv"]
predVals <- predict(fit, data[, ])
sqrt(sum((testVals - predVals)ˆ2)/nrow(data))
}
# MSE for previous model (Resubstitution Rate)
> testPred(boston.prune,Boston)
[1] 3.719268
We compute the mean squared error for the previous model, where the entire dataset was
used to fit the model and also validate it. The mean squared error estimate is 3.719268.
This can be considered a resubstitution error rate.
Fitting the model again, but to the training dataset only and examining the complexity
table reveals that the best model (based on the 1SE rule) is a tree with seven terminal
nodes (see Figure 111.
> bostonTrain.rp <- rpart(medv˜.,data=bostonTrain,
method="anova",cp=0.0001)
> plotcp(bostonTrain.rp)
> abline(v=7,lty=2,col="red") # 1 SE rule
# pruning the tree
> bostonTrain.prune <- prune(bostonTrain.rp,cp=0.01)
# plotting the tree
> plot(bostonTrain.prune)
> text(bostonTrain.prune)
# Computing the MSE
# Training dataset
> testPred(bostonTrain.prune,bostonTrain)
[1] 4.059407
# Test dataset
c CSIRO Australia, 2005 Course Materials and Exercises
Tree-based Models II: Regression Trees and Advanced Topics 295
cp
X−valRelativeError
0.20.40.60.81.01.2
Inf 0.056 0.0079 0.0054 0.0022 0.0015 0.00076 3e−04
1 3 5 7 9 12 14 16 19 21 23 25 29 31 33 36
size of tree
Figure 111: Complexity plot on decision tree fitted to the training data
> testPred(bostonTrain.prune,bostonTest)
[1] 4.782395
Pruning the tree and computing the mean squared error rates for the training and test set
respectively produce values of 4.059407 and 4.782395.
The prediction performance of the models can be examined through plots of the actual
versus predicted values as shown below in Figure 113.
> bostonTest.pred <- predict(bostonTrain.prune,bostonTest)
> with(bostonTest,{
cr <- range(bostonTest.pred,medv)
eqscplot(bostonTest.pred,medv,xlim=cr,ylim=cr,
ylab="Actual",xlab="Predicted",main="Test Dataset")
abline(0,1,col="blue",lty=5)
})
c CSIRO Australia, 2005 Course Materials and Exercises
296 Tree-based Models II: Regression Trees and Advanced Topics
Training Dataset
|
rm< 6.941
lstat>=14.4
crim>=6.992 dis>=1.551
rm< 6.548
rm< 7.437
11.54 17.15
21.55 26.99
38
32.19 44.73
Figure 112: Pruned model produced using the training dataset
10 20 30 40 50
1020304050
Test Dataset
Predicted
Actual
Figure 113: Plot of actual versus predicted values.
c CSIRO Australia, 2005 Course Materials and Exercises
Tree-based Models II: Regression Trees and Advanced Topics 297
Advanced Topics
Throughout this session we have highlighted the useful features of decision trees and
their ability to handle different data types and produce models that are readily inter-
pretable. A major pitfall of decision trees is their instability. That is, if we were to in-
troduce additional data or omit some data from the original dataset, the decision tree is
likely to produce a tree with different splits.
Methods for overcoming tree instability that have been a hot topic over the past few years
are aggregating methods, one of which is Bootstrap Aggregation, otherwise known as
Bagging.
Bootstrap Aggregation (or Bagging)
Bagging is a technique for considering how different the result might have been if the
algorithm were a little less greedy. Bootstrap training samples of the data are used to
construct a forest of trees. Predictions from each tree are averaged (regression trees) or
if classification trees are produced, a majority vote is used. The number of trees grown
in the forest is still a matter of some debate. Random Forests develops this idea much
further.
Pros/Cons of Bootstrap Aggregation Methods
The primary advantage of Bagging and most model aggregation methods is their ability
to eliminate weaknesses concerned with model instability. However, the result is not a
single tree, but a forest of trees with predictions that are averaged across models. This
can make interpretation difficult.
An alternative approach, which overcomes model instability but focuses more on the
interpretation of models is MART (Multiple Additive Regression Trees). Components
of the model are additive and it is this feature of MART which makes it easier to see
individual contributions to the model in a graphical way.
Some Bagging Functions
The following piece of script produces a bagged sample and fits a decision tree. By default
200 random bootstrapped samples are used by the algorithm. The predict.bagRpart
function produces predictions on the bagged samples.
> bsample <- function(dataFrame) # bootstrap sampling
dataFrame[sample(nrow(dataFrame), rep = T), ]
> simpleBagging <- function(object,
data = eval(object$call$data), nBags = 200, ...) {
c CSIRO Australia, 2005 Course Materials and Exercises
298 Tree-based Models II: Regression Trees and Advanced Topics
bagsFull <- list()
for(j in 1:nBags)
bagsFull[[j]] <- update(object,
data = bsample(data))
oldClass(bagsFull) <- "bagRpart"
bagsFull
}
> predict.bagRpart <- function(object, newdata, ...)
apply(sapply(object, predict, newdata = newdata), 1, mean)
Execute and Compare Results
We perform bagging on the Boston training dataset, form bagged predictions and com-
pare with the unbagged models. The script for producing these comparisons is shown
below.
> boston.bag <- simpleBagging(bostonTrain.rp)
> testPred(boston.bag) # bit better!
[1] 3.369215
# Forming Predictions
> boston.bag.pred <- predict(boston.bag, bostonTest)
# Forming Correlation matrix to assess performance
> boston.mat.pred <- cbind(bostonTest$medv,
bostonTest.pred,boston.bag.pred)
> boston.mat.pred <- data.frame(boston.mat.pred)
> names(boston.mat.pred) <- c("medv","pred.m1",
"pred.bag")
> cor(boston.mat.pred)
medv pred.m1 pred.bag
medv 1.0000000 0.8737471 0.9432429
c CSIRO Australia, 2005 Course Materials and Exercises
Tree-based Models II: Regression Trees and Advanced Topics 299
pred.m1 0.8737471 1.0000000 0.9468350
pred.bag 0.9432429 0.9468350 1.0000000
As shown above, the mean squared error esimate is an improvement on previous models.
The correlation matrix also shows a vast improvment on predictions. Plotting these pre-
dictions, shows that the bagged predictons are much more closer to the 0-1 line comared
to predictions made for the training/test set and the resubstitution rate. Figure 114 dis-
plays these results.
# Plotting
> with(bostonTest,{
par(mfrow = c(2,2), pty = "s")
frame()
eqscplot(boston.bag.pred,medv,ylab="Actual",
xlab="Predicted",main="Bagging")
abline(0, 1, lty = 4, col = "blue")
eqscplot(bostonTest.pred, medv, ylab="Actual",xlab="Predicted",
main="Train/Test")
abline(0, 1, lty = 4, col = "blue")
with(Boston,
eqscplot(boston.pred1,medv,ylab="Actual",xlab="Predicted",
main="Resubstitution"))
abline(0, 1, lty = 4, col = "blue")
par(mfrow=c(1,1))
})
c CSIRO Australia, 2005 Course Materials and Exercises
300 Tree-based Models II: Regression Trees and Advanced Topics
10 20 30 40 50
1020304050
Bagging
Predicted
Actual
10 20 30 40 50
1020304050
Train/Test
Predicted
Actual
10 20 30 40 50
1020304050
Resubstitution
Predicted
Actual
Figure 114: Comparison of predictions for three models: (1) Bagged decision tree, (2)
Training/Test and (3) Resubstitution estimate.
c CSIRO Australia, 2005 Course Materials and Exercises
APPENDIX I
Datasets
These descriptions are an adaptation of the
information provided in the R Help system
Appendix I: Datasets 303
Absenteeism from School in NSW
Description
Information about the absenteeism rates from schools in rural New South Wales, Aus-
tralia. Classifications were made by culture, age, sex and learner status.
Variables
Name Description Mode
Eth Ethnic background: aboriginal (A), not (N) factor
Sex Sex: female (F), male(M) factor
Age Age group: primary (F0), form 1 (F1), form 2 (F2), form 3 (F3) factor
Lrn Learner status: average (AL), slow (SL) factor
Days Days absent from school in the year numeric
R Object
quine
Location and Source
This dataset is part of the MASS package and is described in more detail in Venables &
Ripley (2002). For more information about this dataset see Quine (1978).
c CSIRO Australia, 2005 Course Materials and Exercises
304 Appendix I: Datasets
Cars93 Dataset
Description
The Cars93 dataset contains information on the sales of cars in the United States of Amer-
ica in 1993. Cars selected for this study were selected at random from two US consumer
reports.
Variables
Name Description Mode
Manufacturer Manufacturer of vehicle character
Model Model of vehicle character
Type Type: Small, sporty, compact, midsize, large or van factor
Min.Price Minimum price (in $1000) numeric
Price Midrange price numeric
Max.Price Maximum price (in $1000) numeric
MPG.city Miles per gallon by EPA rating (city driving) numeric
MPG.highway Miles per gallon by EPA rating (city driving) numeric
AirBags Airbags standard: none, driver only, driver and factor
passenger
DriveTrain Drive train type: rear wheel, front wheel or 4WD factor
Cylinders Number of cylinders numeric
EngineSize Engine size in litres numeric
Horsepower Maximum horsepower numeric
RPM Revolutions per minute at maximum horsepower numeric
Rev.per.mile Engine revolutions per mile numeric
Man.trans.avail Manual transmission: yes or no factor
Fuel.tank.capacity Fuel tank capacity in US gallons numeric
Passengers Number of passengers numeric
Length Length of the vehicle in inches numeric
Wheelbase Wheelbase in inches numeric
Width Width of the vehicle in inches numeric
Turn.circle U-turn space in feet numeric
c CSIRO Australia, 2005 Course Materials and Exercises
Appendix I: Datasets 305
Name Description Mode
Rear.seat.room Rear seat room in inches numeric
Luggage.room Luggage capacity in cubic feet numeric
Weight Weight of the vehicle in pounds numeric
Origin Of non-USA or USA company origins factor
Make Manufacturer and Model of vehicle character
R Object
Cars93
Location and Source
This dataset is part of the MASS package and is described in detail in Venables & Ripley
(2002). For more information about this dataset see Lock (1993) or visit the following web
site: http://www.amstat.org/publications/jse/vin1/datasets.lock.html.
c CSIRO Australia, 2005 Course Materials and Exercises
306 Appendix I: Datasets
Car Road Tests Data
Description
Data extracted from the 1974 Motor Trend US magazine. It contains data on fuel consump-
tion, automobile design and performance for 32 vehicles.
Variables
Name Description Mode
mpg Miles per US gallon numeric
cyl Number of cylinders numeric
disp Displacement in cubic inches numeric
hp Gross horsepower numeric
drat Rear axle ratio numeric
wt Weight in pounds per 1000 numeric
qsec Quarter mile time numeric
vs V or S factor
am Transmission: automatic (0), manual (1) factor
gear Number of forward gears numeric
carb Number of caruretors numeric
R Object
mtcars
Location and Source
This dataset is part of the datasets package. For more information about this dataset see
Henderson & Velleman (1981).
c CSIRO Australia, 2005 Course Materials and Exercises
Appendix I: Datasets 307
Copenhagen Housing Conditions Study
Description
Survey of Copenhagen housing conditions.
Variables
Name Description Mode
Sat Satisfaction of householders with their present factor
housing circumstances: Low, Medium, High
Infl Perceived degree of influence householders have numeric
on their propery: Low, Medium, High
Type Type of rental accommodation: Tower, Atrium, Appartment, Terrace factor
Cont Contact residents are afforded with other residents: factor
Low, High
Freq Number of residents in each class numeric
R Object
housing
Location and Source
This dataset is part of the MASS package and is described in detail in Venables & Ripley
(2002). For more information about this dataset see Madsen (1976).
c CSIRO Australia, 2005 Course Materials and Exercises
308 Appendix I: Datasets
Fisher’s Iris Data
Description
The iris dataset contains measurements in centimeters of the sepal length and width and
petal length and width for 50 flowers from each of three species of iris: setosa, versicolor
and virginica.
R provides two versions of the iris dataset
• iris: dataframe with 150 rows and 5 columns, described below
• iris3: 3-dimensional array of 50× 4× 3, where the first dimension represents the
case number within the species subsample, the second gives the measurements for
each species and the third provides information on species.
Variables
Name Description Mode
Sepal.Length Sepal length numeric
Sepal.Width Sepal width numeric
Petal.Length Petal length numeric
Petal.Width Petal width numeric
Species Species names factor
R Object
iris, iris3
Location and Source
This dataset is part of the datasets package and is described in detail in Venables &
Ripley (2002). For more information about this dataset see Anderson (1935) and Fisher
(1936).
c CSIRO Australia, 2005 Course Materials and Exercises
Appendix I: Datasets 309
Iowa Wheat Yield Data
Description
The Iowa dataset is a toy example that summarises the yield of wheat (bushels per acre)
for the state of Iowa between 1930-1962. In addition to yield, year, rainfall and tempera-
ture were recorded as the main predictors of yield.
Variables
Name Description Mode
Year Year of harvest numeric
Rain0 Pre-season rainfall numeric
Temp1 Mean temperature for growing month 1 numeric
Rain1 Rainfall for growing month 1 numeric
Temp2 Mean temperature for growing month 2 numeric
Rain2 Rainfall for growing month 2 numeric
Temp3 Mean temperature for growing month 3 numeric
Rain3 Rainfall for growing month 3 numeric
Temp4 Mean temperature for harvest month numeric
Yield Yield in bushels per acre numeric
R Object
iowa.xls, iowa.csv
Location and Source
This dataset is provided as an excel spread sheet or comma delimited text file. For more
information about this dataset see Draper & Smith (1981).
c CSIRO Australia, 2005 Course Materials and Exercises
310 Appendix I: Datasets
Janka Hardness Data
Description
Janka Hardness is an importance rating of Australian hardwood timbers. The test itself
measures the force required to imbed a steel ball into a piece of wood and therefore pro-
vides a good indication to how the timber will withstand denting and wear.
Janka hardness is strongly related to the density of the timber and can usually be mod-
elled using a polynomial relationship. The dataset consists of density and hardness mea-
surements from 36 Australian Eucalypt hardwoods.
Variables
Name Description Mode
Density Density measurements numeric
Hardness Janka hardness numeric
R Object
janka.xls, janka.csv
Location and Source
This dataset is part of the SemiPar package and is described in detail in Williams (1959).
c CSIRO Australia, 2005 Course Materials and Exercises
Appendix I: Datasets 311
Lung Disease Dataset
Description
The lung disease dataset describes monthly deaths from bronchitis, emphysema and
asthma in the United Kingdom from 1974 to 1979. There are three datasets available
for analysis:
• ldeaths: monthly deaths reported for both sexes
• mdeaths: monthly deaths reported for males only
• fdeaths: monthly deaths reported for females only
Variables
Time series
R Object
ldeaths, mdeaths, fdeaths
Location and Source
This dataset is part of the datasets package and is described in detail in Venables &
Ripley (2002). For more information about this dataset see Diggle (1990).
c CSIRO Australia, 2005 Course Materials and Exercises
312 Appendix I: Datasets
Moreton Bay Data
Description
Coastline of islands in Moreton Bay in South-East Queensland.
Variables
Matrix of values corresponding to latitudes and longitudes
R Object
MB_coastline.txt
Location and Source
This dataset was produced using coastline extractor, a web based (free) service developed
by the National Geophysical Data Center in Boulder Colorado USA. For more information
see: http://www.ngdc.noaa.gov/mgg/shorelines/shorelines.html
c CSIRO Australia, 2005 Course Materials and Exercises
Appendix I: Datasets 313
Muscle Contraction in Rat Hearts
Description
Experiment to assess the influence of calcium chloride on the contraction of the heart
muscle of 21 rats.
Variables
Name Description Mode
Strip heart muscle strip (S01-S21) factor
Conc Concentration of calcium chloride solution numeric
Length Change in length numeric
R Object
muscle
Location and Source
This dataset is part of the MASS package and is described in detail in Venables & Ripley
(2002). For more information about this dataset see Linder et al. (1964).
c CSIRO Australia, 2005 Course Materials and Exercises
314 Appendix I: Datasets
Petroleum Rock Samples
Description
Dataset contains information on 48 rock samples taken from a petroleum reservoir, where
twelve core samples were sampled by four cross-sections.
Variables
Name Description Mode
area Area (in pixels) or pores space numeric
peri Perimeter (in pixels) numeric
shape Perimeter per square root area numeric
perm Permeability in milli-Darcies factor
R Object
rock
Location and Source
This dataset is part of the datasets package and is described in detail in Venables &
Ripley (2002).
c CSIRO Australia, 2005 Course Materials and Exercises
Appendix I: Datasets 315
Petrol Refinery Data
Description
Prater’s petrol refinery data contains information about the petroleum refining process.
This dataset was originally used by Prater (1956) to build an estimation equation for yield.
Variables
Name Description Mode
No Crude oil sample identification label (A-J) factor
SG Specific Gravity numeric
VP Vapour pressure (psi) numeric
V10 Volatility of crude oil numeric
EP Desired volatility of gasoline numeric
Y Yield as a percentage of crude numeric
R Object
petrol
Location and Source
This dataset is part of the MASS package and is described in detail in Venables & Ripley
(2002). For more information about this dataset see Prater (1956).
c CSIRO Australia, 2005 Course Materials and Exercises
316 Appendix I: Datasets
Recovery of Benthos on the GBR
Description
Study investigates the recovery of benthos after trawling on the Great Barrier Reef (GBR).
Six control plots and six impact plots were visited two times prior to treatment and four
times post treatment. The total number of animals of each species was counted for each
transect using a benthic sled.
Variables
Benthos
Name Description Mode
Intensity Mean trawl intensity numeric
SweptArea Total swept area of the sled video camera numeric
Cruise Boat identification factor
Plot Site identification character
Months Survey Month: -14, -8, 1, 10, 23, 61 factor
Treatment Treatment: Control, Impact factor
Time Survey Month: pre-treatment (0), post-treatment (1, 10, 23, 61) factor
Impact Indicator for surveys performed pre and post treatment factor
Topography Topography: Shallow, Deep factor
Species Species counts (1 column for each species) numeric
R Object
Benthos.csv, SpeciesNames.csv
Location and Source
The data for this study is contained in an excel spreadsheet. Detailed information about
the study design and data collected is contained in a CSIRO report. See Pitcher et al.
(2004).
c CSIRO Australia, 2005 Course Materials and Exercises
Appendix I: Datasets 317
Stormer Viscometer Data
Description
The stormer viscometer dataset contains measurements on the viscosity of a fluid, which
is achieved by measuring the time taken for an inner cylinder in the viscometer to perform
a fixed number of revolutions in response to some weight.
Variables
Name Description Mode
Viscosity Viscosity of fluid numeric
Wt Actuating weight numeric
Time Time taken numeric
R Object
stormer
Location and Source
This dataset is part of the MASS package and is described in detail in Venables & Ripley
(2002). For more information about this dataset see Williams (1959).
c CSIRO Australia, 2005 Course Materials and Exercises
318 Appendix I: Datasets
US State Facts and Figures
Description
Statistics provided for 50 states of the United States of America
Variables
Name Description Mode
Population Population estimate taken from 1 July 1975 numeric
Income Per capita 1974 income numeric
Illiteracy Percent of population illiterate numeric
Life Exp life expectancy in years numeric
Murder murder rate per 100,000 numeric
HS Grad percent high school graduates numeric
Frost mean number of days with minimum temperature numeric
below freezing
Area land area in square miles numeric
R Object
state.x77
Location and Source
This dataset is part of the datasets package and is described in detail in Venables & Ripley
(2002). For more information about this dataset see Becker et al. (1988).
c CSIRO Australia, 2005 Course Materials and Exercises
Appendix I: Datasets 319
Volcano Data
Description
The volcano dataset provides topographic information on a 10m × 10m grid for Maunga
Whau (Mt Eden), one of 50 volcanos in the Auckland volcanic field.
Variables
Matrix consisting of 87 rows (grid lines running east to west) and 61 columns (grid lines
running south to north).
R Object
volcano
Location and Source
This dataset is part of the datasets package (which is automatically loaded in an R
session). It has been digitized from a topographic map by Ross Ihaka.
c CSIRO Australia, 2005 Course Materials and Exercises
320 Appendix I: Datasets
Whiteside’s Data
Description
The Whiteside dataset evolved from a private study conducted by Mr Derek Whiteside
of the United Kingdom Building Research Station. Mr Whiteside was interested in the
effect of insulation on gas consumption at his place of residence in south-east England.
He recorded these measurements over two heating seasons: (1) 26 weeks before and (2)
30 weeks after cavity-wall insulation was installed.
Variables
Name Description Mode
Insul Before or After insulation factor
Temp Average outside temperature in degrees Celsius numeric
Gas Weekly gas consumption in 1000s of cubic feet numeric
R Object
whiteside
Location and Source
This dataset is part of the MASS package and is described in detail in Venables & Ripley
(2002). For more information about this dataset see Hand et al. (1993).
c CSIRO Australia, 2005 Course Materials and Exercises
APPENDIX II
Laboratory Exercises
These exercises are an adaptation of Bill Venable’s
Data Analysis and Graphics Course for S-PLUS.
Appendix II: Laboratory Exercises 323
Lab 1: R - An Introductory Session
The following session is intended to introduce you to some features of R, some of which
were highlighted in the first session of the workshop.
Starting the R Session
Create Directory Create a new directory on the desktop.
Call it Session1.
Right Click R Icon Create a shortcut by right clicking on the R icon.
Rename the R session to Session1.
Right click the R Icon and select Properties.
Alter the Start in directory to reflect the new
directory that you set up on the desktop.
Click on OK once it has been entered.
Double Click R Icon Start R by double clicking on the R icon
that you have just created.
Edit GUI Preferences Go to the Edit Menu and select GUI Preferences.
Select SDI for Single window display.
Click on OK.
Setting up the Graphics Device
> require(lattice) Attach the trellis library
> ? trellis.par.set(col.whitebg()) Get help on trellis parameter settings
> show.settings() - Show current trellis settings
> trellis.par.set(col.whitebg()) Change the color of the background
> windows() Standard graphics device
Simple Model
We will start off with a little artificial simple linear regression example, just to get you
used to assignments, calculations and plotting.
The data we generate will be of the form y = 1 + 2x + errors and then try to estimate the
intercept and slope, which we know are 1 and 2 respectively and see how well we do.
The errors will be made to fan out as you go along the line. Such heteroscedasticity is a
common feature of many real data sets.
c CSIRO Australia, 2005 Course Materials and Exercises
324 Appendix II: Laboratory Exercises
> x <- 1:50 Make x = (1, 2, . . ., 49, 50).
> w <- 1 + x/2 We will use w to make the errors fan out
along the line.
> rdata <- data.frame(x=x, Make a data frame of two columns, x and y,
y=1+2*x+rnorm(x)*w) and look at it.
> rdata
> fm <- lm(y∼x,data=rdata) Fit a simple linear regression of y on x
> summary(fm) and look at the analysis.
> attach(rdata) Make the columns in the data frame visible
as variables.
> search() Look at the search list. This is the database from
> objects(2) which R finds its objects. Look at those in
position 2.
> plot(x,y) Standard point plot.
> abline(1,2,lty=3) The true regression line: (intercept: a = 1,
slope: b = 2, line type: 3)
> abline(coef(fm),col="blue") Mark in the estimated regression line
> segments(x,fitted(fm),x,y, Join the points vertically to the fitted
lty=4,col="red") line, thus showing the errors or residuals.
We will look more closely at the residuals below.
At any time you can make a hard copy of
the graphics by clicking on the File menu and
selecting Print.
> plot(fitted(fm),resid(fm), A standard regression diagnostic plot
xlab="Fitted values", to check for unequal variance. Can you
ylab="Residuals",main= see it?
"Residuals vs Fitted")
> abline(h=0,lty=4)
> qqnorm(resid(fm),main= A Normal scores plot to check for skewness,
"Normal Scores Plot") kurtosis and outliers in the residuals. (Not
> qqline(resid(fm)) very useful here since these properties are bound
up with unequal variance.
> detach("rdata") Remove data frame from the search list.
> rm(fm,x,rdata) Clean up.
Cars93 Dataset
> require(MASS) Now we look briefly at some actual data.
c CSIRO Australia, 2005 Course Materials and Exercises
Appendix II: Laboratory Exercises 325
0 10 20 30 40 50
020406080100120
x
y
Figure 115: A simulated heteroscedastic regression.
> ?Cars93 The Cars93 data frame contains information
about 93 makes of car (or van) on sale in the
USA in 1993. For each make there are 26 variables
recorded ranging from Price (of the basic model)
through to Weight. The help document gives
more information.
> with(Cars93,plot(Type, Type is a factor, not a quantitative
Price, variable. In this case a plot gives a boxplot
ylab="Price (in $1,000)") by default.
> attach(Cars93)
> Tf <- table(Type) How many cars are there of each type?
> Tf With each number of cylinders?
> Cf <- table(Cylinders)
> Cf
> TC <- table(Type,Cylinders) A two-way table. What types of car were the two
> TC with five cylinders?
> Make[Cylinders=="5"] Which makes are they? (Note two equal signs.
> rbind(cbind(TC,Tf), Put the marginal totals on the table.
c(Cf,sum(Cf)))
> plot(Weight,MPG.city) City MPG drops off with increasing weight, but
c CSIRO Australia, 2005 Course Materials and Exercises
326 Appendix II: Laboratory Exercises
20 40 60 80 100
−40−2001030
Residuals vs Fitted
Fitted values
Residuals
−2 −1 0 1 2
−40−2001030
Normal Scores Plot
Theoretical Quantiles
SampleQuantiles
Figure 116: Heteroscedastic regression: diagnostic plots
c CSIRO Australia, 2005 Course Materials and Exercises
Appendix II: Laboratory Exercises 327
Compact Large Midsize Small Sporty Van
102030405060
Price(in$1,000)
Figure 117: Boxplots of price on type of car
not in a straight line, which would be simpler.
> Cars93T <- transform(Cars93, Try gallons per mile instead.
GPM=1/MPG.city)
> with(Cars93T, The regression looks much more linear.
plot(Weight,GPM,pch=3)) Note the use of the transform and with
> fm <- lm(GPM Weight,Cars93T) functions. Fit a straight line model and add it to
> abline(fm,lty=4,col="blue") the curve. There is a lot of deviation, but the
model seems appropriate.
> plot(fitted(fm), Large positive residuals indicate good fuel economy
resid(fm)) (after allowing for weight), whereas large negative
> abline(h=0,lty=2) residuals indicate poor fuel economy.
> identify(fitted(fm), With the mouse, position the cursor in the
resid(fm),Make) plot window. It will change shape. Place it
next to one of the more extreme residuals and
click with the left mouse button. Repeat
for as many as you like. When you have identified
enough, stop the process by clicking on the
stop button in the top left hand corner
of the plotting region.
c CSIRO Australia, 2005 Course Materials and Exercises
328 Appendix II: Laboratory Exercises
2000 2500 3000 3500 4000
0.020.030.040.050.06
Weight
GPM
Figure 118: Gallons per mile vs car weight
Graphics
We now look at some more graphical facilities: contour and 3-dimensional perspective
plots.
> x <- seq(-pi,pi,len=50) x is a vector of 50 equally spaced values in
> y <- x −π ≤ x ≤ π. y is the same.
> f <- outer(x,y, After this command, f is a square matrix with
function(x,y) rows and columns indexed by x and y respectively,
cos(y)/(1+xˆ2)) of values of the function cos(y)/(1 + x2
).
> par(pty="s") region to square.
> contour(x,y,f) Make a contour map of f and add in more lines
> contour(x,y,f, for more detail.
nint=15,add=T)
> fa <- (f-t(f))/2 fa is the asymmetric part of f.
t() is transpose).
> contour(x,y,fa, Make a contour and
nint=15)
> persp(x,y,f) Make some pretty perspective and high
> persp(x,y,fa) density image plots, of which, you can
> image(x,y,f) get hard copies if you wish.
c CSIRO Australia, 2005 Course Materials and Exercises
Appendix II: Laboratory Exercises 329
> image(x,y,fa)
> objects() and clean up before moving on.
> rm(x,y,f,fa)
−3 −2 −1 0 1 2 3
−3−2−10123
xy
f
Figure 119: Contour and perspective mesh plot of f
Complex Arithmetic
> th <- seq(-pi,pi,len=200) R can do complex arithmetic also.
> z <- exp(1i*th) 1i is used for the complex number i.
> par(pty="s") Plotting complex arguments means plot imaginary
> plot(z,type="l") versus real parts. This should be a circle.
> w <- rnorm(1000)+ Suppose we want to sample points within the
rnorm(1000)*1i unit disc. One method would be to take complex
> w <- ifelse(abs(w)>1, numbers with random standard normal real and
1/w,w) imaginary parts and map any points outside
the disc onto their reciprocal.
> plot(w,xlim=c(-1,1), All points are inside the unit disc but the
ylim=c(-1,1),pch=4, distribution is not uniform.
xlab="",ylab="",
axes=F)
> lines(z)
c CSIRO Australia, 2005 Course Materials and Exercises
330 Appendix II: Laboratory Exercises
> w <- sqrt(runif(1000))* The second method uses the uniform distribution.
exp(2*pi*runif(1000)*li) The points should now look more evenly spaced
over the disc.
> plot(w,xlim=c(-1,1), You are not expected to know why this works
ylim=c(-1,1),pch=1, by the way,but working out why it does so
xlab="",ylab="", is a little problem for the mathematically adept.
axes=F)
> lines(z)
> rm(th,w,z) Clean up again
> q() Quit the R session
Figure 120: Two samplings of the unit disc
c CSIRO Australia, 2005 Course Materials and Exercises
Appendix II: Laboratory Exercises 331
Lab 2: Understanding R Objects
In this exercise you will be expected to do some of the calculations for yourself. Use the
help facilities as much as you need. After the pace of the introductory session this one
may seem a little slow. All of the datasets are located in the MASS library so do not forget
to attach it. Incidentally, if you want to locate a dataset use the find command.
Animal Brain and Body Sizes
Read the help file for the Animals data frame, which gives average brain and body
weights for certain species of land animals. Attach the data frame at level 2 of the search
list and work through the following.
Try using the Tinn-R editor to write and run scripts produced in this session.
1. Make a dotchart of log(body) sizes.
> dotchart(log(body),row.names(Animals),xlab="log(body)")
The second argument to dotchart() gives the names to appear on the left. With
data frames, the row names become the names of each variable.
Notice that the information from the chart is somewhat unclear with the animals in
no special order. One way to improve this is to arrange them in sorted order.
> s <- sort.list(body)
> dotchart(log(body[s]),row.names(Animals[s,]),xlab="log(body)")
The dotchart should now be much more comprehensible.
2. Produce a similar dotchart of log(brain) sizes arranging the animals in sorted order
by body size. What interesting features do you notice, if any?
Detach the data frame and cleanup temporaries before proceeding to the next question.
H O Holck’s Cat Data
Examine the data frame cats through its help file.
1. Attach the data frame at position 2 and look at the levels of the factor Sex.
> sex <- levels(Sex)
> sex
c CSIRO Australia, 2005 Course Materials and Exercises
332 Appendix II: Laboratory Exercises
Mouse
Golden hamster
Mole
Rat
Guinea pig
Mountain beaver
Rabbit
Cat
Rhesus monkey
Potar monkey
Goat
Kangaroo
Grey wolf
Chimpanzee
Sheep
Human
Jaguar
Donkey
Pig
Gorilla
Cow
Horse
Giraffe
Asian elephant
African elephant
Triceratops
Dipliodocus
Brachiosaurus
0 5 10
log(body)
2.0 2.5 3.0 3.5
68101214161820
BodyHeart
Figure 121: Two anatomical data displays
Note: lower case here
2. Plot heart weight against body weight, marking in the two samples with a different
character. One way to do this is using a simple loop:
> plot(Bwt,Hst,type="n",xlab="Body",ylab="Heart") # axes only
> for(i in 1:2)
points(Bwt[Sex==sex[i]],Hwt[Sex==sex[i]],pch=2+i)
(Loops will be discussed later in the course.)
Another way to do something similar would be to use text() in place of the last
two commands:
> text(Bwt,Hwt,c("*","+")[Sex])
but this way does not allow the more precise plotting symbols to be used. Try both.
3. Find the means of each sample and print them. A direct way to do this is as follows:
> BwtF <- mean(Bwt[Sex=="F"]); ...
With only two groups this is probably the simplest. With more than two groups
though, it becomes exceedingly tedious. A better way is to use the tapply() func-
tion, (whose semantics you should look up).
c CSIRO Australia, 2005 Course Materials and Exercises
Appendix II: Laboratory Exercises 333
> Bmeans <- tapply(Bwt,Sex,mean)
> Hmeans <- tapply(Hwt,Sex,mean)
4. Look up the symbols() command and use it to add 1
10
inch circles to your plot at
the two sample mean points.
> symbols(Bmeans,Hmeans,circles=c(1,1),inches=0.05,add=T)
5. [Optional] Try to put polygons on the diagram showing the convex hull of each sex.
Here is a fairly slick way to do it, but it could be done in a loop as well:
> hF <- chull(xF <- as.matrix(cats[Sex=="F",-1]))
> hM <- chull(xM <- as.matrix(cats[Sex=="M",-1]))
> polygon(xF[hF,],dens=5,angle=45)
> polygon(xM[hM,],dens=5,angle=135)
Combining Two Data Frames with Some Common Rows
The data frame mammals contains brain and body weight data for 62 species of land
mammals, including some of the entries also contained in the Animals data frame. Our
problem here is to put the two data frames together, removing duplicate entries.
Since the variable names of the two data frames are the same, and the row names are
identical where they refer to the same animal, we can discover where the duplicates are
by looking at the two row.names vectors together. There is a useful function for checking
whether an entry in a vector has already occurred earlier:
> nam <- c(row.names(Animals),row.names(mammals))
> dup <- duplicated(nam)
We now put the data frames together and remove duplicate entries. The function rbind()
may be used to bind data frames together by rows, that is, stack them on top of each other,
aligning variables with the same name.
> AnimalsALL <- rbind(Animals,mammals)[!dup,]
> rm(dup,nam)
Note the empty second subscript position. This subsets elements by row.
c CSIRO Australia, 2005 Course Materials and Exercises
334 Appendix II: Laboratory Exercises
The Tuggeranong House Data
1. Attach the Tuggeranong house price data frame and look at the variables
N.B. The Tuggeranong house data is not part of the MASS dataset. The data is
provided as a comma delimited text file and can be read in using the read.csv
function which will be discussed in a later session.
> house <- read.csv("houses.csv")
> attach(house)
> house
2. Make a factor from the Rooms variable directly (3 classes) and from the Age vari-
able by cutting the range into three equal parts. Rename the Cent.Heat factor for
convenience.
> rms <- factor(Rooms)
> age <- factor(cut(Age,3))
> cht <- CentralHeating
Note, instead of explicitly creating these variables and storing them temporarily in
the workspace, we could have used the transform function to create a new data
frame with extra columns corresponding to these objects.
> houseT <- transform(house,rms=factor(Rooms),
age=factor(cut(Age,3)),cht=CentralHeating)
3. Find two-way frequency tables for each pair of factors. Although the table is of only
a small number of frequencies, does their appear to be any two way association?
4. Use Pearson χ2
statistic to test for association in any of the three tables you choose.
[The statistic is defined as follows:
χ2
=
i j
(Fij − Eij)2
Eij
If the two classifying factors are A and B, then Fij is the frequency of class (Ai,Bj)
and Eij is the estimated expected frequency. The Fij’s and Eij’s may be calculated
simply as follows:
> Fij <- table(A,B)
> Eij <- outer(table(A),table(B))/sum(Fij)
c CSIRO Australia, 2005 Course Materials and Exercises
Appendix II: Laboratory Exercises 335
Look up the outer function in the help documents.]
5. Using the help facility look up the functions chisq.test and fisher.test.
Use the first to check your answer from the previous question and the latter to check
how well the χ2
test approximates the Fisher exact test in this instance.
6. Detach the house data and clean up.
The Anorexia Data
The anorexia data frame gives information on three samples of young female anorexia
patients undergoing treatment. There are three groups, namely Control, Cognitive Behav-
ioural treatment and Family treatment, as given by the factor Treat. For each patient the
pre-study weight and post-study weight, in pounds, are given as variables Prewt and
Postwt respectively.
1. Select the control patients and test the hypothesis of no change in weight over the
study period. Compare the results of a paired t-test and a two-sample t-test:
> attach(anorexia[anorexia$Treat=="Cont",])
> t.test(Prewt,Postwt,paired=T)
> t.test(Prewt,Postwt)
> detach()
2. Use a coplot to compare pre-weight with post-weight for the three treatment groups.
Inside the panels, plot the points as well as the least squares line.
> attach(anorexia)
> panel.fn <- function(x,y,...){
points(x,y,pch=3)
abline(lm(y˜x),col="blue")
}
> coplot(Postwt ˜ Prewt | Treat,panel=panel.fn)
c CSIRO Australia, 2005 Course Materials and Exercises
336 Appendix II: Laboratory Exercises
7580859095100
70 75 80 85 90 95
70 75 80 85 90 95
7580859095100
Prewt
Postwt
CBT
Cont
FT
Given : Treat
Figure 122: Scatterplot of anorexia data conditioned by treatment. Each panel is overlayed
with a least squares line.
c CSIRO Australia, 2005 Course Materials and Exercises
Appendix II: Laboratory Exercises 337
Lab 3: Elementary Graphics
Scatterplots and Related Issues
1. Attach the AnimalsALL data frame that you made at the end of the last laboratory
session. (The Animals data frame will do if you do not get that far). Also open a
small graphics window.
> attach(AnimalsALL}
> windows()
2. Plot brain against body, firstly using ordinary axis scales and then using logarith-
mic scales in both directions, and compare the results. Put in explicit axis labels:
> plot(body,brain, xlab="Average body weight (kg)",
ylab="Average brain weight (gm)")
> plot(body,brain, xlab="Average body weight (kg)",
ylab="Average brain weight (gm)",log="xy")
3. Using identify discover which animals lie above or below the notional regression
line of the log-transformed values.
> identify(body,brain,row.names(AnimalsALL))
4. Now plot both variables log-transformed and include on the plot both the ordinary
least squares and the robust least trimmed squares regression lines, using a different
line type for the second.
> plot(log(body),log(brain),pch=4)
> abline(lsfit(log(body),log(brain)),lty=1)
> abline(ltsreg(log(body),log(brain)),lty=2)
Why are the two so different do you think?
5. Next we will insert a legend to identify ordinary least squares (OLS) and least
trimmed squares (LTS) regression lines by line type. The legend box should be
placed in an otherwise empty part of the plot and a convenient way of doing this
interactively is to use the locator function in conjunction with the mouse.
> legend(locator(1),legend=c("OLS line","LTS line"),lty=1:2)
c CSIRO Australia, 2005 Course Materials and Exercises
338 Appendix II: Laboratory Exercises
At this point you should place the mouse in the plot window, locate the point where
you want the top left hand corner of the legend box to appear and click with the left
button.
Student Survey Data
The data frame survey contains the results of a survey of 237 first-year Statistics students
at Adelaide University.
1. Attach the data frame for later use, and have a look at the help file for this data
frame. For a graphical summary of all the variables, type
> plot(survey}
Note that this produces a dotchart for factor variables and a normal scores plot for
the numeric variables.
2. One component of this data frame, Exer is a factor object containing the responses
to a question asking how often the students exercised. Produce a barplot of these
responses using plot().
The table() function when applied to a factor object returns the frequencies of
each level of the factor. Use this to create a pie chart of the responses with the
pie() function. Do you like this better than the bar plot? Which is more infor-
mative? Which gives a better picture of exercise habits of students? The pie()
function takes an argument names= which can be used to put labels on each pie
slice. Redraw the pie chart with labels.
(Hint: use the levels() function to generate the labels.)
You could also add a legend to identify the slices using the locator() function to
position it. The function call to do this will be something like
> legend(locator(1), legend = ..., fill=1:3)
3. You might like to try the same things with the Smoke variable, which records re-
sponses to the question How often do you smoke? Note that table() and levels()
ignore missing values. If you wish to include non-respondents in your chart use
summary() to generate the values and names() on the summary object to gener-
ate the labels.
4. Is there a relationship between pulse rate and exercising? Create boxplots of Pulse
for each level of Exer with the command
> plot(Exer,Pulse}
c CSIRO Australia, 2005 Course Materials and Exercises
Appendix II: Laboratory Exercises 339
Freq None Some
020406080100
Freq
None
Some
None
Some
Freq
Figure 123: Two representations of the Exer frequencies
Does there appear to be a relationship? You may wish to test this formally with the
aov command. What other relationships can you find in these data?
The Swiss Banknote Data
In an effort to detect counterfeits, the dimensions of 100 known fake Swiss banknotes and
100 supposedly legal notes were measured. The length of the note and its diagonal were
measured along with the length of each side.
This dataset is located in the alr3 library. To access a copy, you must first attach the
library and then load the dataset.
> require(alr3)
> data(banknote)
1. Attach the data frame and plot the variables against each other in a scatterplot ma-
trix:
> attach(banknote)
> pairs(banknote)
This is not very informative since legitimate and fake notes are not separated. To
separate them we need to do something more specific within each panel with a
c CSIRO Australia, 2005 Course Materials and Exercises
340 Appendix II: Laboratory Exercises
panel function.
> pairs(banknote[,-1],panel=
function(x,y,fake){
xy <- cbind(x,y)
points(xy[fake==0,],pch=15)
points(xy[fake==1,],pch=0)
}, fake=Y)
Note that if the panel function has more arguments than x and y, these may be
supplied as named arguments to pairs, usually at the end.
Which two variables seem best to discriminate the counterfeit and legal notes?
2. Generate a co-plot of these two variables, given Y.
> coplot(<var1> ˜ <var2> | Y,data=banknote)
Does your co-plot suggest that some of the legal notes may in fact be undetected.
c CSIRO Australia, 2005 Course Materials and Exercises
Appendix II: Laboratory Exercises 341
Lab 4: Manipulating Data
Birth Dates
Repeat the birth date example discussed in the lecture for your own birth date.
The Cloud Data
In this exercise we do some polynomial regression calculations from scratch using raw
matrix manipulation and verify the results using R tools. (A side effect is to reinforce the
value of learning to use those tools effectively!)
1. The cloud data is not part of the MASS library but is available as text file and can be
read in using read.table. After reading in the data, look at the data.
> cloud <- read.table("cloud.txt",header=T)
> cloud
2. Attach the data and for ease of typing make two new variables, x and y equal to the
Is% and cloud point vectors respectively. Let n be the number of observations, for
future reference.
> attach(cloud)
> x <- Ispc
> y <- Cloudpt
> n <- length(x)
3. Mean correct the x vector and construct a model matrix for a cubic regression of y
on x, (where the powers are of the mean corrected x-vector). Include the constant
term, of course.
> xmc <- x-mean(x)
> X <- cbind(1,xmc,xmcˆ2,xmcˆ3)
> X
4. The regression coefficients are b = (X′
X)−1
X′
y. First calculate the matrices. Here
are two alternative ways of calculating X′
X.
> XX <- t(X) %*% X # the literalist way
c CSIRO Australia, 2005 Course Materials and Exercises
342 Appendix II: Laboratory Exercises
> XX <- crossprod(X) # more efficient alternative
The X′
y matrix is, similarly,
> Xy <- crossprod(X,y) # 2 argument form
Now calculate the regression coefficients in b using solve().
5. Calculate
• the fitted values, f = Xb,
• the residuals, r = y − f,
• the residual mean square s2
= ( i r2
i )/(n − 4) and
• the variance matrix of the regression coefficients, s2
(X′
X)−1
, which you call,
say Vb.
6. The square roots of the diagonal entries of Vb give the standard errors, and the ratio
of the regression coefficients to these give the t-statistics.
> se <- sqrt(diag(Vb))
> ts <- b/se
7. Finally, arrange the results in a comprehensible form and print them out:
> R <- cbind(b,se,ts,1-pt(ts,n-3))
> rnames <- c("Constant","Linear","Quadratic","Cubic")
> cnames <- c("Coef","Std. Err.","t-stat","Tail prob.")
> dimnames(R) <- list(rnames,cnames)
> R
8. Check the calculations by the standard tools, for example
> fm <- lm(y˜1+xmc+I(xmcˆ2)+I(xmcˆ3))
> summary(fm) # check the table
> b-coef(fm) # check for numerical discrepancies
9. Detach data frame and clean up
c CSIRO Australia, 2005 Course Materials and Exercises
Appendix II: Laboratory Exercises 343
The Longley Data
This is a famous data set used in a benchmark study of least squares software accuracy.
It comes as a system dataset and ?longley will give more information. Our purpose is
to study this data, possibly seeing why it is so commonly used to check out least squares
calculations. The data set is too small to study effectively by graphical methods, so we
will stick to calculations.
1. Find the means and variances of each variable. Do this any way you like, but com-
pare your answer with the results of
> mns <- apply(longley,2,mean)
> mns
> vrs <- apply(longley,2,var)
> vrs
2. Compare the results of the two commands
> apply(longley,2,var)
> var(longley)
What is going on?
3. Find the correlation matrix between all variables. (cor())
4. Find the singular value decomposition of the mean corrected X-matrix and print
out the singular values. (svd())
The simplest way to calculate and subtract the sample mean from each column of a
matrix is to use the scale function:
> Xc <- scale(longley[,-7],scale=F)
What happens if we leave off the scale=F argument? Investigate. Note that scale
works either with matrices or data frames.
Another way is to use the model fitting functions:
> Xc <- resid(lm(longley.x˜1))
A different way, that keeps the mean vector as well, is as follows
> xb <- apply(longley.x,2,mean) # calculate the 6 means
> dm <- dim(longley.x)
> Xc <- longley.x - matrix(xb,dm[1],dm[2],byrow=T) # correct
c CSIRO Australia, 2005 Course Materials and Exercises
344 Appendix II: Laboratory Exercises
Convince yourself why all three should work and verify that they lead to the same
result.
The ratio of the largest to the smallest singular value is called the condition number
of the matrix. Calculate it and print it out.
c CSIRO Australia, 2005 Course Materials and Exercises
Appendix II: Laboratory Exercises 345
Lab 5: Classical Linear Models
H O Holck’s cats data, revisited
As noted earlier, the data frame cats gives the sex heart and body weights of 144 hapless
domestic cats used in animal experiments. We will explore in a simple way the relation-
ship between heart and body weight and check for differences between sexes.
1. Use a coplot to show the relationship of heart weight to body weight separately for
the two sexes. Include the least squares line as a guide.
2. Fit separate regressions of heart weight on body weight for each sex. Also fit parallel
regression lines and a single regression line for the two sexes. Test the models and
comment.
> cats.m0 <- aov(Hwt˜Sex/Bwt,data=cats) # separate
> cats.m1 <- aov(Hwt˜Sex+Bwt,data=cats) # parallel
> cats.m2 <- aov(Hwt˜Bwt,data=cats) # identical
> anova(cats.m2,cats.m1,cats.m0)
3. Consider an alternative model that postulates that heart weight is proportional to
body weight. This leads fairly naturally to a model of the form
log(Hwt) = β0 + β1 log Bwt +ǫ
with a natural null hypothesis of β1 = 1. Explore various models with the log
transformed data and comment.
Cars Dataset
Read the details of the data frame Cars93.
Build a regression equation for predicting the miles per gallon in city travel using the
other variables (except MPG.highway, of course).
Check your final suggested equation with suitable diagnostic plots. If there appears to
be variance heterogeneity (which is suspected) repeat the construction using either a log-
transformed or reciprocal response variable.
Notice that the reciprocal transformation leads to an easily appreciated quantity, the gal-
lons per mile used in city travel.
c CSIRO Australia, 2005 Course Materials and Exercises
346 Appendix II: Laboratory Exercises
The Painters Data
Read the description of the painters data either from the notes or using ?painters
within R.
1. To see how the schools differ on each of the characteristics, plot the data frame using
the method appropriate to a design:
> plot.design(painters
This will give a series of four plots that should be understandable.
2. Perform a single classification analysis of variance on each variable on school.
3. Optional Find the matrix of residuals for the four variables and hence the within
school variance and correlation matrices.
c CSIRO Australia, 2005 Course Materials and Exercises
Appendix II: Laboratory Exercises 347
Lab 6: Non-Linear Regression
The Stormer Viscometer Data
1. Work through the material covered in the lecture notes for fitting a non-linear re-
gression model to the stormer dataset.
2. As a graphical challenge, display the fitted regression surface and the fitted points
on a perspective diagram. Try also a contour diagram and an image plot.
The Steam Data
The steam data (data frame steam, see the online help documents) has (at least) two
sensible nonlinear regression models, depending on whether the error is taken as additive
of multiplicative on the original scale. For an additive error model it becomes
P = α exp{
βt
γ + t
} + E
and for a multiplicative error model:
log P = log α + {
βt
γ + t
} + E∗
1. Devise a suitably ingenious method for finding initial values for the parameters.
For example, plot log(Press) against Temp/(g+Temp) for some value of g, say
1. Then adjust g by either doubling or halving until the plot seems to be an approx-
imately straight line.
(This leads to an initial value somewhere near ˆγ0 = 200.)
2. Fit both models and compare
(a) The parameter estimates, and
(b) The fitted values and simple pointwise confidence regions for them
on the original scale. Comment
c CSIRO Australia, 2005 Course Materials and Exercises
Appendix II: Laboratory Exercises 349
Lab 7& 8: Generalized Linear Models and GAMs
Snail Mortality Data
The snail mortality dataset consists of and experiment conducted on a group of 20 snails,
which were held for periods of 1, 2, 3 or 4 weeks in carefully controlled conditions of
temperature and relative humidity. Two species of snail were examined: A and B.
1. Read the help file on the snails data and attach the data frame.
2. Coerce the species variable into a factor and create a suitable response variable and
call it Y.
> snails$Species <- as.factor(Species)
> snails$Y <- cbind(Deaths,20-Deaths)
Optional: Try using the transform function to create new variables for Species
and Y.
3. Fit separate linear models for the two species.
> fm <- glm(Y˜Species/(Temp+Rel.Hum+Exposure),
family=binomial, data=snails, trace=T)
4. Now determine whether the response surfaces for the two species should be con-
sidered parallel.
> fm0 <- update(fm,
˜ Species+Temp+Rel.Hum+Exposure)
> anova(fm0,fm,test="Chisq")
5. Produce some diagnostic plots and assess the fit of the model.
The Janka Data
1. Fit a locally weighted regression to the Janka data and compare it with the fitted
curve from the model fitted when last you used the Janka data. (Remember, the
janka data is located in a .csv file.)
> fma <- gam(Hardness ˜ lo(Density),data=janka)
c CSIRO Australia, 2005 Course Materials and Exercises
350 Appendix II: Laboratory Exercises
2. Experiment with the span= and degree= parameters of the lo() function to see
how (if anything much) it affects the characteristics of the fitted curve in this case.
3. Compare this fitted curve with a local regression model obtained by
> fmb <- loess(Hardness ˜ Density,data=janka)
The Birth Weight Data
Look at the birthwt data frame. Build up a model (as done in the lectures) for estimating
the probability of low birth weight in terms of the other predictions (excluding actual
birth weight, of course).
See how the picture changes if low birth weight is defined differently, that is at some other
truncation level. At the moment, low is an indicator of birthwt for values less than
2.5kg.
c CSIRO Australia, 2005 Course Materials and Exercises
Appendix II: Laboratory Exercises 351
Lab 9: Advanced Graphics
Graphics Examples
Work through the material covered in the lecture notes. Make sure you use the Tinn-R
editor for submitting scripts. Define your own colour palettes and view the results.
The Akima Data
1. The akima dataset is located in the akima library. To access the data
> require(akima)
> data(akima)
Read about the akima data which we will be using for 3D graphs.
2. Interpolate the data using the interp function. Get help on the function so you
understand its usage.
3. Produce a contour, image and perspective mesh plot of the data. Investigate setting
up your own colour scheme.
Heights of New York Choral Society Singers
1. The singer dataset is located in the lattice package. Load this package and read
the help supplied for this dataset.
2. Look up the histogram function in the help section and see what parameters can
be specified. Produce a histogram of heights broken down by voice type using the
histogram lattice function.
3. Add to the previous plot a density
4. Investigate the Normality of the data for each voice type by producing a Normal
scores plot. Use the qqmath function to create this plot.
c CSIRO Australia, 2005 Course Materials and Exercises
Appendix II: Laboratory Exercises 353
Lab 10: Mixed Effects Models
The Rail Dataset
The Rail dataset is part of the nlme library. It contains information on travel time for a
certain type of wave resulting from longitudinal stress of rails on tracks. The data consists
of a factor, Rail that gives the number of the rail that the measurement was taken and
the travel time, travel for the head-waves in the rail.
1. Attach the nlme library and read the help provided for the Rail dataset.
2. Fit a linear model to the Rail data of the form
yij = β + ǫij
and look at the results. This is a simple mean model.
3. Produce some diagnostic plots. A useful plot to produce is a boxplot of residuals by
rail number and comment on the plot. Is there any variability between rails?
4. Now fit a fixed effects model of the form
yij = βi + ǫij
This model fits a separate fixed effects term to each rail. (Do not fit the intercept).
Examine the results and pay particular attention to the residual standard error.
5. Produce a residual plot for this new model and compare the results.
6. Although this model accounts for the effects due to rails, it models the specific sam-
ple of rails and not the population of rails. This is where a random effects model
may prove useful.
A random effects model of the form
yij = ¯β + (βi − ¯β) + ǫij
treats the rail effects as random variations around the population mean. Try fitting
this model using lme and examine the results:
> fitRail.lme <- lme(travel˜1,data=Rail,random=˜1|Rail)
> summary(fitRail.lme)
c CSIRO Australia, 2005 Course Materials and Exercises
354 Appendix II: Laboratory Exercises
What does the fitted model tell us? Produce plots of the residuals from the fitted
model using the plot function. Is this model any better? More appropriate?
The Pixel Dataset
The Pixel dataset is another dataset in the nlme library that contains information on the
pixel intensities of CT scans of dogs over time. Read the help section for more information
about this dataset.
1. Using the functions in the lattice (trellis) library, produce an exploratory plot that
shows the panel intensity versus the time (in days) of the Pixel data, for each dog
and for each side.
2. It seems plausible to fit some random terms in the model to capture the variability
between dogs and sides within dogs (there is some variation apparent between sides
but not much).
Fit a mixed effects model using lme with a quadratic term for Day in the fixed effects
part of the model and random terms for Dog and Side within Dog.
> pixel.lme <- lme(pixel˜day + I(dayˆ2),data=Pixel,
random=list(Dog=˜day,Side=˜1))
> intervals(pixel.lme)
Comment on the results.
3. Produce a plot of the predicted values for each dog/side combination.
> plot(augPred(pixel.lme))
Comment on the plot.
c CSIRO Australia, 2005 Course Materials and Exercises
Appendix II: Laboratory Exercises 355
Lab 11: Programming
Elementary Programming Examples
The trick with programming is to start with the simplest prototype version of the function,
test is as you go, and gradually incorporate the more general and flexible features you
need. A second tip is to write simple functions to do single, special tasks reliably, and
gradually build the final function from these building blocks.
These two principles are sometimes called bottom up design and modular design respec-
tively.
1. Your task is to write a function T.test that will perform a two sample t-test, similar
to the job done by the system function t.test.
(a) The formula for the statistic is
t =
¯y1 − ¯y2
s 1
n1
+ 1
n2
where n1 and n2 are the two samples sizes, ¯y1 and ¯y2 are the two sample means,
and s is the square root of the pooled estimate of variance, s2
, given by
s2
=
(n1 − 1)s2
1 + (n2 − 1)s2
2
(n1 − 1) + (n2 − 1)
where s2
1 and s2
2 are the two sample variances. Suppose the function initially
has the header
T.test <- function(y1,y2){ ...
}
i. First find n1 and n2.
ii. Next calculate the numerator of t
iii. Then calculate the pooled variance and hence s
iv. Finally, calculate the value of t and return that as the value of the function
(b) Suppose the test is two-tailed. The significance probability is then defined as
1 − 2 Pr(|T| > t) where T ∼ tn1+n2−2. In R this is calculated as
2*(1-pt(abs(t),n1+n2-2))
c CSIRO Australia, 2005 Course Materials and Exercises
356 Appendix II: Laboratory Exercises
Amend your function so that it calculates this quantity and returns as its value
a list with two components: the t-statistic and the significance probability.
(c) Include a preliminary test of equality of variances. The significance probability
for this test may be found either by the calculation (which is easy enough) or
as var.test(y1,y2)$p.value. Perform the test early in the problem and
issue a warning if the significance probability is less than 0.05.
(d) Sometimes it may be useful to have a graphical representation of the samples
as well as the numerical result. Allow the user optionally to request boxplots
with an additional logical parameter boxplots:
T.test <- function(y1,y2,boxplots=F){
...
if(boxplots) {
f <- factor(rep(paste(‘‘Sample’’,1:2),c(n1,n2(((
y <- c(y1,y2)
plot(f,y)
}
...
}
(e) Finally, it might be useful to allow the user to specify the two samples as a two-
level factor and vector rather than as two separate sample vectors. Modify the
function to allow this alternative call sequence:
T.test <- function(y1,y2,boxplots=F){
if(is.factor(y1)) { # y1=factor, y2=all y’s
l <- levels(y1)
tm <- y2[y1==l[1]]
y2 <- y2[y1==l[1]]
y1 <- tm
}
... # proceed as before
}
(f) Check for all likely error conditions and issue either warnings or stops to aid
the user.
c CSIRO Australia, 2005 Course Materials and Exercises
Appendix II: Laboratory Exercises 357
(g) As a last check, test the program on the Cars93 data, comparing the Price
levels for the two car origins (omitting large cars).
2. The Box and Cox power family of transformations was covered in one of the lec-
tures. It is defined as
f(y, λ) =
(yλ
− 1)/λ if λ = 0
log y if λ = 0
Write a function to calculate such a transformation. The function should be of two
arguments, y: a vector of data values and lambda: a scalar specifying the exponent.
Stop with an error message if any y value is negative or zero.
(a) For the Janka hardness data, consider a second degree polynomial regression
of y=Hardness on x=Density. Notice how with untransformed y the resid-
uals show a distinct pattern of increasing variance with the mean. Consider
alternative regressions with a Box and Cox power transformed y using powers
λ = 1, 1
2
, 1
4
and 0. Which model would you prefer if it were important to operate
in a y scale where the variance were uniform?
(b) With the Cars93 data we noticed that the reciprocal of MPG.city was in some
sense simpler to use as a response than the variable in the original scale. This
is effectively a Box and Cox power transform with λ = −1. Consider other
values for λ, say λ = 0, −1
2
, −1 and −3
2
and recommend a value accordingly.
Use the regression variable Weight and the factors Type and Cylinders as
the predictors, if necessary.
Round Robin Tournaments
Write a function of one integer variable to generate a round robin tournament draw. One
possible algorithm is as follows:
1. Begin with an arbitrary pairing of teams. If there is an odd number of teams increase
them by a team 0 representing a bye.
2. Write the original pairings as two columns and cycle the teams in the way shown in
the diagram: If there are n teams the tournament draw is complete after n−1 cycles.
3. Return the result as an n/2 × 2 × (n − 1 array of integers.
4. Give the array a class, say robin and write a print method that will print the result
in a convenient way.
5. The functions round.robin() and print.round.robin provide a solution
c CSIRO Australia, 2005 Course Materials and Exercises
358 Appendix II: Laboratory Exercises
Figure 124: Cycle method for round robin tournament draws
c CSIRO Australia, 2005 Course Materials and Exercises
Appendix II: Laboratory Exercises 359
Lab 12: Neural Networks
The Rock Data
1. The rock data is part of the datasets package. Call up help on this dataset.
2. Attach the rock dataset to the current session and divide the area and perimeter
variables by 10000. Form a new dataset that has the transformed area, perimeter
and the shape variable included. Call this dataset rock.x.
3. Fit a neural network using the nnet function. Remember to attach the neural net-
work library.
> rock.nn <- nnet(rock.x,log(perm), size=3, decay=1e-3,
linout=T,skip=T,maxit=100)
> summary(rock.nn)
4. Investigate the fit of the model
The Crab Data
We now consider fitting a neural network to a classification problem: classifying the sex
of crabs. Get up the help on the crabs dataset and read about it.
1. Let’s start by fitting a generalized linear model to the data. We first need to trans-
form the explanatory variables FL, RW, CL, CW, and BD on to the log scale.
> dcrabs <- log(crabs[,4:7])
> dcrabs <- cbind(dcrabs,sex=crabs$sex)
2. Now fit a logistic regression model to the data and look at the results.
3. Produce some predictions using the predict function with type="response".
4. Optional: Try to perform a cross-validation study to assess the performance of the
model. Hint: Try using the subset argument in the glm function.
5. Now fit a neural network to the crabs dataset and compare the results.
> cr.nn <- nnet(dcrabs,crabs$sex=="M",size=2,decay=1e-3,
skip=T,entropy=T,maxit=500)
c CSIRO Australia, 2005 Course Materials and Exercises
360 Appendix II: Laboratory Exercises
6. Optional: Repeat the cross-validation study but base it around the neural network.
How do the two models compare?
c CSIRO Australia, 2005 Course Materials and Exercises
Appendix II: Laboratory Exercises 361
Lab 13& 14: Classification and Regression Trees
The Crab Data Revisited
In the previous laboratory session, the crab data was used to fit a logistic regression using
the glm function and a neural network.
Try fitting a classification tree to the crab data and compare with previous models.
The Cuckoo Data
The cuckoo data shows the lengths and breadths of various cuckoo eggs of the European
cuckoo, Cuculus canoris classified by the species of bird in the nest of which the egg was
found.
1. The data is located in an Excel spreadsheet. Attach the RODBC library and read in
the dataset.
2. Reduce the data frame to a smaller one got by excluding those eggs for which the
host species was unknown or for which the numbers of eggs found were less than
5.
3. Working with the reduced data frame, develop a classification tree using the rpart
package for predicting the host species from the egg dimensions, to the extent to
which this seems to be possible.
4. Try and amend the code provided in the lecture for partitioning the tree for this
data.
5. Use the tree model to predict the host species for the unnamed host eggs of the full
data frame.
The Student Survey Data
The survey data comes from a student survey done to produce live data for the first year
statistics class in the University of Adelaide, 1992. The variables recorded included Sex,
Pulse, Exer (an exercise level rating), Smoke, Height and Age.
There are missing values in the data frame, so be sure to use appropriate actions to ac-
commodate them.
1. Fit a naive linear model for Pulse in terms of the other variables listed above.
c CSIRO Australia, 2005 Course Materials and Exercises
362 Appendix II: Laboratory Exercises
2. Construct a regression tree for Pulse in terms of the other variables listed. Compare
the results with that of the linear model. Comment.
3. Prune the tree to what you consider to be a sensible level and compare the residuals
with those of the linear model, for example, using histograms.
4. Cross-validation with this data often suggests using a tree with just one node! That
is, accurate prediction of pulse rates from the other variables is most reliably done
using the simple average. However, cross validation is itself a stochastic technique.
Try it and see what is suggested.
5. Optional: Try bagging out on this tree and see what improvements are made with
regards to prediction.
c CSIRO Australia, 2005 Course Materials and Exercises
Bibliography
Anderson, E. (1935), ‘The irises of the Gaspe Peninsula’, Bulletin of the American Iris Society
59, 2–5.
Becker, R. A., Chambers, J. M. & Wilks, A. R. (1988), The New S language, Wadsworth and
Brooks.
Breiman, L., Friedman, J. H., Olshen, R. A. & Stone, C. J. (1984), Classification and Regression
Trees, Wadsworth.
Chambers, J. M. & Hastie, T. J., eds (1992), Statistical Models in S, Chapman and Hall, New
York.
Diggle, P. J. (1990), Time Series: A Biostatistical Introduction, Oxford.
Draper, N. R. & Smith, H., eds (1981), Applied Regression Analysis, Second Edition, Wiley,
New York.
Fisher, R. A. (1936), ‘The use of multiple measurements in taxonomic problems’, Annals of
Eugenics 7, 179–188.
Hand, D. J., Daly, F., McConwa, K., Lunn, D. & Ostrowski, E., eds (1993), A Handbook of
Small Datasets, Chapman and Hall.
Harrison, D. & Rubinfeld, D. L. (1978), ‘Hedonic prices and the demand for clean air’,
Journal of Environmental Economics and Management 5, 81–102.
Henderson & Velleman (1981), ‘Building multiple regression models interactively’, Bio-
metrics 37, 391–411.
Linder, A., Chakravarti, I. M. & Vuagnat, P. (1964), Fitting asymptotic regression curves
with different asymptotes, in C. R. Rao, ed., ‘Contributions to Statistics’, Oxford,
pp. 221–228.
Lock, R. H. (1993), ‘1993 new car data’, Journal of Statistics Education 1, 1–.
Madsen, M. (1976), ‘Statistical analysis of multiple contingency tables: Two examples’,
Scandinavian Journal of Statistics 3, 97–106.
363
364 Bibliography
Pinheiro, J. C. & Bates, D. M. (2000), Mixed-Effects Models in S and S-PLUS, Springer, New
York.
Pitcher, C. R., Austin, M., Burridge, C. Y., Bustamante, R. H., Cheers, S. J., Ellis, N., Jones,
P. N., Koutsoukos, A. G., Moeseneder, C. H., Smith, G. P., Venables, W. & Wassenberg,
T. J. (2004), Recovery of seabed habitat from the impact of prawn trawling in the far
northern section of the Great Barrier Reef Marine Park: CSIRO Marine Research final
report to GBRMPA, Technical report, CSIRO Marine Research and CSIRO Mathematical
and Information Sciences.
Prater, N. H. (1956), ‘Estimate gasoline yields from crudes’, Petroleum Refiner 35, 236–238.
Quine, S. (1978), ‘The analysis of unbalanced cross classifications (with discussion)’, Jour-
nal of the Royal Statistical Society, Series A 141, 195–223.
Signell, R. (2005), Coastline Extractor, U.S. Geological Survey, Geologic Division, Coastal
and Marine Program, http://rimmer.ngdc.noaa.gov/mgg/coast/getcoast.html, Boul-
der Colorado. Hosted by the National Geophysical Data Center.
Therneau, T. & Atkinson, E. (1997), An introduction to recursive partitioning using the
RPART routines, Technical report, Mayo Foundation, Rochester.
Venables, W. N. & Ripley, B. R. (2000), S Programming, Springer, New York.
Venables, W. N. & Ripley, B. R. (2002), Modern Applied Statistics with S, 4th Edition,
Springer-Verlag, New York.
Williams, E. J., ed. (1959), Regression Analysis, Wiley.
c CSIRO Australia, 2005 Course Materials and Exercises

Rlecturenotes

  • 1.
    CSIRO Mathematical andInformation Sciences An Introduction to R: Software for Statistical Modelling & Computing Course Materials and Exercises Petra Kuhnert and Bill Venables CSIRO Mathematical and Information Sciences Cleveland, Australia c CSIRO Australia, 2005
  • 2.
    c CSIRO Australia2005 All rights are reserved. Permission to reproduce individual copies of this document for personal use is granted. Redistribution in any other form is prohibited. The information contained in this document is based on a number of technical, circum- stantial or otherwise specified assumptions and parameters. The user must make its own analysis and assessment of the suitability of the information or material contained in or generated from the use of the document. To the extent permitted by law. CSIRO excludes all liability to any party for any expenses, losses, damages and costs arising directly or indirectly from using this document.
  • 3.
    Contents An Elementary Introductionto R 11 Whirlwind Tour of R . . . . . . . . . . . . . . . . . . . . . . . . . . . . . . . . . . . 13 Example 1: The Whiteside Insulation Data . . . . . . . . . . . . . . . . . . . . 13 Example 2: Cars and Fuel Economy . . . . . . . . . . . . . . . . . . . . . . . 15 Example 3: Images of Volcanic Activity . . . . . . . . . . . . . . . . . . . . . 19 Example 4: Coastline and Maps . . . . . . . . . . . . . . . . . . . . . . . . . . 19 R and the Tinn-R Editor . . . . . . . . . . . . . . . . . . . . . . . . . . . . . . . . . 21 R and the Tinn-R Editor . . . . . . . . . . . . . . . . . . . . . . . . . . . . . . 21 Obtaining R . . . . . . . . . . . . . . . . . . . . . . . . . . . . . . . . . . . . . 21 R Manuals . . . . . . . . . . . . . . . . . . . . . . . . . . . . . . . . . . . . . . 22 R Reference Material . . . . . . . . . . . . . . . . . . . . . . . . . . . . . . . . 22 How Does R Work and How Do I Work with it? . . . . . . . . . . . . . . . . 23 Installing and Loading R Packages . . . . . . . . . . . . . . . . . . . . . . . . 25 Customisation . . . . . . . . . . . . . . . . . . . . . . . . . . . . . . . . . . . . 26 The Rprofile.site file: An Example . . . . . . . . . . . . . . . . . . . . . 27 What Editor can I use with R . . . . . . . . . . . . . . . . . . . . . . . . . . . 28 The Tinn-R Editor: A Demonstration . . . . . . . . . . . . . . . . . . . . . . . 28 The R Language: Basic Syntax . . . . . . . . . . . . . . . . . . . . . . . . . . . 29 The R Language: Data Types . . . . . . . . . . . . . . . . . . . . . . . . . . . 35 The R Language: Missing, Indefinite and Infinite Values . . . . . . . . . . . . 37 Distributions and Simulation . . . . . . . . . . . . . . . . . . . . . . . . . . . 38 R Objects . . . . . . . . . . . . . . . . . . . . . . . . . . . . . . . . . . . . . . . . . . 45 3
  • 4.
    4 Data Objects inR . . . . . . . . . . . . . . . . . . . . . . . . . . . . . . . . . . 45 Creating Vectors . . . . . . . . . . . . . . . . . . . . . . . . . . . . . . . . . . . 45 Creating Matrices . . . . . . . . . . . . . . . . . . . . . . . . . . . . . . . . . . 49 Manipulating Data: An Example . . . . . . . . . . . . . . . . . . . . . . . . . 51 Accessing Elements of a Vector or Matrix . . . . . . . . . . . . . . . . . . . . 53 Lists . . . . . . . . . . . . . . . . . . . . . . . . . . . . . . . . . . . . . . . . . . 56 Example: Cars93 Dataset . . . . . . . . . . . . . . . . . . . . . . . . . . . . . . 59 Graphics: An Introduction . . . . . . . . . . . . . . . . . . . . . . . . . . . . . . . . 61 Anatomy of a Plot . . . . . . . . . . . . . . . . . . . . . . . . . . . . . . . . . . 61 Overview of Graphics Functions . . . . . . . . . . . . . . . . . . . . . . . . . 64 Displaying Univariate Data . . . . . . . . . . . . . . . . . . . . . . . . . . . . 65 Working with Time Series Objects . . . . . . . . . . . . . . . . . . . . . . . . . 76 Displaying Bivariate Data . . . . . . . . . . . . . . . . . . . . . . . . . . . . . 80 Labelling and Documenting Plots . . . . . . . . . . . . . . . . . . . . . . . . . 85 Displaying Higher Dimensional Data . . . . . . . . . . . . . . . . . . . . . . 86 Manipulating Data . . . . . . . . . . . . . . . . . . . . . . . . . . . . . . . . . . . . 97 Sorting . . . . . . . . . . . . . . . . . . . . . . . . . . . . . . . . . . . . . . . . 97 Dates and Times . . . . . . . . . . . . . . . . . . . . . . . . . . . . . . . . . . . 99 Tables . . . . . . . . . . . . . . . . . . . . . . . . . . . . . . . . . . . . . . . . . 100 Split . . . . . . . . . . . . . . . . . . . . . . . . . . . . . . . . . . . . . . . . . . 101 with, subset and transform Functions . . . . . . . . . . . . . . . . . . . . 102 Vectorised Calculations . . . . . . . . . . . . . . . . . . . . . . . . . . . . . . . 103 Classical Linear Models . . . . . . . . . . . . . . . . . . . . . . . . . . . . . . . . . 109 Statistical Models in R . . . . . . . . . . . . . . . . . . . . . . . . . . . . . . . 109 Model Formulae . . . . . . . . . . . . . . . . . . . . . . . . . . . . . . . . . . . 109 Generic Functions for Inference . . . . . . . . . . . . . . . . . . . . . . . . . . 109 Example: The Janka Data . . . . . . . . . . . . . . . . . . . . . . . . . . . . . . 111 Example: Iowa Wheat Yield Data . . . . . . . . . . . . . . . . . . . . . . . . . 117 A Flexible Regression . . . . . . . . . . . . . . . . . . . . . . . . . . . . . . . . 120 c CSIRO Australia, 2005 Course Materials and Exercises
  • 5.
    5 Example: Petroleum Data. . . . . . . . . . . . . . . . . . . . . . . . . . . . . 123 Non-Linear Regression . . . . . . . . . . . . . . . . . . . . . . . . . . . . . . . . . . 129 Example: Stormer Viscometer Data . . . . . . . . . . . . . . . . . . . . . . . . 129 Overview and Description . . . . . . . . . . . . . . . . . . . . . . . . . . . . . 129 Fitting the Model and Looking at the Results . . . . . . . . . . . . . . . . . . 130 Self Starting Models . . . . . . . . . . . . . . . . . . . . . . . . . . . . . . . . . 131 Example: Muscle Data . . . . . . . . . . . . . . . . . . . . . . . . . . . . . . . 133 Final Notes . . . . . . . . . . . . . . . . . . . . . . . . . . . . . . . . . . . . . . 139 Generalized Linear Modelling . . . . . . . . . . . . . . . . . . . . . . . . . . . . . . 141 Methodology . . . . . . . . . . . . . . . . . . . . . . . . . . . . . . . . . . . . 141 Example: Budworm Data . . . . . . . . . . . . . . . . . . . . . . . . . . . . . 144 Example: Low Birth Weight . . . . . . . . . . . . . . . . . . . . . . . . . . . . 150 GLM Extensions . . . . . . . . . . . . . . . . . . . . . . . . . . . . . . . . . . . . . . 157 The Negative Binomial Distribution . . . . . . . . . . . . . . . . . . . . . . . 157 Multinomial Models . . . . . . . . . . . . . . . . . . . . . . . . . . . . . . . . 163 Example: Copenhagen Housing Data . . . . . . . . . . . . . . . . . . . . . . 163 Proportional Odds Models . . . . . . . . . . . . . . . . . . . . . . . . . . . . . 167 Generalized Additive Models: An Introduction . . . . . . . . . . . . . . . . . . . . 169 Methodology . . . . . . . . . . . . . . . . . . . . . . . . . . . . . . . . . . . . 169 Example: The Iowa Wheat Yield Data . . . . . . . . . . . . . . . . . . . . . . 170 Example: Rock Data . . . . . . . . . . . . . . . . . . . . . . . . . . . . . . . . 174 Advanced Graphics . . . . . . . . . . . . . . . . . . . . . . . . . . . . . . . . . . . . 179 Lattice Graphics . . . . . . . . . . . . . . . . . . . . . . . . . . . . . . . . . . . 179 Example: Whiteside Data . . . . . . . . . . . . . . . . . . . . . . . . . . . . . 179 Changing Trellis Parameters & Adding Keys . . . . . . . . . . . . . . . . . . 183 Example: Stormer Viscometer Data . . . . . . . . . . . . . . . . . . . . . . . . 185 Adding Fitted Values . . . . . . . . . . . . . . . . . . . . . . . . . . . . . . . . 188 Output Over Several Pages . . . . . . . . . . . . . . . . . . . . . . . . . . . . 189 Example: Volcanos in New Zealand . . . . . . . . . . . . . . . . . . . . . . . 191 c CSIRO Australia, 2005 Course Materials and Exercises
  • 6.
    6 Colour Palettes .. . . . . . . . . . . . . . . . . . . . . . . . . . . . . . . . . . 194 Mathematical Expressions . . . . . . . . . . . . . . . . . . . . . . . . . . . . . 198 Maps, Coastlines and Co-ordinate Systems . . . . . . . . . . . . . . . . . . . 199 Importing and Exporting . . . . . . . . . . . . . . . . . . . . . . . . . . . . . . . . . 203 Getting Stuff In . . . . . . . . . . . . . . . . . . . . . . . . . . . . . . . . . . . 203 Editing Data . . . . . . . . . . . . . . . . . . . . . . . . . . . . . . . . . . . . . 206 Importing Binary Files . . . . . . . . . . . . . . . . . . . . . . . . . . . . . . . 206 Reading in Large Data Files . . . . . . . . . . . . . . . . . . . . . . . . . . . . 207 Getting Stuff Out . . . . . . . . . . . . . . . . . . . . . . . . . . . . . . . . . . 209 Getting Out Graphics . . . . . . . . . . . . . . . . . . . . . . . . . . . . . . . . 211 Mixed Effects Models: An Introduction . . . . . . . . . . . . . . . . . . . . . . . . 213 Linear Mixed Effects Models . . . . . . . . . . . . . . . . . . . . . . . . . . . . 213 Generalized Linear Mixed Effects Models . . . . . . . . . . . . . . . . . . . . 220 Programming . . . . . . . . . . . . . . . . . . . . . . . . . . . . . . . . . . . . . . . 237 Introductory Example . . . . . . . . . . . . . . . . . . . . . . . . . . . . . . . 237 The Call Component and Updating . . . . . . . . . . . . . . . . . . . . . . . . 241 Combining Two Estimates . . . . . . . . . . . . . . . . . . . . . . . . . . . . . 242 Some Lessons . . . . . . . . . . . . . . . . . . . . . . . . . . . . . . . . . . . . 243 Some Under-used Array and Other Facilities . . . . . . . . . . . . . . . . . . 243 Some Little-used Debugging Functions and Support Systems . . . . . . . . . 245 Compiled Code and Packages . . . . . . . . . . . . . . . . . . . . . . . . . . . 245 Making and Maintaining Extensions . . . . . . . . . . . . . . . . . . . . . . . 249 Neural Networks: An Introduction . . . . . . . . . . . . . . . . . . . . . . . . . . . 251 Methodology . . . . . . . . . . . . . . . . . . . . . . . . . . . . . . . . . . . . 251 Regression Function . . . . . . . . . . . . . . . . . . . . . . . . . . . . . . . . 252 Penalized Estimation . . . . . . . . . . . . . . . . . . . . . . . . . . . . . . . . 252 Tree-based Models I: Classification Trees . . . . . . . . . . . . . . . . . . . . . . . . 259 Decision Tree Methodology . . . . . . . . . . . . . . . . . . . . . . . . . . . . 259 Recursive Partitioning And Regression Trees (RPART) . . . . . . . . . . . . . 263 c CSIRO Australia, 2005 Course Materials and Exercises
  • 7.
    7 A Classification Example:Fisher’s Iris Data . . . . . . . . . . . . . . . . . . . 265 Pruning Trees . . . . . . . . . . . . . . . . . . . . . . . . . . . . . . . . . . . . 270 Predictions . . . . . . . . . . . . . . . . . . . . . . . . . . . . . . . . . . . . . . 279 Plotting Options . . . . . . . . . . . . . . . . . . . . . . . . . . . . . . . . . . . 279 Tree-based Models II: Regression Trees and Advanced Topics . . . . . . . . . . . . 283 Regression Trees . . . . . . . . . . . . . . . . . . . . . . . . . . . . . . . . . . . 283 Advanced Topics . . . . . . . . . . . . . . . . . . . . . . . . . . . . . . . . . . 297 Appendix I: Datasets 301 Absenteeism from School in NSW . . . . . . . . . . . . . . . . . . . . . . . . . . . 303 Cars93 Dataset . . . . . . . . . . . . . . . . . . . . . . . . . . . . . . . . . . . . . . . 304 Car Road Tests Data . . . . . . . . . . . . . . . . . . . . . . . . . . . . . . . . . . . . 306 Copenhagen Housing Conditions Study . . . . . . . . . . . . . . . . . . . . . . . . 307 Fisher’s Iris Data . . . . . . . . . . . . . . . . . . . . . . . . . . . . . . . . . . . . . 308 Iowa Wheat Yield Data . . . . . . . . . . . . . . . . . . . . . . . . . . . . . . . . . . 309 Janka Hardness Data . . . . . . . . . . . . . . . . . . . . . . . . . . . . . . . . . . . 310 Lung Disease Dataset . . . . . . . . . . . . . . . . . . . . . . . . . . . . . . . . . . . 311 Moreton Bay Data . . . . . . . . . . . . . . . . . . . . . . . . . . . . . . . . . . . . . 312 Muscle Contraction in Rat Hearts . . . . . . . . . . . . . . . . . . . . . . . . . . . . 313 Petroleum Rock Samples . . . . . . . . . . . . . . . . . . . . . . . . . . . . . . . . . 314 Petrol Refinery Data . . . . . . . . . . . . . . . . . . . . . . . . . . . . . . . . . . . . 315 Recovery of Benthos on the GBR . . . . . . . . . . . . . . . . . . . . . . . . . . . . 316 Stormer Viscometer Data . . . . . . . . . . . . . . . . . . . . . . . . . . . . . . . . . 317 US State Facts and Figures . . . . . . . . . . . . . . . . . . . . . . . . . . . . . . . . 318 Volcano Data . . . . . . . . . . . . . . . . . . . . . . . . . . . . . . . . . . . . . . . . 319 Whiteside’s Data . . . . . . . . . . . . . . . . . . . . . . . . . . . . . . . . . . . . . 320 Appendix II: Laboratory Exercises 321 Lab 1: R - An Introductory Session . . . . . . . . . . . . . . . . . . . . . . . . . . . 323 Lab 2: Understanding R Objects . . . . . . . . . . . . . . . . . . . . . . . . . . . . . 331 c CSIRO Australia, 2005 Course Materials and Exercises
  • 8.
    8 Animal Brain andBody Sizes . . . . . . . . . . . . . . . . . . . . . . . . . . . 331 H O Holck’s Cat Data . . . . . . . . . . . . . . . . . . . . . . . . . . . . . . . . 331 Combining Two Data Frames with Some Common Rows . . . . . . . . . . . 333 The Tuggeranong House Data . . . . . . . . . . . . . . . . . . . . . . . . . . . 334 The Anorexia Data . . . . . . . . . . . . . . . . . . . . . . . . . . . . . . . . . 335 Lab 3: Elementary Graphics . . . . . . . . . . . . . . . . . . . . . . . . . . . . . . . 337 Scatterplots and Related Issues . . . . . . . . . . . . . . . . . . . . . . . . . . 337 Student Survey Data . . . . . . . . . . . . . . . . . . . . . . . . . . . . . . . . 338 The Swiss Banknote Data . . . . . . . . . . . . . . . . . . . . . . . . . . . . . 339 Lab 4: Manipulating Data . . . . . . . . . . . . . . . . . . . . . . . . . . . . . . . . 341 Birth Dates . . . . . . . . . . . . . . . . . . . . . . . . . . . . . . . . . . . . . . 341 The Cloud Data . . . . . . . . . . . . . . . . . . . . . . . . . . . . . . . . . . . 341 The Longley Data . . . . . . . . . . . . . . . . . . . . . . . . . . . . . . . . . . 343 Lab 5: Classical Linear Models . . . . . . . . . . . . . . . . . . . . . . . . . . . . . 345 H O Holck’s cats data, revisited . . . . . . . . . . . . . . . . . . . . . . . . . . 345 Cars Dataset . . . . . . . . . . . . . . . . . . . . . . . . . . . . . . . . . . . . . 345 The Painters Data . . . . . . . . . . . . . . . . . . . . . . . . . . . . . . . . . . 346 Lab 6: Non-Linear Regression . . . . . . . . . . . . . . . . . . . . . . . . . . . . . . 347 The Stormer Viscometer Data . . . . . . . . . . . . . . . . . . . . . . . . . . . 347 The Steam Data . . . . . . . . . . . . . . . . . . . . . . . . . . . . . . . . . . . 347 Lab 7& 8: Generalized Linear Models and GAMs . . . . . . . . . . . . . . . . . . . 349 Snail Mortality Data . . . . . . . . . . . . . . . . . . . . . . . . . . . . . . . . 349 The Janka Data . . . . . . . . . . . . . . . . . . . . . . . . . . . . . . . . . . . 349 The Birth Weight Data . . . . . . . . . . . . . . . . . . . . . . . . . . . . . . . 350 Lab 9: Advanced Graphics . . . . . . . . . . . . . . . . . . . . . . . . . . . . . . . . 351 Graphics Examples . . . . . . . . . . . . . . . . . . . . . . . . . . . . . . . . . 351 The Akima Data . . . . . . . . . . . . . . . . . . . . . . . . . . . . . . . . . . . 351 Heights of New York Choral Society Singers . . . . . . . . . . . . . . . . . . 351 Lab 10: Mixed Effects Models . . . . . . . . . . . . . . . . . . . . . . . . . . . . . . 353 c CSIRO Australia, 2005 Course Materials and Exercises
  • 9.
    9 The Rail Dataset. . . . . . . . . . . . . . . . . . . . . . . . . . . . . . . . . . . 353 The Pixel Dataset . . . . . . . . . . . . . . . . . . . . . . . . . . . . . . . . . . 354 Lab 11: Programming . . . . . . . . . . . . . . . . . . . . . . . . . . . . . . . . . . . 355 Elementary Programming Examples . . . . . . . . . . . . . . . . . . . . . . . 355 Round Robin Tournaments . . . . . . . . . . . . . . . . . . . . . . . . . . . . 357 Lab 12: Neural Networks . . . . . . . . . . . . . . . . . . . . . . . . . . . . . . . . . 359 The Rock Data . . . . . . . . . . . . . . . . . . . . . . . . . . . . . . . . . . . . 359 The Crab Data . . . . . . . . . . . . . . . . . . . . . . . . . . . . . . . . . . . . 359 Lab 13& 14: Classification and Regression Trees . . . . . . . . . . . . . . . . . . . . 361 The Crab Data Revisited . . . . . . . . . . . . . . . . . . . . . . . . . . . . . . 361 The Cuckoo Data . . . . . . . . . . . . . . . . . . . . . . . . . . . . . . . . . . 361 The Student Survey Data . . . . . . . . . . . . . . . . . . . . . . . . . . . . . . 361 Bibliography 363 c CSIRO Australia, 2005 Course Materials and Exercises
  • 11.
  • 13.
    Whirlwind Tour ofR 13 Whirlwind Tour of R The following examples provide a summary of analyses conducted in R. Results are not shown in this section and are left for the reader to verify. Example 1: The Whiteside Insulation Data Description The Whiteside Insulation dataset is described in detail in Appendix I. The dataset consists of the weekly gas consumption and average external temperature records at a house in south-east England taken over two heating seasons: • 26 weeks before cavity-wall insulation was installed • 30 weeks after cavity-wall insulation was installed The aim of the experiment was to examine the effect of insulation on gas consumption. The dataset consists of 56 rows and three columns that contain information on: • Insul: Insulation (before/after) • Temp: Temperature in degrees Celsius • Gas: Gas consumption in 1000s of cubic feet Exploratory Analysis Prior to modelling, an exploratory analysis of the data is often useful as it may highlight interesting features of the data that can be incorporated into a statistical analysis. Figure 1 is the result of a call to the high level lattice function xyplot. The plot pro- duces a scatterplot of gas consumption versus the average external temperature for each treatment type before insulation and similarly, after insulation). Statistical Modelling Based on the exploratory plots shown in Figure 1, it seems appropriate to fit straight lines through the points and examine whether these lines are different for varying treatment levels. The analyses suggest that a straight line relationship is suitable for the data at each treat- ment level. In fact, nearly 95% of the variation is explained for the model using data prior to the insulation being installed, while approximately 81% of the variation was explained by the model incorporating data post insulation. Slopes for both models are very similar. c CSIRO Australia, 2005 Course Materials and Exercises
  • 14.
    14 Whirlwind Tourof R Average external temperature (deg. C) Gasconsumption(cu.ft/1000) 2 4 6 8 10 2 4 6 Before 2 4 6 8 10 After Figure 1: Scatterplot of gas consumption versus average external temperature for the two treatment levels: prior to insulation and post insulation. Least square lines are overlayed. We can consider fitting a single model using both datasets. To check for curvature, we can introduce a polynomial term for the slopes. The results indicate that second order polynomial terms are not required in the model. In the previous model fit where both lines were fitted in the one model, there is a sugges- tion that the lines may be parallel. To test this theory, we can fit a model with an overall treatment effect and an overall effect of temperature. This model (not shown) suggests that there is a marked decrease in gas consumption after insulation was installed compared to having no insulation. The model also suggests that as the average external temperature increased, gas consumption decreased by a factor of 0.33. Although the terms in the model are significant, the level of variation explained is lower than the model where both lines were fitted (∼91%). We can test whether separate regres- sion lines fitted in the one model may be more appropriate using an analysis of variance. It is useful to check the fit of the model using some diagnostic plots which examine the residuals with the assumptions of the model. Figure 2 shows residual plots from the model where both lines were fitted. Residual plots indicate that the fit of the model is reasonable as both plots show no obvious departures from Normality. c CSIRO Australia, 2005 Course Materials and Exercises
  • 15.
    Whirlwind Tour ofR 15 2 3 4 5 6 7 −1.0−0.50.00.5 Plot of Residuals Fitted Values Residuals −2 −1 0 1 2 −1.0−0.50.00.5 Normal Q−Q Plot Theoretical Quantiles SampleQuantiles Normal Q−Q Plot (a) (b) Figure 2: Residual plots of fitted model to the Whiteside Gas Consumption dataset. Fig- ure (a) displays a plot of the residuals versus fitted values. Figure (b) presents a Normal quantile-quantile plot. Example 2: Cars and Fuel Economy The Cars93 dataset is described in detail in Appendix I and by Lock (1993). It consists of a random list of passenger car makes and models (93 rows and 23 columns of data). The information collected can be broken up into the type of data each variable represents. These are described below. • Factors: AirBags, Cylinders, DriveTrain, Make, Man.trans.avail, Manufacturer, Model, Origin, Type • Numeric: – Integer: MPG.city, MPG.highway, Luggage.room, Length, Horsepower, Pas- sengers, Rev.per.mile, RPM, Turn.circle, Weight, Wheelbase, Width. – Double: EngineSize, Fuel.tank.capacity, Max.Price, Min.Price, Price, Rear.seat.room We can produce a scatterplot of some of the data in this data frame. An interesting plot that can be produced is a scatterplot to investigate the relationship between gallons per 100 miles and weight. The plot is shown in Figure 3. The scatterplot shown in Figure 3(a) suggests a possible linear relationship between gal- lons per 100 miles and weight. Note, the response is easier to model linearly if we use gal- lons per mile rather than miles per gallon. Before rushing into a formal analysis, we can investigate this assumption graphically, by reproducing the scatterplot with least square c CSIRO Australia, 2005 Course Materials and Exercises
  • 16.
    16 Whirlwind Tourof R Cars(1993 Makes & Models) Weight Gallonsper100miles 2000 2500 3000 3500 4000 2.0 2.5 3.0 3.5 4.0 4.5 5.0 Cars(1993 Makes & Models) Weight Gallonsper100miles 2000 2500 3000 3500 4000 2.0 2.5 3.0 3.5 4.0 4.5 5.0 (a) (b) Figure 3: Scatterplot of gallons per 100 miles and weight of 1993 model cars (a) without and (b) with a least squares line overlayed lines overlayed. Figure 3(b) shows a reasonable linear relationship between gallons per 100 miles and weight. We can model this relationship more formally using least squares regression. The model (not shown) suggests a strong linear relationship between the weight of each vehicle and mileage. In fact, for every one pound increase, the gallons per 100 miles is expected to increase by a factor of 0.000829. Examining the residuals from this fit (Figure 4) reveal a fairly reasonable fit with residuals that are behaving well with respect to Normal distribution assumptions. We now extend the analysis to examine the relationship between mileage, weight and type of vehicle. Figure 5 shows a scatterplot of the data broken up by type of vehicle into six separate panels. This plot was produced using the following code: From Figure 5 we can see that as weight increases (for all types), the fuel consumption increases also. We also note some large variation between car types. To investigate these relationships further we fit a random effects model that has • weight as the main predictor • a term that incorporates type of vehicle • a random intercept term associated with Manufacturer The results from the model indicate that both type of car and weight are important pre- c CSIRO Australia, 2005 Course Materials and Exercises
  • 17.
    Whirlwind Tour ofR 17 2.5 3.0 3.5 4.0 −0.50.00.5 Residual Plot Fitted Values Residuals −2 −1 0 1 2 −0.50.00.5 Normal Q−Q Plot of Residuals Theoretical Quantiles SampleQuantiles Histogram of Residuals resid(cars93.lm) Frequency −0.5 0.0 0.5 1.0 0510152025 Figure 4: Residuals from fitted linear model to the Cars93 dataset. Cars(1993 Makes & Models) Weight Gallonsper100miles 2000 2500 3000 3500 4000 2.0 2.5 3.0 3.5 4.0 4.5 5.0 Compact Large 2000 2500 3000 3500 4000 Midsize Small 2000 2500 3000 3500 4000 Sporty 2.0 2.5 3.0 3.5 4.0 4.5 5.0 Van Figure 5: Panel plot of the Cars93 data showing scatterplots of gallons per 100 miles versus weight broken up by vehicle type. c CSIRO Australia, 2005 Course Materials and Exercises
  • 18.
    18 Whirlwind Tourof R dictors for gallons per 100 miles. The baseline type is Compact, (panel 4 in Figure 5). With respect to compact vehicles, vans and to some extent, sporty vehicles cost more to run. This can be seen in the scatterplots shown in Figure 5. The random effect predictions are shown below Honda -0.223489568 Eagle 0.022092001 Geo -0.202257478 Subaru 0.031985280 BMW -0.160629835 Cadillac 0.036147200 Saturn -0.103301920 Acura 0.047566558 Mazda -0.098418520 Mercedes-Benz 0.051035604 Pontiac -0.095375212 Chrysler 0.052572242 Suzuki -0.088319971 Audi 0.054595702 Oldsmobile -0.082034099 Mitsubishi 0.076673770 Chevrolet -0.080333517 Hyundai 0.092313779 Toyota -0.079260798 Ford 0.105985086 Lincoln -0.059304804 Volkswagen 0.107058971 Buick -0.057098894 Infiniti 0.107264569 Nissan -0.052045909 Mercury 0.122912226 Chrylser -0.021220000 Dodge 0.142520788 Plymouth -0.007800792 Saab 0.157016239 Volvo 0.016483859 Lexus 0.186667440 The random effect predictions show some variation (but only slight). There appears to be two different types of vehicles: • economical: good fuel consumption e.g. Honda, Geo, BMW, Saturn, and Mazda • expensive: higher fuel consumption per mile e.g. Lexus, Saab, Dodge, Mercury The estimate of the variance for the random effects terms is 0.0237. The errors relating to variation not accounted for in the model is almost negligible (0.062). We may choose to investigate the prices of cars instead of the mileage for different makes and models. A simple way to view this relationship is through a boxplot of the data split by Manufacturer. c CSIRO Australia, 2005 Course Materials and Exercises
  • 19.
    Whirlwind Tour ofR 19 Suzuki Hyundai Geo Subaru Saturn Plymouth Dodge Mercury Ford Eagle Chevrolet Mazda Nissan Honda Pontiac Oldsmobile Mitsubishi Toyota Chrylser Volkswagen Buick Chrysler Volvo Acura Saab BMW Lexus Audi Lincoln Cadillac Mercedes−Benz Infiniti 10 20 30 40 50 60 Price(in$1,000) Figure 6: Distribution of car prices by manufacturer sorted by the median. Example 3: Images of Volcanic Activity The volcano dataset is a digitized map of a New Zealand volcano compiled by Ross Ihaka. The dataset is described in Appendix I and consists of a matrix with 87 rows and 61 columns. The topographic features of the dataset are plotted in Figure 7(a) using colours that range from white through to red. Figure 7(b) is the result of setting a user defined colour scheme. Example 4: Coastline and Maps Quite frequently you will need to produce a map for a project that you are working on. These types of activities are typically done in a GIS system. However, R offers some very useful functions for producing maps, given that you have the co-ordinates. The following figure plots the main land and surrounding islands of Moreton Bay, in South East Queensland Australia. The geographical locations were obtained using Coast- line Extractor (Signell, 2005), a web based tool for extracting coastlines. c CSIRO Australia, 2005 Course Materials and Exercises
  • 20.
    20 Whirlwind Tourof R 20 40 60 80 102030405060 image() 0 20 40 60 80 0102030405060 row(volcano) col(volcano) plot() with user defined colours (a) (b) Figure 7: Image plots of volcanic activity on Mt Eden as produced by (a) image and (b) using user defined colours. 153.20 153.25 153.30 153.35 153.40 153.45 −27.60−27.55−27.50−27.45−27.40−27.35 Longitude Latitude Coochiemudlo Island Green Island Mud Island Myora Point Peel Island Polka PointEmpire Point Wellington Point St Helena Island Moreton Bay Mainland Nth Stradbroke Island Cleveland Pt Figure 8: Map of Moreton Bay and surrounding islands. c CSIRO Australia, 2005 Course Materials and Exercises
  • 21.
    R and theTinn-R Editor 21 R and the Tinn-R Editor What is R? Software Facilities R provides a suite of software facilities for • Reading and manipulating data • Computation • Conducting statistical analyses and • Displaying the results Implementation of the S Language R is an implementation of the S language, a language for manipulating objects. For more details on the S language, readers are referred to Becker et al. (1988) and Venables & Ripley (2002). R: A Programming Environment R is a programming environment for data analysis and graphics. The S Programming book by Venables & Ripley (2000) provides a comprehensive overview of programming principles using S and R. The language was initially written by Ross Ihaka and Robert Gentleman at the Department of Statistics at the University of Auckland. Since its birth, a number of people have contributed to the package. R: Platform for Development and Implementation of New Algorithms R provides a platform for the development and implementation of new algorithms and technology transfer. R can achieve this in three ways • functions that make use of existing algorithms within R • functions that call on external programs written in either C or Fortran • packaged up pieces of code that have specific classes attached to handle printing, summarising and the plotting data. Obtaining R Latest Copy The latest copy of R (Version 2.1.0) can be downloaded from the CRAN (Comprehensive R Archive Network) website: http://lib.stat.cmu.edu/R/CRAN/. R Packages R packages can also be downloaded from this site or alternatively, they can be obtained c CSIRO Australia, 2005 Course Materials and Exercises
  • 22.
    22 R andthe Tinn-R Editor via R once the package has been installed. A list of R packages accompanied by a brief description can be found on the website itself. R FAQ In addition to these files, there is a manual and a list of frequently asked questions (FAQ) that range from basic syntax questions and help on obtaining R and downloading and installing packages to programming questions. R Mailing Lists Details of relevant mailing lists for R are available on http://www.R-project.org/mail.html • R-announce: announcements of major developments of the package • R developments R-packages: announcements of new R packages • R-help: main discussion list • R-devel: discussions about the future of R R Manuals There are a number of R manuals in pdf format provided on the CRAN website. These manuals consist of: • R Installation and Administration: Comprehensive overview of how to install R and its packages under different operating systems. • An Introduction to R: Provides an introduction to the language. • R Data Import/Export: Describes import and export facilities. • Writing R Extensions: Describes how you can create your own packages. • The R Reference Index: Contains printable versions all of the R help files for stan- dard and recommended packages R Reference Material There are a number of introductory texts and more advanced reference material that can help you with your journey through R. Below is a shortened list of key references. Those printed in red correspond to reference material that specifically focuses on S-Plus but has references to R or can be used as reference material for the R programming language. • Introductory texts – Introductory Statistics with R by Peter Dalgaard c CSIRO Australia, 2005 Course Materials and Exercises
  • 23.
    R and theTinn-R Editor 23 – Linear Models with R by Julian Faraway – Data Analysis and Graphics using R: An Example Based Approach by John Maindonald and John Braun – Modern Applied Statistics with S-Plus by Bill Venables and Brian Ripley – Statistical Computing: An Introduction to Data Analysis using S-Plus by Michael Crawley • Programming – S Programming by Bill Venables and Brian Ripley • Advanced Topics – Mixed-Effects Models in S and S-Plus by Jose Pinheiro and Douglas Bates How Does R Work and How Do I Work with it? Dedicated Folder R works best if you have a dedicated folder for each separate project. This is referred to as the working folder. The intension is to put all data files in the working folder or in sub-folders of it. This makes R sessions more manageable and it avoids objects getting messed up or mistakenly deleted. Starting R R can be started in the working folder by one of three methods: 1. Make an R shortcut which points to the folder (See Figure 9) and double-clicking on the R icon. 2. Double-click on the .RData file in the folder. This approach assumes that you have already created an R session. 3. Double-click any R shortcut and use setwd(dir) In the windows version of R, the software can be started in either multiple or single win- dows format. Single windows format looks and behaves similar to a unix environment. Help and graphics screens are brought up as separate windows when they are called. In a multiple environment, graphics and help windows are viewed within the R session. This type of configuration can be set in the Rgui Configuration Editor by going to Edit-> GUI Preferences. The ’look and feel’ of your R session can also be changed using this screen. R Commands Any commands issued in R are recorded in an .Rhistory file. In R, commands may be c CSIRO Australia, 2005 Course Materials and Exercises
  • 24.
    24 R andthe Tinn-R Editor Figure 9: The Properties dialog box for an R session. recalled and reissued using the up- and down- arrow in an obvious way. Recalled com- mands may be edited in a Windows familiar fashion with a few extras. Flawed commands may be abandoned either by hitting the escape key (<Esc>) or (<Home Ctrl-K>) or (<Home #>). Copying and pasting from a script file can be achieved by using the standard shortcut keys used by any Windows program: (<Ctrl-C>,<Ctrl-V>). Copying and pasting from the history window is more suitable for recalling several com- mands at once or multiple-line commands. To ensure that a history of your commands are saved the savedhistory() function can be used explicitly. To have access to what you did during the last session, a history of previously used commands can be loaded using the loadhistory() function. R Objects R by default, creates its objects in memory and saves them in a single file called .RData. R objects are automatically saved in this file. Quitting R To quit from R either type q() in the R console or commands window or alternatively just kill the window. You will be prompted whether you want to save your session. Most times you will answer yes to this. c CSIRO Australia, 2005 Course Materials and Exercises
  • 25.
    R and theTinn-R Editor 25 Installing and Loading R Packages The installation and loading of R packages can be done within R by going up to the Packages menu and clicking on Install package(s) from CRAN. A dialog box will appear with a list of available packages to install. Select the package or packages required and then click on OK. Figure 10 shows a list of packages from the CRAN web- site. In this example, the CODA package is selected to be installed. Alternatively, the install.packages() function can be used from the command line. (Note, in the latest ver- sion of R (2.1.0), you may be prompted to select a download site.) (a) (b) Figure 10: List of packages available from CRAN. The CODA package is selected from the Select dialog in Figure (a). Progress of the installation is summarised in the R console in Figure (b) and downloaded files are deleted. Once installed, these packages can be loaded into R. Go to the Packages menu and select Load package. Select the package that is required and click on OK. These packages should be loaded into your current R session. Alternatively, the functions library() or require() can be used to load installed packages into R. The require() function is generally used inside functions as it provides a warning rather than an error (a feature of the library() function) when a package does not exist. Updating R packages can be achieved either through the menu or by using the function update.packages() at the command line. If packages cannot be downloaded directly, the package should be saved as a zip file locally on your computer and then installed using the install.packages() function or using the options from the menu. c CSIRO Australia, 2005 Course Materials and Exercises
  • 26.
    26 R andthe Tinn-R Editor Customisation Changes to the R console can be made through the Edit menu under GUI preferences. The dialog box shown in Figure 11 highlights the options available for changing how R looks and feels. Figure 11: GUI preferences for changing the look and feel of the R console. If global actions are required, actions that need to be taken every time R is used on a par- ticular machine may be set in a file R Home/etc/Rprofile.site. Actions that happen automatically every time this working folder is used can be set by defining a .First function. For example, > .First <- function() { require(MASS) require(lattice) options(length=99999) loadhistory() } c CSIRO Australia, 2005 Course Materials and Exercises
  • 27.
    R and theTinn-R Editor 27 To implement any actions at the end of a session in this working folder a .Last function may be set up. For example, .Last <- function() savehistory("My.Rhistory") The Rprofile.site file: An Example An example of actions that you may want executed every time an R session begins is shown in the following script: # When quitting using q(), save automatically without prompting q <- function(save="yes",status = 0, runLast = TRUE) .Internal(quit(save, status, runLast)) # Things you might want to change # options(width = 80,papersize = "a4",editor = "notepad") # options(pager = "internal") # to prefer Compiled HTML help # options(chmhelp = TRUE) # to prefer HTML help # options(html = TRUE) # to prefer Windows help # options(winhelp = TRUE) # Allows update.packages (for example) to proceed directly without # prompting for the CRAN site. options(show.signif.stars = FALSE,length = 999999) c CSIRO Australia, 2005 Course Materials and Exercises
  • 28.
    28 R andthe Tinn-R Editor options("CRAN = http://cran.au.r-project.org/") options(repos = c(CRAN = getOption("CRAN"), CRANextra = "http://www.stats.ox.ac.uk/pub/RWin")) # Put working directory in the top border of the R console window utils:::setWindowTitle(paste("-",getwd())) What Editor can I use with R Tinn-R is a free editor (distributed under the GNU Public License) that runs under Win- dows (9X/Me/2000/XP). Tinn stands for Tinn is Not Notepad and unlike notepad it allows syntax highlighting of R (in *.R, *.r, *.Q or *.q files). When an R session is open, Tinn-R includes an additional menu and toolbar and it allows the user to interact with R by sub- mitting code in whole or in part. The software is available from: http://www.sciviews.org/Tinn-R/ The Tinn-R Editor: A Demonstration The Tinn-R editor provides editing capabilities superior to that of the Windows notepad editor. A sample session is shown in Figure 12. The File, Edit, Search, View, Window and Help menus are standard for most Windows applications. However, Tinn-R offers a few extra features that make editing R scripts easier. • The Format menu item helps with formatting and editing a file. In particular, it helps with bracket matching, a useful feature when writing programs. • The Project menu allows you to set up a project containing more than one piece of code. This can be useful if you need to separate your code into components rather than placing each component in the one file. • The Options menu allows you to change the look of the Tinn-R editor and how it deals with syntax highlighting. • The Tools menu allows you to define macros and record sessions • The R menu is useful for interacting with an R session when one is made available. It is useful before writing a script for the first time within Tinn-R to edit the options. Figure 13 displays the list of application options available within the Tinn-R editor. A c CSIRO Australia, 2005 Course Materials and Exercises
  • 29.
    R and theTinn-R Editor 29 Figure 12: The Tinn-R Editor useful option to select is Active Line Highlighting. This helps when sending scripts line by line. Depending on the file being edited, Tinn-R offers syntax highlighting. See Figure 14 for an example. This is useful for writing scripts in R as it highlights reserved words and comments. In Figure 14, a selection of the script is highlighted and then submitted to R from within the Tinn-R editor. Text can be submitted by simple highlighting, line-by-line or by send- ing the entire file. Hotkeys may be set up in Tinn-R for the fast execution of commands. Figure 15 illustrates how a hotkey can be set up for use with R. The Alt+S key has been reserved for sending parts of highlighted scripts. The R Language: Basic Syntax It is important to learn some basic syntax of the R programming language before launch- ing in to more sophisticated functions, graphics and modelling. Below is a compilation of some of the basic features of R that will get you going and help you to understand the R language. R prompt The default R prompt is the greater-than sign (>) c CSIRO Australia, 2005 Course Materials and Exercises
  • 30.
    30 R andthe Tinn-R Editor Figure 13: Options within Tinn-R Figure 14: Example Tinn-R session. A selection of text is highlighted, sent to the R console and run to produce a series of plots. c CSIRO Australia, 2005 Course Materials and Exercises
  • 31.
    R and theTinn-R Editor 31 Figure 15: Setting hot keys in Tinn-R. c CSIRO Australia, 2005 Course Materials and Exercises
  • 32.
    32 R andthe Tinn-R Editor > 2 * 4 [1] 8 Continuation prompt If a line is not syntactically complete, a continuation prompt (+) appears > 2 * + 4 [1] 8 Assignment Operator The assignment operator is the left arrow (< −) and assigns the value of the object on the right to the object on the left > value <- 2 * 4 The contents of the object value can be viewed by typing value at the R prompt > value [1] 8 Last Expression If you have forgotten to save your last expression, this can be retrieved through an inter- nal object .Last.value > 2 * 4 [1] 8 > value <- .Last.value > value [1] 8 Removing Objects The functions rm() or remove() are used to remove objects from the working directory > rm(value) > value Error: Object ’value’ not found Legal R Names Names for R objects can be any combination of letters, numbers and periods (.) but they must not start with a number. R is also case sensitive so c CSIRO Australia, 2005 Course Materials and Exercises
  • 33.
    R and theTinn-R Editor 33 > value [1] 8 is different from > Value Error: Object ’Value’ not found Finding Objects R looks for objects in a sequence of places known as the search path. The search path is a sequence of environments beginning with the Global Environment. You can inspect it at any time (and you should) by the search() function (or from the Misc menu). The attach() function allows copies of objects to be placed on the search path as individual components. The detach() function removes items from the search path. Looking at the Search Path: An Example > attach(Cars93) > search() [1] ".GlobalEnv" "Cars93" "package:methods" [4] "package:graphics" "package:utils" "package:RODBC" [7] "package:stats" "package:MASS" "Autoloads" [10] "package:base" > objects(2) [1] "AirBags" "Cylinders" "DriveTrain" [4] "EngineSize" "Fuel.tank.capacity" "Horsepower" .... [19] "Price" "Rear.seat.room" "Rev.per.mile" [22] "RPM" "Turn.circle" "Type" [25] "Weight" "Wheelbase" "Width" > names(Cars93) [1] "Manufacturer" "Model" "Type" [4] "Min.Price" "Price" "Max.Price" [7] "MPG.city" "MPG.highway" "AirBags" .... c CSIRO Australia, 2005 Course Materials and Exercises
  • 34.
    34 R andthe Tinn-R Editor [22] "Turn.circle" "Rear.seat.room" "Luggage.room" [25] "Weight" "Origin" "Make" > find(Cars93) [1] "package:MASS" Assignments to Objects Avoid using the names of built-in functions as object names. If you mistakenly assign an object or value to a built-in function and it is passed to another function you may get a warning but not always. . . things may go wrong. R has a number of built-in functions. Some examples include c, T, F, t. An easy way to avoid assigning values/objects to built-in functions is to check the contents of the object you wish to use. This also stops you from overwriting the contents of a previously saved object. > Value # Object with no Error: Object "Value" not found # value assigned > value # Object with a [1] 8 # a value assigned > T # Built in R Value [1] TRUE > t # Built in R function (x) # function UseMethod("t") <environment: namespace:base> Spaces R will ignore extra spaces between object names and operators > value <- 2 * 4 [1] 8 c CSIRO Australia, 2005 Course Materials and Exercises
  • 35.
    R and theTinn-R Editor 35 Spaces cannot be placed between the < and − in the assignment operator > value < -2 * 4 [1] FALSE Be careful when placing spaces in character strings > value <- "Hello World" is different to > value <- ’Hello World’ Getting Help To get help in R on a specific function or an object or alternatively an operator, one of the following commands can be issued: > ?function > help(function) or click on the Help menu within R. To get help on a specific topic, either one of the following will suffice > help.search("topic") or click on the Help menu within R The R Language: Data Types There are four atomic data types in R. • Numeric > value <- 605 > value [1] 605 • Character > string <- "Hello World" > string [1] "Hello World" c CSIRO Australia, 2005 Course Materials and Exercises
  • 36.
    36 R andthe Tinn-R Editor • Logical > 2 < 4 [1] TRUE • Complex number > cn <- 2 + 3i > cn [1] 2+3i The attribute of an object becomes important when manipulating objects. All objects have two attributes, the mode and their length. The R function mode can be used to determine the mode of each object, while the function length will help to determine each object’s length. > mode(value) [1] "numeric" > length(value) [1] 1 > mode(string) [1] "character" > length(string) [1] 1 > mode(2<4) [1] "logical" > mode(cn) [1] "complex" > length(cn) [1] 1 c CSIRO Australia, 2005 Course Materials and Exercises
  • 37.
    R and theTinn-R Editor 37 > mode(sin) [1] "function" NULL objects are empty objects with no assigned mode. They have a length of zero. > names(value) [1] NULL The R Language: Missing, Indefinite and Infinite Values In many practical examples, some of the data elements will not be known and will there- fore be assigned a missing value. The code for missing values in R is NA. This indicates that the value or element of the object is unknown. Any operation on an NA results in an NA. The is.na() function can be used to check for missing values in an object. > value <- c(3,6,23,NA) > is.na(value) [1] FALSE FALSE FALSE TRUE > any(is.na(value)) [1] TRUE > na.omit(value) [1] 3 6 23 > attr(,"na.action") [1] 4 > attr(,"class") [1] "omit" Indefinite and Infinite values (Inf, -Inf and NaN) can also be tested using the is.finite, is.infinite, is.nan and is.number functions in a similar way as shown above. c CSIRO Australia, 2005 Course Materials and Exercises
  • 38.
    38 R andthe Tinn-R Editor These values come about usually from a division by zero or taking the log of zero. > value1 <- 5/0 > value2 <- log(0) > value3 <- 0/0 > cat("value1 = ",value1," value2 = ",value2, " value3 = ",value3,"n") value1 = Inf value2 = -Inf value3 = NaN Arithmetic and Logical Operators The last few sections used a variety of arithmetic and logical operators to evaluate expres- sions. A list of arithmetic and logical operators are shown in Tables 1 and 2 respectively. Table 1: Arithmetic Operators Operator Description Example + Addition > 2+5 [1] 7 − Subtraction > 2-5 [1] -3 × Multiplication >2*5 [1] 10 / Division > 2/5 [1] 0.4 ∧ Exponentiation > 2∧ 5 [1] 32 %/% Integer Divide > 5%/%2 [1] 2 %% Modulo > 5%%2 [1] 1 Distributions and Simulation There are a number of distributions available within R for simulating data, finding quan- tiles, probabilities and density functions. The complete list of distributions are displayed in Table 3. Other less common distributions, which are found in developed packages (not included with the original distribution) are also displayed in this table. c CSIRO Australia, 2005 Course Materials and Exercises
  • 39.
    R and theTinn-R Editor 39 Table 2: Logical Operators Operator Description Example == Equals > value1 [1] 3 6 23 > value1==23 [1] FALSE FALSE TRUE ! = Not Equals > value1 != 23 [1] TRUE TRUE FALSE < Less Than > value1 < 6 [1] TRUE FALSE FALSE > Greater Than > value1 > 6 [1] FALSE FALSE TRUE <= Less Than or Equal To > value1 <= 6 [1] TRUE TRUE FALSE >= Greater Than or Equal To > value1 >= 6 [1] FALSE FALSE TRUE & Elementwise And > value2 [1] 1 2 3 > value1==6 & value2 <= 2 [1] FALSE TRUE FALSE | Elementwise Or > value1==6 | value2 <= 2 [1] TRUE TRUE FALSE && Control And > value1[1] <- NA > is.na(value1) && value2 == 1 [1] TRUE | Control Or > is.na(value1) || value2 == 4 [1] TRUE xor Elementwise Exclusive Or > xor(is.na(value1), value2 == 2) [1] TRUE TRUE FALSE ! Logical Negation > !is.na(value1) [1] FALSE TRUE TRUE c CSIRO Australia, 2005 Course Materials and Exercises
  • 40.
    40 R andthe Tinn-R Editor Table 3: Probability Distributions in R R Function Distribution Parameters Package beta Beta shape1,shape2 stats binom Binomial size,prob stats cauchy Cauchy location,scale stats chisq (non-central) Chi-squared df,ncp stats dirichlet Dirichlet alpha MCMCpack exp Exponential rate stats f F df1,df2 stats gamma Gamma shape,rate stats geom Geometric prob stats gev Generalized Extreme Value xi,mu,sigma evir gpd Generalized Pareto xi,mu,beta evir hyper Hypergeometric m,n,k stats invgamma Inverse Gamma shape,rate MCMCpack iwish Inverse Wishart v,S MCMCpack logis Logistic location,scale stats lnorm Log Normal meanlog,sdlog stats multinom Multinomial size,prob stats mvnorm Multivariate Normal mean,sigma mvtnorm mvt Multivariate-t sigma,df mvtnorm nbinom Negative Binomial size,prob stats norm Normal mean,sd stats pois Poisson lambda stats signrank Wilcoxon Signed Rank Statistic n stats t Student-t df stats unif Uniform min,max stats weibull Weibull shape,scale stats wilcox Wilcoxon Rank Sum Statistic m,n stats wish Wishart v,S MCMCpack c CSIRO Australia, 2005 Course Materials and Exercises
  • 41.
    R and theTinn-R Editor 41 In R, each distribution has a name prefixed by a letter indicating whether a probability, quantile, density function or random value is required. The prefixes available are shown in more detail below: • p: probabilities (distribution functions) • q: quantiles (percentage points) • d: density functions (probability for discrete RVs) • r: random (or simulated) values The following example illustrates how we can simulate data from a Normal distribution using the rnorm function. > norm.vals1 <- rnorm(n=10) > norm.vals2 <- rnorm(n=100) > norm.vals3 <- rnorm(n=1000) > norm.vals4 <- rnorm(n=10000) The first object, norm.vals1 generates 10 random values from a Normal distribution with a default mean of 0 and default standard deviation of 1. If values were required from a Normal distribution with a different mean and/or standard deviation then these arguments would need to be explicitly specified. The second, third and fourth objects generate random values from the same distribution with the same mean and standard deviations but with varying sample sizes. The result of the simulated data is shown graphically in Figure 16 using the following R code: # set up plotting region > par(mfrow=c(2,2)) # produce plots > hist(norm.vals1,main="10 RVs") > hist(norm.vals2,main="100 RVs") > hist(norm.vals3,main="1000 RVs") > hist(norm.vals4,main="10000 RVs") As the sample sizes increase the shape of the distribution looks more like a Normal distri- bution. It is difficult to tell if the object norm.vals1 has been generated from a Normal distribution with a mean of zero and a standard deviation of zero. This can be confirmed by looking at summary statistics from this object as the mean and standard deviation are not close to 0 or 1 respectively. c CSIRO Australia, 2005 Course Materials and Exercises
  • 42.
    42 R andthe Tinn-R Editor 10 RVs norm.vals1 Frequency −1.0 −0.5 0.0 0.5 1.0 1.5 2.0 01234 100 RVs norm.vals2 Frequency −2 −1 0 1 2 3 05101520 1000 RVs norm.vals3 Frequency −3 −2 −1 0 1 2 3 050100150200 10000 RVs norm.vals4 Frequency −4 −2 0 2 4 050010001500 Figure 16: Histograms of simulated data from Normal distributions with a mean of 0 and standard deviation of 1. c CSIRO Australia, 2005 Course Materials and Exercises
  • 43.
    R and theTinn-R Editor 43 > c(mean(norm.vals1),sd(norm.vals1)) [1] 0.2461831 0.7978427 The interpretation of the Central Limit theorem is appropriate here for this example. The theorem states that as the sample size n taken from a population with a mean µ and vari- ance σ2 approaches infinity, then the statistics from the sampled distribution will converge to the theoretical distribution of interest. To illustrate this, if we calculate the mean and standard deviation of norm.vals4, the object where we generated 10,000 random values from a N(0, 1) distribution, we find that the summary statistics are close to the actual values. > c(mean(norm.vals4),sd(norm.vals4)) [1] 0.004500385 1.013574485 For larger simulations, these are closer again, > norm.vals5 <- rnorm(n=1000000) > c(mean(norm.vals5),sd(norm.vals5)) [1] 0.0004690608 0.9994011738 We can also overlay a density on top of a histogram summarising the data. This can be useful to display the features in the histogram and to identify intersection points where components in the mixture distribution meet. We illustrate this through the generation of a mixture of two Normal distributions using the following piece of R code. Figure 17 displays the two-component mixture with the density overlayed. # Generating a two component mixture > compMix <- ifelse(runif(5000) < 0.25,rnorm(5000,3,0.5),rnorm(5000)) # Plotting > hist(comp,freq=F) > lines(density(comp,bw=0.4),col="red") R can also be used to evaluate probabilities or quantiles from distributions. This is a useful mechanism for determining p-values instead of searching through statistical tables and they can be easily achieved using the p(dist) and q(dist) functions. Some examples are shown below. # 2-tailed p-value for Normal distribution > 1-pnorm(1.96) [1] 0.0249979 c CSIRO Australia, 2005 Course Materials and Exercises
  • 44.
    44 R andthe Tinn-R Editor Histogram of compMix compMix Density −4 −2 0 2 4 0.000.050.100.150.200.250.30 Figure 17: Histograms of two-component mixture model generated from Normal distrib- utions. The density is overlayed in red. > qnorm(0.975) # quantile [1] 1.959964 # 2-tailed p-value for t distribution > 2*pt(-2.43,df=13) [1] 0.0303309 > qt(0.025,df=13) [1] -2.160369 # quantile #p-value from a chi-squared distribution with 1 degree of freedom > 1-pchisq(5.1,1) [1] 0.02392584 > qchisq(0.975,1) [1] 5.023886 # quantile c CSIRO Australia, 2005 Course Materials and Exercises
  • 45.
    R Objects 45 RObjects Data Objects in R The four most frequently used types of data objects in R are vectors, matrices, data frames and lists. A vector represents a set of elements of the same mode whether they are logical, numeric (integer or double), complex, character or lists. A matrix is a set of elements appearing in rows and columns where the elements are of the same mode whether they are logical, numeric (integer or double), complex or character. A data frame is similar to a matrix object but the columns can be of different modes. A list is a generalisation of a vector and represents a collection of data objects. Creating Vectors c Function The simplest way to create a vector is through the concatenation function, c. This function binds elements together, whether they are of character form, numeric or logical. Some examples of the use of the concatenation operator are shown in the following script. > value.num <- c(3,4,2,6,20) > value.char <- c("koala","kangaroo","echidna") > value.logical.1 <- c(F,F,T,T) # or > value.logical.2 <- c(FALSE,FALSE,TRUE,TRUE) The latter two examples require some explanation. For logical vectors, TRUE and FALSE are logical values and T and F are variables with those values. This is the opposite for S-PLUS. Although they have a different structure, logical vectors can be created using either value. rep and seq Functions The rep function replicates elements of vectors. For example, > value <- rep(5,6) > value [1] 5 5 5 5 5 5 c CSIRO Australia, 2005 Course Materials and Exercises
  • 46.
    46 R Objects replicatesthe number 5, six times to create a vector called value, the contents of which are displayed. The seq function creates a regular sequence of values to form a vector. The following script shows some simple examples of creating vectors using this function. > seq(from=2,to=10,by=2) [1] 2 4 6 8 10 > seq(from=2,to=10,length=5) [1] 2 4 6 8 10 > 1:5 [1] 1 2 3 4 5 > seq(along=value) [1] 1 2 3 4 5 6 c, rep and seq Functions As well as using each of these functions individually to create a vector, the functions can be used in combination. For example, > value <- c(1,3,4,rep(3,4),seq(from=1,to=6,by=2)) > value [1] 1 3 4 3 3 3 3 1 3 5 uses the rep and seq functions inside the concatenation function to create the vector value. It is important to remember that elements of a vector are expected to be of the same mode. So an expression > c(1:3,"a","b","c") will produce an error message. scan Function The scan function is used to enter in data at the terminal. This is useful for small datasets but tiresome for entering in large datasets. A more comprehensive summary of how data is read from files will be discussed in the session on ’importing and exporting’. An example of reading data in from the terminal is shown below. > value <- scan() 1: 3 4 2 6 20 c CSIRO Australia, 2005 Course Materials and Exercises
  • 47.
    R Objects 47 6: >value [1] 3 4 2 6 20 Basic Computation with Numerical Vectors Computation with vectors is achieved using an element-by-element operation. This is useful when writing code because it avoids ’for loops’. However, care must be taken when doing arithmetic with vectors, especially when one vector is shorter than another. In the latter circumstance, short vectors are recycled. This could lead to problems if ’recy- cling’ was not meant to happen. An example is shown below. > x <- runif(10) > x [1] 0.3565455 0.8021543 0.6338499 0.9511269 [5] 0.9741948 0.1371202 0.2457823 0.7773790 [9] 0.2524180 0.5636271 > y < 2*x + 1 # recycling short vectors > y [1] 1.713091 2.604309 2.267700 2.902254 2.948390 [6] 1.274240 1.491565 2.554758 1.504836 2.127254 Some functions take vectors of values and produce results of the same length. Table 4 lists a number of functions that behave this way. Other functions return a single value when applied to a vector. Some of these functions are summarised in Table 5. The following script makes use of some of this functionality. > z <- (x-mean(x))/sd(x) # see also ’scale’ > z [1] -0.69326707 0.75794573 0.20982940 1.24310440 [5] 1.31822981 -1.40786896 -1.05398941 0.67726018 [9] -1.03237897 -0.01886511 > mean(z) [1] -1.488393e-16 > sd(z) c CSIRO Australia, 2005 Course Materials and Exercises
  • 48.
    48 R Objects Table4: Functions that produce results of the same length. Function Description cos, sin, tan Cosine, Sine, Tangent acos, asin, atan Inverse functions cosh, sinh, tanh Hyperbolic functions acosh, asinh, atanh Inverse hyperbolic functions log Logarithm (any base, default is natural logarithm) log10 Logarithm (base 10) exp Exponential (e raised to a power) round Rounding abs Absolute value ceiling, floor, trunc Truncating to integer values gamma Gamma function lgamma Log of gamma function sqrt Square root Table 5: Functions that produce a single result. Function Description sum Sum elements of a vector mean arithmetic mean max, min Maximum and minimum prod Product of elements of a vector sd standard deviation var variance median 50th percentile c CSIRO Australia, 2005 Course Materials and Exercises
  • 49.
    R Objects 49 [1]1 Laboratory Exercise: Try the first three examples from Lab 2 Creating Matrices dim and matrix functions The dim function can be used to convert a vector to a matrix > value <- rnorm(6) > dim(value) <- c(2,3) > value [,1] [,2] [,3] [1,] 0.7093460 -0.8643547 -0.1093764 [2,] -0.3461981 -1.7348805 1.8176161 This piece of script will fill the columns of the matrix. To convert back to a vector we simply use the dim function again. > dim(value) <- NULL Alternatively we can use the matrix function to convert a vector to a matrix > matrix(value,2,3) [,1] [,2] [,3] [1,] 0.7093460 -0.8643547 -0.1093764 [2,] -0.3461981 -1.7348805 1.8176161 If we want to fill by rows instead then we can use the following script > matrix(value,2,3,byrow=T) [,1] [,2] [,3] [1,] 0.709346 -0.3461981 -0.8643547 [2,] -1.734881 -0.1093764 1.8176161 rbind and cbind Functions To bind a row onto an already existing matrix, the rbind function can be used c CSIRO Australia, 2005 Course Materials and Exercises
  • 50.
    50 R Objects >value <- matrix(rnorm(6),2,3,byrow=T) > value2 <- rbind(value,c(1,1,2)) > value2 [,1] [,2] [,3] [1,] 0.5037181 0.2142138 0.3245778 [2,] -0.3206511 -0.4632307 0.2654400 [3,] 1.0000000 1.0000000 2.0000000 To bind a column onto an already existing matrix, the cbind function can be used > value3 <- cbind(value2,c(1,1,2)) [,1] [,2] [,3] [,4] [1,] 0.5037181 0.2142138 0.3245778 1 [2,] -0.3206511 -0.4632307 0.2654400 1 [3,] 1.0000000 1.0000000 2.0000000 2 data.frame Function The function data.frame converts a matrix or collection of vectors into a data frame > value3 <- data.frame(value3) > value3 X1 X2 X3 X4 1 0.5037181 0.2142138 0.3245778 1 2 -0.3206511 -0.4632307 0.2654400 1 3 1.0000000 1.0000000 2.0000000 2 Another example joins two columns of data together. > value4 <- data.frame(rnorm(3),runif(3)) > value4 rnorm.3. runif.3. 1 -0.6786953 0.8105632 2 -1.4916136 0.6675202 3 0.4686428 0.6593426 c CSIRO Australia, 2005 Course Materials and Exercises
  • 51.
    R Objects 51 Rowand column names are already assigned to a data frame but they may be changed using the names and row.names functions. To view the row and column names of a data frame: > names(value3) [1] "X1" "X2" "X3" "X4" > row.names(value3) [1] "1" "2" "3" Alternative labels can be assigned by doing the following > names(value3) <- c("C1","C2","C3","C4") > row.names(value3) <- c("R1","R2","R3") Names can also be specified within the data.frame function itself. > data.frame(C1=rnorm(3),C2=runif(3),row.names=c("R1","R2","R3") C1 C2 R1 -0.2177390 0.8652764 R2 0.4142899 0.2224165 R3 1.8229383 0.5382999 Manipulating Data: An Example The iris dataset (iris3) is a three dimensional dataset described in Appendix I. One dimension is represented for each species: Setosa, Versicolor and Virginica. Each species has the sepal lengths and widths, and petal lengths and widths recorded. To make this dataset more manageable, we can convert the three-dimensional array into a d-dimensional data frame. To begin with, we examine the names of the three-dimensional array. > dimnames(iris3) [[1]] NULL [[2]] c CSIRO Australia, 2005 Course Materials and Exercises
  • 52.
    52 R Objects [1]"Sepal L." "Sepal W." "Petal L." "Petal W." [[3]] [1] "Setosa" "Versicolor" "Virginica" We see that the first dimension has not been given any names. This dimension corre- sponds to the row names of the dataset for each species. The second dimension cor- responds to the explanatory variables collected for each species. The third dimension corresponds to the species. Before coercing this three dimensional array into a two dimensional data frame, we first store the species name into a vector. > Snames <- dimnames(iris3)[[3]] We now convert the three dimensional array into a 150× 3 matrix and coerce the matrix into a data frame. > iris.df <- rbind(iris3[,,1],iris3[,,2],iris3[,,3]) > iris.df <- as.data.frame(iris.df) Now we check the column names of the data frame. > names(iris.df) [1] "Sepal L." "Sepal W." "Petal L." "Petal W." Using the Snames vector, we create a species factor and bind it to the columns of iris.df. > iris.df$Species <- factor(rep(Snames,rep(50,3))) To check that we have created the data frame correctly, we print out the first five rows of the data frame. > iris.df[1:5,] Sepal L. Sepal W. Petal L. Petal W. Species 1 5.1 3.5 1.4 0.2 Setosa 2 4.9 3.0 1.4 0.2 Setosa 3 4.7 3.2 1.3 0.2 Setosa 4 4.6 3.1 1.5 0.2 Setosa 5 5.0 3.6 1.4 0.2 Setosa c CSIRO Australia, 2005 Course Materials and Exercises
  • 53.
    R Objects 53 Apairwise plot of the data (Figure 18) can be produced using the pairs function in the following way. > pairs(iris.df[1:4],main = "Anderson’s Iris Data", pch = 21,bg = c("red","green3","blue")[unclass(iris$Species)]) Sepal L. 2.0 2.5 3.0 3.5 4.0 0.5 1.0 1.5 2.0 2.5 4.55.56.57.5 2.02.53.03.54.0 Sepal W. Petal L. 1234567 4.5 5.5 6.5 7.5 0.51.01.52.02.5 1 2 3 4 5 6 7 Petal W. Anderson’s Iris Data Figure 18: Pairwise plot of the iris data frame Accessing Elements of a Vector or Matrix Accessing elements is achieved through a process called indexing. Indexing may be done by • a vector of positive integers: to indicate inclusion c CSIRO Australia, 2005 Course Materials and Exercises
  • 54.
    54 R Objects •a vector of negative integers: to indicate exclusion • a vector of logical values: to indicate which are in and which are out • a vector of names: if the object has a names attribute For the latter, if a zero index occurs on the right, no element is selected. If a zero index occurs on the left, no assignment is made. An empty index position stands for the lot! Indexing Vectors The first example involves producing a random sample of values between one and five, twenty times and determining which elements are equal to 1. > x <- sample(1:5, 20, rep=T) > x [1] 3 4 1 1 2 1 4 2 1 1 5 3 1 1 1 2 4 5 5 3 > x == 1 [1] FALSE FALSE TRUE TRUE FALSE TRUE FALSE FALSE TRUE [10] TRUE FALSE FALSE TRUE TRUE TRUE FALSE FALSE FALSE [19] FALSE FALSE > ones <- (x == 1) # parentheses unnecessary We now want to replace the ones appearing in the sample with zeros and store the values greater than 1 into an object called y. > x[ones] <- 0 > x [1] 3 4 0 0 2 0 4 2 0 0 5 3 0 0 0 2 4 5 5 3 > others <- (x > 1) # parentheses unnecessary > y <- x[others] > y [1] 3 4 2 4 2 5 3 2 4 5 5 3 The following command queries the x vector and reports the position of each element that is greater than 1. > which(x > 1) [1] 1 2 5 7 8 11 12 16 17 18 19 20 Indexing Data Frames c CSIRO Australia, 2005 Course Materials and Exercises
  • 55.
    R Objects 55 Dataframes can be indexed by either row or column using a specific name (that corre- sponds to either the row or column) or a number. Some examples of indexing are shown below. Indexing by column: > value3 C1 C2 C3 C4 R1 0.5037181 0.2142138 0.3245778 1 R2 -0.3206511 -0.4632307 0.2654400 1 R3 1.0000000 1.0000000 2.0000000 2 > value3[, "C1"] <- 0 > value3 C1 C2 C3 C4 R1 0 0.2142138 0.3245778 1 R2 0 -0.4632307 0.2654400 1 R3 0 1.0000000 2.0000000 2 Indexing by row: > value3["R1", ] <- 0 > value3 C1 C2 C3 C4 R1 0 0.0000000 0.0000000 0 R2 0 -0.4632307 0.2654400 1 R3 0 1.0000000 2.0000000 2 > value3[] <- 1:12 > value3 C1 C2 C3 C4 R1 1 4 7 10 R2 2 5 8 11 R3 3 6 9 12 To access the first two rows of the matrix/data frame: c CSIRO Australia, 2005 Course Materials and Exercises
  • 56.
    56 R Objects >value3[1:2,] C1 C2 C3 C4 R1 1 4 7 10 R2 2 5 8 11 To access the first two columns of the matrix/data frame: > value3[,1:2] C1 C2 R1 1 4 R2 2 5 R3 3 6 To access elements with a value greater than five we can use some subsetting commands and logical operators to produce the desired result. > as.vector(value3[value3>5]) [1] 6 7 8 9 10 11 12 Lists Creating Lists Lists can be created using the list function. Like data frames, they can incorporate a mixture of modes into the one list and each component can be of a different length or size. For example, the following is an example of how we might create a list from scratch. > L1 <- list(x = sample(1:5, 20, rep=T), y = rep(letters[1:5], 4), z = rpois(20, 1)) > L1 $x [1] 2 1 1 4 5 3 4 5 5 3 3 3 4 3 2 3 3 2 3 1 $y [1] "a" "b" "c" "d" "e" "a" "b" "c" "d" "e" "a" "b" c CSIRO Australia, 2005 Course Materials and Exercises
  • 57.
    R Objects 57 [13]"c" "d" "e" "a" "b" "c" "d" "e" $z [1] 1 3 0 0 3 1 3 1 0 1 2 2 0 3 1 1 0 1 2 0 There are a number of ways of accessing the first component of a list. We can either access it through the name of that component (if names are assigned) or by using a number corresponding to the position the component corresponds to. The former approach can be performed using subsetting ([[]]) or alternatively, by the extraction operator ($). Here are a few examples: > L1[["x"]] [1] 2 1 1 4 5 3 4 5 5 3 3 3 4 3 2 3 3 2 3 1 > L1$x [1] 2 1 1 4 5 3 4 5 5 3 3 3 4 3 2 3 3 2 3 1 > L1[[1]] [1] 2 1 1 4 5 3 4 5 5 3 3 3 4 3 2 3 3 2 3 1 To extract a sublist, we use single brackets. The following example extracts the first com- ponent only. > L1[1] $x [1] 2 1 1 4 5 3 4 5 5 3 3 3 4 3 2 3 3 2 3 1 Working with Lists The length of a list is equal to the number of components in that list. So in the previous example, the number of components in L1 equals 3. We confirm this result using the following line of code: > length(L1) [1] 3 To determine the names assigned to a list, the names function can be used. Names of lists can also be altered in a similar way to that shown for data frames. > names(L1) <- c("Item1","Item2","Item3") Indexing lists can be achieved in a similar way to how data frames are indexed: c CSIRO Australia, 2005 Course Materials and Exercises
  • 58.
    58 R Objects >L1$Item1[L1$Item1>2] [1] 4 3 4 5 3 3 3 5 3 3 5 Joining two lists can be achieved either using the concatenation function or the append function. The following two scripts show how to join two lists together using both func- tions. Concatenation function: > L2 <- list(x=c(1,5,6,7), y=c("apple","orange","melon","grapes")) > c(L1,L2) $Item1 [1] 2 4 3 4 1 5 3 1 1 2 3 3 5 2 1 3 2 3 5 1 $Item2 [1] "a" "b" "c" "d" "e" "a" "b" "c" "d" "e" "a" "b" [13]"c" "d" "e" "a" "b" "c" "d" "e" $Item3 [1] 0 0 2 1 1 0 2 0 0 1 1 1 0 0 1 1 1 3 0 2 $x [1] 1 5 6 7 $y [1] "apple" "orange" "melon" "grapes" Append Function: > append(L1,L2,after=2) $Item1 [1] 2 4 3 4 1 5 3 1 1 2 3 3 5 2 1 3 2 3 5 1 $Item2 [1] "a" "b" "c" "d" "e" "a" "b" "c" "d" "e" "a" [12]"b" "c" "d" "e" "a" "b" "c" "d" "e" $x [1] 1 5 6 7 c CSIRO Australia, 2005 Course Materials and Exercises
  • 59.
    R Objects 59 $y [1]"apple" "orange" "melon" "grapes" $Item3 [1] 0 0 2 1 1 0 2 0 0 1 1 1 0 0 1 1 1 3 0 2 Adding elements to a list can be achieved by • adding a new component name: > L1$Item4 <- c("apple","orange","melon","grapes") # alternative way > L1[["Item4"]] <- c("apple","orange","melon","grapes") • adding a new component element, whose index is greater than the length of the list L1[[4]] <- c("apple","orange","melon","grapes") > names(L1)[4] <- c("Item4") There are also many functions within R that produce a list as output. Examples of these functions include spline(), density() and locator(). Example: Cars93 Dataset The Cars93 dataset was used in Session 1 to illustrate some modelling and graphical fea- tures of R. We use this dataset again to demonstrate the use of lists. The script that appears below produces a density plot of vehicle weight using splines of different bin widths. The bin widths used are 500 and 1000 respectively and they change the level of smoothness assigned to each density. The spline function returns a list of densities (y) corresponding to bin values (x). These can be passed to the plot routine to produce a line graph of the density. A rug plot is produced beneath the graph to indicate actual data values. A legend de- scribing the two lines on the plot is produced for clarity. Figure 19 displays the density plot produced from the script below. (Note, this plot does not reflect the mono family option that appears in the slides.) > attach(Cars93) > windows() > par(family="mono") c CSIRO Australia, 2005 Course Materials and Exercises
  • 60.
    60 R Objects >dw5 <- spline(density(Weight, width=500)) # list > dw10 <- spline(density(Weight,width=1000)) # list > rx <- range(dw5$x,dw10$x) > ry <- range(dw5$y,dw10$y) > par(mar=c(5,5,2,2)+0.1) -> oldpar > plot(dw5,type="n",xlim=rx,ylim=ry,cex=1.5, xlab="Weight",ylab="Density") > lines(dw5,lty=1,col="blue") > lines(dw10,lty=2,col="red") > pu <- par("usr")[3:4] # actual y limits > segments(Weight,pu[1],Weight,0,col="green") > legend(locator(1),c("500kg window", "1000kg window"),lty=1:2) > detach("Cars93") 1000 2000 3000 4000 5000 0e+001e−042e−043e−044e−045e−046e−04 Weight Density 500kg window 1000kg window Figure 19: Density plot of vehicle weight from the Cars93 dataset. c CSIRO Australia, 2005 Course Materials and Exercises
  • 61.
    Graphics: An Introduction61 Graphics: An Introduction Anatomy of a Plot High level plotting commands generate figures. A figure consists of a plot region surrounded by margins: Figure 20: Anatomy of a Figure The size of the margins is controlled by the argument mai. The value of mai is a vector c(bottom,left,top,right) of length 4 whose values are the widths, in inches, of the corresponding margin sides. A typical call to par() to set the margins might be par(mai=c(5,5,8,5)/10) which allows 0.8in at the top and 0.5in on all other sides. Figure Margins Axes, axis labels and titles all appear in the margins of the figure. Each margin is considered to have a number of text lines (not necessarily a whole number): • Lines specified at 0 correspond to the edge of a plotted region (where the axis lines are drawn). • Higher line numbers are further away from the plot. The graphical parameter mar defines how many lines appear in each of the four margins. So mar is an alternative way of defining margins. c CSIRO Australia, 2005 Course Materials and Exercises
  • 62.
    62 Graphics: AnIntroduction For any open graphics device there is a standard font which will be used for any characters if no other font is specified (font). The standard font determines the width of the text lines in the margins. If the font is expanded or contracted (cex) before mar is set, the text line width changes accordingly. The axis() function draws an axis on the current plot. The side argument determines on which side it is to appear. Axes normally get drawn at line 0 but this may be changed with the line argument, or even inside the plot with the pos argument. If you wish to be specific about the positions of tick marks, use the at argument. Margin Text Axis labels can be created using the xlab and ylab graphics parameters when passed to functions such as plot(). To add such labels after the plot has been created, the title() function may be used. An alternative approach to adding margin text is through the mtext() function: > mtext("Label text",side=1,line=2) The above piece of code will add text just below the x-axis. Using side=3 is an alternative method for adding a plot title. Text is centred on the axis by default, but the at argument to mtext() can be used for more specific positioning. Axes and tickmarks The axis() function and others such as plot() or tsplot() use the following graph- ical parameters to allow control of the style of the axes: • axes: should axes be drawn? (TRUE/FALSE) • bty: controls the type of box which is drawn around plots – bty="o": box drawn around plot (default) – bty="l": L shaped axes drawn – bty="7": part axes drawn on the left side and bottom of the plot. Lines drawn to the top and right side of the plot – bty="c": C shaped axes drawn – bty="u": U shaped axes drawn – bty="]": ] shaped axes drawn with part axis drawn on the left side of the plot – bty="n": No box is drawn around plot • lab=c(nx,ny,len): modifies the way that axes are annotated. Defines the num- ber of x and y tick intervals and the length (in characters) of the tick labels. c CSIRO Australia, 2005 Course Materials and Exercises
  • 63.
    Graphics: An Introduction63 • las: style of the axis labels – las=0: always parallel to the axis (default) – las=1: always horizontal – las=2: always perpendicular to the axis – las=3: always vertical • tck: length of tick marks as a fraction of the plotting region. Negative values refer to positions that fall outside the plotting region. Positive values indicate tick marks inside the plotting region. • xaxs/yaxs: style of the axis interval calculation – "s" or "e": extreme than the range of the data – "i" or "r": inside the range of the data – "d": locks in the current axis The Plot Region Points within the plot region are accessed using user co-ordinates. The user co-ordinates are defined when a high level plot is created, or may be explicitly set with the usr graphics parameter. A setting > par(usr=c(x.lo,x.hi,y.lo,y.hi)) means that x.lo, x.hi are the two extreme allowable plotting values in the x-direction and similarly in the y-direction. When a graphics device is initialised, usr defaults to c(0,1,0,1). The frame() com- mand (which starts a new empty figure) uses the old value of usr for the new plotting region. Multiple Plots There are two main ways of placing several plots on the one surface. The graphics para- meter fig allows you to place several plots, possibly irregularly, on the one figure region. It is also possible, and more common to have more than one figure to a page as a regular n × m array of figures. This behaviour is controlled by the mfrow or mfcol graphics parameter. For example > par(mfrow=c(3,2)) will produce a plotting region with three rows and two columns. Each high-level plotting command starts plotting on a new figure. When all figures are exhausted, a new page is generated. The mfg graphics parameter keeps track of the row c CSIRO Australia, 2005 Course Materials and Exercises
  • 64.
    64 Graphics: AnIntroduction and column of the current figure and the dimensions of the figure array. By setting this parameter unusual figure arrangements can be achieved. Other Graphics Parameters Some other useful graphics parameters include • ask=T: R asks before producing the graphic. This is useful if you need to view multiple plots, one at a time. • new=T: declares the current plot is unused (even if it is not). This means that R will not erase it before moving on to the next plot. This is useful for more fancy plots, where you may be producing a number of plots on the one figure. • fin: gives the width and height of the current figure in inches. • din: a read only parameter that returns the width and height of the current device surface in inches. Overview of Graphics Functions R has a variety of graphics functions. These are generally classed into • High-level plotting functions that start a new plot • Low-level plotting functions that add elements to an existing plot Each function has its own set of arguments. The most common ones are • xlim,ylim: range of variable plotted on the x and y axis respectively • pch, col, lty: plotting character, colour and line type • xlab, ylab: labels of x and y axis respectively • main, sub: main title and sub-title of graph General graphing parameters can be set using the par() function. For example, to view the setting for line type > par()$lty To set the line type using the par function > par(lty=2) Multiple plots per page can be achieved using the mfrow or mfcol argument to par. For example, c CSIRO Australia, 2005 Course Materials and Exercises
  • 65.
    Graphics: An Introduction65 # 2x2 plotting region where plots # appear by row > par(mfrow=c(2,2)) # 2x2 plotting region where plots # appear by column > par(mfcol=c(2,2)) The make.high() function produces a number of high-level graphics ranging from dotcharts, histograms, boxplots and barplots for one dimensional data, scatterplots for two-dimensional data and contour, image plots and perspective mesh plots for three di- mensional data. Figure 21 displays the results from running this function. Laboratory Exercise Try editing this function using the Tinn-R editor and changing some of the input parameters to these graphical functions. The make.low() function produces a number of low-level graphics. These include plot- ting points, symbols, lines, segments or text on a graph, producing a box around a plot or joining line segments to create a polygon. These types of graphics are often useful for enhancing the feature of an existing plot. Figure 22 displays the results from running this function. Laboratory Exercise Try editing this function using the Tinn-R editor and changing some of the input parameters such as the type of symbol or plotting char- acter to these graphical functions. Displaying Univariate Data Graphics for univariate data are often useful for exploring the location and distribution of observations in a vector. Comparisons can be made across vectors to determine changes in location or distribution. Furthermore, if the data correspond to times we can use time series methods for displaying and exploring the data. Graphical methods for exploring the distributional properties of a vector include • hist (histogram) • boxplot c CSIRO Australia, 2005 Course Materials and Exercises
  • 66.
    66 Graphics: AnIntroduction a b c d e f g h 0.0 0.2 0.4 0.6 0.8 dotchart hist y Frequency −2 0 2 4 6 05101520 1 2 3 4 5 barplot 05101520 Grp 1 Grp 3 Grp 5 −112345 boxplot 0.0 0.2 0.4 0.6 0.8 1.0 −112345 plot x y −2 −1 0 1 2 −112345 qqnorm Theoretical Quantiles SampleQuantiles contour 0 200 400 600 800 0200400600 200 400 600 800 100300500 image x y persp Figure 21: Examples of high level plotting functions c CSIRO Australia, 2005 Course Materials and Exercises
  • 67.
    Graphics: An Introduction67 0.0 0.2 0.4 0.6 0.8 012345 points x y 0.0 0.2 0.4 0.6 0.8 1.0 −1123456 symbols x y 0.0 0.2 0.4 0.6 0.8 012345 abline x y 2 4 6 8 10 246810 arrows 1:11 1:11 box 0.0 0.2 0.4 0.6 0.8 012345 lines x y 2 4 6 8 10 246810 segments 1:11 1:11 0.0 0.2 0.4 0.6 0.8 012345 text x y 1 2 3 4 5 6 7 8 9 10 11 12 13 14 15 1617 18 19 20 0.0 0.2 0.4 0.6 0.8 012345 polygon x y Figure 22: Examples of high level plotting functions c CSIRO Australia, 2005 Course Materials and Exercises
  • 68.
    68 Graphics: AnIntroduction • density • qqnorm (Normal quantile plot) and • qqline The Cars93 dataset will be used to illustrate some of these plots. The following script sets up a 2×2 plotting region and produces a histogram, boxplot, density plot and Normal scores plot of the MPG.highway vector. > attach(Cars93) > par(mfrow=c(2,2)) # Histogram > hist(MPG.highway,xlab="Miles per US Gallon", main="Histogram") # Boxplot > boxplot(MPG.highway,main="Boxplot") # Density > plot(density(MPG.highway),type="l", xlab="Miles per US Gallon",main="Density") # Q-Q Plot > qqnorm(MPG.highway,main="Normal Q-Qplot") > qqline(MPG.highway) The resulting plot is shown in Figure 23 and shows a distribution that is skewed heavily towards the right. This is visible in all four plots and it is particularly highlighted in the Normal scores plot shown in the bottom right hand corner by a set of points that deviate significantly from the line. To make this variable more normal we could consider using a transformation, say logs, of the data: > log(MPG.highway) If we reproduce these plots on the newly transformed dataset we see that the distribu- tions look a little better but there is still some departure from Normality present. (See Figure 24.) Histograms Histograms are a useful graphic for displaying univariate data. They break up data into cells and display each cell as a bar or rectangle, where the height is proportional to the c CSIRO Australia, 2005 Course Materials and Exercises
  • 69.
    Graphics: An Introduction69 Histogram Miles per US Gallon Frequency 20 25 30 35 40 45 50 010203040 20253035404550 Boxplot 20 30 40 50 0.000.020.040.060.08 Density Miles per US Gallon Density −2 −1 0 1 2 20253035404550 Normal Q−Qplot Theoretical Quantiles SampleQuantiles Figure 23: Distribution summaries of miles per gallon (highway) Histogram Miles per US Gallon Frequency 3.0 3.2 3.4 3.6 3.8 4.0 0510152025 3.03.23.43.63.8 Boxplot 3.0 3.2 3.4 3.6 3.8 4.0 0.00.51.01.52.02.5 Density Miles per US Gallon Density −2 −1 0 1 2 3.03.23.43.63.8 Normal Q−Qplot Theoretical Quantiles SampleQuantiles Figure 24: Distribution summaries of miles per gallon (highway) c CSIRO Australia, 2005 Course Materials and Exercises
  • 70.
    70 Graphics: AnIntroduction number of points falling within each cell. The number of breaks/classes can be defined if required. The following shows example code for producing histograms. The second histogram drawn in Figure 25 specifies break points. > par(mfrow=c(1,2)) > hist(MPG.highway,nclass=4,main="Specifying the Number of Classes") > hist(MPG.highway,breaks=seq(from=20,to=60,by=5), main="Specifying the Break Points") > par(mfrow=c(1,1)) Specifying the Number of Classes MPG.highway Frequency 20 25 30 35 40 45 50 0102030405060 Specifying the Break Points MPG.highway Frequency 20 30 40 50 60 010203040 Figure 25: Examples of histograms produced on the Cars93 data: (a) no breakpoints spec- ified and (b) breakpoints specified Boxplots Boxplots summarise the data and display these summaries in a box and whisker forma- tion. They represent useful summaries for one dimensional data. The box represents the inter-quartile range (IQR) and shows the median (line), first (lower edge of box) and third quartile (upper edge of box) of the distribution. Minimum and c CSIRO Australia, 2005 Course Materials and Exercises
  • 71.
    Graphics: An Introduction71 maximum values are displayed by the whiskers (lines that extend from the box to the minimum and maximum points). If the distance between the minimum value and the first quartile exceeds 1.5 × IQR then the whisker extends from the lower quartile to the smallest value within 1.5 × IQR. Ex- treme points, representing those beyond this limit are indicated by points. A similar procedure is adopted for distances between the maximum value and the third quartile. Figure 26 shows the result from producing a boxplot in R using the boxplot function. A summary of the data produces the following statistics: > summary(MPG.highway} Min. 1st Qu. Median Mean 3rd Qu. Max. 20.00 26.00 28.00 29.09 31.00 50.00 These can be visualised on the plot in Figure 26. 20253035404550 MPG.highway Figure 26: An example boxplot produced on the Cars93 data. Densities Densities can be used to compute smoothed representations of the observed data. The function density produces kernel density estimates for a given kernel and bandwidth. By default, the Gaussian kernel is used but there is an array of other kernels available in R. Look up the R help on density and see what options are available. The bandwidth controls the level of smoothing. By default, this represents the standard c CSIRO Australia, 2005 Course Materials and Exercises
  • 72.
    72 Graphics: AnIntroduction deviation of the smoothing kernel but this too, can be changed depending on your re- quirements. The following script produces a range of smoothed densities for the MPG.highway vari- able in the Cars93 dataset. > par(mfrow=c(2,2)) > plot(density(MPG.highway),type="l", main="Default Bandwidth) > plot(density(MPG.highway,bw=0.5),type="l", main="Bandwidth=0.5") > plot(density(MPG.highway,bw=1),type="l", main="Bandwidth=1") > plot(density(MPG.highway,bw=5),type="l", main="Bandwidth=5") > par(mfrow=c(1,1)) The plots shown in Figure 27 show the result of running this script. The first plot in the top left hand corner of the figure is a density produced using the default bandwidth. This plot is fairly smooth, showing the skewed nature of the data. The plot produced using a bandwidth of 0.5 is a very rough representation of the data and does not accurately portray the features of the data. The density corresponding to a bandwidth of 1 provides a slightly higher level of smoothing but still appears too rough. The final plot, showing a density with a bandwidth of 5 is probably too smooth as it does not highlight the skewed nature of the data. Quantile-Quantile Plots Quantile-quantile plots are useful graphical displays when the aim is to check the dis- tributional assumptions of your data. These plots produce a plot of the quantiles of one sample versus the quantiles of another sample and overlays the points with a line that corresponds to the theoretical quantiles from the distribution of interest. If the distribu- tions are of the same shape then the points will fall roughly on a straight line. Extreme points tend to be more variable than points in the centre. Therefore you can expect to see slight departures towards the lower and upper ends of the plot. The function qqnorm compares the quantiles of the observed data against the quantiles from a Normal distribution. The function qqline will overlay the plot of quantiles with a line based on quantiles from a theoretical Normal distribution. Figure 28 shows a Normal scores plot for the MPG.highway variable using the qqnorm and qqline functions in R. This plot shows some departure from Normality since the c CSIRO Australia, 2005 Course Materials and Exercises
  • 73.
    Graphics: An Introduction73 20 30 40 50 0.000.020.040.060.08 Default Bandwidth N = 93 Bandwidth = 1.356 Density 20 25 30 35 40 45 50 0.000.020.040.060.080.10 Bandwidth=0.5 N = 93 Bandwidth = 0.5 Density 20 25 30 35 40 45 50 0.000.020.040.060.08 Bandwidth=1 N = 93 Bandwidth = 1 Density 10 20 30 40 50 60 0.000.020.040.06 Bandwidth=5 N = 93 Bandwidth = 5 Density Figure 27: Density plots of MPG.highway data produced using (a) the default bandwidth, (b) a bandwidth of 0.5, (c) a bandwidth of 1 and (d) a bandwidth of 5 c CSIRO Australia, 2005 Course Materials and Exercises
  • 74.
    74 Graphics: AnIntroduction extreme points towards the upper end of the plot fall away from the plotted theoretical line. −2 −1 0 1 2 20253035404550 Normal Q−Q Plot Theoretical Quantiles MPG.highway Figure 28: Normal scores plot of the MPG.highway data. To compare a sample of data with other distributions, the qqplot function can be used. The following script generates data from a Poisson distribution and compares the data against the Normal distribution and Poisson distribution. Figure 29 presents the results of these comparisons. # Generating Data from Poisson Distribution > x <- rpois(1000,lambda=5) > par(mfrow=c(1,2),pty="s") # Comparing against a Normal > qqnorm(x,ylab="x") > qqline(x) # Comparing against a Poisson > qqplot(qpois(seq(0,1,length=50), lambda=mean(x)),x, xlab="Theoretical Quantiles",ylab="x") > title(main="Poisson Q-Q Plot") c CSIRO Australia, 2005 Course Materials and Exercises
  • 75.
    Graphics: An Introduction75 > par(mfrow=c(1,1)) −3 −1 0 1 2 3 0246810 Normal Q−Q Plot Theoretical Quantiles x 0 2 4 6 8 10 0246810 Theoretical Quantiles x Poisson Q−Q Plot Figure 29: Quantile-Quantile plots of sample data with (a) the Normal distribution and (b) the Poisson distribution Comparing Groups There may be instances where you want to compare different groupings to investigate differences between location and scale and other distributional properties. There are a couple of graphical displays to help with these types of comparisons. • Multiple histograms plotted with the same scale • Boxplots split by groups • Quantile-Quantile plots These plots enable the comparison of quantiles between two samples to determine if they are from similar distributions. If the distributions are similar, then the points c CSIRO Australia, 2005 Course Materials and Exercises
  • 76.
    76 Graphics: AnIntroduction should lie in a straight line (roughly). Gaps between tick mark labels indicate dif- ferences in location and scale for the two datasets. The following script produces histograms, boxplots and quantile-quantile plots to enable comparison between two variables in the Cars93 database. # Set up plotting region > par(mfcol=c(2,2)) # Produce histograms to compare each dataset > hist(MPG.highway, xlim=range(MPG.highway,MPG.city)) > hist(MPG.city,xlim=range(MPG.highway,MPG.city)) # Produce boxplot split by type of driving > boxplot(list(MPG.highway,MPG.city), names=c("Highway","City"), main="Miles per Gallon") # Q-Q plot to check distribution shape and scale > qqplot(MPG.highway,MPG.city, main="Q-Q Plot") > par(mfrow=c(1,1)) Figure 30 shows the result from running this script in R. The plots show some differences between variables. Working with Time Series Objects Time series objects can be plotted using special plotting functions, which are available in the stats package. This is a standard package that is loaded when an R session begins. To illustrate the plotting of time series objects, we investigate the ldeaths dataset. This is a time series object that reports the monthly deaths from bronchitis, emphysema and asthma for both males and females in the UK between 1974 and 1979. To verify that it is a time series object we can use the is.ts function c CSIRO Australia, 2005 Course Materials and Exercises
  • 77.
    Graphics: An Introduction77 Histogram of MPG.highway MPG.highway Frequency 15 20 25 30 35 40 45 50 010203040 Histogram of MPG.city MPG.city Frequency 15 20 25 30 35 40 45 50 010203040 Highway City 1520253035404550 Miles per Gallon 20 25 30 35 40 45 50 15202530354045 Q−Q Plot MPG.highway MPG.city Figure 30: Comparison between the MPG.highway and MPG.city variables in the Cars93 database. > is.ts(ldeaths) [1] TRUE Typing in ldeaths at the R prompt provides information about the time series > ldeaths Jan Feb Mar Apr May Jun Jul Aug Sep Oct Nov Dec 1974 3035 2552 2704 2554 2014 1655 1721 1524 1596 2074 2199 2512 1975 2933 2889 2938 2497 1870 1726 1607 1545 1396 1787 2076 2837 1976 2787 3891 3179 2011 1636 1580 1489 1300 1356 1653 2013 2823 1977 3102 2294 2385 2444 1748 1554 1498 1361 1346 1564 1640 2293 1978 2815 3137 2679 1969 1870 1633 1529 1366 1357 1570 1535 2491 1979 3084 2605 2573 2143 1693 1504 1461 1354 1333 1492 1781 1915 Plots of time series objects can be obtained via the plot.ts() function. > plot.ts(ldeaths) Figure 31 displays the resulting plot and shows a strong seasonal component with a high number of deaths occurring in January and February. c CSIRO Australia, 2005 Course Materials and Exercises
  • 78.
    78 Graphics: AnIntroduction Time MonthlyDeathsfromLungDisease(MalesandFemales) 1974 1975 1976 1977 1978 1979 1980 15002000250030003500 Figure 31: Time series plot showing the strong seasonal component of the ldeaths dataset. The correlation at successive lags can be investigated using the acf function. This is useful when we want to try and understand the components of the time series and the dependencies over time. Three types of plots can be produced • covariance computed at different lags (type="covariance") • correlations computed at different lags (type="correlation") • partial correlations computed at different lags (type="partial") Autocorrelations and partial autocorrelations are the two most useful plots for assessing serial correlation, determining an appropriate model and what parameters go into the model. Partial autocorrelations are an extension of autocorrelations that partial out the correlations with all elements within the lag. In other words, the dependence is on the intermediate elements. If partial autocorrelations are requested for a lag of 1 then this is equivalent to the autocorrelations. Correlation functions produced for the ldeaths dataset are shown in Figure 32. All three plots show a strong seasonal pattern that will need to be accommodated in the time series model. A confidence interval (shown in blue) is also plotted to help with the choice of model and associated parameters of the model. Correlation plots were produced using the following code: > par(mfrow=c(3,1)) c CSIRO Australia, 2005 Course Materials and Exercises
  • 79.
    Graphics: An Introduction79 0.0 0.5 1.0 1.5 −2e+051e+05 Lag ACF(cov) Autocovariance Function 0.0 0.5 1.0 1.5 −0.50.00.51.0 Lag ACF Autocorrelation Function 0.2 0.4 0.6 0.8 1.0 1.2 1.4 −0.40.00.40.8 Lag PartialACF Partial Autocorrelation Function Figure 32: Correlation and Covariance functions of the ldeaths time series. c CSIRO Australia, 2005 Course Materials and Exercises
  • 80.
    80 Graphics: AnIntroduction > acf(ldeaths,type="covariance") > acf(ldeaths,type="correlation") > acf(ldeaths,type="partial") > par(mfrow=c(1,1)) Plotting multiple time series can be achieved using the ts.plot function. To illustrate this, we use the ldeaths, mdeaths and fdeaths datasets which represent the monthly deaths for both sexes, for males and females respectively. The script for producing such a plot is shown below. Figure 33 displays the resulting plot. > ts.plot(ldeaths,mdeaths,fdeaths, gpars=list(xlab="year", ylab="deaths", lty=c(1:3))) > legend(locator(1),c("Overall Deaths", "Male Deaths","Female Deaths"),lty=1:3,bty="n") year deaths 1974 1975 1976 1977 1978 1979 1980 5001000150020002500300035004000 Overall Deaths Male Deaths Female Deaths Figure 33: Time series plots of reported monthly deaths of lung disease. Displaying Bivariate Data The easiest way to display bivariate data is through a scatterplot using the plot function. The type argument allows you to produce different types of plots c CSIRO Australia, 2005 Course Materials and Exercises
  • 81.
    Graphics: An Introduction81 • type="p": plots a character at each point • type="l": plots a line connecting each point • type="b": plots both lines and characters • type="o": plots lines and characters that overlay the lines • type="s": plots stair steps • type="h": plots histogram-like vertical lines • type="n": no points or lines are plotted Figure 34 shows a number of plots produced using the ldeaths dataset for different settings of type. The script that produced this plot is shown below. # Producing scatterplots of different types > par(mfrow=c(4,2)) > plot(ldeaths,type="p",main=’pty="p"’) > plot(ldeaths,type="l",main=’pty="l"’) > plot(ldeaths,type="b",main=’pty="b"’) > plot(ldeaths,type="o",main=’pty="o"’) > plot(ldeaths,type="s",main=’pty="s"’) > plot(ldeaths,type="h",main=’pty="h"’) > plot(ldeaths,type="n",main=’pty="n"’) > par(mfrow=c(1,1)) Adding Points, Text, Symbols & Lines Adding points, text, symbols and lines to an existing plot is simple to do and will be demonstrated using the Cars93 dataset. Points can be added to an existing plot using the points function. See the following script for an example of how to do this. # Set up plotting region > plot(MPG.highway,Price,type="n", xlim=range(MPG.highway,MPG.city), xlab="miles per gallon") > points(MPG.highway,Price,col="red",pch=16) > points(MPG.city,Price,col="blue",pch=16) c CSIRO Australia, 2005 Course Materials and Exercises
  • 82.
    82 Graphics: AnIntroduction pty="p" Time ldeaths 1974 1975 1976 1977 1978 1979 1980 15003500 pty="l" Time ldeaths 1974 1975 1976 1977 1978 1979 1980 15003500 pty="b" Time ldeaths 1974 1975 1976 1977 1978 1979 1980 15003500 pty="o" Time ldeaths 1974 1975 1976 1977 1978 1979 1980 15003500 pty="s" Time ldeaths 1974 1975 1976 1977 1978 1979 1980 15003500 pty="h" Time ldeaths 1974 1975 1976 1977 1978 1979 1980 15003500 pty="n" Time ldeaths 1974 1975 1976 1977 1978 1979 1980 15003500 Figure 34: Time series plots of reported monthly deaths of lung disease using different plotting characters. c CSIRO Australia, 2005 Course Materials and Exercises
  • 83.
    Graphics: An Introduction83 > legend(locator(1),c("Highway","City"), col=c("red","blue"),pch=16,bty="n") Figure 35(a) shows the result from this script and displays a plot of the price of vehicles versus the mile per gallon for highway driving (red) and city driving (blue). We may wish to add text to the plot shown in Figure 35(a) to identify specific vehicles. We can do this using the text function and this is demonstrated in the following script using only the first ten rows of the data. Figure 35(b) is the resulting plot. > plot(MPG.highway[1:10],Price[1:10],type="n", ylab="Price",xlim=range(MPG.highway[1:10], MPG.city[1:10]),xlab="miles per gallon") > points(MPG.highway[1:10],Price[1:10],col="red",pch=16) > points(MPG.city[1:10],Price[1:10],col="blue",pch=16) > legend(locator(1),c("Highway","City"), col=c("red","blue"),pch=16,bty="n") # label highway data > text(MPG.highway[1:10],Price[1:10],Manufacturer[1:10], cex=0.7,pos=2) Of course there may be a time where we want to select points interactively. These may be outlying points for example in a residual plot. We can do this using the identify function shown in the following script. > identify(c(MPG.city[1:10],MPG.highway[1:10]), rep(Price[1:10],2),rep(Manufacturer[1:10],2),pos=2) Instead of adding points to a plot, we may wish to add a symbol that represents the size of another variable in the database. For the Cars93 dataset, it may be interesting to look at price versus miles per gallon according to engine size of the vehicle and produce a plot such as the one shown in Figure 35(c). This plot indicates that the cars with the bigger engine tend to be more expensive in price and have a lower miles per gallon ratio than other cars with smaller engines and lower in price. The script used to produce this plot is shown below. symbols(MPG.highway,Price,circles=EngineSize, xlab="miles per gallon",ylab="Price",inches=0.25, main="Area of Circle Proportional to Engine Size") c CSIRO Australia, 2005 Course Materials and Exercises
  • 84.
    84 Graphics: AnIntroduction 15 20 25 30 35 40 45 50 102030405060 miles per gallon Price Highway City 20 25 30 1520253035 miles per gallon Price Highway City Acura Acura Audi Audi BMW Buick Buick Buick Buick Cadillac (a) (b) 20 25 30 35 40 45 50 0102030405060 Area of Circle Proportional to Engine Size miles per gallon Price 2000 2500 3000 3500 4000 23456 Weight 100/MPG.city Lowess Smoother Least Squares (c) (d) Figure 35: Plots that show how to (a) add points, (b) add text, (c) add symbols and (d) add lines to a plot. c CSIRO Australia, 2005 Course Materials and Exercises
  • 85.
    Graphics: An Introduction85 Finally, we may wish to add lines to an existing plot. This can be achieved using the lines function, which adds a line connected by specified points, or the abline function, which adds a vertical, horizontal or straight line with specific intercept and slope. To illustrate this concept, we produce a plot of gallons per 100 miles versus weight with three different lines overlayed: (1) a lowess smoother, (2) a least squares fit using lines and (3) a least squares fit using abline. The resulting plot is shown in Figure 35(d) using the script set out below. > with(Cars93, { plot(Weight,100/MPG.city,pch=16) lines(lowess(Weight,100/MPG.city),col="red") lines(lsfit(Weight,100/MPG.city),col="blue") abline(coef(lsfit(Weight,100/MPG.city)),col="blue") xy <- par("usr")[c(1,4)] legend(xy[1], xy[2], c("Lowess Smoother","Least Squares"), col=c("red","blue"),lty=1,bty="n") }) Labelling and Documenting Plots R contains a number of functions for providing labels and documentation for plots. Some of these may have been mentioned before but here they are again. • title: allows you to place a title, labels for the x and y axes and a subtitle • legend: produces a legend for a plot at a specific location, unless the locator func- tion has been used • mtext: allows you to place text into the margins of a plot The functions legend and title have been used frequently throughout this presenta- tion. The function mtext has also been mentioned but now, here is an example. For large datasets it is often easier to view the correlations of the covariates as an image instead of viewing them as text. To illustrate this concept, we use the iris dataset. To recap, the iris dataset consists of the sepal length and width and petal length and width measurements for three species of Iris: Setosa, Versicolor and Virginica. The cor function c CSIRO Australia, 2005 Course Materials and Exercises
  • 86.
    86 Graphics: AnIntroduction will calculate Pearson correlations between variables. Applying this function to the iris dataset gives: > cor(iris[,-5]) Sepal.Length Sepal.Width Petal.Length Petal.Width Sepal.Length 1.0000000 -0.1175698 0.8717538 0.8179411 Sepal.Width -0.1175698 1.0000000 -0.4284401 -0.3661259 Petal.Length 0.8717538 -0.4284401 1.0000000 0.9628654 Petal.Width 0.8179411 -0.3661259 0.9628654 1.0000000 For small datasets, output to the screen if fine but for larger datasets this becomes a lit- tle monotonous. Alternatively, we could visually display the correlations as an image, where black pixels represent correlations of 1 and white pixels represent correlations of -1. Here’s how we do it . . . > image(1:4,1:4,cor(iris[,-5]), col=gray(seq(from=100,to=0,length=100)/100), axes=F,xlab="",ylab="") > mtext(side=1,text=names(iris[,-5]), at=seq(from=1,to=4,length=4),line=1,cex=0.8) > mtext(side=2,text=names(iris[,-5]), at=seq(from=1,to=4,length=4),line=1,cex=0.8) > title(main="Image Plot of Correlations (Iris Data)") Notice how we produce the image without any axes. The reason for this is to stop R from printing numbers and tick marks on the x and y axes because we want the column names to appear instead. To ensure that the column names are printed, we use the mtext function and then add a title to the plot. The resulting plot is shown in Figure 36. Displaying Higher Dimensional Data Pairwise Plots The pairs function is a useful high-level plotting function for displaying and exploring multivariate data. It produces a scatterplot between all possible pairs of variables in a dataset and for each variable, it uses the same scale. This is useful if you are looking for patterns in your data. c CSIRO Australia, 2005 Course Materials and Exercises
  • 87.
    Graphics: An Introduction87 Sepal.Length Sepal.Width Petal.Length Petal.Width Sepal.LengthSepal.WidthPetal.LengthPetal.Width Image Plot of Correlations (Iris Data) Figure 36: Image plot of correlations for the iris dataset. c CSIRO Australia, 2005 Course Materials and Exercises
  • 88.
    88 Graphics: AnIntroduction In a previous session a pairs plot was produced for the iris data. We now apply this func- tion to the state.x77 dataset which provides information on 50 states of the USA. The script below shows how you can produce such a plot and Figure 37 shows the resulting figure. > pairs(state.x77[,1:5], main = "Information from 50 States of America",pch = 16) Population 3000 4500 6000 68 70 72 01000020000 300045006000 Income Illiteracy 0.51.52.5 687072 Life Exp 0 10000 20000 0.5 1.5 2.5 2 6 10 14 261014 Murder Information from 50 States of America Figure 37: Pairwise scatter plots of statistics reported from the US For something a little more sophisticated, we can overlay the pairs plot with a smoother to look for any trends in the data. We can achieve this using the following script. Figure 38 plots the result. c CSIRO Australia, 2005 Course Materials and Exercises
  • 89.
    Graphics: An Introduction89 > pairs(state.x77[,1:5], main = "Information from 50 States of America", pch = 16,panel=panel.smooth) Population 3000 4500 6000 68 70 72 01000020000 300045006000 Income Illiteracy 0.51.52.5 687072 Life Exp 0 10000 20000 0.5 1.5 2.5 2 6 10 14 261014 Murder Information from 50 States of America Figure 38: Pairwise scatter plots of statistics reported from the US. A scatterplot smoother is overlayed. Star and Segment Plots These type of plots are useful for exploring multivariate data. Each point on the star represents a variable and the length of each radial is proportional to the value of that variable. Similar stars therefore indicate similar cases. To illustrate this concept, the Motor Vehicle Performance (1974 US dataset) will be used. c CSIRO Australia, 2005 Course Materials and Exercises
  • 90.
    90 Graphics: AnIntroduction The aim is to investigate the similarity between makes and models using seven variables: Miles/US gallon (mpg) number of cylinders (cyl) displacement (cub. in.) gross horsepower (hp) rear axle ratio (drat) weight (wt) quarter mile time (qsec) Figure 39 displays a star plot using the stars function outlined in the script below. (Note the specification of the key location in the script. This places the key in the bottom right hand corner of the plot.) Of the different makes and models displayed, there are some similarities between vehicles. For example, the Cadillac Fleetwood and Lincoln Conti- nental appear to be similar in terms of all of the variables. The Mercedes vehicles appear to be similar with the exception to the 240D series. Although the 280C series is similar to the 230 and 280 series, there are slight differences in terms of the rear axle ratio and mileage. > stars(mtcars[,1:7],key.loc=c(14,1.8), main="Motor Vehicle Performance", flip.labels=FALSE) A segment plot shown in Figure 40 is an alternative multivariate plot that tries to sum- marise the features of each vehicle using segments from a circle. To obtain this plot, the draw.segments=T must be specified. Overlaying Figures Figures can be overlayed using one of two features in R. The first uses the add=T option, which is available in some plotting functions. This will add certain features to an existing graph. For example, in the script below, a contour plot showing topographic information about a New Zealand volcano is overlayed on an image. Figure 41 shows the resulting graphic. > z <- volcano > x <- 10*(1:nrow(z)) # 10m spacing (S to N) > y <- 10*(1:ncol(z)) # 10m spacing (E to W) > image(x,y,z,main="Mt Eden") > contour(x,y,z,add=T) Alternatively, figures can be overlayed using the new=T option within the par function. This was described earlier in the notes. To recap, this feature, when used in R, can overlay a plot using the same axis setup as the first plot. This feature is also useful for producing multiple figures as shown in the following piece of code. c CSIRO Australia, 2005 Course Materials and Exercises
  • 91.
    Graphics: An Introduction91 Motor Vehicle Performance Mazda RX4 Mazda RX4 Wag Datsun 710 Hornet 4 DriveHornet Sportabout Valiant Duster 360 Merc 240D Merc 230 Merc 280 Merc 280C Merc 450SE Merc 450SL Merc 450SLCCadillac FleetwoodLincoln ContinentalChrysler Imperial Fiat 128 Honda Civic Toyota Corolla Toyota CoronaDodge Challenger AMC Javelin Camaro Z28 Pontiac Firebird Fiat X1−9 Porsche 914−2 Lotus Europa Ford Pantera L Ferrari Dino Maserati Bora Volvo 142E mpg cyl disp hp drat wt qsec Figure 39: Star plot of the motor vehicle performance dataset c CSIRO Australia, 2005 Course Materials and Exercises
  • 92.
    92 Graphics: AnIntroduction Motor Vehicle Performance Mazda RX4 Mazda RX4 Wag Datsun 710 Hornet 4 DriveHornet Sportabout Valiant Duster 360 Merc 240D Merc 230 Merc 280 Merc 280C Merc 450SE Merc 450SL Merc 450SLCCadillac FleetwoodLincoln ContinentalChrysler Imperial Fiat 128 Honda Civic Toyota Corolla Toyota CoronaDodge Challenger AMC Javelin Camaro Z28 Pontiac Firebird Fiat X1−9 Porsche 914−2 Lotus Europa Ford Pantera L Ferrari Dino Maserati Bora Volvo 142E mpg cyl disp hp drat wt qsec Figure 40: Segment plot of the motor vehicle performance dataset c CSIRO Australia, 2005 Course Materials and Exercises
  • 93.
    Graphics: An Introduction93 200 400 600 800 100200300400500600 Mt Eden x y Figure 41: Image plot of the topographic of a New Zealand volcano with contours over- layed. c CSIRO Australia, 2005 Course Materials and Exercises
  • 94.
    94 Graphics: AnIntroduction > x <- rnorm(1000,1,1) > y <- -1 + 4*x + rnorm(1000) > frame() > par(fig=c(0,1,0.4,1),mar=c(1,4,4,4)) > plot(x,y,xlab="",ylab="y",pch=16,col="gray",axes=F) > abline(coef(lm(y˜x)),col="red") > box() > axis(side=2) > par(new=T,fig=c(0,1,0,0.4),mar=c(5,4,0.5,4)) > hist(x,xlab="x",main="",ylab="Frequency") In this script, we generate some data and store it in x. We then generate a response y based on a linear relationship with some error. To set up the first plotting region we use the frame() function. The plot we would like to produce needs to be plotted in two components. The first is a plot of y versus x with a least squares line overlayed. The second is a histogram of x showing the distribution of the explanatory variable. In order to produce the second plot, new=T was specified to trick R into believing that it has gone to a new graphics window. This allows you to produce multiple graphs per plot. The resulting plot appears in Figure 42. For something a little more fancy, we may want to overlay a series of plots to help with an analysis. The script called Time Series Ex.R produces Figure 43, a panel of figures that summarise some interesting features of a simulated time series. The figure comprises a time series plot of the data, illustration of the seasonal component that was estimated from a time series model, the estimated trend lines with 95% confidence limits and a plot of residuals. Notice how the axis at the bottom is the same axis used for all of the plots. The axis for each plot have also been alternated to appear on different sides, for clarity. Laboratory Exercise Step through this function in more detail c CSIRO Australia, 2005 Course Materials and Exercises
  • 95.
    Graphics: An Introduction95 y −10−5051015 x Frequency −2 −1 0 1 2 3 4 050100200 Figure 42: Example of overlaying figures c CSIRO Australia, 2005 Course Materials and Exercises
  • 96.
    96 Graphics: AnIntroductionData −20246 Seasonal −0.40.00.20.4 Trend 6000650070007500 year Residuals 1991 1992 1993 1994 1995 1996 1997 1998 1999 2000 −3−2−10123 Figure 43: Example of overlaying figures c CSIRO Australia, 2005 Course Materials and Exercises
  • 97.
    Manipulating Data 97 ManipulatingData Sorting order Function Ordering is usually best done indirectly: Find an index vector that achieves the sort op- eration and use it for all vectors that need to remain together. The function order allows sorting with tie-breaking: Find an index vector that arranges the first of its arguments in increasing order. Ties are broken by the second argument and any remaining ties are broken by a third argument. Example > x <- sample(1:5, 20, rep=T) > y <- sample(1:5, 20, rep=T) > z <- sample(1:5, 20, rep=T) > xyz <- rbind(x, y, z) > dimnames(xyz)[[2]] <- letters[1:20] > xyz a b c d e f g h i j k l m n o p q r s t x 4 4 2 4 3 4 4 1 2 2 5 3 1 5 5 3 4 5 3 4 y 5 5 2 5 2 3 5 4 4 2 4 2 1 4 3 4 4 2 2 2 z 4 5 3 2 4 2 4 5 5 2 4 2 4 5 3 4 3 4 4 3 > o <- order(x, y, z) > xyz[, o] m h j c i l e s p t f q d a g b r o k n x 1 1 2 2 2 3 3 3 3 4 4 4 4 4 4 4 5 5 5 5 y 1 4 2 2 4 2 2 2 4 2 3 4 5 5 5 5 2 3 4 4 z 4 5 2 3 5 2 4 4 4 3 2 3 2 4 4 5 4 3 4 5 > xyz # reminder a b c d e f g h i j k l m n o p q r s t x 4 4 2 4 3 4 4 1 2 2 5 3 1 5 5 3 4 5 3 4 c CSIRO Australia, 2005 Course Materials and Exercises
  • 98.
    98 Manipulating Data y5 5 2 5 2 3 5 4 4 2 4 2 1 4 3 4 4 2 2 2 z 4 5 3 2 4 2 4 5 5 2 4 2 4 5 3 4 3 4 4 3 sort Function The sort function can also be used to sort a vector or a list respectively into ascending or descending order > sort(x) [1] 1 1 2 2 2 3 3 3 3 4 4 4 4 4 4 4 5 5 5 5 > sort(x,decreasing=T) [1] 5 5 5 5 4 4 4 4 4 4 4 3 3 3 3 2 2 2 1 1 To sort a vector partially, use the partial argument > sort(x,partial=c(3,4)) [1] 1 1 2 2 3 4 4 4 2 4 5 3 4 5 5 3 4 5 3 4 rank Function To rank the values in a vector, the rank function can be used. Ties result in ranks being averaged by default but other options are available: taking the first occurrence, randomly selecting a value or selecting the maximum or minimum value. > rank(x) [1] 13.0 13.0 4.0 13.0 7.5 13.0 13.0 1.5 4.0 4.0 [11] 18.5 7.5 1.5 18.5 18.5 7.5 13.0 18.5 7.5 13.0 > rank(x, ties="first") # first occurrence wins [1] 4 4 2 4 3 4 4 1 2 2 5 3 1 5 5 3 4 5 3 4 > rank(x, ties="random") # ties broken at random [1] 16 15 5 14 9 12 11 1 3 4 19 6 2 17 18 8 13 20 [19] 7 10 > rank(x, ties="min") # typical sports ranking [1] 10 10 3 10 6 10 10 1 3 3 17 6 1 17 17 6 10 17 [19] 6 10 c CSIRO Australia, 2005 Course Materials and Exercises
  • 99.
    Manipulating Data 99 Datesand Times R has several mechanisms available for the representation of dates and times. The stan- dard one however is the POSIXct/POSIXlt suite of functions and objects of (old) class POSIXct are numeric vectors with each component representing the number of seconds since the start of 1970. Such objects are suitable for inclusion in data frames, for example. Objects of (old) class POSIXlt are lists with the separate parts of the date/time held as separate components. Conversion from one form to another • The function as.POSIXlt(obj) converts from POSIXct to POSIXlt. • The function as.POSIXct(obj) converts from POSIXlt to POSIXct. • The function strptime(char,form) generates POSIXlt objects from suitable char- acter string vectors where the format must be specified. • The format(obj,form) generates character string vectors from POSIXlt or POSIXct objects, which also requires the output format to be specified. • The function as.character(obj) also generates character string vectors like format(,), but only to the ISO standard time/date format. For formatting details see help on strptime. Example On what day of the week were you born and for how many seconds have you lived? > myBday <- strptime("18-Apr-1973", "%d-%b-%Y") > class(myBday) [1] "POSIXt" "POSIXlt" > myBday [1] "1973-04-18" > weekdays(myBday) [1] Wednesday" > Sys.time() [1] "2005-01-19 12:08:12 E. Australia Standard Time" > Sys.time() - myBday Time difference of 11599.51 days c CSIRO Australia, 2005 Course Materials and Exercises
  • 100.
    100 Manipulating Data Arithmeticon POSIXt Objects Some arithmetic operations are allowed on date/time objects (POSIXlt or POSIXct). These are • obj + number • obj - number • obj1 <lop> obj2 • obj1 - obj2 In the first two cases, number represents the number of seconds and each date is aug- mented by this number of seconds. If you wish to augment by days you need to work with multiples of 60*60*24. In the second case <lop> is a logical operator and the result is a logical vector In the third case the result is a difftime object, represented as the number of seconds time difference. Birthday example continued. > as.numeric(Sys.time()) [1] 1106100492 > as.numeric(myBday) [1] 0 0 0 18 3 73 3 107 0 > as.numeric(as.POSIXct(myBday)) [1] 103903200 > as.numeric(Sys.time()) - as.numeric(as.POSIXct(myBday)) [1] 1002197292 Tables It can be quite useful to tabulate factors or find the frequency of an object. This can be achieved using the table function in R. The quine dataset consists of 146 rows describing childrens ethnicity (Eth), age (Age), sex (Sex), days absent from school (Days) and their learning ability (Lrn). Eth, Sex, Age and Lrn are factors. Days is a numeric vector. If we want to find out the age classes in the quine dataset we can do the following > attach(quine) > table(Age) c CSIRO Australia, 2005 Course Materials and Exercises
  • 101.
    Manipulating Data 101 Age F0F1 F2 F3 # F0: primary, F1-F3: forms 1-3 27 46 40 33 If we need to know the breakdown of ages according to sex > table(Sex,Age) Age Sex F0 F1 F2 F3 F 10 32 19 19 M 17 14 21 14 Split The split function divides the data specified by vector x into the groups defined by fac- tor f This function can be useful for graphical displays of data If we want to obtain a summary of Days split by Sex we can write the following code. > split(Days,Sex) $F [1] 3 5 11 24 45 5 6 6 9 13 23 25 32 53 54 5 5 11 17 [20] 19 8 13 14 20 47 48 60 81 2 0 2 3 5 10 14 21 36 40 [39] 25 10 11 20 33 5 7 0 1 5 5 5 5 7 11 15 5 14 6 [58] 6 7 28 0 5 14 2 2 3 8 10 12 1 1 9 22 3 3 5 [77] 15 18 22 37 $M [1] 2 11 14 5 5 13 20 22 6 6 15 7 14 6 32 53 57 14 16 [20] 16 17 40 43 46 8 23 23 28 34 36 38 6 17 67 0 0 2 7 [39] 11 12 0 0 5 5 5 11 17 3 4 22 30 36 8 0 1 5 7 [58] 16 27 0 30 10 14 27 41 69 or for some nice graphical displays c CSIRO Australia, 2005 Course Materials and Exercises
  • 102.
    102 Manipulating Data >boxplot(split(Days,Sex),ylab="Days Absent") > library(lattice) # trellis graphics > trellis.par.set(col.whitebg()) > bwplot(Days ˜ Age | Sex) # implicit split F M 020406080 DaysAbsent Days F0 F1 F2 F3 0 20 40 60 80 F F0 F1 F2 F3 M (a) (b) Figure 44: Boxplots showing the breakdown of days for (a) males and females and (b) age classes. with, subset and transform Functions These functions operate on an object or elements within an object. No attachment of the dataset is necessary • with: evaluates expressions constructed from the data > with(Cars93,plot(Weight,100/MPG.highway)) • subset: returns subsets of vectors or data frames that meet specific requirements > Vans <- subset(Cars93,Type=="Van") • transform: transforms elements of an object > Cars93T <- transform(Cars93,WeightT=Weight/1000) c CSIRO Australia, 2005 Course Materials and Exercises
  • 103.
    Manipulating Data 103 VectorisedCalculations Those from a programming background may be used to operating on individual elements of a vector. However, R has the ability to perform vectorised calculations. This allows you to perform calculations on an entire vector/matrix/dataframe/list instead of the individ- ual elements. Not all problems can be vectorised but most can once you know how. Four members: lapply, sapply, tapply, apply • lapply: takes any structure, gives a list of results • sapply: like lapply, but simplifies the result if possible • apply: only used for arrays • tapply: used for ragged arrays: vectors with an indexing specified by one or more factors. Those functions are used for efficiency and convenience. The apply Function This function allows functions to operate on successive sections of an array. To illustrate this, we compute the mean of each column of the iris data > iris[1:4,] Sepal.Length Sepal.Width Petal.Length Petal.Width Species 1 5.1 3.5 1.4 0.2 setosa 2 4.9 3.0 1.4 0.2 setosa 3 4.7 3.2 1.3 0.2 setosa 4 4.6 3.1 1.5 0.2 setosa > apply(iris[,-5],2,mean) Sepal.Length Sepal.Width Petal.Length Petal.Width 5.843333 3.057333 3.758000 1.199333 The tapply Function Ragged arrays represent a combination of a vector and a labelling factor or factors, where the group sizes are irregular. To apply functions to ragged arrays the tapply function is used, where the object, list of factors and function is supplied. We will illustrate this function using the quine dataset again > quine[1:5,] Eth Sex Age Lrn Days c CSIRO Australia, 2005 Course Materials and Exercises
  • 104.
    104 Manipulating Data 1A M F0 SL 2 2 A M F0 SL 11 3 A M F0 SL 14 4 A M F0 AL 5 5 A M F0 AL 5 To calculate the average number of days absent for each age class we can use the tapply function > tapply(Days,Age,mean) F0 F1 F2 F3 14.85185 11.15217 21.05000 19.60606 To perform this calculation for each gender we need to specify using the list function two factors: Sex and Age > tapply(Days,list(Sex,Age),mean) F0 F1 F2 F3 F 18.70000 12.96875 18.42105 14.00000 M 12.58824 7.00000 23.42857 27.21429 The lapply and sapply Functions • lapply and sapply operate on components of a list or vector • lapply will always return a list • sapply is a more user friendly version of lappy and will attempt to simplify the result into a vector or array # Example 1: lapply # Example 2: sapply > l <- list(Sex=Sex,Eth=Eth) > l <- list(Sex=Sex,Eth=Eth) > lapply(l,table) > sapply(l,table) $Sex Sex Eth F M F 80 69 80 66 M 66 77 c CSIRO Australia, 2005 Course Materials and Exercises
  • 105.
    Manipulating Data 105 $Eth AN 69 77 The apply Functions versus Conventional Programming Programming methods will be discussed in more detail in a later session but how do the family of apply functions compare with conventional programming methods? We can test the performance of these functions using the system.time function. We consider the following problem: We wish to subtract the mean from each element in a 25000 x 4 matrix > mat <- matrix(rnorm(100000),ncol=4) Program 1: The programmer’s approach (5 for loops) program1 <- function(mat){ col.scale <- matrix(NA,nrow(mat),ncol(mat)) m <- rep(0,ncol(mat)) # create a vector, m and # set it to zero for(j in 1:ncol(mat)){ for(i in 1:nrow(mat)) { m[j] <- m[j] + mat[i,j] # compute the sum of # elements in each # column } } for(j in 1:ncol(mat)) m[j] <- m[j]/nrow(mat) # compute the mean for(i in 1:nrow(mat)){ for(j in 1:ncol(mat)){ col.scale[i,j] <- mat[i,j]-m[j] # centre each column by # the mean } c CSIRO Australia, 2005 Course Materials and Exercises
  • 106.
    106 Manipulating Data } col.scale# print the scaled matrix } Program 2: The programmer’s approach (using a built-in function) (3 for loops) program2 <- function(mat){ col.scale <- matrix(NA,nrow(mat),ncol(mat)) m <- NULL # initialise the vector,m for(j in 1:ncol(mat)) m[j] <- mean(mat[,j]) # compute the mean of # each column for(i in 1:nrow(mat)){ for(j in 1:ncol(mat)){ col.scale[i,j] <- mat[i,j]-m[j] # centre columns } } col.scale # print the scaled matrix } Program 3: R programming approach (No for loops) program3 <- function(mat){ apply(mat,2,scale,scale=F) # apply to the matrix (mat) # the function scale # specifying that # centring only be # performed. # print the scaled matrix } How does each program perform? The system.time function produces a vector of length 5 containing information about (1) user CPU, (2) system CPU, (3) Elapsed time, (4) subprocessor 1 time and (5) subprocessor 2 time. Only the first three are of real interest. c CSIRO Australia, 2005 Course Materials and Exercises
  • 107.
    Manipulating Data 107 >system.time(v1 <- program1(mat)) # Slowest [1] 2.33 0.04 2.37 > system.time(v2 <- program2(mat)) # 3.5x increase in CPU [1] 0.68 0.00 0.72 > system.time(v3 <- program3(mat)) # 78x increase in CPU [1] 0.03 0.00 0.03 > system.time(v4 <- scale(mat,scale=F)) # 233x increase in CPU [1] 0.01 0.00 0.01 > check <- function(v1,v2) abs(diff(range(v1-v2))) # check > check(v1,v2) + check(v2,v3) + check(v3,v4) [1] 4.440892e-16 Which approach would you use? c CSIRO Australia, 2005 Course Materials and Exercises
  • 109.
    Classical Linear Models109 Classical Linear Models Statistical Models in R The expression for fitting a multiple linear regression model is shown in the following equation. Here, yi is the response recorded at the i-th observation, xij is the j-th explana- tory variable recorded for the i-th observation, βj are the regression coefficients and ei is the error term that is independent and identically distributed (iid). yi = p j=1 xijβj + ei where ei ∼ NID(0, σ2 ) (1) In matrix terms this expression would be written as y = Xβ + e where y is the response vector, β is the vector of regression coefficients, X is the model matrix or design matrix and e is the error vector. Model Formulae In R, the general form of this expression is: response ∼ termi ± term2 ± . . .. Extensions to this are summarised in Table 6. In this table, x refers to continuous variables while G refers to categorical variables. We will be using some of these expressions in the next few sessions of the course. Generic Functions for Inference Once the model is fitted in R, we examine the fit. The most common functions are de- scribed in Table 7. c CSIRO Australia, 2005 Course Materials and Exercises
  • 110.
    110 Classical LinearModels Table 6: Model Formulae Expression Description y ∼ x Simple regression y ∼ 1+x Explicit intercept y ∼ -1 + x Through the origin y ∼ x + x2 Quadratic regression y ∼ x1 + x2 + x3 Multiple regression y ∼ G + x1 + x2 Parallel regressions y ∼ G/(x1+x2) Separate regressions sqrt(y) ∼ x + x2 Transformed y ∼ G Single Classification y ∼ A+B Randomized block y ∼ B+N*P Factorial in blocks y ∼ x+B+N*P with covariate y ∼ .-X1 All variables except X1 . ∼ .+A:B Add interaction (update) Nitrogen ∼ Times*(River/Site) More complex design Table 7: Common functions for inference Expression Description coef(obj) regression coefficients resid(obj) residuals fitted(obj) fitted values summary(obj) analysis summary predict(obj,newdata=ndat) predict for new data deviance(obj) residual sum of squares c CSIRO Australia, 2005 Course Materials and Exercises
  • 111.
    Classical Linear Models111 Example: The Janka Data Description and Exploratory Analysis We illustrate linear modelling using a very simple example, the Janka Hardness data. This data is described in Appendix I and contains information on the hardness and density of 36 samples of Australian hardwoods. We are interested in building a prediction model for hardness using density. Figure 45 is a plot of hardness versus density. It was produced using the following piece of code. > janka <- read.csv("janka.csv") > with(janka,plot(Density,Hardness,col="blue")) 30 40 50 60 70 50010001500200025003000 Density Hardness Figure 45: Hardness versus Density (Janka) Initial Model Building To begin with, we start with a linear or quadratic model (suggested by Williams) and start examining the fit. Note how the function I is used in the specification of this model. c CSIRO Australia, 2005 Course Materials and Exercises
  • 112.
    112 Classical LinearModels This function is used to prevent the operator, ∧ being used as a formula operator. When used in a formula, the expression inside the brackets is evaluated first prior to the formula being evaluated. > jank.1 <- lm(Hardness ˜ Density, janka) > jank.2 <- update(jank.1, . ˜ . + I(Densityˆ2)) > summary(jank.2)$coef Estimate Std. Error t value Pr(>|t|) (Intercept) -118.0073759 334.9669049 -0.3522956 0.726856611 Density 9.4340214 14.9356203 0.6316458 0.531969926 I(Densityˆ2) 0.5090775 0.1567210 3.2483031 0.002669045 The model suggests that a quadratic term for density is appropriate for this dataset. We should however, also check the need for a cubic term in the model. To achieve this, we simply add one more term to the model as follows. > jank.3 <- update(jank.2, . ˜ . + I(Densityˆ3)) > summary(jank.3)$coef Estimate Std. Error t value Pr(>|t|) (Intercept) -6.414379e+02 1.235655e+03 -0.5191076 0.6072576 Density 4.686373e+01 8.630180e+01 0.5430215 0.5908777 I(Densityˆ2) -3.311734e-01 1.913986e+00 -0.1730281 0.8637192 I(Densityˆ3) 5.958701e-03 1.352646e-02 0.4405220 0.6625207 The results indicate that a quadratic term is necessary, but a cubic term is not supported. The regression coefficients should remain more stable under extensions to the model if we standardize, or even just mean-correct, the predictors. We can do this by subtracting off the mean as follows > janka <- transform(janka,d=Density-mean(Density)) > jank.1 <- lm(Hardness ˜ d, janka) > jank.2 <- update(jank.1, .˜.+I(dˆ2)) > jank.3 <- update(jank.2, .˜.+I(dˆ3)) > summary(jank.1)$coef Estimate Std. Error t value Pr(>|t|) c CSIRO Australia, 2005 Course Materials and Exercises
  • 113.
    Classical Linear Models113 (Intercept) 1469.472 30.5099 48.164 0 d 57.507 2.2785 25.238 0 > summary(jank.2)$coef Estimate Std. Error t value Pr(>|t|) (Intercept) 1378.19661 38.93951 35.3933 0.000000 d 55.99764 2.06614 27.1026 0.000000 I(dˆ2) 0.50908 0.15672 3.2483 0.002669 > round(summary(jank.3)$coef, 4) Estimate Std. Error t value Pr(>|t|) (Intercept) 1379.1028 39.4775 34.9339 0.0000 d 53.9610 5.0746 10.6336 0.0000 I(dˆ2) 0.4864 0.1668 2.9151 0.0064 I(dˆ3) 0.0060 0.0135 0.4405 0.6625 Why is this so? Does it matter very much? Centering results in properties of the coefficients that lie in the middle of the x range. When unentered, the coefficients have properties at unrealistic values of the density, near 0. In the middle of the x-range, predictions under any model are pretty stable but at density 0 they tend to fluctuate wildly. Therefore, always select a parametrisation of your model where the parameters mean something and where the estimates of the fitted function are stable. Diagnostic Checks We examine the fit of the model using a plot of residuals and a Normal scores plot shown in Figures 46 and 47 respectively. These residual plots are plotted using the trellis library, which will be discussed in more detail in Session 10. > trellis.par.set(col.whitebg()) > require(MASS) > xyplot(studres(jank.2) ˜ fitted(jank.2), aspect = 0.6, panel = function(x, y, ...) { panel.xyplot(x, y, col = "navy", ...) c CSIRO Australia, 2005 Course Materials and Exercises
  • 114.
    114 Classical LinearModels panel.abline(h = 0, lty = 4, col = "red") }, xlab = "Fitted values", ylab = "Residuals") > qqmath(˜ studres(jank.2), panel = function(x, y, ...) { panel.qqmath(x, y, col = "navy", ...) panel.qqmathline(y, qnorm, col = "red", lty=4) }, xlab = "Normal scores", aspect = 0.6, ylab = "Sorted studentized residuals") The plot shows some departures from the Normality assumptions. This is particularly evident in the Normal scores plot shown in Figure 47 as the edges of the plot deviate from the theoretical line. We may need to consider a transformation for this dataset. Fitted values Residuals 500 1000 1500 2000 2500 −2 0 2 4 Figure 46: Residuals versus Fitted Values (janka) c CSIRO Australia, 2005 Course Materials and Exercises
  • 115.
    Classical Linear Models115 Normal scores Sortedstudentizedresiduals −2 −1 0 1 2 −2 0 2 4 Figure 47: Sorted Studentized Residuals versus Normal Scores (janka) Transformation The Box-Cox family of transformations includes square-root and log transformations as special cases. The boxcox function in the MASS library allows the marginal likelihood function for the transformation parameter to be calculated and displayed. Its use is easy. (Note: it only applies to positive response variables.) The following is an example of how to do this. > require(MASS) # necessary if the MASS library # has not been attached > graphsheet() # necessary if no graphics # device open. > boxcox(jank.2,lambda = seq(-0.25, 1, len=20)) Figure 48 displays the marginal likelihood plot produced on the Janka fitted model object jank.2. The plot shows that an appropriate value for λ is approximately 0.17, with 95% confidence intervals that include zero. The plot indicates that a log transformation may be suitable for this data. c CSIRO Australia, 2005 Course Materials and Exercises
  • 116.
    116 Classical LinearModels −0.2 0.0 0.2 0.4 0.6 0.8 1.0 −246−244−242−240−238 λ log−Likelihood 95% Figure 48: Box-Cox Transformation (janka) A plot of the transformed data using the script below is shown in Figure 49. A quadratic relationship seems reasonable for this data under this transformation. > with(janka,plot(Density, Hardness, log = "y")) We now refit this model using a log transformation on the response, compute the resid- uals and fitted values and produce a corresponding plot of residuals, which is shown in Figure 50. The residual plot indicates a fairly good fit with no departure from Normal distribution assumptions. > ljank.2 <- update(jank.2, log(.)˜.) > round(summary(ljank.2)$coef, 4) Estimate Std. Error t value Pr(>|t|) (Intercept) 7.2299 0.0243 298.0154 0 d 0.0437 0.0013 33.9468 0 I(dˆ2) -0.0005 0.0001 -5.3542 0 > lrs <- studres(ljank.2) > lfv <- fitted(ljank.2) c CSIRO Australia, 2005 Course Materials and Exercises
  • 117.
    Classical Linear Models117 30 40 50 60 70 50010001500200025003500 Density Hardness Figure 49: Plot of the transformed data (janka) > xyplot(lrs ˜ lfv, panel = function(x, y, ...) { panel.xyplot(x, y, pch=16,...) panel.abline(h=0, lty=4) }, xlab = "Fitted (log trans.)", ylab = "Residuals (log trans.)", col = "red") Example: Iowa Wheat Yield Data We use the Iowa Wheat Yield data as a second illustration of linear regression modelling. This dataset is described in Appendix I and contains information on the yield of wheat taken at different times throughout the year under different weather conditions. > library(RODBC) > iowheat <-sqlFetch(odbcConnectExcel("Iowa.xls"), "Iowa") c CSIRO Australia, 2005 Course Materials and Exercises
  • 118.
    118 Classical LinearModels Fitted (log trans.) Residuals(logtrans.) 6.5 7.0 7.5 −2 −1 0 1 2 Figure 50: Log transformed residuals versus log transformed fitted values (janka) > names(iowheat) [1] "Year" "Rain0" "Temp1" "Rain1" "Temp2" [6] "Rain2" "Temp3" "Rain3" "Temp4" "Yield" > bigm <- lm(Yield ˜ ., data = iowheat) The above piece of code reads in the Iowa Wheat Yield dataset and fits a regression model using all of the other variables in the data frame as predictors. From the full model, we now examine the effect of dropping each term individually using the dropterm function. The addterm function looks at the impact of adding in terms from a smaller model in a stepwise fashion. > dropterm(bigm, test = "F") Single term deletions Model: Yield ˜ Year + Rain0 + Temp1 + Rain1 + Temp2 + Rain2 + Temp3 + Rain3 + Temp4 c CSIRO Australia, 2005 Course Materials and Exercises
  • 119.
    Classical Linear Models119 Df Sum of Sq RSS AIC F Value Pr(F) <none> 1404.8 143.79 Year 1 1326.4 2731.2 163.73 21.715 0.00011 Rain0 1 203.6 1608.4 146.25 3.333 0.08092 Temp1 1 70.2 1475.0 143.40 1.149 0.29495 Rain1 1 33.2 1438.0 142.56 0.543 0.46869 Temp2 1 43.2 1448.0 142.79 0.707 0.40905 Rain2 1 209.2 1614.0 146.37 3.425 0.07710 Temp3 1 0.3 1405.1 141.80 0.005 0.94652 Rain3 1 9.5 1414.4 142.01 0.156 0.69655 Temp4 1 58.6 1463.5 143.14 0.960 0.33738 > smallm <- update(bigm, . ˜ Year) > addterm(smallm, bigm, test = "F") Single term additions Model: Yield ˜ Year Df Sum of Sq RSS AIC F Value Pr(F) <none> 2429.8 145.87 Rain0 1 138.65 2291.1 145.93 1.8155 0.18793 Temp1 1 30.52 2399.3 147.45 0.3816 0.54141 Rain1 1 47.88 2381.9 147.21 0.6031 0.44349 Temp2 1 16.45 2413.3 147.64 0.2045 0.65437 Rain2 1 518.88 1910.9 139.94 8.1461 0.00775 Temp3 1 229.14 2200.6 144.60 3.1238 0.08733 Rain3 1 149.78 2280.0 145.77 1.9708 0.17063 Temp4 1 445.11 1984.7 141.19 6.7282 0.01454 Alternatively, we could automate the process to eliminate variables in a backwards fash- ion. Notice how different approaches can lead to different solutions. c CSIRO Australia, 2005 Course Materials and Exercises
  • 120.
    120 Classical LinearModels > stepm <- stepAIC(bigm, scope = list(lower = ˜ Year)) Start: AIC= 143.79 .... Step: AIC= 137.13 Yield ˜ Year + Rain0 + Rain2 + Temp4 Df Sum of Sq RSS AIC <none> NA NA 1554.6 137.13 - Temp4 1 187.95 1742.6 138.90 - Rain0 1 196.01 1750.6 139.05 - Rain2 1 240.20 1794.8 139.87 A Flexible Regression The clearly useful predictor is Year, but Rain0, Rain2 and Temp4 may have some value. Based on these results, we now consider a flexible version of the linear regression using splines. The following script fits natural splines to Rain0, Rain2, Temp4 and Year, each with 3 knots. Figure 51 displays the spline fits to each of the terms in the model. This plot was produced using termplot. > require(splines) > iowa.spline <- aov(Yield ˜ ns(Rain0, 3) + ns(Rain2, 3) + ns(Temp4, 3) + ns(Year, 3),iowheat) > par(mfrow=c(2,2)) > termplot(iowa.spline, se = TRUE, rug = TRUE, partial=TRUE) The plots, although interesting can be somewhat deceiving in terms of examining their contribution to the model as the scale of each plot is different for different variables. A more useful plot is one where the limits of the y-axis for each plot is constrained. The tplot function created by Bill Venables, is a variation on the termplot function. By constraining the y-axis we are able to see which predictors are really contributing to the fit of the model. Figure 52 displays the results. The big contributor to the model appears c CSIRO Australia, 2005 Course Materials and Exercises
  • 121.
    ClassicalLinearModels121 10152025 −20 −10 010 Rain0 Partial for ns(Rain0, 3) 0246 −20 −10 0 10 Rain2 Partial for ns(Rain2, 3) 68707274767880 −30 −20 −10 0 10 Temp4 Partial for ns(Temp4, 3) 1930194019501960 −30 −10 0 10 20 30 Year Partial for ns(Year, 3) Figure51:Plotofsplinetermsinregressionmodelusingthetermplot()function. cCSIROAustralia,2005CourseMaterialsandExercises
  • 122.
    122ClassicalLinearModels 10152025 −30 −10 010 20 30 Rain0 Partial for ns(Rain0, 3) 0246 −30 −10 0 10 20 30 Rain2 Partial for ns(Rain2, 3) 68707274767880 −30 −10 0 10 20 30 Temp4 Partial for ns(Temp4, 3) 1930194019501960 −30 −10 0 10 20 30 Year Partial for ns(Year, 3) Figure52:Plotofsplinetermsinregressionmodelusingthetplot()function cCSIROAustralia,2005CourseMaterialsandExercises
  • 123.
    Classical Linear Models123 to be Year, showing an unusual drop and leveling off in yield just after 1945 before rising again after 1950. We think that this result is related to the impact of the war. Example: Petroleum Data Overview and Description The petroleum data of Nilon L Prater is described in Appendix I and will be touched upon in a later session when we discuss random effects modelling in greater detail. The dataset consists of measurements on ten crude oil sources. Subsamples of crude oil (3-5) are refined to a certain end point and this is measured. The response is the yield of refined petroleum (as a percentage). The question we are investigating is: How can petroleum yield be predicted from prop- erties of crude and end point? Exploratory Analysis For this kind of grouped data a Trellis display, by group, with a simple model fitted within each group is often very revealing. Figure 53 displays the resulting plot. > names(petrol) [1] "No" "SG" "VP" "V10" "EP" "Y" > xyplot(Y ˜ EP | No, petrol, as.table = T, panel = function(x, y, ...) { panel.xyplot(x, y, ...) panel.lmline(x, y, ...) }, xlab = "End point", ylab = "Yield (%)", main = "Petroleum data of N L Prater") Fixed Effects Model Clearly a straight line model is reasonable. There is some variation between groups, but parallel lines is also a reasonable simplification. There also appears to be considerable variation between intercepts, though. c CSIRO Australia, 2005 Course Materials and Exercises
  • 124.
    124 Classical LinearModels Petroleum data of N L Prater End point Yield(%) 10 20 30 40 A 250 300 350 400 B C 250 300 350 400 D E F G 10 20 30 40 H 250 300 350 400 10 20 30 40 I J Figure 53: Plot of the data with a least squares line fitted. c CSIRO Australia, 2005 Course Materials and Exercises
  • 125.
    Classical Linear Models125 We examine three types of models: (1) A model with interactions between crude oil and end point (pet.2), (2) a model with main effects terms only (pet.1) and (3) a model with just end point fitted (pet.0). > pet.2 <- aov(Y ˜ No*EP, petrol) > pet.1 <- update(pet.2, .˜.-No:EP) > pet.0 <- update(pet.1, .˜.-No) > anova(pet.0, pet.1, pet.2) Analysis of Variance Table Model 1: Y ˜ EP Model 2: Y ˜ No + EP Model 3: Y ˜ No * EP Res.Df RSS Df Sum of Sq F Pr(>F) 1 30 1759.69 2 21 74.13 9 1685.56 74.1008 3.912e-09 3 12 30.33 9 43.80 1.9257 0.1439 The analysis of variance table reveals a substantial improvement in the fit of the model when main effect terms for both crude oil and end point are included in the model. Little improvement is noted when interaction terms are fitted as well. Random Effects Model Although we discuss random effects models a little later in the course, it is useful to touch on the topic here as there does appear to be some variation between intercepts (crude oil type) and slopes (end point). We fit the random effects model using the lme function which is part of the nlme library. The result is shown below and indicates substantial variability between intercepts and minimal variation between slopes. > require(nlme) > pet.re1 <- lme(Y ˜ EP, petrol, random = ˜1+EP|No) > summary(pet.re1) ..... c CSIRO Australia, 2005 Course Materials and Exercises
  • 126.
    126 Classical LinearModels AIC BIC logLik 184.8296 193.2367 -86.41478 Random effects: Formula: ˜1 + EP | No Structure: General positive-definite, Log-Cholesky parametrization StdDev Corr (Intercept) 5.05889184 (Intr) EP 0.01139653 0.709 Residual 1.75086332 Fixed effects: Y ˜ EP Value Std.Error DF t-value p-value (Intercept) -32.10612 2.414396 21 -13.29778 0 EP 0.15486 0.006434 21 24.06915 0 Correlation: ..... The Shrinkage Effect Having the random effect terms in the model offers some stability in the model. If we look at a plot of the least squares line (green) and fitted values from the random effects model (navy) in Figure 54 we see that the navy lines are much more stable than the green. > B <- coef(pet.re1) > B (Intercept) EP A -24.03882 0.1707089 B -28.89570 0.1598992 C -27.19826 0.1666324 D -30.91653 0.1566529 c CSIRO Australia, 2005 Course Materials and Exercises
  • 127.
    Classical Linear Models127 E -31.52066 0.1598700 F -31.54272 0.1565821 G -34.07130 0.1474257 H -36.12921 0.1495958 I -36.91514 0.1436641 J -39.83281 0.1375851 > xyplot(Y ˜ EP | No, petrol, as.table = T, subscripts = T, panel = function(x, y, subscripts, ...) { panel.xyplot(x, y, ...) panel.lmline(x, y, col="navy", ...) wh <- as(petrol$No[subscripts][1], "character") panel.abline(B[wh, 1], B[wh, 2], col = "green") }, xlab = "End point", ylab = "Yield (%)") General Notes on Modelling Some final notes . . . 1. Analysis of variance models are linear models but are usually fitted using aov rather than lm. The computation is the same but the resulting object behaves differ- ently in response to some generics, especially summary. 2. Generalized linear modelling (logistic regression, log-linear models, quasi-likelihood etc) also use linear modelling formulae in that they specify the model matrix, not the parameters. Generalized additive modelling (smoothing splines, loess models etc) formulae are quite similar. 3. Non-linear regression uses a formula, but a completely different paradigm: the for- mula gives the full model as an expression, including parameters. c CSIRO Australia, 2005 Course Materials and Exercises
  • 128.
    128 Classical LinearModels End point Yield(%) 10 20 30 40 A 250 300 350 400 B C 250 300 350 400 D E F G 10 20 30 40 H 250 300 350 400 10 20 30 40 I J Figure 54: Plot of the data with a least squares (green) and random effect (navy) lines overlayed. Note how the random effect lines are less variable than the separate least squares lines. c CSIRO Australia, 2005 Course Materials and Exercises
  • 129.
    Non-Linear Regression 129 Non-LinearRegression Non-linear regression is a generalization of linear regression that was discussed in the last session. Normality and equal variance are retained but the linearity of parameters are relaxed somewhat. Generally, non-linear regression arises from a fairly secure theory but it is not often ap- propriate for empirical work. Estimation is still by least squares, that is, maximum likelihood, but the sum of squares surface is not necessarily quadratic. The theory behind non-linear regression is approximate and relies on the sum of squared surface being nearly quadratic in a region around the minimum. Example: Stormer Viscometer Data We illustrate the concept of non-linear regression using an example, the Stormer Viscome- ter data. Overview and Description The stormer viscometer measures the viscosity of a fluid by measuring the time taken for an inner cylinder in the mechanism to perform a fixed number of revolutions in response to an actuating weight. The viscometer is calibrated by measuring the time taken with varying weights while the mechanism is suspended in fluids of accurately known vis- cosity. The data comes from such a calibration, and theoretical considerations suggest a non-linear relationship between time, weight and viscosity of the form T = βυ W − θ + ε (2) where β and θ are unknown parameters to be estimated and ε represents the error term. Appendix I describes the data in more detail. Ignoring the error term and re-arranging the above expression gives WT ≃ βυ + θT (3) We consider fitting this relationship with ordinary least squares to get initial values for β and θ before launching into a non-linear regression analysis. c CSIRO Australia, 2005 Course Materials and Exercises
  • 130.
    130 Non-Linear Regression Fittingthe Model and Looking at the Results Fitting a linear model is very easy for this example. The first few lines extract the coeffi- cients from the least squares fit. These represent starting values for the non-linear model. The nls function is then used to fit the non-linear model expressed above using the start- ing values from the previous model. The results are presented in the summary below and indicate that both β and θ are significant terms in the model. > b <- coef(lm(Wt*Time ˜ Viscosity + Time - 1,stormer)) > names(b) <- c("beta", "theta") > b beta theta 28.876 2.8437 > storm.1 <- nls(Time ˜ beta*Viscosity/(Wt - theta), stormer, start=b, trace=T) 885.365 : 28.8755 2.84373 825.110 : 29.3935 2.23328 825.051 : 29.4013 2.21823 > summary(storm.1) Formula: Time ˜ (beta * Viscosity)/(Wt - theta) Parameters: Value Std. Error t value beta 29.4013 0.9155 32.114 theta 2.2183 0.6655 3.333 Residual standard error: 6.268 on 21 degrees of freedom Correlation of Parameter Estimates: beta c CSIRO Australia, 2005 Course Materials and Exercises
  • 131.
    Non-Linear Regression 131 theta-0.92 Self Starting Models Self starting models allow the starting procedure to be encoded into the model function. This may seem somewhat arcane but very powerful. The selfStart function takes on a model argument that defines a nonlinear model or a nonlinear formula, an initial argument, a function object that takes three arguments: mCall, data and LHS that represent a matched call to the function model, a data frame to interpret the variables in mCall and the expression from the left and side of the model formula in the call to nls, and a parameters argument which is a character vector specifying the terms on the right hand side of the model which are to be calculated. Refer to the help on self starting models for more information. The eval function in the script below evaluates an expression, in this case mCall and LHS, two arguments passed to the storm.init function. > require(MASS) > storm.init <- function(mCall, data, LHS) { v <- eval(mCall[["V"]], data) w <- eval(mCall[["W"]], data) t <- eval(LHS, data) b <- lsfit(cbind(v, t), t * w, int = F)$coef names(b) <- mCall[c("b", "t")] b } > NLSstormer <- selfStart( ˜ b*V/(W-t),storm.init, c("b","t")) > args(NLSstormer) function(V, W, b, t) NULL ... > tst <- nls(Time ˜ NLSstormer(Viscosity, Wt, beta, theta), stormer, trace = T) 885.365 : 28.8755 2.84373 c CSIRO Australia, 2005 Course Materials and Exercises
  • 132.
    132 Non-Linear Regression 825.110: 29.3935 2.23328 825.051 : 29.4013 2.21823 We can think about bootstrapping the model to obtain standard errors of the estimates. We can achieve this by constructing a matrix called B consisting of 500 rows and two columns. We then mean correct the residuals from the fitted model, sample from the residuals 500 times and add these residuals to the fitted values from the model. We then update the model using these new values as the response. To avoid any failures, we use the try function. Try evaluates an expression and traps any errors that may occur from the function that is being run. We can then compute the means and standard deviations across the 500 bootstrap sam- ples. > tst$call$trace <- NULL > B <- matrix(NA, 500, 2) > r <- scale(resid(tst), scale = F) # mean correct > f <- fitted(tst) > for(i in 1:500) { v <- f + sample(r, rep = T) B[i, ] <- try(coef(update(tst, v ˜ .))) # guard! } > cbind(Coef = colMeans(B), SD = sd(B)) Coef SD [1,] 29.353547 0.8145761 [2,] 2.243293 0.5910415 Alternatively we could calculate the standard errors using a parametric approach as fol- lows: > cbind(Coef = coef(tst), SD = sqrt(diag(vcov(tst)))) Coef SD beta 29.401257 0.9155336 theta 2.218274 0.6655216 A Bayesian Bootstrap is yet another alternative. > b <- c(b = 29.1, th=2.21) c CSIRO Australia, 2005 Course Materials and Exercises
  • 133.
    Non-Linear Regression 133 >n <- nrow(stormer) > B <- matrix(NA, 1000, 2) > > for(i in 1:1000) { w <- rexp(n) B[i, ] <- try(coef( nls(˜sqrt(w)*(Time - b*Viscosity/(Wt - th)), data = stormer, start = b))) } > > cbind(Coef = colMeans(B), SD = sd(B)) Coef SD [1,] 29.378877 0.5587205 [2,] 2.251673 0.5822162 Example: Muscle Data The muscle dataset is an old data from an experiment on muscle contraction in experi- mental animals. The data is explained and referenced in Appendix I. The data consists of the variables: Strip (identifier of muscle), Conc (CaCl concentra- tions used to soak the section and Length (resulting length of muscle section for each concentration). The model we are considering for this data is a non-linear model of the form L = α + β exp(−C/θ) + error (4) where α and β may vary with the animal but θ is constant. Note that α and β are (very many) linear parameters. c CSIRO Australia, 2005 Course Materials and Exercises
  • 134.
    134 Non-Linear Regression FirstModel: Fixed Parameters Since there are 21 animals with separate alpha’s and beta’s for each, the number of pa- rameters is 21+21+1=43, from 61 observations! We use the plinear algorithm since all parameters are linear with the exception to one. > X <- model.matrix(˜ Strip - 1, muscle) > musc.1 <- nls(Length ˜ cbind(X, X*exp(-Conc/th)), muscle, start = list(th = 1), algorithm = "plinear", trace = T) .... > b <- coef(musc.1) > b th .lin1 .lin2 .lin3 .lin4 .lin5 .lin6 .lin7 0.79689 23.454 28.302 30.801 25.921 23.2 20.12 33.595 ...... .lin39 .lin40 .lin41 .lin42 -15.897 -28.97 -36.918 -26.508 Conventional Fitting Algorithm Parameters in non-linear regression may be indexed as follows > b <- as.vector(b) # remove names attribute > th <- b[1] > a <- b[2:22] > b <- b[23:43] > musc.2 <- nls(Length ˜ a[Strip] + b[Strip]*exp(-Conc/th), muscle, start = list(a = a, b = b, th = th), trace = T) ...... c CSIRO Australia, 2005 Course Materials and Exercises
  • 135.
    Non-Linear Regression 135 Aswe have some proper starting values, the algorithm converges in one step now. Note that with indexed parameters, the starting values must be given in a list (with names). Plotting the Result To plot the results, we use the expand.grid function to create a data frame from all combinations of the supplied vectors or factors. > range(muscle$Conc) [1] 0.25 4.00 > newdat <- expand.grid( Strip = levels(muscle$Strip), Conc = seq(0.25, 4, 0.05)) > dim(newdat) [1] 1596 2 > names(newdat) [1] "Strip" "Conc" > newdat$Length <- predict(musc.2, newdat) Trellis then comes to the rescue, plotting the predictions from the expanded grid to pro- duce the plot shown in Figure 55. > trellis.par.set(col.whitebg()) > xyplot(Length ˜ Conc | Strip, muscle, subscripts = T, panel = function(x, y, subscripts, ...) { panel.xyplot(x, y, ...) ws <- as(muscle$Strip[subscripts[1]], "character") wf <- which(newdat$Strip == ws) xx <- newdat$Conc[wf] yy <- newdat$Length[wf] llines(xx, yy, col = "red") }, ylim = range(newdat$Length, muscle$Length), as.table = T, col = "navy") c CSIRO Australia, 2005 Course Materials and Exercises
  • 136.
    136 Non-Linear Regression Conc Length 0 10 20 30 S01 12 3 4 S02 S03 1 2 3 4 S04 S05 S06 S07 S08 S09 0 10 20 30 S10 0 10 20 30 S11 S12 S13 S14 S15 S16 S17 S18 S19 0 10 20 30 S20 1 2 3 4 0 10 20 30 S21 Figure 55: Predictions produced for the muscle dataset on an expanded grid. c CSIRO Australia, 2005 Course Materials and Exercises
  • 137.
    Non-Linear Regression 137 ARandom Effects Version Random effect modelling of this dataset will be explored in a later session. However, we briefly touch upon the approach here. Random effects models allow the parametric dimension to be more easily controlled. We assume α and β are now random over animals > musc.re <- nlme(Length ˜ a + b*exp(-Conc/th), fixed = a+b+th˜1, random = a+b˜1|Strip, data = muscle, start = c(a = mean(a), b = mean(b), th = th)) The vectors a, b and th come from the previous fit so there is no need to supply initial values for the random effects, (though you may). We can produce a plot showing the predictions from the two models: fixed effects (gold) and random effects (navy), with points overlayed in hot pink. The resulting plot is shown in Figure 56. > newdat$L2 <- predict(musc.re, newdat) > xyplot(Length ˜ Conc | Strip, muscle, subscripts = T, par.strip.text=list(lines=1,cex=0.7), panel =function(x, y, subscripts, ...) { panel.xyplot(x, y, ...) ws <- as(muscle$Strip[subscripts[1]], "character") wf <- which(newdat$Strip == ws) xx <- newdat$Conc[wf] yy <- newdat$Length[wf] llines(xx, yy, col = "gold") yy <- newdat$L2[wf] llines(xx, yy, lty=4, col = "navy") }, ylim = range(newdat$Length, muscle$Length), as.table = T, col = "hotpink") c CSIRO Australia, 2005 Course Materials and Exercises
  • 138.
    138 Non-Linear Regression Conc Length 0 10 20 30 S01 12 3 4 S02 S03 1 2 3 4 S04 S05 S06 S07 S08 S09 0 10 20 30 S10 0 10 20 30 S11 S12 S13 S14 S15 S16 S17 S18 S19 0 10 20 30 S20 1 2 3 4 0 10 20 30 S21 Figure 56: A Composite Plot c CSIRO Australia, 2005 Course Materials and Exercises
  • 139.
    Non-Linear Regression 139 FinalNotes • Non-linear regression can be tricky. Some ingenuity in finding good starting values can be well rewarded. • We have considered two bootstrapping techniques – bootstrapping mean-centred residuals and – using exponential weights. • Ordinary bootstrapping by re-sampling the data can lead to problems in non-linear regression if influential points are omitted. • Non-linear mixed models can require a great deal of computation. Large data sets can pose particularly difficult computational problems. c CSIRO Australia, 2005 Course Materials and Exercises
  • 141.
    Generalized Linear Modelling141 Generalized Linear Modelling Methodology Generalisations of Traditional Linear Models: A Roadmap Figure 57 displays a roadmap of the different statistical models and their origins. Table 8 provides an explanation of acronyms to accompany the roadmap. In the previous sessions we focussed on linear and non-linear models. This session we focus on generalized linear models. Future sessions will discuss the remaining modelling approaches shown in this diagram. Figure 57: A roadmap of regression modelling techniques c CSIRO Australia, 2005 Course Materials and Exercises
  • 142.
    142 Generalized LinearModelling Table 8: Explanation of Acronyms Model Acronym R function Linear Models LM lm, aov Multivariate LMs MLM manova Generalized LMs GLM glm Linear Mixed Models LMM lme, aov Non-linear Models NLM nls Non-linear Mixed Models NLMM nlme Generalized LMMs GLMM glmmPQL Generalized Additive Ms GAM gam Nature of the Generalization If we consider a single response variable y and some candidate predictor variables x1, x2, . . ., xp, the distribution of y can only depend on the predictors through a single linear function: η = b1x1 + b2x2 + . . . + bpxp The distribution belongs to the GLM family of distributions, where there may (or may not) be an unknown scale parameter. Distributions in the GLM Family There are a number of distributions that we can consider apart from the Normal distri- bution that leads to a linear model. A summary of these distributions is displayed in Table 9. Table 9: Distributions in the GLM Family Distribution Model Normal Ordinary linear models Binomial Logistic regression, probit Poisson Log-linear models Gamma Alternative to lognormal models Negative Binomial Take into account overdispersion c CSIRO Australia, 2005 Course Materials and Exercises
  • 143.
    Generalized Linear Modelling143 Link Functions It is assumed that the linear predictor determines the mean of the response. The linear predictor is unbounded, but the mean of some of these distributions (e.g. binomial) is restricted. The mean is assumed to be a (monotone) function of the linear predictor and the inverse of this function is called the link function. Choosing a link is often the first problem in constructing a GLM. Here are a few examples: Normal → Identity link Binomial → Logistic or Probit links Poisson → Log or Square-root link Gamma → log or inverse link For the binomial distribution the response is taken as the proportion of cases responding. Thus the mean lies between 0 and 1 and the logistic link uses µ = exp η 1 + exp η , η = log µ 1 − µ A question you may be wondering is why the link function is defined backwards. This is largely due to historical reasons. GLM theory was developed as a replacement for an older approximate theory that used transformations of the data. The link function is de- fined in the same sense, but the data are never transformed. The connection however, is assumed between parameters. The newer theory produces exact maximum likelihood es- timates, but apart from the normal/identity case, inference procedures are still somewhat approximate. Practice Constructing GLMs in R is almost entirely analogous to constructing linear models. Es- timation is by iteratively weighted least squares, so some care has to be taken that the iterative scheme has converged. Some tools exist for manual and automated variable selection. There are differences how- ever. For example, the residuals function distinguishes four types of residuals which all coincide in the case of linear models. c CSIRO Australia, 2005 Course Materials and Exercises
  • 144.
    144 Generalized LinearModelling Example: Budworm Data We illustrate fitting a GLM using the Budworm data. The data needs to be constructed and this is achieved using the following script. > options(contrasts = c("contr.treatment", "contr.poly")) > ldose <- rep(0:5, 2) > numdead <- scan() 1 4 9 13 18 20 0 2 6 10 12 16 > sex <- factor(rep(c("M", "F"), each = 6)) > SF <- cbind(numdead, numalive = 20 - numdead) > Budworms <- data.frame(ldose, sex) > Budworms$SF <- SF > rm(sex, ldose, SF) An Initial Model We fit an initial GLM to the budworm data using a Binomial distribution since we have information on the proportion of worms dead and we are trying to relate that proportion to the sex of the worm and dosage. (The trace option is set to true so we can examine the number of iterations required in the model fitting process.) The results are printed below. > budworm.lg <- glm(SF ˜ sex/ldose, family = binomial, data = Budworms, trace = T) Deviance = 5.016103 Iterations - 1 Deviance = 4.993734 Iterations - 2 Deviance = 4.993727 Iterations - 3 Deviance = 4.993727 Iterations - 4 > summary(budworm.lg, cor = F) c CSIRO Australia, 2005 Course Materials and Exercises
  • 145.
    Generalized Linear Modelling145 ... Deviance Residuals: Min 1Q Median 3Q Max -1.39849 -0.32094 -0.07592 0.38220 1.10375 Coefficients: Estimate Std. Error z value Pr(>|z|) (Intercept) -2.9935 0.5527 -5.416 6.09e-08 *** sexM 0.1750 0.7783 0.225 0.822 sexF:ldose 0.9060 0.1671 5.422 5.89e-08 *** sexM:ldose 1.2589 0.2121 5.937 2.91e-09 *** Results indicate that dosage fitted separately for males and females is significant. Displaying the Fit We display the fit of the model using the following script, which shows the probability of death versus dosage plotted on the log scale. The with function temporarily attaches the Budworms dataset and allows us to extract the variables required to produce the plot. Males are shown in orange and females are shown in blue indicating that females have a lower probability of dying than males and this becomes more prominent as dosage increases. The plot is shown in Figure 58. > with(Budworms,{ plot(c(1,32), c(0,1), type = "n", xlab = "dose", log = "x", axes = F,ylab = "Pr(Death)") axis(1, at = 2ˆ(0:5)) axis(2) points(2ˆldose[1:6], numdead[1:6]/20, pch = 4) points(2ˆldose[7:12], numdead[7:12]/20, pch = 1) ld <- seq(0, 5, length = 100) c CSIRO Australia, 2005 Course Materials and Exercises
  • 146.
    146 Generalized LinearModelling lines(2ˆld, predict(budworm.lg, data.frame(ldose = ld, sex = factor(rep("M", length(ld)), levels = levels(sex))), type = "response"), col = "orange", lwd = 2) lines(2ˆld, predict(budworm.lg, data.frame(ldose = ld, sex = factor(rep("F", length(ld)), levels = levels(sex))), type = "response"), lty = 2, col = "blue", lwd = 2) }) dose Pr(Death) 1 2 4 8 16 32 0.00.20.40.60.81.0 Figure 58: Plot of predictions for male (orange) and female (blue) worms. c CSIRO Australia, 2005 Course Materials and Exercises
  • 147.
    Generalized Linear Modelling147 Is Sex Significant? This is a marginal term and so its meaning has to be interpreted carefully. Watch what happens if ldose is re-centred. In the previous analysis, we fitted separate lines for each sex and tested the hypothesis that the lines do not differ at zero log-dose. If we repa- rameterise the model to include the intercept at dose 8 we find that there is significant differences between sexes at dose 8 and the model fits reasonably well. > budworm.lgA <- update(budworm.lg, . ˜ sex/I(ldose - 3)) Deviance = 5.016103 Iterations - 1 Deviance = 4.993734 Iterations - 2 Deviance = 4.993727 Iterations - 3 Deviance = 4.993727 Iterations - 4 > summary(budworm.lgA, cor = F)$coefficients Estimate Std. Error z value Pr(>|z|) (Intercept) -0.2754324 0.2305173 -1.194845 2.321475e-01 sexM 1.2337258 0.3769761 3.272689 1.065295e-03 sexF:I(ldose - 3) 0.9060364 0.1671016 5.422068 5.891353e-08 sexM:I(ldose - 3) 1.2589494 0.2120655 5.936607 2.909816e-09 Checking for Curvature We now check for curvature by adding in a squared term into the model and examining the fit using analysis of variance. Results suggest that there is no evidence of curvature in the data. > anova(update(budworm.lgA, . ˜ . + sex/I((ldose - 3)ˆ2)), test = "Chisq") Deviance = 3.178919 Iterations - 1 Deviance = 3.171635 Iterations - 2 Deviance = 3.171634 Iterations - 3 Deviance = 3.171634 Iterations - 4 Deviance = 121.9229 Iterations - 1 c CSIRO Australia, 2005 Course Materials and Exercises
  • 148.
    148 Generalized LinearModelling Deviance = 118.7995 Iterations - 2 Deviance = 118.7986 Iterations - 3 Deviance = 118.7986 Iterations - 4 Deviance = 5.016103 Iterations - 1 Deviance = 4.993734 Iterations - 2 Deviance = 4.993727 Iterations - 3 Deviance = 4.993727 Iterations - 4 Analysis of Deviance Table Model: binomial, link: logit Response: SF Terms added sequentially (first to last) Df Deviance Resid. Df Resid. Dev P(>|Chi|) NULL 11 124.876 sex 1 6.077 10 118.799 0.014 sex:I(ldose - 3) 2 113.805 8 4.994 1.939e-25 sex:I((ldose - 3)ˆ2) 2 1.822 6 3.172 0.402 Final Model: Parallelism The final model we examine is one that checks for parallelism. If we reparameterise the model so that we fit separate parallel lines to each sex we find the following: > budworm.lg0 <- glm(SF ˜ sex + ldose - 1, family = binomial, Budworms, trace = T) Deviance = 6.81165 Iterations - 1 Deviance = 6.757094 Iterations - 2 Deviance = 6.757064 Iterations - 3 c CSIRO Australia, 2005 Course Materials and Exercises
  • 149.
    Generalized Linear Modelling149 Deviance = 6.757064 Iterations - 4 > anova(budworm.lg0, budworm.lgA, test = "Chisq") Analysis of Deviance Table Model 1: SF ˜ sex + ldose - 1 Model 2: SF ˜ sex + sex:I(ldose - 3) Resid. Df Resid. Dev Df Deviance P(>|Chi|) 1 9 6.7571 2 8 4.9937 1 1.7633 0.1842 Comparison with the previous model suggests that parallel lines is a reasonable assump- tion. Effective Dosages We now try and estimate for each sex, the dose where the probability of the moth dying is 50%. This is usually referred to as LD50 and it can be expressed as xp = (l(p) − β0)/β1 The MASS library has a function, dose.p for calculating xp and its associated standard error. There is also a special print function for printing the results (see below for more details). If we use this function on the budworm fitted model, (where we fitted parallel lines), we find the dosages and standard errors for probabilities ranging between 0.25 and 0.75. > dose.p function(obj, cf = 1:2, p = 0.5) { eta <- family(obj)$link(p) b <- coef(obj)[cf] x.p <- (eta - b[1])/b[2] c CSIRO Australia, 2005 Course Materials and Exercises
  • 150.
    150 Generalized LinearModelling names(x.p) <- paste("p = ", format(p), ":", sep = "") pd <- - cbind(1, x.p)/b[2] SE <- sqrt(((pd %*% vcov(obj)[cf, cf]) * pd) %*% c(1, 1)) res <- structure(x.p, SE = SE, p = p) oldClass(res) <- "glm.dose" res } > print.glm.dose <- function(x, ...){ M <- cbind(x, attr(x, "SE")) dimnames(M) <- list(names(x), c("Dose", "SE")) x <- M NextMethod("print") > dose.p(budworm.lg0, cf = c(1, 3), p = 1:3/4) Dose SE p = 0.25: 2.231265 0.2499089 p = 0.50: 3.263587 0.2297539 p = 0.75: 4.295910 0.2746874 Example: Low Birth Weight Data The low birthweight data is described in Appendix I and contains information on low birth weight in infants born at a US hospital. A number of variables were collected that might explain the cause of the low birth weight. We attach the birthwt dataset and examine some of the factors in the dataset. > options(contrasts = c("contr.treatment", "contr.poly")) > attach(birthwt) > race <- factor(race, labels = c("white", "black", "other")) > table(ptl) 0 1 2 3 c CSIRO Australia, 2005 Course Materials and Exercises
  • 151.
    Generalized Linear Modelling151 159 24 5 1 > ptd <- factor(ptl > 0) > table(ftv) 0 1 2 3 4 6 100 47 30 7 4 1 > ftv <- factor(ftv) > levels(ftv)[ - (1:2)] <- "2+" > table(ftv) 0 1 2+ 100 47 42 > bwt <- data.frame(low = factor(low), age, lwt, race, smoke = (smoke > 0), ptd, ht = (ht > 0), ui = (ui > 0), ftv) > detach("birthwt") > rm(race, ptd, ftv) Initial Model We consider as an initial model fitting a logistic regression to the low birth weight binary response and drop terms one at a time and test for significance. The resulting model is shown below. > birthwt.glm <- glm(low ˜ ., family = binomial, data = bwt) > dropterm(birthwt.glm, test = "Chisq") Single term deletions Model: low ˜ age + lwt + race + smoke + ptd + ht + ui + ftv Df Deviance AIC LRT Pr(Chi) <none> 195.476 217.476 age 1 196.417 216.417 0.942 0.331796 lwt 1 200.949 220.949 5.474 0.019302 * race 2 201.227 219.227 5.751 0.056380 . c CSIRO Australia, 2005 Course Materials and Exercises
  • 152.
    152 Generalized LinearModelling smoke 1 198.674 218.674 3.198 0.073717 . ptd 1 203.584 223.584 8.109 0.004406 ** ht 1 202.934 222.934 7.458 0.006314 ** ui 1 197.585 217.585 2.110 0.146342 ftv 2 196.834 214.834 1.358 0.507077 --- The previous model output suggests removing fitv and age. This is confirmed by suc- cessive deletion of these terms in the model. What happens, though, when we check for interactions between factors and curvatures in the numeric predictors? The next piece of code examines this issue. > birthwt.step2 <- stepAIC(birthwt.glm, ˜ .ˆ2 + I(scale(age)ˆ2) + I(scale(lwt)ˆ2), trace = F) > birthwt.step2$anova Stepwise Model Path Analysis of Deviance Table Initial Model: low ˜ age + lwt + race + smoke + ptd + ht + ui + ftv Final Model: low ˜ age + lwt + smoke + ptd + ht + ui + ftv + age:ftv + smoke:ui Step Df Deviance Resid. Df Resid. Dev AIC 1 178 195.4755 217.4755 2 + age:ftv 2 12.474896 176 183.0006 209.0006 3 + smoke:ui 1 3.056805 175 179.9438 207.9438 4 - race 2 3.129586 177 183.0734 207.0734 The model results in adding an interaction between age and fitv and removing race. Sometimes adding terms in one at a time and observing the coefficients may hint to con- founding terms and/or interactions worthwhile exploring. c CSIRO Australia, 2005 Course Materials and Exercises
  • 153.
    Generalized Linear Modelling153 Final Model: Two Important Interactions The final model we arrive at is a model that has main effect terms in age, weight of the mother, smoking status, hypertension, uterine irritability and number of physician visits as well as interactions between age and physician visits and smoking and uterine irri- tability. > dropterm(birthwt.step2, test = "Chisq") Single term deletions Model: low ˜ age + lwt + smoke + ptd + ht + ui + ftv + age:ftv + smoke:ui Df Deviance AIC LRT Pr(Chi) <none> 183.073 207.073 lwt 1 191.559 213.559 8.486 0.0035797 ** ptd 1 193.588 215.588 10.515 0.0011843 ** ht 1 191.211 213.211 8.137 0.0043361 ** age:ftv 2 199.003 219.003 15.930 0.0003475 *** smoke:ui 1 186.986 208.986 3.913 0.0479224 * --- We can check for linearity on age within number of physician visits. The idea is to fit separate spline terms within the levels of ftv, but keeping all other important terms (including interactions). It is important that spline terms be chosen with enough knots to allow non-linear behaviour to become apparent, but not so much that the fit becomes nearly indeterminate. This is how we do this. We first create a grid of points ranging the full extent of the data. > attach(bwt) > BWT <- expand.grid(age=14:45, lwt = mean(lwt), race = factor("white", levels = levels(race)), smoke = c(T,F), ptd = factor(c(T,F)), ht = c(T,F), ui = c(T,F), c CSIRO Australia, 2005 Course Materials and Exercises
  • 154.
    154 Generalized LinearModelling ftv = levels(ftv)) > detach("bwt") We then create a function that constructs natural splines with knots based on quantiles of the data. Here, the splines library is temporarily attached using the :: operator. > nsAge <- function(x) splines::ns(x, knots = quantile(bwt$age, 1:2/3), Boundary.knots = range(bwt$age)) We then hard wire the knot placements using the nsAge function. This is referred to as safe prediction. # Hard wiring the knot placements > birthwt.glm2 <- glm(low ˜ lwt + ptd + ht + smoke * ui + ftv/nsAge(age), binomial, bwt, trace = F) If we are not careful about how to construct these knots we can have difficulties getting out the correct predictions (and not even know it). The sloppy version for constructing knots is shown below: # Sloppy version > birthwt.glm2 <- glm(low ˜ lwt + ptd + ht + smoke * ui + ftv/splines::ns(age,df=3), binomial, bwt, trace = F) We now predict using the predict function and overlay the predictions on a graph. Fig- ures 59 and 60 show the results from hard wiring knots and calculating knots arbitrarily. Notice the differences in the predictions. > prob <- predict(birthwt.glm2, BWT, type = "resp") > xyplot(prob ˜ age | ftv, BWT, type = "l", subset = smoke == F & ptd == F & ht == F & ui == F, as.table = T, ylim = c(0, 1), ylab = "Pr(Low bwt)") c CSIRO Australia, 2005 Course Materials and Exercises
  • 155.
    Generalized Linear Modelling155 age Pr(Lowbwt) 0 20 30 40 0.2 0.4 0.6 0.8 1 20 30 40 0.2 0.4 0.6 0.8 2+ Figure 59: Hard Wiring Knot Placements c CSIRO Australia, 2005 Course Materials and Exercises
  • 156.
    156 Generalized LinearModelling age Pr(Lowbwt) 0 20 30 40 0.2 0.4 0.6 0.8 1 20 30 40 0.2 0.4 0.6 0.8 2+ Figure 60: Sloppy Version c CSIRO Australia, 2005 Course Materials and Exercises
  • 157.
    GLM Extensions 157 GLMExtensions The Negative Binomial Distribution The probability function of the negative binomial distribution is displayed below Pr(Y = y) = Γ(θ + y) Γ(θ)y! θθ µy (θ + µ)θ+y , y = 0, 1, 2, . . . with a mean-variance relationship expressed as V ar[Y ] = µ + µ2 /θ Software for fitting negative binomial models are provided in the MASS library. The function glm.nb fits a negative binomial model to a set of data and it can also be fitted by optimisation functions, e.g. optim. Genesis We consider briefly, a Gamma mixture of Poissons (GLMM) Y |G ∼ Po(µG), G ∼ γ(θ, θ), , E[G] = 1, V ar[G] = 1/θ and a compound Poisson Y = X1 + X2 + . . . + XN , N ∼ Po, Xi ∼ logarithmic We consider fitting these models to the Quine data as an example. We start with an initial Poisson fit however. An Initial Poisson Fit A Poisson model was fit to the Quine dataset, the results of which are displayed below. The summary of the fit indicates an excessively large deviance. Inspection of the mean variance relationship indicates that a negative binomial model may be more appropriate. > quine.po1 <- glm(Days ˜ .ˆ4, poisson, quine, trace = T) c CSIRO Australia, 2005 Course Materials and Exercises
  • 158.
    158 GLM Extensions Deviance= 1371.787 Iterations - 1 Deviance = 1178.433 Iterations - 2 Deviance = 1173.905 Iterations - 3 Deviance = 1173.899 Iterations - 4 Deviance = 1173.899 Iterations - 5 > summary(quine.po1, cor = F) Call: glm(formula = Days ˜ .ˆ4, family = poisson, data = quine, trace = T) (Dispersion Parameter for Poisson family taken to be 1 ) Null Deviance: 2073.5 on 145 degrees of freedom Residual Deviance: 1173.9 on 118 degrees of freedom We consider the heuristic: G ≈ Y/µ and use the fitted value from the Poisson fit as an estimate of µ. The fit of the model is shown below. > t0 <- 1/var(quine$Days/fitted(quine.po1)) > t0 [1] 1.966012 > quine.nb1 <- glm.nb(Days ˜ Eth * Lrn * Age * Sex, data = quine, init.theta = t0, trace = 2) Initial fit: Deviance = 176.1053 Iterations - 1 Deviance = 169.9369 Iterations - 2 Deviance = 169.8431 Iterations - 3 Deviance = 169.8431 Iterations - 4 Deviance = 169.8431 Iterations - 5 Initial value for theta: 1.92836 Deviance = 167.4535 Iterations - 1 Theta( 1 ) = 1.92836 , 2(Ls - Lm) = 167.453 c CSIRO Australia, 2005 Course Materials and Exercises
  • 159.
    GLM Extensions 159 >quine.nb1$call$trace <- F # turn off tracing > dropterm(quine.nb1, test = "Chisq") Single term deletions Model: Days ˜ Eth * Lrn * Age * Sex Df AIC LRT Pr(Chi) <none> 1095.3 Eth:Lrn:Age:Sex 2 1092.7 1.4 0.4956 The previous analysis indicated that the four-way interaction of terms was not required in the model. So we updated the model with this term removed. This provided the following results. > quine.nb2 <- update(quine.nb1, . ˜ . - Eth:Lrn:Age:Sex) dropterm(quine.nb2, test = "Chisq", k = log(nrow(quine))) Single term deletions Df AIC LRT Pr(Chi) <none> 1170.30 Eth:Lrn:Age 2 1166.31 5.97 0.05045 Eth:Lrn:Sex 1 1167.91 2.60 0.10714 Eth:Age:Sex 3 1158.03 2.68 0.44348 Lrn:Age:Sex 2 1166.61 6.28 0.04330 Dropping the interaction between Eth, Age and Sex provides the following results > quine.nb3 <- update(quine.nb2, . ˜ . - Eth:Age:Sex) dropterm(quine.nb3, test = "Chisq", k = log(nrow(quine))) Single term deletions ... Df AIC LRT Pr(Chi) <none> 1158.03 Eth:Lrn:Age 2 1153.83 5.77 0.05590 Eth:Lrn:Sex 1 1158.09 5.04 0.02479 c CSIRO Australia, 2005 Course Materials and Exercises
  • 160.
    160 GLM Extensions Lrn:Age:Sex2 1153.77 5.70 0.05779 We now consider also dropping the interaction between Lrn, Age and Sex. This produces the following output. > quine.nb4 <- update(quine.nb3, . ˜ . - Lrn:Age:Sex) dropterm(quine.nb4, test = "Chisq", k = log(nrow(quine))) Single term deletions ... Df AIC LRT Pr(Chi) <none> 1153.77 Age:Sex 3 1158.51 19.69 0.0001968 Eth:Lrn:Age 2 1148.12 4.32 0.1153202 Eth:Lrn:Sex 1 1154.27 5.49 0.0191463 We now drop the interaction between Lrn, Age and Eth. > quine.nb5 <- update(quine.nb4, . ˜ . - Lrn:Age:Eth) > dropterm(quine.nb5, test = "Chisq", k = log(nrow(quine))) Single term deletions Df AIC LRT Pr(Chi) <none> 1148.12 Eth:Age 3 1138.56 5.39 0.145324 Lrn:Age 2 1141.94 3.79 0.150482 Age:Sex 3 1154.31 21.14 0.000098 Eth:Lrn:Sex 1 1152.25 9.12 0.002535 We now drop the interaction between Lrn and Age. > quine.nb6 <- update(quine.nb5, . ˜ . - Lrn:Age) > dropterm(quine.nb6, test = "Chisq", k = log(nrow(quine))) Single term deletions Df AIC LRT Pr(Chi) <none> 1141.94 Eth:Age 3 1132.80 5.81 0.1214197 c CSIRO Australia, 2005 Course Materials and Exercises
  • 161.
    GLM Extensions 161 Age:Sex3 1145.43 18.44 0.0003569 Eth:Lrn:Sex 1 1145.40 8.44 0.0036727 Finally, we drop the interaction between Eth and Age to reveal the following summary table. > quine.nb7 <- update(quine.nb6, . ˜ . - Eth:Age) dropterm(quine.nb7, test = "Chisq", k = log(nrow(quine))) Single term deletions Model: Days ˜ Eth + Lrn + Age + Sex + Eth:Lrn + Eth:Sex + Lrn:Sex + Age:Sex + Eth:Lrn:Sex Df AIC LRT Pr(Chi) <none> 1132.80 Age:Sex 3 1136.46 18.62 0.0003277 Eth:Lrn:Sex 1 1140.23 12.42 0.0004244 > quine.check <- glm.nb(Days ˜ Sex/(Age + Eth * Lrn), quine) > deviance(quine.nb7) > deviance(quine.check) [1] 167.5558 [1] 167.5558 > range(fitted(quine.nb7) - fitted(quine.check)) [1] -1.484696e-06 5.938008e-07 Diagnostic Checks Diagnostic checks of the fitted model are shown in Figure 61 and were produced using the following script. > fv <- fitted(quine.nb7) > rs <- resid(quine.nb7, type = "deviance") > pv <- predict(quine.nb7) c CSIRO Australia, 2005 Course Materials and Exercises
  • 162.
    162 GLM Extensions >par(mfrow = c(1,2)) > plot(fv, rs, xlab = "fitted values", ylab = "deviance residuals") > abline(h = 0, lty = 4, lwd = 2, col = "orange") > qqnorm(rs, ylab = "sorted deviance residuals") > qqline(rs, col = "orange", lwd = 2, lty = 4) > par(mfrow=c(1,1)) 10 20 30 40 50 −3−2−1012 fitted values devianceresiduals −2 −1 0 1 2 −3−2−1012 Normal Q−Q Plot Theoretical Quantiles sorteddevianceresiduals Figure 61: Diagnostic plots of the fitted model to the Quine dataset. Some Notes on the model . . . • We are led to the same model as with the transformed data. • The big advantage we have with this analysis is that it is on the original scale, so predictions would be direct. • Diagnostic analyses are still useful here, though they are less so with small count data • Often the value for theta is not critical. One alternative to this is to fit the models with a fixed value for theta as ordinary glms. c CSIRO Australia, 2005 Course Materials and Exercises
  • 163.
    GLM Extensions 163 FixingTheta at a Constant Value We now fix θ to be a constant value and examine the results. Fortunately we are led to the same model. This is a common occurrence if theta is a reasonable value to use. > quine.glm1 <- glm(Days ˜ Eth * Sex * Lrn * Age, negative.binomial(theta = t0), data = quine, trace = F) > quine.step <- stepAIC(quine.glm1, k = log(nrow(quine)), trace = F) > dropterm(quine.step, test = "Chisq") Single term deletions Model: Days ˜ Eth + Sex + Lrn + Age + Eth:Sex + Eth:Lrn + Sex:Lrn + Sex:Age + Eth:Sex:Lrn Df Deviance AIC scaled dev. Pr(Chi) <none> 195.99 1093.49 Sex:Age 3 219.70 1108.48 20.99 0.0001056 Eth:Sex:Lrn 1 211.52 1105.24 13.75 0.0002086 Multinomial Models Surrogate Poisson models offer a powerful way of analysing frequency data, even if the distribution is not Poisson. This is possible because the multinomial distribution can be viewed as a conditional distribution of independent Poisson variables, given their sum. In multiply classified frequency data, it is important to separate response and stimulus classifications (which may change according to viewpoint). With only one response clas- sification, multinomial models may be fitted directly using multinom. Example: Copenhagen Housing Data The Copenhagen housing dataset is described in Appendix I. It contains information on three stimulus classifications: Influence, Type and Contact. There is one response classification: Satisfaction. The null model is Influence*Type*Contact, which corre- sponds to equal probabilities of 1/3 for each satisfaction class. c CSIRO Australia, 2005 Course Materials and Exercises
  • 164.
    164 GLM Extensions Thesimplest real model is Influence*Type*Contact+Satisfaction, which corre- sponds to a homogeneity model. More complex models are tested by their interactions with Satisfaction. We begin with fitting a Poisson model based on the null hypothesis and then add to it a main effects term, Satisfaction, reflecting the real model. > hous.glm0 <- glm(Freq ˜ Infl*Type*Cont, poisson, housing) > hous.glm1 <- update(hous.glm0, .˜.+Sat) > anova(hous.glm0, hous.glm1, test = "Chisq") (Difference in deviance is 44.657 on 2 d.f.) > addterm(hous.glm1, . ˜ . + Sat * (Infl + Type + Cont), test = "Chisq") Single term additions Model: Freq ˜ Infl + Type + Cont + Sat + Infl:Type + Infl:Cont + Type:Cont + Infl:Type:Cont Df Deviance AIC LRT Pr(Chi) <none> 217.46 610.43 Sat:Infl 4 111.08 512.05 106.37 0.00000 Sat:Type 6 156.79 561.76 60.67 0.00000 Sat:Cont 2 212.33 609.30 5.13 0.07708 It appears from the above analysis that all three terms are necessary, but no more. > hous.glm2 <- update(hous.glm1, .˜.+Sat*(Infl+Type+Cont)) To find a table of estimated probabilities we need to arrange the fitted values in a table (matrix) and normalize to have row sums equal to unity. How do we do this? > attach(housing) > levs <- lapply(housing[, -5], levels) > dlev <- sapply(levs, length) > ind <- do.call("cbind", lapply(housing[, -5], c CSIRO Australia, 2005 Course Materials and Exercises
  • 165.
    GLM Extensions 165 function(x)match(x, levels(x)))) > detach("housing") (Note, The do.call function executes the cbind function to the lapply statement.). > RF <- Pr <- array(0, dim = dlev, dimnames = levs) > RF[ind] <- housing$Freq > tots <- rep(apply(RF, 2:4, sum), each = 3) > RF <- RF/as.vector(tots) > RF > Pr[ind] <- fitted(hous.glm2) > Pr <- Pr/as.vector(tots) > Pr The printed results shown in Figure 62 can be cross-referenced against those produced from R. Figure 62: Extract of the results as a check. The function multinom is set up to take either a factor or a matrix with k columns as the c CSIRO Australia, 2005 Course Materials and Exercises
  • 166.
    166 GLM Extensions response.In our case we have frequencies already supplied. These act as case weights. Fitted values from a multinomial fit are the matrix of probability estimates, with the columns corresponding to the response classes. Hence in our case they will occur three times over. Fit a multinomial model and check that the fitted values agree with our surrogate Poisson estimates. Here is an example of how we might do this. > require(nnet) > hous.mult <- multinom(Sat ˜ Infl + Type + Cont, data = housing, weights = Freq, trace = T) # weights: 24 (14 variable) initial value 1846.767257 iter 10 value 1747.045232 final value 1735.041933 converged > round(fitted(hous.mult), 2) Low Medium High 1 0.40 0.26 0.34 2 0.40 0.26 0.34 3 0.40 0.26 0.34 4 0.26 0.27 0.47 71 0.27 0.26 0.47 72 0.27 0.26 0.47 > h1 <- t(fitted(hous.mult)[seq(3, 72, 3), ]) > range(h1 - as.vector(Pr)) [1] -2.762006e-06 2.014685e-06 c CSIRO Australia, 2005 Course Materials and Exercises
  • 167.
    GLM Extensions 167 ProportionalOdds Models A parametrically economic version of the multinomial model is the proportional odds model, where the response classification is assumed ordered. The model may be specified as π(x) = Pr(Y ≤ k|x), log( π(x) 1 − π(x) ) = ζk − xT β Hence the cumulative probabilities conform to a logistic model, with parallelism in the logistic scale. The MASS library contains a function polr to fit such models. Here is an example. 0.1 0.2 0.3 0.4 0.5 0.6 0.7 0.10.20.30.40.50.60.7 fitted(hous.polr) fitted(hous.mult) Figure 63: > hous.polr <- polr(Sat ˜ Infl+Type+Cont, data = housing, weights = Freq) > plot(fitted(hous.polr), fitted(hous.mult)) c CSIRO Australia, 2005 Course Materials and Exercises
  • 168.
    168 GLM Extensions >abline(0, 1, col="orange", lty=4, lwd=1) > hous.polr2 <- stepAIC(hous.polr, ˜.ˆ2, k = log(24)) > hous.polr2$call$formula Sat ˜ Infl + Type + Cont + Infl:Type With a more parsimonious model the automatic selection procedure uncovers a possible extra term. A plot of fitted values from the two types of models is shown in Figure 63. The plot indicates similarities between the two fits. c CSIRO Australia, 2005 Course Materials and Exercises
  • 169.
    Generalized Additive Models:An Introduction 169 Generalized Additive Models: An Introduction Methodology Overview The generalized additive model assumes that the mean response is a sum of terms each depending on (usually) a single predictor: Y = α + p j=1 fj(xj) + ǫ If the fjs are linear terms, this is just like the regression models discussed in the previous sessions. If they are step functions then the main effect consists of a factor term. In general however, they may be smooth terms, with the degree of smoothness chosen by cross validation. In some cases the additive terms may be known. They may consist of smoothing splines, local regression, splines with fixed degrees of freedom, harmonic terms or splines with known knots and boundary knot positions. Often it is useful to use a smoothing spline initially to determine the placement of knots and then follow up with fitting natural spline terms with fixed knot locations as natural splines have better computational properties. Comparison with GLMs Additive models are analogous to regression models. The generalized version of this is akin to the GLMs. GAMs may employ a link function to relate the linear predictor to the mean of the response, and they may have a non-normal distribution for example. Fitting GAMs is the same process as fitting GLMs (but with one letter different in the function name). The fitting process is NOT maximum likelihood if there are any smoother terms present. A likelihood penalized by a roughness term is maximised, with the tuning constant chosen (usually) by cross-validation. Inference for GAMs is difficult and somewhat contentious. Best regarded as an exploratory technique with standard models to follow. Some of the examples in the following sections will attempt to illustrate this. c CSIRO Australia, 2005 Course Materials and Exercises
  • 170.
    170 Generalized AdditiveModels: An Introduction Example: The Iowa Wheat Yield Data The Iowa Wheat Yield data has already been analysed in previous sessions. The response consists of the yield of wheat in bushels/acre for the state of Iowa for the years 1930- 1962. Potential predictors are Year (as surrogate), Rain0, Rain1, Rain2, Rain3, Temp1, Temp2, Temp3 and Temp4. The problem focuses on building a predictor for yield from the predictors available. Note, with only 33 observations and 9 possible predictors some care has to be taken in choosing a model. Initial Linear Model We consider fitting an initial linear model using all of the predictors and drop terms one at a time > Iowa <- read.csv("Iowa.csv") > iowa.lm1 <- lm(Yield ˜ ., Iowa) > iowa.step <- stepAIC(iowa.lm1, scope = list(lower = ˜ Year, upper = ˜ .), k = log(nrow(Iowa)), trace = F) > dropterm(iowa.step, test = "F", k = log(nrow(Iowa)), sorted = T) Single term deletions Model: Yield ˜ Year + Rain0 + Rain2 + Temp4 Df Sum of Sq RSS AIC F Value Pr(F) <none> 1554.6 144.6 Temp4 1 188.0 1742.6 144.9 3.4 0.07641 . Rain0 1 196.0 1750.6 145.0 3.5 0.07070 . Rain2 1 240.2 1794.8 145.9 4.3 0.04680 * Year 1 1796.2 3350.8 166.5 32.4 4.253e-06 *** Even with the more stringent BIC penalty on model complexity, two of the terms found are only borderline significant in the conventional sense. This is a consequence of the small sample size. Nevertheless the terms found are tentatively realistic: • Year: surrogate for crop improvements. c CSIRO Australia, 2005 Course Materials and Exercises
  • 171.
    Generalized Additive Models:An Introduction 171 • Rain0: a measure of pre-season sowing conditions • Rain2: rainfall during the critical growing month • Temp4: climatic conditions during harvesting We now investigate if strictly linear terms in these variables seems reasonable. We achieve this using additive models. These are described in the following section. Additive Models Two libraries are available for fitting additive models. The first is the gam library which was written by Trevor Hastie and follows closely to the S implementation. The second is a package called and mgcv. This library is an implementation by Simon Wood that provides more robust methods for estimating smoothing parameters. We will use both libraries in this session. If we consider a non-parametric smoother in each term we obtain the following: > require(gam) > iowa.gam <- gam(Yield ˜ s(Temp4) + s(Rain0) + s(Rain2) + s(Year), data = Iowa) > par(mfrow = c(2,2)) > plot(iowa.gam, se = T, ylim = c(-30, 30),resid = T) Figure 64 displays a plot of the additive terms in the model. It can be important to keep the y-axes of these plots approximately the same to allow comparisons between terms. A number of conclusions can be drawn from these additive plots. • Temp4: There are two very hot years that appeared to have crop damage during harvest. • Rain0: There appears to be a wide range where there is little difference in yield. However, very dry years may lead to a reduced yield and very wet years to an enhanced one perhaps. • Rain2: One very dry growing month led to a reduced yield. • Year: The strongest and most consistent predictor by far. Some evidence of a pause in new varieties during the war and immediately post-war period. If we examine the summary of the GAM fit we see that Year is by far the best predictor, followed by Rain0 and Temp4. Note the latter two are significant at the 1% level. > summary(iowa.gam) # (result edited) c CSIRO Australia, 2005 Course Materials and Exercises
  • 172.
    172 Generalized AdditiveModels: An Introduction 68 70 72 74 76 78 80 −30−100102030 Temp4 s(Temp4) 15 20 25 −30−100102030 Rain0 s(Rain0) 1 2 3 4 5 6 7 −30−100102030 Rain2 s(Rain2) 1930 1940 1950 1960 −30−100102030 Year s(Year) Figure 64: Plots of additive contributions c CSIRO Australia, 2005 Course Materials and Exercises
  • 173.
    Generalized Additive Models:An Introduction 173 Call: gam(formula = Yield ˜ s(Temp4) + s(Rain0) + s(Rain2) + s(Year), data = Iowa) (Dispersion Parameter for Gaussian family taken to be 31.1175 ) Residual Deviance: 497.8868 on 16.002 degrees of freedom Number of Local Scoring Iterations: 2 DF for Terms and F-values for Nonparametric Effects Df Npar Df Npar F Pr(F) (Intercept) 1 s(Temp4) 1 3 2.4709 0.09917 s(Rain0) 1 3 3.0301 0.05993 s(Rain2) 1 3 1.3746 0.28638 s(Year) 1 3 3.6841 0.03437 Can we get to the same place with GLMs An interesting exercise is to determine whether we can get to the same place with GLMs. We fit a GLM to the Iowa Wheat Yield data using spline terms that are specified using natural spline functions. We could also consider fitting B-splines, which differ only in behaviour near the end points. We need to specify the knot and boundary knot positions. This is recommended if pre- diction will be needed. Alternatively, if only exploratory analysis is being conducted, the degrees of freedom can be specified. Each spline term is a collection of ordinary linear terms, but the coefficients have no sim- ple meaning and the individual significance tests are meaningless. In this circumstance, splines are best regarded as a single composite term and retained or removed as a block. See the following for an implementation of the GLM with spline terms. > iowa.ns <- lm(Yield ˜ ns(Temp4, df=3) + ns(Rain0, df=3) + ns(Rain2, df = 3) + ns(Year, df=3), Iowa) > tplot(iowa.ns, se = TRUE, rug = TRUE, partial = TRUE) > dropterm(iowa.ns, test = "F", k = log(nrow(Iowa))) Single term deletions c CSIRO Australia, 2005 Course Materials and Exercises
  • 174.
    174 Generalized AdditiveModels: An Introduction Model: Yield ˜ ns(Temp4, df = 3) + ns(Rain0, df = 3) + ns(Rain2, df = 3) + ns(Year, df = 3) Df Sum of Sq RSS AIC F Value Pr(F) <none> 726.26 147.47 ns(Temp4, df = 3) 3 274.60 1000.86 147.56 2.52 0.08706 ns(Rain0, df = 3) 3 332.31 1058.57 149.41 3.05 0.05231 ns(Rain2, df = 3) 3 70.61 796.87 140.04 0.65 0.59327 ns(Year, df = 3) 3 2022.93 2749.19 180.91 18.57 0.00001 Figure 65 presents a plot of each variable’s contribution to the model. This plot was constructed using tplot. The above results show a very similar pattern to the components fitted in the additive model. It is now clear that the term in Rain2 is not useful and Temp4 and Rain0 terms will need to be re-assessed. The term in Year stands out as dominant with a clear pattern in the response curve and the partial residuals following it closely. Small data sets like this can be very misleading and therefore extreme caution is needed. Example: Rock Data A second example we investigate with GAMs is the Rock data, where the response con- sists of the permeability of rock samples taken from a petroleum reservoir. The potential predictors are area, perimeter and shape. We focus on building a predictor for log(perm) using the available predictors. The following script sets out the model below. Make sure you have attached the gam library and not the mgcv library for this one. > rock.lm <- lm(log(perm) ˜ area + peri + shape, data = rock) > summary(rock.lm) Coefficients: Value Std. Error t value Pr(>|t|) (Intercept) 5.3331 0.5487 9.720 0.000 area 0.0005 0.0001 5.602 0.000 c CSIRO Australia, 2005 Course Materials and Exercises
  • 175.
    GeneralizedAdditiveModels:AnIntroduction175 68707274767880 −30 −10 010 20 30 Temp4 Partial for ns(Temp4, df = 3) 10152025 −30 −10 0 10 20 30 Rain0 Partial for ns(Rain0, df = 3) 0246 −30 −10 0 10 20 30 Rain2 Partial for ns(Rain2, df = 3) 1930194019501960 −30 −10 0 10 20 30 Year Partial for ns(Year, df = 3) Figure65:Plotofeachvariable’scontributiontotheGLM. cCSIROAustralia,2005CourseMaterialsandExercises
  • 176.
    176 Generalized AdditiveModels: An Introduction peri -0.0015 0.0002 -8.623 0.000 shape 1.7570 1.7560 1.000 0.323 The linear model suggests that both area and perimeter are strong predictors for the log of permeability. Fitting an additive model with smoothing splines fitted to each of the three terms produces the following. > rock.gam <- gam(log(perm) ˜ s(area) + s(peri) + s(shape), control = gam.control(maxit = 50,bf.maxit=50), data = rock) > summary(rock.gam) Call: gam(formula = log(perm) ˜ s(area) + s(peri) + s(shape), data = rock, control = gam.control(maxit = 50,bf.maxit=50)) Residual Deviance: 26.0574 on 34.9981 degrees of freedom Number of Local Scoring Iterations: 2 DF for Terms and F-values for Nonparametric Effects Df Npar Df Npar F Pr(F) (Intercept) 1 s(area) 1 3 0.34177 0.7953 s(peri) 1 3 0.94085 0.4314 s(shape) 1 3 1.43219 0.2499 > anova(rock.lm, rock.gam) The analysis of variance shows little improvement in the fit of the model when spline terms are added. We now include linear terms for area and perimeter and a spline term for shape and compare the results against the previous two models. > par(mfrow = c(2, 3), pty = "s") > plot(rock.gam, se = TRUE) > rock.gam1 <- gam(log(perm) ˜ area + peri + s(shape), data = rock) > plot(rock.gam1, se = TRUE) > anova(rock.lm, rock.gam1, rock.gam) The results once again suggest no improvement with the addition of the spline term on c CSIRO Australia, 2005 Course Materials and Exercises
  • 177.
    Generalized Additive Models:An Introduction 177 shape. The plots shown in Figure 66 also show that there is no advantage in fitting a spline term for any of the predictors but there are definite increase and decreasing trends for area and perimeter. Although suggestive, the curve in shape is not particularly convincing. Choosing the de- gree of smoothness can be tricky. The gam function in Simon Woods (SWs) R implemen- tation (mgcv library) offers a way around this. In this case, SWs gam function suggests essentially linear terms, at most, in all three variables. The script below produces a GAMs model based on this implementation and then produces plots of their contribution. require(mgcv) rock.gamSW <- gam(log(perm) ˜ s(area) + s(peri) + s(shape), data = rock) plot(rock.gamSW) c CSIRO Australia, 2005 Course Materials and Exercises
  • 178.
    178 Generalized AdditiveModels: An Introduction 0 4000 8000 12000 −4−2024 area Partialfors(area) 0 1000 3000 5000 −4−2024 peri Partialfors(peri) 0.1 0.2 0.3 0.4 −4−2024 shape Partialfors(shape) 0 4000 8000 12000 −4−2024 area Partialforarea 0 1000 3000 5000 −4−2024 peri Partialforperi 0.1 0.2 0.3 0.4 −4−2024 shape Partialfors(shape) Figure 66: Partial residual plots showing the contribution of area, perimeter and shape to the fit of the model. The first three plots have spline terms fitted to all three terms, while the bottom three plots are the result of fitting linear terms for area and perimeter and a spline term for shape. c CSIRO Australia, 2005 Course Materials and Exercises
  • 179.
    Advanced Graphics 179 AdvancedGraphics Lattice Graphics Lattice is a collection of functions roughly parallel to the traditional graphics functions. It implements the ideas of Bill Cleveland on data presentation given in Visualising Data. R lattice graphics mirrors the functionality of S-PLUSs Trellis graphics, but the low-level implementation is very different. Lattice graphics is based on Paul Murrels grid graphics implying that traditional and lattice graphics cannot (easily) be mixed. Lattice graphics functions produce a graphics object. Printing this object is what produces the graphical output. After a lattice graphics object is printed, the user coordinate system is replaced by a (0, 1, 0, 1) system and interaction with lattice graphics is not possible. A draft copy of a book entitled R Graphics is available on the web at the following web lo- cation: http://www.stat.auckland.ac.nz/ paul/RGraphics/rgraphics.html. It contains some nice examples (with scripts) for producing graphics and in particular, it provides some tips on how to work with Trellis graphics. Example: Whiteside Data We begin with the Whiteside data and produce some fairly simple trellis plots using the xyplot function. Figures 67 and 68 display the results. > graphics.off() > require(lattice) > trellis.device() > trellis.par.set(theme=col.whitebg()) > xyplot(Gas ˜ Temp, whiteside, groups = Insul,panel = panel.superpose) > xyplot(Gas ˜ Temp | Insul, whiteside, xlab = "External temperature", ylab = "Gas consumption", main = "Whiteside heating data", aspect = 0.6) We can now add a least squares line using the following piece of code. This produces the plot shown in Figure 69. > xyplot(Gas ˜ Temp | Insul, whiteside, c CSIRO Australia, 2005 Course Materials and Exercises
  • 180.
    180 Advanced Graphics Temp Gas 02 4 6 8 10 2 3 4 5 6 7 Figure 67: xyplot of the Whiteside data showing the relationships between gas and temperature for different levels of insulation. Whiteside heating data External temperature Gasconsumption 0 2 4 6 8 10 2 3 4 5 6 7 Before 2 3 4 5 6 7 After Figure 68: A more elegant plot showing gas consumption versus external temperature for different levels of insulation. c CSIRO Australia, 2005 Course Materials and Exercises
  • 181.
    Advanced Graphics 181 xlab= "External temperature", ylab = "Gas consumption", main = "Whiteside heating data", aspect = 0.6, panel = function(x, y, ...) { panel.xyplot(x, y, ...) panel.lmline(x, y, ...,col="red") }, ylim = c(0, 7)) Whiteside heating data External temperature Gasconsumption 0 2 4 6 8 10 1 2 3 4 5 6 Before 1 2 3 4 5 6 After Figure 69: Adding a least squares line to the Whiteside data. We may want to de-link the scales and let each plot have its own x and y axis. Figure 70 shows the result. > xyplot(Gas ˜ Temp | Insul, whiteside, xlab = "External temperature", ylab = "Gas consumption", c CSIRO Australia, 2005 Course Materials and Exercises
  • 182.
    182 Advanced Graphics main= "Whiteside heating data", aspect = 0.6, panel = function(x, y, ...) { panel.xyplot(x, y, ...) panel.lmline(x, y, ...) }, prepanel = function(x, y, ...) { list(xlim = range(x), ylim = range(0, y), dx = NULL, dy = NULL) }, scales = list(relation = "free")) Whiteside heating data External temperature Gasconsumption 0 2 4 6 8 10 0246 Before 0 2 4 6 8 01234 After Figure 70: De-linking the scales to produce plots with their own axes. c CSIRO Australia, 2005 Course Materials and Exercises
  • 183.
    Advanced Graphics 183 ChangingTrellis Parameters & Adding Keys When a lattice device is opened, it has various colours, line-types and plotting symbols associated with it that any printing of lattice objects will use. You can change these choices but it gets messy! You need to know how to access this scheme if you want to set a key saying what is what. The easiest way to achieve this is to keep an example on hand that works and re-read the help information with this example in mind. The following example obtains information on symbols, (their size, colour, font etc). We print out the settings for symbols and display the settings using the show.settings() command. The result is displayed in Figure 71. > sps <- trellis.par.get("superpose.symbol") > sps $alpha [1] 1 1 1 1 1 1 1 $cex [1] 0.7 0.7 0.7 0.7 0.7 0.7 0.7 $col [1] "darkgreen" "red" "royalblue" "brown" "orange" [6] "turquoise" "orchid" $font [1] 1 1 1 1 1 1 1 $pch [1] 1 3 6 0 5 16 17 > show.settings() We now change a couple of these settings, display the results in Figure 72 and produce another version of the whiteside data. The result is displayed in Figure 73. > sps$pch <- c(16,18,4,3,1,2,7) > sps$col <- c("purple","pink","blue","orange", "red","brown","black") > trellis.par.set("superpose.symbol", sps) c CSIRO Australia, 2005 Course Materials and Exercises
  • 184.
    184 Advanced Graphics superpose.symbolsuperpose.line strip.background strip.shingle dot.[symbol, line] box.[dot, rectangle, umbrella] Hello World add.[line, text] reference.line plot.[symbol, line] plot.shingle[bar.fill] histogram[bar.fill] barchart[bar.fill] superpose.fill regions Figure 71: Current settings for trellis graphics. c CSIRO Australia, 2005 Course Materials and Exercises
  • 185.
    Advanced Graphics 185 >Rows(sps, 1:3) $alpha [1] 1 1 1 $cex [1] 0.7 0.7 0.7 $col [1] "purple" "pink" "blue" $font [1] 1 1 1 $pch [1] 16 18 4 > show.settings() > xyplot(Gas ˜ Temp , whiteside, groups=Insul, xlab = "External temperature", ylab = "Gas consumption",panel=panel.superpose, main = "Whiteside heating data", aspect = 0.6, ylim = c(0, 7)) Example: Stormer Viscometer Data We illustrate some trellis graphics using the Stormer Viscometer data that is described in Appendix I. The dependent variable is Time, while the independent variables consist of Viscosity and Weight. The theoretical model that we are interested in fitting (and will be used elsewhere in the course is) T = βV W − θ + ǫ Plotting Time versus Viscosity should give straight lines with slope depending on Weight. > require(MASS) > xyplot(Time ˜ Viscosity, stormer, groups = Wt, c CSIRO Australia, 2005 Course Materials and Exercises
  • 186.
    186 Advanced Graphics superpose.symbolsuperpose.line strip.background strip.shingle dot.[symbol, line] box.[dot, rectangle, umbrella] Hello World add.[line, text] reference.line plot.[symbol, line] plot.shingle[bar.fill] histogram[bar.fill] barchart[bar.fill] superpose.fill regions Figure 72: Trellis settings with the symbol information altered. c CSIRO Australia, 2005 Course Materials and Exercises
  • 187.
    Advanced Graphics 187 Whitesideheating data External temperature Gasconsumption 0 2 4 6 8 10 1 2 3 4 5 6 Figure 73: Scatterplot of the whiteside data under the new Trellis settings. panel = panel.superpose, type = "b", main = "Stormer viscometer calibration data") Figure 74(a) displays the resulting plot for the three types of weight. To make this plot a little more informative, we add a key or legend to the plot (Fig- ure 74(b)). This key helps us identify the lines corresponding to each weight. Now we can conclude that for larger weights, it takes less time for an inner cylinder to perform a fixed number of revolutions than for smaller weights. For all three weights, the time taken appears to increase linearly with viscosity. > xyplot(Time ˜ Viscosity, stormer, groups = Wt, panel = panel.superpose, type = "b", main = "Stormer viscometer calibration data", key = list(columns = 3, text = list(paste(c("Weight: ", "", c CSIRO Australia, 2005 Course Materials and Exercises
  • 188.
    188 Advanced Graphics Stormerviscometer calibration data Viscosity Time 50 100 150 200 250 50 100 150 200 250 Stormer viscometer calibration data Viscosity Time 50 100 150 200 250 300 50 100 150 200 250 Weight: 20 gms 50 gms 100 gms (a) (b) Figure 74: Plot of time versus viscosity for three different types of weight (a) without a key and (b) with a key. ""),sort(unique(stormer$Wt)), "gms")), points = Rows(sps, 1:3), lines = Rows(sps, 1:3)) ) Adding Fitted Values The following script is an illustration of how fitted values can be added to a plot. In the example, we generate some data x, which represents the explanatory variable. We then generate a response y, which represents a quadratic expression of the x’s and add some error to the plot. We then produce a plot of the data with fitted values from fitting a spline overlayed. The result is displayed in Figure 75. > dat <- data.frame(x = rep(1:20, 6), f = factor(rep(1:6, each = 20))) > dat <- transform(dat, c CSIRO Australia, 2005 Course Materials and Exercises
  • 189.
    Advanced Graphics 189 y= 1 + (dat$x-10.5)ˆ2 + rnorm(120, sd = 10)) > fm <- lm(y ˜ f + poly(x, 2), dat) > dat$fit <- fitted(fm) > xyplot(y ˜ x | f, dat, subscripts = TRUE, as.table = TRUE, panel = function(x, y, subscripts, ...) { panel.xyplot(x, y, ...) llines(spline(x, dat$fit[subscripts]), col="orchid") }) Output Over Several Pages Producing output over several pages is not very well handled in R. Probably the simplest way to do this is to set the graphics parameter: > par(ask = TRUE) and manually save each page as it appears. See the example below for an illustration. Note the use of the function bringToTop() to force the plotting window to appear on top of all other windows on the desktop. > with(dat,for(i in unique(f)){ plot(x[f==i],y[f==i],xlab="x",ylab="y") lines(spline(x[f==i],fit[f==i]),col="red") title(main=paste("Data group",i)) bringToTop() } Hit <Return> to see next plot: Hit <Return> to see next plot: Hit <Return> to see next plot: ... c CSIRO Australia, 2005 Course Materials and Exercises
  • 190.
    190 Advanced Graphics x y 1 510 15 20 2 0 50 100 3 5 10 15 20 0 50 100 4 5 5 10 15 20 6 Figure 75: Plot of simulated data with fitted values from spline terms overlayed. c CSIRO Australia, 2005 Course Materials and Exercises
  • 191.
    Advanced Graphics 191 >par(ask = FALSE) Unfortunately, the ask=TRUE parameter does not work for trellis functions. One way around this is to record the History of graphs displayed using the History option in the graphics window. History -> Recording Alternatively, we can send these graphs to file using the % option, which automatically generates files with different file names, increasing by one each time a new graph is plot- ted. > trellis.device(win.metafile, width = 7, filename = "myPlots%02d.wmf") > xyplot(y ˜ x | f, dat, subscripts = TRUE, as.table = TRUE, panel = function(x, y, subscripts, ...) { panel.xyplot(x, y, ...) llines(spline(x, dat$fit[subscripts]), col="orchid") }, layout = c(2,1), aspect = "xy") > dev.off() Example: Volcanos in New Zealand The third example in this session explores a topographic map of the Maunga Whau Vol- cano in New Zealand. The data for this example was digitized from a map by Ross Ihaka. We begin with an image plot of the volcano terrain using the image function in R, setting colours using a predefined colour system terrain.colors. A contour is overlayed to highlight the hotspots of the volcano. The resulting plot is shown in Figure 76. > data(volcano) > x <- 10*(1:nrow(volcano)) > y <- 10*(1:ncol(volcano)) > image(x, y, volcano,col = terrain.colors(100), c CSIRO Australia, 2005 Course Materials and Exercises
  • 192.
    192 Advanced Graphics axes= FALSE) > contour(x, y, volcano, levels = seq(90, 200, by=5),add = TRUE, col = "peru") > axis(1, at = seq(100, 800, by = 100)) > axis(2, at = seq(100, 600, by = 100)) > box() > title(main = "Maunga Whau Volcano",font.main = 4) The image function is not part of the lattice library. However, we can achieve similar graphs using the trellis functions available in R. Here is how we might go about this. > length(x) [1] 87 > length(y) [1] 61 > dim(volcano) [1] 87 61 > vdat <- expand.grid(x = x, y = y) > vdat$v <- as.vector(volcano) > levelplot(v ˜ x*y, vdat, contour=T, main="levelplot()") > wireframe(v ˜ x*y, vdat, drape=TRUE, main="wireframe():default") > wireframe(v ˜ x*y, vdat, drape=TRUE, col.regions =rainbow(100), main="wireframe():rainbow") > wireframe(v ˜ x*y,vdat,drape=TRUE, col.regions=topo.colors(100), main="wireframe():topo.colors") Four types of plots are produced using the above piece of code. The first shown in Fig- ure 77(a) produces an image and an overlayed contour using default colours (heatmap) similar to what was produced by the image function. The second plot in Figure 77(b) produces a perspective mesh plot using default colours (heatmap) to show the ridges and gullies of the volcano. The third plot shown in Figure 77(c) is the same plot again but plotted with a different colour scheme (rainbow). The final plot shown in Figure 77(d) c CSIRO Australia, 2005 Course Materials and Exercises
  • 193.
    Advanced Graphics 193 x y 100200 300 400 500 600 700 800 100200300400500600 Maunga Whau Volcano Figure 76: Image plot of the Maunga Whau Volcano in New Zealand. White areas show extreme values of the volcano where volcanic activity is likely to take place. c CSIRO Australia, 2005 Course Materials and Exercises
  • 194.
    194 Advanced Graphics displaysa perspective mesh plot with a topographic colour scheme. A few notes on lattice graphics . . . • Lattice graphics are constructed all in one hit. It is generally impossible to add to an existing trellis (lattice) graph. • The functions build graphics objects and printing them produces graphics output. Printing must be done explicitly in loops or functions. • Separate panels are preferred, with shared axes. This acts as a powerful data inspec- tion device. • Lattice provides a vast array of arguments and these are best assimilated as and when needed. • All the action takes place inside the panel function. Using lattice graphics amounts to writing panel functions. Colour Palettes There are a range of color palettes predefined in R rainbow, terrain.colors, heat.colors, topo.colors, cm.colors, gray. We have already seen a couple of them in action. Run the demo.pal(), a function defined in the R-Help to view different colour palettes (Figure 78). For grey scale, the grey or gray functions can be used to allocate grey levels to a vector (Figure 79). > barplot(rep(1,20),col=gray((0:20)/20), main="Grey Scale Palette") User Defined Colour Palettes The pre-defined colour palettes are sufficient for most applications. However there are some occasions where you may want to define your own colour palette use the gplots package. Here is an example using the volcano dataset again. > require(gplots) > cols1 <- colorpanel(25,"green","yellow","red") > fr <- cut(volcano,breaks=quantile(volcano,0:25/25), include=T) c CSIRO Australia, 2005 Course Materials and Exercises
  • 195.
    Advanced Graphics 195 levelplot() x y 200400 600 800 100 200 300 400 500 94.12625 101.32250 101.32250 101.32250 108.51875 108.51875 108.51875 108.51875 115.71500 115.71500 122.91125 130.10750 137.30375 144.50000 151.69625 151.69625 158.89250 158.89250 166.08875 166.08875 166.08875 173.28500 180.48125 187.67750 194.87375 100 120 140 160 180 200 wireframe():default x y v 100 120 140 160 180 200 (a) (b) wireframe():rainbow x y v 100 120 140 160 180 200 wireframe():topo.colors x y v 100 120 140 160 180 200 (c) (d) Figure 77: Plots showing the contours of a New Zealand volcano using an array of trellis functions c CSIRO Australia, 2005 Course Materials and Exercises
  • 196.
    196 Advanced Graphics 510 15 color palettes; n= 16 i rainbow(n, start=.7, end=.1) heat.colors(n) terrain.colors(n) topo.colors(n) cm.colors(n) Figure 78: Colour palette produced using the demo.pal() function c CSIRO Australia, 2005 Course Materials and Exercises
  • 197.
    Advanced Graphics 197 GreyScale Palette 0.00.20.40.60.81.0 Figure 79: Grey scale palette. > plot(row(volcano),col(volcano),pch=15, col=cols1[fr],cex=1.5,xlab="",ylab="") # plot() > title(main="plot() with user defined colours") > detach("package:gplots") > cols2 <- gplots::colorpanel(25,"brown","yellow","white") > image(volcano,col=cols2, main="image() with user defined colours") # image() Figure 80 displays the resulting plots. Both plots are produced with user defined colours, however the plot in Figure 80(a) is produced using the plot command with a specified pixel size (cex=1.5) while the other in Figure 80(b) is produced using the image func- tion. Both produce satisfactory plots. c CSIRO Australia, 2005 Course Materials and Exercises
  • 198.
    198 Advanced Graphics 020 40 60 80 0102030405060 plot() with user defined colours 0.0 0.2 0.4 0.6 0.8 1.0 0.00.20.40.60.81.0 image() with user defined colours (a) (b) Figure 80: Image plots produced with (a) the plot function and (b) the image function for the volcano dataset using user defined palettes. Mathematical Expressions For many statistical and mathematical applications it is useful to place mathematical ex- pressions on graphs. This can be achieved using plotmath which is part of the grDevices package. Mathematical notation can be defined as an expression in any of the text-drawing func- tions (text, mtext or axis). Output is formatted in a similar way to TeX, so for TeX users, this transition is easy. For a complete overview of symbols see the help file on plotmath and run the demonstration. plotmath(): an Example Here is an example where mathematic expressions are required on the graph and in the title of the plot. We generate some data using the expression y = α2 + β2 2x. We generate x from a Normal distribution with a mean of zero and a standard deviation of 1. The resulting figure is shown in Figure 81. # Generate Data > x <- rnorm(5000) c CSIRO Australia, 2005 Course Materials and Exercises
  • 199.
    Advanced Graphics 199 >b <- 1 > y <- 1+b*x+rnorm(5000) # Plot Data > plot(x,y) # Place mathematical expressions > text(locator(1), expression(paste(y,"=",alphaˆ2+beta[2]ˆ2*x))) > title(main=substitute(paste("Coefficients: ",alpha,"=",1,",", beta[2],"=",b),list(b=b))) −4 −2 0 2 4 −4−20246 x y y=α2 + β2 2 x Coefficients: α=1,β2=1 Figure 81: An example of putting mathematical expressions on a plot. Maps, Coastlines and Co-ordinate Systems Obtaining maps and coastlines for a study region can be obtained from Geographical Information Systems (GIS) such as ARC View but may require some manipulation. Of- ten this can be quite tedious. An alternative and easy way to obtain coastlines that can c CSIRO Australia, 2005 Course Materials and Exercises
  • 200.
    200 Advanced Graphics bereadily plotted in R is to extract a coastline from the coastline extractor website. This was developed by Rich Signell and is currently hosted by the National Geophysical Data Center in Boulder Colorado. Go to: http://rimmer.ngdc.noaa.gov/mgg/coast/getcoast.html for more information. The website and data are free to use but need to be acknowledged in any publications or reports. The extractor program requires a range of latitudes and longitudes in your study region in order to extract the coastlines that you require. If no ranges are specified the entire set of coastlines for the world will be extracted and this is too big to use or manipulate. The website provides an option to save the data in S-PLUS format. This is suitable for input into R as it produces a text file with two columns: Longitudes and Latitudes that can be plotted once read in using the read.table command. Try it when you have time. When dealing with maps, it is important to think about the plotting region. Furthermore, it is paramount to have a scaling of the axes which is geometrically accurate. This can be achieved using the eqscplot function from the MASS library. eqscplot ”behaves like the plot function but shrinks the scale on one axis until geometrical accuracy is attained” (V&R, 2000). The following example shows what happens when inappropriate scales are used for plot- ting coastlines. The data used were extracted from the coastline extractor website and represent islands in Moreton Bay in South East Queensland, Australia. (This is a study region for some coral and substrate work.) # Read in Co-ordinates > MB.cl <- read.table("MB_coastline.txt") > names(MB.cl) <- c("Longitude","Latitude") # Using plot() > plot(MB.cl$Long,MB.cl$Lat,type="l", xlab="Longitude",ylab="Latitude") > title(main="Moreton Bay (plot() function)") # Using "eqscplot()" > eqscplot(MB.cl$Long,MB.cl$Lat,type="l", xlab="Longitude",ylab="Latitude") > title(main="Moreton Bay (eqscplot() function)") Figure 82(a) shows a plot of the mainland and surrounding coastlines using the plot function, which stretches the coastline out of proportion. The plot in Figure 82(b) is the result of using the eqscplot function that plots the coastlines in proportion and shows no distortion. c CSIRO Australia, 2005 Course Materials and Exercises
  • 201.
    Advanced Graphics 201 153.25153.30 153.35 153.40 −27.60−27.55−27.50−27.45−27.40−27.35 Longitude Latitude Moreton Bay (plot() function) 153.20 153.25 153.30 153.35 153.40 153.45 −27.60−27.55−27.50−27.45−27.40−27.35 Longitude Latitude Moreton Bay (eqscplot() function) (a) (b) Figure 82: Plot of mainland and islands in Moreton Bay using data extracted from the coastline extractor. The first plot in (a) is produce without appropriate scaling applied to each axis. The second plot in (b) is the result of appropriate scaling using the eqscplot function. c CSIRO Australia, 2005 Course Materials and Exercises
  • 203.
    Importing and Exporting203 Importing and Exporting Getting Stuff In There are a number of methods for reading data into R. Here is a summary: • scan() offers a low-level reading facility • read.table() can be used to read data frames from formatted text files • read.fwf() can be used to read in data files that have a fixed width format • read.csv() can be used to read data frames from comma separated variable files. • When reading from excel files, the simplest method is to save each worksheet sepa- rately as a csv file and use read.csv() on each. (Wimpy!) • A better way is to open a data connection to the excel file directly and use the odbc facilities The easiest form of data to import into R is a text file, but this is only useful for small to medium problems. The primary function for reading in data in R is the scan() function. This is the underlying function for other more convenient functions such as read.table(), read.fwf() and read.csv(). Each of these functions will be examined in more detail in the following sections. The Low-Level Input Function: scan() The simplest use of the scan() function is to read a vector of numbers: > vec <- scan() 1: 22 35 1.7 2.5e+01 77 6: Read 5 items > vec [1] 22.0 35.0 1.7 25.0 77.0 A blank line (two returns) signals the end of the input c CSIRO Australia, 2005 Course Materials and Exercises
  • 204.
    204 Importing andExporting Reading Characters with scan() The scan() function can also be used to read in characters. > chr <- scan(what = "", sep = "n") 1: This is the first string 2: This is the second 3: and another 4: that’s all we need for now 5: Read 4 items > chr [1] "This is the first string" [2] "This is the second" [3] "and another" [4] "that’s all we need for now" Mixed Characters and Numbers Reading in a mixture of character data and numbers can also be achieved using the scan() function. > lis <- scan(what = list(flag = "", x = 0, y = 0)) 1: a 10 3.6 2: a 20 2.4 3: a 30 1.2 4: b 10 5.4 5: b 20 3.7 6: b 30 2.4 7: Read 6 records > dat <- as.data.frame(lis) c CSIRO Australia, 2005 Course Materials and Exercises
  • 205.
    Importing and Exporting205 > dat flag x y 1 a 10 3.6 2 a 20 2.4 3 a 30 1.2 4 b 10 5.4 5 b 20 3.7 6 b 30 2.4 Importing Rectangular Grids: read.table The most convenient way to read in rectangular grids, spreadsheets or text files is using the read.table() function. This function allows you to specify a header argument, separators, how to deal with missing values and unfilled or blank lines. This function is only suitable for small-medium sized datasets and is unsuitable for larger numerical matrices. The functions read.csv or read.delim could also be used to read in comma delimited rectangular files. Furthermore, read.csv is often a better choice for reading in comma delimited text files that have been exported from excel. > samp1 <- read.csv("samp1.csv") > samp1[1:3,] ID Name Prob 1 1 a 0.812 2 2 b 0.982 3 3 c 0.725 Importing Fixed Width Formats: read.fwf Fixed width formats is an uncommon format for many datasets. Most datasets are tab or comma delimited. For this type of format, a vector of widths needs to be specified along with the separator. The function read.fwf writes out a temporary tab-separated file and then makes a call to read.table. This function is useful only for small data files. Here is an example: > dat.ff <- tempfile() c CSIRO Australia, 2005 Course Materials and Exercises
  • 206.
    206 Importing andExporting > cat(file=dat.ff,"12345678","abcdefgh",sep="n") > read.fwf(dat.ff,width=c(2,4,1,1)) V1 V2 V3 V4 1 12 3456 7 8 2 ab cdef g h > unlink(dat.ff) # clean up afterwards Editing Data The functions edit and fix allow you to make changes to data files using a default editor. This is useful for small datasets and for obtaining a snapshot of your data without writing to file or printing to the screen. The fix function allows you to make edits and then assigns the new edited version to the workspace > fix(samp1) The edit function invokes a text editor on the object, the result of which is a copy that can be assigned to a new object. > samp1.new <- edit(samp1) Importing Binary Files Binary data written from another statistical package can be read into R (but really should be avoided). The R package foreign provides import facilities for: EpiInfo, Minitab, S-Plus, SAS, SPSS, Stat and Systat binary files. Here is a list of them. • read.epiinfo() reads in EpiInfo text files • read.mtp() imports Minitab worksheets • read.xport() reads in SAS files in TRANSPORT format • read.S() reads in binary objects produced by S-PLUS 3.x, 4.x or 2000 on (32- bit) Unix or Windows Data dumps from S-PLUS 5.x and 6.x using dump(..., oldStyle=T) can be read using the data.restore function • read.spss() reads in files from SPSS created by the save and export commands • read.dta() reads in binary Stata files c CSIRO Australia, 2005 Course Materials and Exercises
  • 207.
    Importing and Exporting207 • read.systat() reads in rectangular files saved in Systat Reading in Large Data Files There are some limitations to the types of files that R can read in. Large data files can be a problem and here is the reason why. R stores objects and datasets in memory. So several copies of a dataset can be kept when executing a function. Data objects > 100Mb can cause R to run out of memory. Database management systems may be more appropriate for extracting and summarising data. Open Database Connectivity (ODBC) allows a user to access data from a variety of database management systems. There are several packages available that provide different levels of functionality: copy- ing, data selection, querying and retrieval. Most however, relate to specific relational databases. RODBC is a package that can deal with a few: Microsoft SQL Server, Access, MySQL (on Windows), Oracle and (also Excel, Dbase and text files). Many simultaneous connections are possible with RODBC. The RODBC Package As mentioned above, RODBC is a package that allows you to connect with a database and retrieve information. Important functions within RODBC include • Establish connections to ODBC databases odbcConnect, odbcConnectAccess, odbcConnectDbase, odbcConnectExcel • Listing of tables on an ODBC database sqlTables • Reads a table on an ODBC database sqlFetch • Queries an ODBC database and retrieves the results sqlQuery Importing Excel Spreadsheets into R: An Example The RODBC library allows you to import multiple sheets directly from an excel file (Note, sheet names cannot contain any spaces for this feature to work!). Here is an example. c CSIRO Australia, 2005 Course Materials and Exercises
  • 208.
    208 Importing andExporting > library(RODBC) > con <- odbcConnectExcel("ExampleData.xls") # open # the connection > con RODB Connection 1 Details: case=nochange DBQ=D:DataMy DocumentsSlidesR CourseExampleData.xls DefaultDir=D:DataMy DocumentsSlidesR Course Driver={Microsoft Excel Driver (*.xls)} DriverId=790 MaxBufferSize=2048 PageTimeout=5 What tables (spreadsheets) are available? Using the sqlTables command, we find that there are two tables available, one called samp1 and a second called samp2. > sqlTables(con) TABLE_CAT 1 D:DataMy DocumentsSlidesR CourseExampleData 2 D:DataMy DocumentsSlidesR CourseExampleData TABLE_SCHEM TABLE_NAME TABLE_TYPE REMARKS 1 <NA> samp1$ SYSTEM TABLE <NA> 2 <NA> samp2$ SYSTEM TABLE <NA> > samp1 <- sqlFetch(con, "samp1") > samp2 <- sqlFetch(con, "samp2") > odbcCloseAll() # close the connection c CSIRO Australia, 2005 Course Materials and Exercises
  • 209.
    Importing and Exporting209 Getting Stuff Out Writing objects out is a much more easier task than reading files in. The function cat is the underlying function used to export data. The function can either write objects to file or alternatively, print the object to the screen. The sink function can be used to write data to file as well. The print function prints the object and returns it invisibly. The function write, writes a vector or matrix to file with a specified number of columns. For writing out matrices or data frames, write.table is recommended, however for very large matrices, write.matrix (MASS library) is the better option. The function write.matrix has the option of writing the matrix in blocks to cut down on the memory usage associated with writing large datasets to file. The cat Function The cat function is very useful for printing objects to the screen. For example, > cat("Hello Worldn") Hello World Alternatively, we could write text to file, > cat("Hello Worldn",file="output.txt") Here is another example where we are writing text and output to the screen. > pval <- 1-pchisq(2,1) > pval [1] 0.1572992 > cat("Test for Independence: p-value=", round(pval,3),"n") Test for Independence: p-value= 0.157 The sink Function The sink function can be used to send objects and text to a file. This is useful when you want to look at the contents of an object or function that may be too big to display on screen. Here is an example c CSIRO Australia, 2005 Course Materials and Exercises
  • 210.
    210 Importing andExporting > sink("output.txt") > sample(1:100,100,replace=T) > letters[1:10] > sink() Contents of output.txt [1] 29 19 8 35 82 29 35 3 61 19 45 58 49 71 [15] 38 31 82 64 64 16 19 8 26 73 33 40 3 35 [29] 25 9 13 16 52 40 63 59 24 22 78 16 34 50 [43] 5 54 2 22 67 96 33 52 50 72 56 43 23 81 [57] 68 95 56 15 6 42 89 82 92 10 79 4 99 8 [71] 57 29 72 87 98 24 100 82 38 59 69 40 45 40 [85] 56 18 45 76 29 76 35 74 8 76 41 69 8 29 [99] 9 27 [1] "a" "b" "c" "d" "e" "f" "g" "h" "i" "j" The write.table Function The function write.table can be used to write datasets to file. The function is more elaborate than cat, print and sink. We present two examples for writing data explicitly out to a file. Example 1: Creating a connection before writing > con <- file("myData.csv", "w+") > write.table(myData, con, sep = ",") > close(con) Example 2: Writing data out explicitly > write.table(myData, "myData.txt") c CSIRO Australia, 2005 Course Materials and Exercises
  • 211.
    Importing and Exporting211 The write.matrix Function For larger datasets, write.matrix may be more efficient in terms of how memory is handled. Data can be output in blocks using the blocksize argument as shown in the following script. > require(MASS) > write.matrix(myData,file="myData.csv",sep=",", blocksize=1000) Getting Out Graphics There are four ways to output graphics from R. Some are more straight forward than oth- ers. and it will depend on how you want to use and display the graphics. The following lists the choices available: 1. The postscript function will start a graphics device and produce an encapsulated postscript file containing the graphic • This is a flexible function that allows you to specify the size and orientation of the graphic. • These can be incorporated directly into LaTeX using the includegraphics command > postscript("graph.ps",paper="a4") > hist(rnorm(10000)) > dev.off() windows 2 Other functions are available within R and can be used in a similar way: windows, pdf, pictex, png, jpeg, bmp and xfig 2. A simpler, less flexible version is achieved via the R Graphics window. A graphic can be saved by going File -> Save As Many options are listed: metafile, postscript, pdf, png, bitmap or jpeg c CSIRO Australia, 2005 Course Materials and Exercises
  • 212.
    212 Importing andExporting 3. Graphics can be copied to the clipboard and pasted into Windows applications such as Word, Excel or Powerpoint. This is the most useful way to get graphics into presentations. File -> Copy to the clipboard -> as Metafile 4. Printing directly from R. This can be achieved using the print feature on the R Graphics Window. c CSIRO Australia, 2005 Course Materials and Exercises
  • 213.
    Mixed Effects Models:An Introduction 213 Mixed Effects Models: An Introduction Linear Mixed Effects Models Example: Petroleum Data The Petroleum dataset of N H Prater is described in Appendix 1. It contains information on ten samples of crude oil, which were partitioned and tested for yield at different end points. The samples themselves are classified by specific gravity (SG), vapour pressure (VP) and volatility as measured by the ASTM 10% point (V10). We investigate this data for two specific reasons. First, we are interested in estimating the rate of rise in yield (Y) with end point (EP). Second, we are interested in explaining differences between samples in terms of external measures. The plot shown in Figure 83 shows a scatterplot of yield versus end point broken up into panels by crude oil. Least square lines are overlayed on each plot to look for linearity. > xyplot(Y ˜ EP | No, petrol, panel = function(x, y, ...) { panel.xyplot(x, y, ...) panel.lmline(x, y, col = 3, lty = 4) }, as.table = T, aspect = "xy", xlab = "End point", ylab = "Yield (%)") We can see quite evidently that straight lines fitted to the data is reasonable, but can the slopes be regarded as parallel? To investigate this question we fitted two types of models. The first fits separate slopes for crude oil, while the second just fits main effects terms. The analysis of variance table below suggests that parallel slopes cannot be discarded. > petrol.lm1 <- aov(Y ˜ No/EP, petrol) > petrol.lm2 <- aov(Y ˜ No + EP, petrol) > anova(petrol.lm2, petrol.lm1) Analysis of Variance Table c CSIRO Australia, 2005 Course Materials and Exercises
  • 214.
    214 Mixed EffectsModels: An Introduction End point Yield(%) 10 20 30 40 A 250 300 350 400 B C 250 300 350 400 D E F G 10 20 30 40 H 250 300 350 400 10 20 30 40 I J Figure 83: Scatterplot of yield versus end point broken up by crude oil. c CSIRO Australia, 2005 Course Materials and Exercises
  • 215.
    Mixed Effects Models:An Introduction 215 Model 1: Y ˜ No + EP Model 2: Y ˜ No/EP Res.Df RSS Df Sum of Sq F Pr(>F) 1 21 74.132 2 12 30.329 9 43.803 1.9257 0.1439 Can we explain differences in intercepts? To investigate this question we fit a multiple linear model to the data with crude oil removed and examine the fit against the model containing just crude oil and end point. The p-value is significant at the 5% level of significance and suggests that there is no real difference between intercepts. > petrol.lm3 <- aov(Y ˜ . - No, petrol) > anova(petrol.lm3, petrol.lm2) Analysis of Variance Table Model 1: Y ˜ (No + SG + VP + V10 + EP) - No Model 2: Y ˜ No + EP Res.Df RSS Df Sum of Sq F Pr(>F) 1 27 134.804 2 21 74.132 6 60.672 2.8645 0.03368 * We now attempt to look at the predictions from all three models: (1) Separate regression lines for each type of crude oil (green); (2) Separate intercept terms but a common slope (blue); (3) Common intercept term and common slope (red). Figure 84 presents the results from xyplot which compares the three models. > tmp <- update(petrol.lm2, .˜.-1) > a0 <- predict(tmp, type="terms")[, "No"] > b0 <- coef(tmp)["EP"] > a <- with(petrol,cbind(1, SG, VP, V10)) %*% coef(petrol.lm3)[1:4] > b <- coef(petrol.lm3)["EP"] c CSIRO Australia, 2005 Course Materials and Exercises
  • 216.
    216 Mixed EffectsModels: An Introduction > xyplot(Y ˜ EP | No, petrol, subscripts = T, panel = function(x, y, subscripts, ...) { panel.xyplot(x, y, ...) panel.lmline(x, y, col = "green", lty = 1) panel.abline(a0[subscripts][1], b0, col = "blue", lty = 2) panel.abline(a[subscripts][1], b, col = "red", lty = 3) }, as.table = T, aspect = "xy", xlab = "End point", ylab = "Yield (%)", key=list(lines= list(lty = 1:3, col = c("green","blue","red")),columns=3, text=list(c("separate","parallel","explained")))) Adding a Random Term The external (sample-specific) variables explain much of the differences between the in- tercepts, but there is still significant variation between samples unexplained. One natural way to model this is to assume that, in addition to the systematic variation between in- tercepts explained by regression on the external variables, there is a random term as well. We assume this term to be normal with zero mean. Its variance measures the extent of this additional variation. For more information about fitting random effect terms in the model see Pinheiro & Bates (2000). Fitting random effect terms in R can be achieved using the nlme library and more specific, the lme function as shown below. > require(nlme) > petrol.lme <- lme(Y ˜ SG + VP + V10 + EP, data = petrol, random = ˜1 | No) > summary(petrol.lme) Linear mixed-effects model fit by REML c CSIRO Australia, 2005 Course Materials and Exercises
  • 217.
    Mixed Effects Models:An Introduction 217 End point Yield(%) 10 20 30 40 A 250 300 350 400 B C 250 300 350 400 D E F G 10 20 30 40 H 250 300 350 400 10 20 30 40 I J separate parallel explained Figure 84: Comparison of three models using xyplot c CSIRO Australia, 2005 Course Materials and Exercises
  • 218.
    218 Mixed EffectsModels: An Introduction Random effects: Formula: ˜ 1 | No (Intercept) Residual StdDev: 1.445028 1.872146 Fixed effects: Y ˜ SG + VP + V10 + EP Value Std.Error DF t-value p-value (Intercept) -6.134690 14.55592 21 -0.42146 0.6777 SG 0.219397 0.14696 6 1.49295 0.1861 VP 0.545861 0.52059 6 1.04855 0.3348 V10 -0.154244 0.03997 6 -3.85929 0.0084 EP 0.157177 0.00559 21 28.12841 0.0000 This model fits random intercept terms for crude oil and fixed terms for the other ex- planatory variables in the model. By default, the model is fitted using restricted maxi- mum likelihood (REML). The output summarises the variation between crude oil sam- ples (σ2 C = 2.088) and other variation not explained by the model (σ2 = 3.505). Fixed effect terms are summarised in a table beneath the random effect terms in the usual way. Only endpoint and volatility are important predictors in the model. If we compare these results with the previous model shown below, we notice that both SG and VP have changed considerably in terms of their level of significance. In the previous fixed effects model, SG was a significant predictor but in the mixed effects model, it is no longer significant. This suggests that most of the variability that was being explained by SG was captured in the random effect term in the model. This indicates that there are differences between crude oil samples. > round(summary.lm(petrol.lm3)$coef, 5) Value Std. Error t value Pr(>|t|) (Intercept) -6.82077 10.12315 -0.67378 0.50618 SG 0.22725 0.09994 2.27390 0.03114 VP 0.55373 0.36975 1.49756 0.14585 V10 -0.14954 0.02923 -5.11597 0.00002 EP 0.15465 0.00645 23.99221 0.00000 c CSIRO Australia, 2005 Course Materials and Exercises
  • 219.
    Mixed Effects Models:An Introduction 219 Fixed effects: Y ˜ SG + VP + V10 + EP Value Std.Error DF t-value p-value (Intercept) -6.134690 14.55592 21 -0.42146 0.6777 SG 0.219397 0.14696 6 1.49295 0.1861 VP 0.545861 0.52059 6 1.04855 0.3348 V10 -0.154244 0.03997 6 -3.85929 0.0084 EP 0.157177 0.00559 21 28.12841 0.0000 Adding Random Slopes The deviation from parallel regressions was not significant, but still somewhat suspicious. We might consider making both the intercept and the slope have a random component. This is also achieved using the random argument in the lme model as shown below. > petrol.lme2 <- lme(Y ˜ SG + VP + V10 + EP, data = petrol, random = ˜ 1 + EP | No) > summary(petrol.lme2) > summary(petrol.lme2) Linear mixed-effects model fit by REML Random effects: Formula: ˜1 + EP | No Structure: General positive-definite, Log-Cholesky parametrization StdDev Corr (Intercept) 1.728521061 (Intr) EP 0.003301084 -0.537 Residual 1.853930438 Fixed effects: Y ˜ SG + VP + V10 + EP c CSIRO Australia, 2005 Course Materials and Exercises
  • 220.
    220 Mixed EffectsModels: An Introduction Value Std.Error DF t-value p-value (Intercept) -6.230273 14.633344 21 -0.425759 0.6746 SG 0.219106 0.147953 6 1.480914 0.1891 VP 0.548149 0.523157 6 1.047772 0.3351 V10 -0.153937 0.040216 6 -3.827752 0.0087 EP 0.157249 0.005667 21 27.749578 0.0000 The results suggest substantial variation between crude oil samples as indicated before (σ2 C = 2.99) and only slight variation attributed to slopes. Other unexplained variation is estimated to be around 3.4. Once again, only V10 and EP are significant in the fixed effects summary. Generalized Linear Mixed Effects Models Generalized linear mixed effects models (GLMMs) are an extension to linear mixed effects models that allow for non-normal error structures. The glmmPQL function within the MASS library fits GLMMs. We discuss these models in the context of a marine example. Example: Great Barrier Reef The recovery of benthos after trawling on the Great Barrier Reef is an important research topic in Australia. To investigate the impact of trawling on benthos a longitudinal study was devised consisting of six control plots and six impact plots. These were visited two times prior to treatment and four times after treatment. Inspection of the trawled area was conducted by benthic sled. The total number of animals of each species was counted for each transect and the mean trawl intensity in the transect was recorded along with the total swept area of the sled video camera, topography and other variables. The Model The model considered is a generalized linear mixed effects model for the total count Ypmd for a control or pre-experiment treatment plot using a Poisson distribution as follows: Ypmd|Cm, Emp ∼ Po(exp(τd + Cm + Emp)), Cm ∼ N(0, σ2 c ), Emp ∼ N(0, σ2 E) In the above equation, Ypmd represents the total count taken at plot p, month m and depth d; τd is the treatment at depth d; Cm represents the cruise conducted in month m, Emp represents an error term. c CSIRO Australia, 2005 Course Materials and Exercises
  • 221.
    Mixed Effects Models:An Introduction 221 The random terms in the model are important as they allow for uncontrolled influences due to the particular cruise and plot. After adjusting for this variability it is envisaged that the true effects due to trawling and recovery can be more easily disentangled. For a post-experiment treatment plot the distribution is similar, but the Poisson mean has additional spline terms in mean trawl intensity (ns(t)) and a factor term to allow for recovery (γm). Ypmd|Cm, Emp ∼ Po(exp(τd + ns(t) + γm + Cm + Emp)) Some Functions and Data Before fitting the model, some manipulation of the data is required. Furthermore, func- tions for setting knots in spline terms for the post-experiment treatment plot are required. These are set out below. > Species <- scan("SpeciesNames.csv", what = "") > Benthos <- read.csv("Benthos.csv") > match(Species, names(Benthos)) [1] 13 16 20 21 22 23 27 29 30 31 34 37 39 40 42 44 45 48 These first few lines identify rows in which species names from the Species data file match those in the Benthos data file. The bin function shown below, converts a factor into a matrix of treatment contrasts. Try running it on the Time variable in the Benthos dataset. > bin <- function(fac, all = F) { # # binary matrix for a factor # fac <- as.factor(fac) X <- outer(fac, levels(fac), "==") + 0 dimnames(X) <- list(NULL,paste("B",1:ncol(X),sep="")) if(all) X else X[, -1] } The nsi function sets up knots for variables based on quantiles of the data. It temporarily attaches the splines library to construct natural splines of the data. The guard function c CSIRO Australia, 2005 Course Materials and Exercises
  • 222.
    222 Mixed EffectsModels: An Introduction sets values less than -5 to missing. This is used in the plotting routines that follow. > nsi <- function(x, k = 3, Intensity = Benthos$Intensity){ # # natural spline in intensity # knots <- as.vector(quantile(unique(Intensity),0:k/k)) splines::ns(x, knots = knots[2:k], Boundary.knots = knots[c(1, k + 1)]) } > guard <- function(x) ifelse(x < -5, NA, x) Setting up the Prediction Data The following piece of code massages the data into a format for fitting the model and ob- taining predictions. It creates transformations of the data and joins them with the existing data to form a new prediction dataset, newData. > vals <- with(Benthos, tapply(Intensity, Impact, mean)) > msa <- with(Benthos, mean(SweptArea)) > newData <- Benthos[, c("Cruise", "Plot", "Months", "Treatment", "Time", "Impact", "Topography", "Unity")] > newData <- transform(newData, Months = as.numeric(as.character(Months)), Intensity = vals[factor(Impact)], SweptArea = rep(msa, nrow(Benthos))) > newData <- with(newData, newData[order(Months), ]) The Key Species To get a listing of the key species in the dataset, the print function can be used. These are names of some columns in the Benthos data frame. We need to fit the master model for each and produce plots of the fixed and random effects c CSIRO Australia, 2005 Course Materials and Exercises
  • 223.
    Mixed Effects Models:An Introduction 223 > print(Species, quote = F) [1] Alcyonacea Annella.reticulata [3] Ctenocella.pectinata Cymbastela.coralliophila [5] Dichotella.divergens Echinogorgia.sp. [7] Hypodistoma.deeratum Ianthella.flabelliformis [9] Junceella.fragilis Junceella.juncea [11] Nephtheidae Porifera [13] Sarcophyton.sp. Scleractinia [15] Solenocaulon.sp. Subergorgia.suberosa [17] Turbinaria.frondens Xestospongia.testudinaria The Trick: Fitting Multiple Similar Models In order to fit multiple similar models we need to set up a function. The following piece of code defines the GLMM that was described above. The Quote() function is required because it tells R to treat everything between the brackets as text. If the Quote() function is not used, R will try to evaluate the right hand side and we do not want to do this yet. > fitCommand <- Quote({ fm <- glmmPQL(Species ˜ Topography + I(Impact * cbind(nsi(Intensity), bin(Time))) + offset(log(SweptArea)), random = ˜1|Cruise/Plot, family = poisson, data = Benthos, verbose = T) }) Putting the Trick to Work To put this trick to work we need to construct a manual loop and we start with defining spno to equal 1. > spno <- 1 ### --- start of (manual) main loop > mname <- paste("GLMM", Species[spno], sep=".") c CSIRO Australia, 2005 Course Materials and Exercises
  • 224.
    224 Mixed EffectsModels: An Introduction > sname <- Species[spno] > thisFitCommand <- do.call("substitute", list(fitCommand, list(fm = as.name(mname), Species = as.name(sname)))) > eval(thisFitCommand) > print(spno <- spno + 1) [1] 2 ### --- end of main loop > objects(pat = "GLMM.*") [1] "GLMM.Alcyonacea" The mname and sname objects get the model name, which will store the model results and species name respectively. The do.call function executes a function call from the name of the function and a list of arguments passed to it. The function being executed here is the substitute function. This function substitutes the values of fm and Species into the fitCommand function. The eval function simply evaluates the function with those substitutions in place. We then move on to the next species and repeat for all available species. Try running this for a few species and examine results. Here, we have only run it for one species. This is basically a clever way of repeating analyses for different species without having to type in the model each time. Plots We now examine some plots of the fitted model and predictions using data from one of the species, Alcyonacea. The first few lines form predictions at different levels of grouping. When level=0, the predictions are derived at the population level and do not include random effect terms. By default, predictions are constructed at the highest grouping level and are based on fixed and random effects. Note, the offset term is also added to the predictions. > pfm <- predict(GLMM.Alcyonacea, newData) + log(newData$SweptArea) > pfm0 <- predict(GLMM.Alcyonacea, newData, level=0) + log(newData$SweptArea) > graphics.off() The plot of predictions for fixed and random effects and fixed effects only is shown in c CSIRO Australia, 2005 Course Materials and Exercises
  • 225.
    Mixed Effects Models:An Introduction 225 Figures 85 and Figures 86 respectively. This was constructed using the following piece of code. > trellis.device() > trellis.par.set(col.whitebg()) > xyplot(guard(pfm) ˜ Months|Treatment*Topography, newData, groups = Plot, panel = panel.superpose, type="b", main = "Alcyonacea", ylab = "log(mean)", sub = "fixed and random effects") > trellis.device() > trellis.par.set(col.whitebg()) > xyplot(exp(pfm0) ˜ Months|Treatment*Topography, newData, groups = Plot, panel = panel.superpose, type="b", main = "Alcyonacea", ylab = "mean", sub = "fixed effects only") The results indicate some variation between cruises as well as between shallow and deep plots (Figure 85). After adjusting for the variation between cruises and plots within cruises, not much can be explained by the fixed effects (Figure 86. There does however, indicate a sharp decline in the mean number of species in the impacted site after approx- imately 10 months. This is particularly evident in deep waters but soon recovers at about 20 months. Variance Components A closer look at the variance components shows some variation explained by cruise and plot within cruise, however, only slight. Most of the variation is unexplained, indicating that large proportion of variation is not being adequately explained by this model. > summary(GLMM.Alcyonacea, corr = F) Linear mixed-effects model fit by maximum likelihood Data: Benthos AIC BIC logLik 339.7326 371.9182 -157.8663 c CSIRO Australia, 2005 Course Materials and Exercises
  • 226.
    226 Mixed EffectsModels: An Introduction Alcyonacea fixed and random effects Months log(mean) 0 20 40 60 1 2 3 4 5 Control Deep Impact Deep Control Shallow 0 20 40 60 1 2 3 4 5 Impact Shallow Figure 85: Plot of fixed and random effects c CSIRO Australia, 2005 Course Materials and Exercises
  • 227.
    Mixed Effects Models:An Introduction 227 Alcyonacea fixed effects only Months mean 0 20 40 60 5 10 15 20 25 Control Deep Impact Deep Control Shallow 0 20 40 60 5 10 15 20 25 Impact Shallow Figure 86: Plot of fixed effects only c CSIRO Australia, 2005 Course Materials and Exercises
  • 228.
    228 Mixed EffectsModels: An Introduction Random effects: Formula: ˜1 | Cruise (Intercept) StdDev: 0.7587749 Formula: ˜1 | Plot %in% Cruise (Intercept) Residual StdDev: 0.591846 2.495568 Variance function: Structure: fixed weights Formula: ˜invwt Fixed effects: Alcyonacea ˜ Topography + I(Impact * cbind(nsi(Intensity), bin(Time))) + offset(log(SweptArea)) For this study, the model produces a result where the components of variance are smaller than the underlying Poisson component. This type of model is a useful way of isolating various parts of the model to reveal (perhaps speculatively) the fixed pattern. It is also a good way of handling overdispersion. There is a close connection between GLMMs and Negative Binomial Models but this is somewhat controversial. The inference process is still a matter of debate. Example: Muscle Data The muscle dataset can be viewed using a scatterplot of log(length) versus concentra- tion of calcium chloride broken down by heart muscle strip (Figure 87). The dataset is described in Appendix I. > xyplot(log(Length) ˜ Conc | Strip, muscle, as.table = T, xlab = "CaCl concentration") Initial Fit: Fixed Effects Only One model that we may consider fitting is a fixed effects model of the form log(lij) = αj + βjρcij + ǫ c CSIRO Australia, 2005 Course Materials and Exercises
  • 229.
    Mixed Effects Models:An Introduction 229 CaCl concentration log(Length) 1.0 1.5 2.0 2.5 3.0 3.5 S01 1 2 3 4 S02 S03 1 2 3 4 S04 S05 S06 S07 S08 S09 1.0 1.5 2.0 2.5 3.0 3.5 S10 1.0 1.5 2.0 2.5 3.0 3.5 S11 S12 S13 S14 S15 S16 S17 S18 S19 1.0 1.5 2.0 2.5 3.0 3.5 S20 1 2 3 4 1.0 1.5 2.0 2.5 3.0 3.5 S21 Figure 87: Plot of log(length) versus concentration of calcium chloride broken down by heart muscle. c CSIRO Australia, 2005 Course Materials and Exercises
  • 230.
    230 Mixed EffectsModels: An Introduction where lij is the length of the strip and cij is the concentration for observation i and strip j. If we fit this as a fixed effects model, we need to estimate 43 parameters but we only have 61 data points. Therefore, special care needs to be taken with fitting the model. We use the plinear algorithm in the non-linear least squares function to simplify the model specification and to make the fitting process more robust. In this type of model we only need to specify the non-linear parameters and then re-fit the model in a standard way to simplify predictions. Here is how we do this. > X <- model.matrix(˜Strip - 1, muscle) > muscle.nls1 <- nls(log(Length) ˜ cbind(X, X*rhoˆConc), muscle, start = c(rho = 0.1), algorithm = "plinear", trace = T) ...... > b <- as.vector(coef(muscle.nls1)) > init <- list(rho = b[1],alpha = b[2:22], beta = b[23:43]) > muscle.nls2 <- nls(log(Length) ˜ alpha[Strip] + beta[Strip]*rhoˆConc, muscle, start = init, trace = T) ...... Prediction and Presentation of Fit We present the results from this model fit in Figure 88 using the following piece of code. > Muscle <- expand.grid(Conc = seq(0.25, 4, len=20), Strip = levels(muscle$Strip), Length = 0) > Muscle <- rbind(muscle, Muscle) > Muscle <- with(Muscle, Muscle[order(Strip, Conc), ] > Muscle$fit <- predict(muscle.nls2, Muscle) > xyplot(fit ˜ Conc|Strip, Muscle, type = "l", subscripts = T, prepanel = function(x, y, subscripts) c CSIRO Australia, 2005 Course Materials and Exercises
  • 231.
    Mixed Effects Models:An Introduction 231 list(xlim = range(x), ylim = range(y, Muscle$fit[subscripts]), dx = NULL, dy=NULL), panel = function(x, y, subscripts, ...) { panel.xyplot(x, y, ...) panel.points(x, log(Muscle$Length[subscripts])) }, as.table = T, ylab = "log(Length)", xlab = "CaCl concentration") The plot indicates that there is an increase in length (on the log scale) as the concentration increases up to 1.5 for most strips. However, the impact levels off at a length of approxi- mately 3 (on the log scale). Fitting a Mixed Effects Model A mixed effects model may be more sensible for this application as we can fit random terms for the α’s and β’s within each strip, therefore reducing the number of parameters that need to be estimated. The following piece of code fits the non-linear mixed effects model and plots the results, which are shown in Figure 89. Most of the variation is exhibited by the non-linear term in the model, β. This is confirmed in the summary of the fit of the model shown below. > ival <- sapply(init, mean) > muscle.nlme <- nlme(log(Length) ˜ alpha + beta*rhoˆConc, muscle,fixed = rho+alpha+beta ˜ 1, random = alpha + beta ˜ 1|Strip, start = ival) > Muscle$RandomFit <- predict(muscle.nlme, Muscle) > xyplot(RandomFit ˜ Conc|Strip, Muscle, type = "l", subscripts = T, xlim = with(Muscle,range(Conc)), ylim = with(Muscle,range(RandomFit,fit,log(muscle$Length))), c CSIRO Australia, 2005 Course Materials and Exercises
  • 232.
    232 Mixed EffectsModels: An Introduction CaCl concentration log(Length) −2 −1 0 1 2 3 S01 1 2 3 4 S02 S03 1 2 3 4 S04 S05 S06 S07 S08 S09 −2 −1 0 1 2 3 S10 −2 −1 0 1 2 3 S11 S12 S13 S14 S15 S16 S17 S18 S19 −2 −1 0 1 2 3 S20 1 2 3 4 −2 −1 0 1 2 3 S21 Figure 88: Results from the non-linear least squares fit. c CSIRO Australia, 2005 Course Materials and Exercises
  • 233.
    Mixed Effects Models:An Introduction 233 par.strip.text = list(lines=1,cex=0.7), panel = function(x, y, subscripts, ...) { panel.xyplot(x, y, ...) panel.lines(x, Muscle$fit[subscripts], col=2,lty=2) panel.points(x, log(Muscle$Length[subscripts])) }, as.table = T, ylab = "log(Length)", xlab = "CaCl concentration") > summary(muscle.nlme) Nonlinear mixed-effects model fit by maximum likelihood Model: log(Length) ˜ alpha + beta * rhoˆConc ... Random effects: Formula: list(alpha ˜ 1, beta ˜ 1) ... StdDev Corr alpha 0.16991613 alpha beta 0.88268574 0.35 Residual 0.07692169 Fixed effects: rho + alpha + beta ˜ 1 Value Std.Error DF t-value p-value rho 0.094083 0.01349832 37 6.96996 0 alpha 3.363546 0.04486974 37 74.96247 0 beta -2.817441 0.29503865 37 -9.54940 0 Some final comments are noted below: • Non-linear regression offers a way of integrating empirical and process models. If different kinds of non-linear regressions are to be repeatedly done then some invest- ment in selfStart models pays off. • The plinear algorithm offers an effective way of using the simplicity of linear parameters. c CSIRO Australia, 2005 Course Materials and Exercises
  • 234.
    234 Mixed EffectsModels: An Introduction CaCl concentration log(Length) −1 0 1 2 3 S01 1 2 3 S02 S03 1 2 3 S04 S05 S06 S07 S08 S09 −1 0 1 2 3 S10 −1 0 1 2 3 S11 S12 S13 S14 S15 S16 S17 S18 S19 −1 0 1 2 3 S20 1 2 3 −1 0 1 2 3 S21 Figure 89: Results of non-linear mixed effects model for the Muscle dataset c CSIRO Australia, 2005 Course Materials and Exercises
  • 235.
    Mixed Effects Models:An Introduction 235 • Random effects can be very tricky, but they offer a way of borrowing strength from one group to another, in order to gain a more holistic representation of the process generating the data. c CSIRO Australia, 2005 Course Materials and Exercises
  • 237.
    Programming 237 Programming Techniques forprogramming in R are described extensively by Venables & Ripley (2000) in the S Programming book. We will touch on a few aspects in this session. The S programming book covers a number of topics, from the S language to developing classes and incorporating programs. The chapters are summarised below. 1 Introduction 1 2 The S Language: Syntax and Semantics 5 3 The S Language: Advanced Aspects 39 4 Classes 75 5 New-style Classes 99 6 Using Compiled Code 123 7 General Strategies and Extended Examples 151 8 S Software Development 179 9 Interfaces under Windows 205 A Compiling and Loading Code 235 B The Interactive Environment 247 C BATCH Operation 253 References 255 Index 257 Introductory Example We illustrate some of the programming features in R through the following introductory example. Example: How many balls of diameter 2 can you fit inside a box of side 2? To answer this question we need to know how to calculate the volume of a sphere and the volume of the cube. The volume of a sphere of side r is πd/2 rd Γ(d/2 + 1) c CSIRO Australia, 2005 Course Materials and Exercises
  • 238.
    238 Programming where dis the number of dimensions and r = 1 (for this example). The volume of the cube is 2d . The proportion (p) of the cube occupied by the sphere is πd/2 Γ(d/2 + 1)d2 Therefore the maximum number (N) is Γ(d/2 + 1)2d πd/2 Figure 90 graphically portrays the problem for the scenario when d = 3 and r = 1 and indicates that nearly 2 balls can fit in a cube of size 2. Figure 90: Illustration of the problem when d = 3 and r = 1. To calculate the relative volume we can write a function in R as follows: > rvball <- function(d) exp(d/2 * log(pi) - d * log(2) - lgamma(d/2 + 1)) This function takes on one argument, d and evaluates the volume for this value. The function is also vectorized so we can check several cases at once: c CSIRO Australia, 2005 Course Materials and Exercises
  • 239.
    Programming 239 > structure(floor(1/rvball(1:10)),names = 1:10) 1 2 3 4 5 6 7 8 9 10 1 1 1 3 6 12 27 63 155 401 Consider now how we might go about checking this relative volume formula by simula- tion. 1. Sample n points at random in the origin-centred cube. 2. Calculate how many of them are closer to the origin than 1 in the sense of Euclidean distance, say k, Return k and n, but can we make it behave like the ratio k/n when that would be convenient? We allow for large numbers of trials but conduct them in blocks so as not to use too much memory all at once. The object will carry information about itself, including how it was generated. The object has a class so we can provide methods for key generic functions that allow results to be conveniently handled. > mcrvball <- function(d, N = 10000, blocksize = 10000) { n2 <- inside <- 0 while(n2 < N) { n1 <- n2 n2 <- min(n2 + blocksize, N) No <- n2 - n1 samp <- matrix(runif(No * d, -1, 1), No, d) inside <- inside + sum((samp * samp) %*% rep(1, d) < 1) } res <- list(dimensions = d, inside = inside, total = N, call = match.call()) oldClass(res) <- "mcrvball" res } The above function takes on the arguments d, N and blocksize. It begins by first initialising n2 and inside to be zero. It then runs a number of scripts within a while loop until the condition n2 < N is not satisfied. c CSIRO Australia, 2005 Course Materials and Exercises
  • 240.
    240 Programming To understandwhat this function is doing, try inserting a browser(). This will stop R where you put the browser and allow you to inspect objects created in the function in more detail. The following piece of code writes a print method for ”mcrvball” objects. When you issue the command print(obj), the print.mcrvball function will be executed. It provides a neat way of viewing the dimensions, the estimate of the proportion of balls and the actual proportion of the cube occupied for d = 2. > print.mcrvball <- function(x, ...) { cat("Dim.:", x$d, "Estimated:", signif(x$inside/x$total, 4), "Actual:", signif(rvball(x$dim), 4), "n") invisible(x) } The Ops class allows for arithmetic operations to be performed and calculated. It is a function called within other functions. It is not called directly. The NextMethod function is usually used within methods to call the next method. It does this by looking down the list of classes to see whether there is a method for the current generic. For this example, the Ops function calculates the ratio between the number of samples inside and the total number. This is what is printed in the output. > Ops.mcrvball <- function(e1, e2) { if(!is.null(class(e1)) && class(e1) == "mcrvball") e1 <- e1$inside/e1$total if(!missing(e2) && !is.null(class(e2)) && class(e2) == "mcrvball") e2 <- e2$inside/e2$total NextMethod() } We try out these functions in a test run for a variety of dimensions as follows and compare with actual values. We notice that the Monte Carlo estimates are not too different to the Actual estimate. > for(i in 4:10) print(mcrvball(i, 1000000)) Dim.: 4 Estimated: 0.3081 Actual: 0.3084 c CSIRO Australia, 2005 Course Materials and Exercises
  • 241.
    Programming 241 Dim.: 5Estimated: 0.1647 Actual: 0.1645 Dim.: 6 Estimated: 0.08089 Actual: 0.08075 Dim.: 7 Estimated: 0.03673 Actual: 0.03691 Dim.: 8 Estimated: 0.01588 Actual: 0.01585 Dim.: 9 Estimated: 0.006375 Actual: 0.006442 Dim.: 10 Estimated: 0.002428 Actual: 0.00249 > X <- matrix(NA, 7, 2) > X[,2] <- floor(1/rvball(4:10)) > for(i in 4:10) X[i-3,1] <- floor(1/mcrvball(i, 100000)) > dimnames(X) <- list(4:10, c("Monte Carlo", "Actual")) > X Monte Carlo Actual 4 3 3 5 6 6 6 12 12 7 27 27 8 64 63 9 151 155 10 375 401 Are the Monte Carlo results likely to be biased downwards? The Call Component and Updating If an object has a call component, update() may be used to create a new object by mak- ing simple modifications to the call. Here it is not very useful, but it does work: c CSIRO Australia, 2005 Course Materials and Exercises
  • 242.
    242 Programming > p1<- mcrvball(10) > floor(1/p1) [1] 625 > p2 <- update(p1, N = 200000) > floor(1/p2) [1] 416 Special methods for lm and glm objects allow convenient forms for changes to formulas, such as the use of the period. Combining Two Estimates We combine two relative frequencies by adding numerators and denominators. The most convenient way to do this is with a binary operator. > "%+%" <- function(e1, e2) UseMethod("%+%") > "%+%.mcrvball" <- function(e1, e2) { if(e1$dimensions != e2$dimensions) stop("ball dimensions differ!") res <- list(dimensions = e1$dimensions, inside = e1$inside + e2$inside, total = e1$total + e2$total, call = e1$call) oldClass(res) <- "mcrvball" res } > p1 %+% p2 Dim.: 10 Estimated: 0.002362 Actual: 0.00249 > floor(1/(p1 %+% p2)) [1] 423 Now, for efficiency and convenience, we collect results as we go c CSIRO Australia, 2005 Course Materials and Exercises
  • 243.
    Programming 243 > p0<- p1 > for(i in 1:10) p0 <- p0 %+% print(update(p1)) Dim.: 10 Estimated: 0.0023 Actual: 0.00249 Dim.: 10 Estimated: 0.0026 Actual: 0.00249 Dim.: 10 Estimated: 0.0018 Actual: 0.00249 Dim.: 10 Estimated: 0.0031 Actual: 0.00249 > p0 Dim.: 10 Estimated: 0.002345 Actual: 0.00249 > floor(1/p0) [1] 426 > unlist(sapply(p0, as.character)) dimensions inside total call1 call2 "10" "258" "110000" "mcrvball" "10" Some Lessons We summarise some of the main points from this example. 1. Vectorization. (rvball) 2. Taking the whole object view of the problem. (mcrvball) 3. Object orientation: put all the information you are likely to need into the object and give it a class. (mcrvball) 4. Methods for existing generics. (print.mcrvball) 5. Group generic functions. (Ops.mcrvball) 6. Binary operators and new generic functions. (%+%) Some Under-used Array and Other Facilities Some functions that are sometimes overlooked when it comes to dealing with arrays are listed below. c CSIRO Australia, 2005 Course Materials and Exercises
  • 244.
    244 Programming 1. cumsum,cummax, cummin, cumprod 2. pmax, pmin 3. The empty index, especially in replacements. 4. row, col and slice.index 5. outer 6. aperm 7. diag and diag<- 8. A matrix as an index. To illustrate some of these functions, we write a function to construct a tri-diagonal matrix with constant values in each diagonal position. The function appears below and it takes on arguments r and v. The outer function creates a 3 × 4 matrix with the elements in each row and column being cumulatively added. The diagonal elements and those to the left and right of the diagonal are then replaced with the values set for v. > tridiag <- function(r, v) { cind <- as.vector(outer(-1:1, 1:r, "+")) rind <- rep(1:r, each = 3) mind <- cbind(rind, cind) mind <- mind[ -c(1, 3*r), ] X <- matrix(0, r, r) X[mind] <- rep(v, r)[ -c(1, 3*r)] X } > tridiag(4, c(1,2,1)) [,1] [,2] [,3] [,4] [1,] 2 1 0 0 [2,] 1 2 1 0 [3,] 0 1 2 1 [4,] 0 0 1 2 A more direct calculation can be achieved using subsetting as shown below: > X <- matrix(0, 5, 5) c CSIRO Australia, 2005 Course Materials and Exercises
  • 245.
    Programming 245 > X[row(X)== col(X)] <- 2 > X[abs(row(X) - col(X)) == 1] <- 1 > X [,1] [,2] [,3] [,4] [,5] [1,] 2 1 0 0 0 [2,] 1 2 1 0 0 [3,] 0 1 2 1 0 [4,] 0 0 1 2 1 [5,] 0 0 0 1 2 Some Little-used Debugging Functions and Support Systems Some useful debugging functions are listed in the following table. They are presented in increasing order of investment and payoff: 1. cat or print statements, strategically placed. 2. trace, untrace and tprint 3. browser 4. inspect 5. emacs with ESS I find that the most useful debugging function is browser(). To quit from the browser you can type a capital Q at the prompt. Typing c at each browser pause will cause R to advance to the next set of calculations. Compiled Code and Packages Compiling code and packages is a useful feature in R. The add-on packages available from the CRAN website have all been generated in this way. Having this feature in R allows you to perform some complex and computational calculations outside of R and bring in the results for printing and graphically displaying the information. We present a very simple example to show how a package can be developed. You will need a couple of other packages though. These will be described in detail later. c CSIRO Australia, 2005 Course Materials and Exercises
  • 246.
    246 Programming The examplewe use is one which can be computed within R itself. It is a function to calculate the convolution of two numerical sequences a = {ai}, b = {bj}.(a ∗ b)k = i+j=k aibj We first consider a C function to do the crude arithmetic and how to link it to R. Then we consider four possible R functions to perform the computation. Finally we look at system timings for a relatively large computation. The C function in VR convolve.c The C function for producing this convolution is shown below: void VR_convolve(double *a, long *na, double *b, long *nb, double *ab) { int i, j, nab = *na + *nb - 1; for(i = 0; i < nab; i++) ab[i] = 0.0; for(i = 0; i < *na; i++) for(j = 0; j < *nb; j++) ab[i + j] += a[i] * b[j]; } Note that for this to work, all arguments to the function must be pointers. Before making the DLL, some care is required to ensure that the arguments supplied to the function have the correct storage mode. Creating the dll is relatively easy provided you have the MinGW compiler installed. You can easily download this package from the Internet. It is Free. Ensure that R.exe and gcc are both visible on the %PATH% (Windows) environment variable (if using Windows). The compiler, gcc can be obtained from the tools zip file from Bates website. (See http://www.murdoch-sutherland.com/Rtools/). In either a DOS or cygwin window (if you also have cygwin installed), type in the follow- ing: c CSIRO Australia, 2005 Course Materials and Exercises
  • 247.
    Programming 247 $ gccO2 c VR_convolve.c $ dllwrap o VR_convolve.dll def VR_convolve.def VR_convolve.o Several files (either Fortran or C or both) can be compiled at once. See S Programming (p241-) for more details on how the compilation of files to produce DLL’s can be per- formed. Loading the Shared Library Once the DLL has been created, we need to load the shared library. This is done in the function we propose to use. The function is.loaded checks to see if the DLL has been loaded. If not, then it is loaded using dyn.load. Storage modes for each parameter are defined. This is important so R knows how to interact correctly with the C or Fortran code. > convolve3 <- function(a, b) { if(!is.loaded(symbol.C("VR_convolve"))) dyn.load("VR_convolve.dll") storage.mode(a) <- "double" storage.mode(b) <- "double" .C("VR_convolve", a, length(a), b, length(b), ab = double(length(a) + length(b) - 1))$ab } A few explanations about loading in code . . . • .C() takes the name of the entry point as a character string as its first argument • subsequent arguments correspond to those of the C function itself, with correct stor- age mode ensured • Subsequent arguments may be named • The result is a list with names as supplied to the arguments. The results of the C function must be reflected as changes in the supplied arguments • In our case only one result was needed, so this is the only one we named (ab) c CSIRO Australia, 2005 Course Materials and Exercises
  • 248.
    248 Programming • is.loaded()may be used to check if an entry point is visible • symbol.C() and symbol.For() can be used to ensure portability across plat- forms Three Pure R Code Contenders We now examine three pure R code contenders and evaluate their performance with the C function written. The first uses two for loops. The second uses one for loop, while the third uses an apply function. > convolve0 <- function(a, b) { ab <- rep(0, length(a) + length(b) - 1) for(i in 1:length(a)) for(j in 1:length(b)) ab[i+j-1] <- ab[i+j-1] + a[i]*b[j] ab } > convolve1 <- function(a, b) { ab <- rep(0, length(a) + length(b) - 1) ind <- 1:length(a) for(j in 1:length(b)) { ab[ind] <- ab[ind] + a*b[j] ind <- ind + 1 } ab } > convolve2 <- function(a, b) tapply(outer(a, b), outer(seq(along = a), seq(along = b), "+"), sum) We evaluate each function by running the function on some sample data, recorded the time and compare estimates. The first three values reported from system.time repre- c CSIRO Australia, 2005 Course Materials and Exercises
  • 249.
    Programming 249 sents theuser CPU, system CPU, and elapsed or real time. The results show increasing improvement as we move from convolve0 to convolve3. > a <- rep(1/1000, 1000) > b <- dbinom(0:1000, 1000, 0.5) > system.time(ab0 <- convolve0(a, b)) [1] 12.65 0.09 13.27 NA NA > system.time(ab1 <- convolve1(a, b)) [1] 0.27 0.02 0.29 NA NA > system.time(ab2 <- convolve2(a, b)) [1] 1.63 0.03 1.73 NA NA > system.time(ab3 <- convolve3(a, b)) [1] 0 0 0 NA NA > range(abs(ab0-ab1)+abs(ab1-ab2)+abs(ab2-ab3)) [1] 0.000000e+00 2.602085e-18 Some comments regarding this comparison . . . • The slick version is NOT the fastest, probably because of memory use • Both the conventional R versions are much faster than the translated Fortran first version • Much bigger problems are needed before the compiled code version registers on the timing • This first invocation will, in fact, be the slowest as it needs to load the dll before it does anything. • A good strategy is to reserve C for the heavy computational part of the calculation but do everything else in pure R. • The .Call interface allows you to manipulate R objects directly from within C code. This requires much more specialised coding using C macros that are rather sketchily documented. Making and Maintaining Extensions For more information about making and maintaining extensions, read the section in Writ- ing R Extensions (at least once). c CSIRO Australia, 2005 Course Materials and Exercises
  • 250.
    250 Programming Read thereadme.packages file and consult the web portals for the tools. Make sure they are visible within your %PATH%. This is a very specialised area, but the payoff is large when you have it under control. The function package.skeleton() establishes a good part of the work needing to be done, but then you have to do it. Building packages does the compilation as part of the process. install.packages() and update.packages() may be used to get packages from CRAN (or .zip files) and update packages from CRAN from within R itself. They require administrator capabilities within Windows (usually). c CSIRO Australia, 2005 Course Materials and Exercises
  • 251.
    Neural Networks: AnIntroduction 251 Neural Networks: An Introduction Methodology Neural networks can be considered a type of nonlinear regression that takes a set of in- puts (explanatory variables), transforms and weights these within a set of hidden units and hidden layers to produce a set of outputs or predictions (that are also transformed). Figure 91 is an example of a feed forward neural network consisting of five inputs, a hidden layer that contains three units and an output layer that contains three outputs. The model can be expressed as follows: yk = φ0(αk + i→k wikxi + j→k wjkφj(αj + i→j wijxi) where φo is the transformation on the hidden layers to produce the output, αk represent the biases associated with each observation k, wik are weights assigned to variable xi and φh is the transformation applied to the hidden units in the hidden layer. Figure 91: An example of a neural network. c CSIRO Australia, 2005 Course Materials and Exercises
  • 252.
    252 Neural Networks:An Introduction Regression Function The expression shown above can be viewed as regression equations: yk = fk(w; x) with internal layer transformations that are typically logistic φh(z) = exp(z) 1 + exp(z) Output transformations that are most often used are either linear, logistic or consist of a threshold. Estimation is either through ordinary least squares, logistic or using log-linear modelling estimation (softmax). For example, the fitting function for least squares is E = p ||tp − yp ||2 where tp is the target output and yp is the output for the p-th example pattern. Penalized Estimation To ensure that the function f is smooth, we can restrict the estimates to have a limited number of spline knots. An alternative approach is to use regularization where the fitting criterion becomes E + λC(f) where C(f) is a penalty function and λ is the degree of roughness. In neural networks, the penalty function is typically the sum of squares of the weights wij, known as weight decay. Having this penalty term in the fitting process helps with the optimization process and tries to avoid overfitting. Choices of lambda vary depending on the type of fitting function, E chosen. For an entropy fit (deviance), good choices for λ lie between 0.01 and 0.1. For least squares, choices for λ lie between λ ≈ 10−4 − 10−2 . Special Cases The neural network shown in Figure 91 is a typical model for most problems. However, situations may arise where special types of neural network models are warranted. These are outlined below. c CSIRO Australia, 2005 Course Materials and Exercises
  • 253.
    Neural Networks: AnIntroduction 253 • Linear Regression (the hard way) A model with no internal nodes, no penalties and a linear output function (Multi- variate) • Logistic Regression (the hard way) A model with no internal nodes, no penalties, a logistic output function and one output node • Logistic Regression (again) A model with no skip layer, one internal node and a Kullback-Liebler objective func- tion with no penalties • Multiple Logistic, Multinomial Regression A model with no internal nodes, a softmax objective function and no penalties Linear Regression the Hard Way: Check The following sample code is an example of how to perform a linear regression on the Cars93 dataset using neural networks. We first fit the model using the nnet function. To fit a linear model we need to specify a model with no internal nodes (size=0), no penalties (decay=0) and a linear output function (linout=T). > require(nnet) > tst <- nnet(1000/MPG.city ˜ Weight+Origin+Type, Cars93, linout = T, size = 0, decay = 0, rang = 0, skip = T, trace = T) # weights: 8 initial value 213926.871110 iter 10 value 1560.625585 final value 1461.849465 > coef(tst) b->o i1->o i2->o i3->o 6.01509864 0.01337820 -1.20290333 -0.65095242 i4->o i5->o i6->o i7->o 0.78448665 -1.48859419 2.96276360 2.38761012 We now check the coefficients produced from the neural network with those estimated using linear regression and the lm model. c CSIRO Australia, 2005 Course Materials and Exercises
  • 254.
    254 Neural Networks:An Introduction > tst1 <- lm(1000/MPG.city ˜ Weight + Origin+Type, Cars93) > coef(tst1) (Intercept) Weight Originnon-USA TypeLarge 6.01509685 0.01337820 -1.20290356 -0.65095077 TypeMidsize TypeSmall TypeSporty TypeVan 0.78448750 -1.48859321 2.96276400 2.38761020 > range(coef(tst) - coef(tst1)) [1] -1.646830e-06 1.793509e-06 We see that the results are very similar. The difference between coefficients range between −1.6 × 10−6 and 1.79 × 10−6 . Logistic Regression is a Special Case We now examine logistic regression models fit as a neural network using the birth weight data. Once again we specify no weight decay (decay=0) and no input layers (size=0). By default, logistic output units are specified. > tst <- nnet(low ˜ ptd + ftv/age, data = bwt, skip = T, size = 0, decay = 0, rang = 0, trace = T) # weights: 7 initial value 131.004817 iter 10 value 101.713567 final value 101.676271 converged > tst1 <- glm(low ˜ ptd + ftv/age, binomial, bwt) > range(coef(tst) - coef(tst1)) [1] -0.0001691730 0.0003218216 These are compared with estimates produced using a generalized linear model and once again the differences between coefficients are negligible. We now set up a training and test set and begin with a parametric model using the birth weight data again. Predictions from the GLM are then tabulated with the actual data to produce a confusion matrix. We see below that 28 observations are misclassified in this c CSIRO Australia, 2005 Course Materials and Exercises
  • 255.
    Neural Networks: AnIntroduction 255 model. > sb1 <- sample(1:nrow(bwt), 100) > bwt.train <- bwt[sb1, ] > bwt.test <- bwt[ - sb1, ] > bm.train <- update(tst1, data = bwt.train) > bm.tst <- predict(bm.train, bwt.test, type = "resp") > bm.class <- round(bm.tst) > table(bm.class, bwt.test$low) 0 1 0 53 16 1 12 8 Now Consider a Tree Model Now we consider a tree model. (These will be explained in the following two sections in more detail.) The tree function is used here to fit a classification tree. > require(tree) > tm.train <- tree(low ˜ race + smoke + age + ptd + ht + ui + ftv, bwt.train) > plot(cv.tree(tm.train, FUN = prune.misclass)) > tm.train <- prune.tree(tm.train, best = 6) > tm.class <- predict(tm.train, bwt.test, type = "class") > table(tm.class, bwt.test$low) 0 1 0 43 12 1 22 12 The optimal model is one that misclassifies 34 observations, a substantially higher pro- portion of cases. One option that might improve misclassification rates is setting up a loss function. (This will be described in the next session.) Some Initial Explorations of a Neural Network Neural networks may prove to be a better way of modelling this data but it is not clear c CSIRO Australia, 2005 Course Materials and Exercises
  • 256.
    256 Neural Networks:An Introduction what degree of non-linearity is warranted. Here is one that we tried. It consists of a network with one hidden layer and three units and a weight decay of 0.001. > X0 <- model.matrix( ˜ race + smoke + age + ptd + ht + ui + ftv, bwt.train)[, -1] > std <- function(x) (x - min(x))/(max(x) - min(x)) > X <- apply(X0, 2, std) > nm.train <- nnet(low ˜ X, data = bwt.train, size = 3, skip = T, decay = 0.001, trace = T, maxit = 1000) # weights: 43 initial value 71.792542 iter 10 value 55.167514 iter 20 value 50.647657 ... iter 210 value 19.234755 iter 220 value 19.234745 final value 19.234743 converged Test Data We then obtain predictions from this model and compare it with the actual classifications. > X <- model.matrix( ˜ race + smoke + age + ptd + ht + ui + ftv, bwt.test)[, -1] > for(j in 1:ncol(X)) X[, j] <- (X[, j] min(X0[, j]))/ (max(X0[, j]) - min(X0[, j])) > nm.tst <- predict(nm.train, newdata = bwt.test, type = "raw") > nm.class <- round(nm.tst) > table(nm.class, bwt.test$low) 0 1 c CSIRO Australia, 2005 Course Materials and Exercises
  • 257.
    Neural Networks: AnIntroduction 257 0 46 15 1 19 9 The results indicate that • The tree model does about as well as the parametric model and is constructed more- or-less blind. • The neural network model is by far the most difficult to fit and performs (appar- ently) slightly worse than the other models. • Cross-validation should perhaps be used to come to some decision on the amount of smoothing warranted in the NN model (See Venables & Ripley (2002)). • Neural networks may be more useful with much larger data sets and more complex prediction situations (maybe) c CSIRO Australia, 2005 Course Materials and Exercises
  • 259.
    Tree-based Models I:Classification Trees 259 Tree-based Models I RPART offers two libraries for constructing Classification and Regression Tree (CART) models. The first is an S-PLUS/R native library called tree, which implements the tradi- tional S-PLUS/R tree methodology described in Chambers & Hastie (1992). The second is the rpart library developed by Beth Atkinson and Terry Therneau of the Mayo Clinic, Rochester, New York, which implements methodology closer to the traditional CART ver- sion of trees due to Breiman et al. (1984). Both have their advantages and disadvantages. However, we mostly favour the RPART version in this course. Although we focus on this library, all examples can be done using the tree library. Decision Tree Methodology Decision trees have been applied to a number of interesting problems in the medical, environmental and financial areas. They have been recognised as a useful modelling tool among non-statisticians, particularly in the medical area, as they produce a model that is very easy to interpret. Decision trees have a number of interesting features, which are summarised below. • Decision trees are non-parametric and therefore do not require Normality assump- tions of the data. • Decision trees can handle data of different types: continuous, categorical, ordinal, binary. Transformations of the data are therefore not required. • Trees can be useful for detecting important variables, interactions and identifying outliers. This can be useful at the exploratory stage of modelling. Figure 92 displays a diagram of a decision tree (not produced from R) that high- lights an interaction between age and sex. The interaction is suggested because of multiple splitting that occurs using these variables. If decision trees were being used as an exploratory tool, this model would suggest incorporating an interaction term between sex and age in a model. Figure 93 shows a mock tree with an outlier present on the age variable. This ex- ample shows a fairly obvious outlier but an important one none-the-less. • Decision trees cope with missing data by identifying surrogate splits in the mod- elling process. Surrogate splits are splits highly associated with the primary split (which will be explained below). They can be used in situations when data cannot be collected using the primary split variable. • Decision trees are used for analysis of a wide range of applications c CSIRO Australia, 2005 Course Materials and Exercises
  • 260.
    260 Tree-based ModelsI: Classification Trees Figure 92: Illustration of Interactions Figure 93: Illustration of Outliers c CSIRO Australia, 2005 Course Materials and Exercises
  • 261.
    Tree-based Models I:Classification Trees 261 The methodology can be summarised into three main steps. These are described below. 1. Splitting Criterion Splits are formed on subsets of the data in a greedy fashion. To begin with, a variable and split location is defined (usually based on a particular criterion: Gini (classifica- tion), sums of squares (regression)) from the entire dataset. The data is partitioned into two groups based on this split and the process is repeated on the two sub- groups. (Hence the reason why the algorithm is sometimes referred to as greedy). Splitting continues until a large tree is constructed where only a small number of observations of the same class reside in each terminal node. 2. Pruning Procedure Pruning commences once a large tree has been grown. It involves successively snip- ping back splits of the tree into smaller trees using a cost complexity measure (which will be described later). This involves computing an error measure, usually calcu- lated using cross-validation. 3. Tree Selection Tree selection is typically based on cross-validation and/or the use of a test dataset for larger applications. The tree yielding the lowest cross-validated error rate is examined. In addition, trees that are smaller in size but comparable in accuracy (corresponding to the 1 SE rule) are also investigated. Tree Definitions Figure 94 summarises the key terms used in decision tree modelling. The node which is to be split is referred to as the parent node. The branches emanating from the parent node define the split which is a logical statement comprised of one of the variables in the dataset and a value indicating the split location. A split forms two new nodes, a left child node and a right child node. Each is assigned a prediction, whether a classification or a mean (for regression problems). Split Criterion The split criterion for a decision tree model is different for different types of responses. The two main types of response are categorical, where we might be interested in produc- ing a classification or continuous, where interest lies in producing a mean prediction. c CSIRO Australia, 2005 Course Materials and Exercises
  • 262.
    262 Tree-based ModelsI: Classification Trees Figure 94: Key terms in decision tree modelling For classification problems, Gini is the most common split criterion used. It is defined as i(t) = i=j p(i|t)p(j|t) where p(i|t) is the probability that item in node t is of class i and i(t) is the impurity measure or misclassification error. For a two-class problem, this expression reduces to 2p(1|t)p(2|t). Costs can be incorporated into the impurity measure to reflect weightings of different groups. For example, in a medical study, we are more interested in the accurate classifi- cation of sick or dying patients more than the well patients. Often though, the number of sick patients in medical studies is limited and this compromises prediction for the sick cases somewhat. To avoid this problem, we weight the sick cases higher than the well cases and we do this using costs. Sometimes this is referred to as setting up a loss matrix. When we incorporate unequal costs into a classification tree model, we alter p(i|t) and p(j|t). This is described in more detail in Breiman et al. (1984). For regression problems, the impurity measure consists of the residual sums of squares, similar to what we examine in the output from a linear regression model. The expression for the impurity measure, i(t) is i(t) = {y(i|t)¯y(t)}2 where ¯y(t) is the mean of observations in node t and y(i|t) represents observation i in c CSIRO Australia, 2005 Course Materials and Exercises
  • 263.
    Tree-based Models I:Classification Trees 263 node t. Split Formation Figure 95 illustrates the actual split formation from the parent node (P) into left (L) and right (R) child nodes. In determining the best split for a node, the impurity measure is evaluated for the parent node (i(t)P ), left child node (i(t)L) and right child node (i(t)R). The change in impurity is then determined through the expression ∆ = i(t)P − [pLi(t)L + pRi(t)R] where pL and pR represent the proportions of the data sent to the left and right respec- tively. The split producing the greatest change in impurity is therefore selected. Figure 95: Illustration of split formation Recursive Partitioning And Regression Trees (RPART) The RPART software is going to be the focus in this section. Documentation for RPART can be downloaded in pdf form from the CRAN website. The help is usually sufficient to get you started. RPART functions for fitting and producing decision trees can be broken up into two dis- tinct types: modelling functions and plotting functions. Those functions responsible for fitting the decision tree include c CSIRO Australia, 2005 Course Materials and Exercises
  • 264.
    264 Tree-based ModelsI: Classification Trees • rpart: fitting the actual model • rpart.control: tuning parameters that feed into rpart • summary.rpart: summarises the fitted model • snip.rpart: interactive pruning feature • prune.rpart: pruning Plotting functions responsible for producing the output as a nice graphical figure include plot.rpart, text.rpart and post.rpart. The latter function is responsible for producing postscript versions of the fitted models. RPART Features RPART offers models for different types of problems. We have just been focusing on fitting classification trees and regression trees. However, RPART offers methodologies for survival and count data. Descriptions of these models are summarised in the technical report by Therneau & Atkinson (1997). Fitting the Model The function rpart() is used to fit the decision tree. It is comprised of the following arguments that you can extract from the help file. formula y ∼ x1+x2+x3+. . . data data where the above variables can be found na.action Default: omits observations with missing data in y method class or anova parms priors and loss matrix (class only) control parameters that control the model fitting The model is controlled by the function rpart.control(). Arguments to this function are outlined below. minsplit minimum no. of observations in a node before a split occurs cp complexity parameter usesurrogate How to use surrogates for missing data: c CSIRO Australia, 2005 Course Materials and Exercises
  • 265.
    Tree-based Models I:Classification Trees 265 0 = display only 1 = use surrogates to split variables with missing data. If all are missing, no split is created. 2 = Breimans surrogate rule. Breiman’s surrogate rule is described in his book and uses surrogates to split variables with missing data. However if all surrogates have missing data, the observation is di- rected to the node with the largest proportion of observations. A Classification Example: Fisher’s Iris Data Fisher’s Iris dataset is described in detail in Appendix I and has been used throughout other sections of these lecture notes. The data consists of data recorded for three species of Iris: Setosa, Versicolor and Virginica. Four pieces of information were recorded for 150 observations. These included sepal length and width and Petal length and width, both of which are recorded in centimetres. The aim is to classify the three species of iris based on petal and sepal measurements using a classification tree approach. Fitting the Model Before fitting the model, we first have to attach the rpart library. This can be done using the require function. We set the seed value to ensure that we all get the same results as sometimes we may get different trees through the cross-validation process. To produce a really large tree, we make the complexity parameter (cp) really small. > require(rpart) > set.seed(123456) > iris.rp <- rpart(Species ˜ ., method="class", data=iris, control=rpart.control(minsplit=4,cp=0.000001)) > summary(iris.rp) Call: ... CP nsplit rel error xerror xstd 1 0.50000 0 1.00 1.21 0.04836666 2 0.44000 1 0.50 0.76 0.06123180 c CSIRO Australia, 2005 Course Materials and Exercises
  • 266.
    266 Tree-based ModelsI: Classification Trees 3 0.02000 2 0.06 0.10 0.03055050 4 0.01000 3 0.04 0.11 0.03192700 5 0.00001 5 0.02 0.10 0.03055050 Node number 1: 150 observations, complexity param=0.5 predicted class=setosa expected loss=0.6666667 class counts: 50 50 50 probabilities: 0.333 0.333 0.333 left son=2 (50 obs) right son=3 (100 obs) Primary splits: Petal.Length < 2.45 to the left, improve=50.00000, (0 missing) Petal.Width < 0.8 to the left, improve=50.00000, (0 missing) Surrogate splits: Petal.Width < 0.8 to the left, agree=1.000, adj=1.00, (0 split) Sepal.Length < 5.45 to the left, agree=0.920, adj=0.76, (0 split) The summary of the model provides us with some interesting information. The complex- ity table shown at the top of the summary, provides information about all of the trees considered for the final model. It lists their complexity parameter, the number of splits, the resubstitution error rate, cross-validated error rate and the associated standard error. These latter three statistics will be described shortly. The node information is described in sections beneath the complexity table. It provides information about the predicted class for that node, the number of observations, primary and competing splits and surrogates splits that can be used in the event of missing data. The primary split chosen for that node is the first one displayed. The splits beneath it are competing splits for that node. This information is useful when you have large datasets with many variables, some of which may be highly correlated. The tree may be plotted using the following commands > plot(iris.rp) > text(iris.rp) to produce a tree like the one shown in Figure 96. Predicted classes are displayed beneath each terminal node of the tree. Important splits that provide the best discrimination be- tween classes are those that have the longest branches. For larger, more complicated trees it is sometimes useful to specify uniform=T as an argument to plot. c CSIRO Australia, 2005 Course Materials and Exercises
  • 267.
    Tree-based Models I:Classification Trees 267 | Petal.Length< 2.45 Petal.Width< 1.75 Petal.Length< 4.95 Petal.Width< 1.65 Petal.Width>=1.55 setosa versicolor virginica versicolor virginica virginica Figure 96: Classification tree produced on Fisher’s Iris data (unpruned) c CSIRO Australia, 2005 Course Materials and Exercises
  • 268.
    268 Tree-based ModelsI: Classification Trees Recursive Partitioning Up Close To illustrate the recursive partitioning process, we can produce a scatterplot of the pri- mary split variables and overlay the plot with the locations of the splits. Figure 97 is the result of running the following script in R. The plot is produced using Trellis graphics. require(lattice) trellis.par.set(col.whitebg()) xyplot(Petal.Width˜Petal.Length,iris,groups=Species,pch=16, col=c("red","green","blue"), panel=function(x,y,groups,...){ panel.superpose(x,y,groups,...) panel.abline(v=2.45,lty=2) panel.segments(2.45,1.75,max(x)*2,1.75,lty=2) panel.segments(4.95,min(y)*-2,4.95,1.75,lty=2) panel.segments(2.45,1.65,4.95,1.65,lty=2) panel.segments(4.95,1.55,max(x)*2,1.55,lty=2) }, key=list(columns=3,col=c("red","green","blue"), text=list(c("setosa","versicolor","virginica")))) The plot shows the three species of iris, Setosa (red), Versicolor (green) and Virginica (blue) with the splits overlayed to illustrate how the data was partitioned. The first split on petal length ideally partitions setosa from the remaining two species. However the remaining two species are a little more difficult to partition based on petal length and petal width. Notice how we could have also used petal width to partition setosa from versicolor and virginica. In the summary output, petal width was listed as a surrogate with an agreement rating of 1, indicating that it would produce the same partition. The Complexity Table > printcp(iris.rp) Classification tree: rpart(formula = Species ˜ Sepal.Length + Sepal.Width + Petal.Length + c CSIRO Australia, 2005 Course Materials and Exercises
  • 269.
    Tree-based Models I:Classification Trees 269 Petal.Length Petal.Width 1 2 3 4 5 6 0.5 1.0 1.5 2.0 2.5 setosa versicolor virginica Figure 97: Petal.Width, data = iris, method = "class", control = rpart.control(minsplit = 4, cp = 1e-05)) Variables actually used in tree construction: [1] Petal.Length Petal.Width Root node error: 100/150 = 0.66667 n= 150 CP nsplit rel error xerror xstd 1 0.50000 0 1.00 1.21 0.048367 2 0.44000 1 0.50 0.76 0.061232 3 0.02000 2 0.06 0.10 0.030551 4 0.01000 3 0.04 0.11 0.031927 5 0.00001 5 0.02 0.10 0.030551 c CSIRO Australia, 2005 Course Materials and Exercises
  • 270.
    270 Tree-based ModelsI: Classification Trees The printcp command prints out the complexity table that we saw in the summary of the tree. In this table, the tree yielding the lowest cross-validated error rate (xerror) is tree number 3. The tree yielding the minimum resubstitution error rate is tree number 5. The largest tree will always yield the lowest resubstitution error rate. Why? This will be explained later. For larger trees, looking at a printout of the complexity table can be quite frightening. Sometimes a plot can help and this can be achieved using the plotcp function. Figure 98 produces the result and indicates that the best tree is the tree with 3 terminal nodes cor- responding to a complexity value of 0.094. > plotcp(iris.rp) cp X−valRelativeError 0.00.20.40.60.81.01.21.4 Inf 0.47 0.094 0.014 0.00032 1 2 3 4 6 size of tree Figure 98: Graphical representation of the complexity table. Pruning Trees Once a large tree has been grown, it is important to prune the tree back to avoid overfit- ting. This is important for two reasons • to ensure that the tree is small enough to avoid putting random variation into pre- dictions c CSIRO Australia, 2005 Course Materials and Exercises
  • 271.
    Tree-based Models I:Classification Trees 271 • to ensure that the tree is large enough to avoid putting systematic biases into pre- dictions Trees are pruned using a cost complexity measure which is defined as follows Rα = R + α × T In the above expression, T represents the number of splits/terminal nodes in the tree, R represents the tree risk and α represents the complexity parameter, which is a penalty term that controls the size of the tree. The estimate of tree risk differs depending on the type of tree produced. For a classification tree, tree risk refers to the misclassification error, while for a regression tree, tree risk corresponds to the residual sum of squares. Illustration of Pruning Figure 99 illustrates the pruning process using a tree with five splits. At each split, we Figure 99: Illustration of the pruning process. can produce an estimate for the resubstitution rate, R. This decreases as we move further down the tree. For the terminal node at the bottom of the tree (orange), α is 0. This increases as we move towards the root node (cyan). Calculation of Rα is via the above formula. For the top node, Rα is 1 and becomes smaller as the tree gets bigger. Figure 100(a) is the result of plotting the resubstitution rates versus tree size and shows this downward trend in error as tree size increases. The following script produces this plot. c CSIRO Australia, 2005 Course Materials and Exercises
  • 272.
    272 Tree-based ModelsI: Classification Trees # Plot the resubstitution error > with(iris.rp,plot(cptable[,3],xlab="Tree Number", ylab="Resubstitution Error (R)",type="b")) 1 2 3 4 5 0.00.20.40.60.81.0 Tree Number ResubstitutionError(R) 1 2 3 4 5 0.20.40.60.81.01.2 Tree Number Cross−ValidatedError(R(cv)) (a) (b) Figure 100: Plot of (a) the resubstitution error rate and (b) the cross-validated error rate for trees produced on the iris dataset. Although this is a measure of error, the resubstitution error rate is not all that useful in helping to decide on an optimal tree. Of course we could always choose the largest tree because this has the lowest resubstitution error rate but this tree would be biased. Furthermore, if we obtained a validation dataset, it is anticipated that classification using this tree would be poor. Tree Selection Instead of selecting a tree based on the resubstitution error rate, 10-fold cross-validation is used to obtain a cross-validated error rate, from which, the optimal tree is selected. To recap, 10-fold cross-validation involves creating 10 random subsets of the original data, setting one portion aside as a test set, constructing a tree for the remaining 9 portions and evaluating the tree using the test portion. This is repeated for all portions and an estimate of the error, Rα is evaluated. Adding up the error across the 10 portions represents the cross-validated error rate, RCV α . If we now plot the error rates computed via cross-validation using the following script c CSIRO Australia, 2005 Course Materials and Exercises
  • 273.
    Tree-based Models I:Classification Trees 273 > with(iris.rp,plot(cptable[,4],xlab="Tree Number", ylab="Cross-Validated Error (R(cv))",type="b")) we obtain a plot of the tree error like that shown in Figure 100(b). The minimum now occurs somewhere near the tree with three terminal nodes. Selecting the Right Sized Tree There are a number of ways to select the right sized tree. The first is to simply choose the tree with the lowest cross-validated error rate: min(RCV α ). The second, uses the 1 standard error (SE) rule that is outlined in Breiman et al. (1984). This represents a tree, smaller in size but within one standard error to the tree yielding the minimum cross-validated error rate: minRCV α + SE. There is no hard and fast rule for tree selection. These are merely a guide. Illustration of the 1 SE rule The 1 SE rule is illustrated using the following piece of code, producing the plot in Fig- ure 101. plotcp(iris.rp) with(iris.rp, { lines(cptable[,2]+1,cptable[,3],type="b",col="red") legend(locator(1),c("Resub. Error","CV Error","min(CV Error)+1SE"), lty=c(1,1,2),col=c("red","black","black"),bty="n") }) The script produces a plot of the resubstitution error (red) and the cross-validated error rate (black), with a dotted line drawn at the minimum plus one standard error. The dotted line helps us to choose the tree within one standard error of the tree yielding the mini- mum. We do this by seeing if a smaller sized tree has a cross-validated estimate below the dotted line. In this case, tree selection is straight forward and the tree yielding the lowest cross-validated error rate is also the 1SE tree. c CSIRO Australia, 2005 Course Materials and Exercises
  • 274.
    274 Tree-based ModelsI: Classification Trees cp X−valRelativeError 0.00.20.40.60.81.01.21.4 Inf 0.47 0.094 0.014 0.00032 1 2 3 4 6 size of tree Resub. Error CV Error min(CV Error)+1SE Figure 101: Illustration of the one standard error rule. Pruning the Tree We can use the information in the complexity table or alternatively the complexity plot (Figure 101) to prune the tree. To select the tree with three splits, we choose a complexity value greater than 0.094 but less than 0.47, which represents the tree with two splits. The tree can then be pruned using the prune function and associated summary tables and plots can be produced. > iris.prune <- prune(iris.rp,cp=0.1) > summary(iris.prune) Call: ... n= 150 CP nsplit rel error xerror xstd 1 0.50 0 1.00 1.21 0.04836666 2 0.44 1 0.50 0.76 0.06123180 c CSIRO Australia, 2005 Course Materials and Exercises
  • 275.
    Tree-based Models I:Classification Trees 275 3 0.10 2 0.06 0.10 0.03055050 Node number 1: 150 observations, complexity param=0.5 predicted class=setosa expected loss=0.6666667 class counts: 50 50 50 probabilities: 0.333 0.333 0.333 left son=2 (50 obs) right son=3 (100 obs) Primary splits: Petal.Length < 2.45 to the left, improve=50.00000, (0 missing) Petal.Width < 0.8 to the left, improve=50.00000, (0 missing) Surrogate splits: Petal.Width < 0.8 to the left, agree=1.000, adj=1.00, (0 split) Sepal.Length < 5.45 to the left, agree=0.920, adj=0.76, (0 split) Node number 2: 50 observations predicted class=setosa expected loss=0 class counts: 50 0 0 probabilities: 1.000 0.000 0.000 Node number 3: 100 observations, complexity param=0.44 predicted class=versicolor expected loss=0.5 class counts: 0 50 50 probabilities: 0.000 0.500 0.500 left son=6 (54 obs) right son=7 (46 obs) Primary splits: Petal.Width < 1.75 to the left, improve=38.969400, (0 missing) Petal.Length < 4.75 to the left, improve=37.353540, (0 missing) Surrogate splits: Petal.Length < 4.75 to the left, agree=0.91, adj=0.804, (0 split) c CSIRO Australia, 2005 Course Materials and Exercises
  • 276.
    276 Tree-based ModelsI: Classification Trees Sepal.Length < 6.15 to the left, agree=0.73, adj=0.413, (0 split) Node number 6: 54 observations predicted class=versicolor expected loss=0.09259259 class counts: 0 49 5 probabilities: 0.000 0.907 0.093 Node number 7: 46 observations predicted class=virginica expected loss=0.02173913 class counts: 0 1 45 probabilities: 0.000 0.022 0.978 > plot(iris.prune) > text(iris.prune) A partitioned plot can also be produced from the pruned model using the following piece of code. require(lattice) trellis.par.set(theme=col.whitebg()) xyplot(Petal.Width˜Petal.Length,iris,groups=Species,pch=16, col=c("red","green","blue"),main="Partitioned Plot", panel=function(x,y,groups,...){ panel.superpose(x,y,groups,...) panel.abline(v=2.45,lty=2) panel.segments(2.45,1.75,max(x),1.75,lty=2) }, key=list(columns=3,col=c("red","green","blue"), text=list(c("setosa","versicolor","virginica")))) The resulting plot is shown in Figure 103 and shows two distinct partitions of the data into the three species. Using this tree it is evident that there is some misclassification between versicolor and virginica. c CSIRO Australia, 2005 Course Materials and Exercises
  • 277.
    Tree-based Models I:Classification Trees 277 | Petal.Length< 2.45 Petal.Width< 1.75 setosa versicolor virginica Figure 102: Pruned tree. c CSIRO Australia, 2005 Course Materials and Exercises
  • 278.
    278 Tree-based ModelsI: Classification Trees Partitioned Plot Petal.Length Petal.Width 1 2 3 4 5 6 0.5 1.0 1.5 2.0 2.5 setosa versicolor virginica Figure 103: Partitioned plot of the pruned model c CSIRO Australia, 2005 Course Materials and Exercises
  • 279.
    Tree-based Models I:Classification Trees 279 Predictions Predictions can be made using the predict function. For example, > iris.pred <- predict(iris.prune,type="class") will produce predicted classes for the iris data based on the pruned model. To assess the performance of the model, we can produce a confusion matrix as follows > table(iris.pred,iris$Species) iris.pred setosa versicolor virginica setosa 50 0 0 versicolor 0 49 5 virginica 0 1 45 The results indicate that the model misclassifies six species. Refer to the previous plot to see the misclassifications. The real test of course comes from a training/test sample. Laboratory Exercise: Try this as an exercise. Plotting Options There are a number of ways to produce a plot of a decision tree using the RPART software. Here are four versions to choose from. • Version A (Figure 104) is the default and produces simple square shaped splits with predicted classifications at terminal nodes. > plot.rpart(iris.prune,main="Version A") > text.rpart(iris.prune) • Version B (Figure 105) provides a prettier version with angled splits and classification breakdowns at terminal nodes. > plot(iris.prune,uniform=T,branch=0.1, main="Version B") > text(iris.prune,pretty=1,use.n=T) • Version C (Figure 106) provides a more fancy version with elipses for intermediate nodes and rectangles for terminal nodes. (N.B. Earlier versions of RPART blocked out the elipses and rectangles to make the node information more legible.) c CSIRO Australia, 2005 Course Materials and Exercises
  • 280.
    280 Tree-based ModelsI: Classification Trees > plot(iris.prune,uniform=T,branch=0.1, margin=0.1,main="Version C") > text(iris.rp2,pretty=1,all=T,use.n=T,fancy=T) • The postscript version sends the previous plot to file > post.rpart(iris.prune,filename="iris.ps", main="Postscript Version") Version A | Petal.Length< 2.45 Petal.Width< 1.75 setosa versicolor virginica Figure 104: Default plot. c CSIRO Australia, 2005 Course Materials and Exercises
  • 281.
    Tree-based Models I:Classification Trees 281 Version B | Petal.Length< 2.45 Petal.Width< 1.75 setosa 50/0/0 versicolor 0/49/5 virginica 0/1/45 Figure 105: Prettier version with angled splits. c CSIRO Australia, 2005 Course Materials and Exercises
  • 282.
    282 Tree-based ModelsI: Classification Trees Version C | Petal.Length< 2.45 Petal.Width< 1.75 Petal.Length>=2.45 Petal.Width>=1.75 setosa 50/50/50 setosa 50/0/0 versicolor 0/50/50 versicolor 0/49/5 virginica 0/1/45 Figure 106: Fancy version. Note that in earlier versions of R, the elipses and boxes had white backgrounds. c CSIRO Australia, 2005 Course Materials and Exercises
  • 283.
    Tree-based Models II:Regression Trees and Advanced Topics 283 Tree-based Models II Regression Trees Example: Boston Housing Data The Boston Housing dataset is described in Appendix I and contains information about owner occupied homes in Boston. For more information regarding this dataset please see the paper by Harrison & Rubinfeld (1978). The Boston Housing dataset will be used to create a regression tree to predict the median value of owner occupied homes in Boston using a variety of explanatory variables listed in the table below. Covariates crim per capita crime rate by town zn proportion of residential land zoned for lots over 25,000 sq.ft. indus proportion of non-retail business acres per town chas Charles River dummy variable (= 2 if tract bounds river;1 otherwise) nox nitric oxides concentration (parts per 10 million) rm average number of rooms per dwelling age proportion of owner-occupied units built prior to 1940 dis weighted distances to five Boston employment centres rad index of accessibility to radial highways tax full-value property-tax rate per $10,000 ptratio pupil-teacher ratio by town black 1000(Bk - 0.63)ˆ2 where Bk is the proportion of blacks by town lstat % lower status of the population Specification of the regression tree model can be performed using the following R code > require(MASS) > require(rpart) > ?Boston > boston.rp <- rpart(medv˜.,method="anova",data=Boston, c CSIRO Australia, 2005 Course Materials and Exercises
  • 284.
    284 Tree-based ModelsII: Regression Trees and Advanced Topics control=rpart.control(cp=0.0001)) > summary(boston.rp) The summary of the fit is shown below. Note that in comparison to the classification tree, many more trees are produced. The largest tree with 39 terminal nodes has the smalled cross-validated error rate. However this would be too large and biased to predict from. The primary split for the first split of the tree is on the average number of rooms per dwelling. If a house has fewer than seven rooms (split=6.941) then that observation moves off to the left side of the tree otherwise it moves off to the right side of the tree. A compet- ing split for that tree is the lower status of the population. This variable is also a surrogate for the rm. So if we did not know the number of rooms for a house we could use lower population status to perform that split instead. Call: rpart(formula = medv ˜ ., data = Boston, method = "anova", control = rpart.control(cp = 1e-04)) n= 506 CP nsplit rel error xerror xstd 1 0.4527442007 0 1.0000000 1.0027628 0.08298070 2 0.1711724363 1 0.5472558 0.6153397 0.05783459 3 0.0716578409 2 0.3760834 0.4343630 0.04807590 4 0.0361642808 3 0.3044255 0.3401563 0.04301558 ... 37 0.0002274363 39 0.1170596 0.2502034 0.03772380 38 0.0001955788 40 0.1168322 0.2486663 0.03723079 39 0.0001000000 41 0.1166366 0.2483847 0.03722298 Node number 1: 506 observations, complexity param=0.4527442 mean=22.53281, MSE=84.41956 left son=2 (430 obs) right son=3 (76 obs) Primary splits: rm < 6.941 to the left, improve=0.4527442, (0 missing) lstat < 9.725 to the right, improve=0.4423650, (0 missing) c CSIRO Australia, 2005 Course Materials and Exercises
  • 285.
    Tree-based Models II:Regression Trees and Advanced Topics 285 indus < 6.66 to the right, improve=0.2594613, (0 missing) Surrogate splits: lstat < 4.83 to the right, agree=0.891, adj=0.276, (0 split) ptratio < 14.55 to the right, agree=0.875, adj=0.171, (0 split) ... If we look at the complexity table in more detail we see that the tree corresponding to the lowest error rate is a tree with 27 terminal nodes. However, if we look higher up on the table, we see that there is a tree smaller in size but within one standard error of the minimum (0.2786 < 0.2482 + 0.03755) . This is a tree that has 12 terminal nodes. CP nsplit rel error xerror xstd 1 0.4527442 0 1.0000 1.0028 0.08298 2 0.1711724 1 0.5473 0.6153 0.05783 3 0.0716578 2 0.3761 0.4344 0.04808 4 0.0361643 3 0.3044 0.3402 0.04302 5 0.0333692 4 0.2683 0.3498 0.04594 6 0.0266130 5 0.2349 0.3460 0.04537 7 0.0158512 6 0.2083 0.3148 0.04314 8 0.0082454 7 0.1924 0.2953 0.04396 9 0.0072654 8 0.1842 0.2885 0.04195 10 0.0069311 9 0.1769 0.2869 0.04115 11 0.0061263 10 0.1700 0.2879 0.04124 12 0.0048053 11 0.1639 0.2786 0.04128 <- 1 SE 13 0.0045609 12 0.1591 0.2706 0.04081 14 0.0039410 13 0.1545 0.2708 0.04082 15 0.0033161 14 0.1506 0.2647 0.04067 16 0.0031206 15 0.1472 0.2608 0.03991 17 0.0022459 16 0.1441 0.2561 0.03977 18 0.0022354 18 0.1396 0.2541 0.03892 19 0.0021721 19 0.1374 0.2539 0.03892 20 0.0019336 20 0.1352 0.2532 0.03769 c CSIRO Australia, 2005 Course Materials and Exercises
  • 286.
    286 Tree-based ModelsII: Regression Trees and Advanced Topics 21 0.0017169 21 0.1333 0.2514 0.03768 22 0.0014440 22 0.1316 0.2495 0.03766 23 0.0014098 23 0.1301 0.2487 0.03758 24 0.0013635 24 0.1287 0.2490 0.03757 25 0.0012778 25 0.1273 0.2491 0.03758 26 0.0012474 26 0.1261 0.2487 0.03758 27 0.0011373 28 0.1236 0.2482 0.03755 <- Minimum 28 0.0009633 29 0.1224 0.2484 0.03753 29 0.0008487 30 0.1215 0.2485 0.03755 30 0.0007099 31 0.1206 0.2516 0.03779 31 0.0005879 32 0.1199 0.2505 0.03773 32 0.0005115 33 0.1193 0.2502 0.03772 33 0.0003794 34 0.1188 0.2499 0.03772 34 0.0003719 35 0.1184 0.2497 0.03773 35 0.0003439 36 0.1181 0.2501 0.03773 36 0.0003311 37 0.1177 0.2500 0.03773 37 0.0002274 39 0.1171 0.2502 0.03772 38 0.0001956 40 0.1168 0.2487 0.03723 39 0.0001000 41 0.1166 0.2484 0.03722 An alternative way to select the tree is through a plot of the cross-validated error versus the complexity parameter or tree size. Figure 107 summarises the information in the complexity table and highlights the optimal tree using a dotted line. Both the complexity table and the complexity plot reveal a regression tree with 12 splits. Pruning the tree can be achieved by selecting a complexity value that is greater than that produced for the optimal tree but less than the complexity value for the next tree above it. For this example, we require a tree that has a complexity parameter between 0.0048 and 0.0061. Figure 108 displays the resulting pruned model. > boston.prune <- prune(boston.rp,cp=0.005) > plot(boston.prune) > text(boston.prune) The model shown in Figure 108 shows an important first split on theaverage number of c CSIRO Australia, 2005 Course Materials and Exercises
  • 287.
    Tree-based Models II:Regression Trees and Advanced Topics 287 cp X−valRelativeError 0.20.40.60.81.01.2 Inf 0.035 0.0071 0.0036 0.002 0.0013 0.00078 0.00034 1 3 5 7 9 11 14 17 21 24 27 31 34 37 41 size of tree Figure 107: Plot of cross-validated errors produced for all trees versus the complexity value. rooms per dwelling. The second split off to the left on lstat also seems to be quite an important split in terms of the models ability to partition the data to reduce the residual sums of squares. The more expensive houses appear to be those that have a higher number of rooms (on average), while the cheap houses have a smaller number of rooms (<6.941 on average) and have a low status in the population with a high crime rate. Interactive pruning allows you to interact with the tree and snip off splits of the tree using the mouse. For larger trees, this feature works best when you set the uniform=T option in the plot. The following script shows how you can interact with a plot. > plot(boston.prune,uniform=T,branch=0.1) > text(boston.prune,pretty=1,use.n=T) > boston.prune.int <- snip.rpart(boston.prune) Clicking once on the node reveals information about that node. Clicking a second time removes that split. Figure 109 produces a tree with 9 terminal nodes resulting from this exercise of interactive pruning. Predictions We now examine the predictions from both models. We do this using the predict func- c CSIRO Australia, 2005 Course Materials and Exercises
  • 288.
    288 Tree-based ModelsII: Regression Trees and Advanced Topics | rm< 6.941 lstat>=14.4 crim>=6.992 nox>=0.6055 nox>=0.531 dis>=1.551 rm< 6.543 lstat>=7.57 rm< 7.437 lstat>=9.65 ptratio>=17.6 11.08 16.63 16.24 20.02 20.99 23.97 27.43 38 23.06 33.74 38.89 46.99 Figure 108: Pruned model. c CSIRO Australia, 2005 Course Materials and Exercises
  • 289.
    Tree-based Models II:Regression Trees and Advanced Topics 289 | rm< 6.941 lstat>=14.4 crim>=6.992 dis>=1.551 rm< 6.543 rm< 7.437 lstat>=9.65 ptratio>=17.6 11.98 n=74 17.14 n=101 21.66 n=193 27.43 n=55 38 n=7 23.06 n=7 33.74 n=39 38.89 n=7 46.99 n=23 Figure 109: Pruned tree resulting from interactive pruning c CSIRO Australia, 2005 Course Materials and Exercises
  • 290.
    290 Tree-based ModelsII: Regression Trees and Advanced Topics tion as follows: # Model 1: Pruning based on the 1SE rule > boston.pred1 <- predict(boston.prune) # Model 2: Result from interactive pruning > boston.pred2 <- predict(boston.prune.int) To assess the performance of each model, we compute the correlation matrix of predic- tions with the actual response. > boston.mat.pred <- cbind(Boston$medv, boston.pred1,boston.pred2) > boston.mat.pred <- data.frame(boston.mat.pred) > names(boston.mat.pred) <- c("medv","pred.m1","pred.m2") > cor(boston.mat.pred) medv pred.m1 pred.m2 medv 1.0000000 0.9144071 0.9032262 pred.m1 0.9144071 1.0000000 0.9877725 pred.m2 0.9032262 0.9877725 1.0000000 The correlations indicate that the predictions between both models are highly correlated with the response. Model 1 predictions are slightly better than model 2 predictions. The predictions can be plotting using the following script. The eqscplot function is used to set up a square plotting region with axes that are in proportion to one another. > par(mfrow=c(1,2),pty="s") > with(boston.mat.pred,{ eqscplot(pred.m1,medv, xlim=range(pred.m1,pred.m2),ylab="Actual", xlab="Predicted",main="Model 1") abline(0,1,col="blue",lty=5) eqscplot(pred.m2,medv, xlim=range(pred.m1,pred.m2),ylab="Actual", c CSIRO Australia, 2005 Course Materials and Exercises
  • 291.
    Tree-based Models II:Regression Trees and Advanced Topics 291 xlab="Predicted",main="Model 2") abline(0,1,col="blue",lty=5) par(mfrow=c(1,1)) }) The plots in Figure 110 indicate that both models do reasonably well in predicting the median value of house prices in Boston. However, model 1 is a slight improvement over model 2. 15 25 35 45 0204060 Model 1 Predicted Actual 10 20 30 40 50 1020304050 Model 2 Predicted Actual Figure 110: Actual versus predicted values for models 1 and 2. Omitting a Variable c CSIRO Australia, 2005 Course Materials and Exercises
  • 292.
    292 Tree-based ModelsII: Regression Trees and Advanced Topics What happens to the tree when we omit the average number of rooms per dwelling (rm)? The following script updates the decision tree and removes this variable from the set of explanatory variables that the algorithm has to choose from. > boston.rp.omitRM <- update(boston.rp,˜.-rm) > summary(boston.rp.omitRM) Call: CP nsplit rel error xerror xstd 1 0.4423649998 0 1.0000000 1.0024048 0.08301982 2 0.1528339955 1 0.5576350 0.6023236 0.04816705 3 0.0627501370 2 0.4048010 0.4405161 0.04012065 Node number 1: 506 observations, complexity param=0.442365 mean=22.53281, MSE=84.41956 left son=2 (294 obs) right son=3 (212 obs) Primary splits: lstat < 9.725 to the right, improve=0.4423650, (0 missing) indus < 6.66 to the right, improve=0.2594613, (0 missing) Surrogate splits: indus < 7.625 to the right, agree=0.822, adj=0.575, (0 split) nox < 0.519 to the right, agree=0.802, adj=0.528, (0 split) The result is that the primary split is now on lstat with surrogate splits on indus and nox. If we look closely at the original model below, we see that the competing split at node 1 is lstat at 9.725. Node number 1: 506 observations, complexity param=0.4527442 mean=22.53281, MSE=84.41956 left son=2 (430 obs) right son=3 (76 obs) Primary splits: rm < 6.941 to the left, improve=0.4527442, (0 missing) lstat < 9.725 to the right, improve=0.4423650, (0 missing) indus < 6.66 to the right, improve=0.2594613, (0 missing) c CSIRO Australia, 2005 Course Materials and Exercises
  • 293.
    Tree-based Models II:Regression Trees and Advanced Topics 293 Surrogate splits: lstat < 4.83 to the right, agree=0.891, adj=0.276, (0 split) ptratio < 14.55 to the right, agree=0.875, adj=0.171, (0 split) In the absence of rm the new model uses the competing split of the previous model to make the first split. Node number 1: 506 observations, complexity param=0.442365 mean=22.53281, MSE=84.41956 left son=2 (294 obs) right son=3 (212 obs) Primary splits: lstat < 9.725 to the right, improve=0.4423650, (0 missing) indus < 6.66 to the right, improve=0.2594613, (0 missing) Surrogate splits: indus < 7.625 to the right, agree=0.822, adj=0.575, (0 split) nox < 0.519 to the right, agree=0.802, adj=0.528, (0 split) Examining Performance through a Test/Training Set To obtain a realistic estimate of model performance, we randomly divide the dataset into a training and test set and use the training dataset to fit the model and the test dataset to validate the model. Here is how we do this: > set.seed(1234) > n <- nrow(Boston) # Sample 80% of the data > boston.samp <- sample(n, round(n*0.8)) > bostonTrain <- Boston[boston.samp,] > bostonTest <- Boston[-boston.samp,] > testPred <- function(fit, data = bostonTest) { # # mean squared error for the performance of a c CSIRO Australia, 2005 Course Materials and Exercises
  • 294.
    294 Tree-based ModelsII: Regression Trees and Advanced Topics # predictor on the test data. # testVals <- data[,"medv"] predVals <- predict(fit, data[, ]) sqrt(sum((testVals - predVals)ˆ2)/nrow(data)) } # MSE for previous model (Resubstitution Rate) > testPred(boston.prune,Boston) [1] 3.719268 We compute the mean squared error for the previous model, where the entire dataset was used to fit the model and also validate it. The mean squared error estimate is 3.719268. This can be considered a resubstitution error rate. Fitting the model again, but to the training dataset only and examining the complexity table reveals that the best model (based on the 1SE rule) is a tree with seven terminal nodes (see Figure 111. > bostonTrain.rp <- rpart(medv˜.,data=bostonTrain, method="anova",cp=0.0001) > plotcp(bostonTrain.rp) > abline(v=7,lty=2,col="red") # 1 SE rule # pruning the tree > bostonTrain.prune <- prune(bostonTrain.rp,cp=0.01) # plotting the tree > plot(bostonTrain.prune) > text(bostonTrain.prune) # Computing the MSE # Training dataset > testPred(bostonTrain.prune,bostonTrain) [1] 4.059407 # Test dataset c CSIRO Australia, 2005 Course Materials and Exercises
  • 295.
    Tree-based Models II:Regression Trees and Advanced Topics 295 cp X−valRelativeError 0.20.40.60.81.01.2 Inf 0.056 0.0079 0.0054 0.0022 0.0015 0.00076 3e−04 1 3 5 7 9 12 14 16 19 21 23 25 29 31 33 36 size of tree Figure 111: Complexity plot on decision tree fitted to the training data > testPred(bostonTrain.prune,bostonTest) [1] 4.782395 Pruning the tree and computing the mean squared error rates for the training and test set respectively produce values of 4.059407 and 4.782395. The prediction performance of the models can be examined through plots of the actual versus predicted values as shown below in Figure 113. > bostonTest.pred <- predict(bostonTrain.prune,bostonTest) > with(bostonTest,{ cr <- range(bostonTest.pred,medv) eqscplot(bostonTest.pred,medv,xlim=cr,ylim=cr, ylab="Actual",xlab="Predicted",main="Test Dataset") abline(0,1,col="blue",lty=5) }) c CSIRO Australia, 2005 Course Materials and Exercises
  • 296.
    296 Tree-based ModelsII: Regression Trees and Advanced Topics Training Dataset | rm< 6.941 lstat>=14.4 crim>=6.992 dis>=1.551 rm< 6.548 rm< 7.437 11.54 17.15 21.55 26.99 38 32.19 44.73 Figure 112: Pruned model produced using the training dataset 10 20 30 40 50 1020304050 Test Dataset Predicted Actual Figure 113: Plot of actual versus predicted values. c CSIRO Australia, 2005 Course Materials and Exercises
  • 297.
    Tree-based Models II:Regression Trees and Advanced Topics 297 Advanced Topics Throughout this session we have highlighted the useful features of decision trees and their ability to handle different data types and produce models that are readily inter- pretable. A major pitfall of decision trees is their instability. That is, if we were to in- troduce additional data or omit some data from the original dataset, the decision tree is likely to produce a tree with different splits. Methods for overcoming tree instability that have been a hot topic over the past few years are aggregating methods, one of which is Bootstrap Aggregation, otherwise known as Bagging. Bootstrap Aggregation (or Bagging) Bagging is a technique for considering how different the result might have been if the algorithm were a little less greedy. Bootstrap training samples of the data are used to construct a forest of trees. Predictions from each tree are averaged (regression trees) or if classification trees are produced, a majority vote is used. The number of trees grown in the forest is still a matter of some debate. Random Forests develops this idea much further. Pros/Cons of Bootstrap Aggregation Methods The primary advantage of Bagging and most model aggregation methods is their ability to eliminate weaknesses concerned with model instability. However, the result is not a single tree, but a forest of trees with predictions that are averaged across models. This can make interpretation difficult. An alternative approach, which overcomes model instability but focuses more on the interpretation of models is MART (Multiple Additive Regression Trees). Components of the model are additive and it is this feature of MART which makes it easier to see individual contributions to the model in a graphical way. Some Bagging Functions The following piece of script produces a bagged sample and fits a decision tree. By default 200 random bootstrapped samples are used by the algorithm. The predict.bagRpart function produces predictions on the bagged samples. > bsample <- function(dataFrame) # bootstrap sampling dataFrame[sample(nrow(dataFrame), rep = T), ] > simpleBagging <- function(object, data = eval(object$call$data), nBags = 200, ...) { c CSIRO Australia, 2005 Course Materials and Exercises
  • 298.
    298 Tree-based ModelsII: Regression Trees and Advanced Topics bagsFull <- list() for(j in 1:nBags) bagsFull[[j]] <- update(object, data = bsample(data)) oldClass(bagsFull) <- "bagRpart" bagsFull } > predict.bagRpart <- function(object, newdata, ...) apply(sapply(object, predict, newdata = newdata), 1, mean) Execute and Compare Results We perform bagging on the Boston training dataset, form bagged predictions and com- pare with the unbagged models. The script for producing these comparisons is shown below. > boston.bag <- simpleBagging(bostonTrain.rp) > testPred(boston.bag) # bit better! [1] 3.369215 # Forming Predictions > boston.bag.pred <- predict(boston.bag, bostonTest) # Forming Correlation matrix to assess performance > boston.mat.pred <- cbind(bostonTest$medv, bostonTest.pred,boston.bag.pred) > boston.mat.pred <- data.frame(boston.mat.pred) > names(boston.mat.pred) <- c("medv","pred.m1", "pred.bag") > cor(boston.mat.pred) medv pred.m1 pred.bag medv 1.0000000 0.8737471 0.9432429 c CSIRO Australia, 2005 Course Materials and Exercises
  • 299.
    Tree-based Models II:Regression Trees and Advanced Topics 299 pred.m1 0.8737471 1.0000000 0.9468350 pred.bag 0.9432429 0.9468350 1.0000000 As shown above, the mean squared error esimate is an improvement on previous models. The correlation matrix also shows a vast improvment on predictions. Plotting these pre- dictions, shows that the bagged predictons are much more closer to the 0-1 line comared to predictions made for the training/test set and the resubstitution rate. Figure 114 dis- plays these results. # Plotting > with(bostonTest,{ par(mfrow = c(2,2), pty = "s") frame() eqscplot(boston.bag.pred,medv,ylab="Actual", xlab="Predicted",main="Bagging") abline(0, 1, lty = 4, col = "blue") eqscplot(bostonTest.pred, medv, ylab="Actual",xlab="Predicted", main="Train/Test") abline(0, 1, lty = 4, col = "blue") with(Boston, eqscplot(boston.pred1,medv,ylab="Actual",xlab="Predicted", main="Resubstitution")) abline(0, 1, lty = 4, col = "blue") par(mfrow=c(1,1)) }) c CSIRO Australia, 2005 Course Materials and Exercises
  • 300.
    300 Tree-based ModelsII: Regression Trees and Advanced Topics 10 20 30 40 50 1020304050 Bagging Predicted Actual 10 20 30 40 50 1020304050 Train/Test Predicted Actual 10 20 30 40 50 1020304050 Resubstitution Predicted Actual Figure 114: Comparison of predictions for three models: (1) Bagged decision tree, (2) Training/Test and (3) Resubstitution estimate. c CSIRO Australia, 2005 Course Materials and Exercises
  • 301.
    APPENDIX I Datasets These descriptionsare an adaptation of the information provided in the R Help system
  • 303.
    Appendix I: Datasets303 Absenteeism from School in NSW Description Information about the absenteeism rates from schools in rural New South Wales, Aus- tralia. Classifications were made by culture, age, sex and learner status. Variables Name Description Mode Eth Ethnic background: aboriginal (A), not (N) factor Sex Sex: female (F), male(M) factor Age Age group: primary (F0), form 1 (F1), form 2 (F2), form 3 (F3) factor Lrn Learner status: average (AL), slow (SL) factor Days Days absent from school in the year numeric R Object quine Location and Source This dataset is part of the MASS package and is described in more detail in Venables & Ripley (2002). For more information about this dataset see Quine (1978). c CSIRO Australia, 2005 Course Materials and Exercises
  • 304.
    304 Appendix I:Datasets Cars93 Dataset Description The Cars93 dataset contains information on the sales of cars in the United States of Amer- ica in 1993. Cars selected for this study were selected at random from two US consumer reports. Variables Name Description Mode Manufacturer Manufacturer of vehicle character Model Model of vehicle character Type Type: Small, sporty, compact, midsize, large or van factor Min.Price Minimum price (in $1000) numeric Price Midrange price numeric Max.Price Maximum price (in $1000) numeric MPG.city Miles per gallon by EPA rating (city driving) numeric MPG.highway Miles per gallon by EPA rating (city driving) numeric AirBags Airbags standard: none, driver only, driver and factor passenger DriveTrain Drive train type: rear wheel, front wheel or 4WD factor Cylinders Number of cylinders numeric EngineSize Engine size in litres numeric Horsepower Maximum horsepower numeric RPM Revolutions per minute at maximum horsepower numeric Rev.per.mile Engine revolutions per mile numeric Man.trans.avail Manual transmission: yes or no factor Fuel.tank.capacity Fuel tank capacity in US gallons numeric Passengers Number of passengers numeric Length Length of the vehicle in inches numeric Wheelbase Wheelbase in inches numeric Width Width of the vehicle in inches numeric Turn.circle U-turn space in feet numeric c CSIRO Australia, 2005 Course Materials and Exercises
  • 305.
    Appendix I: Datasets305 Name Description Mode Rear.seat.room Rear seat room in inches numeric Luggage.room Luggage capacity in cubic feet numeric Weight Weight of the vehicle in pounds numeric Origin Of non-USA or USA company origins factor Make Manufacturer and Model of vehicle character R Object Cars93 Location and Source This dataset is part of the MASS package and is described in detail in Venables & Ripley (2002). For more information about this dataset see Lock (1993) or visit the following web site: http://www.amstat.org/publications/jse/vin1/datasets.lock.html. c CSIRO Australia, 2005 Course Materials and Exercises
  • 306.
    306 Appendix I:Datasets Car Road Tests Data Description Data extracted from the 1974 Motor Trend US magazine. It contains data on fuel consump- tion, automobile design and performance for 32 vehicles. Variables Name Description Mode mpg Miles per US gallon numeric cyl Number of cylinders numeric disp Displacement in cubic inches numeric hp Gross horsepower numeric drat Rear axle ratio numeric wt Weight in pounds per 1000 numeric qsec Quarter mile time numeric vs V or S factor am Transmission: automatic (0), manual (1) factor gear Number of forward gears numeric carb Number of caruretors numeric R Object mtcars Location and Source This dataset is part of the datasets package. For more information about this dataset see Henderson & Velleman (1981). c CSIRO Australia, 2005 Course Materials and Exercises
  • 307.
    Appendix I: Datasets307 Copenhagen Housing Conditions Study Description Survey of Copenhagen housing conditions. Variables Name Description Mode Sat Satisfaction of householders with their present factor housing circumstances: Low, Medium, High Infl Perceived degree of influence householders have numeric on their propery: Low, Medium, High Type Type of rental accommodation: Tower, Atrium, Appartment, Terrace factor Cont Contact residents are afforded with other residents: factor Low, High Freq Number of residents in each class numeric R Object housing Location and Source This dataset is part of the MASS package and is described in detail in Venables & Ripley (2002). For more information about this dataset see Madsen (1976). c CSIRO Australia, 2005 Course Materials and Exercises
  • 308.
    308 Appendix I:Datasets Fisher’s Iris Data Description The iris dataset contains measurements in centimeters of the sepal length and width and petal length and width for 50 flowers from each of three species of iris: setosa, versicolor and virginica. R provides two versions of the iris dataset • iris: dataframe with 150 rows and 5 columns, described below • iris3: 3-dimensional array of 50× 4× 3, where the first dimension represents the case number within the species subsample, the second gives the measurements for each species and the third provides information on species. Variables Name Description Mode Sepal.Length Sepal length numeric Sepal.Width Sepal width numeric Petal.Length Petal length numeric Petal.Width Petal width numeric Species Species names factor R Object iris, iris3 Location and Source This dataset is part of the datasets package and is described in detail in Venables & Ripley (2002). For more information about this dataset see Anderson (1935) and Fisher (1936). c CSIRO Australia, 2005 Course Materials and Exercises
  • 309.
    Appendix I: Datasets309 Iowa Wheat Yield Data Description The Iowa dataset is a toy example that summarises the yield of wheat (bushels per acre) for the state of Iowa between 1930-1962. In addition to yield, year, rainfall and tempera- ture were recorded as the main predictors of yield. Variables Name Description Mode Year Year of harvest numeric Rain0 Pre-season rainfall numeric Temp1 Mean temperature for growing month 1 numeric Rain1 Rainfall for growing month 1 numeric Temp2 Mean temperature for growing month 2 numeric Rain2 Rainfall for growing month 2 numeric Temp3 Mean temperature for growing month 3 numeric Rain3 Rainfall for growing month 3 numeric Temp4 Mean temperature for harvest month numeric Yield Yield in bushels per acre numeric R Object iowa.xls, iowa.csv Location and Source This dataset is provided as an excel spread sheet or comma delimited text file. For more information about this dataset see Draper & Smith (1981). c CSIRO Australia, 2005 Course Materials and Exercises
  • 310.
    310 Appendix I:Datasets Janka Hardness Data Description Janka Hardness is an importance rating of Australian hardwood timbers. The test itself measures the force required to imbed a steel ball into a piece of wood and therefore pro- vides a good indication to how the timber will withstand denting and wear. Janka hardness is strongly related to the density of the timber and can usually be mod- elled using a polynomial relationship. The dataset consists of density and hardness mea- surements from 36 Australian Eucalypt hardwoods. Variables Name Description Mode Density Density measurements numeric Hardness Janka hardness numeric R Object janka.xls, janka.csv Location and Source This dataset is part of the SemiPar package and is described in detail in Williams (1959). c CSIRO Australia, 2005 Course Materials and Exercises
  • 311.
    Appendix I: Datasets311 Lung Disease Dataset Description The lung disease dataset describes monthly deaths from bronchitis, emphysema and asthma in the United Kingdom from 1974 to 1979. There are three datasets available for analysis: • ldeaths: monthly deaths reported for both sexes • mdeaths: monthly deaths reported for males only • fdeaths: monthly deaths reported for females only Variables Time series R Object ldeaths, mdeaths, fdeaths Location and Source This dataset is part of the datasets package and is described in detail in Venables & Ripley (2002). For more information about this dataset see Diggle (1990). c CSIRO Australia, 2005 Course Materials and Exercises
  • 312.
    312 Appendix I:Datasets Moreton Bay Data Description Coastline of islands in Moreton Bay in South-East Queensland. Variables Matrix of values corresponding to latitudes and longitudes R Object MB_coastline.txt Location and Source This dataset was produced using coastline extractor, a web based (free) service developed by the National Geophysical Data Center in Boulder Colorado USA. For more information see: http://www.ngdc.noaa.gov/mgg/shorelines/shorelines.html c CSIRO Australia, 2005 Course Materials and Exercises
  • 313.
    Appendix I: Datasets313 Muscle Contraction in Rat Hearts Description Experiment to assess the influence of calcium chloride on the contraction of the heart muscle of 21 rats. Variables Name Description Mode Strip heart muscle strip (S01-S21) factor Conc Concentration of calcium chloride solution numeric Length Change in length numeric R Object muscle Location and Source This dataset is part of the MASS package and is described in detail in Venables & Ripley (2002). For more information about this dataset see Linder et al. (1964). c CSIRO Australia, 2005 Course Materials and Exercises
  • 314.
    314 Appendix I:Datasets Petroleum Rock Samples Description Dataset contains information on 48 rock samples taken from a petroleum reservoir, where twelve core samples were sampled by four cross-sections. Variables Name Description Mode area Area (in pixels) or pores space numeric peri Perimeter (in pixels) numeric shape Perimeter per square root area numeric perm Permeability in milli-Darcies factor R Object rock Location and Source This dataset is part of the datasets package and is described in detail in Venables & Ripley (2002). c CSIRO Australia, 2005 Course Materials and Exercises
  • 315.
    Appendix I: Datasets315 Petrol Refinery Data Description Prater’s petrol refinery data contains information about the petroleum refining process. This dataset was originally used by Prater (1956) to build an estimation equation for yield. Variables Name Description Mode No Crude oil sample identification label (A-J) factor SG Specific Gravity numeric VP Vapour pressure (psi) numeric V10 Volatility of crude oil numeric EP Desired volatility of gasoline numeric Y Yield as a percentage of crude numeric R Object petrol Location and Source This dataset is part of the MASS package and is described in detail in Venables & Ripley (2002). For more information about this dataset see Prater (1956). c CSIRO Australia, 2005 Course Materials and Exercises
  • 316.
    316 Appendix I:Datasets Recovery of Benthos on the GBR Description Study investigates the recovery of benthos after trawling on the Great Barrier Reef (GBR). Six control plots and six impact plots were visited two times prior to treatment and four times post treatment. The total number of animals of each species was counted for each transect using a benthic sled. Variables Benthos Name Description Mode Intensity Mean trawl intensity numeric SweptArea Total swept area of the sled video camera numeric Cruise Boat identification factor Plot Site identification character Months Survey Month: -14, -8, 1, 10, 23, 61 factor Treatment Treatment: Control, Impact factor Time Survey Month: pre-treatment (0), post-treatment (1, 10, 23, 61) factor Impact Indicator for surveys performed pre and post treatment factor Topography Topography: Shallow, Deep factor Species Species counts (1 column for each species) numeric R Object Benthos.csv, SpeciesNames.csv Location and Source The data for this study is contained in an excel spreadsheet. Detailed information about the study design and data collected is contained in a CSIRO report. See Pitcher et al. (2004). c CSIRO Australia, 2005 Course Materials and Exercises
  • 317.
    Appendix I: Datasets317 Stormer Viscometer Data Description The stormer viscometer dataset contains measurements on the viscosity of a fluid, which is achieved by measuring the time taken for an inner cylinder in the viscometer to perform a fixed number of revolutions in response to some weight. Variables Name Description Mode Viscosity Viscosity of fluid numeric Wt Actuating weight numeric Time Time taken numeric R Object stormer Location and Source This dataset is part of the MASS package and is described in detail in Venables & Ripley (2002). For more information about this dataset see Williams (1959). c CSIRO Australia, 2005 Course Materials and Exercises
  • 318.
    318 Appendix I:Datasets US State Facts and Figures Description Statistics provided for 50 states of the United States of America Variables Name Description Mode Population Population estimate taken from 1 July 1975 numeric Income Per capita 1974 income numeric Illiteracy Percent of population illiterate numeric Life Exp life expectancy in years numeric Murder murder rate per 100,000 numeric HS Grad percent high school graduates numeric Frost mean number of days with minimum temperature numeric below freezing Area land area in square miles numeric R Object state.x77 Location and Source This dataset is part of the datasets package and is described in detail in Venables & Ripley (2002). For more information about this dataset see Becker et al. (1988). c CSIRO Australia, 2005 Course Materials and Exercises
  • 319.
    Appendix I: Datasets319 Volcano Data Description The volcano dataset provides topographic information on a 10m × 10m grid for Maunga Whau (Mt Eden), one of 50 volcanos in the Auckland volcanic field. Variables Matrix consisting of 87 rows (grid lines running east to west) and 61 columns (grid lines running south to north). R Object volcano Location and Source This dataset is part of the datasets package (which is automatically loaded in an R session). It has been digitized from a topographic map by Ross Ihaka. c CSIRO Australia, 2005 Course Materials and Exercises
  • 320.
    320 Appendix I:Datasets Whiteside’s Data Description The Whiteside dataset evolved from a private study conducted by Mr Derek Whiteside of the United Kingdom Building Research Station. Mr Whiteside was interested in the effect of insulation on gas consumption at his place of residence in south-east England. He recorded these measurements over two heating seasons: (1) 26 weeks before and (2) 30 weeks after cavity-wall insulation was installed. Variables Name Description Mode Insul Before or After insulation factor Temp Average outside temperature in degrees Celsius numeric Gas Weekly gas consumption in 1000s of cubic feet numeric R Object whiteside Location and Source This dataset is part of the MASS package and is described in detail in Venables & Ripley (2002). For more information about this dataset see Hand et al. (1993). c CSIRO Australia, 2005 Course Materials and Exercises
  • 321.
    APPENDIX II Laboratory Exercises Theseexercises are an adaptation of Bill Venable’s Data Analysis and Graphics Course for S-PLUS.
  • 323.
    Appendix II: LaboratoryExercises 323 Lab 1: R - An Introductory Session The following session is intended to introduce you to some features of R, some of which were highlighted in the first session of the workshop. Starting the R Session Create Directory Create a new directory on the desktop. Call it Session1. Right Click R Icon Create a shortcut by right clicking on the R icon. Rename the R session to Session1. Right click the R Icon and select Properties. Alter the Start in directory to reflect the new directory that you set up on the desktop. Click on OK once it has been entered. Double Click R Icon Start R by double clicking on the R icon that you have just created. Edit GUI Preferences Go to the Edit Menu and select GUI Preferences. Select SDI for Single window display. Click on OK. Setting up the Graphics Device > require(lattice) Attach the trellis library > ? trellis.par.set(col.whitebg()) Get help on trellis parameter settings > show.settings() - Show current trellis settings > trellis.par.set(col.whitebg()) Change the color of the background > windows() Standard graphics device Simple Model We will start off with a little artificial simple linear regression example, just to get you used to assignments, calculations and plotting. The data we generate will be of the form y = 1 + 2x + errors and then try to estimate the intercept and slope, which we know are 1 and 2 respectively and see how well we do. The errors will be made to fan out as you go along the line. Such heteroscedasticity is a common feature of many real data sets. c CSIRO Australia, 2005 Course Materials and Exercises
  • 324.
    324 Appendix II:Laboratory Exercises > x <- 1:50 Make x = (1, 2, . . ., 49, 50). > w <- 1 + x/2 We will use w to make the errors fan out along the line. > rdata <- data.frame(x=x, Make a data frame of two columns, x and y, y=1+2*x+rnorm(x)*w) and look at it. > rdata > fm <- lm(y∼x,data=rdata) Fit a simple linear regression of y on x > summary(fm) and look at the analysis. > attach(rdata) Make the columns in the data frame visible as variables. > search() Look at the search list. This is the database from > objects(2) which R finds its objects. Look at those in position 2. > plot(x,y) Standard point plot. > abline(1,2,lty=3) The true regression line: (intercept: a = 1, slope: b = 2, line type: 3) > abline(coef(fm),col="blue") Mark in the estimated regression line > segments(x,fitted(fm),x,y, Join the points vertically to the fitted lty=4,col="red") line, thus showing the errors or residuals. We will look more closely at the residuals below. At any time you can make a hard copy of the graphics by clicking on the File menu and selecting Print. > plot(fitted(fm),resid(fm), A standard regression diagnostic plot xlab="Fitted values", to check for unequal variance. Can you ylab="Residuals",main= see it? "Residuals vs Fitted") > abline(h=0,lty=4) > qqnorm(resid(fm),main= A Normal scores plot to check for skewness, "Normal Scores Plot") kurtosis and outliers in the residuals. (Not > qqline(resid(fm)) very useful here since these properties are bound up with unequal variance. > detach("rdata") Remove data frame from the search list. > rm(fm,x,rdata) Clean up. Cars93 Dataset > require(MASS) Now we look briefly at some actual data. c CSIRO Australia, 2005 Course Materials and Exercises
  • 325.
    Appendix II: LaboratoryExercises 325 0 10 20 30 40 50 020406080100120 x y Figure 115: A simulated heteroscedastic regression. > ?Cars93 The Cars93 data frame contains information about 93 makes of car (or van) on sale in the USA in 1993. For each make there are 26 variables recorded ranging from Price (of the basic model) through to Weight. The help document gives more information. > with(Cars93,plot(Type, Type is a factor, not a quantitative Price, variable. In this case a plot gives a boxplot ylab="Price (in $1,000)") by default. > attach(Cars93) > Tf <- table(Type) How many cars are there of each type? > Tf With each number of cylinders? > Cf <- table(Cylinders) > Cf > TC <- table(Type,Cylinders) A two-way table. What types of car were the two > TC with five cylinders? > Make[Cylinders=="5"] Which makes are they? (Note two equal signs. > rbind(cbind(TC,Tf), Put the marginal totals on the table. c(Cf,sum(Cf))) > plot(Weight,MPG.city) City MPG drops off with increasing weight, but c CSIRO Australia, 2005 Course Materials and Exercises
  • 326.
    326 Appendix II:Laboratory Exercises 20 40 60 80 100 −40−2001030 Residuals vs Fitted Fitted values Residuals −2 −1 0 1 2 −40−2001030 Normal Scores Plot Theoretical Quantiles SampleQuantiles Figure 116: Heteroscedastic regression: diagnostic plots c CSIRO Australia, 2005 Course Materials and Exercises
  • 327.
    Appendix II: LaboratoryExercises 327 Compact Large Midsize Small Sporty Van 102030405060 Price(in$1,000) Figure 117: Boxplots of price on type of car not in a straight line, which would be simpler. > Cars93T <- transform(Cars93, Try gallons per mile instead. GPM=1/MPG.city) > with(Cars93T, The regression looks much more linear. plot(Weight,GPM,pch=3)) Note the use of the transform and with > fm <- lm(GPM Weight,Cars93T) functions. Fit a straight line model and add it to > abline(fm,lty=4,col="blue") the curve. There is a lot of deviation, but the model seems appropriate. > plot(fitted(fm), Large positive residuals indicate good fuel economy resid(fm)) (after allowing for weight), whereas large negative > abline(h=0,lty=2) residuals indicate poor fuel economy. > identify(fitted(fm), With the mouse, position the cursor in the resid(fm),Make) plot window. It will change shape. Place it next to one of the more extreme residuals and click with the left mouse button. Repeat for as many as you like. When you have identified enough, stop the process by clicking on the stop button in the top left hand corner of the plotting region. c CSIRO Australia, 2005 Course Materials and Exercises
  • 328.
    328 Appendix II:Laboratory Exercises 2000 2500 3000 3500 4000 0.020.030.040.050.06 Weight GPM Figure 118: Gallons per mile vs car weight Graphics We now look at some more graphical facilities: contour and 3-dimensional perspective plots. > x <- seq(-pi,pi,len=50) x is a vector of 50 equally spaced values in > y <- x −π ≤ x ≤ π. y is the same. > f <- outer(x,y, After this command, f is a square matrix with function(x,y) rows and columns indexed by x and y respectively, cos(y)/(1+xˆ2)) of values of the function cos(y)/(1 + x2 ). > par(pty="s") region to square. > contour(x,y,f) Make a contour map of f and add in more lines > contour(x,y,f, for more detail. nint=15,add=T) > fa <- (f-t(f))/2 fa is the asymmetric part of f. t() is transpose). > contour(x,y,fa, Make a contour and nint=15) > persp(x,y,f) Make some pretty perspective and high > persp(x,y,fa) density image plots, of which, you can > image(x,y,f) get hard copies if you wish. c CSIRO Australia, 2005 Course Materials and Exercises
  • 329.
    Appendix II: LaboratoryExercises 329 > image(x,y,fa) > objects() and clean up before moving on. > rm(x,y,f,fa) −3 −2 −1 0 1 2 3 −3−2−10123 xy f Figure 119: Contour and perspective mesh plot of f Complex Arithmetic > th <- seq(-pi,pi,len=200) R can do complex arithmetic also. > z <- exp(1i*th) 1i is used for the complex number i. > par(pty="s") Plotting complex arguments means plot imaginary > plot(z,type="l") versus real parts. This should be a circle. > w <- rnorm(1000)+ Suppose we want to sample points within the rnorm(1000)*1i unit disc. One method would be to take complex > w <- ifelse(abs(w)>1, numbers with random standard normal real and 1/w,w) imaginary parts and map any points outside the disc onto their reciprocal. > plot(w,xlim=c(-1,1), All points are inside the unit disc but the ylim=c(-1,1),pch=4, distribution is not uniform. xlab="",ylab="", axes=F) > lines(z) c CSIRO Australia, 2005 Course Materials and Exercises
  • 330.
    330 Appendix II:Laboratory Exercises > w <- sqrt(runif(1000))* The second method uses the uniform distribution. exp(2*pi*runif(1000)*li) The points should now look more evenly spaced over the disc. > plot(w,xlim=c(-1,1), You are not expected to know why this works ylim=c(-1,1),pch=1, by the way,but working out why it does so xlab="",ylab="", is a little problem for the mathematically adept. axes=F) > lines(z) > rm(th,w,z) Clean up again > q() Quit the R session Figure 120: Two samplings of the unit disc c CSIRO Australia, 2005 Course Materials and Exercises
  • 331.
    Appendix II: LaboratoryExercises 331 Lab 2: Understanding R Objects In this exercise you will be expected to do some of the calculations for yourself. Use the help facilities as much as you need. After the pace of the introductory session this one may seem a little slow. All of the datasets are located in the MASS library so do not forget to attach it. Incidentally, if you want to locate a dataset use the find command. Animal Brain and Body Sizes Read the help file for the Animals data frame, which gives average brain and body weights for certain species of land animals. Attach the data frame at level 2 of the search list and work through the following. Try using the Tinn-R editor to write and run scripts produced in this session. 1. Make a dotchart of log(body) sizes. > dotchart(log(body),row.names(Animals),xlab="log(body)") The second argument to dotchart() gives the names to appear on the left. With data frames, the row names become the names of each variable. Notice that the information from the chart is somewhat unclear with the animals in no special order. One way to improve this is to arrange them in sorted order. > s <- sort.list(body) > dotchart(log(body[s]),row.names(Animals[s,]),xlab="log(body)") The dotchart should now be much more comprehensible. 2. Produce a similar dotchart of log(brain) sizes arranging the animals in sorted order by body size. What interesting features do you notice, if any? Detach the data frame and cleanup temporaries before proceeding to the next question. H O Holck’s Cat Data Examine the data frame cats through its help file. 1. Attach the data frame at position 2 and look at the levels of the factor Sex. > sex <- levels(Sex) > sex c CSIRO Australia, 2005 Course Materials and Exercises
  • 332.
    332 Appendix II:Laboratory Exercises Mouse Golden hamster Mole Rat Guinea pig Mountain beaver Rabbit Cat Rhesus monkey Potar monkey Goat Kangaroo Grey wolf Chimpanzee Sheep Human Jaguar Donkey Pig Gorilla Cow Horse Giraffe Asian elephant African elephant Triceratops Dipliodocus Brachiosaurus 0 5 10 log(body) 2.0 2.5 3.0 3.5 68101214161820 BodyHeart Figure 121: Two anatomical data displays Note: lower case here 2. Plot heart weight against body weight, marking in the two samples with a different character. One way to do this is using a simple loop: > plot(Bwt,Hst,type="n",xlab="Body",ylab="Heart") # axes only > for(i in 1:2) points(Bwt[Sex==sex[i]],Hwt[Sex==sex[i]],pch=2+i) (Loops will be discussed later in the course.) Another way to do something similar would be to use text() in place of the last two commands: > text(Bwt,Hwt,c("*","+")[Sex]) but this way does not allow the more precise plotting symbols to be used. Try both. 3. Find the means of each sample and print them. A direct way to do this is as follows: > BwtF <- mean(Bwt[Sex=="F"]); ... With only two groups this is probably the simplest. With more than two groups though, it becomes exceedingly tedious. A better way is to use the tapply() func- tion, (whose semantics you should look up). c CSIRO Australia, 2005 Course Materials and Exercises
  • 333.
    Appendix II: LaboratoryExercises 333 > Bmeans <- tapply(Bwt,Sex,mean) > Hmeans <- tapply(Hwt,Sex,mean) 4. Look up the symbols() command and use it to add 1 10 inch circles to your plot at the two sample mean points. > symbols(Bmeans,Hmeans,circles=c(1,1),inches=0.05,add=T) 5. [Optional] Try to put polygons on the diagram showing the convex hull of each sex. Here is a fairly slick way to do it, but it could be done in a loop as well: > hF <- chull(xF <- as.matrix(cats[Sex=="F",-1])) > hM <- chull(xM <- as.matrix(cats[Sex=="M",-1])) > polygon(xF[hF,],dens=5,angle=45) > polygon(xM[hM,],dens=5,angle=135) Combining Two Data Frames with Some Common Rows The data frame mammals contains brain and body weight data for 62 species of land mammals, including some of the entries also contained in the Animals data frame. Our problem here is to put the two data frames together, removing duplicate entries. Since the variable names of the two data frames are the same, and the row names are identical where they refer to the same animal, we can discover where the duplicates are by looking at the two row.names vectors together. There is a useful function for checking whether an entry in a vector has already occurred earlier: > nam <- c(row.names(Animals),row.names(mammals)) > dup <- duplicated(nam) We now put the data frames together and remove duplicate entries. The function rbind() may be used to bind data frames together by rows, that is, stack them on top of each other, aligning variables with the same name. > AnimalsALL <- rbind(Animals,mammals)[!dup,] > rm(dup,nam) Note the empty second subscript position. This subsets elements by row. c CSIRO Australia, 2005 Course Materials and Exercises
  • 334.
    334 Appendix II:Laboratory Exercises The Tuggeranong House Data 1. Attach the Tuggeranong house price data frame and look at the variables N.B. The Tuggeranong house data is not part of the MASS dataset. The data is provided as a comma delimited text file and can be read in using the read.csv function which will be discussed in a later session. > house <- read.csv("houses.csv") > attach(house) > house 2. Make a factor from the Rooms variable directly (3 classes) and from the Age vari- able by cutting the range into three equal parts. Rename the Cent.Heat factor for convenience. > rms <- factor(Rooms) > age <- factor(cut(Age,3)) > cht <- CentralHeating Note, instead of explicitly creating these variables and storing them temporarily in the workspace, we could have used the transform function to create a new data frame with extra columns corresponding to these objects. > houseT <- transform(house,rms=factor(Rooms), age=factor(cut(Age,3)),cht=CentralHeating) 3. Find two-way frequency tables for each pair of factors. Although the table is of only a small number of frequencies, does their appear to be any two way association? 4. Use Pearson χ2 statistic to test for association in any of the three tables you choose. [The statistic is defined as follows: χ2 = i j (Fij − Eij)2 Eij If the two classifying factors are A and B, then Fij is the frequency of class (Ai,Bj) and Eij is the estimated expected frequency. The Fij’s and Eij’s may be calculated simply as follows: > Fij <- table(A,B) > Eij <- outer(table(A),table(B))/sum(Fij) c CSIRO Australia, 2005 Course Materials and Exercises
  • 335.
    Appendix II: LaboratoryExercises 335 Look up the outer function in the help documents.] 5. Using the help facility look up the functions chisq.test and fisher.test. Use the first to check your answer from the previous question and the latter to check how well the χ2 test approximates the Fisher exact test in this instance. 6. Detach the house data and clean up. The Anorexia Data The anorexia data frame gives information on three samples of young female anorexia patients undergoing treatment. There are three groups, namely Control, Cognitive Behav- ioural treatment and Family treatment, as given by the factor Treat. For each patient the pre-study weight and post-study weight, in pounds, are given as variables Prewt and Postwt respectively. 1. Select the control patients and test the hypothesis of no change in weight over the study period. Compare the results of a paired t-test and a two-sample t-test: > attach(anorexia[anorexia$Treat=="Cont",]) > t.test(Prewt,Postwt,paired=T) > t.test(Prewt,Postwt) > detach() 2. Use a coplot to compare pre-weight with post-weight for the three treatment groups. Inside the panels, plot the points as well as the least squares line. > attach(anorexia) > panel.fn <- function(x,y,...){ points(x,y,pch=3) abline(lm(y˜x),col="blue") } > coplot(Postwt ˜ Prewt | Treat,panel=panel.fn) c CSIRO Australia, 2005 Course Materials and Exercises
  • 336.
    336 Appendix II:Laboratory Exercises 7580859095100 70 75 80 85 90 95 70 75 80 85 90 95 7580859095100 Prewt Postwt CBT Cont FT Given : Treat Figure 122: Scatterplot of anorexia data conditioned by treatment. Each panel is overlayed with a least squares line. c CSIRO Australia, 2005 Course Materials and Exercises
  • 337.
    Appendix II: LaboratoryExercises 337 Lab 3: Elementary Graphics Scatterplots and Related Issues 1. Attach the AnimalsALL data frame that you made at the end of the last laboratory session. (The Animals data frame will do if you do not get that far). Also open a small graphics window. > attach(AnimalsALL} > windows() 2. Plot brain against body, firstly using ordinary axis scales and then using logarith- mic scales in both directions, and compare the results. Put in explicit axis labels: > plot(body,brain, xlab="Average body weight (kg)", ylab="Average brain weight (gm)") > plot(body,brain, xlab="Average body weight (kg)", ylab="Average brain weight (gm)",log="xy") 3. Using identify discover which animals lie above or below the notional regression line of the log-transformed values. > identify(body,brain,row.names(AnimalsALL)) 4. Now plot both variables log-transformed and include on the plot both the ordinary least squares and the robust least trimmed squares regression lines, using a different line type for the second. > plot(log(body),log(brain),pch=4) > abline(lsfit(log(body),log(brain)),lty=1) > abline(ltsreg(log(body),log(brain)),lty=2) Why are the two so different do you think? 5. Next we will insert a legend to identify ordinary least squares (OLS) and least trimmed squares (LTS) regression lines by line type. The legend box should be placed in an otherwise empty part of the plot and a convenient way of doing this interactively is to use the locator function in conjunction with the mouse. > legend(locator(1),legend=c("OLS line","LTS line"),lty=1:2) c CSIRO Australia, 2005 Course Materials and Exercises
  • 338.
    338 Appendix II:Laboratory Exercises At this point you should place the mouse in the plot window, locate the point where you want the top left hand corner of the legend box to appear and click with the left button. Student Survey Data The data frame survey contains the results of a survey of 237 first-year Statistics students at Adelaide University. 1. Attach the data frame for later use, and have a look at the help file for this data frame. For a graphical summary of all the variables, type > plot(survey} Note that this produces a dotchart for factor variables and a normal scores plot for the numeric variables. 2. One component of this data frame, Exer is a factor object containing the responses to a question asking how often the students exercised. Produce a barplot of these responses using plot(). The table() function when applied to a factor object returns the frequencies of each level of the factor. Use this to create a pie chart of the responses with the pie() function. Do you like this better than the bar plot? Which is more infor- mative? Which gives a better picture of exercise habits of students? The pie() function takes an argument names= which can be used to put labels on each pie slice. Redraw the pie chart with labels. (Hint: use the levels() function to generate the labels.) You could also add a legend to identify the slices using the locator() function to position it. The function call to do this will be something like > legend(locator(1), legend = ..., fill=1:3) 3. You might like to try the same things with the Smoke variable, which records re- sponses to the question How often do you smoke? Note that table() and levels() ignore missing values. If you wish to include non-respondents in your chart use summary() to generate the values and names() on the summary object to gener- ate the labels. 4. Is there a relationship between pulse rate and exercising? Create boxplots of Pulse for each level of Exer with the command > plot(Exer,Pulse} c CSIRO Australia, 2005 Course Materials and Exercises
  • 339.
    Appendix II: LaboratoryExercises 339 Freq None Some 020406080100 Freq None Some None Some Freq Figure 123: Two representations of the Exer frequencies Does there appear to be a relationship? You may wish to test this formally with the aov command. What other relationships can you find in these data? The Swiss Banknote Data In an effort to detect counterfeits, the dimensions of 100 known fake Swiss banknotes and 100 supposedly legal notes were measured. The length of the note and its diagonal were measured along with the length of each side. This dataset is located in the alr3 library. To access a copy, you must first attach the library and then load the dataset. > require(alr3) > data(banknote) 1. Attach the data frame and plot the variables against each other in a scatterplot ma- trix: > attach(banknote) > pairs(banknote) This is not very informative since legitimate and fake notes are not separated. To separate them we need to do something more specific within each panel with a c CSIRO Australia, 2005 Course Materials and Exercises
  • 340.
    340 Appendix II:Laboratory Exercises panel function. > pairs(banknote[,-1],panel= function(x,y,fake){ xy <- cbind(x,y) points(xy[fake==0,],pch=15) points(xy[fake==1,],pch=0) }, fake=Y) Note that if the panel function has more arguments than x and y, these may be supplied as named arguments to pairs, usually at the end. Which two variables seem best to discriminate the counterfeit and legal notes? 2. Generate a co-plot of these two variables, given Y. > coplot(<var1> ˜ <var2> | Y,data=banknote) Does your co-plot suggest that some of the legal notes may in fact be undetected. c CSIRO Australia, 2005 Course Materials and Exercises
  • 341.
    Appendix II: LaboratoryExercises 341 Lab 4: Manipulating Data Birth Dates Repeat the birth date example discussed in the lecture for your own birth date. The Cloud Data In this exercise we do some polynomial regression calculations from scratch using raw matrix manipulation and verify the results using R tools. (A side effect is to reinforce the value of learning to use those tools effectively!) 1. The cloud data is not part of the MASS library but is available as text file and can be read in using read.table. After reading in the data, look at the data. > cloud <- read.table("cloud.txt",header=T) > cloud 2. Attach the data and for ease of typing make two new variables, x and y equal to the Is% and cloud point vectors respectively. Let n be the number of observations, for future reference. > attach(cloud) > x <- Ispc > y <- Cloudpt > n <- length(x) 3. Mean correct the x vector and construct a model matrix for a cubic regression of y on x, (where the powers are of the mean corrected x-vector). Include the constant term, of course. > xmc <- x-mean(x) > X <- cbind(1,xmc,xmcˆ2,xmcˆ3) > X 4. The regression coefficients are b = (X′ X)−1 X′ y. First calculate the matrices. Here are two alternative ways of calculating X′ X. > XX <- t(X) %*% X # the literalist way c CSIRO Australia, 2005 Course Materials and Exercises
  • 342.
    342 Appendix II:Laboratory Exercises > XX <- crossprod(X) # more efficient alternative The X′ y matrix is, similarly, > Xy <- crossprod(X,y) # 2 argument form Now calculate the regression coefficients in b using solve(). 5. Calculate • the fitted values, f = Xb, • the residuals, r = y − f, • the residual mean square s2 = ( i r2 i )/(n − 4) and • the variance matrix of the regression coefficients, s2 (X′ X)−1 , which you call, say Vb. 6. The square roots of the diagonal entries of Vb give the standard errors, and the ratio of the regression coefficients to these give the t-statistics. > se <- sqrt(diag(Vb)) > ts <- b/se 7. Finally, arrange the results in a comprehensible form and print them out: > R <- cbind(b,se,ts,1-pt(ts,n-3)) > rnames <- c("Constant","Linear","Quadratic","Cubic") > cnames <- c("Coef","Std. Err.","t-stat","Tail prob.") > dimnames(R) <- list(rnames,cnames) > R 8. Check the calculations by the standard tools, for example > fm <- lm(y˜1+xmc+I(xmcˆ2)+I(xmcˆ3)) > summary(fm) # check the table > b-coef(fm) # check for numerical discrepancies 9. Detach data frame and clean up c CSIRO Australia, 2005 Course Materials and Exercises
  • 343.
    Appendix II: LaboratoryExercises 343 The Longley Data This is a famous data set used in a benchmark study of least squares software accuracy. It comes as a system dataset and ?longley will give more information. Our purpose is to study this data, possibly seeing why it is so commonly used to check out least squares calculations. The data set is too small to study effectively by graphical methods, so we will stick to calculations. 1. Find the means and variances of each variable. Do this any way you like, but com- pare your answer with the results of > mns <- apply(longley,2,mean) > mns > vrs <- apply(longley,2,var) > vrs 2. Compare the results of the two commands > apply(longley,2,var) > var(longley) What is going on? 3. Find the correlation matrix between all variables. (cor()) 4. Find the singular value decomposition of the mean corrected X-matrix and print out the singular values. (svd()) The simplest way to calculate and subtract the sample mean from each column of a matrix is to use the scale function: > Xc <- scale(longley[,-7],scale=F) What happens if we leave off the scale=F argument? Investigate. Note that scale works either with matrices or data frames. Another way is to use the model fitting functions: > Xc <- resid(lm(longley.x˜1)) A different way, that keeps the mean vector as well, is as follows > xb <- apply(longley.x,2,mean) # calculate the 6 means > dm <- dim(longley.x) > Xc <- longley.x - matrix(xb,dm[1],dm[2],byrow=T) # correct c CSIRO Australia, 2005 Course Materials and Exercises
  • 344.
    344 Appendix II:Laboratory Exercises Convince yourself why all three should work and verify that they lead to the same result. The ratio of the largest to the smallest singular value is called the condition number of the matrix. Calculate it and print it out. c CSIRO Australia, 2005 Course Materials and Exercises
  • 345.
    Appendix II: LaboratoryExercises 345 Lab 5: Classical Linear Models H O Holck’s cats data, revisited As noted earlier, the data frame cats gives the sex heart and body weights of 144 hapless domestic cats used in animal experiments. We will explore in a simple way the relation- ship between heart and body weight and check for differences between sexes. 1. Use a coplot to show the relationship of heart weight to body weight separately for the two sexes. Include the least squares line as a guide. 2. Fit separate regressions of heart weight on body weight for each sex. Also fit parallel regression lines and a single regression line for the two sexes. Test the models and comment. > cats.m0 <- aov(Hwt˜Sex/Bwt,data=cats) # separate > cats.m1 <- aov(Hwt˜Sex+Bwt,data=cats) # parallel > cats.m2 <- aov(Hwt˜Bwt,data=cats) # identical > anova(cats.m2,cats.m1,cats.m0) 3. Consider an alternative model that postulates that heart weight is proportional to body weight. This leads fairly naturally to a model of the form log(Hwt) = β0 + β1 log Bwt +ǫ with a natural null hypothesis of β1 = 1. Explore various models with the log transformed data and comment. Cars Dataset Read the details of the data frame Cars93. Build a regression equation for predicting the miles per gallon in city travel using the other variables (except MPG.highway, of course). Check your final suggested equation with suitable diagnostic plots. If there appears to be variance heterogeneity (which is suspected) repeat the construction using either a log- transformed or reciprocal response variable. Notice that the reciprocal transformation leads to an easily appreciated quantity, the gal- lons per mile used in city travel. c CSIRO Australia, 2005 Course Materials and Exercises
  • 346.
    346 Appendix II:Laboratory Exercises The Painters Data Read the description of the painters data either from the notes or using ?painters within R. 1. To see how the schools differ on each of the characteristics, plot the data frame using the method appropriate to a design: > plot.design(painters This will give a series of four plots that should be understandable. 2. Perform a single classification analysis of variance on each variable on school. 3. Optional Find the matrix of residuals for the four variables and hence the within school variance and correlation matrices. c CSIRO Australia, 2005 Course Materials and Exercises
  • 347.
    Appendix II: LaboratoryExercises 347 Lab 6: Non-Linear Regression The Stormer Viscometer Data 1. Work through the material covered in the lecture notes for fitting a non-linear re- gression model to the stormer dataset. 2. As a graphical challenge, display the fitted regression surface and the fitted points on a perspective diagram. Try also a contour diagram and an image plot. The Steam Data The steam data (data frame steam, see the online help documents) has (at least) two sensible nonlinear regression models, depending on whether the error is taken as additive of multiplicative on the original scale. For an additive error model it becomes P = α exp{ βt γ + t } + E and for a multiplicative error model: log P = log α + { βt γ + t } + E∗ 1. Devise a suitably ingenious method for finding initial values for the parameters. For example, plot log(Press) against Temp/(g+Temp) for some value of g, say 1. Then adjust g by either doubling or halving until the plot seems to be an approx- imately straight line. (This leads to an initial value somewhere near ˆγ0 = 200.) 2. Fit both models and compare (a) The parameter estimates, and (b) The fitted values and simple pointwise confidence regions for them on the original scale. Comment c CSIRO Australia, 2005 Course Materials and Exercises
  • 349.
    Appendix II: LaboratoryExercises 349 Lab 7& 8: Generalized Linear Models and GAMs Snail Mortality Data The snail mortality dataset consists of and experiment conducted on a group of 20 snails, which were held for periods of 1, 2, 3 or 4 weeks in carefully controlled conditions of temperature and relative humidity. Two species of snail were examined: A and B. 1. Read the help file on the snails data and attach the data frame. 2. Coerce the species variable into a factor and create a suitable response variable and call it Y. > snails$Species <- as.factor(Species) > snails$Y <- cbind(Deaths,20-Deaths) Optional: Try using the transform function to create new variables for Species and Y. 3. Fit separate linear models for the two species. > fm <- glm(Y˜Species/(Temp+Rel.Hum+Exposure), family=binomial, data=snails, trace=T) 4. Now determine whether the response surfaces for the two species should be con- sidered parallel. > fm0 <- update(fm, ˜ Species+Temp+Rel.Hum+Exposure) > anova(fm0,fm,test="Chisq") 5. Produce some diagnostic plots and assess the fit of the model. The Janka Data 1. Fit a locally weighted regression to the Janka data and compare it with the fitted curve from the model fitted when last you used the Janka data. (Remember, the janka data is located in a .csv file.) > fma <- gam(Hardness ˜ lo(Density),data=janka) c CSIRO Australia, 2005 Course Materials and Exercises
  • 350.
    350 Appendix II:Laboratory Exercises 2. Experiment with the span= and degree= parameters of the lo() function to see how (if anything much) it affects the characteristics of the fitted curve in this case. 3. Compare this fitted curve with a local regression model obtained by > fmb <- loess(Hardness ˜ Density,data=janka) The Birth Weight Data Look at the birthwt data frame. Build up a model (as done in the lectures) for estimating the probability of low birth weight in terms of the other predictions (excluding actual birth weight, of course). See how the picture changes if low birth weight is defined differently, that is at some other truncation level. At the moment, low is an indicator of birthwt for values less than 2.5kg. c CSIRO Australia, 2005 Course Materials and Exercises
  • 351.
    Appendix II: LaboratoryExercises 351 Lab 9: Advanced Graphics Graphics Examples Work through the material covered in the lecture notes. Make sure you use the Tinn-R editor for submitting scripts. Define your own colour palettes and view the results. The Akima Data 1. The akima dataset is located in the akima library. To access the data > require(akima) > data(akima) Read about the akima data which we will be using for 3D graphs. 2. Interpolate the data using the interp function. Get help on the function so you understand its usage. 3. Produce a contour, image and perspective mesh plot of the data. Investigate setting up your own colour scheme. Heights of New York Choral Society Singers 1. The singer dataset is located in the lattice package. Load this package and read the help supplied for this dataset. 2. Look up the histogram function in the help section and see what parameters can be specified. Produce a histogram of heights broken down by voice type using the histogram lattice function. 3. Add to the previous plot a density 4. Investigate the Normality of the data for each voice type by producing a Normal scores plot. Use the qqmath function to create this plot. c CSIRO Australia, 2005 Course Materials and Exercises
  • 353.
    Appendix II: LaboratoryExercises 353 Lab 10: Mixed Effects Models The Rail Dataset The Rail dataset is part of the nlme library. It contains information on travel time for a certain type of wave resulting from longitudinal stress of rails on tracks. The data consists of a factor, Rail that gives the number of the rail that the measurement was taken and the travel time, travel for the head-waves in the rail. 1. Attach the nlme library and read the help provided for the Rail dataset. 2. Fit a linear model to the Rail data of the form yij = β + ǫij and look at the results. This is a simple mean model. 3. Produce some diagnostic plots. A useful plot to produce is a boxplot of residuals by rail number and comment on the plot. Is there any variability between rails? 4. Now fit a fixed effects model of the form yij = βi + ǫij This model fits a separate fixed effects term to each rail. (Do not fit the intercept). Examine the results and pay particular attention to the residual standard error. 5. Produce a residual plot for this new model and compare the results. 6. Although this model accounts for the effects due to rails, it models the specific sam- ple of rails and not the population of rails. This is where a random effects model may prove useful. A random effects model of the form yij = ¯β + (βi − ¯β) + ǫij treats the rail effects as random variations around the population mean. Try fitting this model using lme and examine the results: > fitRail.lme <- lme(travel˜1,data=Rail,random=˜1|Rail) > summary(fitRail.lme) c CSIRO Australia, 2005 Course Materials and Exercises
  • 354.
    354 Appendix II:Laboratory Exercises What does the fitted model tell us? Produce plots of the residuals from the fitted model using the plot function. Is this model any better? More appropriate? The Pixel Dataset The Pixel dataset is another dataset in the nlme library that contains information on the pixel intensities of CT scans of dogs over time. Read the help section for more information about this dataset. 1. Using the functions in the lattice (trellis) library, produce an exploratory plot that shows the panel intensity versus the time (in days) of the Pixel data, for each dog and for each side. 2. It seems plausible to fit some random terms in the model to capture the variability between dogs and sides within dogs (there is some variation apparent between sides but not much). Fit a mixed effects model using lme with a quadratic term for Day in the fixed effects part of the model and random terms for Dog and Side within Dog. > pixel.lme <- lme(pixel˜day + I(dayˆ2),data=Pixel, random=list(Dog=˜day,Side=˜1)) > intervals(pixel.lme) Comment on the results. 3. Produce a plot of the predicted values for each dog/side combination. > plot(augPred(pixel.lme)) Comment on the plot. c CSIRO Australia, 2005 Course Materials and Exercises
  • 355.
    Appendix II: LaboratoryExercises 355 Lab 11: Programming Elementary Programming Examples The trick with programming is to start with the simplest prototype version of the function, test is as you go, and gradually incorporate the more general and flexible features you need. A second tip is to write simple functions to do single, special tasks reliably, and gradually build the final function from these building blocks. These two principles are sometimes called bottom up design and modular design respec- tively. 1. Your task is to write a function T.test that will perform a two sample t-test, similar to the job done by the system function t.test. (a) The formula for the statistic is t = ¯y1 − ¯y2 s 1 n1 + 1 n2 where n1 and n2 are the two samples sizes, ¯y1 and ¯y2 are the two sample means, and s is the square root of the pooled estimate of variance, s2 , given by s2 = (n1 − 1)s2 1 + (n2 − 1)s2 2 (n1 − 1) + (n2 − 1) where s2 1 and s2 2 are the two sample variances. Suppose the function initially has the header T.test <- function(y1,y2){ ... } i. First find n1 and n2. ii. Next calculate the numerator of t iii. Then calculate the pooled variance and hence s iv. Finally, calculate the value of t and return that as the value of the function (b) Suppose the test is two-tailed. The significance probability is then defined as 1 − 2 Pr(|T| > t) where T ∼ tn1+n2−2. In R this is calculated as 2*(1-pt(abs(t),n1+n2-2)) c CSIRO Australia, 2005 Course Materials and Exercises
  • 356.
    356 Appendix II:Laboratory Exercises Amend your function so that it calculates this quantity and returns as its value a list with two components: the t-statistic and the significance probability. (c) Include a preliminary test of equality of variances. The significance probability for this test may be found either by the calculation (which is easy enough) or as var.test(y1,y2)$p.value. Perform the test early in the problem and issue a warning if the significance probability is less than 0.05. (d) Sometimes it may be useful to have a graphical representation of the samples as well as the numerical result. Allow the user optionally to request boxplots with an additional logical parameter boxplots: T.test <- function(y1,y2,boxplots=F){ ... if(boxplots) { f <- factor(rep(paste(‘‘Sample’’,1:2),c(n1,n2((( y <- c(y1,y2) plot(f,y) } ... } (e) Finally, it might be useful to allow the user to specify the two samples as a two- level factor and vector rather than as two separate sample vectors. Modify the function to allow this alternative call sequence: T.test <- function(y1,y2,boxplots=F){ if(is.factor(y1)) { # y1=factor, y2=all y’s l <- levels(y1) tm <- y2[y1==l[1]] y2 <- y2[y1==l[1]] y1 <- tm } ... # proceed as before } (f) Check for all likely error conditions and issue either warnings or stops to aid the user. c CSIRO Australia, 2005 Course Materials and Exercises
  • 357.
    Appendix II: LaboratoryExercises 357 (g) As a last check, test the program on the Cars93 data, comparing the Price levels for the two car origins (omitting large cars). 2. The Box and Cox power family of transformations was covered in one of the lec- tures. It is defined as f(y, λ) = (yλ − 1)/λ if λ = 0 log y if λ = 0 Write a function to calculate such a transformation. The function should be of two arguments, y: a vector of data values and lambda: a scalar specifying the exponent. Stop with an error message if any y value is negative or zero. (a) For the Janka hardness data, consider a second degree polynomial regression of y=Hardness on x=Density. Notice how with untransformed y the resid- uals show a distinct pattern of increasing variance with the mean. Consider alternative regressions with a Box and Cox power transformed y using powers λ = 1, 1 2 , 1 4 and 0. Which model would you prefer if it were important to operate in a y scale where the variance were uniform? (b) With the Cars93 data we noticed that the reciprocal of MPG.city was in some sense simpler to use as a response than the variable in the original scale. This is effectively a Box and Cox power transform with λ = −1. Consider other values for λ, say λ = 0, −1 2 , −1 and −3 2 and recommend a value accordingly. Use the regression variable Weight and the factors Type and Cylinders as the predictors, if necessary. Round Robin Tournaments Write a function of one integer variable to generate a round robin tournament draw. One possible algorithm is as follows: 1. Begin with an arbitrary pairing of teams. If there is an odd number of teams increase them by a team 0 representing a bye. 2. Write the original pairings as two columns and cycle the teams in the way shown in the diagram: If there are n teams the tournament draw is complete after n−1 cycles. 3. Return the result as an n/2 × 2 × (n − 1 array of integers. 4. Give the array a class, say robin and write a print method that will print the result in a convenient way. 5. The functions round.robin() and print.round.robin provide a solution c CSIRO Australia, 2005 Course Materials and Exercises
  • 358.
    358 Appendix II:Laboratory Exercises Figure 124: Cycle method for round robin tournament draws c CSIRO Australia, 2005 Course Materials and Exercises
  • 359.
    Appendix II: LaboratoryExercises 359 Lab 12: Neural Networks The Rock Data 1. The rock data is part of the datasets package. Call up help on this dataset. 2. Attach the rock dataset to the current session and divide the area and perimeter variables by 10000. Form a new dataset that has the transformed area, perimeter and the shape variable included. Call this dataset rock.x. 3. Fit a neural network using the nnet function. Remember to attach the neural net- work library. > rock.nn <- nnet(rock.x,log(perm), size=3, decay=1e-3, linout=T,skip=T,maxit=100) > summary(rock.nn) 4. Investigate the fit of the model The Crab Data We now consider fitting a neural network to a classification problem: classifying the sex of crabs. Get up the help on the crabs dataset and read about it. 1. Let’s start by fitting a generalized linear model to the data. We first need to trans- form the explanatory variables FL, RW, CL, CW, and BD on to the log scale. > dcrabs <- log(crabs[,4:7]) > dcrabs <- cbind(dcrabs,sex=crabs$sex) 2. Now fit a logistic regression model to the data and look at the results. 3. Produce some predictions using the predict function with type="response". 4. Optional: Try to perform a cross-validation study to assess the performance of the model. Hint: Try using the subset argument in the glm function. 5. Now fit a neural network to the crabs dataset and compare the results. > cr.nn <- nnet(dcrabs,crabs$sex=="M",size=2,decay=1e-3, skip=T,entropy=T,maxit=500) c CSIRO Australia, 2005 Course Materials and Exercises
  • 360.
    360 Appendix II:Laboratory Exercises 6. Optional: Repeat the cross-validation study but base it around the neural network. How do the two models compare? c CSIRO Australia, 2005 Course Materials and Exercises
  • 361.
    Appendix II: LaboratoryExercises 361 Lab 13& 14: Classification and Regression Trees The Crab Data Revisited In the previous laboratory session, the crab data was used to fit a logistic regression using the glm function and a neural network. Try fitting a classification tree to the crab data and compare with previous models. The Cuckoo Data The cuckoo data shows the lengths and breadths of various cuckoo eggs of the European cuckoo, Cuculus canoris classified by the species of bird in the nest of which the egg was found. 1. The data is located in an Excel spreadsheet. Attach the RODBC library and read in the dataset. 2. Reduce the data frame to a smaller one got by excluding those eggs for which the host species was unknown or for which the numbers of eggs found were less than 5. 3. Working with the reduced data frame, develop a classification tree using the rpart package for predicting the host species from the egg dimensions, to the extent to which this seems to be possible. 4. Try and amend the code provided in the lecture for partitioning the tree for this data. 5. Use the tree model to predict the host species for the unnamed host eggs of the full data frame. The Student Survey Data The survey data comes from a student survey done to produce live data for the first year statistics class in the University of Adelaide, 1992. The variables recorded included Sex, Pulse, Exer (an exercise level rating), Smoke, Height and Age. There are missing values in the data frame, so be sure to use appropriate actions to ac- commodate them. 1. Fit a naive linear model for Pulse in terms of the other variables listed above. c CSIRO Australia, 2005 Course Materials and Exercises
  • 362.
    362 Appendix II:Laboratory Exercises 2. Construct a regression tree for Pulse in terms of the other variables listed. Compare the results with that of the linear model. Comment. 3. Prune the tree to what you consider to be a sensible level and compare the residuals with those of the linear model, for example, using histograms. 4. Cross-validation with this data often suggests using a tree with just one node! That is, accurate prediction of pulse rates from the other variables is most reliably done using the simple average. However, cross validation is itself a stochastic technique. Try it and see what is suggested. 5. Optional: Try bagging out on this tree and see what improvements are made with regards to prediction. c CSIRO Australia, 2005 Course Materials and Exercises
  • 363.
    Bibliography Anderson, E. (1935),‘The irises of the Gaspe Peninsula’, Bulletin of the American Iris Society 59, 2–5. Becker, R. A., Chambers, J. M. & Wilks, A. R. (1988), The New S language, Wadsworth and Brooks. Breiman, L., Friedman, J. H., Olshen, R. A. & Stone, C. J. (1984), Classification and Regression Trees, Wadsworth. Chambers, J. M. & Hastie, T. J., eds (1992), Statistical Models in S, Chapman and Hall, New York. Diggle, P. J. (1990), Time Series: A Biostatistical Introduction, Oxford. Draper, N. R. & Smith, H., eds (1981), Applied Regression Analysis, Second Edition, Wiley, New York. Fisher, R. A. (1936), ‘The use of multiple measurements in taxonomic problems’, Annals of Eugenics 7, 179–188. Hand, D. J., Daly, F., McConwa, K., Lunn, D. & Ostrowski, E., eds (1993), A Handbook of Small Datasets, Chapman and Hall. Harrison, D. & Rubinfeld, D. L. (1978), ‘Hedonic prices and the demand for clean air’, Journal of Environmental Economics and Management 5, 81–102. Henderson & Velleman (1981), ‘Building multiple regression models interactively’, Bio- metrics 37, 391–411. Linder, A., Chakravarti, I. M. & Vuagnat, P. (1964), Fitting asymptotic regression curves with different asymptotes, in C. R. Rao, ed., ‘Contributions to Statistics’, Oxford, pp. 221–228. Lock, R. H. (1993), ‘1993 new car data’, Journal of Statistics Education 1, 1–. Madsen, M. (1976), ‘Statistical analysis of multiple contingency tables: Two examples’, Scandinavian Journal of Statistics 3, 97–106. 363
  • 364.
    364 Bibliography Pinheiro, J.C. & Bates, D. M. (2000), Mixed-Effects Models in S and S-PLUS, Springer, New York. Pitcher, C. R., Austin, M., Burridge, C. Y., Bustamante, R. H., Cheers, S. J., Ellis, N., Jones, P. N., Koutsoukos, A. G., Moeseneder, C. H., Smith, G. P., Venables, W. & Wassenberg, T. J. (2004), Recovery of seabed habitat from the impact of prawn trawling in the far northern section of the Great Barrier Reef Marine Park: CSIRO Marine Research final report to GBRMPA, Technical report, CSIRO Marine Research and CSIRO Mathematical and Information Sciences. Prater, N. H. (1956), ‘Estimate gasoline yields from crudes’, Petroleum Refiner 35, 236–238. Quine, S. (1978), ‘The analysis of unbalanced cross classifications (with discussion)’, Jour- nal of the Royal Statistical Society, Series A 141, 195–223. Signell, R. (2005), Coastline Extractor, U.S. Geological Survey, Geologic Division, Coastal and Marine Program, http://rimmer.ngdc.noaa.gov/mgg/coast/getcoast.html, Boul- der Colorado. Hosted by the National Geophysical Data Center. Therneau, T. & Atkinson, E. (1997), An introduction to recursive partitioning using the RPART routines, Technical report, Mayo Foundation, Rochester. Venables, W. N. & Ripley, B. R. (2000), S Programming, Springer, New York. Venables, W. N. & Ripley, B. R. (2002), Modern Applied Statistics with S, 4th Edition, Springer-Verlag, New York. Williams, E. J., ed. (1959), Regression Analysis, Wiley. c CSIRO Australia, 2005 Course Materials and Exercises