NADEEM UDDIN
ASSOCIATE PROFESSOR
OF STATISTICS
HYPERGEOMETRIC PROBABILITY
DISTRIBUTION
Hypergeometric Experiments:
A hypergeometric experiment is a random experiment that
has the following properties:
1-The experiment consists of n repeated trials.
2-Each trial can result in just two possible outcomes. We
call one of these outcomes a success and the other, a
failure.
3-The probability of success, in each trial is not constant.
4-The trials are dependent.
Experiment-1
A recent study found that four out of nine houses were insured. If we
select three houses from the nine without replacement and all the three
are insured.
Explanation:
1-The experiment consists of 3 repeated trials.
2-Each trial can result in just two possible outcomes. We call one of
these outcomes a success (insured) and the other, a failure
(not insured).
3-The probability of success, in each trial is not constant.
1
st
trial probability would be 4
9
.
2
nd
trial probability would be 3
8
.
3
rd
trial probability would be 2
7
.
4-The trials are dependent.
Experiment-2
You have an urn of 15 balls - 5 red and 10 green. You randomly
select 2 balls without replacement and count the number of red
balls you have selected.
Explanation:
This would be a hypergeometric experiment.
Note that it would not be a binomial experiment. A binomial
experiment requires that the probability of success be constant on
every trial. With the above experiment, the probability of a
success changes on every trial. In the beginning, the probability of
selecting a red ball is 5/15. If you select a red ball on the first trial,
the probability of selecting a red ball on the second trial is 4/14.
And if you select a green ball on the first trial, the probability of
selecting a red ball on the second trial is 5/14.
Note further that if you selected the balls with replacement, the
probability of success would not change. It would be 5/15 on every
trial. Then, this would be a binomial experiment.
Hypergeometric Random Variable:
A hypergeometric random variable is the number of successes that
result from a hypergeometric experiment.
Hypergeometric Distribution:
The probability distribution of a hypergeometric random variable is
called a hypergeometric distribution.
Given x, N, n, and k, we can compute the hypergeometric probability
based on the following formula:
𝑃 𝑥 = 𝑥 =
𝐾
𝑥
𝑁 − 𝐾
𝑛 − 𝑥
𝑁
𝑛
; 𝑓𝑜𝑟𝑥 = 0, 1, 2, 3, … … … . , 𝑛
The mean of the distribution is equal to n × k / N .
The variance is n × k × ( N - k ) × ( N - n ) / [ N
2
× ( N - 1 ) ] .
Where
N = Size of population.
n = Size of sample.
K = Number of successes.
N – K = Number of failures.
x = Number of successes in the sample.
Use of HyperGeometric Probability Distribution
𝑝 𝑥 = 𝑥 =
𝐾
𝑥
𝑁−𝐾
𝑛−𝑥
𝑁
𝑛
Example-1
If 5 cards are dealt from a deck of 52 playing cards, what is the
probability that 3 will be hearts?
Solution:
By using hypergeometric distribution 𝑝 𝑥 = 𝑥 =
𝐾
𝑥
𝑁−𝐾
𝑛−𝑥
𝑁
𝑛
Where N = 52
n = 5
K = 13
P(x=3) = ?
𝑃 𝑥 = 3 =
13
3
52−13
5 − 3
52
5
=
13
𝐶3×39
𝐶2
52 𝐶5
= 0.0815
Example-2
From 15 kidney transplant operation,3 are fail within a year
.consider a sample of 2 patients, find the probability that
(a)Only 1 of the kidney transplant operations result in
failure within a year.
(b)All 2 of the kidney transplant operations result in failure
within a year.
(c)At least 1 of the kidney transplant operations result in
failure within a year.
Solution:
By using hypergeometric distribution 𝑝 𝑥 = 𝑥 =
𝐾
𝑥
𝑁−𝐾
𝑛−𝑥
𝑁
𝑛
Where N =1 5
n = 3
K = 3
(a) P(x=1) = ?
𝑃 𝑥 = 1 =
3
1
15−3
3 − 1
15
3
=
3
𝐶1×12
𝐶2
15
𝐶3
= 0.4351
(b) P(x=2) = ?
𝑃 𝑥 = 2 =
3
2
15−3
3 − 2
15
3
=
3
𝐶2×12
𝐶1
15
𝐶3
= 0.0791
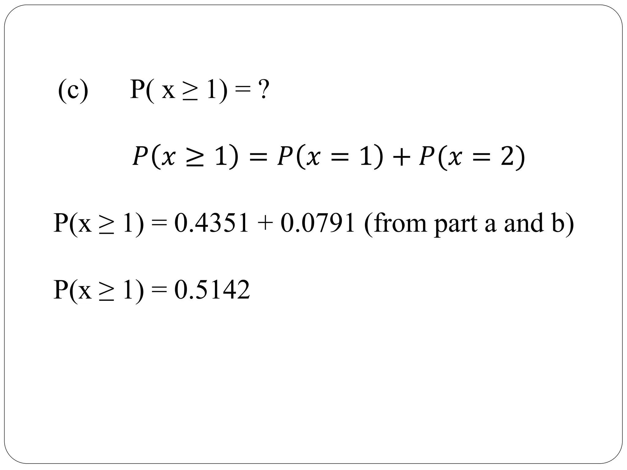
(c) P( x ≥ 1) = ?
𝑃 𝑥 ≥ 1 = 𝑃 𝑥 = 1 + 𝑃(𝑥 = 2)
P(x ≥ 1) = 0.4351 + 0.0791 (from part a and b)
P(x ≥ 1) = 0.5142
Example-3
A small voting district has 1000 female voters and 4000 male voters.
A random sample of 10 voters is drawn. What is the probability
exactly 7 of the voters will be male?
Solution:
Since the population size is large relative to the sample size, We shall
approximate the hypergeometric distribution to binomial distribution.
Therefore n = 10
𝑝 =
4000
5000
= 0.8(𝑚𝑎𝑙𝑒 𝑝𝑟𝑜𝑏𝑎𝑏𝑖𝑙𝑖𝑡𝑦)
q = 0.2(female probability)
𝑃 𝑥 = 𝑥 = 𝑛
𝑐 𝑥 𝑝 𝑥
𝑞 𝑛−𝑥
𝑃 𝑥 = 7 = 10
𝑐7 0.8 7 0.2 10−7
= 0.2013

Hypergeometric probability distribution

  • 1.
    NADEEM UDDIN ASSOCIATE PROFESSOR OFSTATISTICS HYPERGEOMETRIC PROBABILITY DISTRIBUTION
  • 2.
    Hypergeometric Experiments: A hypergeometricexperiment is a random experiment that has the following properties: 1-The experiment consists of n repeated trials. 2-Each trial can result in just two possible outcomes. We call one of these outcomes a success and the other, a failure. 3-The probability of success, in each trial is not constant. 4-The trials are dependent.
  • 3.
    Experiment-1 A recent studyfound that four out of nine houses were insured. If we select three houses from the nine without replacement and all the three are insured. Explanation: 1-The experiment consists of 3 repeated trials. 2-Each trial can result in just two possible outcomes. We call one of these outcomes a success (insured) and the other, a failure (not insured). 3-The probability of success, in each trial is not constant. 1 st trial probability would be 4 9 . 2 nd trial probability would be 3 8 . 3 rd trial probability would be 2 7 . 4-The trials are dependent.
  • 4.
    Experiment-2 You have anurn of 15 balls - 5 red and 10 green. You randomly select 2 balls without replacement and count the number of red balls you have selected. Explanation: This would be a hypergeometric experiment. Note that it would not be a binomial experiment. A binomial experiment requires that the probability of success be constant on every trial. With the above experiment, the probability of a success changes on every trial. In the beginning, the probability of selecting a red ball is 5/15. If you select a red ball on the first trial, the probability of selecting a red ball on the second trial is 4/14. And if you select a green ball on the first trial, the probability of selecting a red ball on the second trial is 5/14. Note further that if you selected the balls with replacement, the probability of success would not change. It would be 5/15 on every trial. Then, this would be a binomial experiment.
  • 5.
    Hypergeometric Random Variable: Ahypergeometric random variable is the number of successes that result from a hypergeometric experiment. Hypergeometric Distribution: The probability distribution of a hypergeometric random variable is called a hypergeometric distribution. Given x, N, n, and k, we can compute the hypergeometric probability based on the following formula: 𝑃 𝑥 = 𝑥 = 𝐾 𝑥 𝑁 − 𝐾 𝑛 − 𝑥 𝑁 𝑛 ; 𝑓𝑜𝑟𝑥 = 0, 1, 2, 3, … … … . , 𝑛 The mean of the distribution is equal to n × k / N . The variance is n × k × ( N - k ) × ( N - n ) / [ N 2 × ( N - 1 ) ] .
  • 6.
    Where N = Sizeof population. n = Size of sample. K = Number of successes. N – K = Number of failures. x = Number of successes in the sample.
  • 7.
    Use of HyperGeometricProbability Distribution 𝑝 𝑥 = 𝑥 = 𝐾 𝑥 𝑁−𝐾 𝑛−𝑥 𝑁 𝑛 Example-1 If 5 cards are dealt from a deck of 52 playing cards, what is the probability that 3 will be hearts? Solution: By using hypergeometric distribution 𝑝 𝑥 = 𝑥 = 𝐾 𝑥 𝑁−𝐾 𝑛−𝑥 𝑁 𝑛 Where N = 52 n = 5 K = 13 P(x=3) = ? 𝑃 𝑥 = 3 = 13 3 52−13 5 − 3 52 5 = 13 𝐶3×39 𝐶2 52 𝐶5 = 0.0815
  • 8.
    Example-2 From 15 kidneytransplant operation,3 are fail within a year .consider a sample of 2 patients, find the probability that (a)Only 1 of the kidney transplant operations result in failure within a year. (b)All 2 of the kidney transplant operations result in failure within a year. (c)At least 1 of the kidney transplant operations result in failure within a year.
  • 9.
    Solution: By using hypergeometricdistribution 𝑝 𝑥 = 𝑥 = 𝐾 𝑥 𝑁−𝐾 𝑛−𝑥 𝑁 𝑛 Where N =1 5 n = 3 K = 3 (a) P(x=1) = ? 𝑃 𝑥 = 1 = 3 1 15−3 3 − 1 15 3 = 3 𝐶1×12 𝐶2 15 𝐶3 = 0.4351 (b) P(x=2) = ? 𝑃 𝑥 = 2 = 3 2 15−3 3 − 2 15 3 = 3 𝐶2×12 𝐶1 15 𝐶3 = 0.0791
  • 10.
    (c) P( x≥ 1) = ? 𝑃 𝑥 ≥ 1 = 𝑃 𝑥 = 1 + 𝑃(𝑥 = 2) P(x ≥ 1) = 0.4351 + 0.0791 (from part a and b) P(x ≥ 1) = 0.5142
  • 11.
    Example-3 A small votingdistrict has 1000 female voters and 4000 male voters. A random sample of 10 voters is drawn. What is the probability exactly 7 of the voters will be male? Solution: Since the population size is large relative to the sample size, We shall approximate the hypergeometric distribution to binomial distribution. Therefore n = 10 𝑝 = 4000 5000 = 0.8(𝑚𝑎𝑙𝑒 𝑝𝑟𝑜𝑏𝑎𝑏𝑖𝑙𝑖𝑡𝑦) q = 0.2(female probability) 𝑃 𝑥 = 𝑥 = 𝑛 𝑐 𝑥 𝑝 𝑥 𝑞 𝑛−𝑥 𝑃 𝑥 = 7 = 10 𝑐7 0.8 7 0.2 10−7 = 0.2013