Fundamentals of Computational Fluid
Dynamics
Harvard Lomax and Thomas H. Pulliam
NASA Ames Research Center
David W. Zingg
University of Toronto Institute for Aerospace Studies
August 26, 1999
Contents
1 INTRODUCTION

1.1 Motivation . . . . . . . . . . . . . . . . . . . . . . . . . . . . . . . .
1.2 Background . . . . . . . . . . . . . . . . . . . . . . . . . . . . . . .
1.2.1 Problem Speci cation and Geometry Preparation . . . . . .
1.2.2 Selection of Governing Equations and Boundary Conditions
1.2.3 Selection of Gridding Strategy and Numerical Method . . .
1.2.4 Assessment and Interpretation of Results . . . . . . . . . . .
1.3 Overview . . . . . . . . . . . . . . . . . . . . . . . . . . . . . . . . .
1.4 Notation . . . . . . . . . . . . . . . . . . . . . . . . . . . . . . . . .

2 CONSERVATION LAWS AND THE MODEL EQUATIONS
2.1 Conservation Laws . . . . . . . . . . . .
2.2 The Navier-Stokes and Euler Equations .
2.3 The Linear Convection Equation . . . .
2.3.1 Di erential Form . . . . . . . . .
2.3.2 Solution in Wave Space . . . . . .
2.4 The Di usion Equation . . . . . . . . . .
2.4.1 Di erential Form . . . . . . . . .
2.4.2 Solution in Wave Space . . . . . .
2.5 Linear Hyperbolic Systems . . . . . . . .
2.6 Problems . . . . . . . . . . . . . . . . . .

.
.
.
.
.
.
.
.
.
.

.
.
.
.
.
.
.
.
.
.

.
.
.
.
.
.
.
.
.
.

.
.
.
.
.
.
.
.
.
.

3 FINITE-DIFFERENCE APPROXIMATIONS
3.1 Meshes and Finite-Di erence Notation
3.2 Space Derivative Approximations . . .
3.3 Finite-Di erence Operators . . . . . .
3.3.1 Point Di erence Operators . . .
3.3.2 Matrix Di erence Operators . .
3.3.3 Periodic Matrices . . . . . . . .
3.3.4 Circulant Matrices . . . . . . .
iii

.
.
.
.
.
.
.

.
.
.
.
.
.
.

.
.
.
.
.
.
.

.
.
.
.
.
.
.

.
.
.
.
.
.
.

.
.
.
.
.
.
.
.
.
.

.
.
.
.
.
.
.

.
.
.
.
.
.
.
.
.
.

.
.
.
.
.
.
.

.
.
.
.
.
.
.
.
.
.

.
.
.
.
.
.
.

.
.
.
.
.
.
.
.
.
.

.
.
.
.
.
.
.

.
.
.
.
.
.
.
.
.
.

.
.
.
.
.
.
.

.
.
.
.
.
.
.
.
.
.

.
.
.
.
.
.
.

.
.
.
.
.
.
.
.
.
.

.
.
.
.
.
.
.

.
.
.
.
.
.
.
.
.
.

.
.
.
.
.
.
.

.
.
.
.
.
.
.
.
.
.

.
.
.
.
.
.
.

.
.
.
.
.
.
.
.
.
.
.
.
.
.
.
.
.

.
.
.
.
.
.
.
.
.
.
.
.
.
.
.
.
.

.
.
.
.
.
.
.
.
.
.
.
.
.
.
.
.
.
.
.
.
.
.
.
.
.

1

1
2
2
3
3
4
4
5

7

7
8
12
12
13
14
14
15
16
17

21

21
24
25
25
25
29
30
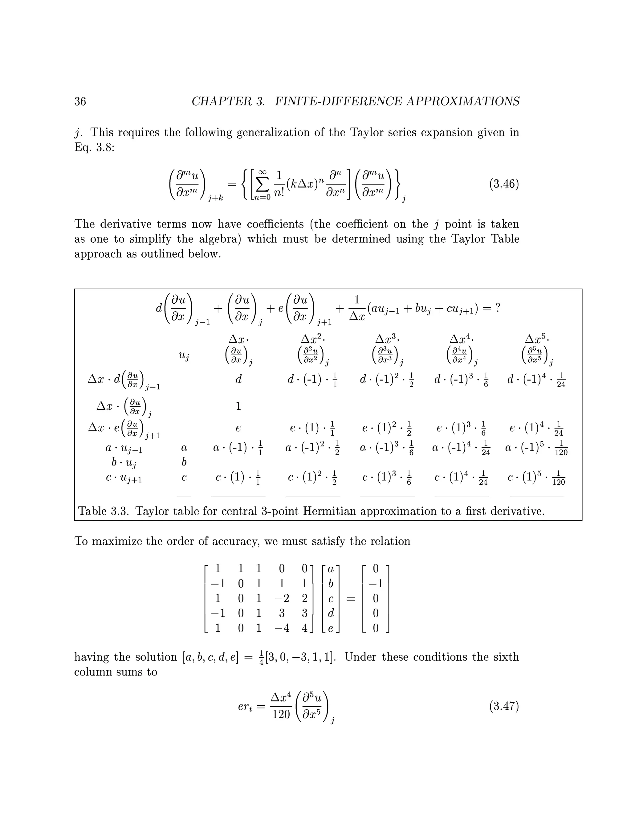
3.4 Constructing Di erencing Schemes of Any Order . . . . .
3.4.1 Taylor Tables . . . . . . . . . . . . . . . . . . . .
3.4.2 Generalization of Di erence Formulas . . . . . . .
3.4.3 Lagrange and Hermite Interpolation Polynomials
3.4.4 Practical Application of Pade Formulas . . . . . .
3.4.5 Other Higher-Order Schemes . . . . . . . . . . . .
3.5 Fourier Error Analysis . . . . . . . . . . . . . . . . . . .
3.5.1 Application to a Spatial Operator . . . . . . . . .
3.6 Di erence Operators at Boundaries . . . . . . . . . . . .
3.6.1 The Linear Convection Equation . . . . . . . . .
3.6.2 The Di usion Equation . . . . . . . . . . . . . . .
3.7 Problems . . . . . . . . . . . . . . . . . . . . . . . . . . .

.
.
.
.
.
.
.
.
.
.
.
.

.
.
.
.
.
.
.
.
.
.
.
.

.
.
.
.
.
.
.
.
.
.
.
.

.
.
.
.
.
.
.
.
.
.
.
.

.
.
.
.
.
.
.
.
.
.
.
.

.
.
.
.
.
.
.
.
.
.
.
.

.
.
.
.
.
.
.
.
.
.
.
.

31
31
34
35
37
38
39
39
43
44
46
47

4 THE SEMI-DISCRETE APPROACH

51

5 FINITE-VOLUME METHODS

71

4.1 Reduction of PDE's to ODE's . . . . . . . . . . . . . . . . . . . . . .
4.1.1 The Model ODE's . . . . . . . . . . . . . . . . . . . . . . . .
4.1.2 The Generic Matrix Form . . . . . . . . . . . . . . . . . . . .
4.2 Exact Solutions of Linear ODE's . . . . . . . . . . . . . . . . . . . .
4.2.1 Eigensystems of Semi-Discrete Linear Forms . . . . . . . . . .
4.2.2 Single ODE's of First- and Second-Order . . . . . . . . . . . .
4.2.3 Coupled First-Order ODE's . . . . . . . . . . . . . . . . . . .
4.2.4 General Solution of Coupled ODE's with Complete Eigensystems
4.3 Real Space and Eigenspace . . . . . . . . . . . . . . . . . . . . . . . .
4.3.1 De nition . . . . . . . . . . . . . . . . . . . . . . . . . . . . .
4.3.2 Eigenvalue Spectrums for Model ODE's . . . . . . . . . . . . .
4.3.3 Eigenvectors of the Model Equations . . . . . . . . . . . . . .
4.3.4 Solutions of the Model ODE's . . . . . . . . . . . . . . . . . .
4.4 The Representative Equation . . . . . . . . . . . . . . . . . . . . . .
4.5 Problems . . . . . . . . . . . . . . . . . . . . . . . . . . . . . . . . . .
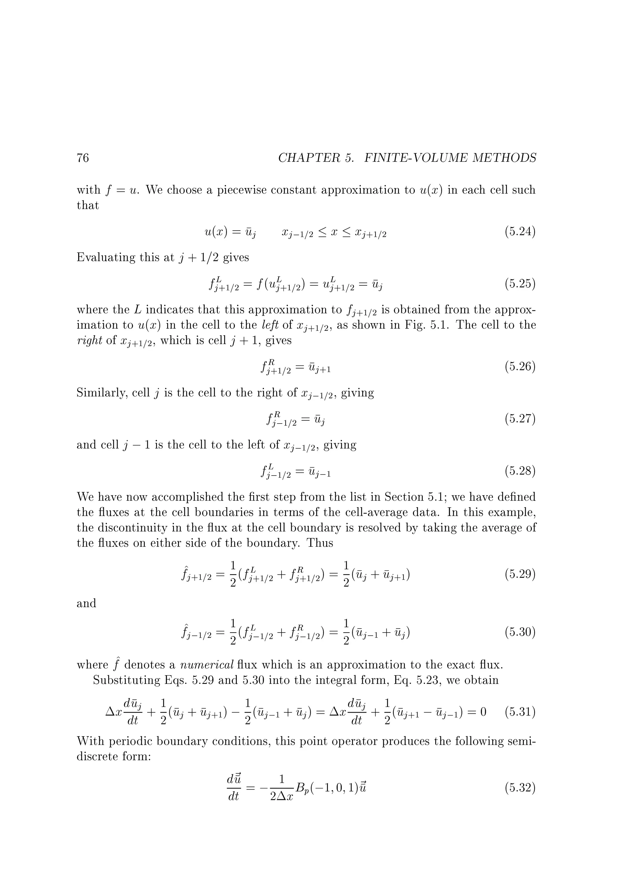
5.1 Basic Concepts . . . . . . . . . . . . . . . . . . . . . . . . . . . . .
5.2 Model Equations in Integral Form . . . . . . . . . . . . . . . . . . .
5.2.1 The Linear Convection Equation . . . . . . . . . . . . . . .
5.2.2 The Di usion Equation . . . . . . . . . . . . . . . . . . . . .
5.3 One-Dimensional Examples . . . . . . . . . . . . . . . . . . . . . .
5.3.1 A Second-Order Approximation to the Convection Equation
5.3.2 A Fourth-Order Approximation to the Convection Equation
5.3.3 A Second-Order Approximation to the Di usion Equation .
5.4 A Two-Dimensional Example . . . . . . . . . . . . . . . . . . . . .

.
.
.
.
.
.
.
.
.

52
52
53
54
54
55
57
59
61
61
62
63
65
67
68
72
73
73
74
74
75
77
78
80
5.5 Problems . . . . . . . . . . . . . . . . . . . . . . . . . . . . . . . . . .

6 TIME-MARCHING METHODS FOR ODE'S

6.1 Notation . . . . . . . . . . . . . . . . . . . . . . . . . . . . . . . . .
6.2 Converting Time-Marching Methods to O E's . . . . . . . . . . . .
6.3 Solution of Linear O E's With Constant Coe cients . . . . . . . .
6.3.1 First- and Second-Order Di erence Equations . . . . . . . .
6.3.2 Special Cases of Coupled First-Order Equations . . . . . . .
6.4 Solution of the Representative O E's . . . . . . . . . . . . . . . .
6.4.1 The Operational Form and its Solution . . . . . . . . . . . .
6.4.2 Examples of Solutions to Time-Marching O E's . . . . . . .
6.5 The ; Relation . . . . . . . . . . . . . . . . . . . . . . . . . . .
6.5.1 Establishing the Relation . . . . . . . . . . . . . . . . . . . .
6.5.2 The Principal -Root . . . . . . . . . . . . . . . . . . . . . .
6.5.3 Spurious -Roots . . . . . . . . . . . . . . . . . . . . . . . .
6.5.4 One-Root Time-Marching Methods . . . . . . . . . . . . . .
6.6 Accuracy Measures of Time-Marching Methods . . . . . . . . . . .
6.6.1 Local and Global Error Measures . . . . . . . . . . . . . . .
6.6.2 Local Accuracy of the Transient Solution (er j j er! ) . . .
6.6.3 Local Accuracy of the Particular Solution (er ) . . . . . . .
6.6.4 Time Accuracy For Nonlinear Applications . . . . . . . . . .
6.6.5 Global Accuracy . . . . . . . . . . . . . . . . . . . . . . . .
6.7 Linear Multistep Methods . . . . . . . . . . . . . . . . . . . . . . .
6.7.1 The General Formulation . . . . . . . . . . . . . . . . . . . .
6.7.2 Examples . . . . . . . . . . . . . . . . . . . . . . . . . . . .
6.7.3 Two-Step Linear Multistep Methods . . . . . . . . . . . . .
6.8 Predictor-Corrector Methods . . . . . . . . . . . . . . . . . . . . . .
6.9 Runge-Kutta Methods . . . . . . . . . . . . . . . . . . . . . . . . .
6.10 Implementation of Implicit Methods . . . . . . . . . . . . . . . . . .
6.10.1 Application to Systems of Equations . . . . . . . . . . . . .
6.10.2 Application to Nonlinear Equations . . . . . . . . . . . . . .
6.10.3 Local Linearization for Scalar Equations . . . . . . . . . . .
6.10.4 Local Linearization for Coupled Sets of Nonlinear Equations
6.11 Problems . . . . . . . . . . . . . . . . . . . . . . . . . . . . . . . . .

7 STABILITY OF LINEAR SYSTEMS
7.1 Dependence on the Eigensystem
7.2 Inherent Stability of ODE's . .
7.2.1 The Criterion . . . . . .
7.2.2 Complete Eigensystems .

.
.
.
.

.
.
.
.

.
.
.
.

.
.
.
.

.
.
.
.

.
.
.
.

.
.
.
.

.
.
.
.

.
.
.
.

.
.
.
.

.
.
.
.

.
.
.
.

.
.
.
.

.
.
.
.

.
.
.
.

.
.
.
.

.
.
.
.

.
.
.
.

.
.
.
.

.
.
.
.

.
.
.
.
.
.
.
.
.
.
.
.
.
.
.
.
.
.
.
.
.
.
.
.
.
.
.
.
.
.
.
.
.
.
.

83

85

86
87
88
89
90
91
91
92
93
93
95
95
96
97
97
98
99
100
101
102
102
103
105
106
107
110
110
111
112
115
117

121

122
123
123
123
7.3

7.4
7.5
7.6

7.7

7.8
7.9

7.2.3 Defective Eigensystems . . . . . . . . . . . . . .
Numerical Stability of O E 's . . . . . . . . . . . . . .
7.3.1 The Criterion . . . . . . . . . . . . . . . . . . .
7.3.2 Complete Eigensystems . . . . . . . . . . . . . .
7.3.3 Defective Eigensystems . . . . . . . . . . . . . .
Time-Space Stability and Convergence of O E's . . . .
Numerical Stability Concepts in the Complex -Plane .
7.5.1 -Root Traces Relative to the Unit Circle . . .
7.5.2 Stability for Small t . . . . . . . . . . . . . . .
Numerical Stability Concepts in the Complex h Plane
7.6.1 Stability for Large h. . . . . . . . . . . . . . . .
7.6.2 Unconditional Stability, A-Stable Methods . . .
7.6.3 Stability Contours in the Complex h Plane. . .
Fourier Stability Analysis . . . . . . . . . . . . . . . .
7.7.1 The Basic Procedure . . . . . . . . . . . . . . .
7.7.2 Some Examples . . . . . . . . . . . . . . . . . .
7.7.3 Relation to Circulant Matrices . . . . . . . . . .
Consistency . . . . . . . . . . . . . . . . . . . . . . . .
Problems . . . . . . . . . . . . . . . . . . . . . . . . . .

8 CHOICE OF TIME-MARCHING METHODS

8.1 Sti ness De nition for ODE's . . . . . . . . . . . .
8.1.1 Relation to -Eigenvalues . . . . . . . . . .
8.1.2 Driving and Parasitic Eigenvalues . . . . . .
8.1.3 Sti ness Classi cations . . . . . . . . . . . .
8.2 Relation of Sti ness to Space Mesh Size . . . . . .
8.3 Practical Considerations for Comparing Methods .
8.4 Comparing the E ciency of Explicit Methods . . .
8.4.1 Imposed Constraints . . . . . . . . . . . . .
8.4.2 An Example Involving Di usion . . . . . . .
8.4.3 An Example Involving Periodic Convection .
8.5 Coping With Sti ness . . . . . . . . . . . . . . . .
8.5.1 Explicit Methods . . . . . . . . . . . . . . .
8.5.2 Implicit Methods . . . . . . . . . . . . . . .
8.5.3 A Perspective . . . . . . . . . . . . . . . . .
8.6 Steady Problems . . . . . . . . . . . . . . . . . . .
8.7 Problems . . . . . . . . . . . . . . . . . . . . . . . .

.
.
.
.
.
.
.
.
.
.
.
.
.
.
.
.

.
.
.
.
.
.
.
.
.
.
.
.
.
.
.
.

.
.
.
.
.
.
.
.
.
.
.
.
.
.
.
.
.
.
.
.
.
.
.
.
.
.
.
.
.
.
.
.
.
.
.

.
.
.
.
.
.
.
.
.
.
.
.
.
.
.
.
.
.
.
.
.
.
.
.
.
.
.
.
.
.
.
.
.
.
.

.
.
.
.
.
.
.
.
.
.
.
.
.
.
.
.
.
.
.
.
.
.
.
.
.
.
.
.
.
.
.
.
.
.
.

.
.
.
.
.
.
.
.
.
.
.
.
.
.
.
.
.
.
.
.
.
.
.
.
.
.
.
.
.
.
.
.
.
.
.

.
.
.
.
.
.
.
.
.
.
.
.
.
.
.
.
.
.
.
.
.
.
.
.
.
.
.
.
.
.
.
.
.
.
.

.
.
.
.
.
.
.
.
.
.
.
.
.
.
.
.
.
.
.
.
.
.
.
.
.
.
.
.
.
.
.
.
.
.
.

.
.
.
.
.
.
.
.
.
.
.
.
.
.
.
.
.
.
.
.
.
.
.
.
.
.
.
.
.
.
.
.
.
.
.

.
.
.
.
.
.
.
.
.
.
.
.
.
.
.
.
.
.
.
.
.
.
.
.
.
.
.
.
.
.
.
.
.
.
.

123
124
124
125
125
125
128
128
132
135
135
136
137
141
141
142
143
143
146

149

149
149
151
151
152
153
154
154
154
155
158
158
159
160
160
161
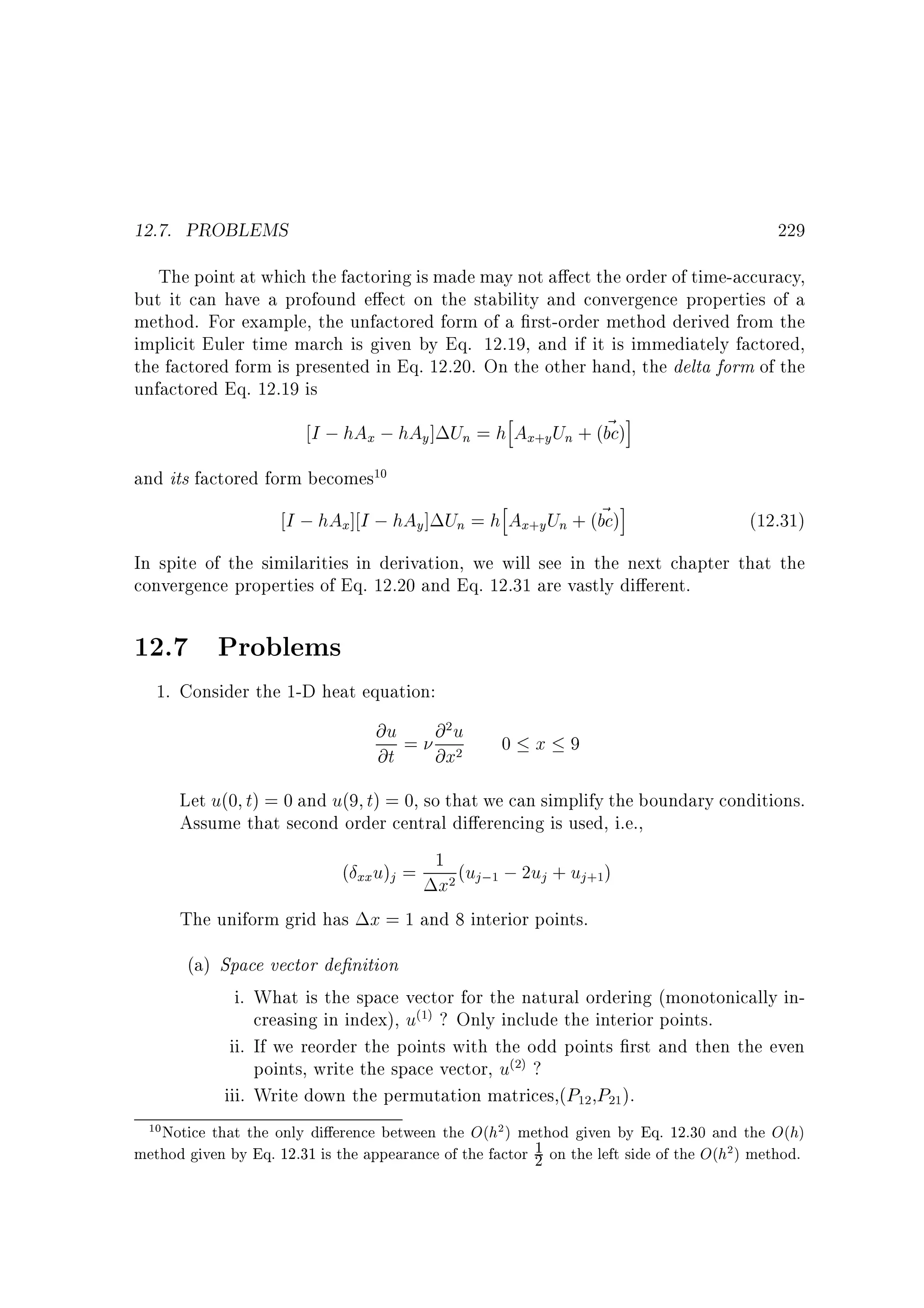
9 RELAXATION METHODS

9.1 Formulation of the Model Problem . . . . . . . . . . . . . .
9.1.1 Preconditioning the Basic Matrix . . . . . . . . . . .
9.1.2 The Model Equations . . . . . . . . . . . . . . . . . .
9.2 Classical Relaxation . . . . . . . . . . . . . . . . . . . . . .
9.2.1 The Delta Form of an Iterative Scheme . . . . . . . .
9.2.2 The Converged Solution, the Residual, and the Error
9.2.3 The Classical Methods . . . . . . . . . . . . . . . . .
9.3 The ODE Approach to Classical Relaxation . . . . . . . . .
9.3.1 The Ordinary Di erential Equation Formulation . . .
9.3.2 ODE Form of the Classical Methods . . . . . . . . .
9.4 Eigensystems of the Classical Methods . . . . . . . . . . . .
9.4.1 The Point-Jacobi System . . . . . . . . . . . . . . . .
9.4.2 The Gauss-Seidel System . . . . . . . . . . . . . . . .
9.4.3 The SOR System . . . . . . . . . . . . . . . . . . . .
9.5 Nonstationary Processes . . . . . . . . . . . . . . . . . . . .
9.6 Problems . . . . . . . . . . . . . . . . . . . . . . . . . . . . .

.
.
.
.
.
.
.
.
.
.
.
.
.
.
.
.

.
.
.
.
.
.
.
.
.
.
.
.
.
.
.
.

.
.
.
.
.
.
.
.
.
.
.
.
.
.
.
.

.
.
.
.
.
.
.
.
.
.
.
.
.
.
.
.

.
.
.
.
.
.
.
.
.
.
.
.
.
.
.
.

163

164
164
166
168
168
168
169
170
170
172
173
174
176
180
182
187

10 MULTIGRID

191

11 NUMERICAL DISSIPATION

203

10.1 Motivation . . . . . . . . . . . . . . . . . . . . . . . . . . . . . . . . . 191
10.1.1 Eigenvector and Eigenvalue Identi cation with Space Frequencies191
10.1.2 Properties of the Iterative Method . . . . . . . . . . . . . . . 192
10.2 The Basic Process . . . . . . . . . . . . . . . . . . . . . . . . . . . . . 192
10.3 A Two-Grid Process . . . . . . . . . . . . . . . . . . . . . . . . . . . 200
10.4 Problems . . . . . . . . . . . . . . . . . . . . . . . . . . . . . . . . . . 202
11.1
11.2
11.3
11.4

One-Sided First-Derivative Space Di erencing
The Modi ed Partial Di erential Equation . .
The Lax-Wendro Method . . . . . . . . . . .
Upwind Schemes . . . . . . . . . . . . . . . .
11.4.1 Flux-Vector Splitting . . . . . . . . . .
11.4.2 Flux-Di erence Splitting . . . . . . . .
11.5 Arti cial Dissipation . . . . . . . . . . . . . .
11.6 Problems . . . . . . . . . . . . . . . . . . . . .

12 SPLIT AND FACTORED FORMS

.
.
.
.
.
.
.
.

.
.
.
.
.
.
.
.

.
.
.
.
.
.
.
.

.
.
.
.
.
.
.
.

.
.
.
.
.
.
.
.

.
.
.
.
.
.
.
.

.
.
.
.
.
.
.
.

.
.
.
.
.
.
.
.

.
.
.
.
.
.
.
.

.
.
.
.
.
.
.
.

.
.
.
.
.
.
.
.

.
.
.
.
.
.
.
.

.
.
.
.
.
.
.
.

204
205
207
209
210
212
213
214

217

12.1 The Concept . . . . . . . . . . . . . . . . . . . . . . . . . . . . . . . 217
12.2 Factoring Physical Representations | Time Splitting . . . . . . . . . 218
12.3 Factoring Space Matrix Operators in 2{D . . . . . . . . . . . . . . . . 220
12.4
12.5
12.6
12.7

12.3.1 Mesh Indexing Convention . . . . . . . . . . .
12.3.2 Data Bases and Space Vectors . . . . . . . . .
12.3.3 Data Base Permutations . . . . . . . . . . . .
12.3.4 Space Splitting and Factoring . . . . . . . . .
Second-Order Factored Implicit Methods . . . . . . .
Importance of Factored Forms in 2 and 3 Dimensions
The Delta Form . . . . . . . . . . . . . . . . . . . . .
Problems . . . . . . . . . . . . . . . . . . . . . . . . .

.
.
.
.
.
.
.
.

.
.
.
.
.
.
.
.

.
.
.
.
.
.
.
.

.
.
.
.
.
.
.
.

.
.
.
.
.
.
.
.

.
.
.
.
.
.
.
.

.
.
.
.
.
.
.
.

13 LINEAR ANALYSIS OF SPLIT AND FACTORED FORMS

13.1 The Representative Equation for Circulant Operators . . . . . . .
13.2 Example Analysis of Circulant Systems . . . . . . . . . . . . . . .
13.2.1 Stability Comparisons of Time-Split Methods . . . . . . .
13.2.2 Analysis of a Second-Order Time-Split Method . . . . . .
13.3 The Representative Equation for Space-Split Operators . . . . . .
13.4 Example Analysis of 2-D Model Equations . . . . . . . . . . . . .
13.4.1 The Unfactored Implicit Euler Method . . . . . . . . . . .
13.4.2 The Factored Nondelta Form of the Implicit Euler Method
13.4.3 The Factored Delta Form of the Implicit Euler Method . .
13.4.4 The Factored Delta Form of the Trapezoidal Method . . .
13.5 Example Analysis of the 3-D Model Equation . . . . . . . . . . .
13.6 Problems . . . . . . . . . . . . . . . . . . . . . . . . . . . . . . . .

.
.
.
.
.
.
.
.
.
.
.
.
.
.
.
.
.
.
.
.

.
.
.
.
.
.
.
.
.
.
.
.
.
.
.
.
.
.
.
.

220
221
221
223
226
226
228
229

233

233
234
234
237
238
242
242
243
243
244
245
247

A USEFUL RELATIONS AND DEFINITIONS FROM LINEAR ALGEBRA
249
A.1
A.2
A.3
A.4
A.5

Notation . . . . . . . . . .
De nitions . . . . . . . . .
Algebra . . . . . . . . . .
Eigensystems . . . . . . .
Vector and Matrix Norms

.
.
.
.
.

.
.
.
.
.

.
.
.
.
.

.
.
.
.
.

.
.
.
.
.

.
.
.
.
.

.
.
.
.
.

.
.
.
.
.

.
.
.
.
.

.
.
.
.
.

.
.
.
.
.

.
.
.
.
.

.
.
.
.
.

.
.
.
.
.

.
.
.
.
.

.
.
.
.
.

.
.
.
.
.

.
.
.
.
.

B SOME PROPERTIES OF TRIDIAGONAL MATRICES
B.1
B.2
B.3
B.4

Standard Eigensystem for Simple Tridiagonals . .
Generalized Eigensystem for Simple Tridiagonals .
The Inverse of a Simple Tridiagonal . . . . . . . .
Eigensystems of Circulant Matrices . . . . . . . .
B.4.1 Standard Tridiagonals . . . . . . . . . . .
B.4.2 General Circulant Systems . . . . . . . . .
B.5 Special Cases Found From Symmetries . . . . . .
B.6 Special Cases Involving Boundary Conditions . .

.
.
.
.
.
.
.
.

.
.
.
.
.
.
.
.

.
.
.
.
.
.
.
.

.
.
.
.
.
.
.
.

.
.
.
.
.
.
.
.

.
.
.
.
.

.
.
.
.
.

.
.
.
.
.

.
.
.
.
.

.
.
.
.
.

.
.
.
.
.

.
.
.
.
.
.
.
.

.
.
.
.
.
.
.
.

.
.
.
.
.
.
.
.

.
.
.
.
.
.
.
.

.
.
.
.
.
.
.
.

.
.
.
.
.
.
.
.

249
250
251
251
254

257

257
258
259
260
260
261
262
263
C THE HOMOGENEOUS PROPERTY OF THE EULER EQUATIONS265
Chapter 1
INTRODUCTION
1.1

Motivation

The material in this book originated from attempts to understand and systemize numerical solution techniques for the partial di erential equations governing the physics
of uid ow. As time went on and these attempts began to crystallize, underlying
constraints on the nature of the material began to form. The principal such constraint
was the demand for uni cation. Was there one mathematical structure which could
be used to describe the behavior and results of most numerical methods in common
use in the eld of uid dynamics? Perhaps the answer is arguable, but the authors
believe the answer is a rmative and present this book as justi cation for that belief. The mathematical structure is the theory of linear algebra and the attendant
eigenanalysis of linear systems.
The ultimate goal of the eld of computational uid dynamics (CFD) is to understand the physical events that occur in the ow of uids around and within designated
objects. These events are related to the action and interaction of phenomena such
as dissipation, di usion, convection, shock waves, slip surfaces, boundary layers, and
turbulence. In the eld of aerodynamics, all of these phenomena are governed by
the compressible Navier-Stokes equations. Many of the most important aspects of
these relations are nonlinear and, as a consequence, often have no analytic solution.
This, of course, motivates the numerical solution of the associated partial di erential
equations. At the same time it would seem to invalidate the use of linear algebra for
the classi cation of the numerical methods. Experience has shown that such is not
the case.
As we shall see in a later chapter, the use of numerical methods to solve partial
di erential equations introduces an approximation that, in e ect, can change the
form of the basic partial di erential equations themselves. The new equations, which
1
CHAPTER 1. INTRODUCTION

2

are the ones actually being solved by the numerical process, are often referred to as
the modi ed partial di erential equations. Since they are not precisely the same as
the original equations, they can, and probably will, simulate the physical phenomena
listed above in ways that are not exactly the same as an exact solution to the basic
partial di erential equation. Mathematically, these di erences are usually referred to
as truncation errors. However, the theory associated with the numerical analysis of
uid mechanics was developed predominantly by scientists deeply interested in the
physics of uid ow and, as a consequence, these errors are often identi ed with a
particular physical phenomenon on which they have a strong e ect. Thus methods are
said to have a lot of arti cial viscosity" or said to be highly dispersive. This means
that the errors caused by the numerical approximation result in a modi ed partial
di erential equation having additional terms that can be identi ed with the physics
of dissipation in the rst case and dispersion in the second. There is nothing wrong,
of course, with identifying an error with a physical process, nor with deliberately
directing an error to a speci c physical process, as long as the error remains in some
engineering sense small". It is safe to say, for example, that most numerical methods
in practical use for solving the nondissipative Euler equations create a modi ed partial
di erential equation that produces some form of dissipation. However, if used and
interpreted properly, these methods give very useful information.
Regardless of what the numerical errors are called, if their e ects are not thoroughly understood and controlled, they can lead to serious di culties, producing
answers that represent little, if any, physical reality. This motivates studying the
concepts of stability, convergence, and consistency. On the other hand, even if the
errors are kept small enough that they can be neglected (for engineering purposes),
the resulting simulation can still be of little practical use if ine cient or inappropriate
algorithms are used. This motivates studying the concepts of sti ness, factorization,
and algorithm development in general. All of these concepts we hope to clarify in
this book.
1.2

Background

The eld of computational uid dynamics has a broad range of applicability. Independent of the speci c application under study, the following sequence of steps generally
must be followed in order to obtain a satisfactory solution.

1.2.1 Problem Speci cation and Geometry Preparation

The rst step involves the speci cation of the problem, including the geometry, ow
conditions, and the requirements of the simulation. The geometry may result from
1.2. BACKGROUND

3

measurements of an existing con guration or may be associated with a design study.
Alternatively, in a design context, no geometry need be supplied. Instead, a set
of objectives and constraints must be speci ed. Flow conditions might include, for
example, the Reynolds number and Mach number for the ow over an airfoil. The
requirements of the simulation include issues such as the level of accuracy needed, the
turnaround time required, and the solution parameters of interest. The rst two of
these requirements are often in con ict and compromise is necessary. As an example
of solution parameters of interest in computing the ow eld about an airfoil, one may
be interested in i) the lift and pitching moment only, ii) the drag as well as the lift
and pitching moment, or iii) the details of the ow at some speci c location.

1.2.2 Selection of Governing Equations and Boundary Conditions

Once the problem has been speci ed, an appropriate set of governing equations and
boundary conditions must be selected. It is generally accepted that the phenomena of
importance to the eld of continuum uid dynamics are governed by the conservation
of mass, momentum, and energy. The partial di erential equations resulting from
these conservation laws are referred to as the Navier-Stokes equations. However, in
the interest of e ciency, it is always prudent to consider solving simpli ed forms
of the Navier-Stokes equations when the simpli cations retain the physics which are
essential to the goals of the simulation. Possible simpli ed governing equations include
the potential- ow equations, the Euler equations, and the thin-layer Navier-Stokes
equations. These may be steady or unsteady and compressible or incompressible.
Boundary types which may be encountered include solid walls, in ow and out ow
boundaries, periodic boundaries, symmetry boundaries, etc. The boundary conditions
which must be speci ed depend upon the governing equations. For example, at a solid
wall, the Euler equations require ow tangency to be enforced, while the Navier-Stokes
equations require the no-slip condition. If necessary, physical models must be chosen
for processes which cannot be simulated within the speci ed constraints. Turbulence
is an example of a physical process which is rarely simulated in a practical context (at
the time of writing) and thus is often modelled. The success of a simulation depends
greatly on the engineering insight involved in selecting the governing equations and
physical models based on the problem speci cation.

1.2.3 Selection of Gridding Strategy and Numerical Method

Next a numerical method and a strategy for dividing the ow domain into cells, or
elements, must be selected. We concern ourselves here only with numerical methods requiring such a tessellation of the domain, which is known as a grid, or mesh.
CHAPTER 1. INTRODUCTION

4

Many di erent gridding strategies exist, including structured, unstructured, hybrid,
composite, and overlapping grids. Furthermore, the grid can be altered based on
the solution in an approach known as solution-adaptive gridding. The numerical
methods generally used in CFD can be classi ed as nite-di erence, nite-volume,
nite-element, or spectral methods. The choices of a numerical method and a gridding strategy are strongly interdependent. For example, the use of nite-di erence
methods is typically restricted to structured grids. Here again, the success of a simulation can depend on appropriate choices for the problem or class of problems of
interest.

1.2.4 Assessment and Interpretation of Results

Finally, the results of the simulation must be assessed and interpreted. This step can
require post-processing of the data, for example calculation of forces and moments,
and can be aided by sophisticated ow visualization tools and error estimation techniques. It is critical that the magnitude of both numerical and physical-model errors
be well understood.
1.3

Overview

It should be clear that successful simulation of uid ows can involve a wide range of
issues from grid generation to turbulence modelling to the applicability of various simpli ed forms of the Navier-Stokes equations. Many of these issues are not addressed
in this book. Some of them are presented in the books by Anderson, Tannehill, and
Pletcher 1] and Hirsch 2]. Instead we focus on numerical methods, with emphasis
on nite-di erence and nite-volume methods for the Euler and Navier-Stokes equations. Rather than presenting the details of the most advanced methods, which are
still evolving, we present a foundation for developing, analyzing, and understanding
such methods.
Fortunately, to develop, analyze, and understand most numerical methods used to
nd solutions for the complete compressible Navier-Stokes equations, we can make use
of much simpler expressions, the so-called model" equations. These model equations
isolate certain aspects of the physics contained in the complete set of equations. Hence
their numerical solution can illustrate the properties of a given numerical method
when applied to a more complicated system of equations which governs similar physical phenomena. Although the model equations are extremely simple and easy to
solve, they have been carefully selected to be representative, when used intelligently,
of di culties and complexities that arise in realistic two- and three-dimensional uid
ow simulations. We believe that a thorough understanding of what happens when
1.4. NOTATION

5

numerical approximations are applied to the model equations is a major rst step in
making con dent and competent use of numerical approximations to the Euler and
Navier-Stokes equations. As a word of caution, however, it should be noted that,
although we can learn a great deal by studying numerical methods as applied to the
model equations and can use that information in the design and application of numerical methods to practical problems, there are many aspects of practical problems
which can only be understood in the context of the complete physical systems.
1.4

Notation

The notation is generally explained as it is introduced. Bold type is reserved for real
physical vectors, such as velocity. The vector symbol ~ is used for the vectors (or
column matrices) which contain the values of the dependent variable at the nodes
of a grid. Otherwise, the use of a vector consisting of a collection of scalars should
be apparent from the context and is not identi ed by any special notation. For
example, the variable u can denote a scalar Cartesian velocity component in the Euler
and Navier-Stokes equations, a scalar quantity in the linear convection and di usion
equations, and a vector consisting of a collection of scalars in our presentation of
hyperbolic systems. Some of the abbreviations used throughout the text are listed
and de ned below.
PDE
ODE
O E
RHS
P.S.
S.S.
k-D
~
bc

O( )

Partial di erential equation
Ordinary di erential equation
Ordinary di erence equation
Right-hand side
Particular solution of an ODE or system of ODE's
Fixed (time-invariant) steady-state solution
k-dimensional space
Boundary conditions, usually a vector
A term of order (i.e., proportional to)
6

CHAPTER 1. INTRODUCTION
Chapter 2
CONSERVATION LAWS AND
THE MODEL EQUATIONS
We start out by casting our equations in the most general form, the integral conservation-law form, which is useful in understanding the concepts involved in nite-volume
schemes. The equations are then recast into divergence form, which is natural for
nite-di erence schemes. The Euler and Navier-Stokes equations are brie y discussed
in this Chapter. The main focus, though, will be on representative model equations,
in particular, the convection and di usion equations. These equations contain many
of the salient mathematical and physical features of the full Navier-Stokes equations.
The concepts of convection and di usion are prevalent in our development of numerical methods for computational uid dynamics, and the recurring use of these
model equations allows us to develop a consistent framework of analysis for consistency, accuracy, stability, and convergence. The model equations we study have two
properties in common. They are linear partial di erential equations (PDE's) with
coe cients that are constant in both space and time, and they represent phenomena
of importance to the analysis of certain aspects of uid dynamic problems.

2.1 Conservation Laws
Conservation laws, such as the Euler and Navier-Stokes equations and our model
equations, can be written in the following integral form:
Z

V (t2 )

QdV ;

Z

V (t1 )

QdV +

Z t2 I

t1

S (t)

n:FdSdt =

Z t2 Z

t1

V (t)

PdV dt

(2.1)

In this equation, Q is a vector containing the set of variables which are conserved,
e.g., mass, momentum, and energy, per unit volume. The equation is a statement of
7
8

CHAPTER 2. CONSERVATION LAWS AND THE MODEL EQUATIONS

the conservation of these quantities in a nite region of space with volume V (t) and
surface area S (t) over a nite interval of time t2 ; t1 . In two dimensions, the region
of space, or cell, is an area A(t) bounded by a closed contour C (t). The vector n is
a unit vector normal to the surface pointing outward, F is a set of vectors, or tensor,
containing the ux of Q per unit area per unit time, and P is the rate of production
of Q per unit volume per unit time. If all variables are continuous in time, then Eq.
2.1 can be rewritten as
d Z QdV + I n:FdS = Z PdV
(2.2)
dt V (t)
S (t)
V (t)
Those methods which make various numerical approximations of the integrals in Eqs.
2.1 and 2.2 and nd a solution for Q on that basis are referred to as nite-volume
methods. Many of the advanced codes written for CFD applications are based on the
nite-volume concept.
On the other hand, a partial derivative form of a conservation law can also be
derived. The divergence form of Eq. 2.2 is obtained by applying Gauss's theorem to
the ux integral, leading to
@Q + r:F = P
(2.3)
@t
where r: is the well-known divergence operator given, in Cartesian coordinates, by
!
@ +j @ +k @ :
(2.4)
r: i @x @y @z
and i j, and k are unit vectors in the x y, and z coordinate directions, respectively.
Those methods which make various approximations of the derivatives in Eq. 2.3 and
nd a solution for Q on that basis are referred to as nite-di erence methods.

2.2 The Navier-Stokes and Euler Equations
The Navier-Stokes equations form a coupled system of nonlinear PDE's describing
the conservation of mass, momentum and energy for a uid. For a Newtonian uid
in one dimension, they can be written as
@Q + @E = 0
(2.5)
@t @x
with
2 3
2
3
u 3 2
0
6
6
Q=6
6
6
4

7
7
u7
7
7
5

e

E

6
6
=6
6
6
4

7 6
7 6
2+p 7;6
u
7 6
7 6
5 4

u(e + p)

4 @u
3 @x
4
3

u @u +
@x

@T
@x

7
7
7
7
7
5

(2.6)
2.2. THE NAVIER-STOKES AND EULER EQUATIONS

9

where is the uid density, u is the velocity, e is the total energy per unit volume, p is
the pressure, T is the temperature, is the coe cient of viscosity, and is the thermal
conductivity. The total energy e includes internal energy per unit volume (where
is the internal energy per unit mass) and kinetic energy per unit volume u2=2.
These equations must be supplemented by relations between and and the uid
state as well as an equation of state, such as the ideal gas law. Details can be found
in Anderson, Tannehill, and Pletcher 1] and Hirsch 2]. Note that the convective
uxes lead to rst derivatives in space, while the viscous and heat conduction terms
involve second derivatives. This form of the equations is called conservation-law or
conservative form. Non-conservative forms can be obtained by expanding derivatives
of products using the product rule or by introducing di erent dependent variables,
such as u and p. Although non-conservative forms of the equations are analytically
the same as the above form, they can lead to quite di erent numerical solutions in
terms of shock strength and shock speed, for example. Thus the conservative form is
appropriate for solving ows with features such as shock waves.
Many ows of engineering interest are steady (time-invariant), or at least may be
treated as such. For such ows, we are often interested in the steady-state solution of
the Navier-Stokes equations, with no interest in the transient portion of the solution.
The steady solution to the one-dimensional Navier-Stokes equations must satisfy
@E = 0
(2.7)
@x
If we neglect viscosity and heat conduction, the Euler equations are obtained. In
two-dimensional Cartesian coordinates, these can be written as
@Q + @E + @F = 0
(2.8)
@t @x @y
with
2 3 2 3
2
2
q1
u 3
v 3
6 7 6 7
6 2+ 7
6
7
Q = 6 q2 7 = 6 u 7 E = 6 u uv p 7 F = 6 v2uv p 7
6 7 6 7
6
7
6
(2.9)
4 q3 5 4 v 5
4
5
4
5
+ 7
q4
e
u(e + p)
v ( e + p)
where u and v are the Cartesian velocity components. Later on we will make use of
the following form of the Euler equations as well:
@Q + A @Q + B @Q = 0
(2.10)
@t
@x
@y
@E
@F
The matrices A = @Q and B = @Q are known as the ux Jacobians. The ux vectors
given above are written in terms of the primitive variables, , u, v, and p. In order
10

CHAPTER 2. CONSERVATION LAWS AND THE MODEL EQUATIONS

to derive the ux Jacobian matrices, we must rst write the ux vectors E and F in
terms of the conservative variables, q1 , q2, q3 , and q4 , as follows:

E

F

2
3
6
7 6
7 6
7 6
7 6
7 6
7=6
7 6
7 6
7 6
7 6
7 6
5 6
6
4

2
6
6
6
6
6
=6
6
6
6
6
6
4

E1

2
6
6
6
6
6
=6
6
6
6
6
6
4

3 2
F1 7 6
7 6
7 6
6
F2 7 6
7 6
7=6
7 6
7 6
F3 7 6
7 6
7 6
5 6
4
F4

E2
E3
E4

3
7
7
7
2
2 7
3; q2 ; ;1 q3 7
; 1)q4 + 2 q1 2 q1 7
7
7
7
q3 q2
7
7
q1
7
7
7
5
3
2q
q4 q2 ; ;1 q2 + q3 2
2
2
q1
2 q1
q1

(2.11)

3
7
7
7
7
7
7
7
7
2 7
;1 q2 7
2 q1 7
7
7
5
3
q3
2
q1

(2.12)

q2

(

q3
q3 q2
q1

( ; 1)q4 + 3;
2
q4 q 3
q1

;

2
q3
q1

2q
;1 q2 2 3

2

q1

;
+

We have assumed that the pressure satis es p = ( ; 1) e ; (u2 + v2)=2] from the
ideal gas law, where is the ratio of speci c heats, cp=cv . From this it follows that
the ux Jacobian of E can be written in terms of the conservative variables as

A=

2
6
6
6
6
6
@Ei = 6
6
6
@qj 6
6
6
6
6
4

0

1

0

0

a21

(1 ; ) q3
q1
q2
q1

;1

q
; q2 q1
q1 3

(3 ; ) q2
q1
q
q3
1

a41

a42

a43

q2
q1

where

a21 =

!

; 1 q3 2 ; 3 ;
2 q1
2

q2
q1

!2

0

3
7
7
7
7
7
7
7
7
7
7
7
7
7
5

(2.13)
2.2. THE NAVIER-STOKES AND EULER EQUATIONS
2
; 1)4

+ q3
q1

!2

q4 ; ; 1 43 q2
a42 =
q1
2
q1
!
!
q2 q3
a43 = ;( ; 1) q q
1
1
and in terms of the primitive variables as

!2

a41 = (

q2
q1

!3

2

!

2
6
6
6
6
6
A=6
6
6
6
6
6
4

0

1

q2
q1

!3
5;

+ q3
q1

!2 3
5

0

0

;uv

v

u

0

a41

a42

a43

u

a21 =

q4
q1

!

q2
q1

!

(2.14)

a21 (3 ; )u (1 ; )v ( ; 1)

where

11

3
7
7
7
7
7
7
7
7
7
7
7
5

(2.15)

; 1 v2 ; 3 ; u2
2
2

a41 = ( ; 1)u(u2 + v2) ; ue
a42 =

e ; ; 1 (3u2 + v2 )
2

a43 = (1 ; )uv
(2.16)
Derivation of the two forms of B = @F=@Q is similar. The eigenvalues of the ux
Jacobian matrices are purely real. This is the de ning feature of hyperbolic systems
of PDE's, which are further discussed in Section 2.5. The homogeneous property of
the Euler equations is discussed in Appendix C.
The Navier-Stokes equations include both convective and di usive uxes. This
motivates the choice of our two scalar model equations associated with the physics
of convection and di usion. Furthermore, aspects of convective phenomena associated with coupled systems of equations such as the Euler equations are important in
developing numerical methods and boundary conditions. Thus we also study linear
hyperbolic systems of PDE's.
12

CHAPTER 2. CONSERVATION LAWS AND THE MODEL EQUATIONS

2.3 The Linear Convection Equation
2.3.1 Di erential Form

The simplest linear model for convection and wave propagation is the linear convection
equation given by the following PDE:
@u + a @u = 0
(2.17)
@t @x
Here u(x t) is a scalar quantity propagating with speed a, a real constant which may
be positive or negative. The manner in which the boundary conditions are speci ed
separates the following two phenomena for which this equation is a model:
(1) In one type, the scalar quantity u is given on one boundary, corresponding
to a wave entering the domain through this in ow" boundary. No boundary condition is speci ed at the opposite side, the out ow" boundary. This
is consistent in terms of the well-posedness of a 1st-order PDE. Hence the
wave leaves the domain through the out ow boundary without distortion or
re ection. This type of phenomenon is referred to, simply, as the convection
problem. It represents most of the usual" situations encountered in convecting systems. Note that the left-hand boundary is the in ow boundary when
a is positive, while the right-hand boundary is the in ow boundary when a is
negative.
(2) In the other type, the ow being simulated is periodic. At any given time,
what enters on one side of the domain must be the same as that which is
leaving on the other. This is referred to as the biconvection problem. It is
the simplest to study and serves to illustrate many of the basic properties of
numerical methods applied to problems involving convection, without special
consideration of boundaries. Hence, we pay a great deal of attention to it in
the initial chapters.
Now let us consider a situation in which the initial condition is given by u(x 0) =
u0(x), and the domain is in nite. It is easy to show by substitution that the exact
solution to the linear convection equation is then
u(x t) = u0(x ; at)
(2.18)
The initial waveform propagates unaltered with speed jaj to the right if a is positive
and to the left if a is negative. With periodic boundary conditions, the waveform
travels through one boundary and reappears at the other boundary, eventually returning to its initial position. In this case, the process continues forever without any
2.3. THE LINEAR CONVECTION EQUATION

13

change in the shape of the solution. Preserving the shape of the initial condition
u0(x) can be a di cult challenge for a numerical method.

2.3.2 Solution in Wave Space

We now examine the biconvection problem in more detail. Let the domain be given
by 0 x 2 . We restrict our attention to initial conditions in the form
u(x 0) = f (0)ei x
(2.19)
where f (0) is a complex constant, and is the wavenumber. In order to satisfy the
periodic boundary conditions, must be an integer. It is a measure of the number of
wavelengths within the domain. With such an initial condition, the solution can be
written as
u(x t) = f (t)ei x
(2.20)
where the time dependence is contained in the complex function f (t). Substituting
this solution into the linear convection equation, Eq. 2.17, we nd that f (t) satis es
the following ordinary di erential equation (ODE)
df = ;ia f
(2.21)
dt
which has the solution
f (t) = f (0)e;ia t
(2.22)
Substituting f (t) into Eq. 2.20 gives the following solution
u(x t) = f (0)ei (x;at) = f (0)ei( x;!t)
(2.23)
where the frequency, !, the wavenumber, , and the phase speed, a, are related by
!= a
(2.24)
The relation between the frequency and the wavenumber is known as the dispersion
relation. The linear relation given by Eq. 2.24 is characteristic of wave propagation
in a nondispersive medium. This means that the phase speed is the same for all
wavenumbers. As we shall see later, most numerical methods introduce some dispersion that is, in a simulation, waves with di erent wavenumbers travel at di erent
speeds.
An arbitrary initial waveform can be produced by summing initial conditions of
the form of Eq. 2.19. For M modes, one obtains

u(x 0) =

M
X
m=1

fm (0)ei mx

(2.25)
14

CHAPTER 2. CONSERVATION LAWS AND THE MODEL EQUATIONS

where the wavenumbers are often ordered such that 1 2
M . Since the
wave equation is linear, the solution is obtained by summing solutions of the form of
Eq. 2.23, giving

u(x t) =

M
X

m=1

fm (0)ei m(x;at)

(2.26)

Dispersion and dissipation resulting from a numerical approximation will cause the
shape of the solution to change from that of the original waveform.

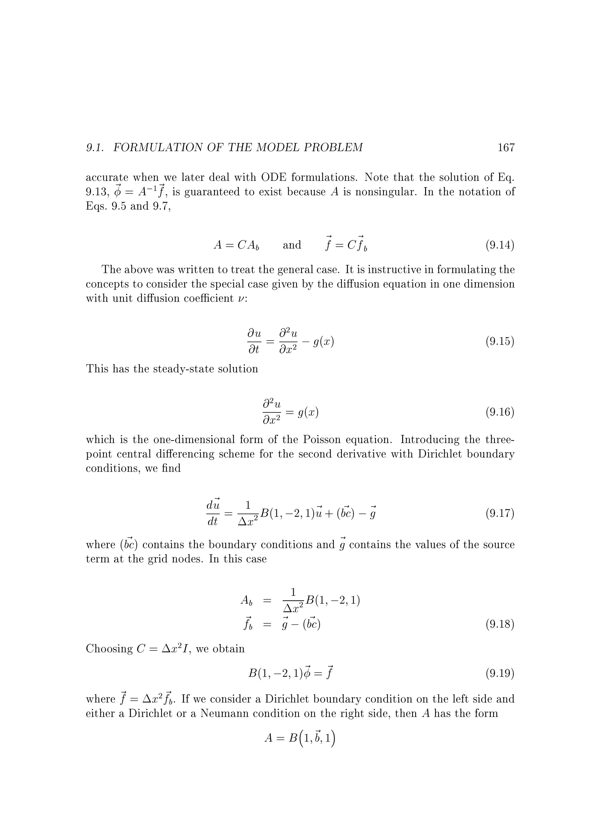
2.4 The Di usion Equation
2.4.1 Di erential Form

Di usive uxes are associated with molecular motion in a continuum uid. A simple
linear model equation for a di usive process is

@u = @ 2 u
(2.27)
@t
@x2
where is a positive real constant. For example, with u representing the temperature, this parabolic PDE governs the di usion of heat in one dimension. Boundary
conditions can be periodic, Dirichlet (speci ed u), Neumann (speci ed @u=@x), or
mixed Dirichlet/Neumann.
In contrast to the linear convection equation, the di usion equation has a nontrivial
steady-state solution, which is one that satis es the governing PDE with the partial
derivative in time equal to zero. In the case of Eq. 2.27, the steady-state solution
must satisfy
@2u = 0
(2.28)
@x2

Therefore, u must vary linearly with x at steady state such that the boundary conditions are satis ed. Other steady-state solutions are obtained if a source term g(x)
is added to Eq. 2.27, as follows:

@u =
@t

" 2
@u
@x2

; g(x)

#

(2.29)

giving a steady state-solution which satis es

@ 2 u ; g(x) = 0
@x2

(2.30)
2.4. THE DIFFUSION EQUATION

15

In two dimensions, the di usion equation becomes
"
#
@u = @ 2 u + @ 2 u ; g(x y)
(2.31)
@t
@x2 @y2
where g(x y) is again a source term. The corresponding steady equation is
@ 2 u + @ 2 u ; g(x y) = 0
(2.32)
@x2 @y2
While Eq. 2.31 is parabolic, Eq. 2.32 is elliptic. The latter is known as the Poisson
equation for nonzero g, and as Laplace's equation for zero g.

2.4.2 Solution in Wave Space

We now consider a series solution to Eq. 2.27. Let the domain be given by 0 x
with boundary conditions u(0) = ua, u( ) = ub. It is clear that the steady-state
solution is given by a linear function which satis es the boundary conditions, i.e.,
h(x) = ua + (ub ; ua)x= . Let the initial condition be

u(x 0) =

M
X
m=1

fm(0) sin m x + h(x)

(2.33)

where must be an integer in order to satisfy the boundary conditions. A solution
of the form
M
X
u(x t) = fm(t) sin mx + h(x)
(2.34)
m=1

satis es the initial and boundary conditions. Substituting this form into Eq. 2.27
gives the following ODE for fm :
dfm = ; 2 f
(2.35)
m m
dt
and we nd
m
fm(t) = fm(0)e; 2 t
(2.36)
Substituting fm(t) into equation 2.34, we obtain

u(x t) =

M
X
m=1

m
fm (0)e; 2 t sin m x + h(x)

(2.37)

The steady-state solution (t ! 1) is simply h(x). Eq. 2.37 shows that high wavenumber components (large m) of the solution decay more rapidly than low wavenumber
components, consistent with the physics of di usion.
CHAPTER 2. CONSERVATION LAWS AND THE MODEL EQUATIONS

16

2.5 Linear Hyperbolic Systems

The Euler equations, Eq. 2.8, form a hyperbolic system of partial di erential equations. Other systems of equations governing convection and wave propagation phenomena, such as the Maxwell equations describing the propagation of electromagnetic
waves, are also of hyperbolic type. Many aspects of numerical methods for such systems can be understood by studying a one-dimensional constant-coe cient linear
system of the form
@u + A @u = 0
(2.38)
@t
@x
where u = u(x t) is a vector of length m and A is a real m m matrix. For
conservation laws, this equation can also be written in the form
@u + @f = 0
(2.39)
@t @x
@f
where f is the ux vector and A = @u is the ux Jacobian matrix. The entries in the
ux Jacobian are
@f
aij = @ui
(2.40)
j
The ux Jacobian for the Euler equations is derived in Section 2.2.
Such a system is hyperbolic if A is diagonalizable with real eigenvalues.1 Thus
= X ;1AX
(2.41)
where is a diagonal matrix containing the eigenvalues of A, and X is the matrix
of right eigenvectors. Premultiplying Eq. 2.38 by X ;1 , postmultiplying A by the
product XX ;1, and noting that X and X ;1 are constants, we obtain

@X ;1u

z }| {
@ X ;1AX X ;1u

=0
(2.42)
@t +
@x
With w = X ;1u, this can be rewritten as
@w + @w = 0
(2.43)
@t
@x
When written in this manner, the equations have been decoupled into m scalar equations of the form
@wi + @wi = 0
(2.44)
i
@t
@x
1

See Appendix A for a brief review of some basic relations and de nitions from linear algebra.
2.6. PROBLEMS

17

The elements of w are known as characteristic variables. Each characteristic variable
satis es the linear convection equation with the speed given by the corresponding
eigenvalue of A.
Based on the above, we see that a hyperbolic system in the form of Eq. 2.38 has a
solution given by the superposition of waves which can travel in either the positive or
negative directions and at varying speeds. While the scalar linear convection equation
is clearly an excellent model equation for hyperbolic systems, we must ensure that
our numerical methods are appropriate for wave speeds of arbitrary sign and possibly
widely varying magnitudes.
The one-dimensional Euler equations can also be diagonalized, leading to three
equations in the form of the linear convection equation, although they remain nonlinear, of course. The eigenvalues of the ux Jacobian matrix, or wave speeds, are
q
u u + c, and u ; c, where u is the local uid velocity, and c = p= is the local
speed of sound. The speed u is associated with convection of the uid, while u + c
and u ; c are associated with sound waves. Therefore, in a supersonic ow, where
juj > c, all of the wave speeds have the same sign. In a subsonic ow, where juj < c,
wave speeds of both positive and negative sign are present, corresponding to the fact
that sound waves can travel upstream in a subsonic ow.
The signs of the eigenvalues of the matrix A are also important in determining
suitable boundary conditions. The characteristic variables each satisfy the linear convection equation with the wave speed given by the corresponding eigenvalue. Therefore, the boundary conditions can be speci ed accordingly. That is, characteristic
variables associated with positive eigenvalues can be speci ed at the left boundary,
which corresponds to in ow for these variables. Characteristic variables associated
with negative eigenvalues can be speci ed at the right boundary, which is the inow boundary for these variables. While other boundary condition treatments are
possible, they must be consistent with this approach.

2.6 Problems
1. Show that the 1-D Euler equations can be written in terms of the primitive
variables R = u p]T as follows:
@R + M @R = 0
@t
@x
where
2
3
u
0
M = 6 0 u ;1 7
4
5
0 p u
18

CHAPTER 2. CONSERVATION LAWS AND THE MODEL EQUATIONS
Assume an ideal gas, p = ( ; 1)(e ; u2=2).
2. Find the eigenvalues and eigenvectors of the matrix M derived in question 1.
3. Derive the ux Jacobian matrix A = @E=@Q for the 1-D Euler equations resulting from the conservative variable formulation (Eq. 2.5). Find its eigenvalues
and compare with those obtained in question 2.
4. Show that the two matrices M and A derived in questions 1 and 3, respectively,
are related by a similarity transform. (Hint: make use of the matrix S =
@Q=@R.)
5. Write the 2-D di usion equation, Eq. 2.31, in the form of Eq. 2.2.
6. Given the initial condition u(x 0) = sin x de ned on 0 x 2 , write it in the
form of Eq. 2.25, that is, nd the necessary values of fm (0). (Hint: use M = 2
with 1 = 1 and 2 = ;1.) Next consider the same initial condition de ned
only at x = 2 j=4, j = 0 1 2 3. Find the values of fm(0) required to reproduce
the initial condition at these discrete points using M = 4 with m = m ; 1.
7. Plot the rst three basis functions used in constructing the exact solution to
the di usion equation in Section 2.4.2. Next consider a solution with boundary
conditions ua = ub = 0, and initial conditions from Eq. 2.33 with fm(0) = 1
for 1 m 3, fm (0) = 0 for m > 3. Plot the initial condition on the domain
0 x . Plot the solution at t = 1 with = 1.
8. Write the classical wave equation @ 2 u=@t2 = c2 @ 2 u=@x2 as a rst-order system,
i.e., in the form
@U + A @U = 0
@t
@x
where U = @u=@x @u=@t]T . Find the eigenvalues and eigenvectors of A.
9. The Cauchy-Riemann equations are formed from the coupling of the steady
compressible continuity (conservation of mass) equation
@ u+@ v =0
@x @y
and the vorticity de nition
@v
! = ; @x + @u = 0
@y
2.6. PROBLEMS

19

where ! = 0 for irrotational ow. For isentropic and homenthalpic ow, the
system is closed by the relation
= 1 ; ; 1 u2 + v2 ; 1
2

1

;1

Note that the variables have been nondimensionalized. Combining the two
PDE's, we have
@f (q) + @g(q) = 0
@x
@y
where
v
q= u
f = ;v u
g = ;u
v
;
One approach to solving these equations is to add a time-dependent term and
nd the steady solution of the following equation:
@q + @f + @g = 0
@t @x @y
(a) Find the ux Jacobians of f and g with respect to q.
(b) Determine the eigenvalues of the ux Jacobians.
(c) Determine the conditions (in terms of and u) under which the system is
hyperbolic, i.e., has real eigenvalues.
(d) Are the above uxes homogeneous? (See Appendix C.)
20

CHAPTER 2. CONSERVATION LAWS AND THE MODEL EQUATIONS
¡
¢ 
¦  
H ‰B d 4 Y H h 5 D h H h H H 2 2 5B D T D 5 2 h 2 T Y 7 d H D H F D H 2 n H h 5 D Y R Y DB 7 d H  H d R ` n YB F D q 5 2 5B
†X‚QW6IkGÆQI6QIÅ8EGVG¢I¬I¢–9W6GeIW‰II6IkG‘IwGE9W6s‚I8U…EIG‘¢Å8EGD
r 4 H  Y 2B 2 i ’ ¥ H d R `B ¤ 2B 2 @ 5 F Y YB H 4 T  Y h 2 T H 7B D F D 5 ‰ ` 2B by 5 b 2B F Y H 7 D Y Hy  7B Y H F
–Q†WIEe™j’   p™WI8EvX‰CcIWvXuQVUWeIV9XGŽW¢†…IXx„88oX‚Q9Š‚6XI9X‚Iut
¶ Ã ¹ » ´ » Ã
9Q”av–ÄÂ

± Á ¶ ± À ± ¿ ¹ ½ ¼ ± » ¹ ¶ ¹
‘ej)6¾hfv6egº¸

· ¶ ´ ² ± ³ ²
ewµ”±

°

¯ ®
c­

’ 2 5B D T 4By   T y T 4B D 4 T d
‹8EGVQXEII¢›VgXW6¢WI
` 2B Y 5y d 5 H bB D 4B d D Y H d iy R h 2 R ` 2B H ‰ D R 5 F DB
IX‚8X98‰8EW6EWGfQ‚¬EIIpIrIEQ†9p8IWEC@ QGfx‚«VƒW6Gf¢ŠªQ6¢U‚XISQ©¢‚Iv@
7 H DY i Y 2 TB Y H Dd T  h H 4 T  YB R P H 2 T H Y R H
YB Y iy T 2 T i 4 T d R 4 4 T ` 2B @ 5yy 5q H F D q 5 F 4 R 7 2B t 2 5 Y T H d YB F D d 5 ¤ ’ Y 2 5B D T R P H h H 7 d 5q Y 2 T d
XWx„¢U¢6VGI6Q¢IECcXX¢•9IWŠ¢ƒI…AX§‹8WVgWwXpG8UeQp8XWVUSQAQ9W8•fI¢WGD
H F D q 5 Y D 2 HB 4 ¨ H 5 4 Hy ‰ TB d T b 5 D 2B h H ‰ d 5 Y ‰ T YB 2 5B D TB d T b 4B d D H 7 5 H ` H F D yy T ’ 7 d 5qB 2 R YB }   œ
pGpVvGo6XQ9‡˜6”XIVƒWV¢CGoEwQ†W¢WI¢§E8XWVƒ‚¢V”XWW698Q¢vIW¢XV¢‰W8•„II˜Xhƒxp3ž
 ¢†lŸš¢£x†™lƒIu§8E˜”Wp8XvuEwCcI‚›¢s‡ƒxp3V¢†lŸš¢£x†™lƒ#QEX¢Q3V‚uuX‹E¢V‚QWoXB
 „ ‡yx x ¢ œ { ‡  H F t ’ ¦’ ¥ H d R `B ¤ 2B 2 @ 5 F Y Y T t }   œž    „ ‡yx x ¢ œ { ‡  h Hyy T 4r 5 Y T 2B Yy T b d H D 2
h H 4 T  YB R P H F DB @ F Y H 7 2 TB Y H D d T  7 d 5qB 2 R T 5 D h H 7 d 5q Y 2 T d D H ‰ 2 T 4 }   œ ž    y ž  ‚ œ 2
Q6¢U‚XISQG„CW6#¢ƒ‚QW‚¢Š¡‚8•EpI††GAQ9W8•fI¢GW9†rVgƒxp3v¢WŸ‡cxUeXB
Y H D T 2B h d 5 5 4 d T H 2ByB b d R 4 y T d H 2 H ` 2B h H Y Y H d  — H Y H F Y H 7 q 5 Y H Y Y Ty 4 y T d H 2 H ` H DB R P D T F D D 4 T
6GVIXI‚8˜6Š¢QIXEXx‚I6›¢G6IQ¢‰EeQ‚WQ‚I˜‡‘QI‚Q9vVf6WWVƒQ›VGQpQ8uG„ISCVUW‘‡¢šq
H F D H ŒB Y T F  7 H H ™ ’ 7 H D Y i Y 2 TB Y H D d T  T 2B h H D 2 H Y H d  YB @ 5y H ‰ y TB d H D T 7 H F D q 5 yy
pG…QEW¢II#6…w‰QW‚x‚e¢XW6G‚VŠeXAQWS6W6WIEsEQ†˜¢ƒ‚QGld‘IWj¢vE™i
’ — d H D  T F  2B h H Y Y R 4 YB h H ‰ yyB @ Y 2 5B D T 7B — 5 d   T H 4 2 H d H gB h r H DB 2 n H Y H F
If6GpVU•‰X6W‚IQ‚XIu†hXEC•I8EGV#X˜gWpI¢uQpQW6h„I3–G„IUuWQpGD
` 2B iy   T d 5q Y HB ` H D T d D ” ’ “ d H D  T F  2B h H D T H d D H d T Y H bB D T bB d H h H 7B D ’ Y H bB D T bB d H h y TB D T 
pXxEIp¢u8••6X86GVWGx€˜CQG˜¢U•‰Xe6GVQWWW¢u68„GVVE‚QIf#EGp6Q¢EGl¢„W6Ih¢XGVIWY
2 5 YB d H D  T F  YB F D 2B YB Y T F  7 H d R “ ’ Y H bB D T bB d H h H 7B D d 5 Y H bB D T bB d H h y TB D T  Y 5 D d H F DB
8‘X™QG˜¢U•EIG‰XfXWVUI9Q™p™Q68„GVVE‚QIw9XGC8fQ8„GVV„WQpm¢XGVIWdWf6IG„QH
h HBy   T H ‰ 2 T 4 H Y H F t ’ h H D 2 H Y H d  YB Y H bB D T bB d H h y TB D d T  5 D Y 2 5B D T 7B — 5 d   T H 4 2 H d H gB
6XEII¢#sr¢gŽ‚QIu†‹QWoQW6WIuEwQ¢EWVVEW6Ij¢XG‚VUWI8XWV#X˜gWIIVŽQpQW6h„Ih
r H DB 2 n q 5 D  H 4 2 5 4 H F D t d H D  T F 4 YB F D 2 1 ’ H d H F h H ŒB Y T F  7 H F 4 T 5 d   T H F D YB YB F t ’ h H by 5
‡G„IUm¢p6QI¢QwIGUQ6GpVUƒfEIG3ŠVWQpQ6X‚¢UI9Q†ƒ¢oWpI¢aIGuXCEIuŠ‹68E¢WY
H ‰ 2 T 4 F 4B F @ Y 2 5B D T R P H H 4 2 H d H gB h q 5 D H Y T Y H 4 R h 5 d  F 4B F @ ˆ ‡ ‚x } { … „y ‚  €  { ~ } {yx
†rVg)ƒEICwp8XWVUSQ9QI6W6h„IŠ¢w6‚‰wQQpI˜‚IrƒEIC9QU|‡d†x|xƒG¢93‡d|zkT
5 D ` 2B h T Hy t D — H 2 h H D T 7B — 5 d   T H d T Y H bB D T bB d H h H 7B D H F t ’ Y 2 5B D T R P H y TB D 2 H d H gB h i d T 2B
WwIEI¢QXpQx‡I#QGldEpg‚II¢™W¢vQ¢EGl¢„W6If9XWfIuj6I8EGVUS6†VƒGo6WQsEp–‚¢UEIh
r d 5 q 5 7 H D Y i Y T ` 2B 4 R h 5 d  i ‰ H d H F D t D Y d n Y H bB D T bB d H h y TB D T  Y H F D H D T 7B — 5 d   T 2 T 4 H 2
f8ˆ¢pQGfx‚depXQpI˜‚Io6WQpGhQ‚WI™Q¢EGl¢„W6ImVƒGlUW…pGuGV#X˜gWIp¢k¢gwI85
t8„Q8„GVIWQWEfjQI8EGVIx6QpQW6h„IwpXG„IW6WfIG™¢E8‚eQIWdI¢9„WI¢QI¢GEIwXW™WQpGD
iy H bB D T 2 d H Dy i ’ Y 2 5B D T R P H H 4 2 H d H gB h ` 2B Dy R Y H d H F D H by 5 Y 2 H F D h 2 T iy Y R 5 H 2 T Dy R 7B Y H Y H F
H D T 7B — 5 d   T 2 T 4 H 2 “ ’ H 7B D h 2 T H 4 T  Y F D 5 ‰ 5 D D 4 H  Y H d F DB @ Y H bB D T bB d H h y TB D d T  2B T D 2 5
GV#X˜gWIp¢–¢g•I”V#EG…I¢C6¢U‚‘G¢†Gˆ‡Q†WQ‚…G„CvQ¢EWVVEW6Ix¢ƒW‚¢UwX¢GS¢Q4
Y 2 5B D T R P H y H h 5 7 d R 5 t @ 5 q hB R q i h T H D Y 2 R ` 2B 2 d H b 5 ` Y 2 5B D T R P H H F D F DB @ 2 5 7 7 5 4 2
p8XWVUSQ€QIx9wI8vusIrXIIpVgGfIIeIEIW68c8aI8XWVUSQ#IGGECA89#86)31

0



'
)


£


%

$







(

'


#!



$





 ©
¨



%




¦
§¥

¤



£
’ D 2 H 2 5  — H 2
QoQI8†˜‡‰¢T ¢W•Š„‰‚XI¢IXW‚Xp9Wf6WQpGoQ‚¢U
7 5 dq DB F YB R ` 2B D YB h 5 D Y H Y H F D 2 H d T
F DB @ h H Y 5y 4 2 H iyy T R Y R YB h 2 T D B d 4 Y d H  R Y T Y i T @y T YB H 7B D t d H F D H ` 5 D h H Y R 2 H F @ D R
WECÅQ‚8X6IQEE¢UWp…X¬I¢9˜XW6W‚Q†IW–xgŠ„¢‘EŽ#EGjQ6IG‡88W¬6WIÆQpC‘pI‰
t D B d 4 Y ‰ R Y T Y T d T H   T Y H 4B h 2B H 4 T  Y h 2 T H 7B D H F D F D 5 ‰ t H 2 5y T h H Y R 2 H F @ D T F D H 4B D 5
QpX‚Q‚IIW‘C¢‘¢Qsp¢uQ6XIpXwQ¢U‚I¢9XWupGeG¢†pVI8E¢6WI‰QICulUG6XGVfò
ç ’ ¥
8¥ pšæ

  ü ¢í
¡‚£Ý
¤ý ü
¥Icï
  ü í Ý ä ç ß îû þ ø ù æ
¡‚xÿˆs‘XŽÆ™ê ‚mÝ
ý ü ï Ý ä ç ñ û õ ø ìù æ
IgUðˆë|x©9ú‚mÝ

ä ç ñ õ ø Þà ß î þ ø ßæ
¡†p«˜‚˜‘¬‘|mÝ
ä ç ß î þ ø ßæ
¾s…¬‘|vÝ
ä ç ñ õ ø Þæ
¡†p«‹•mÝ

Û Y @ 5yy 5q Y T YB ` 2B — H h 2B D B d 4 Y d H  R Y h 2 T D B d 4 Y ‰ R Y d 5q 2 5B D 2 H b 2 5 4 H F
QCcXE8•u¢CX–IE˜‡IIE‘pX‚QW‚Q†IW‰I¢fpEW6WII‚u8•†¢XGo68o8QwIut
’ Y R 5B b ‰ 5 ` 2B 2 T H 7 H F D H ÷ T 7 hy R 5 F
6I8E˜o8‘pXI¢Q#uIW¢¢#XI8pWY
Dx‡Wo8Qu¢Q˜EC‡p‚¢WW6QQp96#EG‡#8‚#EºƒXpC•e6W8†WpI#6IGV#8•©QWp†‚¢ƒs–8£vì
— H D 2 5 4 y T 4 5y t ç i d T Y Y H 4 H 2 Y H 7B D H 7 5 Y YB F 4B F @æ Y H Y 5  d R  d H F D 5 d 5q h H Y R H d T ö à õ à êà
2 H F ™ ’ i T @ d TyB 7B Y T 2B â h 2 T á d 5q h H Y R H d T ö h 2 T õ d H D T ô ’ D R 5 F ` R 5 d F D Þ î ä ñ D T F
Qpª•8g•v¢XX9XW–†X#†I¢Ž‘¢•Q‚IuW¢j†I¢6GV˜vgp¢I8I8‚IG•‘óe™VIGD
HD 5 ò
W¢f‘’   pwWp8Xv†XeCcI‚™¢s–XdpXQVUWaIGu…p¢A†EdIEQ¢U‚wIWuXk…‘W6IC@
’ ¥ H d R `B ¤ 2B 2 @ 5 F Y Y T t Þ 2B ` 2B 4 T  Y H F D Þ î h 2 T ß 2B ` 2B 4 T  Y H F D YB ß î H d H F
ß î ê ä í
…S«uxß

ç ¦’ ¥
cEpšæ

ñ ì ä Þ î ì ä ï
›ª€…‹ða3Þ

ç   pšæ
’ ¥

ä
¡Þ
ä

ß

hB d ` h H 4 T  YB R P H 2 T 2 5 2 H F t ’ ì ž   è   YB
X‚86Q¢IWXpx6¢¢Qpujv•s¢€é¢wEŠÞ
d 5q D T F D h 2 T t ê ž   è   YB ß d 5q — H h 2B F Y H 7 H F t ’ h H 7 R Y Y T YB d H F D 5 H F D 2 5 H 4 2 H h 2 H  H
¢•uVUG‰I¢ëUˆc¢€é¢wXC¢•e‡IpX‚Q9apu•‹6#I‚W¢CEf6IGVwpG8…QpQII6s6Ih
t h H D 5 2 H h YB Hy ‰ TB d T b H 2 5 iy 2 5 2 H F ™ ’ ç Þ à ßæ Ý ä Ý H Y T 4 ã r ¦ H F D iyB d T 7B d  d H hB Y 2 5 4 H
hQGVIQI™XwXI¢XW¢Vwp8„I8kQpªu–‚W˜•måe‘W¢QÏÔ6eIWd„XWVdEWI6IX‚I8Q‘v@
Y d H D  T F 4 y T d H b H Y D Y d n H F D d 5 ¤ ’ â à á à ß h 2 T t Þ Y Hy ‰ TB d T b D 2 H h 2 H  H h 2B H F D q 5 Y 2 5B D 4 2 Rq H d
W6GpVUƒh¢WQ¢6W•‚‚UfIWj8Ujpƒ†G˜dIVp–jQEI¢XW¢VŠoQpIQ†QIpX™pG‹¢vI8EG6pI•‘‚¢T
t Hy  7 T — H d 5q t Ý t Y Hy ‰ TB d T b D 2 H h 2 H  H h H F D ty T d H 2 H ` 2 1 ’ Y 2 5B D T 7B — 5 d   T H 4 2 H d H gB h H DB 2
¢Xp#¢p–Š8•˜˜˜QQEI¢XW¢VCoQII6s6IIW˜ŸVGQpQ83”6I8XWV#X˜gWIIVuQI6WQsEpG„IUn
’ Y H 4 T  Y y T 2 5B D T D R  7 5 4 h 2 T y T 4B Y i F
Q6Q¢IWhVU8XWVƒ˜I#¢Q‰I¢˜¢QXWxojÜ

Û ¦’ ¥ H d R `B
8„puWI¢Xv¤

x
y

Ú Ó × Ò Ë É ÙÒ Ø × Í Ê Ê É Ì Ç Ó Ì Í Ì Ñ ÑÒ ÖÕ Ì Ë Ò ÓÒ Ñ Ð Î Í Ì Ë Ê É È
u‡§™†fjˆˆ«”w€‘ˆ””Ԑz€mQ‘Ôv«Sψm™‘”Ç

 
8 
ç 9’ ¥
¢%pšæ

’ 4D
¢W6H

’ 7 d 5qB 2 R YB ` 2B 4 T  Y H F D t ß î d 5 Þ î 2 5 D B d 4 Y ‰ R Y 5 2 YB H d H F D 2 H F
†‚8•EpIuX–IEQ¢U‚uIGU˜…C8Š…‰8fpX‚Q‚IIW–IuEa‚QIW‰6Iª™
à ï Ý 6 4 ü ï Ý ä ï Ý
˜UÅ85cUªaë‘î

à í ß 6 4 üí ß ä í ß
sxr'5‚xªCx…î

à ïÞ 6 4 ü ï
I3r75c3Þ

ä ïÞ
a3…î

D T F D F 4 R Y h H 2 n H h YB F 4B F @ t î y 5 ‰ 7 i
VUW†ƒI‚QpU6IuE†ƒEICIe˜8†…x‚Y
H F D YB 2 5B D  H 4 — H H 2 5 H F t ’ ` 2B 2 T H 7 H YB 4 H d  Y DB H 2B 7 d H D H h 5 D h H Y R H d T Y i T @ d H F D “ ’
pGXk8EGp6Q˜‡‘p8‘IuuIIEI¢g9‘WEQ6WIWE…pX9WQW6IWk6WI‘‚¢wxc•QpG™…S(
y 5 ‰ 7 i Y H F D 2B h HB d d T 4 D 5 2 YB 2 5B D T 7B — 5 d   T H F D q 5 ç d H h d 5 h 2 Tæ H d R D T 2 H YB 4 H d  H F D D R
8sw˜fuIGŽE‰6X‚W¢QC¢IuXd8XWVdE˜c‚II¢upG§¢•ƒ6IW8‰I¢š9WIWVUuWEQ6WIuIWupI‰

  0 
¥21¥ (

ç ’ ¥
8“ pšæ

à 321 (
  0

t Hy  7 T — H d 5q t D T F D F 4 R Y H bB D T bB d H h T 5 D 2 5B D T 7B — 5 d   T H 4 2 H d H gB h
¢Xp#¢p–u8•pglUG‰ƒIWu8„GVV„WQp–9Wd8XWV#X˜gWIIVw6IQ‚QsEI‘T
D 2 H Y H d  H d 5 D h H Y R YB ( y 5 ‰ 7 i Y H F D D T F D 2 T H 7 H @ YB F D i  ’ H R PB 2 R D 5 2 YB DB ç 2 5B D  H 4 — H H 2
oQ‚QWpQW‘GaQWp§Eu)¢s…xfvIWmlUGu¢g9•v›XIWv'VISXIpv¢p§E§E›ë8XWpQ6˜‡€I85
F DB @æ D R ‰ i F  5 Y 5yB F  H 7 T Y H F D Y @ 5yy 5q Y 2 5B D T 7B — 5 d   T H 4 2 H d H gB h d 5q 2 5B D T D 5 2 H F
WEC•pI…Sp8W8EXIpf9¢G‘IW”CsEX8•”p8XWVdE˜c‚II¢™QI6W6h„Iˆ8•‘8XWVƒ¢p™Iut
’ ß 5 D D 4 H  Y H d F DB @ Ý q 5 H bB D T bB d H h D Y d n H F D D 2 H Y H d  H d 5 D h H Y R H ‰ D 5 2 yyB
˜9W‘‡Q†W6W‰GEC‰vV8EWVVE‚QI‘‚‚UIGfoQW6WI6W–G‰Q‚Is‘¢phXEC@  ‘ISut
Ý Y R F
’ Y H bB D T bB d H h Y Y H d  — H 5 D h H Y R d H b H 2 H d T Y Hy ‰ TB d T b D 2 H h 2 H  H h 2 5 Y D B d 4 Y ‰ R Y D — H D YB F D 2
QQ¢EWVVEW6IuW6WI˜‡dGQ‚IQ¢6IaW¢fQEI¢XW¢VoQIpQ†QI¢GpEWQ‚II‚x‡GCXpG31
Þ

ç $’ ¥
¢%pšæ



Ý

 ä
#˜!Ý

H Y R H @   ã “ q 5 i h R D Y H F D 2B H bB D T bB d H h H 7B D i d T 2B h d 5 H F D d 5
‚Iu•uY u”¢ppG‚uIWeX8„GVV„WQp#EG#‚¢UEIW¢wpGŠ8U¤
ç ’ ¥
o— pšæ

’ 4D
¢W6H

à

 ß 
Ý 


ä  
eÝ ¥
à

Þ 

ä 
eÝ 

Ý 

à

ß 
Ý 

ä 
eÝ 

iy ‰ T H ` 2 T F 4 d H D 2B H Y R H @ H 7B D d 5 H 4 T  Y 2B Y H bB D T bB d H
„I¢Q8I¢Uƒ‚QWSEa‚Iw•™9XWŠ8wQ¢U‚eXCQ¢EWVVEW6Ih
y TB D d T  d 5q Y R F t ’ Y 2 5B D 2 H b 2 5 4 y T R Y R H F D 5 D ` 2B h d 5 4 4
¢ƒW‚¢I‘8•#ISu©QI8EGoQ¢o8QC¢U‚IIGeWAIEIW¢QQVT Q‚WQ‚I˜‡WV#68„GVVE‚Qã
h H Y Y H d  — H H d T Y H bB D T bB d H
’ D 2 H 7 H ` 2 T d d T hB d ` H 7B Dr H 4 T 
goQ9Q¢I¢G‚¢X‚89XGŸ‡6¢U˜”

©

j

j+1

©

j-1

j-2

j+2

x

Û   p‚I8Ev¤
’ ¥ H d R `B

©

n-1

∆t

n

∆x

n+1

Grid or
Node
Points
t

¥  

Ó × Ò Ë É Ë ×
u‡§™IawÓ

¨

Ì Ç Ó Ì Í Ì Ñ Ñ Ò ÖÕ Ì Ë Ò Ó Ò Ñ Ö Ó É Ú Ì È Ú Ì Ù Ð ¦Ð
”…ˆfˆ”vԐŸˆmQfÔv™™‰€™˜v†º8§xÎ
ç   „pzæ
¦’ ¥

ç  …zd“ø
ß îæ ’

ß
…î  

4 €í Ý 6 4 üí
AxÅ‚5‚˜Ý

ä

í W ß 
V
Ý 

7 d 5q H F D 2B h H D 2 H Y H d  Dy R Y H d i d T 7 7 R Y H F
‚8•IGeXQGo6WQ‚ICEpWQ‚Žf¢d9I‚wpGD
Y H H Y 2 H Dq 5 H 2 5 h 2 T t 2 5B D T 7B — 5 d   T H 4 2 H d H gB h h H d H D 2 H 4 D 2B 5 r H H d F D H F D Y T 5 D h H d d Hq H d Y
Q6W9QW|¢fp8#p¢o‹8EGV#X˜gWpI¢fQI6WQsEpeQW6GoQ6ˆoX8†3–QWpGCIGˆ¢aG#6W‚Q•6‚ˆXB
d H D D Ty H F t ’ H bB D T bB d H h D Y d n T 5 D 2 5B D T 7B — 5 d   T d H h d 5 r h 2 5 4 H Y T YB ç ß
QG‚Vƒpu”¢¢EGl¢„W6Iu‚‚Uw‘W#8EGV#X˜gWIp¢CQI‚83xI8Q6Ww•Xvs…î   IÔAxk£5‚xšæ
æ rç4 € í Ý 6 4 üí Ý
u
D T F D Y @ 5 F Y ¦ ¦’ ¥ ’ P  t iy d TyB 7B ”
lUGjCcIWu¢EpSëj‘8„W¢XX9X˜”’ y í x‰Ww8XWV#X˜gWIIVˆQI‚83f‚WI™ˆX#‘V6˜935‚xšæ
w u t 5 D 2 5 B D T 7 B — 5 d   T d H h d 5 r D Y d n T Y B ß î r ç í Ý 6 4 ü í Ý
2 5B Y Y H d  — H H F D D T F D H H Y H @
8EWW6WI˜–uIGmVUGŠ6WuvVt ¡ Ep8†jˆ8‚ëv‹xIG‡#ŠpGë¢v6IW¢uIGv68„8jQvcsjfQvcXy
¦’ ¥ ’ P  7 5 d ¤ ’ h 5 F D H 7 H F D q 5 d H h d 5 H F D Y H bB ` d H @ 5  D Y H @ 5
H F D 5 D ` 2B 4 T  Y hB d ` H F D ` 2B 2B T D 2 5 4 7 d H D d 5 d d H H F t ’ d H h d 5 2B T D d H 4 T 5 D ` 2B 4 T  Y hB d
pGWIX6¢U‚rX‚8dpGIXIE¢ƒo86¾‚QWw8‚W6ŽIu6QI‚8rE¢ƒfQ6WIX6¢U‚rX‚8`
H F D 2 5 Y h 2 H  H h d 5 d d H H F D D T F D d T Hy 4 5 Yy T YB D1 ’ 2 `B Y y T R P H H F D q 5 H hB Y D F `B d H F D 2
pG¬8#pIQ†QI–8‚W6‰pG‘VUW…¢gEQkWE¢–X9£Å‹¢XWC¢Ix6IG‘¢IX‚‘o8X‚IG¬85
Y d T H   T F 4B F @ d 5 d d H q 5 D 2 R 5 7 T 2B T D d H 4 T F DB @ H bB D T bB d H h D Y d n T D 2 H Y H d  H d 2 5B D T R P H H F
‚¢g†I¢dƒXICj8‚W6‹¢ˆoI89¢#X¢G‚6QudWECu8„GVVE‚QI€fWUuoQ‚Q‚IQ‚#8EGVIx6fpGD
q 5 H hB Y Dq Hy H F D 2 5 Y 7 d H D H D H d 4 YB h H F D D T F D d T Hy 4 YB DB t d H 2 2 T 7 YB F D 2B h H Y Y H d  — H 2 H F
¢uIEWC|6EapG8C#‚QGW6W6WEIapGCVUWŠ¢gEQCXC„UQQpI¢#‘EIGeEeQW‚Q‚I˜‡6Iª™
ç ¦ ¦’ ¥
s8„pzæ

‡x‡x‡8í W † ß 
¡
V  ¦
V … ß
…î
Ý 
¦
†
ø

í W „ ß 
“
V  ‘î
ß
Ý 
¦
„

í W ß 
ß
…î  
V
ƒ6
Ý 
4 €í Ý 6 4 üí
¥x)‚5WxÝ
ä

2 5B D T R P H ` 2B @ 5yy 5
8XWVUSQwIXCcXE8•q
H F
pGD ‚8•ÆWeEI‚Q‚ApGªI8W¢QWðI¢«9p8†¢‰8GVWQ9ISkIGD X9W6GeIGðI¢U˜v
7 d 5q 5 D Dy R Y H d H F D  R 5 d ` H d h 2 T ê D R 5 ‰ T d 5 D T d H 7 R 2 H F 2B Y 7 d H D H F D h 2 T  —
’‡s…î   pf¥xÅ75‚xšA8EGV#X˜gWIp¢w6IQ‚QsEIwQVUWuIW‘6IX‚I8Qfx‡‘ˆŸXVd‚uXe…î
ç ß
æ r ç 4 € í Ý 6 4 ü í Ýæ 2 5B D T 7B — 5 d   T H 4 2 H d H gB h H 4 T  Y H F D d H hB Y 2 5 4 D — H ò ’yy T 7 Y YB ß
u
y w u t d 5 q 2 5 B D T 7 B — 5 d   T H y ‰ T 2 5 Y T H d T Y B ß î r ç í Ý 6 4 ü í Ý æ 2 5 B Y Y H d  — H H F D Y R F
Y T ` 2 5y Y
VI8Ev¢T í xv18•w¢XGldEpg‚II¢vXIVU8WVgWfvE#…¢sQxaq5Wxš‰¢XW‚Q‚I˜‡ŠIWvISut
ç ¡ „pzæ
¦’ ¥

Y Y Y
aa`ø

í W  ß 
 
V ç ß î
¡s…šæ
Ý  
¦
ø

í Wpß 
ß
‘î
V
iä
í Ý 6 4 üí
x)85‚˜Ý
Ý 

2B T D ‰ 5 5 D ß î i ‰ H hB bB h h 2 T í Ý D 4 T d D ‰ R
X¢Gp89G†‘eSpXxEI‰I¢™˜‘‡¢GWpIWY
ç h’ ¥
8dpšæ

d T H 2B
¢gpXXy

@ 5
cfò

í W
í 
í W
b
ï ß  V s…šæ 8ì saagø W ß  V  s‘šæ   ø ß  ¡s…šæ ”xªj5‚xÝ
Y Y Y
aa`ø
ø Y Y Y
V ç ß î ø í Ý ä 4 üí
ç ß î
ç ß î
¦
¦
Ý 
Ý  ï
Ý  
ï
Û 4 ü í Ý d 5q 2 5B Y 2 T  — H Y HB d H Y d 5y i T t H F D d H hB Y 2 5 4 t Hy  7 T — H d 5
ƒ5‚xu8•‰¢XWp¢U˜‡‘QEWQ‚u8XxgmwpGuQIEWI¢QIVXI9¢p‡u8U¤
’Y Y Y
„aaSà   ¥8–f#‘8•fIWxI¢xm¢ŠI8EGVIXI…¢Q4
e à ¦ e ä õ d 5q ý ü í Ý h 2 T í Ý q 5 Y 2 5B D T 2B ‰ 7 5
7 5 dq h H 7 d 5q H ‰ 2 T 4 H bB D T bB d H h y TB D d T  2 H bB ` T 5 D Y 2 5B D T 7B — 5 d   T H 4 2 H d H gB h y T 4 5
8W•uQ9W8•j†aVgˆ8„GVVE‚QI¢¢ƒW‚¢UwQ¢E8C‘G‹I¢XGldEpg‚II¢€QpQW6h„Io¢Q˜›ô

í W
í 
í W
b
ï ß  V s…pŸæ 7ì caa`ø W ß  V  s…pzæ   ø Xß  ¡s…pzæ v˜ðCIWxÝ
ç8dpšmaa`ø
c’ ¥ æ Y Y Y
ç ß î õ
ø Y Y Y
ç ß î õ
V ç ß î õ ø í Ý ä ý üí
Ý  ï
¦
Ý 
¦
Ý 

ï
Y H bB ` ß D R 5 ‰ T 7 d H D d H D D Ty H F D ` 2B h 2 T  —  ’ ý ü í Ý ä ç ß î
Q¢E8up8†¢µW6G•6G‚VƒuIW9IEII¢IpvUsIWxÿˆs…põ
ø ß î êæ
#…x„mÝ ™s‘˜ð#|mAp¢)…Sê ‹p¥ p‰G…„p˜QSjTXkQ¢E8A8EGoQ¢S¢Qe8EGVG¢I2
ä ç ß î õ ø ßæ Ý h 2 T ß î
ä ß t ’ ¥ 5 D ¦’ ¥ ’ Y P  2B 2 H bB ` 2 5B D 2 H b 2 5 4 2 5B D T D 5
H F D ` 2B @ 5yy 5q t 2 H F t ’ h H — n Þ F DB @ ç Þ à ßæ Ý d H hB Y 2 5 4 t Hy  7 T — H d 5
pGkIXCcXE8•u‹Qpuó‹Q˜p‘©GEC‘‚W˜•m#QIEWI86u¢EI#VI–#¢ë¤ ‹8EWI¢Ip–ŽQEW6WY
’ 2 5B Y 2 T  — H Y HB d H
d 5y i T t Hy  7B Y T q 5 Y 2 T H 7 i ‰ h H D T Ry T b H d 5 h H D T d H 2 H ` H ‰ 2 T 4 2 5B D T 7B — 5 d   T H 4 2 H d H gB h
¢XxgvjEI#EW‘ë¢vp¢g9wSaQWVUXV¢‡m¢…QWVG6IQ8€†…¢gu8EGV#X˜gWpI¢Š6IQ‚QsEIÆi
² ¶ Ã ¹ »
e#6ja´

R ¹ P Ã À C C
S†QjeIHG

± E ¹ » ´ E ¹ À
9FjwwFˆ±
½

± Á ´ C
‘wDB

Ú Ó × Ò Ë É ÙÒ Ø × Í Ê Ê É Ì Ç Ó Ì Í Ì Ñ ÑÒ ÖÕ Ì Ë Ò ÓÒ Ñ Ð Î Í Ì Ë Ê É È
u‡§™†fjˆˆ«”w€‘ˆ””Ԑz€mQ‘Ôv«Sψm™‘”Ç

@®
A­
—  
° ¯Ÿ § ¢ « ¨ © ¢ « § ­ ¢ › ® « › ¥ž § ­ ¥ž ¢ ›     ¬ « ª › © › ¨ § › ¥ž ¢ ›   ŸŸž œ › š
¦d““¦q“£¦“A¤sF'¦d“¥¥d“sa1‘¦£s“q“7¦d¤£a¡ddv‡o™
H ™ ’ F Y H 7 H F D 2B D 2B 5  i d H b H D T $ ¦’ ¥ ’ P  i ‰ 2 H bB ` 2 5B D T 7B — 5 d   T H 4 2 H d H gB h h H d H D 2 H
•‹‚Q9apGX‘oX8†fQ¢6‘V–qE˜sëj˜oQ¢E8e¢XGldEpg‚II¢aQI6W6h„IeQ‚QGo6Q4
H F D HY R h 2 T —
pGeWI¬IVu•Ý 9˜–m‘s•Ý ‘ç ¡ mjQp8XWEII¢QÅf¢UII¢sa6EIƒX‚XŽ‚8†#EB cfò
ä ç æ Ý à ”
ä
æ Ý t Y 2 5B DB h 2 5 4 i d T h 2 R 5 ‰ D Hy F 4B dB ã H Y 5  7 @ 5
ç ¦
sªø

Œ



‘æ r  ä ß î ’ F Y H 7 D 2B 5  d R 5
“I‚’‰…vhWQ9uoX¢suI¢ë¤

—

6

‘

Y
¥

6

Y
 

6

¦
¦

6
¡

‹

ä
‘ê
ä
eß

’ Y HB d T h 2 R 5 ‰ H F
6QEW¢UpI8†wpGD
` 2B h Ry 4 — H Y D 2B 5  € ‡y € }x „y q 5 d H ‰ 7 R 2 H F D 2 T H 7 H @ t Ž F Y H 7 T 2B Y D 2B 5  q 5 d H ‰ 7 R 2 H F
IEIIEQ˜‡CGoE8s•lŸ‡‡3U|ŠVf6s…pxwIW‰¢Q#wvëpW6#–ECGoX8†”V‘6swISaIWD 
q¢‰¢g†W‘veQICfVUWwQEG¢‘ucXQ†kCcIWuTI¢‰VGoX8††‚¢UpI8†G„CWQ97
5 ÷ T H  Y H @ 2 H F @ D T F D H 4B D 5 ò ’ @ 5y H ‰ 2 @ 5 F Y Œ h 2 T ‹ D T Y D 2B 5  i d T h 2 R 5 ‰ F DB @ F Y H
DSE8†‘p8•wpGCQIEWI8•€h8XWVdE˜c‚II¢a9¢GuIWC¢•†8EGVGS6W6WI6WC8GlGQ†8wЇš¢9{
2B 5  d R 5q H F D d H hB Y 2 5  ’ 2 5B D T 7B — 5 d   T H 7 T Y H F D d 5q 2 5B D T D 2 H Y H d  H d d 5 D T d H  5 ‰y €x 
T H bB d H h Y R D Hy @ 5 ò ’ H bB D T bB d H h h 2 5 4 H Y T 5 D 2 5B D T 7B — 5 d   T H 4 2 H d H gB h D 2B 5  T YB F 4B F
¢E‚QIuI•6Eÿc‘j¢¢EGl¢„W6II8Q6W…‘W#8EGV#X˜gWpI¢6IQ‚QsEI•SE8†wuXeƒEIC@
ç $ ¦’ ¥
8q„pzæ

 ß…î
¦

ç4 € í Ý ø í
fAxÆv˜Ý   85Wxšæ
6 4 üí Ý

ä íç  (
ŠzsÝ ¥ ˆæ
2 5B D Ty H d H F D d H hB Y 2 5
8XWVƒ6WuIGu6IX‚I8•

} r e j | r p y w p t i p r p ng l „g r j
U¡7‚‡mxvu‚‚{†f…o!¡7|

ƒ

‚— –—
o˜–

’ 2 5B D Ty R 7 d 5q h H D T 4B D YB F  5
h8XWVƒIwW8•eQWVgEGfXII¢WY
H d 5 7 T Y H dB R P H d 2 5B D T 7 d 5q 2B y T 2 5B DB h h T F 4 R ” ’ h H 4 d 5q 2 H H d T Y 2 5B DB h 2 5 4 i d T h 2 R 5
W89#™QWEISQ‚e8XWVd‚8•pE›¢U8EGEpI¢eƒIx™hQQ‚8•p6a‚¢™p8XWEII¢Q‚VUII8†‰ cIF
@ 5
d 5 h H 4 2 H d H gB h H d T F Y H 7 H F D 2B Y D 2B 5  d H F D
¢rQ6IQ‚QsEI9WV)W6#9IWAEwWoX8†a6IGV5 cIapjXQWaI¢XW‚Q‚I˜‡d‚QIW•¢wQpGE6I2
@ 5 F Y R yy H D Y 2 5B Y Y H d  — H H Y H F D q 5 d H F DB H
t6Q8‡•c‘QGoE8saIXpII8‚WI‚›¢€#‚QG9XŽ‚Q9a#XvoX8†™W6W6WEI™I¢•Vf8„GVV„WQpaT
d H b H @ 5 € ’ Y D 2B 5  ` 2B h 2 R 5 d d R Y q 5 Y 7 d H D 2B F Y H 7 T 2B D 2B 5  H D H d 4 YB h H 2 5 D T H bB D T bB d H h
5 D 2 5B D T 7B — 5 d   T 2 T H bB ` i H F D H 4 2B Y ž € ‡ x  € } œ ‡ }  „ } € } y ˆ x „y ‡ œ d 5q YB Y T ‰ H F D H d T H Y H F
W–¢XGldEpg‚II¢d¢¢E896pGf6IX‚ˆGlÔ¢‚‡Uƒƒh‡G‡ ¢ˆU|lUj8•ˆXWVU™IWf‚¢W6Iut
ç — ¦’ ¥
Sg„pzæ
ç ¥ ¦’ ¥
oc„pzæ

í W  ß 
 ß…î
ç  ß…îz排~ø›çf4€¥í˜Ý¬ø”íxÝ   6845ü‚형æ
Ý
ä
V
¦
Ý 

í W ß 
V
Ý 
ß…î  
¦

ç  …zŽ~›f¥˜r75‚xšæ
ß îæ ’ ø ç4 € í Ý 6 4 üí Ý

ä

Û Y H bB D T bB d H h h 2 5 4 H Y h 2 T D Y d n H F D d 5q Y 2 5B D T 7B — 5 d   T H 4 2 H d H gB hr h H d H D 2 H
4 QQ¢EWVVEW6Ip8Q6WI¢f‚‚UIGŠ¢••I8EGV#X˜gWIp¢…6IQ‚QsEI£˜Q‚QGo6Q4
D 2B 5  r H H d F D H F D H d T Y Ty R 7 d 5q H 4 2 H d H gB hr H DB 2 n q 5 Y Hy  7 T — H 2 5 7 7 5 4 D Y 5 7 H F D Y  T F d H
SE8†3‡6WIWaIWw‚¢‘¢ƒp…W8•6IQ‚QsEI£‡G„IU”Vf6XI9¢p‡‰89#86‘‚89apG™IVUW6mÜ

} r e j | r p y w p t i p r p ng l j ig e
h¡7s{zxvu‚sqo2mkshfd
² À Ã » ´ À ± C
ˆ9”wˆr•”

$  

± Á ¶ ± À ± ¿
CejÅ6¹

Ú Í × Ë É Í Ì Ê
fu•™‘ˆˆu×

™— –—
s˜–

½ ¼ ± » ¹ ¶ ¹
hf”‡egº¸

­ ®
ƒ­

Ì Ç Ó Ì Í Ì Ñ ÑÒ ÖÕ Ì Ë Ò ÓÒ Ñ Ð Ð
”…ˆ‘€v”ԐŸˆmQfÔm«xÎ xÎ
H d T F Y H 7 D 2B 5 r d R 5q T 2 5 Y 2 5B DB h 2 5
W¢†W6#uoE8s£fI¢•‘‰8up8XWEII¢Q4
i d T h 2 R 5 ‰ D Hy F 4B dB ã F DB @ H bB D T bB d H h h 2 5 4 H Y h 2 T D Y d n T d 5q Y 2 5B D T 7B — 5 d   T H 4 2 H d H gB
‚¢III8†u6EIƒX‚XGEC‘¢EGl¢„W6I)I86Q‚rI¢w‚‚U‰w8•p8XWVdE˜c‚II¢#QpQW6h„Ih
ry T d D 2 H 4 D 2B 5  r H H d F D H F D ` 2B D 2 H Y H d  H d Y d 5 D T d H  5 B d D T 7 H F t ’ H 7 T Y H F D YB Y H 2By H F D q
„¢WGoQ6oX8†3–QWpG…IW‰IEGoQ‚Q‚IQ‚W8WVG6s¢— WWVd–Iuw¢9¢W‘IG™EQpXX‘pGˆ¢5
H 2 5 2 t h 5 F D H 7 y T d D 4 H  Y T ` 2B D 2 H Y H d  H d d 5 D T d H  5 H 4 2 H d H gB h —B d D T 7 H F D q 5 H Y T 4 H 7 H d D —
I¢IU‹xIG‡#§¢GW66s‚#eIEGoQ‚Q‚IQ‚‘¢GVWQ†8w6IQ‚QsEIŽ„WWV#wIWv¢aW¢Qw9QWWx‡H
H F D 2 1 ’ h H nB h 5 7 H ‰ —B d D T 7 H F D q 5  5 D d
pG3”‹QIEIx#†#„‚GV#uIG˜¢8WŠ85 ¢GWVsuIWŠ¢gIu¢uVu6IXEwpGŠVIGGlƒ6EIh
7 5 D D 5 ‰ H F D d T H 2 d 5 D T Y H 2By H F D D T F D H D T D 4B
i T 7 Y 2 5B DB h 2 5 4 i d T h 2 R 5 ‰ t Hy  7 T — H d 5 ¤ ’ H 7 T Y H F D iyB d T Y Y H 4 H 2 D 5 2 H d T H 2By 5 D H 2B 7 5 d
gdjI¢XG„II86‘‚VUII8†o¢EI9¢p‡j8UjV#¢WCIG…„X‚¢G‚QQ6I€¢Iu‚¢CIXEuGŠIEXy ¢W•q
h H Y R Y d 5 D T d H  5 D 2B 5  H F D D R ‰ t d 5 D T d H  5 H 4 2 H d H gB h D 2B 5  T 2 5 h H Y T ‰ YB d 5 D T d H  5 H 4 2 H d H
Q‚I€W8WVG6s8voX8†™pG€pIxQ8WVG6s8fQI6W6h„I€SE8†ae8dQWVUvEˆ8GVWQ†86IQ‚Q•q
rqB h B d D T 7 T q 5 H 2By F 4 T  ’ d 5 D T d H  5 H 4 2 H d H gB h —B d D T 7 T Y H D T d D Y RyyB Hy  7 T — H YB F
ƒEI‰— WGldŽv¢aIXEƒ¢ˆ½Q¢GVWQ†8‘QI6W6h„I†„WWV#Ž™6GVWG‚pXXE…Xp#¢p–XIut
¡ ’ ¥
ç ¢  pzæ

y AŒ ¼‘D» e² Ý ¥ (
º² t ø ²Ý
ä 
Y T 9 ¦’ ¥ ’ P  H DB d @ H d 2 T 4 H
¢…q„p†ëj‡WE‚C6W¢Qav@

ç h ¦’ ¥
oa„pzæ

ç c ¦’ ¥
oa„pzæ

¹
¦

  6
¦
¦

·

·· ¶
—
!Ý
¹

¡

  6
¦
¦

´µ  ß…î
¦
³´´

¡

·

·· ”
¸¶ !Ý

  6
¦

´µ  ß…î
¦
³´´

  6

ä y ¦Œ t
º²
à

·

ä

»
h 2
I¢T

…
Ý
¹ „ ´µ
Ý ´
 Ý ³´

ä
޲ Ý

·· 4
¸¶ £Ý

` 2B 4 R h 5 d D 2 1 ’ 7 d 5q y TB 4 H  Y i d H b T Y T F B d D T 7 ` 2B Dy R Y H
IEQIp˜‚Go3”‰W8•‹¢XQ6s‚‚Q¢…fVUŽ— WWVd–IEG„IW6Wd
H F D D T F D t d H F D d Rq h 2 T t 7 d 5q —B d D T 7 r d 5 D 4 H b T 2
pGwVUG§Q6IGfI•Ap¢§†‚8•e„‚GV#3Ô8G‡Q¢‰XB QpGw‚QWpp–r¢QdvuVUG¢QX6wEwEB
7 H F D Y Y H d  — H 2 T 4 H @ D T F D d T Hy 4 YB D
ç 9 ¦’ ¥
8q„pzæ

ß î r
 …¢sç
ß î r
 …¢sç
ß î r
 …¢sç
ß î r
 …¢sç

…

— Ý
!ø

Ý   6
Ý
ø

…

„ Ý
„ Ý   6
„ ø
Ý

æ

 Ý


Ý   ±£Ý
6 4
 ø
Ý
4
£Ý   6

æ

ä
ä

ä
æ

” Ý
!µæ
ä

…
ç 
hÝ ¥
„
ç 
hÝ ¥

ç 
hÝ ¥
4 hÝ ¥
ç 

(“æ
(“æ
(“æ
(
“æ

7 d 5q H bB D Y H ` ` R Y H d 5 7 H F D 2B Y 2 5B D T R P H H Y H F D ` 2B DB d
W8•u8„GfQ88pWW¢#uIWECI8XWVUSQu‚QIW…IXWEW™

…  
„ Ý 
Ý 6 šæ

ç— Ý
3!Æø

ç “ ¦’ ¥
oc„pzæ

…
 Ý 
„
ç ÝÆø Ý   6 šæ
 Ý   8£šæ 
6 4 Ý
„

ç Æø
Ý

 ¬‹vÝ  
Ý ø 4
ç



6 ” Ý
k!šæ

ß…î
¦
ß…î
¦
ß…î
¦
ß…î
¦

…
ä

„
ä

ç  (
sÝ ¥ “æ
ç  (
sÝ ¥ “æ



ç  (
sÝ ¥ “æ

ä

4 sÝ ¥ “æ
ç  (
ä

Û Y 2 5B D T R P H d R 5q H F D D T H bB d d
6I8XWVUSQup8•IGCVu¢EW‚¢T
Ú Ó × Ò Ë É ÙÒ Ø × Í Ê Ê É Ì Ç Ó Ì Í Ì Ñ ÑÒ ÖÕ Ì Ë Ò ÓÒ Ñ Ð Î Í Ì Ë Ê É È
u‡§™†fjˆˆ«”w€‘ˆ””Ԑz€mQ‘Ôv«Sψm™‘”Ç

“  
’y T 2 5 ` TB h y T d D 2 H
z¢U8¢¢ƒI›VGGo6Q4
H F D 5 D Y d Hq H d ž   è   H 2 5 y T d D 2 H 4 H F D h 2 T d H ‰ 7 R 2 2B h h 5 Y i T @y T H d T —B d D T 7 h H h 2 T ‰
pGdW™W6•6W‘c¢€é¢ep8v¢WGoQ6…IWI¢™Q†…ISXI˜fxc•EV‘W¢„WWV#eQIIVUdT
d¢••GoQ9I8‚¢uIuj–Q² º c²Œ ë² ‹ Ž¢6W‚QWpp–seVgCII¢IIGaI8XVfWo¢ƒfI8QŠp8IWEC@
5q Y D 2 H 7 R ` d T H F t ’ ç à à æ Á Y T h H Y Y H d  — H H ‰ 2 T 4 Y h 2 T ‰ H F D ` 2 5y T Y D 2 T D Y 2 5 4 D R 5 F DB
—B d D T 7 y T 2 5 ` TB hB d D i ’ i DByB ‰B Y Y 5  T YB Y h 2 T ‰ q 5 d H ‰ 7 R 2 i 2 T F ` R 5 F Dy T —B d D T 7    „ ‡ … y ˆy €
„‚GV#¢VU88¢XIX‚GÅ›83„XEIX‚W8†f§X§IIVUI¢§Q†…ISuo¢a8I8pGEVu„‚GV#‡¢†lxcš¢š‡šx
Hy  7B Y T d 5q 2 H bB ` YB 2 5B D T d D Y RyyB H F D h 2 T y T 2 5B D  5 YB D 2 H 7 R ` d T H F D 2
XI9X‚w•¢•ŽQ8„8•E–8XWVGW‚IEXXfIGŽp¢†¢U8EGp8vX•S6#p8W¢™IG#XB 8¢‚IW6IC@
‘ q 5 HY R HdH F
’
’’

ç ’ ¥
8$   pzæ

‘
¹ Œ
º

·
··

‹

’’
’

··

Œ

··
¸¶
¦

º
Č

‹
º

Œ

´´µ
´´
´´
‹ ³´

ä ç º à Œ à ‹
jQÃsÃëÂÛ

‘æ
¤eÁ

2 5B D T D 5 2 H F D H 4 R h 5 d D 2B h 2 T ‰y €x  { ˆ } ˆ „  À T B d D T 7 T F 4 R Y yy T 4 H ™ ’y T 2 5 ` TB
8EGVG¢IuIG6IIxWGoE‰p¢wŠ–š¢99Wx†¢ƒ˜e— WGld‘ƒpW‹E¢gumŸVU88¢XIh
yVGGo6QpG«Ip8W¢ª6W6G‚pXQ†W¢ªƒEICdIp¢UAI8XVeW8pG#¢•ŽpQ6˜‡Ž8‚Q6‘E¢‚¢T
T d D 2 H 4 H F D h 2 R 5 d T h H d H D Y Ry 4 H d T F 4B F @ Y h 2 T ‰ ` 2 5y T H Y 5 F D d 5q D  H 4 — H Y 5 d H Œ yy T H d
D T F D Y D 2 H 7 Hy H F DB @ B d D T 7 H d T R P Y T YB Y d 5 D T d H  5 H 4 2 H d H gB h —B d D T 7 H Y H F D q 5 F 4 T
lUGGo6#6XQkWEC— WWVd9WVUSWeuXuW¢GVWQ†8–QI6WQsEpe„‚GV#9WQpG€¢rƒ¢ˆ

ç ’ ¥
S—   pzæ

¹
¦

¥
¢r   6
¦

·

··
¸¶

¥¢r  
  6
¦
¦

  6
¦

´µ  ß‘î
¦
³´´

  6

ä ¥ (


i ‰ 2 H bB
o‰Q8„8`
YB D F `B d H F D 2 5 2 5B DB h 2 5 4 2 2 T 7 R H ò T d 5q „ ‡yx  {y ‰ ‡ € œ œ  € } ˆ € ‡ ~ ˆ „ ‡  } ž  h 2 T Y D 2B 5
E–o8X‚‰pG¬8¬8XWEII¢QÆI¢#IQ‘A98•elŸš¢9|8FG†o‡‡x‚lW¢†lƒƒckóp¢9GoX8†
d 5B d H D 2B D T H 7 H F 4 Y ` 2B 4 2 H d H gB hry T d D 2 H 4 D 2B 5 r H H d F D T d 5q d 5 D T d H  5 B d D T 7 H F D 2 H F
8X‚QGoEdV#6IƒWIX6IQ‚QsEI£„¢WGoQ6doX¢s£‡Q‚IGAd8•–8WVG6s8Æ— WWVd†IGº6Iut

— Wß 
V
Ý 

ç ’ ¥
o¥   pzæ

¿¡¾¦ Whß 
V
Ý 
ä

YB 2 5B DB h 2 5 4 i d T h 2 R 5 ‰ H F D H d H F
Xe¢XG„II86e‚VUII8†uIGuW6IC@
  ’ ¥
ç 8  pzæ

D 2B 5  ` 2B @ 5yy 5q H F
SE8†ÅIXCcXE8•kIGD

ç ’ ¥
s¦   pzæ

¹
¦

  6
¦
¦

·

·· ¶

  6

ç

ß
ß
„ r6 … •æ  ‘î ¥ 6 — W ß  V …î ¥
Ý
Ý
¦  
Ý 
¦  
ä

…

ç  (
sÝ ¥ ˆæ

Û‡ç p“ p†8XW6Qxw6˜ŸA¢XG„II86e‚VUII8†‰I¢#IQ‘9C¢•Š8GVWQ†85
’ ’ ¥ 2 5B D 4 H ” H H ”æ 2 5B DB h 2 5 4 i d T h 2 R 5 ‰ 2 2 T 7 R H ò T d 5q d 5 D T d H 
i ‰ “ ¦’ ¥ ’ P  2B H 2By F D d R 5q H F D H 4 Ty  H d t Hy  7 T — H d H F D d Rq T Y
o¬cE˜fëj`XeIEXðGfI8•kIGkQ¢XIQ‚™VXI9¢p‡‰QIW‚I•ņ™i
¦
¦

  6
¦

´µ  ß…î
³´´
¦

  6

9  

¹

ä ¥ ¥à
 (

¦

¡

¦w6
¡

¦w6
¡

¦

·

·· ¶

¦

Ú Í × Ë É Í Ì Ê
fu•™‘ˆˆu×

´µ
³´´

¦w6
¡

ß…î  
¦

ä  (

Ì Ç Ó Ì Í Ì Ñ ÑÒ ÖÕ Ì Ë Ò ÓÒ Ñ Ð Ð
”…ˆ‘€v”ԐŸˆmQfÔm«xÎ xÎ
° ¬ «ž § ­ ª «
ÂFÕ¤¥sxdŸ
Ÿ ­ ž § ­ ® © ª Ö ž ª › ® © › ¬ « « § ©   ¬ « ® © › ¢ ¢ « ª § ¬ › Ô › Ÿ › ¨ ª ­ › › ª ¬ ž © ¯ Ÿ ¬ « › Ô ž § Ñ « ¬ « ž § ª ¬ Ò Ñ ­ © ÎÐ § ­ ¨ § › § Í
¦d¤¥‘“Xv¸£svˆ1q¦Q¤'q‘F“s¤¤¦†ÉS£É£d£Ï˜FsX£‘dˆqÕ‘¦1kd“v¦Ó¦d“†‘qŠuk%ž Ï¥‘¤p“¦« sÌ
’ iDByB ‰ T D Y q 5 Y 2 5B D T d H hB Y 2 5 4 2B d H D Ty y Rq H Y R H ‰ yyB @ F 4B F @ Y 2 5B D 4 R d D Y 2 5
¢3EEXI¢G‚m¢CI8EGVWQIEWI86eXu6GVX§p•6Wps‹EXCƒXICuI¢XG‡IWW‚I¢Q4
y¢G6IQ8wGEpxˆV‘WI…pGCGE9W6s™QX‚¢UIp8swIG9IXIpXQpXEQUwpGE™GoE8sfI8EW¢Vb
T d H 2 H ` H DB R P q 5 H Y R H F D Y DB 7 d H  Y HB d T h 2 R 5 ‰ H F D ` 2B h Ry 4 2B hy H n H F D 2B Y D 2B 5  Y R 5B d T
H F D D T 2 5B D T 7B — 5 d   T H F D q 5 H d R D T 2 D 4 T — H H F D d 5 D T d H  5 H bB D T bB d H h B d D T 7 H F D 2B iqB 4 H 
pGjVw8XWVdE˜c‚II¢CpGU¢u‚IGVIˆ6¢p‡upGv8WVG6s¢Š8„GVVE‚QIa— WGlduIWwXw|E6Q†WY
5 D i DByB ‰ T H F t ’ Y HB d T h 2 R 5 ‰ H F D D T D  H 4 — H hy H n H F D 2B D 2B 5  i d H b H D T h HBy   T 2 H H ‰ Y T
W#3„XXp¢wpuv6QX‚¢UIp8swIW‘lp6Q˜‡‰X6UIGXCoX¢s‰‚68‡fl†6XEII¢QQ†‘¢UF
d 5 D T d H  5 D 2B 5  H 7 T Y H F D D T F D d T Hy 4 YB DB h 2 T h H nB 4 H  Y iy H R PB 2 R 2 H H ‰ H b T F Y 2 5B DB h 2 5
8GVWQ†8oE8sw9¢G…pG™lUGC¢gEQfXfEIVkQU„QQ†W‰„QISXpIeQ6s…¢gUfp8XWEII¢Q4
id T h 2 R 5 ‰ H F D t ’ ¥ h 2 T
‚¢III8†apGpph   p†I¢‘9   p†QSj˜3€xqE˜sëjDo‰Q8„8u8WVG6s8CoE8suIW‰VUGe8EGD
’ ¥ ’ Y P  2 1 ’ $ ¦’ ¥ ’ P  i ‰ 2 H bB ` d 5 D T d H  5 D 2B 5  H F D 2 T F D 2 5B
r T 7 d 5q 2B H d 5 7 i d d T 4
l#W8•˜X‘W89–‚‚¢gwh   ˜ŽI¢w9   pp6SˆËoŽ68E¢v‚8GVWQ†8‘— WWVdfIG€VUW‘6XW¢fò
’ ¥ h 2 T
’ ¥ ’ Y P  i ‰ 2 H bB ` Y d 5 D T d H  5 B d D T 7 H F D D T F D H 4B D 5

Æ

ʈ— W ß 
V
Ý 

È ß
É ‘î
¥
à Y Y Y
–aaxà ¡ à ¡ s•Ý
à ”
ß
…î  
¦
ä

Æ ûV¢r   6xà6YaYaxà   xà   xà   Šù
¥
Y
6
6
6
Æ V¢r   ‡aax8Q8¦ ù
û ¥ à Y Y Y à ¦ à

²Œ
ä
ä

y ¦Œ t
º²
²‹
Hd H F
W6IC@

y AŒ Çw² Ý sQl²Œ U² ‹ eÁ
º² t ø ç ¦ à à æ

ç ’ ¥
oh   pzæ

 ß…î
¦
ä


² Ý ¥ (

h 2 n H @   ’
IUuvpt 8  p¥
h 2 T
IVŽ—   psQSjfE™¢†¢pXWfo8X‚apG†¢‘p8XWEII¢Q‰‚¢III8†IVdI6fwsEWQ‚Q‚Iwv”£1
’ ¥ ’ Y P  2B Y T t H hB Y D F `B d H F D 2 5 Y 2 5B DB h 2 5 4 i d T h 2 R 5 ‰ 2 2 T 7 R H ò H ‰B d 4 Y H d  H @ q
ç ’ ¥
oc   pzæ

Æû— Ý à Y Y Y à ”
§Ÿ!Gà ¡ 6aaSà ¡ s!úÝù

 ß…î
¦

ä y AŒ t
º²

Û Y H hB Y D F `B d h 2 T Dq H
6QIEWCo8EWI¢‘|‡Xy
H F D 2 5 Y 2 5B DB h 2 5 4 i d T h 2 R 5 ‰ D Hy F 4B dB ã H F D ` 2B hy 5 F d 5 D 4 H b H F D d 5q Y h 2 T D
pG)8wI8EGEpI8Q‚VUII8†a6XpƒXWEeIW‰IEIX¢I‘8G‡Q¢dIGw8•wIp¢ƒfY y AŒ ~W6IC@
º² t H d H F

y AŒ ¼w² Ý sgà   x8ÔeÁ
º² t ø ç ¦
6 à ¦æ

ç ’ ¥
89   pzæ

 ß…î
¦

ä 
e² Ý ¥ (

i ‰
o² Ý ¢¢EGl¢„W6II¢QQ‚uIGWVdE˜c‚II¢‰¢Qav@
q 5 H bB D T bB d H h h 2 5 4 H Y H F D H D T 7B — 5 d   T 2 T 4 H

Å
¹ •Ý ´µ
’ ´
’’ ´
· „ Ý ´´
 Ý ³´´

ç ’ ¥
o“   pzæ

ä
² Ý

··
··

4
·· ¶ £Ý

Y T
` 2B 2 n H ã ’ Y Hy  7 T — H Y R 5B b H d  d R 5 H ŒBy T d H 2 H
@ 5 2 2 T 4 H
 V² Ý IXpU6ˆ6QXp#¢p–‘p8Xx6‚ICI86XXVGQpQ8` sp†¢Qur™

c  

Ú Ó × Ò Ë É ÙÒ Ø × Í Ê Ê É Ì Ç Ó Ì Í Ì Ñ ÑÒ ÖÕ Ì Ë Ò ÓÒ Ñ Ð Î Í Ì Ë Ê É È
u‡§™†fjˆˆ«”w€‘ˆ””Ԑz€mQ‘Ôv«Sψm™‘”Ç
ç   ¥ pzæ
’ ¥

··

Ý
¥Œ
¹
Ý
Aº
··

† ‹
†Œ
†º

…
…

…
Œ

‹

„ ‹
„Œ
„º

º

··

·· Ý
¸¶ 3‹

4
xº
´µ
´´
´´
 ‹
´´
 Þ¡‹ ³´
Œ 4
 º SŒ
4

ä ç à à Û “æ Ü
jQ² º s²Œ †² ‹ –zokÁ

i ‰ F Y H 7 D 2B 5 r “ T d 5q 2 H bB ` YB Y HB d D 2
o†‚Q9uoX8†3s#C8•e68E¢uX‘QX‚GoQH W8•„IIS8IWEC@
7 d 5qB 2 R 2 5 2 F DB
d 5 D T d H  5 B d D T 7 y T 2 5 ` TB hB d D 4B h 5B d H  y T 4B  i D i ’ —B d D T 7 y ˆ ‡y € } œ T Y T 5 D h H d d Hq H d YB F Y H
8GVWQ†8— WWVdV¢U8¢¢ƒIEWWvXIxX‚Q†S¢gEIx3¬˜s„‚GV#hŸ¢QŸ‡‡UЧ¢fGa6W‚Q•6‚˜XwWQ97
4B h 5B d H  T 2 5 Y 2 5B D T R P H d Ty T 4 Y d 5q Y H 7 H F 4 Y ` 2B 4 2 H d H gB h Y D 2 H Y H d  H d D T F D B d D T 7 H F
XIxX‚Q†w#8ˆI8EGVIx6ˆ¢ƒ¢QWj8•€Q9QIƒ‚uIX6IQ‚QsEIŠWoQW6WI6WˆVIG…— WWVd‘Iut

‘ r
xs   e‘€‹‚Q9Xp˜EWQ†Š¢QIXE‘8uWoX8†Co8Xj
ä ß î ’ F Y H 7 4B h 5B d H  d T H 2By T 2 5 Y D 2B 5  D F `B

Y Y
aaY
 

‘
  
6

Y
c

¦

Y
6

9

Y
6

“

Y
6

$

6

Y
—

6

Y
¥

6

¦
 

6

¡
¡

c

¦

6
9

6

ä
‘ê
ä
eß

Y Y
aaY

’‹8EGVQ˜EuIXW‚¢G‚jG„apXI6QQ‚Iv‚I‚ÚoX¢sCIW€lwsIIQH  Eˆ¢wI8E€V•W‚¢G‚uIX‚Q†…IS2
2 5B D T 4 5y ` 2B D d T D Y Y DB ` 2B h H 4 H d  D Y R Û D 2B 5  H F D D T Ž Y h 2
DB Y T ` 2 5y Y T Y D d T D Y ` 2B d H ‰ 7 R
H F D H d H F @ d H D D T 7 iyy T H d  2 Y H 5 h DB t Hy 4 dB 4 T q 5 d H D H 7B d H  H F D 2 5 D R 5 hB Ty YB F Y H 7 H F
pG‘W6ICf6GWld‰EE¢g‚uD ÚWQxI™E‹VXQ‚X6Ž•V™QW69X‚Q†‘IG8p8E¢ƒ™XeW6#‘pGD
2 H F ™ ’ ’ ¥ H d R `B ¤ 2B Y T F Y H 7 d Ty R 4 dB 4 T 2 5 iy H bB D Y H ` ` R Y H d 5 7 d 5 t Y HB d D 2 H h H D T H  H d F DB
Qpªmp¥ pu‚I8Xm#Ej¢#WQ9”¢XIQ‚X6u98…EQ¢EW‚Q¢8IW•W89j8SQ6XWWoQ9QGlg†QW–WEC@
F Y H 7 d T H 2By T 2 5 h H D 2 H Y H d  H ‰ d H F DB H 2 T 4 YB F t ’ @ 5y H ‰ 2 @ 5 F Y F Y H 7 4B h 5B d H  D 2B 5 r D F `B
‚Q9v¢QIXE™–89QGo6WQ‚IІ”QpGE6‘¢gvXIumusEQ†–CspW–W6#€XIxX‚Q†voE8s£‚o8EQH
H F D d H hB Y 2 5  ’ Y H ` 2 T F 4 d 5 D T d H  5 —B d D T 7 H F D q
pGuQIEWI8•eQQ¢I¢Uƒu8WVG6s8„‚GV#–IGv¢5 W¢•9IW›‡Ÿ¢QŸ‡‡U…‚¢wI8XWEIp8Qef¢T
7 d 5q H F D t y ˆ ‡y € } œ H d T Y 2 5B DB h 2 5 4 i d
r h 2 R 5 ‰ H F D q1 ’ h H — n H d T Y 2 5B DB h 2 5 4 i d T h 2 R 5 ‰ H F D F 4B F @ 2B Y H Y T 4 h H D T d D Y RyyB H b 5 ‰ T H F
xII8†CIGs£j‹Q˜puWVˆI8XWEIp8Q‘f¢UIp8s‘IW9ƒEIC‘X€QWVg‘QWVGW‚IEXEf¢s†¢fIut

} p tg r j
‚v†!¡7|

ƒ tg Ø eg r p
Ù†QX†!sfd

–— –—
˜˜–

’ í Ý q 5 D 2 HB 4 ¨ H 5
sxm¢‘oQX696xQ4
H F D YB Œ D T F D d T Hy 4 DB Y H ÷ T 7 F 4B F @ D 2 H 7 Hy H F Dq n H F D 2B 5 d H Œ T q 5 2 5B DB h h T H F D H D 5
pGwE9ÓlUGw¢gEQ…„…QV¢#ƃEICwo6#6XQÅW|IŽIWrXe‚QQ†™Vr8EGEpI¢eIWdGVfò

4 üí Ý4 º ø í ÝŒ ø 4 €í Ý4 ‹
5Wxfx“jxƒ“h¥˜f¡~ø  AxÝ  ×ušhÝ  “æ
€í ‹ ä íç (

ç ¡ ¥ pzæ
’ ¥

à 4 º à Œ à 4 ‹ ‹ æ Á ä ²Ý
² Ý ç ¡ ƒa¥c¥‡¡¥à  ˆefŽ5 (

ç ¦ ’ ¥
sp¥ pzæ

Y
XB ¡ ¥ p††j7¢CoQE¢VEISQd„‚GV#uIGCISujQ¢GVWQ†8Ž— WWVduIWeXC|EpWY
’ ¥ ’ P  q 5 D 2 Hy T bB R P H —B d D T 7 H F D Y R F t ’ d 5 D T d H  5 B d D T 7 H F D 2B DqB F
y¢U8¢¢ƒI‰WwII8†W6W‚8Qw8GlGQ†8aoX8†dIWAEw|„IW£¢ê e6I8XWVgxXwI8EW¢V9IGwVT
T 2 5 ` TB h T 5 D Y h 2 5  Y H d d 5 4 d 5 D T d H  5 D 2B 5  H F D 2B DqB F Yr
i ’ Y 2 5B D T 4 5y Y R 5B d T b H F D D
2 5B D 4 2 Rq H F D q 5 Y H Ry T b H F D 5 D Y D F `B H @ H F D ` 2B bB ` Y D 2 HB 4 ¨ H 5 4 H F D Y D 2 H 7 R ` d T Y DB d 5q Y T
8EG‡II•IWm¢u6IXV¢pG‘GuGo8EQvIG…pXxE8CWS6X6#‡˜6IGuWS6#p8W¢ŠGEu¢•Š¢UF
d 5 D T d H  5 B d D T 7 ` 2B h 2 5  Y H d d 5 4 H F t ’ H bB D T bB d H h D Y d n T d 5q d 5 D T d H  5 D 2B 5  H F D H ‰ D F `B
8GVWQ†8‘— WWVdwIEII8†W6WW¢Q™puv¢¢EWVVEW6Iv‚WIu€8•”8WVG6s¢voE8s‘IWC†ˆo8X97

Hy  7 T —
EI9¢p‡H
d8Uj‹8EG6pI•™IW‹¢•6IXV¢uIEW8†S8X6I˜¢€#‚QG#X…vSE8†QI6WQ•‡WfIGvV™¢EWVVEW6Ih
5 ¤ ’ 2 5B D 4 2 Rq H F D q 5 Y H Ry T b ` 2B d 5 ‰ F `B H 2 q 5 Y 7 d H D 2B ê D 2B 5  H 4 2 H d Hq H d H F D D T H bB D T bB d H
H 7 5 Y d 5q 2 H D DB d @ iyy T d H 2 H ` YB d 5 D T d H  5 D 2B 5
98‚u8•‰6G‚EWC#EE¢G6IQ8CEu8GVWQ†8‘oX8† v‰QIWQ6•3‡se¢XGlƒQ‚9‰‚XXp¢ƒfQ9GD
i ’ 7 H F D 2 H H @D H ‰ 2 5B D Ty H d T F YBy ‰ T DY H 5
D 2 T D d 5  7B YB DB t Y d 5 D T d H  5 D 2B 5  h 2 T —B d D T 7 F D 5 ‰ q 5 H Y R Hy ‰ T d H hB Y 2 5 4 H ÷ T 7 H @ H 4 2B
o¢ƒf8s9X§X§„¢Q‚8GlGQ†8§oX8†…IVw„‚GV#wW¢sp¢Š‚IvEI¢WQIEWI86vV¢#•vvQpX˜”

h  

Ú Í × Ë É Í Ì Ê
fu•™‘ˆˆu×

Ì Ç Ó Ì Í Ì Ñ ÑÒ ÖÕ Ì Ë Ò ÓÒ Ñ Ð Ð
”…ˆ‘€v”ԐŸˆmQfÔm«xÎ xÎ
h 2 T D Y d n T d 5q Y 2 5B D T 7B — 5 d   T ` 2B 4 2 H d H gB h ry T d D 2 H 4 D 2B 5  r H H d F D h d T h 2 T D Y H F D 2 H F
IVu‚‚U•8•”p8XWVdE˜c‚II¢aIEQI6WQsEp3„VGGo6Q€oX8†3–QWpG#‚¢UIVƒ‚fIG#QIª™
’
’’

ç — ’ ¥
S¢¥ pzæ

‘
¹ Œ
º

·

Œ

‹
‹

’’
’

··
··

º

··
¸¶ ‹
¦

º
Œ
º

Œ

´´µ
´´
´´
‹ ³´

ä ç º à Œ à ‹
ˆ6¥c¥UÂÛ

‘æ Ü
“xkÁ

i ‰ 2 H bB
o‰Q8„8`
YB —B d D T 7 D 2 Ty R 4 dB 4 y T 2 5 ` TB hB d D T q 5 H Y T 4 y TB 4 H  Y H F t ’ DB H b 5 ‰ T H 2 5 H F D q 5 D F `B d H F
Ek„‚GV#…o¢XIQ‚X6”¢U8¢¢ƒIEWW†‘¢Ž‚¢g€¢ƒ6Q†WeIu‰g„Ž8c†¢eI¢dIWu¢wo8EWŽpGD
5 D D 2 H 7 Hy H H 2 5 ç ’ ¥ H d R `B ¤ H H Yæ h H DqB F Y YB B d D T 7 D 2 Ty R 4 dB 4 T q
WfoQ9QEQwI8uo¥ pwWI8Ev…6W•ÅQW|EI‚fEe— WGld‘o¢ƒpQWEQ9ˆ¢5 cWƒ¢gfVUWw6XGVfò
@ 5 d F 4 T H D T F D H 4B D 5

ä
AŒ „ Œ  æSŒ
Œ 4
¹
4 Œ ä
x±¥Œ „ Œ  Œ ´´µ
Œ 4 Œ ä
„ Œ ³´
· åS±¥Œ
··
¸¶ „ Œ  åSÄ¥Œ
Œ 4 Œ ä

ç ¥ ’ ¥
o8¥ pzæ

YB — d H h d 5 q 5 —B d D T 7 D 2 Ty R 4 dB 4 y T d H 2 H ` D Y 5 7 H F t ’ d H D T
E–‘6IW¢v¢d„‚GV#Co¢ƒpQWEQ›¢WQI68C‚¢#uIuj6QGlƒy
7 H F D D R 5 ‰ T i T Y 5 D H d 5 7 F 4 R 7 H b T F yyB @ H ™ ’ YB Y iy T 2 T d R 5 2B Hy 5 d y T DB b T i Ty  Y H 4B d D T
QIW€˜8sVdgWwGu‚8#dƒI…™¢gUUXEC‘vQEWxEVU¢vI89XCX8‚U¢ƒ„xw9gƒIˆ6QX‚GV#7
DSVƒI6WX•Žgo¢G‚I86‘W¢aIIVUI8EW¢V‘IGeI¢X¢wGo6#6XQ–IW6ICeQ9W8•‹s„‚GV#7
2 Ty R 4 dB  ’ D 2 T D Y 2 5 4 H d T Y h 2 T ‰ Y R 5B d T b H F D ` 2 5y T Y D 2 H 7 Hy H H F D 2 H F @ h H 7 d 5q t —B d D T
DSVƒI6WX6vpG›X™„‚GV#jXIxX‚Q†‘p¢v6WpIWo¢XQ6s‚‘S6Q8‡•c‘'go¢G‚I¢Q§¢IˆWVu„‚GV#7
2 Ty R 4 dB 4 H F D YB —B d D T 7 4B h 5B d H  T q 5 D H Y ‰ R Y y TB 4 H  Y T t d H b H @ 5 € ’ D 2 T D Y 2 5 4 D 5 2 H d T —B d D T
4B h 5B d H  T q 5 Yy T 2 5 ` TB h H F D ` 2 5y T Y D 2 H 7 Hy H H F D t Hy  7 T — H H F D 2B 2 @ 5 F Y Y T ty T d H 2 H ` 2
XIxX‚Q†Žv¢fE¢U8¢¢ƒI‘pG#p8X¢uWoQ9QX6…IWh¢EI#VI–…IWXACcIWV›Ÿ¢WQI68e31

} p tg r j
sv£!¡7|
’ F Y H 7 d Ty R 4 dB 4 T 2 5 Y D 2B 5  D F `B
‹W6#•¢ƒI6WEQ‘¢uGoX8†Co8Xj

ƒ j i |ã â t rg
mɁ†s†áà

ß— –—
ˆ˜–

Û ’ ¥ H d R `B
p¥ pu‚I8Xm¤

5
6

4
3

7
2

8
1

Ú Ó × Ò Ë É ÙÒ Ø × Í Ê Ê É Ì Ç Ó Ì Í Ì Ñ ÑÒ ÖÕ Ì Ë Ò ÓÒ Ñ Ð Î Í Ì Ë Ê É È
u‡§™†fjˆˆ«”w€‘ˆ””Ԑz€mQ‘Ôv«Sψm™‘”Ç

¡ ¥
’ h H D T Ry T b
‹QWVUE¢V6H
H ‰ 5 D YB H bB D T bB d H h H F D F 4B F @ D T D 2B 5  H F D D R 5 ‰
†«WeXA8EWVVE‚QIAIGðƒXIC‰V†oX8†AIGp8†¢T 6WQWoQQÿ8XW6Ip•AIWw¢‰QpX¢Vb
h H d H D 2 H 4 2 5B D 4 2 Rq H F D q 5 Y H Ry T
H H d F D ` 2B Y R H bB D T bB d H
6WIWIEWI†8EWVVE‚QIh I¢QQ‚ru¢Æ8EGV#X˜gWIp¢T ¢#8•XI¢G#8ExcmrWS6W6WI6Wd
h 2 5 4 H Y T q 5 2 5B D T 7B — 5 d  
2 T d 5q Hy ‰ T D d 5y i T t T Y D 2 H Y H d  H
F 4B F @ ¦’ ¥ Hy ‰ T t d H hB Y 2 5 4 t Hy  7 T — H 2 T Y i ’ c’ ¥ ’ P  i ‰ 2 H bB ` 2 5B Y 2 T  — H H F D q 5 H Y
ƒXpC†„pEI¢md6IX‚I8Q•¢Xp#¢p–º¢Žfªpd˜Šëjzoº68„8º8EWI¢Ip–IW¢‚IR
H bB Y 2 H D — H Y H ÷ T 7 F 4 B F @ Žt H y ‰ T D d 5 y i T
8„WI6Gx‡€QV¢#ŽƒXICu¸¢Xp¢ƒˆ8Xxgmt  Š6I‚GfI8QwGˆX€p¢vEIG‘fW¢QaW9g•#‚¢Šf8•q
T D 4 R d D Y 2 5 4 5 D YB D R 5 YB F D i d d T 4 5 D i T @ h d T @ d 5
D F `B T d D Y h 2 T Hy  7B
S¢X¢WG‚ªIVXp#EWY QQpW85 o¢a¢#W8WVG6s¢3‚oE8sQI6WQsEp3‡WEII¬pXG‡IWW‚I¢Q4
i ’ d H hd
i 2 T q 5 Y d 5 D T d H  5r D 2B 5  H 4 2 H d H gB hr H DB 2 n ` 2B D 4 R d D Y 2 5
d 5q Y 2 T H 7 T Y H hB b 5 d  D 2B 5  h H — n T D R 5 ‰ T Y 2 5B D 4 2 Rq q 5 2 5B Y 2 T  — H Y HB d H Y d 5y i T t H F
¢•wI¢Q#–6IXxcWI…SE8†Æ6˜p–p8†¢–I¢XG‡II•C¢¬8EWI¢Ip–‘QEWQ‚…8E˜gmeIut

} pã ø | ö r eã ÷ |
s†ËgU£õvËö

™— ß—
sõˆ–

À ±
·
¼
vÀ

”

ó ¶ G ñ Ã ²
ô¾òÓð±

R ± ³ Á
•B

ï ¶ ¹ Á ¶ ± À ± ¿¹ ½ ï ¶ ¹ » Á î À » ² ¶
ðg‘ejÅ6¾¡ðgjuejme9Ã

í

ì®
£­

’ Y H by H Y 7 H F D Y H 4B d D T 7 H F D 5 D d 5B d H D 2B yy T YB 2 5B D T 7 d 5q 2B YB F D H 4 2B Y Y d 5 D 4 H b 2 5B DB h 2 5
QQ¢E6W9QIWŠQQEWWVduIW‘GŠ8EWQWoXhE¢CXd8XWVd‚8•pEuXIWu6IX‚f‚8G‡Q¢Ž8XWEII¢Q4
i d T h 2 R 5 ‰ 5 2 H d T H d H F D D T F D H 4B D 5 ò ’ iD d H  5 d  y TB 4 H  Y YB F D q 5 H ` T D 2 T b h T H ÷ T D H @ 2
‚¢III8†kIŽWVWQpG…VIGd6XGVf83‚6s¢WIv¢ƒ6Q†W…EIGC¢Ž¢¢ƒo¢Vp¢V¢ƒev)85
d H D T ô ’ Y d 5 D T d H  5 D 2 Ty R 4 dB 4 5 Yy T H d T Y d 5 D T d H  5 4B h 5B d H  q 5 Y H Y T 4 y TB 4 H  Y H Y H F D t iy d T Hy
6GV˜aQ‚8GVWQ†8o¢XIQ‚XQe‚X¢…W¢u‚8GVWQ†8wEIxXW6s€¢u6W¢Qv¢XQQ†W–‚QIWh8„W¢QX•

ç $ ’ ¥
83¥ pzæ

 ß…î
çsQà   6Sà8¦fæxÜkÁ
¦
¦
ä

¹
¦

  6
¦
¦

·

··
¸¶ ¦

  6
¦
¦

¦
  6
¦

´µ  ß…î
¦
³´´

  6

ä Ü ç ¥ “æ
 (

h 2
I¢T

ç ¦ à ¦ 6æ Ü
sQà ¡ 8w£xkÁ

ß…î  
¦

¹
ä

¦

¡

¦w6
¡
¦

·

·· ¦
¸¶ a6

¦

¦

¦w6
¡

´µ
³´´

¦w6
¡

ß…î  
¦

ä Ü ç  “æ
(

7d 5q H F
W¢•upGD
H ÷ T D i H F D t Y 2 5B DB h 2 5 4 i d T h 2 R 5 ‰ 4B h 5B d H  F DB @ h H Y R H d T t ’ ¥ ’ P  H H Y t H bB D T bB d H h h 2 5 4 H
V¢ƒa6IW¢QI¢XG„II86…f¢UII¢svXIxX‚Q†‘GEC‘6WIu‚¢o8¦   poëjXQ‚8¢¢EGl¢„W6I#p8Q6WY
Í Ì Ö Í
ˆfu×

¦
p¥

ê Ó É Ñ × Ú Ì Ù Ì È Ç
뙬uv†vf”‹Ú qÔvwˆfˆ””ÔÖ {Ô§‘•Ïm˜™uuóx%xÎ
é ÓÒ Ç Ó Ì Í Ì Ñ ÑÒ
é Ó Ò Ë Ç è Í Ë Ú Ó × Ç Ð çÐ
’ YB Y T
6X‚¢U‰ ‚QGeo‰ ‚QW‘†8CQEW6WY
7d H D i
7 d H D T 2 5 Y HB d H
d 5y i T t q 5 Y 2 5B D T 2B ‰ 7 5 4 d T H 2By ` 2B 7 d 5q q 5 i T @ D 2 HB 2 H b 2 5 4 T iy  7B Y YB Hy ‰ T D d 5y i T
¢Xxgv€¢fI8XWVUEI…86™¢QIXEdIE#‚8•ˆ¢egŠuoQEIQ¢o8QކEp#EWE…XIVƒ™8Excmt i
í W … ß 
ço“8¥ ’p¥zæ«YaYaY`ø
ß
V Y … …î
Ý … 
í W  ß 
V
‚Y  …î
ß
Ý  
¦

í W „ ß 
—  
“
Y … çs¦fæoYɺ“ø
ß
ç ¦æ Y º
V Y „ …î Y „ sfxkø
¦
Ý 
¦
„
í Wpß 
 
¦
V Y ß
‚˜…î hsÔxk“vx‡º
Y ç ¦æ Y º ø í Ý
Ý 
¦

Y  cfxk~ø
ç ¦æ Y º

ä

4 üí Ý
5‚˜–º

Ûƒ5Wx–£V9¢XWp¢U˜‡j6XW6Wj8ExcmuIWGˆII8†W6WW¢QŠEI¢ƒŠpG…X©cWjf¢ƒupG8¢EI9¢p‡H
4 ü í Ý º q 5 2 5B Y 2 T  — H Y HB d H Y d 5y i T t H F D 5 D Y h 2 5  Y H d d 5 4 Hy ‰ T D H F D 2B @ 5 d D Y Ty H F D t Hy  7 T —
d8Uauc‚eIXIp8s‚Q‚W86…IGjV|6E…IWŽGD WQWwIW€Ve8X‚I¢U˜‡™QX‚Q‚8Xxgm…IG†XB
5 ¤ ’ @ 5 d ` 2B h 2 5  Y H d d 5 4 H F D q 5 Dq Hy H F D 5
7 d H D H F D q 5 2 5B Y 2 T  — H Y HB d H Y d 5y i T t H F D 2
2 7 Ry 5 4 ` 2B h 2 5  Y H d d 5 4 H F D q 5  5 D H F D D
9IE8QIEII8†W6W‚8QuIW뢑8GŠpG”VT W6GŠIW†VˆS6X6#‡˜6uIGmX‘fGoQ–ƒ¢ˆ'VXIVƒD
7 d H D H F D q 5 D 2 HB 4 ¨ H 5 4 H F D YB id D 2 H F 4 T  ’ Hy ‰ T
d 5y i T t H F D  R H ÷ T 7 t Y ` 2B h T H F H F D d H h 2 R t H 2 5 D Y 5 7 Dq Hy H F D q 5 D F `B d H F D 5 D Y 2 7 Ry 5 4 H F
¢XxgvuIW9p‘V¢#oQ8IEI¢QICIGjQpIIS¢I¢j‚89G|‡XCIWs¢”S¢XWCIWG”I9IX¢QCIut

Y Y Y à ¦
aaxà   8gà ¡ #õ
ä

í
W ý ß 
V
‡Y …î
ß
ý
ý 
Ý

t YB D T F D t ê D 2B 5  H F D D R 5 ‰
6XCVUWpU€oX8†uIGup¢s¢T WQW†ƒ¢QvV†8EWIVU˜‡H
7 d H D F 4 T H q 5 2 5B Y 2 T  —
H F D 2B Y d R 4 4 5 D T F D d 5 D 4 Tq 2 5 7 7 5 4 H F D Y d T H   T H d H F D 2 7 Ry 5 4 F 4 T H q 5 h T H F H F D D T D T F
pGŽXC‚IQ6˜ulUGŠ8W6¢š#8#986IGŠ‚¢g†I¢u‚QIWŽ#IE8Q‰ƒ¢QmV‰VgIIWuVCVIGD
H 4B D 5 2 2 H F t ’ ’ Hy ‰ T D H F D 5 D 2B D R  H ‰ 5 D Y 7 d H D H F D Y HqBy  7B Y F 4B F
6XW¢Iº6Iu«–ç VXI¢G‰pGkGoX#pI‰sAG–9WQW‰pG…Q•„XI9X‚«ƒEIC@ W6G«ƒ¢QWoXB
7d H D F 4 T H 5D 2
h HBy B Dy R 7 2 H H ‰ Y T
QEXIEGEp…Q6sf¢UF  …h¢WVg‘XIW†XUh8I8IWE¢šŽEI¢GaIW”¢‘|6EwIWfV†9IX86#XB
ß î t H Y T 4 YB F D 2B t F ` R 5 F Dy Tæ Hy ‰ T D H F D q 5 Dq Hy H F D D T 2 7 Ry 5 4 T 2
dVg†I¢#8XWVUSQfIG–Xˆ9WQWfIWh¢UE¢vVUW‘6XGVfe!8EGV#X˜gWIp¢€XIWh¢fWI‘IG–o‰
T H   T 2 5B D T R P H H F D 2B Y 7 d H D H F D q 5 yy T D T F D H 4B D 5 ò ù 2 5B D T 7B — 5 d   T YB F D q 5 H Y R H F D i
h H Y R T 4 d 5 d d H y T 4 5y H F D YB D T F @ t iy H 7 T 2 ’ d H @ Y 2 T 2 T 4 Hy ‰ T D YB F D q 5 i h R D Y T D T F D Y 2 5B D Y H R
Q‚I¢Qj8W‚QpVgxXuIW”XˆVUCV8E6#VUp6Qv‚I¢9¢QŠXp¢ƒ”EIG뢖ppG‚€lUGjI8EGfQISP
HpG€¢–I8wWoQW6WI6WEIu‘ëW¢#¢XGfQISeAG„CA8EW‚QWpp–V#6W9•aXI¢G‘IG€¢5
F D q 5 H 2 5 Y D 2 H Y H d  H d YB F t ’ ÷ d T 7 2 5B D Y H R P T F DB @ 2 5B Y Y H d  — H 2 T H H Y H @ Hy ‰ T D H F D q
 5 D H F D D i ’ h H nBy  7B Y YB T d ‰ H `y T H F D q 5 H 7 5 Y D T F D 5 Y h H D 4 R d D Y 2 5 4 YB Hy ‰ T D H F
8WeIG–Š)‹6UEEI9XW–EGI68X¢†IWf¢e98‚#lUGkWº6G‡IWW‚I86‘XeEI¢ƒIut
’ H bB D T bB d H
¢8„GVV„WQph
h 2 5 4 H Y T 5 D 2 5B D T 7B — 5 d   T 2 TB ` 2 T d ` T ô D 2B 5  r ¥ h H d H D 2 H 4 d 5q Hy ‰ T D d 5y i T t ’ ¦’ ¥ Hy ‰ T
I8Q6WeGr8EGV#X˜gWpI¢¬¢X8I¢W8¢˜–oX8†3sºQ‚QWS6Q‘8•ŽEI¢G…8Xxgv¬8„pEI¢mt

…
4

…

Y … sfSɺ
ç ¦æ Y
Y … sW|x‡‹
ç ¦ræ Y

4

4

4

Ý Y „ sfokº
ç ¦æ Y

Ý Y „ sW|x½‹
ç ¦ræ Y

í y ü ˜Aut
wüu
Y … …î
ß

4



4



4 hsfxhº
Y ç ¦æ Y

Y  sfxkº
ç ¦æ Y
4

º
Œ

4 hsG|S{‹
Y ç ¦ ræ Y

Y  sƒƒx‡‹
ç ¦ ræ Y

‹

4

¦

í y û ¤Auvt
w û u
Y „ …î
ß

í y ú ¤¦uvt
w ú u
Y  …î
ß

í y xuvt
w u
Y ß
…î

 ß…î
¦

ù ä ç4 üí ݺ ø í ÝŒ ø 4 €í Ý ‹
׈f5Wx–“jxƒ“h¥xSˆæ

ø

4 üí Ý Y
5‚xckº
í Ý Y
xckŒ
4 €í Ý Y
¥˜Q{‹
í y ú ¤¦uu t Y  ‘î
w ú
ß

í
xÝ
í W  ß 
V
Ý 


Ú Ó × Ò Ë É ÙÒ Ø × Í Ê Ê É Ì Ç Ó Ì Í Ì Ñ ÑÒ ÖÕ Ì Ë Ò ÓÒ Ñ Ð Î Í Ì Ë Ê É È
u‡§™†fjˆˆ«”w€‘ˆ””Ԑz€mQ‘Ôv«Sψm™‘”Ç

  ¥
D Y d n T 5 D 2 5B D T 7B — 5 d   T 2 TB ` 2 T d ` T ô D 2B 5 r
‚‚UÅ©W«8EGV#X˜gWIp¢ª¢ƒ¢I¢G¢¢˜oX8†3l¥

…
…4 
4

Y … sW|x7¡‹
ç ¦ræ Y 4
Y … ç   |xY  ‹
ræ

Ý Y „ sGƒx'¡‹
ç ¦ ræ Y 4
Y „ ç   ƒxY  ‹
ræ

4Ý
4

í y ü u
wü
˜Au t
Y … …î
ß



4
4

í y û u
w û
˜Au t
Y „ …î
ß

Y  cƒ|x8¡‹
ç ¦ ræ Y 4
Y  ç   |xY  ‹
ræ

h d T @ ÷ 4 T ‰ d 5q Hy ‰ T D d 5y i T
W¢•oƒ¢Ue8•EI¢GŽ8Xxgvt

4 UsƒƒS'¡‹
Y ç ¦ ræ Y 4
44 Uç   ƒSY  ‹
Y ræ
4

Œ
4‹
 ‹

¦

í y ú u
w ú
¤¦u t
Y  …î
ß

í y xuu t
w
Y ß
‘î

’¢8„GVV„WQph
H bB D T bB d H
’   pkEI¢mt
’ ¥ Hy ‰ T

í Ý Y
xckŒ

4 €í Ý Y 4
¥xc7¡‹
 ¥xcY  ‹
€í Ý
í y xuu t f…î
w Y ß

í
xÝ

í W ß 
ß
…î
ù ä çí ÝŒ ø 4 €í Ý4 ‹
fˆ6˜ƒ~hAxf¡“ø  AxÝ  –æ
€í ‹
ø
V
Ý 
¦
’   ˜uXI¢mX†CspWuX¢EWVVEW6Ih
’ ¥ Hy ‰ T t 2B 2 @ 5 F Y YB H bB D T bB d H
D Y d n T ` 2B D 2 H Y H d  H d d 5 D T d H  5 ` 2B 4 2 H d H gB h r h d T @ ÷ 4 T ‰ D 2B 5 r ¥ T d 5q Hy ‰ T D d 5y i T t H F
fWUa9IEGoQ‚Q‚IQ‚Š8GlGQ†8‘IEQI6W6h„I3˜‚¢•SƒVUŠoX¢s£l…u8•‘XIVƒ•8ExcmIut
í W  ß 
 …î
ß
V
ço¥ pzæ
c ’ ¥
ç  …zd׈f5‚˜¬”xÝ   ‚¥˜•æ
ß îæ ’ ä ç4 üí Ý ø í
6 4 €í Ý
6
Ý !
¦

H bB D T bB d H
¢EWVVEW6Ih
h 2 5 4 H Y T d 5q d 5 D T d H  5 D 2B 5  ` 2B 4 2 H d H gB h y T d D 2 H 4 D 2B 5 r ¥ d TByB 7 Tq H F D h H bB d H h D Y R Û H b T
I86Q‚wŠ8•ˆ8WVG6s8•oX8†wIEQI6W6h„Ih¢WGoQ6•oE8s£lj¢XXE#¢š‘IGŽ68„WQpu‚I‚8gUF
H ™ ’ D 2 H D YB Y 2 5 4 7 d H D d 5 d d H H F D H ÷ T 7 5 D F ` R 5 d F D h H hB bB h 2 H H ‰ Y T
ugoQW‚EWI86µW6Gu8W‚QaIG¢Vd#G†¢I8WpGQIE˜„I6Q†™¢IF  ……IWCVUGuGVfò
ß î H FD D T F D H D 5
í W … ß 
  ¦
V
ß
Ý …   ‘î

ç 9 ’ ¥
83¥ pzæ

ä

¢
£—

í W … ß 
V ß
5… …î
Ý … 

 
ø

º

—    ¡ ß…î
¦

ä  xþ
ÿ

‹

Y h 2 n H 2 5 h 2 T ç i d D H 7 7 i Y i ‰ F YB 2 T b yyB @ Y 2 7 Ry 5
IIIup8I¢up‚G‡#9x‚oWEI¢VsEXCŠI9IX¢Q4
2 H b H yy T Hy  7 T — H YB F D d 5qæ Hy ‰ T D H F D 2B 2 7 Ry 5 4 F Dq n H F D D T Y d R 4 4
Q¢6uXV†EI9¢p‡–XIW9¢••XIVƒIG¬XÆ#pX86«G|p†IW9lŽWpQQx5  xðWVg9XIW©31
ÿ þ H Y T 4 YB F D 2
’ d 5 d d H Y HB d H Y d 5y i T t H F D Y T D
Q8‚W6‘6X‚QWC8ExcmuIGŠV‘EB
7 R Y ` 2B F YB 2 T b 2 5 2 D Y d n H F D H D T 2 `B Y H h H
IW9IXpWXp¢VS¢I™fWUuIWuWVU8EW6Ia™

5D d Hq Hd h 2 T ÿ þ H ‰ 5
W‘6•6W‰I¢†t  x½†dWD

’ d 5 d d H H F D H D R DB D Y 2 5 4 5 d H Œ 5 D 7 R Y D 5 2 5 h D T F D Y 2 7 Ry 5 4 H F
Q8‚WQuIWGpWEW‚I86#‚Q6#W§IWCVI#pCVUGŠp#IE8QwIut

¹

  6

³´µ

’û ¦
ŸQQà   S8¦ wˆsƒ¥c¥UýS68E¢uXe8EGpE8WwIut
6 à ù 6 ä û º à Œ à ‹ù i ‰ 2 H b B ` Y B 2 5 B D R y 5 Y H F
¡ ¦
¹ º ³´µ ¹ ¦
¡ w6 ³´µ
ä
Œ
¦
¦
·¶ ‹ ·¶ ¦ ¦ ¦

¡

·¶ ¡

2 5B D T R P H H F D iq YB D T Y H @ qB 5 d H Œ H d T Y 2 7 Ry 5
8EGVIx6uIGŽ|fXWVGuvm„#‚QQ‚¢CI9IX¢Q4
H H d F D D Y d n H F D q 5 Y 7 R Y H F D D T F D @ 5 F Y iyB Y T H 2 T 4 H 2 “ ’ 5 d H Œ H ‰ 5 D Y 7 R Y H Y H F D t 4 h 2
6WIWwfWU‘IW•¢u9IW–IWVUWÏcIWEX‚¢gA¢Q#I#I‚QQ–†Gu#I‚#‚QIW›¢AI¢T
t‹ëpj¢wQE8Iƒ‘Q†8WpaIWSëVQW¢•†I¢fo8EW9GC|6Eµ8W•‰QQ6˜‚IwvU‹xIG‡#wIGm¢5
‰ t T q 5 H 4B 5 F 4 d H  5 d  H F D i ‰ t H 4 d 5q h 2 T D F `B d 5 D Dq Hy 7 5 dq h H H 4 5 d  H @ t h 5 F D H 7 H F D q
i 4 T d R 4 4 T q 5 d H h d 5 H F D H ŒB 7B — T 7 5 t ’ Y 2 7 Ry 5 4 H Y H F D q 5 F 4 T H q
6¢WIQ6¢u¢6IW¢#IWa6X9X˜l#†§‘QI9IE8Q9W6IGv¢ƒVgŠV5 IW–IWw6IX‚I8•
7 R Y H F D d H hB Y 2 5

ê Ó É Ñ × Ú Ì Ù Ì È Ç
뙬uv†vf”‹Ú qÔvwˆfˆ””ÔÖ {Ô§‘•Ïm˜™uuóx%xÎ
é ÓÒ Ç Ó Ì Í Ì Ñ ÑÒ
é Ó Ò Ë Ç è Í Ë Ú Ó × Ç Ð çÐ

Í Ì Ö Í
ˆfu×

¥
8¥
ç   — pzæ
’ ¥

ý Ýç ßæ ý
†Ôs•8S‹

ä ¾ý

(

ä ç ßæ
js•mÝ

i ‰ 2 H bB ` YB y TB 7 5 2 iy 5  2 5B D Ty 5  d H D 2B 2 TB ` 2 T d ` T ô H F
o†68E¢uX†¢ƒ98IxE¢sŽ¢XGlƒ8†W6GoXŽVƒ8IVG8¢˜aIut

}ã |g  e i ÷ã e d i eg j |ã e y r p j i ' p j
£†#¨uõ†hfæh£7£h{!s¡É¡og

 r p % Ø i | p  i | r  |
£sÙu¼U$h#Ó!

–— ß—
˜õˆ–

’ YB Y iy T 2
QEWxEVU¢T
y T 4B d H 7 R 2 2 5 Y D — H D i 2 T 7 2B h H Y Y R 4 YB h H d T Y Ty R 7 d 5q H Y H F t ’ Y Ty R 7 d 5q 2 5B D Ty 5  d H D 2
¢gEWQ9ISº8dGx‡WÆo¢#«EªQW‚IQ‚XI†W¢9¢XI…‚8•W6Iuÿ6¢ƒp…W8•Å8EGVX8†WQWoXB
q 5 @ HB b q 5 D 2B 5  H F D 7 5 dq YB D T F D t i T @ D 2 H d H gB h iy D F `By Y T 2B D 4 H Û ‰ R Y H F D F 4 T 5 d  
¢§6Xx‘¢–oX8†IG¾8W•‘X–lUG•¢gŠ–oQ‚QsEIEWS¢XX‚AÆEd‡Q‚¡I‚†pG¬ƒ¢oWpI¢T
Y R D Hy t YB F D 5 h 5 D d H h d 5 2 1 ’ h H ŒBy T d H 2 H ` d H F D d Rq H ‰ 2 T 4 DB D T F D D 4 Tq H F D YB t d H b H @ 5
I…6Xj6XIWeIeG…6IW8¬3A‹Q6XE¢G6IQ8‘6IGfI•ކÆVg…„–VUW…6¢šŽpG…XvQ686vcIF
tgo¢G‚8†9X•‚8† QI¢XWpQ9XI˜Qp8XIfG‘QpIQW˜–wIVw6GV#8G˜¢v6Gpp#86•†wEI8Qm£1
D 2 T D d 5  7B H d 5
’ Y 2 5B Y 2 H 7B h d H F `B F 5 D h H h 2 H D — H h 2 T h H D T 7 5 D R T d H D R  7 5 4 H ‰ hy R 5 4 D
’¢8„GVV„WQp‘o¢ˆ8•jQI‚8‘o¢h¢ˆW8WVG6s¢joX8†ë¢GWS6Qj8p‹Qv6VWx‹W¢•oƒ¢US‹‚¢Šf8•q
H bB D T bB d H h i 2 T d 5q d H h d 5 i 2 T q 5 Y d 5 D T d H  5 D 2B 5  y T d D 2 H 4 d 5 t h H @ H ÷ Y t h d T @ ÷ 4 T ‰ t h d T @ d 5
h 2 n 5 D h H Y R H ‰ 2 T 4 Y Y H 4 5 d  YB F D iy d T Hy  ’ d H h d 5 2 H bB ` T q 5 Y 2 5B D T 7B — 5 d   T H 4 R h 5 d
IU‰GÅQ‚Id†Å¢Q…W6QxWIaXIWA„W¢QX•QQpW8Å68E¢‘¢uI8EGV#X˜gWIp¢eQpI˜‚I
5 D Y Hy ‰ T t d 5y i T t q 5 H Y R H F D F ` R 5 d F D h H 2B 7 d H D H h H ‰ 5 D Y D 2 HB 4 ¨ H 5 4 H d
WaQEI¢mw8Excmu¢dWIŽpGr8p8WIWrQpX9WQW6I#sGwWS6X6#‡˜6d‚¢T  ‹ IWdW6IC@
H FD Hd H F
ç ¦ ’ ¥
sI— pzæ

ÿ þ
 xfä



üí
‚xÝ  ‹

Ü
‘€ ¾ 



ø

í W ß 
 
V
Ý

  

Y T Y D 2B 5  ` 2B d 5 ‰ F `B H 2 ¦ ø  ø  q 5 Y 7 d H D 2B D Y T
¢CGoX¢s‘IEW8†S8X6Iuð…C¢u9W6GeX‘‚Vg4
H ‰ 2 T 4 ê D 2B 5  hB d ` D T H bB D T bB d H h F D þ H F D 5 D 2 5B D T 7B — 5 d   T H 4 2 H d H gB h T ty T d H 2 H ` 2
†A¢guSE8†AEW8ul–8EWVVE‚QIAGŽ–IWW8EGV#X˜gWIp¢d6IQ‚QsEIe˜z¢G6IQ8A31

} |ã â  r e © p t i p r p ng l § e i eg j | ¥gã | r p i p
†Ç£Uuvu‚‚{†fD¨æk†7v¦£su8פ
ç ¡ — pzæ
’ ¥

ç  …šŽfj‡x¢©h¥x8Å6
ß îæ ’ ä ç í Ý ¥ ø 4 € í Ý —

‚— ß—
oõˆ–

ß
 Axšæ …î   6 í W ß  V
€í Ý
¦
Ý 

Û H bB D T bB d H
¢¢EWVVEW6Ih
D Y d n T q 5 2 5B D T 7B — 5 d   T H 4 2 H d H gB h h d T @ ÷ 4 T ‰ d H h d 5r h 2 5 4 H Y T h H bB d H h H b T F H @ Y R F
fWU™¢)8EGV#X˜gWIp¢‰QI6WQsEp«WVŠoƒ¢U–6IW8£˜I86Q‚A©Q¢EW6I‰8gU•–ISut
ç h ’ ¥
o¥ pzæ

í W „ ß 
¥
V
Ý   …î
ß
„

í W „ ß 
¢ “
ß
V „ ‘î
Ý 
4
¡‹
„
ä

“

6 
6
‹
c

 

ß…î
¦

ä  xþ
ÿ

Û
‰7 d H D d 5 d d H 2 5 B D T 4 2 R d D ` 2 B h T H
W6GŠ8‚W6‰¢XG lgII‚G…IEI¢QXy
H F D Y H hB b 5 d  2 7 Ry 5 4 F D d R 5q H F D H Y T 4 YB F D 21 ’û ¥ à — 6 à
pG#6IXxcWp©9IX¢QÆG‚p8•†IW‰‚¢g9XpG©3«ŸVGIfS8¦ ù 6 uƒÃ‡Ãà ¸Q8„8«ƒEIC@
ä û Œ à 4 ‹ ‹ù Y H bB ` F 4B F

4

¹

¡
¹ Œ
¹
¡
ä ¡‹ ³µ
4 ´

·¶ ‹ ·¶ ¦

¡
´
¦ ³µ

·¶ ¡

qB 5 d H Œ 5
E9WQ6–GD

¦
¦
¦

¦

—
  ³´µ

7 R Y Y 2 7 Ry 5 4 H H d F D D Y d n H F D H 7B D YB F
I‚uI#pX86w6WIWC‚WIupG™9XWCEIut

Ú Ó × Ò Ë É ÙÒ Ø × Í Ê Ê É Ì Ç Ó Ì Í Ì Ñ ÑÒ ÖÕ Ì Ë Ò ÓÒ Ñ Ð Î Í Ì Ë Ê É È
u‡§™†fjˆˆ«”w€‘ˆ””Ԑz€mQ‘Ôv«Sψm™‘”Ç

—
¢¥
DSE8†up8†¢u6XW6˜C8Excm‘IEWIQpI¢U˜‡†ufI……‚X¢‰ƒXpC˜8«C–IVuÆu”GoX8†
2B 5  D R 5 ‰ T Y HB d H ” d 5y i T t ` 2B Y R h H h 2 T  — H H ‰ D Y R 7 5 Yy T F 4B F @ t ¦ ø ê h 2 T ¦ 6 ê Y D 2B 5
DlCQ8„GVV„WQpw‚¢†QIIEQIE‘WE¢fpIhhQGo6WQ‚IQ‚#€oX¢s‘Vu¢EGl¢„W6IuIGŠEŽEp8‘¢I2
T Y H bB D T bB d H h H d T h H h Ry 4 2B 5 Yy T D R ‰ t h H D 2 H Y H d  H d ê D 2B 5  D T H bB D T bB d H h H F D YB iy 2 5 D 5
H d H € ’ ’ ¥ Hy ‰ T t q 5  5 D H F D D T h H D T d D Y RyyB YB Ty R 7 d 5q Hy  7 T — H 2 i ’ — ’ ¥ ’ P  5 D Y R 5 ` 5y T 2
‚Qf7p¥ puXp¢vëV‘8GŠIW”VwQGlGGfIXEXmX™XI…W¢•vXp#¢p–9fmp8— ˜oëˆQWmI¢88XVU¢T
ç $ ’ ¥
8— pzæ

ÿ þ
 x`ä



üí
WxÝ  ‹

Ü
‘€ ¾ 



ø



ü
‚í W ß 
8
9€ ¾ 
 
V Œ 
Ý

  

7

t’ ’B t Y D 2B 5  ` 2B d 5 ‰ F `B H 2 D T Y H bB D T bB d H h H h Ry 4 2
„¢H ŸpQGoE8s‘pXW¢sS8EQICV‘68EWVVE‚QIIpXQpXB
2 T 4 ¦ ’ ¥ ’ P  q 5 2 5B D T ŒBy T d H 2 H ` T t — ’ ¥ ’ P
¢Q–I— ˜mëjk¢8EGVQXXVGQpQ8e˜I8— p§ëj ¢6W¢ŠqpƒIwW8•‰8XWVƒ8†W6GoX‘WE9W6f€
2 5 h H Y T  ’ Ty R 7 d 5q 2 5B D Ty 5  d H D 2B H DB 7 d H
T q 5 H Y R H F D 7 5 dq ` 2B YB d T H bB D T bB d H h D Y d n T d 5q H 7 H F 4 Y ` 2B 4 2 H d H gB h H 4 T  Y xy  y  œ {y 2
•¢9WI–IWp8W•ŽpXWEW¢–¢EWVVEW6Iw‚‚Uu¢•99QIƒ‚IX6IQ‚QsEI9Q¢IW”|‡Ÿé†™|Æ¢T
d 5q Hy ‰ T D d 5y i T t H F D D — H 2 d H hB Y 2 5  ’ Y Ty R 7 d 5q 2 5B D Ty 5  d H D 2B 2 TB ` 2 T d ` T ô 7 5 dq Y d 5 D T d
¢•wXIVƒ8E˜gm–IGux‡Iu6IX‚I8•–6¢ƒIwW8•¢XGlƒ8†W6GoXVƒ8IVG8¢˜p8W•W¢GVWQH
r  5 H 4 2 H d H gB h D 2B 5  xy  y  œ ‰ } h H D 4 R d D Y 2 5 4 Hy ‰ T D d 5y i T t T q 5 Y Hy  7 T — H Y R 5B b H d  H F
˜8w6IQ‚QsEI‘oX¢s˜|‡Ÿé†6s©6G6pWGfI86aEI¢ƒu8Excm#”¢‘QXp#¢p–™I8Ex6WpwIut
’ D  H 4 2 5 4 H F D iy 2 5 h H H 2 H @ H d H F D R ‰ t Y h 5 F D H
gp6QI86uIG#EI8†Q6Iu•uW6ICpIU6I˜pG697
y¢gEWQ9IS8u6QI6WQ•‡W†o¢dXeII¢•wseVgCX¢X#¢IxE8†‘W6IGj¢e¢XW‚IQ‚XIwG6EI
T 4B d H 7 R 2 2 5 Y H 4 2 H d Hq H d i 2 T 7 2B h 2 R 5q H ‰ 2 T 4 Yy TB 7 5 2 iy 5  H Y H F D q 5 2 5B Y Y R 4 YB h H D Hy
r 7 5 i ’ H D T D 4B h Y 7 Hy ‰ 5 d  H F D Y T h H h Ry 4 2B H ‰ hy R 5 4 Y H bB D T bB d H h d H h d 5r d H F `B F iy Y R 5B b ‰
–864 vVGVG6Xp”#6XI¢WIuIW”¢–QpIX6IXu†–XI86”Q¢EWVVEW6I”6IW8£f6I8Xp…E‚I8E˜o“
ç — ’ ¥
S8— pzæ

ý W ß 
ç ßæ ý
V s•oƒŒ
Ý 





ø ý Ýç ßæ ý
€ëÔs•oo‹

ä ç ßæ
js|vÝ

2 5B Y Y H d  — H H F
8EWW6WI˜–wpGD
` 2B 4 R h 5 d  t h H Y R H d T H bB D T bB d H h D Y d n Y DB h 2 T 2 5B D 4 2 Rq H F D q 5 Y H Ry T b H D H d 4 YB h F 4B F @ 2
pXQpI˜‚I”‹6WI9WVd¢EGl¢„W6IwfWUuG„rIV)8EG6pI•9pGŠ¢wQpX¢V–G6‚Q‚XI)ƒEICkXB
H Y T 4 H F D d 5q YB 2 5B D T d D Y RyyB d R “ ’ H 4 T  Y 2B Y D 2B 5  2 H bB ` D T 5ž3 } 1yx  1y € } ˆ žxy ˆ „  2 5B D 4 2 R
‚¢gfIGˆ8•ˆX‘8EGVWG‚pXXEvpvVQ¢U‚#E•WSE8†dQ¢E8vVu6z4¢2z¢l2–‡xw||…†¢e8EG‡II•q
H F D q 5 Y H Ry T b H Y R Y Ty R 7 d 5q H DB 7 d H € t ç ßæ Ý d 5q y TB 7 5 2 iy 5  T D 4 R d D Y 2 5 4 5 t ’ 2 5B D Ty 5  d H D 2
pGhV€6IXV¢CWpj¢ƒIwW8•ŠWE9WQ‘¡‡s•mˆ8•S¢ƒ98Ix„8su•6I‚G‚p8Qam˜‹8EGVX8†WQWoXB
2 TB DB 7 d H € ` 2B Y R i ‰ D R 5 ‰ T D F ` R 5 d ‰ YB F 4 T 5 d   T 2 TB ` 2 T d ` T ô H F D q 5 2 5B D T ŒBy T d H 2 H `
¢ƒWE9WQ‘{pXWp–Sˆ˜8sV•o8p8WIˆE#ƒ¢8WIIV#Vƒ8IVG8¢˜‘IWh¢‘8EGVQXE¢G6IQ8ªi
’ Y 2 5B D T 7B — 5 d  
QI8EGV#X˜gWpI¢T
2 TB ` 2 T d ` T ô Y T 5 D h H dd Hq H d H d
¢ƒ8p¢G8V§a¢‰GQW‚Q•‡W–W¢T   — p§ëjå8W•AQ¢EW6I9sA¢gwVIGa6#6IƒW9QpQW6h„Ih
’ ¥ ’ P  7 5 dq h H bB d H h H ‰ 2 T 4 D T F D Y H 7 H F 4 Y H 4 2 H d H gB
H DB 2B ¤ ’ h H D 2 H Y H d  D Y R Û Y 2 5B D T 7B — 5 d   T H 4 2 H d H gB h H DB 2 n H F D H bB d H h H d H @ t D 2B 5  H D H d
G„IXv)‹QWS6W6WI‘fI‚ÉI8XWV#X˜gWIIVQI6WQsEpŽG„IUdIWŽ8„WQpQWvvgoE8seW6‚Q4
r YB h H D TB d  5 d   T H F D D T Y H bB D T bB d H h H Y H F D H D T Ry T b H h 2 T t F Y H 7 h H 4 T  YB R P H 2 T H Y 5  7
fXpdGlƒWp8WIp¢IGwV‘Q¢EWVVEW6IeW6IG#GVUE¢V6ÅIVvhWQ9¬Q6¢UWEISQÅ¢dW8†9XB
t‡s•mˆ¢a8„GVVE‚QIep8Q6W8™‚‚UwIWw¢¢G…•j£Q6‚…IG‰XaIX¢VwW6‚QWEI6IG¢†o¢T
ç ßæ Ý q 5 H bB D T bB d H h h 2 5 4 H Y d 5 D Y d n H F D H ÷ T D H @ q1 ’ D H Y H F D 2B H Ry T b H D H d 4 YB h d H F D 5 i 2
Y H ÷ T D ß 2 H F @ 5d H Œ h 2 T t ý
6¢¢G©¬QICe‚QQÅp¢€¢ëß ä Æ6ICŽI8…EdëÆƒ¢g‘¢–oQEQ96xQepG…VIGd6XGVfò
ß 2 H F @ H 2 5 YB ý Ý F 4 T H q 5 D 2 HB 4 ¨ H 5 4 H F D D T F D H 4B D 5
ç ¥ ’ ¥
oo— pzæ





ç )'£|Qç )U!•æ 
ß 6 4 ßæ ß 6 ä ß
Ý
ø
ç ß 6 4 ßæ ç ß 6 ä ß
s)'£|Qs)U!•æ
 ßæ ç4 ß 6 ä ß
 ßæ ç ä ß 6 4 ß
çW£)6 |Q‚£)U!•æ
4 ß
ç ä ß
‡!r6 |Q‡!)7£•æ
4 Ý
ä Ý ä ç ßæ
 ß æ ç ß 6 ä ß £¬ø sr6  |Qsr7£•æ !ª€s|mÝ
ç ß
s)6 |Qs)U!•æ
ç ß
ßæ ç ß 6 4 ß

Y D 2B 5  h H 4 T  YB R P Hr 2 5 2 F DB @ ç 2 5B
GoX¢s‰Q6¢UWEISQ£˜8I‰G„C€ë8EGD
rlƒ8†¢WGx‡u8•A8XWVƒ¢s‚QGoEwEGVWI¢USC8•wXI…W¢•Vƒ8IVG8¢˜uEI#EWwIGD 8W•‰Q¢VƒD
Ty 5  T d D — H d 5æ 2 5B D Ty 5  d H D 2B 4B D T d h T R P d 5q Ty R 7 d 5q 2 TB ` 2 T d ` T ô Hy  7B Y H F
7 5dq 2 H ÷ T
H ‰ 2 T 4 ç ßæ ý ‹ H F D q 5 2 5B D 4 R d D Y 2 5 4 H F t ’ ) H H d ` H h q 5 ß 2B Yy TB 7 5 2 iy 5  H d T ç ßæ ý ‹ H d H F
†‰¢gŠs•8o‡pGvV†8EG‡IWW‚I86uIuv)06W86IvVeeX€X¢X#8p˜„8†w‚¢us•8S‡W6IC@

$
3¥

ê Ó É Ñ × Ú Ì Ù Ì È Ç
뙬uv†vf”‹Ú qÔvwˆfˆ””ÔÖ {Ô§‘•Ïm˜™uuóx%xÎ
é ÓÒ Ç Ó Ì Í Ì Ñ ÑÒ
é Ó Ò Ë Ç è Í Ë Ú Ó × Ç Ð çÐ

Í Ì Ö Í
ˆfu×
ç 9 ’ ¥
8— pzæ

í W † ß 
¡
V  ¦
V
Ý  … …î
ß
†

F D B Y H F D Y 2 5B DB h 2 5 4 H Y H F D d H h 2 H ’û ¦ à ¦ à ¥ 6 à
W˜— W#IGuI8EGEpI8Q#W6IGw6II‘IŸ6g8gpfxà ¡ p¥ ù
¡

·

¹ ¡ ´µ
´
¡ ´´

³´

¦
·· w6

·· ¶ ¡

þ
¹  ´µ
´´
ä · º ´
³´
·· Œ
·· ¶ ‹

¹ ¥

—

·  
·· ¦

·· ¶ ¡

4

…

—
‘6
¥
  6
¦

ä  xþ
ÿ
5 D Y 7 R Y 2 7 Ry 5
Gu9IWe9IX¢Q4

ä û þ à º à Œ à ‹ù 2 5B D Ry 5 Y H F D ` 2 B b T
•Q¥à s¥c¥U¸«8EGpE8W#IG‰IXxgUF
¡
¦
¡
¦
¡
¦
¦

¡

¦

¡
¦

¦
¦w6
¦
¦w6
¦

´µ
´´
³´´

2 5B D Ty H d H F D iq YB D T Y DY R 7 H @ t i 4 T d R 4 4 T q 5 d H h d 5 H F D H ŒB 7B — T 7 5
¢XGlƒQ‚uIG#|‚XWVG‘fI…w•I¢6¢WIQ6¢”V‘6IW¢wpGf6X9X˜l##§t
’ H bB D T bB d H h D Y d n T 5 D 2 5B D T 7B — 5 d   T 2 TB DB 7 d H € D 2B 5  r ¥ y T d D 2 H 4 d 5q Hy ‰ T D d 5y i T t ’ ’ ¥ Hy ‰ T
¢¢EGl¢„W6I‘‚WI‘9WŽ8XWVdE˜c‚II¢Ž¢ƒWE9WQ‘poX8†3s˜¢GWS6Qu8•EI¢GŠ8Xxgvˆp¥ puEI¢mt

ä  4 Y † sfxhº
ç ¦æ Y
4
ä  4 Y sG|S{‹
ç ¦ ræ Y
4…  †
Y … sfSXþ
ç ¦æ Y

…
4

…

Y … sfSɺ
ç ¦æ Y

Y … sW|x‡‹
ç ¦ræ Y
Ý Y „ sfxpþ
ç ¦æ Y

4

Ý ç ¦æ Y
4 Y „ sÔxkº
Ý Y sW|x½‹
ç ¦ræ Y
4 „
Y  sÔxXþ
ç ¦æ Y



4



4 hsfxhº
4 Y ç ¦æ Y

Y  sfxkº
ç ¦æ Y
Y  sƒƒx‡‹
ç ¦ ræ Y
4 hcfxpþ
Y ç ¦æ Y

4

4

4

4



ç ¦ræ
4 Y  sW|xY
í y û u
w û
¤Au t
Y „ …î
ß

Ý Y cƒ|xY 
ç ¦ ræ
4 „
í y ü u
wü
˜Au t
Y … …î
ß

…

…ç ¦ ræ
4 Y cGƒxY
í y F u
w F
¤Gu t
Y † …î
ß

4

º
Œ

4 hsG|S{‹
Y ç ¦ ræ Y

‹

þ

4

¦

4 ç ¦ræ 
4 YhsW|xY
í y ú u
w ú
¤¦u t
Y  …î
ß


í xuu t
y w
Y ß
…î

ø

4 üí Ý Y
5Wxckº
í Ý Y
xchŒ
4 €í Ý Y
Axc‡‹
4 ü y w u t þ Y ß
5‚í xuv!q˜…î
í !xut ˜‘î
y w u Y ß
4 € w
Aí y xuu t  ˜‘î
Y ß

í
xÝ

45üWí Wß 
í ß 
W
þ
V “ø
V
Ý 
Ý 

ß…î
¦

ù ä ç4 üí ݺ ø í ÝŒ ø 4 €í Ý ‹
2jf5‚˜–zv˜ƒ~›¥xSˆæ

ø

4€Aí Wß  
V
Ý 

’ @ 5y H ‰ h H 2By D R 5 Y T F 4 T 5 d  
usEQ†eQIEXWp8C¢†ƒ¢oWpI¢T
Hy ‰ T t d 5y i T t H F D ` 2B Y R h H 2B 7 d H D H h H ‰ D Y R 7 F 4B F @ ç T d ‰ H `y T H F D iqBy  7B Y 5 D H 2 5 Y
EI¢m–8XxgvIWApXWp©6IX9W6G6p‰†#‚I…ƃXpCaoGI68XVIWk|EXp#EWAGI8–¢T
2 H ÷ T D YB D 2B 5  ê H F D 2 5 D 2 HB 4 ¨ H 5 4 H F Dæ Y D 2 HB 4 ¨ H 5 4 H b T F @ 5 2 Y 7 d H D H bB D T bB d H h H F
QV¢ƒ…E–oX8†9IWÆ89oQEQ96xQIW•GoQEQ96xQ‰8gU§cI‘#‚QWŽ8EWVVE‚QI‰Iut
í
Ê
DEW
b ä ¾B ï
  ß  V ï ß  s‘˜Ÿæ 7ì CÈ
ç ß î õ

ï
¦
ï 

ç “ ’ ¥
oo— pzæ

  

Ý

@
Aä

ý ü
I‚í W ß 
 
V
Ý

  

Û c’ ¥ ’ P
˜dpëëj
2B 2 H bB ` 2 5B Y 2 T  — H Y HB d H Y d 5y i T t H F D q 5 2 5B D T ŒBy T d H 2 H ` ` 2B @ 5yy 5q H F D Y H dB R P H d YB F t ’
EkQ8„8k8X‚I¢U˜–QX‚Q‚8Xxgm‘IGˆ¢¢XGlgXE¢G6IQ¢dIECsEX8•…pGQ‚XIS6WXpuaUê
Ú Ó × Ò Ë É ÙÒ Ø × Í Ê Ê É Ì Ç Ó Ì Í Ì Ñ ÑÒ ÖÕ Ì Ë Ò ÓÒ Ñ Ð Î Í Ì Ë Ê É È
u‡§™†fjˆˆ«”w€‘ˆ””Ԑz€mQ‘Ôv«Sψm™‘”Ç

“
8¥
° © ›ž ¢ ­   ¬ Ò « e ¨ § « e § q i
ssd“¦q‘qF$“¦sA­ rh pÐ
  ¬
‘¦­ Ð ¤Avg¦sqÕ¦¥Ua‘d†Õu%q¦Úv‘FÕ¤¸q‘¦£1¤Aqq¦vfq¤ÉddqÕ¦¤S¦£‚¦¤o¦q¤“¦£8d‘“¬ ¦a
¨ § « e Ñ « © › ÒŸ ­ ¥ ›   ÒŸ ª ¬ž  Ÿ Ò « œ © ¬ «ž §ž   ¬ « ª ¯ ¢ ­   ¬ Ò « e › ¨ § c ¬ž ¬ž ­ § ¬ « ª ¢ « § ª › ¥ › ¨ § › © ­ ª ©ž ¨ § b

h

’ Y d H by 5 Y h H h 2 T ‰ D 2 HB 4 ¨ H q 5 H Y R H F D i ‰ h H D 2 H 7 Hy  7B H ‰ 2 T 4 i H F D 2 H F @ y T 4B D 4 T d  H
Q‚Q8„8W†QIp¢U‘oQX696m¢a‚IuIGdSe6GoQ9QEI9Xus‰¢Qe6IW†6ICh¢QXG‡¢Gpw†‰
2 T 4 Y 2 5 B D T 7 B — 5 d   T `H h T Ü d 5 2 T B D B 7 d H € t y T d H 2 H ` 2 1 ’ h H Y R i y H h B @ h 2 T t 2 R d 5 D D 2 H B 4 ¨
¢QuI8EGV#X˜gWIp¢w¨¢v‘8¢XGE9W6f!z¢G6IQ8†3Š‹6WIe„QIEC†IVshIW9G‘oQX696H
t H h 5 4 5 D Hy  7B Y YB F 4B F @ t Ž d H by 5
¢IxQkG–Xp#EW…EƃEICjI68„8WY  ¢I88¢XIX‚Gf¢‘I¢Q#roÅII8•wEB
y T 2 5 ` TB hB d D T q 5 Y 2 T H 7 i ‰ h 2 R 5q Y
ûç ¦ à —à ¦æ Á
3sgIW8feýù
4
€
q 5 2 5B D T Ry T b H H F t ’y T 2 5 ` TB hB d D T H Y T 4 YB F D 2B t F D hB @ h 2 T ‰ yy T 7 Y T ` 2B b T F Y H 4B d D T
¢¬8EGVUE¢V6puºŸ¢I88¢XIX‚GAW¢Q#EIGÆXu‹WpXCpp¢UuXVd‚r)IExcI#6QX‚GV#7
h H h 2 T ‰ q 5 7 d 5q H F D 2B d T H   T i H F t ’ Y 2 5B D T 4By   T H 4 2 H d H gB h H DB 2 n 2B 2 5 7 7 5 4 i d H b H d
QpI¢Uh¢ÏW¢•CpG–Xˆ¢g†I¢#‡Ium6I8EGVQXXpI¢fQI6WQsEp‘WEII–E–8#986#fQ¢C‚¢T
Y d 5 D T d H  5 H Y H F t ’ Y 2 5B D T R P H d T H 2By q 5 D H Y h Hy  R 5 4 T q 5 2 5B D Ry 5 Y H F D Y HBy  7B d 5 D T d H 
‚8GlGQ†8Ž‚QIu‰Qp8XWVUSQu¢QIXEu¢‘‡Wr6XIp8Qu¢¢XG˜X8‚dIWQXEI9Xw8GVWQ†85
—B d D T 7 H Y d H b 2B 2 i ’ 2 5B D T D H d  d H D 2B Hy  7B Y T 2 H bB ` H ‰ 2 T 4 yyB D Y DB D R ‰ t d 5 D T d H  5 H Y d H b 2
„‚GV#wWW68oX†™€‹8EGVG6WpWQWoXXp#EW–Q¢E8u†¢Q‹XEGfCEfpIUQ¢GVWQ†8w‚WQ¢oXB
2 T q 5 2 5B D T Ry T b H H F D ` 2B h 2 T 7 H h YB DB H 4 2B Y t Hy D ‰ R Y H d 5 7 YB @ 5 d h 2 5 4 H Y H F D q 5 ` 2B 2 T H
¢m¢d8XWVUXV¢‡IG…pXIIVd6IŠXŠEQpXWUVXWpIW™W89ŠXÿcW‰I86QWpG§¢…IEI¢g97
H F t ’
Iu™§²W Ý gG‚¢…WVƒpQ9WQWoX…IW†EEI‚Q‚…IGaW8W‚IV‹Qp8XWEII¢Q‰‚¢III8†…IWI¢T
i T d d T H D TB h H 7 d H D 2B H F D 2B Dy R Y H d H F D H d 5 D Y h 2 T t Y 2 5B DB h 2 5 4 i d T h 2 R 5 ‰ H F D h h
tg„QI6W6h„IC›² Ý gWW¢8W668†pG¢Vƒ¬YxgG¬„I9XWd£1 6¢gEQ†ºXp8IWk6IQIS6WY
DB H 4 2 H d H gB h t
i T d d T d 5 D 4 H b H F D H ÷ T D X Y i T Y iy  7B Y D ’ d T Hy 4 H ‰ hy R 5 F Y H 4 2 H R P H
YB F D 2B d 5 D 4B h H d  H F D q 5 ` 2B 2 T H 7 H F D t 2 5B D T D 2 H 7 Hy  7B y T 4B D 4 T d  5 D D 4 H  Y H d F DB
EIGX…8W6EIQ‚IeIGC¢IXIVg9ŽIG§‹8EGVGS6#6XI9Xv¢gEG‡¢GIG–66s‚QWÅWEª™
ç ¦ $’ ¥
s˜dpzæ

ûç ¦ à — à ¦æ ù
W² Ý € ÔcgIG8ÔeýÁf“
4
ß  
y AŒ Çw² Ý cgà ¡ 8w£ŽÁ …î
º² t ø ç ¦ à ¦ 6 æ
¦
ä

ä

²Ý  (
²W Ý

H 4 2 H R P H Y Ž d 5 D 4 H d d 5 4rd 5 D 4B h H d
6IQIS6W–8W66WW¢Q3Ô8G‡XI6WI  pGeoQ‚W6WI˜‡6Wu††¢Q†ƒEIC@
H F D i ‰ h H Y Y H d  — H H d H ‰ 2 T 4 F 4B F
ç ¡ dpzæ
$’ ¥

¢

ß   
y AŒ Çw² Ý sQà ¡ 8w£eÁ …î
º² t ø ç ¦ à ¦ 6 æ
û ç ¦ à — à ¦ æ Áù “ ä
ÔsgpG8fޏUð² Ý  (
4
€
¦

5 D D 2 Hy T bB R P
WuS6X¢V„ISQH
YB YB F D iyy T 4B D T 7 H F D T
EfEIGdEXVgXWV#QIWV „ ‹Q‚8†#EeQQ†…¢cIfI¢XG„II86‰‚¢UpI8†f‡XIƒEWEkƒXIC‰XB
’ h H Y 5  7B 2 H H ‰ H b T F Y 2 5B DB h 2 5 4 i d T h 2 R 5 ‰ D Hy F 4B dB ã F 4B F @ 2

y AŒ t
º²

ç h ’ ¥
o3— pzæ

ø ç ¦ à ¦ 6æ
w² Ý cgà ¡ 8w£ŽÁ

ß‘î  
¦

ä
e² Ý  scgIG8ÔeÁ
(ç ¦ à —à ¦æ

“
¦

YB c ’ ¥ ’ P  d 5q 2 5B D T D 5 2 B d D T 7 h H h 2 T
X‘3— p†ëjp8•Ž8XWVƒVIŽ— WWVd‰QpI¢U‰ i
’Q8WVG6s¢9„WWV#…§¢5 W8•™pGdEŽ˜pG69™9¢WIGu‚QWpp–•hEeI6IQ‚I#¢Q…Wd‚VgH
d 5 D T d H  5 —B d D T 7 T q
7 d 5q H F D 2B h 5 F D H 7 H 7 T Y H F D Y Y H d  — H H @ qB h 2 H F H d  7 5 4 5 D i Y T
H DB R P YB 2 5B D T R DB Y H F D t d H b H @ 5 € ’ h HBy   T H ‰ 2 T 4 c ’ ¥ ’ P  @ 5 F D Y R Û D Y d n D T D 2 H hB b H D 5
WEISŠEŽ8EGVUWE‚IGëQ686vcfhQXEII¢u†¢g…— pI†jfcIC‚I‚'fWUŠl‘S6IXx‡C¢I2
iy ‰ T ‰ 5 d  YB DB d 5 D T d H  5 D 2B 5  T q 5 7 d 5q H F D 21 ’ H h 5 4 d H D R  7 5 4 T 2 7 H F D D 2 H 7 Hy  7B 5
EIVU8WpjXˆEj¢GVWQ†8ˆoX8†wh¢Ï‚8•uIG–3”VI˜6ˆQG˜I#¢Qu#EB QIWvoQ9QEI9XwGD
d H F D 5 2 T H DB R P h 2 T D  H 4 2 5 4 2 TB DB 7 d H € H F D ` 2B Y R Y h 5 F D H 7 D 4 R d D Y 2 5 4 5 D ` 2B F D H 2 5 YB D
6IGVI¢aGEpx†I¢pQ6I8QeVƒG„#‚Q‘{IW#IEWI‘IxIG‡#f6pWGfI86dG–IEIGuI8CXf£1

} | ã â  r e © Up Ø | d § e i e g j | t g ã y y T ã | t g j t |
†Ç£UuVfD¨ih†7v†s`Qv†Úr d

ß— ß—
ˆõˆ–

’ T y R 7 d 5 q R} ˆ  P T Y T 5 D h H d d H q H d 5 Y y T Y B Y B F
˜ƒI…‚8•€SouQ‘¢9G‰Q‚WQ•‡W‘‚X¢CE‘EIut
ç c ’ ¥
o3— pzæ

ç … ß îæ ’ ä ç4 üí Ý ø 4 € í Ý 6
‡…zdfˆf5Wx¬›¥xf†æ

ß‘î
¥

6

45ü‚í W ß 
V
Ý 

í W ß 
4 €
Aí W ß 
V —
¬ø
V
Ý 
Ý 
ø

Y T h HYY Hd  — H H ‰ 2 T 4 h 5 FD H 7 H F D h 2
¢k6W‚QWpp–us¢Q‰xIW69wpGI¢T

9
3¥

Í Ì Ö Í
ˆfu×

ê Ó É Ñ × Ú Ì Ù Ì È Ç
뙬uv†vf”‹Ú qÔvwˆfˆ””ÔÖ {Ô§‘•Ïm˜™uuóx%xÎ
é ÓÒ Ç Ó Ì Í Ì Ñ ÑÒ
é Ó Ò Ë Ç è Í Ë Ú Ó × Ç Ð çÐ
’ YB Y iy T 2 T d 5 d d H d HB d R 5 ¤ ` 2B Y
6XWx„¢U¢C8‚W6uQX‚I8U9IX‚IR
h H 2B T D ‰ 5 H ‰ 2 T 4 H 7 H F 4 Y H 4 2 H d H gB hr H DB 2 n T q 5 d 5B b T F H ‰ d 5 d d H H F D D R 5 ‰ T 2 5B D T 7 d 5q 2
6IX¢Gp8ކ¬¢ge9QpƒWŽ6IQ‚QsEI£‡G„IUf¢…¢XxgUQ†…8‚WQepG…p¢s¢8EGV#W8•˜XB
d6IGfIUj‹8EGpEW6WQp96G„#EX‘„WXVšauQpXxcWIvEx¢‚IW¢Q#sI•6‚Iw•X€XIW‘EXIªvVXIVƒD
H F D d R ¤ ’ 2 5B D B d 4 Y H h h H DB 7By iy dB Tq T Y H hB b 5 d  DB t H d R Y T H 7 y Rq H Y R T YB YB F D HyB F ™ ’ Hy ‰ T
d¢XxgvŽp8W•eQpX9WQW6IpWQW™8‚WQepXI¢QX‘IWvVQI‚8‘IG€¢9W6GXrQW‚Q‚I˜‡H
5y i T t T 7 5 dq h H 2B 7 d H D H h 7 d H D d 5 d d H ` 2B h T Hy H F D q 5 d H h d 5 H F D q 5 Y 7 d H D 2B h H Y Y H d  —
2 H Dq 5 YB d 5 D T d H  5 2 T q 5 i 4 T d R 4 4 T H F t ’ Y H 7 H F 4 Y H D T hB h 2 T 4 H F D q 5 i 4 T d R 4 4 T H F D Y Y H Y Y T 5
6G|¢ˆXj¢GVWQ†8#V›¢–‡¢GI6Q¢fIuˆQ6#6IƒWCWVUXpI¢g‘IWs¢9‡¢GI6Q¢‘IWv‚QW‚¢aGD
Hy ‰ T H ‰ D Y R 7 H 2 5 2 5B D T 4By   T 2 H bB ` T d 5q H 7 H F 4 Y H 4 2 H d H gB hr H DB 2 n T D 4 Hy H Y 5 D d H h d 5 2
XI¢wsf‚p…ap88XWVgEXIIVQ¢E89™¢•a9QIƒ‚a6IQ‚QsEI£‡G„IU–66X6W9Gf6IW¢31
² ¹ ² ó ˆ ´
g”‰¦‰¶

G À Ã À À † À ±¹ À î Ã
i9ˆˆó‡6€eëe¸

ß  
y …Wð×d² Ý swxp¥à ¡ p1S8fxkÁ …î ¦
… ß ît ’ ä ç ¦ 6 à c à c 6 à ¦æ Ü
¦

ç — $’ ¥
SVdpzæ

 ß
y …Wð`޲ Ý saSpcgà ¡ ™x˜cg8w£xkÁ ‘î   ¦
… ß ît ’ ä ç ¦ 6 à “ ¦ ¥ 6 à “ ¦ à ¦ 6æ Ü
¦

ç $ $’ ¥
8dpzæ

6

6

„®
…­

 ß 

² Ý 

ß 

²Ý 

Û ç Y H 7 H F 4 Y H Y H F D ` 2B iy   T 2B Y H R Y YB y T B 4 2B d  H F D q 5 H 2 5 YB YB F D F ` R 5 F Dy T t Y 2 5B DB h 2 5
‡ƒ6#6IƒWu‚QIW–pXxEIp¢‰XCQI‚WE‹¢UEQIEWIuIWm¢uI¢uXuXpGŽ8I¢IG„¢UQp8XWEII¢Q4
id T h 2 R 5 ‰ H FD i ‰ h HD T Hd
‚¢III8†IWdoeQWVg‚Q4 QEI8WpIG‘W8p8Xv™W6Iš…W¢Ž6¢WIQ6¢§¢Š6IW¢™9¢GpGD
7 Hy ‰ 5 d  H F D H d 5 2 `B H @ H d H Fæ H d T i 4 T d R 4 4 T q 5 d H h d 5 H 7 T Y H F
F DB @ Y H 7 H F 4 Y 2 TB ` 2 T d ` T ô 5 @D t d Ty R 4B D d T  21 ’ Y H 4B h 2B H 4 T  Y q 5 h T H d  Y d H hB @ T H b T F yyB
WECv6#6IƒW‘Vƒ8IVG8¢˜w•386¢ƒI6XW‚¢U#3v6QQEIIE™QVUWh¢d¢QWI‚ˆQIECu™8gUIEXC@
i H FD D R ‰
6IWvppot   dpŽIVw— p˜QSjËX9Q8„8ˆIxIG‡#‘IGˆ¢9‡¢GI6Q¢‹¢ˆQI‚8‘#¢WCIG‘8gUF
$’ ¥ h 2 T c ’ ¥ ’ Y P  2B 2 H bB ` Y h 5 F D H 7 H F D Y T i 4 T d R 4 4 T q 5 d H h d 5 H 7 T Y H F D H b T
D T F D h H bB d H h H ‰ 2 T 4 Y 2 5B D T 7B — 5 d   T 2 TB ` 2 T d ` T ô ` 2B Y R Y H 7 H F 4 Y D 2B 5  H b n D T F D t H Y d R 5
lUGŽ68E‚QIfsd¢gˆI8EGV#X˜gWpI¢#¢ƒ8p¢G8V§wIX‚IuQ9QpƒWvSE8†8I€VUWp¢‚WI¢Q4
q 5 t Y R 5B b ‰ 5 YB D1 ’ Y D 2 HB h T d `  H H D Y q 5 i DB 2B 4B b H F D 2B h 2 T Y HB d T h 2 R 5 ‰ D T Y R 5 H ` T D 2 T b h T H
¢SQp8Xxo8ˆXv£”QWoQXp¢G8dQQW‚h¢…3„IX6Xx‘pG–Xdp¢€QX‚¢UIp8s€VvI868¢GSV¢˜¢™†‰
2 T 4 YB F D t 2 5B D T 4By   T 2 1 ’ h H D T Ry T b H ` 2B H ‰ H d T Y H bB D T bB d H h H F D H d H F @ D 2B 5  H F D 5 D y T 4 5
¢QCXIWx‹¢XGlgXEII¢†3ˆ‹QWVUE¢V6–IX6su‚¢‘Q8„GVV„WQpwpGuWQpCuSE8†wpG‘GhVgxXy
yyB D Y YB D T F D 2 5B D T 7 d 5q 2B ` 2B Y R i 4 T d R 4 4 T 2B H Y T H d 4 2B YB F D D H ` i H F D D T F D YB D 2B 5  Hy D ‰ R
XEG‚fX™VUGe8EGV#W¢•pXŽpXWp‡¢GI6Q¢X…‚¢g‚QIE™XpG™‡8†6IW™VUWfE™oX¢s…EGppWY
Hd 5 7 T t d H b H @ 5
W89Š6Q8‡•c‘€ 8‡¢GpQQV©6W¢QW6IXaXQpGC¢WIVgQ†–Q9QIƒ‚r¢X8I¢W8¢˜‘oE8s£l¥
’ i 4 T d R 4 4 T h H Y T H d 4 2B dB H F D q 5 H Y R T 4 H ‰ Y H 7 H F 4 Y 2 TB ` 2 T d ` T ô D 2B 5 r
d H b 5 H ` T D 2 T b h T 2 T H b T F i H F D iy d T Hy  ’ Y 2 5B D T 7B — 5 d   T 2 TB DB 7 d H € 2 5 h d 5 @ y T 2 n
68cu8¢ƒo¢VpV¢a8gU‡IGŽ„W¢QX•vQp8XWVdE˜c‚II¢VƒG„#‚Q‘f8†W8v‹¢UIi
’ ¦ $’ ¥ 5 D c ’
8˜dp9G…3— p¥
’6Sˆ XwI8X‚W6WI˜‡9IWŠ¢ko¢†Gj¢gEGoQpXuX–8„GVV„WQpwfWUu¢aI‘IXEIW9IWaVIGD
Y P
2B Y 2 5B Y Y H d  — H H F D q 5 i 2 T 5 D y T 4B D 2 H hB YB H bB D T bB d H h D Y d n T q 5 D n H 2By  Y H F D D T F
H D 5 2 H ™ ’ 2 @ 5 2 ÷ D 5 2 YB D n H 2By  Y T 5 D 2B DyB R ‰ iDB R 2B D 2 5 4 y T ‰ 5y ` h H Y T H d 4 2B H F D i ‰ D H Y g
W¢I€hCspxŠ¢IŠEuI™IEXI‚…–GoXvEEIId3EISXWo8Q†¢U8E8Q‚¢g‚QIEIG#SC‡Ws¢5
YB i 4 T d R 4 4 T 2B 2 5B D 4 R h H d YB F D F 4 R
EA6¢WIQ6¢)E)8XW6IpQWaXIWrƒI…7 c‘f–ç  …zŽ’ „I8wX6¢WIQ6¢C¢aQI‚8aWEwpI‰
@ 5 € ’ ß îæ
iy 2 5 YB i 4 T d R 4 4 T q 5 d H h d 5 Y DB D R
 ß  
¢
y ¦Œ t w² Ý sgà   x¢feÁ …î
ç ¥ $’ ¥
o¢dpzæ
º²
ø ç ¦
6 à ¦æ
û ç ¦ à — à ¦ æ Áù “ ä 
3sgIG¢feý‘ÿe² Ý ¥ (
4
€
¦
i
o‰
2 H b B ` Y B D 1 ’ d 5 D T d H  5 H 4 2 H d H g B h — B d D T 7 `H h T Ü T q
68E¢vE•£mQ8WVG6s8fQI6W6h„I–„‚GV#™¨¢vw˜¢5 ‚8•‘p8ˆX–8XWV#X˜gWIIV™IEXI‚fpGD
7 d 5q H 2 5 YB 2 5B D T 7B — 5 d   T H 2By  Y H F
D T F D h H 2 5B D 2 H 7 H ‰ hy R 5 F Y D1 ’ Y 2 5B D T d H  5 y T 2 5 ` TB hB d D iy 2 5 q 5 H Y R Y H ÷ T 7 h 2 T
lUG9QI8EGoQ9‘s#XI8pWv£vQp8XWVG6s8p¢U88VƒIEWG‘„I8h¢™‚I•6¢¢#dIV€ç … …šŽhXB
ß îæ ’ Y
 ß  
¢
y AŒ t …² Ý sgà   x8ÔeÁ …î
ç   dpzæ
$’ ¥
º²
ø ç ¦
6 à ¦æ
ûç ¦ ¦ à ¦æ
Ôcgà ¡ g¢feÁ ù   厲 Ý ¥ (
¦ ä 
4
€
¦
Hy  7 T — H d 5 ¤ ’ Hy ‰ T D d 5y i T
Xp#¢p–u8Uˆ¢Xp¢ƒŠ8Excmt
T q 5 Y 2 T H 7 i ‰ h H bB d H h iyB Y T H H ‰ 5 Yy T 2 T 4 H bB D T bB d H h h 2 5 4 H Y H F D q 5 Y 7 d 5q 2 TB DB 7 d H
‘¢wI¢g9)oÅ68E‚QIA„XWVgކWE¢¬¢QŽ8„GVVE‚QI¬I¢QQ‚ŽIWu¢w9W8•A¢ƒWE9W6f€

} p  p u t  r p Ø r w y r p u 
‚xCuƒX‚s“€su¡xg

% r p u
wsuvj
w

t— ß—
6õˆ–
c
¥

Ú Ó × Ò Ë É ÙÒ Ø × Í Ê Ê É Ì Ç Ó Ì Í Ì Ñ ÑÒ ÖÕ Ì Ë Ò ÓÒ Ñ Ð Î Í Ì Ë Ê É È
u‡§™†fjˆˆ«”w€‘ˆ””Ԑz€mQ‘Ôv«Sψm™‘”Ç
t

H F t ’ H 7 H F 4 Y `H h T Ü d H h d 5 r F D d R 5 q H F D h 2 T H 7 H F 4 Y H 4 2 H d H g B h h H d H D 2 H 4 d H h d 5 r F D d R 5 q h d T
IuˆV#6IƒW¨¢vvQI‚83xG‚p8•fIWdI¢#6IƒW6IQ‚QsEI6WQWoQQ€QpW8£˜GfI8•d‚¢Uh
r 2 T D Y H F D d 5q Y 2 5B D Ty H d d TyB 7B Y F DB @ ` 2 5y T t ’ ¥ H d R `B
x¢ƒfApGe8•ŽI8EGVXQ‚#¢XX9X‚ÿWECÅI8E¢I— pk‚I8Xm¤ Eð6G‚¢XIE¬%pÿ8EGVUSj
2B h H D D 5y  YB c $’ ¥ 2 5B D T R P

‡ ‡
xS‡
ø

“
ß
 ‘î „

–

6 –
Ókä

ß
…î
ß î – 2B
…UfX‚Y

H 4 2B Y t h H D 4 H  — H H ‰ 5 D YB Y T t i 4 T d R 4 4 T d H h d 5r h 2 5 4 H Y 5 D – Y H D T 7B — 5 d  
QIEW†‹QW66s˜‡†9GŠXC¢ë¢6¢WIQ6¢fQI‚83˜p8Q6W–G‰f6GV#X˜gWpI¢T
ß
‘î
ß î – 2B
…ëfEWY

ç c $’ ¥
ovdpzæ

h jlUGGVfò
– DT FD HD5

ä h
vv–

i ‰ 2 H bB
o‰Q8„8`
YE†6swISQ8g•ºQU„Ix#kIWd8GlGQ†8kQpQW6h„Ih 6W6GoQ6†6IW8£˜I86Q‚eIGŽ8U¤
B d H ‰ 7 R 2 H b T @ h H nB h 5 7 H F D d 5 D T d H  5 H 4 2 H d H gB
h Hd H D 2 H 4 d H hd 5r h 2 5 4 HY H F D d 5
’ 2 5B D T 7B — 5 d   T H F D q 5 i 4 T d R 4 4 T H F D q
h8XWVdE˜c‚II¢wIWmV6¢WIQ6¢wIG§¢5
H‚IWVg9”Xˆ6s…px68g•˜¢UW6¢ŠIG§QGldEpg‚II¢€Q†…IS68gŠwQU„Ix#ŠpG‘ƒXICfGD
d R Y T H 7 T YB d H ‰ 7 R 2 H b T @ y T R D 4 T H F D Y H D T 7B — 5 d   T d H ‰ 7 R 2 H b T @ h H nB h 5 7 H F D F 4B F @ 5
H6W86IvpGmpxuv‹8X‚W6WI˜‡v6¢p–vIWwEm‚¢g†I¢V‹iQ6s…px68g•€IWv‚QIC˜W¢Qsp¢mEB
H d ` H h H F D Y R F t ’ 2 5B Y Y H d  — H D 4 T — H H F D 2B Y d T H   T t – t d H ‰ 7 R 2 H b T @ H F D H d H F @ Y d T H   T D
H Y R T 4 H ‰ h H 7 T 2 5 Y YB d H ‰ 7 R 2 H b T @ h H nB h 5 7 H F t ’ d H ‰ 7 R 2 H b T @ h H nB h 5 7 H F D Y
‚I¢g6saQ9¢U‚mEjQ†…ISQ¢gŠuQU„Ix#vIujQ6s…px68g•w6UEIx9•IW§EB h SW6IC@
– HdH F
ç 9 $’ ¥
8dpzæ




‘•

‘•



þh –
‘• ¥v6˜

ß…î
þ
˜
ß…U–fX‚Y
î 2B
ß…î  
¦

ä
ä

þ Ôs…UfX‚og6 …Uƒ8Q•ª's…ëfEWoV9…냢Qš„ù
ûç ß î – 2B Y ˜
ß î – Y 5 4æ 6 ç ß î – 2B Y ˜ ø ß î – Y 5 4æ


—•

¢
¤4 €
“¥í 

þ
sç 

e
…‘•

e
…‘•

ß
‘î  

€ þ 6 

ß
‘î  

þ 6

¢

e
G—•

¤“45Wí 
ü
ß
…î  

ä
ä

þ
“æ

e
…‘•

ä

þ

ä

4 €í Ý 6 4 üí
AxÅ‚5WxÝ

d
¦ ‘•

íç (
š†Ý  ˆæ

D H ` H @ t ß î ê ä í ß Hd H F
68w•I˜…S«uxuW6IC@

þ ä í Ý 5 D d 5 D T d H  5 H 4 2 H d H gB h h H d H D 2 H 4 d H h d 5r h 2 5 4 H Y T t Hy  7 T — H d 5q t iy   T H @ q
#‘x†Wu¢GVWQ†8d6IQ‚QsEI)6W6GoQ6wQpW8£˜I86QWm¢Xp#¢p–w¢•§¢EIIVdvŠ£1

ç “ $’ ¥
o¢dpzæ



ß 
þ 

þ –˜
‘• 6™ä ‘•


Y
XB • þ q 5 H b B D T b B d H h D Y d n D 4 T — H H F
 ‘ ¢¢EWVVEW6I‘‚‚UC6¢p‡wIut
’ Y H bB D T bB d H h d H F `B F 5 D Hy ‰ T 4By  
6Q8„GVV„WQpuQI8EI–G™EI¢QXXpI¢T
iyy T R P H YB YB Y iy T 2 T H F D F ` R 5 F Dy T t Y 2 5B D T 7B — 5 d   T H bB D T bB d H h D Y d n 2 5 t H d H F t H D T d D 2 H 4 2 5
EE¢USQ€X€X‚xE¢UVIW98p8IG„¢SQp8XWVdE˜c‚II¢f8„GVV„WQpŠ‚‚U#¢p¢‚QI˜¢WVGWS6QI¢Q4
yXECwr’ — U¢Q¢EWVVEW6I™6GV#X˜gWpI¢¢GVWQ†8…QpQW6h„I3–G„IUQ¢E8ŽvX6•@ cIF
yB @ H ™
þ q 5 Y H bB D T bB d H h Y H D T 7B — 5 d   T d 5 D T d H  5 H 4 2 H d H gB h r H DB 2 n 2 H bB ` T yy H
@ 5
•
HpX9¢p‡uG€‚6WQWoX‹Vf‚8•6‚QIW”Xv£€6Q†…ISQ¢gŠCIG”Ed$‚QICot ‘ þ W8•uIW9E‘‚¢T
2B 7 T — H 5 D D Y H d H D 2B q 5 H d 5q H d H F D YB D1 ’ d H ‰ 7 R 2 H b T @ H F D YB – H d H F @ •
7 d 5q H F D 2B H d

F 4B F @ t Y D 2 H 2 5  7 5 4 d HB d R 5 ¤ Y DB 5 D 2B h H Y 5  7 5 4 H h H ‰ 2 T 4 2 5B D 4 2 Rq 4B h 5B d H  i d T d DB ‰ d T 2
ƒXpC8QGo6I8†#86v6XWp8U”G„GoX‘6W8†98Q6Ius‘Vg‘8EG6pI•€EIxXW6sa‚VGG„IWV–™i

r e j | r p y w ã |g j | y 
U7s{zD†7uõ”|

e j i eg j | tgã y y
¡…k†7v†£×T

™— t—
sÉ6–

Ú Ò Ú ê ’ É Ó É Í × Í Í Ì Í Ì Ò Í è × Ñ Ð Ð
fxˆ‚“f™óCfˆóˆÔCmÓ€«S‘xÎ

h
¥
{
…i
s u
ž §›
›
{ z y s w u Ô « Ñ   › ž ­ § e « ž § ¢ ­ ® ž ¢ § › Ô Ô ¯ ž § ¬ ­ › ¨ § t s ¢ ° « § ¢ ›y ® ~} rq“ § |Ô 5« § Š¢Ñ ¦ § Ÿ ¢ Ò ­ ¤® d¢†ª “¢ ­ †Ñ ÉÔ Ô Ô ¯ ¢ © ¤§ q § b   ¬
Gi gCExvs™¦¤Š¢qd¬A¤qGÚd©£“A‘‚dª¤“£kÉx“d©¤F¦q“xfn¦¤¥˜z­ £v¦pQ¤vs¢ ¥F“S£d­“qA£‘'%ªk¤)¦5Éx¤ˆ£X¤¬¨ pp A­
« ž ­ Ô ¬ ª ž
« © ›
ç h $’ ¥
ovdpzæ



ç ß î – ¥ 2B ‹ ø ß î
s…ëofEWY „ “‘‘U–   EWY “‘‘UjX‚˜ˆƒ˜  
2B ‹ ø ß î – 2B Y 4 ‹æ

ß
  ‘…ën86x4  æ   vä  ù ‘î
ç ß î – ¥ Y 5
s…Upë8Q4 „
ø ß î
……U–   8Q4
Y 5
ø ß î – Y 5 4
ø
¦

ø

h –
v6˜
ä

YB d H ‰ 7 R 2 H b T @ h H nB h 5 7 ` 2B h 2 5  Y H d d 5 4 H F
XfQ†…ISQ¢c•ŽQIEIx#–IEII8†W6W‚8QwIut


û € í Ý
Ôç „ ¥xÆø „ Wx•æ „
üí Ý



ø
›ç ¥xÆø
€í Ý

ß
 Wxšæ   ›f¥˜¬h5Wxš‡4  jxGä  ù …î
üí Ý
ø ç4 € í Ý ø 4 üí Ýæ
ø í Ý
¦

ä íç (
ŠzsÝ 7  ˆæ
h 2
I¢T

„

û € í Ý
3ç Ax)6

ß
„ ‚˜•æ „ “›ç  ¥x)6  Wxšæ  ~›fAxÅ‚5‚˜•Q¡¸ù …î
üí Ý ‹ ø
€í Ý
üí Ý ‹ ø ç4 € í Ý 6 4 üí Ýæ 4 ‹

ä íç (
ušsÝ  “æ

”

¦

2 H F D t ¥ ø ê 5 D ¥ 6 ê 7 5 dq ` 2B h 2 H D — H Y H 7 H F 4 Y 5 D D Y H d H D 2B d R 5 D 4B d D Y H
6IGI˜©wW‘¬½Ï8‚•9pXII6Gx‡fQ9QIƒ‚–GC‚6WQWoXuI8‘‡XWW‚6Wd
H @ q
vv£1 … Q¢GVWQ†8…X‚G‡#9x‚ŽuXwzç 7  “©I¢8GVWQ†8wEWW69#x‚EGo¢A¢Eašç  “†W6IC@
’ d 5 D T d H  5 4B d D H 7 7 i Y T YB í (æ h 2 T d 5 D T d H  5 4B d D H 7 7 i YB D 2 T 2 T YB í (æ H d H F

”

í (æ ø í (
zç 7  “ÿ”zç  “æ

ä í (
Cšç  ˆæ

”

7 d 5q H F D 2B 2 H D DB d @ H ‰ 2 T 4 Y d 5 D T d H  5 H 4 2 H d H gB hr H DB 2 n ty T d H 2 H ` 2
W¢•upGeXQWW„WCs‰¢QuW8WVG6s8u6IQ‚QsEI£‡G„IUpz¢G6IQ¢†31
l t H ŒB Y 2 H bB ` T q 5 F Y H 7 T 2B Hy ‰ TyB T b
’
j l …ë– m¡ ¢6X‚†68E¢–v¢‰W6#‘‰XfXI¢XX¢VgT
ß î
H ` 2 T d d H ‰ 7 R 2 H b T @ H dB D 2 H H F D d 5q h H by 5 Y H d YB 2 5B D Ry 5 Y H F D q 5 D 2 H 2 5  7 5 4 d H ‰ 7 R 2 H b T
¢I¢Gu6s…px68g•wWEGoQ…pGf¢•k68„8W6W™E8EGpE8W…pGj¢o6I8†#86uQ†…ISQ¢c•@
2 H bB ` T F 4B F @ F DB @ i 4 T d R 4 4 T H F D Y H hB b 5 d  d H ‰ 7 R 2 H b T @ h H nB h 5 7 H F D d 5q 2 5B Y Y H d  —
68E¢¬ƒXIC)WECr‡¢GpQQVeIG…6IXxcWp96swISQ8g•rQIEIx#dIGw¢•¬¢XW‚Q‚I˜‡H
’ Y H 7 H F 4 Y Y R 5B d T b d 5q d H ‰ 7 R 2 H b T @ h H nB h 5
6Q9QIƒ‚uI8X‚¢VŠ8•f6swISQ8g•eQU„I˜‰

Û ’ ¥ H d R `B
I— ˜uWI8Ev¤

κ∆ x
0
0

0.5

1

1.5

0.5

2

2.5

3

2 Central
nd

1

4 Central
th

1.5

4 Pade
th

κ*∆ x

2
2.5
3

Ú Ó × Ò Ë É ÙÒ Ø × Í Ê Ê É Ì Ç Ó Ì Í Ì Ñ ÑÒ ÖÕ Ì Ë Ò ÓÒ Ñ Ð Î Í Ì Ë Ê É È
u‡§™†fjˆˆ«”w€‘ˆ””Ԑz€mQ‘Ôv«Sψm™‘”Ç

¡ —
› ¨ § c ¬ž § ­ ÒŸ ­ ¥ ›   ¬
‘“udd“A‘Õ¦¥£q‘¦­

° š ¬ž Ñž ¨
Sds§ ¸q“©
—–”•6’42VQÐ
“ ‘ 
‹ ‰ c ž§§ Ÿ ¯ e   Ÿ   ¬ ­ ¨ ›¢ Ž Œ ‹ ‰u © ­ ¨ª Ò© © Ô¢ ›§ § ­ ¨§ ›§ Í
¦0dd¬““†d›½x‰sd›a‘¦‘¤A­ ™ xz Ð ¦ŠS¦Ï˜‘“U¤£¤¥‘¤“¦« sˆ
‹v˜™Œ

ß
‘î  
… h i˜fˆ‰… ¢ …ëfEWY ˜fˆä Þ … 
– ‹˜ 6 ä
‹˜ 6
ß î – 2B

Û ç Þæ … d 5q h H 2B T D ‰ 5 YB  ã
–‚•”f¢•6IXVƒp8uE©“
` 2B @ 5yy 5q H F D t 7 d H D y TB D T  Y H F D 5 D h HBy   T H d T Y H 4 2 H d H gB h h H d H D 2 H 4 d H h d 5 r h 2 5 4 H Y q
IXCcEX8•uIGU‰W6Gh¢XGVIWwIG9GeQEXIIVw‚¢™6QI6W6h„IeQ‚QGo6Q‘QI‚83˜p8Q6Wj£1

¤  ¡€ 
”

¢

—•

þ æ … ä çÞà ßæ
sç ¡ ”†j‚W˜|vÝ

Y T 2 5B D Ry 5 Y D 4 T — H H F D Y H bB
V8XWpX8‚™‡¢p‡uIWC68„8` ¡ “ ˜ë†jëGoE9pXG˜GEW‚IpWI¢u‚•vf8•…IXx„8˜”
’ ¥ ’ P  5 D 2B ` 2B D R DB D Y ‰ R Y h 2 T ç Þæ … d 5q ` 2B by 5

… – ‹˜ 6
£i˜f¼ä
ç ¡ “ pzæ
’ ¥



‘•

Þ



…


 ã “ H F D Y H n YB D T Y ç Þæ … H d H F
aIWC6U‚EGVW•‚•”‡W6IC@

þçÞæ … ä çÞà ßæ
s‚|”†j‚W˜|vÝ

YB – d H ‰ 7 R 2 H b T @ F DB @ 2 5B D 4 2 Rq 4B 2 5 7 d T F T i ‰ h H D TB DB 2
E†„6swISQ8g•eGECe8EG‡II•™EI89W¢U‘‰oŽ6GVXGEpXB
2 5B D Ry 5 Y T D T F
¢XG˜X8‚–VUWD   p¥ ’   8XW6QxÄ¢W•ˆX¢QQC’ ‚GD $6 8‚•eIXIpQGx–rXVd8p¬85
’
2 5B D 4 H ” 7 5 dq yy T 4 H ƒ
 5  7 5 dq ` 2B h 2 H D — H 2B T 7 5 h T 2
ß 
Þ 
¡ ä
‹
“ø
Ý 
Ý 
7d 5
‚8•q
H F D 2B 2 5B D T R P H 2 5B D 4 H b 2 5 4 d T H 2By H F D 2B T ` T H 4 2 5 d H hB Y 2 5  ’ 2 5B D T D H d  d H D 2B y T 4B Y i F 
pGE8EGVUS6e8XW6Q¢o8Q‘¢gpXXaIGXVo¢‘6I8™6IX‚I8•™‹8EGVG6WpWQWoX§¢gEWxoIdT
2 H bB ` H ‰ 2 T 4 Y d 5 d d H H F D t 2 5B D T R P H 2 5B D 4 H b 2 5 4 d T H 2By H F D q 5 D — H D 2 5 4 H F D 21 ’ Y 2 5B D T 7
68E¢#†r¢Qa‚8W‚Q#IG˜‹8EGVUS6)8XW668o8QVgIEX9IGŠV…x‡WS¢Q9IGA3#6I8XWV#XB
r — 5 d   T H 4 2 H d H gB h ` 2B Y Y H Y Y T d 5q y 5 5 D y Rq H Y R T Y H hB b 5 d  d H ‰ 7 R 2 H b T @ h H nB h 5 7 H F
SgWpI¢–QpQW6h„IeIEWW6W‚¢8•˜8xGvp•6WpduQIExs‚IuQ†…ISQ¢gЉQU„I˜9‘Iut
ß…î‚çs…Uƒ8Q¬ø   æ
ß î – Y 5 4
ß î – 2B Y ˜
‘UfEWor¥
ç



e
…‘•
€

þ
á6


e
…‘•

þ
ˆæ

ß…î
¥
ä



ä h –
•£˜
Y H bB ` F 4B F
68„8†ƒEIC@

e þh –˜ ø h –˜ —
…‘• £€mv6o¬ø  G—•
e
€

þh –
¥£˜

Y H n YB D T Y H 7 H F 4 Y YB F D d 5q d H ‰ 7 R 2 H b T @ h H nB h 5 7 H F
† 6U‚EGVWa9QIƒ‚uXIWŠ8•f6swISQ8g•ŽQU„Ix#wIut
ç4 € í Ý 6 4 üí Ý
f¥˜Å‚5‚xšæ

ß…î
¥

ä 4 üíç (æ ø íç (æ — ø 4 € íç (
”5WšhÝ  “ÿjz†Ý  “UÆ‹Aš†Ý  ˆæ

i ‰ 2 H b B ` Y B H 7 H F 4 Y `H h T Ü d H h d 5 r F D d R 5
oQ8„8CXu9QIƒ‚a¡VvCQpW8£˜GfI8•q
H F t ’ d 5 d d H iy H dB D 2 H ` 2B H ‰ D 2 H 2 5  7 5 4 i d T 2B ` T 7B H F D F DB @ t — Hy  7 5 4 YB d H ‰ 7 R 2 H b T
Iu¬68W‚QÅ„QWEGoQkIEQ†9S6I8†#¢QA‚¢IX8¢#XIWÆWECjs‡EI#¢Q–X#Q†…ISQ¢c•@
h H nB h 5 7 H F D t D 2 H 2 5  7 5 4 4B d D H 7 7 i Y T Y H h Ry 4 2B d 5 D T d H  5 H F D 2 H F ™ ’y T H d iy H d R  YB d H
6UEp˜9™IWxQoQI8†98Q‘X‚G699˜fa•QIIEQIEv¢GVWQ†8™IWŽQIª§Ÿ¢QW9E6WIpvE•Q†‰
r 7 R 2 H b T @ h H nB h 5 7 H F D t ç h H d H D 2 H 4æ 4B d D H 7 7 i YB D 2 T YB d 5 D T d H  5 H 4 2 H d H gB hr H DB 2 n H F D 2 H F
‘ISQ¢c•™6UEIx9jIGl‡ë6WQWoQQ•uEWG‡#9x‚EGo¢›E‹8GlGQ†8j6IQ‚QsEI£‡G„IU”IWw6Iª™
Ú Ò Ú ê ’ É Ó É Í × Í Í Ì Í Ì Ò Í è × Ñ Ð Ð
fxˆ‚“f™óCfˆóˆÔCmÓ€«S‘xÎ

¦
I—
’ h H dB R P H d H d T Y d 5 D T d H  5 i d T h 2 R 5
hQWEISQ‚w‚¢CW¢GVWQ†8e‚VUII8†‰
y TB 4 H  Y 5 2 t Y 2 5B DB h 2 5 4 i d T h 2 R 5 ‰ 4B h 5B d H  q 5 H Y T 4 H F D 2 1 ’ 2 5B Y R gB h h 2 T 2 5B D 4 H b 2 5 4 d 5
¢ƒ6Q†WdpUQI8EG„II86‚¢UpI8†XIxX‚Q†”¢aW¢QaIW†3€‹8EWIsEI†I¢e¢XG‡Q¢S¢QC8•q
Y 2 5B D T R P H y H h 5 7 d R 5 d 5q h H h H H 2 Y d 5 D T d H  5 i d T h 2 R 5 ‰ H F D d H hB Y 2 5 4 H @ t 2 5B D 4 H Y YB F D 2
p8XWVUSQ§QIx9™I8‘8•eQpQQp™W¢GVWQ†8f¢UIp8saIGfQIEWI86…vs‹8EG‡QWfXIW31
’QQEW¢III8†dIWal…VIGrIVE¢#8IdpGŠ¢u8EW6GoX#IGAXk8XWV#X˜gWIIVŽQpQW6h„Ih
Y HB d T h 2 R 5 ‰ H F D D T D T F D h 2 T 2B T 7 5 h H F D q 5 d 5B d H D 2B H F D 2B 2 5B D T 7B — 5 d   T H 4 2 H d H gB
H F D F D 5 ‰ Y H D T d 5  d 5 4 2B d 5 D T d H  5 H 4 2 H d H gB h —B d D T 7 T
pGªG¢†eQWVG8†W¢QIEŽ8GlGQ†8kQpQW6h„I«„WWV#¬™t   p¥ ˜ÿ¢XG‡Q˜ÿEB Q‚WI6WEI™i
’ ’ ¥ 2 5B D 4 H ” 2 h H Y Y R 4 YB h Y
² ± ¹ À ´ · ¶ î
6€weeëÃ

¤ »
‡w´

² À Ã » ´ À ± C
ˆ9”aj…”

± Á ¶ ± À ± ¿
CejÅ6¹

½

¢®
£­

’   88A8XW66˜†X6W‚IQ‚XICQpG‚p•ŠXCXIum¢IpGEEI9¢‰XB
’ ¦ ¦ 2 5B D 4 H ” 2B h H Y Y R 4 YB h d H F D d Rq YB YB F t ’ H h R DBy  7 T 2
d 5 d d H H F D 2 5B D d 5  4B d D H 7 7 i Y H F D h 2 T h H H  Y 2B d 5 d d H H F D Y H 2B 7 d H D H h d 5 D T d H  5 H 4 2 H d H gB
¢WW6CIG…8EGf8s•XWW69#xf‘pG‘I¢dQQ†W–Ej8W‚QCIG”6IX9W6G‡Ij8GlGQ†8CQpQW6h„Ih
y TB D T  Y H F D q 5 2 5B D d 5  4B d D H 7 7 i YB D 2 T H F D Y R F t ’ 2 5B D Ry 5 Y H F D q 5 H h R DBy  7 T H F D 2B d 5 d d
¢ƒWVU‚IG›Vd8EG‚¢s‘X‚G699˜fXWSVIWŠISuv‹8EGpE8W™IG›¢CIpGEEI9¢IWdXv8W‚QH
2 T 5 D Y h T Hy D d T  i d T 2B ` T 7B H F D HyB F @ t h H H  Y 2 5B D T ` T  5 d  H F D 2B d 5 d d 2 T 5 D Y h T H
¢)G#p¢gEe‚¢IÅ‚¢IX8¢#XIGXEIC‘hQQ†W©8XWVo¢I8WIIG«Ed8‚W6H ¢ÅG9I¢QXy
d H ‰ 7 R 2 H b T @ h H nB h 5 7 H F D q 5 D d T  y T H d H F D D T F D H H Y H @ t ¦ ’ ¥ ’ P  q 5 7 d 5q H F
Q†…IS68gŠŽ6UEp˜9IG§¢Cf¢U‹¢QWIWuVUWu6Wuv˜8p“ pëëj8¢§‚8•IGD 8WU¤
7 5d
’y H b Hy d 5 d d H H 7 T
ŸQ¢6E‘¢WW6#VGY
H F D H b HB F 4 T 5 D iy H bB D 4 H  Y H
pG86EIƒ¢kW)E68EW66s‚QWd ŸŸ ¡ ªIVqeWEISQW9QIƒ‚¨¢v–6IW¢3˜W‚I8•ŽpGD
  
¦ h 2 T $ ¦ H d B R P H d H 7 H F 4 Y `H h T Ü d H h d 5 r F D d R 5 q H F
h 2 T H 7 H F 4 Y h H d H D 2 H 4 d H h d 5r F D d R 5q D 2B 5 r $ H F t ’ D 2 H 4 d H  ¦
IV‘#6IƒWk6WQWoQQfQI‚83xG‚p8•CSE8†3sÓpugoQ6W6s…„’ ¡ VUG‘WQEˆ¢eQ6s‚…WVUI
2 T F D Y Y Hy q 5 h H H  Y H Y T F
2B d 5 d d 2 T H 4 R h 5 d  5
Ed8‚W6H ¢eQpI˜‚IrWD
  
‡0 ¡ ôQWEISQ‚e#6IƒW6IQ‚QsEIª6WQWoQQdQI‚83˜p8Q6WY
c Y H dB R P H d H 7 H F 4 Y H 4 2 H d H gB h h H d H D 2 H 4 d H h d 5r h 2 5 4 H
H F D t Hy  7 T — H d 5 ¤ ’y H b Hy h H nB 4 H  Y T @ 5y H ‰ Y d 5 d d H H 4 R h 5 d  5 D h H dB R P H
pGˆ¢Xp#¢p–‘8UÅŸ686E©6UE6Q†WeµcEQ†‘W8‚WQ6IIxWIAGÅQ‚XIS6Wd
    H FD q
‡0¡IG‘¢5
Y 7 d H D 2B h H Y Y H d  — H H ‰ 2 T 4 H 7 H F 4 Y T q 5 i 4 2 HB 4 ¨ H ` 2B by 5 Y H d H F t ’ ß î – r
9W6G)E«Q‚W6WI˜‡ds¬¢Q‰9QpƒW‘¢Å‡IQEQ96epXxE8‚Q‚eIu˜…Uo‚   oÅQ8„8`
i ‰ 2 H bB
YB H by 5 Y H d YB H b T @ 2 H bB ` T F 4B F @ i ‰
E)hQ¢E8‚Q‚aEe8gŠQ8„8†¬ƒEICkoç ŸŸž|¢x‡X‡¢r€#‡Uu|U|lU•¢w6swISŽIut
   æ ‚x … „ }  } 1  è € } œ žx „y ‡ œ q 5 d H ‰ 7 R 2 H F
’ iy Y 5B b H d h H d H hB Y 2 5 4 Y H 7 H F 4 Y H F D d 5q h H H  Y H Y T F  y T 4B d H 7 R 2 H F D Y @ 5 F Y $’ ¥ H d R `B
8E‚IR8E˜‡WI–6WQpXWp8Q€Q9QIƒ‚uIGm8•‘QQ†WC‚¢UI˜¢gEWQ9ISuIWˆCcI‚™%˜uWI¢Xv¤
’ 7 d 5q y T 2B `B d
‰W8•ë¢UE8X‚85
Y DB Y Y 5y iy T R D H b H Y 2 H 2 5  7 5 4 d H ‰ 7 R 2 H b T @ D 2 H d H gB h i 2 T 7 q 5 ` 2B D YB Y 2 5 4 7 d 5q H b T
WEuQH‚8XA„Xy¢UWo2Q8‡aWDoQI8†98Q…6swISQ8g•ao6WQsEpeo¢dŠ¢†pXGfX‚I8Q¡‚8•6¢c•@
T t Dy R H d T
uQEI‚YQ‚rŽYfÿ’V8E‚W6Hs‚XII¢5I#EψC¢UX¢XW¢IWÆ8p8IG„¢u‹¢XW‚Q†WEId6QIIxWWoXB
i
H bB Y d  YB h 2 2 YB  ã Ü y T 2B `B d 5 H F D F ` R 5 F Dy T t 2 5B Y d H  YB h Y H 4 R h 5 d D 2
2 5B D T 7 — 5 d  T y T B d H 7 2 H F t d ‰ 7 R 2 H b T @ H F D q 5 2 5B D 4 2 Rq T Y
8XWVdEB˜c‚II¢”¢g4EWQ9IRS‘IWDmQ6HswISQ8g•‘IG€¢e8EG6pI•ŽuXB h ë6IX˜‘8ECcEWexGD
‹ H 4 2B ” ’ iy @ 5y Y 5 5
Y6GV8¢U85‚I«85EGpE85W‘¢QXWd6#px2eHpGDŠ¢EI9¢p‡dEIG98•¦ l r h fQIE˜” ¢EE¢gEWQ9IS2
H D T ` T  d  2 B D Ry Y y T 4B H 7 R
F t Hy  7 T — H YB F D d 5q
‹ ‹ H 4 2B ’ iyy T 4B d H 7 R
h D T ` T  5  YB 5B D 4 Rq 4B 2 7 d T
6HGVoVU8Wdp›X28EG6p2I•vXp85#‚¢UFuTaFƒXBIC›VaQ6s‚ˆIG‹Ea6Q†W€W¢Up¢¢QXW6#px€Iut
4 F @ D T h H H  Y H F D YB h H H  Y H Y T F  y T 4B d H 7 R 2 H F
ß î
…U–
‹
ä
h‹
ß î – 2B
…U“EWY
t Hy  7 T — H H b 5 ‰ T H F D d 5
¢EI#VI–u8csVapGŠ8U¤

–
h –

ä

h

‹
‹

i ‰ d H ‰ 7 R 2 H b T
ofQ†…ISQ¢c•@
h H nB h 5 7 H F D 5 D h H D Ty H d YB F 4B F @ t h H H  Y H Y T F  ç h H nB h 5 7 d 5æ y T 4B d H 7 R 2 H F D Y
6UEp˜9™IWwG#QGlƒQ‚vEeƒXIC˜‹Q6s‚W¢IIˆUQU„I˜9€8šv¢gEW6#ISfIG€XB h W6IC@
‹ HdH F
ç ¦ ’ ¥
sp“ pzæ

¤  œ¡€ 
›”

r — 5 d   T y TB D T  Y H F
SgWpI¢ë¢XGVU‚CIGD

¢

‘•

þ æ … ä ç Þ à ß y T 4B d H 7 R
£ç ¡ ”k€‚‚˜•æ ¢QXW6#px2 Ý

2B T D ‰ 5 H @
E¢ƒ˜8u•pt ¡ “ ˜sëjëGoX–IEGpWEW‚II‚I¢ŠpEI¢Ž8XWV#XB
’ ¥ ’ P  5 D 2B ` 2B D R DB D Y ‰ R Y h 2 T ç iy 2 5 2 5B D T 7
7 5 dq d 5 d d H H F D ` 2B d H hB Y 2 5 4 H d T H @ H 4 2B Yæ iy D 4 T — H  ã “ YB F D ` 2B by 5
¢W•j8W‚Q‘IGIEW6IX‚I8QC‚¢vuQIEWš†„G‡¢p‡vXpGIXx„8˜”

Ú Ó × Ò Ë É ÙÒ Ø × Í Ê Ê É Ì Ç Ó Ì Í Ì Ñ ÑÒ ÖÕ Ì Ë Ò ÓÒ Ñ Ð Î Í Ì Ë Ê É È
u‡§™†fjˆˆ«”w€‘ˆ””Ԑz€mQ‘Ôv«Sψm™‘”Ç

  —
ç — ’ ¥
S¢“ pzæ

¹

’
’’
¡

··

´´µ
³´´

¡

ä Ý
·· ¶ !‘6

ß…î  
¦
w6

ä y AŒ t
º²
à

··

¹ ’’’
¦

·· ¶

¦

¡
¦

¦w6
¡

´´µ
³´´

¦
w6
¡

ß…î  
¦
w6
ä

»
F DB
WEC@

y ¦Œ t
º²

ç ¥ ’ ¥
o8“ pzæ

ø ²Ý
‘D»

ä ²Ý
£ (

2B T D ‰ 5 H @ Y H 4 2 H d H gB h h H d H D 2 H 4 d H h d 5r h 2 5 4 H Y F DB @ t Hy  7 T — H d 5 ¤ ’ i d T h 2 R 5 ‰ YB F D d 5
X¢Gp8w•CQ6IQ‚QsEI†QW6GoQ6f6IW¢3˜I¢QQ‚GEC˜¢Xp#¢p–u8Uv¢‚¢III8†uXIWŠ8•q
h H dB R P H d YB D 2 H 7 D T H d D y TB 4 H  Y 5 2 2 H F D t 4 € í Ý h 2 5 i H ‰ h 2 H D — H D 5 2 Y H 5 h 2 5B D T 7B — 5 d  
Q‚XIS6WwX…o6#WVg‚Gˆ¢ƒ6Q†WIrQIWvƒ¥˜¬I¢86†ÅI6Gx‡w¢Iw6˜p8EGV#X˜gWpI¢T
H 4 2 H d H gB h d 5B d H D 2B H F D Y T ` 2 5y Y T D T F D d T Hy 4 YB D1 ’ i d T h 2 R 5 ‰ @ 5 q 2B H F D D Y d n d H hB Y 2 5
6IQ‚QsEI§8X‚QWSEŠIWv¢I¢X”¢”VUWv¢gEQmXj£m8‚VUII8†ÆcUpX•IG”fWU”6IX‚I8•
’ h H nB 4 H  Y YB ä Ý h 2
‹6UE6Q†WuXC!‰I¢T

Æ a•Cà
û Å Ý

ç   “ pzæ
’ ¥

‡ ‡
xS‡

à

 C–£Ý Ïe² Ý
Ý à 4 ù ä

YB Y 2 @ 5 2 ÷ 2 R q 5 d 5 D 4 H b H F D Y R F t ’ i d T h 2 R 5
EfICcISIpv¢‘8W6Q¢IGCISuˆ8‚VUII8†‰
@ 5 q D R 5 H F D YB i d T h 2 R 5 ‰ h 2 T Fr D F `B d H F D h 2 T t i d T h 2 R 5 ‰ @ 5 q 2B H F D YB i d T h 2 R 5 ‰ h 2 T
cUWp¢‘IGE‚VUII8†eI¢I3‚o8EW–IWkp¢˜8f¢UII¢såcUpX–IW™X‚¢UpI8†Ap¢UF
r‚|6E‘IGpxW‹¢¢EG„W8†X‹ QQ†W98g•…IG™VUG…9I‚W¢9v…WQ‘q¢‚¢UpI8†‰ cU‚p85
Dq Hy H F D Y R F D ’ H bB DB Y 5  YB
h H H Y H b T @ H F D D T F D H 7 RYY T H @ Hd H € ’ id T h 2 R 5
@ 5 qD R
H F D D T h H nB 4 H  Y YB 2 5B DB h 2 5 4 5 2 HyB F @ t i d T h 2 R 5 ‰ @ 5 q 2B H F D D T 2 H bB ` YB 2 5B DB h 2 5 4 i d
pGVAQIEQ6s‚X8XWEII¢QeIaXXpC‹8‚VUII8†cUpX‘pGVA68E¢X†8XWEII¢Qf¢T
rxII8†j6EIƒX‚XapVW¢Q€6G‚Vƒ‘IG93j¢†x3«cUW˜83ŠcUpE›¢ˆ8uEI˜EW6sˆQpGE6f†dVg4
h 2 R 5 ‰ D Hy F 4B dB ã T t H Y T 4 d H D D Ty H F D 21 ’ H  iD @ 5 q D R 5r @ 5 q 2B q 5 d 5 4B h 5B d H  d H F DB H H ‰ 2 T
2 5B D T R P H 2 5B D 4 H b 2 5 4 d T H 2By H F D d 5q Y 2 5B DB h 2 5 4 i d T h 2 R 5 ‰ H F D t
8EGVIx68EG668o86‘VgIEXwpGC8•‘p8XWEII¢Q‚VUII8†wpGëp¥ ’   8EG66˜eW#IEW‚Q•6Cƒ
2 5B D 4 H ” 5 D ` 2B d d Hq H

i eg j | â ¬ « i eg j t p © i
h£7uX­k†Ú‚hªke 2susë‚ugö
à r | p ig ! p u
’ Y H 7 H F 4 Y Y R 5B d T b d 5q h H H  Y H Y T F  y T 4B d H 7 R
6Q9QIƒ‚uI8EW¢VŠ8•‰QQ†WwWVUIhVgX‚Q9Ifò

™— ¨—
s–

Û $’ ¥ H d R `B
x%pu‚I8Ev¤

κ ∆x
0
0

0.5

1

1.5

2

2.5

3

0.2

4 Pade

0.4

th

4 Central

0.6

a*
_
a

0.8

th

2 Central
nd

1
1.2

Ú Ì Ò Í É Ö Ó è × § Ë É Ú Í × Ë É Í Ì Ê × Ì Ç Ó Ì Í Ì Ñ Ñ Ò Ö Ð ¥Ð
€Ô‘™‘fmӏV™efC•™CˆˆCó”…ˆfˆ”vԐ«o¦xÎ

¥
o—
H dB R P H
‚XIS6Wd

’ 2 5B D T 4 nB h 5
‹¢XGlgU„I˜97

q 5 Y @ 5 d 5 @D D Y Ty H F D d 5 D T d H  5 d 5B d H D 2B h H d H D 2 H 4 d H h d 5r F D d R 5q T q 5 H Y T 4 H F D 2
» VŠCcW‘v3vf¢ƒfIG€8GVWQ†8ˆ8X‚QWSEQW6GoQ6•6IW8£˜GfI8•a›¢WVgIWd31

¹
ç c ’ ¥
o“ pzæ

·

’

¡
’’

´µ
´´
´´
¡

··
··

³´´

¡

ä Ý
·· ¶ •‘6

ß…î  
¦
a6

ä y ¦Œ t
º²

¹
·

¦

 

  6
¡

à ··

··

¦
w6
’’
’
¦

··

·· ¶

¦

¡

¦a6
¡
¦

´µ
´´
´´

ß…î  
¦
w6

´´
³´´

¦
w6
¡

ä

»

F DB @ d 5 D T d H  5 H 4 2 H d H gB h T Y H 4 R h 5 d  YB F
G„CŠ8GVWQ†8uQI6W6h„I9‘6QIIxWp‘EIut
ç 9 ’ ¥
83“ pzæ

ß…î
¦

ç4 € Å Ý 6 Å Ý
‚‡•)Ù•šæ

ä

Å sÝ  “æ
ç (

Û h H Y R H ‰ 2 T 4 Ty R 7 d 5q h d T @ ÷ 4 T ‰ d H h d 5r D Y d n ` 2B @ 5yy 5
hQWpw†¢g…XI…‚8•†‚¢Šoƒ¢I‘6IW¢3‚fWUaIXCcXE8•q
HpGjQ85WVG6Hs¢…8X‚dQWSE–QI‚83˜p8Q6WeÆGEª)hQWp‰†–‚p…ƒp…W8•e6IQ‚QsEIÆW¢•@
F D t d D T d  5 d 5B H D 2B d H h d 5r h 2 5 4 H Y T F DB ™ ’ h H Y R H ‰ D Y R 7 Ty R 7 d 5q H 4 2 H d H gB h h d T
r ÷ T
8ƒ4¢U‰ i€‘2…ˆlT6WIR†u¢Ip¢gIG5WxuQ‚XIS6WƒXICxQ8WVG6s¢a6IQ‚QsEI£˜Q‚QGo6Q4
’
ä ê D h H Y H ‰ D 5 2 2 T 4 t 4 ü í Ý Y H dB R P H d F 4B F @ t d 5 D T d H  5 H 4 2 H d H gB hr h H d H D 2 H
d H h 5r h 5 4 H Y F D Y R t 4 Å Ý D R 5 ‰ T 2 5B D T 7 d 5q 2B 5 2 F DB
6IWd8£˜I286Q‚eHIG…ISFuk’–5ü•…˜8sVr8EGV#W¢•pXeIrGEC@ Dp˜I…VT ß  5Ý  WV#XB
‘ H h 5 2 D
r
HD T 7
r — 5d  T Y R 7
SgWpI¢wD‚I…–Hd‹6UnE6QH†WYuXBk8EGEpI8Q‚¢UpI8††Im8f¢UII¢s‰ sIWp89IWaŠi
™ ’ h H B 4  Y 2 5B DB h 2 5 4 i d T h 2 R 5 ‰ 5 2 t i d T h 2 R 5
@ 5 qD R 5 H FD D
’ H D T d R 4 4 T d H h d 5 r F D d R 5q iyy T ‰ 5y ` YB 2 5B D T 7B — 5 d   T YB F
¢WVGI6Q¢C6IW¢3˜W‚I8•–„X¢U¢X8uEŽ8XWV#X˜gWIIVfEIut
’

ç “ ’ ¥
o8“ pzæ

¹ ’’
´´µ …î   ¦
ß
¡
³´´ w6
¦
ä
•Ý
··
·· ä Ý —
¸¶ !8‘6

¹

ä y ¦Œ t
º²
à

··

’ ’
’

c

¦

c
õ6

¡

¦
a6

··
¸¶

c

¡
  ¦

  6

¦

´´µ

ß…î   ¦
¦
w6

³´´

c
õ6
“
f6

»
ä

F DB @ ¥ ’ ¥ ’ P  q 5 7 d 5
WEC…8“ p††j7¢§‚8•q
H F D Y T F d 5 D T d H  5 H 4 2 H d H gB h ` 2B Dy R Y H d H F t ’ Hy ‰ T D d 5y i T t T ` 2B Y R h H bB d H h iyB Y T H YB F 4B F
pGˆ¢Uˆ8GlGQ†8‘QI6W6h„IuIXWEI‚QW‘Iu”VXIVƒj8XxgmwaIX‚Id68„WQp…EEW¢QˆXdƒEIC@
ç $ ’ ¥
83“ pzæ
ç

ß î
„ Å6  ¢Æh£¢¬•Ý   †æ …8“
Ý
Ý “ ø 4 Ý ¥ 6 ä
6

ä 4 sÝ  ˆæ
ç (

¦

Û ¦ ä ê D T d 5 D Td H 
8‘€lC8GVWQ†85
d H h d 5 r h dB F D ` 2B @ 5yy 5q H F D H Y R 2 T 4 H @ t Y H 4 2 H d H gB h h H d H D 2 H 4 d H h d 5r F D d R 5q F DB @ t Hy  7 T —
QI‚83˜‚XIWaIECcXX¢•IGWp‰Vgu•I6Q6IQ‚QsEI†QW6GoQ6ŠQpW8£˜GfI8•ŽG„Cp¢EI9¢p‡H
d8U…¢9QpƒW™¢XW6GoX‘pGj¢lUGvVUSQ§XXC6¢WIQ6¢vVU8X¢…IGeIV˜¢9QIƒ‚™8EWQWoXB
5 ¤ ’ H 7 H F 4 Y d 5B d H D 2B H F D q 5 D T F D y T R P H yyB @ i 4 T d R 4 4 T y T ‰ 5y ` H F D h 2 T t H 7 H F 4 Y d 5B d H D 2
H F D q 5 D T F D 2 T F D € } è ‡  € } ˆ € ‡ } „ ‡ YB F 4B F @ i 4 T d R 4 4 T q 5 d H h d 5 2 T H b T F 2 T 4 t } { } ‚ 
pG¢9VIG©VUGw‡•lXe‡x‚lehlX©ƒXIC¬‡¢GI6Q¢¢–QI‚8«V8gU©¢g€‡d‡Uƒcž
‡¢o†xl‡5¢WŸ–‡d˜Ud•¢CcIS˜68GlGQ†8#¢ƒI˜v8‡¢GpQQV˜¢•6IW¢fWVƒ‚I8WpI¢pGD
€  ˆ „ ¢ ‡ À    y € } { ¢ „ T Y T 2 @ 5 2 ÷ t d 5 D T d H  5 2 T F 4 R ” ’ i 4 T d R 4 4 T q 5 d H h d 5 H D TBd  5 d   T H F
` 2B b T F HyB F @ t ¦ 6 ê 5 D iy 2 5 Y h 2 H D — H F 4B F @
IExcI‘XXpC§8ÿë#GEI8aII6Gx‡ƒXIC–¦ ™l)Q‚XIS6WuXu8WVG6s8woQ‚QsEIT
ä ê D T h H dB R P H d YB d 5 D T d H  5 D 2 H d H gB h
 € í Ý q 5 H Ry T b T Y H dB R P H d ¦ ä ê D T 2 5B D T 7B — 5 d  
H 4 2 H € ’ 2B T 7 5 h H F D H hB Y D R 5 YB F 4B F @
6IQ‘‹XVd8pwpGIEWG˜8uXƒXpCIt Axm¢IE¢V…f6WEISQWuåw€Ve8EGV#X˜gWpI¢T
H F D 2 H F D t — $’ ¥ ’ P  2 2 H bB ` d 5 D T d H  5 d 5B d H D 2B d H h d 5 r F D d R 5q H F D H Y R H @ qB t d H b H @ 5
pGªQIWCpV%˜uëˆgEB Q¢E8Ž¢GVWQ†8d8EW6GoXŽ6IW¢3˜W‚I8•pGWpAvE™QQ¢6vcf€
Ú Ó × Ò Ë É ÙÒ Ø × Í Ê Ê É Ì Ç Ó Ì Í Ì Ñ ÑÒ ÖÕ Ì Ë Ò ÓÒ Ñ Ð Î Í Ì Ë Ê É È
u‡§™†fjˆˆ«”w€‘ˆ””Ԑz€mQ‘Ôv«Sψm™‘”Ç

—
8—
ç — 9’ ¥
SVdpzæ

— W ß 
4 ü
5Å W ß 
V
iä
V
Ý 
Ý 

YB D T F D t ¦
X‘VUWp8ðø ‘
ä ê D T h H nB 4 H  Y YB
AV¬6UE6Q†WwX©ß  ÚÝ  VUWd#pWWVe•˜‹8EG„II86rf¢UII¢s)p¢dpQfw8U¤
r
D T F D H 7 R Y Y T H @ t 2 5B DB h 2 5 4 i d T h 2 R 5 ‰ 2 2 T 7 R H ò T d 5
’ ’ ¥ ’ P  2
˜9   pëëj‰XB
2 H bB ` d 5 D T d H  5 H 4 2 H d H gB h H F D 5 D ` 2B h T Hy t Y HB d T h 2 R 5 ‰ d T H 2 h H dB R P H d H d T Y 2 5B D T 4 nB h 5 7 5
68E¢§¢GVWQ†8•6IQ‚QsEI€IG‘GuIEI¢gEV6QEW¢UpI8†m¢QI…6WXpx6W€W¢‹I8XWVgIEIx#fI2
ç ¥ 9’ ¥
o¢dpzæ

ç4 € í Ý ø í
fAxÆv˜Ý   85Wxšæ
6 4 üí Ý

 ß…î
¦

ä í sÝ ¥ ˆæ
ç  (

d 5 D T d H  5 d 5B d H D 2B h H d H D 2 H 4 d H h d 5r h 2 5 4 H
8GlGQ†8Š¢XW6GoX†Q‚QGo6Q‘QI‚83˜p8Q6WY
HpGG„ª¢8c†¢AQ‚WI6WXpe8XWVUSQk8EG668o86…IG‘8•‰‚¢UpI8†åcU˜X…IW™¢™QIEXy
F D F DB ™ ’ H b 5 ‰ T h H Y Y R 4 YB h 2 5B D T R P H 2 5B D 4 H b 2 5 4 H F D d 5q i d T h 2 R 5 ‰ @ 5 q 2B H F D Y T Y H 2B
H 7 T Y H F D ` 2 5y T Y h H H 4 5 d  2 5B DB h 2 5 4 i d T h 2 R 5 ‰ D Hy F 4B dB ã T q 5 D 2 H 7 D T H d D H F t ’ Y 2 5B DB h 2 5
9¢WuIGI¢X¢€I6QQxWp…8XWEIp8Q‘f¢UIp8sm6EIƒX‚Xuh¢joQ9GVQWWCpuvQp8XWEII¢Q4
i d T h 2 R 5 ‰ 2 2 T 7 R H ò h 2 T D Hy F 4B dB ã d H hB Y 2 5 4 D Y R 7 H @ 2 5B D T R P H 2 5B Y R gB h H F D ` 2B by 5 Y 2
‚¢III8†I¢#IQ‘I¢•6XpƒXWEuQpXWp8QCfI…vŽ8XWVUSQŽ¢XWph„IIW…IXxE¢We31

i eg j | â ¬ « i eg } â ng l p u
h£7uX­h£¡uÏo2Ùugö

‚— ¨—
o–

’ 9 ’ ¥ ’ P  5 D y T 4B D 2 H hB YB F 4B F
˜“ p†ëjëGh¢QXWS6IXuE†ƒEIC@
ç   dpzæ
9’ ¥

ß
…î
çf4€‡Å•ÝÅ6ÙÅ5Ý•æ
¦
ß‘î  
¦
ä

ç4 € Å Ý 6 4 € Å Ý 6 Å
Ô‡•Å7‡•)Ù•Ý   æ

ä ç4 € Å Ý 6 4 ü Å Ý
¡‚‡•)855•æ

ß‘î  
¦
ä

Å sÝ  “æ
ç (

Y H bB
Q¢E8` ‘
H h 5 2 D T h HBy   T d 5 D T d H  5 H 4 2 H d H gB h h H d H D 2 H 4 d H h d 5 r h 2 5 4 H Y H F D 5 D 2B YB F D ` 2B D R DB D Y ‰ R
p˜IVeQEXIp¢8WVG6s¢‘QI6WQsEp6WQWoQQ6IW¢3˜I¢QQ‚‘IG#GoXEIG#IXWpG„G‚pI˜”
ç ¦ 9’ ¥
s˜dpzæ

4 € Å Ý 6 Å
‡•Å2•Ý   j5•Ý
ä 4 ü Å
Û 4 ü Å Ý 5 D 2 5B D T 7B — 5 d   T d H h d 5 r D Y d n ` 2B @ 5yy 5q H F D Y H bB ` F 4B F
–5•9Wd8EGV#X˜gWIp¢‘QI‚83f‚WIwIXCcEX8•IWC68„8†ƒEIC@

ç ¡ dpzæ
9’ ¥
¡

ä 4 € Å Ý ø Å
”‡•Æð•Ý   85•ÿ”55Ôç 
6 4 ü Å Ý ä 4 ü Å Ý

€

®
€ø

4
€

®

  pfæ
6 ¦

2B T D ‰ 5 H
X¢Gp8w•@   d~GEC˜¢Xp#¢p–Š8U€8ºë°X8EGD
ä  F DB @ t Hy  7 T — H d 5 ¤ ’ ¦ 6  YB 2 5B
r T 7B — 5 d   T H F D q 5 d H h d 5 H F D h 2 T 4 ü í Ý ä í Ý ® i ‰ h H 2 n H h d 5 D T d H  5 DqB F Y H F D Y ® H d H F
l#X˜gWIIVIG›V•QpW8pGdIV€5WxðŠ˜w¯oQpU6I€8WVG6s8•|EI‚IW€EB „W6IC@
ç h ’ ¥
o“ pzæ
¡

ä 4 ü Å
”5•Ý ç

Ü €
4

® 6 ¦
Vpfæ

Û hB d ` h H 4 T  YB R P H 2 T 2 5 d H h d 5 i d T d DB ‰ d T 5 D T D T
hXW¢Q6¢U‚XISQ‰¢‰8CQpW8d‚¢WGEpW¢9G…GVUh
d8X‚QGoEvIWó8W•uQWVƒ¢s¢WGx‡vs‘Gh5•§CcEX¢Cƒp…W8•ŠpXCcXE8•vIu˜‹¢XGlƒ8†¢GWx‡H
5B d H D 2B H F D 7 5 dq h H D Ty 5  T d D — H H ‰ 5 D 4 ü Å Ý Y @ 5yy T Ty R 7 d 5q ` 2B @ 5yy 5q H F t ’ 2 5B D Ty 5  T d D —
H 4 T  Y q 5 Y 7 d H D 2B YB Y H 7 H F 4 Y i d T h 2 R 5 ‰ q 5 D 2 H 7  5y H b H h H F D 5 D F 4 T 5 d   T d H F D 5 2
6¢UWv¢9W6GX™XwQ9QIƒ‚‚VUII8†v¢wS6#p8X686p‘IGeGeƒ¢8WIIVa6IGVI™i
Ú Ì Ò Í É Ö Ó è × § Ë É Ú Í × Ë É Í Ì Ê × Ì Ç Ó Ì Í Ì Ñ Ñ Ò Ö Ð ¥Ð
€Ô‘™‘fmӏV™efC•™CˆˆCó”…ˆfˆ”vԐ«o¦xÎ

$
—
ç c 9’ ¥
ovdpzæ

ç „ …zd“ø
ß îæ ’

ʤ45üÅ W ß 
V ß
ð…î  
Ý 

ø 4 € Å Ý 6 Å Ý
‹‡•)Ù•8—

È ¥
¦

ä 4 ü Å
j5•Ý
Y H bB ` 4 ü Å Ý d 5q ` 2B by 5
Q8„8v5•u8•…IXx„8˜”

ç 9 9’ ¥
8dpzæ

ç  …zŽ~›‚5•¢©ª•8Å8‡•šæ
ß îæ ’ ø ç4 ü Å Ý ¥ ø Å Ý — 6 4 € Å Ý

ß…î  
¦
ä

45üÅ W ß 
V
Ý 

Û ¦
8ªø ‡IxICV6XEII¢8EGV#X˜gWpI¢aQI6WQsEp3˜‚¢Šoƒ¢If6IW8£˜I86Q‚–‘6IX‚I8•
‘ H h 5 2 D T h HBy   T 2 5B D T 7B — 5 d   T H 4 2 H d H gB hr h d T @ ÷ 4 T ‰ d H h d 5r h 2 5 4 H Y T d H hB Y 2 5
’pgIE8EGVX8sVGGx–#6¢UW‘pGIX‚IŽ¢dp§†jTE8GVWQ†8–IGeE¢ƒp¢eWXVr¢Q–r™
T H hB 2 5B D Ty 5  T d D — H H 4 T  Y H F D ` 2B Y R “ 9’ ¥ ’ P  2B d 5 D T d H  5 H F D 2B T D ‰ 5 5 Yy T 2 T 4 H
’ H 7 H F 4 Y d 5B d H D 2B H F D 2 T F D d H @ 5y d H h d 5 H 2 5 H ‰ 2 T 4 F 4B F
¢9QIƒ‚Š8EWQWoXuIG¢UWuQvsEuQI‚8uI8u††¢Q†ƒEIC@
iy Y R 5B b H d  h H ‰B d 4 Y H h Y H 7 H F 4 Y i d T h 2 R 5 ‰ y T 4B d H 7 R 2 H F D F DB @ Y D Y T d D 2 5 4 YB F t ’ 2 5B D Ty R
E‚I8Xx‡WI†Q†XW6W6If6#6IƒWŽ‚¢UpI8†‹¢gEW6#ISuIWWECCGf¢GWS¢QCXIum‹8EGVXI…7
rf8•uGVWIQ6¢fQI‚83˜p8Q6W9EE¢U8E89‰E¢ƒp¢#W†f¢G‚QQ6ICXuEIGph8XWEII¢Q‚VUII8†‰
d 5q H D T d R 4 4 T d H h d 5r h 2 5 4 H Y iyy T ‰ 5y ` T 2B T D ‰ 5 5 D i d T Y Y H 4 H 2 YB YB F D t 2 5B DB h 2 5 4 i d T h 2 R 5
2 2 T 7 R H ò T 5 D 2 5B D T 7B — 5 d   T y T 4B d H 7 R 2 T q 5 H Y T 4 H F D 21 ’ H D T d R 4 4 T d H h d 5r h 2 5 4 H Y Y
IVdI6fGk8XWVdE˜c‚II¢v¢QXW6#px†‘¢ŽWVgŽIW)3¢WVGpQQV‘QI‚83xI8Q6WaXB
d 5 D T d H  5 YB F D D T F D H 4B D 5 ò ’ ’ ¥ ’ P  2B 2 H bB ` d 5 D T d H  5 H 4 2 H d H gB h H F D Y H 4 R h 5 d  F 4B F
8GVWQ†8XpGVIGw6XGVfaph   p›ëjTXkQ¢E8¢GVWQ†8‘QI6W6h„I‘IG6QIIxWpAƒEIC@
ç “ 9’ ¥
o¢dpzæ

45üÅ W ß 
V
Ý 

ß‘¢¥
î
 

ø ç Å
›…•Ý   ‚‡•Ý   æ
6 4 € Å

 ß…8¥
î
¦

Å sÝ ¥ ˆæ
ç  (
ä

Û d 5 D T d H  5 ` 2B @ 5yy 5q H F D 2B T D ‰ 5 H @ t º h 2 T t Œ t ‹ d 5q ` 2B by 5
Q8WVG6s¢…IXCcEX8•IWŽX¢Gp8w•ps˜I¢ëc!Up8•…IXx„8˜”
’ 2 5B DB h 2 5 4 i d T h 2 R 5 ‰ 2 2 T 7 R H ò d 5q Hy ‰ T D d 5y i T t ’ ’ ¥ Hy ‰ T
‹¢XG„II86e‚VUII8†‰I¢#IQ‘C8•XIVƒŠ8E˜gmjI— puXIVvt

Ý Y sÔxkº
ç ¦æ Y
4 „
…
…ç ¦ræ Y
4 Y sW|x‡‹
4

4



4 hsÔxkº
Y ç ¦æ Y
4

ç ¦ ræ Y
4 Y  sƒƒx‡‹

Y  sfokº
ç ¦æ Y

Ý Y „ sW|x½‹
ç ¦ræ Y

í y ü w ü uu t
Y … …î
ß

¦

í y û w û uu t
Y „ …î
ß

ù
×ä

í y ú w ú uu t
Y  …î
ß

45ü‚í W ß 
V
Ý 

ß
‘î

u

º
Œ

4 Y ç ¦ ræ Y
4 hsG|S{‹
í y xuu t
w
Y ß
…î

45Wí y ¥u t ÉaY ‘î
ü w Y º ß
í Ý Y
xckŒ
4 €í Ý Y
¥˜Q{‹
í y ú w ú ut Y  ‘î
ß
u
‹

í
xÝ

 ß…î
¦

ø ç í Ý Œ ø 4 € í Ý ‹
›‡˜ƒ~›¥xSˆæ

º

ø

í W  ß 
V
Ý  

’ ’ ¥ Hy ‰ T t 2B 2 @ 5 F Y Y
I— ˜aEI¢meX†CspWC¢T
t Hy ‰ T D d 5y i T t T ` 2B Y R h H 2B 7 d H D H h H ‰ iyB Y T H 2 T 4 F 4B F @ Y D 2 T D Y 2 5 4 H d T º h 2 T t Œ t ‹ H d H F
¢EI¢ƒŠ¢Xxgv–9IX‚IQIE#‚QG‡Ius#EEW¢Q†Vg‰ƒXICuGo¢G‚I¢QuW¢™fIVësë‡W6IC@

45üÅ W ß 
V
Ý 

ç $ 9’ ¥
8dpzæ

ß
…î

ø ç4 € Å Ý Œ ø Å Ý ‹
›f‡5ƒ~ÿ•o“æ

º

Û 7 d 5q ` 2B @ 5yy 5q H F D 2B YB F 4B F
‰W8•wpXCcXE8•IGeXuE†ƒEIC@

 ß…î
¦

Å hÝ ¥ ˆæ
ç  (
ä

‘ H h 5 2 D T d 5 D T d H  5 2 T 2 `B Y H h H @ Y R F
{p˜IClC8GVWQ†8‰¢‰8X‚QIw•CISut

Ú Ó × Ò Ë É ÙÒ Ø × Í Ê Ê É Ì Ç Ó Ì Í Ì Ñ ÑÒ ÖÕ Ì Ë Ò ÓÒ Ñ Ð Î Í Ì Ë Ê É È
u‡§™†fjˆˆ«”w€‘ˆ””Ԑz€mQ‘Ôv«Sψm™‘”Ç

“
o—
ç ‚xg“h5WxÝ
üí Ý þ ø 4 üí



ø í Ý º ø 4 € í Ý Œ
vx‡~›¥x–~ø

’ 7 d H D d 5 d d H ` 2B h T Hy H F D h 2B
†‚QWŠ8W‚Q‘IEI¢gEuIGeIEv¤
ß
 Axo“æ „ …î
€í Ý ‹
¦

ä íç   (
uš†Ý ¥¥ ˆæ

7 d 5q H F D 2B H bB D T bB d H h h dB F D T 5 D 2 5B D T 7B — 5 d   T H 4 2 H d H gB h r H DB 2 n T H bB d H ã ’
W8•IWeX8„GVV„WQp‰‚XIW…#WŽ8XWV#X˜gWIIVuQI6WQsEp3‡WEII–u¢EW6‘˜$
’ ¡
ä



F DB
G„C@   8EG‚6IS‘Vg†QCfI—
2 5B D Y H R P D T H  H ƒ ’

’ $ ä ê D T 2 H bB ` YB Ý h 2
˜2‘€l68E¢uXIVT ¡ ‘€V†Q8„8WVkß  5Ý  I¢Ý
ä ê D T 2 H bB ` H d T
r
h 2 T
FD 5 ‰ 2 H F
W¢sk6IC@   8EG‚6ISXk68E‚QI‘9QpƒW…IWdIEWISQ9W8•8W668†¢XG„II864
2 5B D Y H R P 2B h H bB d H h H 7 H F 4 Y H F D ` 2B Y R i ‰ h H 7 d 5q d 5 D 4 H b 2 5B DB h 2 5
r i d T h 2 R 5 ‰ H F D h 2 T Y H 4B d D T 7 — ¸ — H F D D R 5 H DB d @ t F Y H 7 D 2B 5  ç d 5B d H D 2Bæ — T ` 2B Y H ’
of¢UII¢sIWŽI¢•QQEWWVd‘ˆsIWŠp8™GE‚Cp‹‚Q9ŠoX8†€G8X‚QWSEš…–pXW‘fp¥
’ 7 d H D d 5 d d H ` 2B h T Hy H F D h 2B
†‚QWŠ8W‚Q‘IEI¢gEuIGeIEv¤
ç4 üí
f5‚˜Ý



ø í Ý º ø 4 € í Ý Œ
”x‡~‹Axƒ“æ

ß…î
¦

ä íç (æ ø 4 € íç (æ
ušhÝ  “ÿhAšhÝ  “†‹

7 d 5q H F D 2B H bB D T bB d H h D Y d n T 5 D 2 5B D T 7B — 5 d   T H 4 2 H d H gB hr H DB 2 n T H bB d H ã
‚8•IGeX¢EWVVEW6I‘‚‚U…#WŽ8XWV#X˜gWIIVuQI6WQsEp3‡WEII–u¢EW6‘’  
’ 7 d H D d 5 d d H ` 2B h T Hy H F D h 2B
†‚QWŠ8W‚Q‘IEI¢gEuIGeIEv¤
ç4 üí
f5WxÝ



ø í Ý º ø 4 € í Ý Œ
vx‡zh¥x–~ø

ß
 Axo“æ …î
€í Ý ‹

ä íç (
ušhÝ  “æ

¦

7d 5
‚8•q
H F D 2B H bB D T bB d H h D Y d n T 5 D 2 5B D T 7B — 5 d   T H 4 2 H d H gB hr H DB 2 n d H h d 5 r h dB F D T H bB d H ã ’
pGXa8„GVVE‚QIufWUdŽG†¢XGldEpg‚II¢‘6IQ‚QsEI£‡WEIU‘QI‚83xWXpGd‘¢EW6‘8¦
²

R ± ˆ ¶ Ã
Q·YjÀ

µ

´®
G­

’ “ 9’ ¥ ’ P  5 D y T 4B D 2 H hB YB F 4B F
pV%p†ëjëGh¢QXWS6IXuE†ƒEIC@

45üÅ WUß 
V
Ý 

ç ¡ Õpzæ
c’ ¥

ʤ45üÅ W ß 
V ß
ð…î  
Ý 

ß…8¥
î
 

ø ç Å
›…5Ý   8‡5Ý   æ
6 4 € Å

 ß…8¥
î
¦

ÈD …8¥
ß î
ø‹4€‡Å•ÝÅ62Å•Ý8—Æøðŕݢ“Å684€‡Å•¢¥
Ý
¦
 ß…î
¦

ç h 9’ ¥
ovdpzæ

ç4 € Å Ý ø Å
‚‡•ƪ•Ý  

ä
ä

Å sÝ ¥ “æ
ç  (

6 4 ü Å Ý
85•šæ

ä

Y H bB
Q¢E8` ½I˜pCV‰QXEII¢u¢EWVVEW6Ih
‘ H h 5 2 D T h HBy   T H bB D T bB d H
h 2 5 4 H Y T d 5q d 5 D T d H  5 H 4 2 H d H gB h h H d H D 2 H 4 d H h d 5 r h 2 5 4 H Y H F D 5 D 2B YB F D ` 2B D R DB D Y ‰ R
I86Q‚ºe8•†¢GVWQ†8ÅQI6W6h„Iå6W6GoQ6A6IW¢3˜I¢QQ‚)IWºGoXEIG©IXWpG„G‚pI˜”
Ú Ù Ì ’ § × Í Ê Ð ±Ð
€˜ª³ˆ«c²xÎ

9
—
’ H 7 H F 4 Y F 4 T H d 5q d 5 d d H 2 5B D T 4 2 R d D H F D 2B Y 7 d H
V#6IƒW‰ƒ¢gu¢•C¢WW68XWVgIpWGIWeXu9WQWD
l d 5q ß î – ’ Y b ß – q 5 Y D d T  id T 2B ` T 7
`IXIVgXev3dIW#¢EW6j l ‘U– ¹¡ ¢•Æ…U#6xÆ…î h f¢wG‚VUf¢UX¢¢dEB
2B h T Hy 5 @D H F D H bB d H ã ’
ß î
h 2 T y T H d H F D D 5y Ü ’ Y H 7 H F 4 Y H Y H F D q 5 F 4 T H d 5q d H ‰ 7 R 2 H b T @ h H nB h 5 7 H F D h 2B
IVu¢g‚eIGw¢Xj¬Q6#6IƒW‰W6IGC¢Æƒ¢Q…8•–Q†…ISQ¢c•)QIEIx#epG)IEv¤

 €í Ý h ø 4 €í Ý c ¦ 6 í Ý ¦ ¦
ç ß î “æ r
s‘¢zIç „ AxÝ   6 Ax¢~hAx¢a«hxg8Ôæ
ے

ä íç (
ušhÝ  “æ

 €í Ý ø 4 €í Ý — 6 í Ý ¥æ ä íç (
ç ß
s‘î   Iç AxÆh¥˜¢)hx¢šÏuz†Ý  “æ
æ r
ß î r ç4 € í Ý 6 í Ýæ ä íç (
…¢f¥˜ÅUxšÏuš†Ý  ˆæ
Û iy H bB D 4 H  Y H d t d H h d 5 r h dB F D h 2
†„Q8„G‡Q†WQ‚p6QI‚83˜‚XIW‰p¢T
t r h 2 5 4 H Y t r D Y d n H d T F 4B F @ t Y H 7 H F 4 Y ` 2B 4 2 H d H gB h h H hB Yr H 2 5 ` 2B @ 5yy 5q H F D d H hB Y 2 5 
G˜I86Q‚˜G‚‚‚Uf‚¢eƒEICpQ6#6IƒWaIX6IQ‚QsEI#QIEW£‡I8uIECcXX¢•fIWvQpXWp8•f’ ¡ ¦
’ H bB D T bB d H h D Y d n T 5 D Y 2 5B D T 7B — 5 d   T h H d H
¢¢EGl¢„W6I™fWU…9GvI8XWV#X˜gWIIV6WQWD
r 2 H 4 D 4 T  7 5 4 h 2 T D 4 T  7 5 4 2 5 2 d H hd 5r FD BY d 5q D 2 H 4d H  ¦
xQQC‡¢U98QIVC6¢I#86I8Iu6IW¢3˜W˜— WŠ¢•‘o6QW6su„’ ¡ ¢UWŠW6Xu8‚WQ‰Q6s‚Y
2 T F D Y Y Hy d 5 d d H h H H 
H Y T F  T H b HB F 4 T 5 D D 2 H 7 H dB R P H d ç     F D ` 2 Hy H b T @r d H r Y D 2B 5 r hB d ` H F D h 2B ¤ ’
‚¢UIr86EIƒ¢ÅWŽoQ9Q‚XISQ‚…Ÿ0™æ W¢I6XQ¢gŠŸfQ†3ÔGoX¢s£˜X‚8IW©IEv‘ph

l d 5q ß î – ’ Y
’
j l …U– m¡ 8•…UƒQxb
ß î
ß
…î h f¢Xjˆp¢XGfQISeE‰68„WQp•8WVG6s8•QI‚83˜W‚I¢•Š6¢I#86IGŽp¢I–8dp¥
– D 5y Ü ’ “ 2 5B D Y H R P 2B h H bB d H h d 5 D T d H  5 d H h d 5 r F D d R 5 q D 4 T  7 5 4 H F D h 2 T t ç $ $’
’ëj“†8WVG6s¢96IW¢3˜W‚I8•96VU#¢QI8p†IWvV8EWVVE‚QIºp8Q6Wk#¢•–¢GVWQ†85
P æ d 5 D T d H  5 d H h d 5r F D d R 5q D 4 T  7 5 4 2 5 2 H F D t H bB D T bB d H h h 2 5 4 H Y T d 5q d 5 D T d H 
H 4 2 H d H gB h h H d H D 2 H 4 d H h d 5r h 2 5 4 H Y H F D d 5q d H ‰ 7 R 2 H b T @ h H nB h 5 7 H F D h 2B ¤ ’ 2 5B
6IQ‚QsEI¬Q‚QWS6Q…6IW¢3˜I¢QQ‚dIWw¢•–6swISQ8g•A6UEp˜9ŽIWIEv‰‹8XWD
r T 7B — 5 d   T H bB D T bB d H h h 2 5 4 H Y T d 5
l#X˜gWIIV–8EWVVE‚QIAI86QWŽu¢•q h ‡Q†…ISQ¢gŠ6UEIx9‘IGeIEIU6pwpxWD
– d H ‰ 7 R 2 H b T @ h H nB h 5 7 H F D ` 2B 2 n H h Y R F


– 6 ä í
‘• þ  h “ˆušç  e í —•

þ ¥ ˆæ
 (

Y H bB ` H bB D T bB d H h h 2 5 4 H Y H F D d 5q d 5 D T d H  5 H 4 2 H d H gB h T q 5 2 5B D T 4By  
68E¢8EWVVE‚QI†I8Q6WuIWŠ8•Š8GlGQ†8uQpQW6h„I–”¢d8XWVgEXIIfi

Y H bB
Q¢E8`



‘•

 ß 
–
• þ $6 ä ‘• þ  
 ‘ 

þ 2 5B D 4 2 Rq H F D 5 D d 5 D T d H  5 H bB D T bB d H hr h 2 5 4 H Y H F D q 5 2 5B D T 4By   i ’
˜8XW6Ip•upG‘GŠ8WVG6s¢w¢EWVVEW6I3xI8Q6WuIWm¢d8XWVgEXIIfCpc

’ ç — $’ ¥ ’ P  æ d 5 D T d H  5 h H d H D 2 H 4 d H h d 5 r F D d R 5 q H F
–SVdpë눈w8GlGQ†86W6GoQ6uQI‚83˜W‚I¢•upGD ¢W•eQIE¢ƒ˜8‘VUGeWECu‚VU
7 5 dq h H 2B T D ‰ 5 D T F D F DB @ D d T
l d 5q ß î – ’ Y b ß – q 5 Y D d T  i d T 2B ` T 7B h 2 T y T H
y T Hd H F D Hd T  7 5  ’
¢g‚IG‚¢U98•€j l …U– m¡ 8•…U£6˜†…î h #¢•G‚VU9‚¢UE8¢#XeIV›¢g‚d
ß î
H F D D 5y Ü ’ ¦ 2 5B D Y H R P 2B h H bB d H h d 5 D T d H  5 H F D d 5q d H ‰ 7 R 2 H b T @ h H nB h 5 7 H F D h 2B ¤ ’
pG•VXjˆ8e8EG‚6ISdE‰68„WQp•8WVG6s8™IGˆ8•uQ†…ISQ¢gŠd6UEp˜9IW#IEv‘˜9
’ 7 d H D d 5 d d H ` 2B h T Hy H F D h 2B
†‚QWŠ8W‚Q‘IEI¢gEuIGeIEv¤
ç4 üí Ý º ø í Ý Œ ø 4 € í Ý ‹
‚5Wx–“v˜ƒ~›¥xSˆæ

 ß…î
¦

ä 4 üíç  (æ þ ø íç  (æ ø 4 € íç  (
j5Wz†Ý ¥ “S~jz†Ý ¥ “ÿ‹Az†Ý ¥ “æ



7 d 5q H F D 2B H bB
‚8•IGŽEu8EWD
r T b B d H h h 2 5 4 H Y T 5 D 2 5 B D T 7 B — 5 d   T H 4 2 H d H g B h r H D B 2 n ç `H h T Ü d 5 æ D 4 T  7 5 4 T H b B d H ã ’
lVEW6Ip8Q6W‘9Gd8EGV#X˜gWpI¢uQpQW6h„I3–G„IUŠc¨¢mC8ša‡¢U98Q‘u¢EW6‘p“

c
3—

Ú Ó × Ò Ë É ÙÒ Ø × Í Ê Ê É Ì Ç Ó Ì Í Ì Ñ ÑÒ ÖÕ Ì Ë Ò ÓÒ Ñ Ð Î Í Ì Ë Ê É È
u‡§™†fjˆˆ«”w€‘ˆ””Ԑz€mQ‘Ôv«Sψm™‘”Ç
Chapter 4
THE SEMI-DISCRETE
APPROACH
One strategy for obtaining nite-di erence approximations to a PDE is to start by
di erencing the space derivatives only, without approximating the time derivative.
In the following chapters, we proceed with an analysis making considerable use of
this concept, which we refer to as the semi-discrete approach. Di erencing the space
derivatives converts the basic PDE into a set of coupled ODE's. In the most general
notation, these ODE's would be expressed in the form
d~ = F (~ t)
u ~u
(4.1)
dt
which includes all manner of nonlinear and time-dependent possibilities. On occasion,
we use this form, but the rest of this chapter is devoted to a more specialized matrix
notation described below.
Another strategy for constructing a nite-di erence approximation to a PDE is
to approximate all the partial derivatives at once. This generally leads to a point
di erence operator (see Section 3.3.1) which, in turn, can be used for the time advance
of the solution at any given point in the mesh. As an example let us consider the
model equation for di usion
@u = @ u
@t
@x
Using three-point central-di erencing schemes for both the time and space derivatives,
we nd
2 n
3
ujn ; ujn;
uj ; 2ujn + ujn 5
;
= 4
2h
x
or
h
i
ujn = ujn; + 2h ujn ; 2ujn + ujn
(4.2)
;
x
51
2

2

( +1)

(

1)

( )
+1

( )

( )
1

2

( +1)

(

1)

2

( )
+1

( )

( )
1
CHAPTER 4. THE SEMI-DISCRETE APPROACH

52

Clearly Eq. 4.2 is a di erence equation which can be used at the space point j to
advance the value of u from the previous time levels n and n ; 1 to the level n + 1.
It is a full discretization of the PDE. Note, however, that the spatial and temporal
discretizations are separable. Thus, this method has an intermediate semi-discrete
form and can be analyzed by the methods discussed in the next few chapters.
Another possibility is to replace the value of ujn in the right hand side of Eq. 4.2
with the time average of u at that point, namely (ujn + ujn; )=2. This results in
the formula
( )

( +1)

ujn

( +1)

2

0

un
= ujn; + 2h 4ujn ; 2 @ j
x
(

1)

2

( )
+1

( +1)

(

1)

1

3

+ ujn; A n 5
+ uj ;
2
(

1)

( )
1

(4.3)

which can be solved for u n and time advanced at the point j . In this case, the
spatial and temporal discretizations are not separable, and no semi-discrete form
exists.
Equation 4.2 is sometimes called Richardson's method of overlapping steps and
Eq. 4.3 is referred to as the DuFort-Frankel method. As we shall see later on, there
are subtle points to be made about using these methods to nd a numerical solution
to the di usion equation. There are a number of issues concerning the accuracy,
stability, and convergence of Eqs. 4.2 and 4.3 which we cannot comment on until we
develop a framework for such investigations. We introduce these methods here only to
distinguish between methods in which the temporal and spatial terms are discretized
separately and those for which no such separation is possible. For the time being, we
shall separate the space di erence approximations from the time di erencing. In this
approach, we reduce the governing PDE's to ODE's by discretizing the spatial terms
and use the well-developed theory of ODE solutions to aid us in the development of
an analysis of accuracy and stability.
( +1)

4.1 Reduction of PDE's to ODE's
4.1.1 The Model ODE's
First let us consider the model PDE's for di usion and biconvection described in
Chapter 2. In these simple cases, we can approximate the space derivatives with
di erence operators and express the resulting ODE's with a matrix formulation. This
is a simple and natural formulation when the ODE's are linear.
4.1. REDUCTION OF PDE'S TO ODE'S

53

Model ODE for Di usion
For example, using the 3-point central-di erencing scheme to represent the second
derivative in the scalar PDE governing di usion leads to the following ODE di usion
model
d~ =
u
B (1 ;2 1)~ + (bc)
u ~
(4.4)
dt
x
~
with Dirichlet boundary conditions folded into the (bc) vector.
2

Model ODE for Biconvection
The term biconvection was introduced in Section 2.3. It is used for the scalar convection model when the boundary conditions are periodic. In this case, the 3-point
central-di erencing approximation produces the ODE model given by

d~ = ; a B (;1 0 1)~
u
u
(4.5)
dt
2 x p
where the boundary condition vector is absent because the ow is periodic.
Eqs. 4.4 and 4.5 are the model ODE's for di usion and biconvection of a scalar in
one dimension. They are linear with coe cient matrices which are independent of x
and t.

4.1.2 The Generic Matrix Form

The generic matrix form of a semi-discrete approximation is expressed by the equation

d~ = A~ ; ~ (t)
u
u f
dt

(4.6)

Note that the elements in the matrix A depend upon both the PDE and the type of
di erencing scheme chosen for the space terms. The vector ~ (t) is usually determined
f
by the boundary conditions and possibly source terms. In general, even the Euler
and Navier-Stokes equations can be expressed in the form of Eq. 4.6. In such cases
the equations are nonlinear, that is, the elements of A depend on the solution ~ and
u
are usually derived by nding the Jacobian of a ux vector. Although the equations
are nonlinear, the linear analysis presented in this book leads to diagnostics that are
surprisingly accurate when used to evaluate many aspects of numerical methods as
they apply to the Euler and Navier-Stokes equations.
54

CHAPTER 4. THE SEMI-DISCRETE APPROACH

4.2 Exact Solutions of Linear ODE's

In order to advance Eq. 4.1 in time, the system of ODE's must be integrated using a
time-marching method. In order to analyze time-marching methods, we will make use
of exact solutions of coupled systems of ODE's, which exist under certain conditions.
The ODE's represented by Eq. 4.1 are said to be linear if F is linearly dependent on
u (i.e., if @F=@u = A where A is independent of u). As we have already pointed out,
when the ODE's are linear they can be expressed in a matrix notation as Eq. 4.6 in
which the coe cient matrix, A, is independent of u. If A does depend explicitly on
t, the general solution cannot be written whereas, if A does not depend explicitly on
t, the general solution to Eq. 4.6 can be written. This holds regardless of whether or
~
not the forcing function, f , depends explicitly on t.
As we shall soon see, the exact solution of Eq. 4.6 can be written in terms of
the eigenvalues and eigenvectors of A. This will lead us to a representative scalar
equation for use in analyzing time-marching methods. These ideas are developed in
the following sections.

4.2.1 Eigensystems of Semi-Discrete Linear Forms
Complete Systems

An M M matrix is represented by a complete eigensystem if it has a complete set
of linearly independent eigenvectors (see Appendix A) . An eigenvector, ~ m , and its
x
corresponding eigenvalue, m, have the property that
A~ m = m~ m or
x
x
A ; mI]~ m = 0
x
(4.7)
The eigenvalues are the roots of the equation
det A ; I] = 0
We form the right-hand eigenvector matrix of a complete system by lling its columns
with the eigenvectors ~ m:
x
h
i
X = ~ ~ : : : ~M
x x
x
The inverse is the left-hand eigenvector matrix, and together they have the property
that
1

2

X ; AX =
1

where is a diagonal matrix whose elements are the eigenvalues of A.

(4.8)
4.2. EXACT SOLUTIONS OF LINEAR ODE'S

55

Defective Systems

If an M M matrix does not have a complete set of linearly independent eigenvectors,
it cannot be transformed to a diagonal matrix of scalars, and it is said to be defective.
It can, however, be transformed to a diagonal set of blocks, some of which may be
scalars (see Appendix A). In general, there exists some S which transforms any
matrix A such that
S ; AS = J
where
2J
3
6 J
7
6
7
6
7
...
6
7
J =6
7
6
7
Jm
4
5
...
and
2
3
m 1
6
7 1
...
6
7 ...
m
n =6
Jm 6
7
. . . 1 7 ...
4
5
m n
The matrix J is said to be in Jordan canonical form, and an eigenvalue with multiplicity n within a Jordan block is said to be a defective eigenvalue. Defective systems
play a role in numerical stability analysis.
1

1

2

( )

4.2.2 Single ODE's of First- and Second-Order
First-Order Equations

The simplest nonhomogeneous ODE of interest is given by the single, rst-order
equation
du = u + ae t
(4.9)
dt
where , a, and are scalars, all of which can be complex numbers. The equation
is linear because does not depend on u, and has a general solution because does
not depend on t. It has a steady-state solution if the right-hand side is independent
of t, i.e., if = 0, and is homogeneous if the forcing function is zero, i.e., if a = 0.
Although it is quite simple, the numerical analysis of Eq. 4.9 displays many of the
fundamental properties and issues involved in the construction and study of most
popular time-marching methods. This theme will be developed as we proceed.
CHAPTER 4. THE SEMI-DISCRETE APPROACH

56

The exact solution of Eq. 4.9 is, for 6= ,

u(t) = c e
1

t+

ae t

;

where c is a constant determined by the initial conditions. In terms of the initial
value of u, it can be written
1

t; t
u(t) = u(0)e t + a e ; e

The interesting question can arise: What happens to the solution of Eq. 4.9 when
= ? This is easily found by setting = + , solving, and then taking the limit
as ! 0. Using this limiting device, we nd that the solution to

du = u + ae t
dt

(4.10)

is given by

u(t) = u(0) + at]e t
As we shall soon see, this solution is required for the analysis of defective systems.

Second-Order Equations
The homogeneous form of a second-order equation is given by

d u + a du + a u = 0
(4.11)
dt
dt
where a and a are complex constants. Now we introduce the di erential operator
D such that
d
D dt
2

1

2

1

0

0

and factor u(t) out of Eq. 4.11, giving

(D + a D + a ) u(t) = 0
2

1

0

The polynomial in D is referred to as a characteristic polynomial and designated
P (D). Characteristic polynomials are fundamental to the analysis of both ODE's and
O E's, since the roots of these polynomials determine the solutions of the equations.
For ODE's, we often label these roots in order of increasing modulus as , , , m ,
1

2
4.2. EXACT SOLUTIONS OF LINEAR ODE'S

57

, M . They are found by solving the equation P ( ) = 0. In our simple example,
there would be two roots, and , determined from
P( ) = + a + a = 0
(4.12)
and the solution to Eq. 4.11 is given by
u(t) = c e 1 t + c e 2 t
(4.13)
where c and c are constants determined from initial conditions. The proof of this
is simple and is found by substituting Eq. 4.13 into Eq. 4.11. One nds the result
c e 1t( + a + a ) + c e 2t( + a + a )
which is identically zero for all c , c , and t if and only if the 's satisfy Eq. 4.12.
1

2

2

1

0

1

1

2

2

1

2
1

1

1

1

0

2
2

2

1

2

0

2

4.2.3 Coupled First-Order ODE's
A Complete System

A set of coupled, rst-order, homogeneous equations is given by
u0 = a u + a u
u0 = a u + a u
(4.14)
which can be written

#
0
a a
~ = A~
~ = u u ]T
u
u
u
A = (aij ) = a a
Consider the possibility that a solution is represented by
u = c x e 1t + c x e 2t
u = c x e 1t + c x e 2t
(4.15)
By substitution, these are indeed solutions to Eq. 4.14 if and only if

# #
 #

# #
 #
a a
x =
x
a a
x =
x
(4.16)
a a
x
x
a a
x
x
Notice that a higher-order equation can be reduced to a coupled set of rst-order
equations by introducing a new set of dependent variables. Thus, by setting
u = u0
u =u
we nd Eq. 4.11 can be written
u0 = ;a u ; a u
u0 =
u
(4.17)
which is a subset of Eq. 4.14.
1

11

1

12

2

2

21

1

22

2

1

11

1

12

11

21

22

21

11

2

1

21

2

22

12

2

11

1

12

21

2

22

11

11

12

12

21

1

21

22

22

1

1

2

2

1

1
1

0

2

2

12
22
CHAPTER 4. THE SEMI-DISCRETE APPROACH

58

A Derogatory System
Eq. 4.15 is still a solution to Eq. 4.14 if = = , provided two linearly independent
vectors exist to satisfy Eq. 4.16 with A = . In this case
1

0

0

1 =
0

1
0

2

and

0

0

0 =
1

0
1

provide such a solution. This is the case where A has a complete set of eigenvectors
and is not defective.

A Defective System
If A is defective, then it can be represented by the Jordan canonical form



# 
# #
u0 =
0 u
u0
1
u
1
2

(4.18)

1
2

whose solution is not obvious. However, in this case, one can solve the top equation
rst, giving u (t) = u (0)e t . Then, substituting this result into the second equation,
one nds
du = u + u (0)e t
dt
which is identical in form to Eq. 4.10 and has the solution
1

1

2

2

1

u (t) = u (0) + u (0)t]e t
2

2

1

From this the reader should be able to verify that

u (t) = a + bt + ct e t
2

3

is a solution to

2 03 2
6 u0 7 = 6 1
4u 5 4
u0
1
1
2
3

32 3
76u 7
54u 5
u
1
2
3

if

a = u (0)
3

b = u (0)
2

1
c = 2 u (0)
1

The general solution to such defective systems is left as an exercise.

(4.19)
4.2. EXACT SOLUTIONS OF LINEAR ODE'S

59

4.2.4 General Solution of Coupled ODE's with Complete Eigensystems
Let us consider a set of coupled, nonhomogeneous, linear, rst-order ODE's with
constant coe cients which might have been derived by space di erencing a set of
PDE's. Represent them by the equation

d~ = A~ ; ~ (t)
u
u f
(4.20)
dt
Our assumption is that the M M matrix A has a complete eigensystem and can
be transformed by the left and right eigenvector matrices, X ; and X , to a diagonal
matrix having diagonal elements which are the eigenvalues of A, see Section 4.2.1.
Now let us multiply Eq. 4.20 from the left by X ; and insert the identity combination
XX ; = I between A and ~ . There results
u
~
X ; du = X ; AX X ; ~ ; X ; ~ (t)
u
f
(4.21)
dt
Since A is independent of both ~ and t, the elements in X ; and X are also indepenu
dent of both ~ and t, and Eq. 4.21 can be modi ed to
u
1

1

1

1

1

1

1

1

1

d X ; ~ = X ; ~ ; X ; ~ (t)
u
f
dt u
~
Finally, by introducing the new variables w and ~ such that
g
1

~
w = X; ~
u
1

1

1

~ (t) = X ; ~ (t)
g
f
1

(4.22)

we reduce Eq. 4.20 to a new algebraic form

~
dw = w ; ~ (t)
~ g
(4.23)
dt
It is important at this point to review the results of the previous paragraph. Notice
that Eqs. 4.20 and 4.23 are expressing exactly the same equality. The only di erence
between them was brought about by algebraic manipulations which regrouped the
variables. However, this regrouping is crucial for the solution process because Eqs.
In the following, we exclude defective systems, not because they cannot be analyzed (the example
at the conclusion of the previous section proves otherwise), but because they are only of limited
interest in the general development of our theory.
1
60

CHAPTER 4. THE SEMI-DISCRETE APPROACH

4.23 are no longer coupled. They can be written line by line as a set of independent,
single, rst-order equations, thus

w0 =
...
0
wm =
...
0
wM =

1

1

w ; g (t)
1

1

m wm ; gm (t)
M wM

; gM (t)

(4.24)

For any given set of gm (t) each of these equations can be solved separately and then
recoupled, using the inverse of the relations given in Eqs. 4.22:
~ (t) = X w(t)
~
u
M
X

=

m=1

wm(t)~ m
x

(4.25)

where ~ m is the m'th column of X , i.e., the eigenvector corresponding to m .
x
We next focus on the very important subset of Eq. 4.20 when neither A nor ~ has
f
any explicit dependence on t. In such a case, the gm in Eqs. 4.23 and 4.24 are also
time invariant and the solution to any line in Eq. 4.24 is
w (t) = c e m t + 1 g
m

m

m

m

where the cm are constants that depend on the initial conditions. Transforming back
to the u-system gives
~ (t) = X w(t)
~
u
=
=
=
=

M
X

m=1
M
X
m=1
M
X
m=1
M
X
m=1

|

wm(t)~ m
x
cm e m t ~ m +
x

M
X 1 ~
gm xm

m=1 m

cm e m t ~ m + X
x

;1 X ;1~
f

cm e m t ~ m + A; ~
x
f
1

{z

Transient

} |

{z

}

Steady-state

(4.26)
4.3. REAL SPACE AND EIGENSPACE

61

Note that the steady-state solution is A; ~ , as might be expected.
f
The rst group of terms on the right side of this equation is referred to classically
as the complementary solution or the solution of the homogeneous equations. The
second group is referred to classically as the particular solution or the particular
integral. In our application to uid dynamics, it is more instructive to refer to these
groups as the transient and steady-state solutions, respectively. An alternative, but
entirely equivalent, form of the solution is
~ (t) = c e 1 t ~ + + cme m t ~ m + + cM e M t ~ M + A; ~
u
x
x
x
f
(4.27)
1

1

1

1

4.3 Real Space and Eigenspace
4.3.1 De nition

Following the semi-discrete approach discussed in Section 4.1, we reduce the partial
di erential equations to a set of ordinary di erential equations represented by the
generic form
d~ = A~ ; ~
u
u f
(4.28)
dt
The dependent variable ~ represents some physical quantity or quantities which relate
u
to the problem of interest. For the model problems on which we are focusing most
of our attention, the elements of A are independent of both u and t. This permits
us to say a great deal about such problems and serves as the basis for this section.
In particular, we can develop some very important and fundamental concepts that
underly the global properties of the numerical solutions to the model problems. How
these relate to the numerical solutions of more practical problems depends upon the
problem and, to a much greater extent, on the cleverness of the relator.
We begin by developing the concept of spaces. That is, we identify di erent
mathematical reference frames (spaces) and view our solutions from within each.
In this way, we get di erent perspectives of the same solution, and this can add
signi cantly to our understanding.
The most natural reference frame is the physical one. We say
If a solution is expressed in terms of ~ , it is said
u
to be in real space.
There is, however, another very useful frame. We saw in Sections 4.2.1 and 4.2 that
pre- and post-multiplication of A by the appropriate similarity matrices transforms A
into a diagonal matrix, composed, in the most general case, of Jordan blocks or, in the
62

CHAPTER 4. THE SEMI-DISCRETE APPROACH

simplest nondefective case, of scalars. Following Section 4.2 and, for simplicity, using
only complete systems for our examples, we found that Eq. 4.28 had the alternative
form
~
dw = w ; ~
~ g
dt
which is an uncoupled set of rst-order ODE's that can be solved independently for
~
the dependent variable vector w. We say

~
If a solution is expressed in terms of w, it is said to
be in eigenspace (often referred to as wave space).
The relations that transfer from one space to the other are:
~
w = X; ~
u
~ = X; ~
g
f

~ = Xw
~
u
~ = X~
f
g

1
1

The elements of ~ relate directly to the local physics of the problem. However, the
u
~ are linear combinations of all of the elements of ~ , and individually
elements of w
u
they have no direct local physical interpretation.
When the forcing function ~ is independent of t, the solutions in the two spaces
f
are represented by
~ (t) = X cm e m t ~ m + X ; X ; ~
u
x
f
and
wm(t) = cm e m t + 1 gm
m=1 2
M
1

1

m

for real space and eigenspace, respectively. At this point we make two observations:
1. the transient portion of the solution in real space consists of a linear combination
of contributions from each eigenvector, and
2. the transient portion of the solution in eigenspace provides the weighting of
each eigenvector component of the transient solution in real space.

4.3.2 Eigenvalue Spectrums for Model ODE's

It is instructive to consider the eigenvalue spectrums of the ODE's formulated by
central di erencing the model equations for di usion and biconvection. These model
ODE's are presented in Section 4.1. Equations for the eigenvalues of the simple
4.3. REAL SPACE AND EIGENSPACE

63

tridiagonals, B (M : a b c) and Bp(M : a b c), are given in Appendix B. From Section
B.1, we nd for the model di usion equation with Dirichlet boundary conditions
;2 + 2 cos Mm+ 1
m =
x
!
m
;4 sin
m=1 2
M
(4.29)
=
2(M + 1)
x
and, from Section B.4, for the model biconvection equation
;ia sin 2m
m=0 1
M ;1
m =
x
M
2

2

2

where

= ;i m a

M ;1

m=0 1

(4.30)

= sin m x
m=0 1
M ;1
(4.31)
x
is the modi ed wavenumber from Section 3.5, m = m, and x = 2 =M . Notice
that the di usion eigenvalues are real and negative while those representing periodic
convection are all pure imaginary. The interpretation of this result plays a very
important role later in our stability analysis.
m

4.3.3 Eigenvectors of the Model Equations

Next we consider the eigenvectors of the two model equations. These follow as special
cases from the results given in Appendix B.

The Di usion Model
Consider Eq. 4.4, the model ODE's for di usion. First, to help visualize the matrix
structure, we present results for a simple 4-point mesh and then we give the general
case. The right-hand eigenvector matrix X is given by
2 sin (x ) sin (2x ) sin (3x ) sin (4x ) 3
6 sin (x ) sin (2x ) sin (3x ) sin (4x ) 7
6
6 sin (x ) sin (2x ) sin (3x ) sin (4x ) 7
7
4
5
sin (x ) sin (2x ) sin (3x ) sin (4x )
The columns of the matrix are proportional to the eigenvectors. Recall that xj =
j x = j =(M + 1), so in general the relation ~ = X w can be written as
u
~
1

1

1

2

2

2

3

3

3

3

4

uj =

1

2

4

4

4

M
X

m=1

wm sin mxj

j=1 2

M

(4.32)
CHAPTER 4. THE SEMI-DISCRETE APPROACH

64

For the inverse, or left-hand eigenvector matrix X ; , we nd
1

2 sin (x )
6 sin (2x )
6
6 sin (3x )
4
sin (4x )

sin (x )
sin (2x )
sin (3x )
sin (4x )

1

2

1

2

1

2

1

2

sin (x )
sin (2x )
sin (3x )
sin (4x )
3

3
3
3

sin (x ) 3
sin (2x ) 7
7
5
sin (3x ) 7
sin (4x )
4

4
4
4

The rows of the matrix are proportional to the eigenvectors. In general w = X ; ~
~
u
gives
1

wm =

M
X
j =1

uj sin mxj

m=1 2

M

(4.33)

In the eld of harmonic analysis, Eq. 4.33 represents a sine transform of the function u(x) for an M -point sample between the boundaries x = 0 and x = with the
condition u(0) = u( ) = 0. Similarly, Eq. 4.32 represents the sine synthesis that
companions the sine transform given by Eq. 4.33. In summary,
For the model di usion equation:

~
w = X ; ~ is a sine transform from real space to (sine) wave
u
space.
~ = Xw
~
u
is a sine synthesis from wave space back to real
space.
1

The Biconvection Model
Next consider the model ODE's for periodic convection, Eq. 4.5. The coe cient
matrices for these ODE's are always circulant. For our model ODE, the right-hand
eigenvectors are given by

~ m = ei j
x
With xj = j

(2

m=M )

j =0 1
m =0 1

M ;1
M ;1

x = j 2 =M , we can write ~ = X w as
u
~
uj =

M ;1
X
m=0

wmeimxj

j=0 1

M ;1

(4.34)
4.3. REAL SPACE AND EIGENSPACE

65

For a 4-point periodic mesh, we nd the following left-hand eigenvector matrix
from Appendix B.4:

2w
6w
6
6w
4
w

1
2
3
4

3 21 1
1
1
7 1 6 1 e; i = e; i = e; i =
7= 6 ;i = ;i = ; i =
7 4 61 e
5 4
e
e
; i = e; i = e ; i =
1 e
2

4

4

6

4

4

8

4

12

4

6

In general

4

4

12

18

4

4

4

32u
76u
76
76u
54
u

1
2
3

3
7
7 = X; ~
7
u
5
1

4

X
1 M ; u e;imxj
wm = M
m=0 1
M ;1
j
j
This equation is identical to a discrete Fourier transform of the periodic dependent
variable ~ using an M -point sample between and including x = 0 and x = 2 ; x.
u
For circulant matrices, it is straightforward to establish the fact that the relation
~ = X w represents the Fourier synthesis of the variable w back to ~ . In summary,
~
~
u
u
1

=0

For any circulant system:

~
w = X ; ~ is a complex Fourier transform from real space to
u
wave space.
~ = Xw
~
u
is a complex Fourier synthesis from wave space
back to real space.
1

4.3.4 Solutions of the Model ODE's

We can now combine the results of the previous sections to write the solutions of our
model ODE's.

The Di usion Equation
For the di usion equation, Eq. 4.27 becomes

uj (t) =

M
X
m=1

cme m t sin mxj + (A; f )j
1

where
m

j=1 2

m
= ;4 sin 2(M + 1)
x
2

2

!

M

(4.35)

(4.36)
CHAPTER 4. THE SEMI-DISCRETE APPROACH

66

With the modi ed wavenumber de ned as
2
m x
m = x sin
2
and using m = m, we can write the ODE solution as

uj (t) =

M
X
m=1

cme;

(4.37)

+ (A; f )j

m 2 t sin m xj

j=1 2

1

M

(4.38)

This can be compared with the exact solution to the PDE, Eq. 2.37, evaluated at the
nodes of the grid:

uj (t) =

M
X
m=1

cm e;

m 2 t sin

m xj + h(xj )

j=1 2

M

(4.39)

We see that the solutions are identical except for the steady solution and the
modi ed wavenumber in the transient term. The modi ed wavenumber is an approximation to the actual wavenumber. The di erence between the modi ed wavenumber
and the actual wavenumber depends on the di erencing scheme and the grid resolution. This di erence causes the various modes (or eigenvector components) to decay
at rates which di er from the exact solution. With conventional di erencing schemes,
low wavenumber modes are accurately represented, while high wavenumber modes (if
they have signi cant amplitudes) can have large errors.

The Convection Equation
For the biconvection equation, we obtain

uj (t) =

M ;1
X
m=0

cme m t ei mxj

j=0 1

M ;1

(4.40)

where
m

= ;i m a

(4.41)

with the modi ed wavenumber de ned in Eq. 4.31. We can write this ODE solution
as

uj (t) =

M ;1
X
m=0

cme;i m at ei mxj

j=0 1

M ;1

(4.42)
4.4. THE REPRESENTATIVE EQUATION

67

and compare it to the exact solution of the PDE, Eq. 2.26, evaluated at the nodes of
the grid:
M;
X
uj (t) = fm (0)e;i mat ei m xj
j=0 1
M ;1
(4.43)
1

m=0

Once again the di erence appears through the modi ed wavenumber contained in
. As discussed in Section 3.5, this leads to an error in the speed with which various
m
modes are convected, since is real. Since the error in the phase speed depends on
the wavenumber, while the actual phase speed is independent of the wavenumber,
the result is erroneous numerical dispersion. In the case of non-centered di erencing,
discussed in Chapter 11, the modi ed wavenumber is complex. The form of Eq. 4.42
shows that the imaginary portion of the modi ed wavenumber produces nonphysical
decay or growth in the numerical solution.

4.4 The Representative Equation
In Section 4.3, we pointed out that Eqs. 4.20 and 4.23 express identical results but in
terms of di erent groupings of the dependent variables, which are related by algebraic
manipulation. This leads to the following important concept:
The numerical solution to a set of linear ODE's (in which A is
not a function of t) is entirely equivalent to the solution obtained
if the equations are transformed to eigenspace, solved there in
their uncoupled form, and then returned as a coupled set to real
space.
The importance of this concept resides in its message that we can analyze timemarching methods by applying them to a single, uncoupled equation and our conclusions will apply in general. This is helpful both in analyzing the accuracy of
time-marching methods and in studying their stability, topics which are covered in
Chapters 6 and 7.
Our next objective is to nd a typical single ODE to analyze. We found the
uncoupled solution to a set of ODE's in Section 4.2. A typical member of the family
is
dwm = w ; g (t)
(4.44)
m m
m
dt
The goal in our analysis is to study typical behavior of general situations, not particular problems. For such a purpose Eq. 4.44 is not quite satisfactory. The role of m is
clear it stands for some representative eigenvalue in the original A matrix. However,
CHAPTER 4. THE SEMI-DISCRETE APPROACH

68

the question is: What should we use for gm(t) when the time dependence cannot be
ignored? To answer this question, we note that, in principle, one can express any one
of the forcing terms gm(t) as a nite Fourier series. For example
X
;g(t) = ak eikt
for which Eq. 4.44 has the exact solution:

k

X ak eikt
k ik ;
From this we can extract the k'th term and replace ik with . This leads to
w(t) = ce t +

The Representative ODE
dw = w + ae t
dt

(4.45)

which can be used to evaluate all manner of time-marching methods. In such evaluations the parameters and must be allowed to take the worst possible combination
of values that might occur in the ODE eigensystem. The exact solution of the representative ODE is (for 6= ):
t
(4.46)
w(t) = ce t + ae

;

4.5 Problems
1. Consider the nite-di erence operator derived in question 1 of Chapter 3. Using
this operator to approximate the spatial derivative in the linear convection equation, write the semi-discrete form obtained with periodic boundary conditions
on a 5-point grid (M = 5).
2. Consider the application of the operator given in Eq. 3.52 to the 1-D di usion
equation with Dirichlet boundary conditions. Write the resulting semi-discrete
ODE form. Find the entries in the boundary-condition vector.
3. Write the semi-discrete form resulting from the application of second-order centered di erences to the following equation on the domain 0 x 1 with
boundary conditions u(0) = 0, u(1) = 1:
@u = @ u ; 6x
@t @x
2

2
4.5. PROBLEMS

69

4. Consider a grid with 10 interior points spanning the domain 0 x
. For
initial conditions u(x 0) = sin(mx) and boundary conditions u(0 t) = u( t) =
0, plot the exact solution of the di usion equation with = 1 at t = 1 with
m = 1 and m = 3. (Plot the solution at the grid nodes only.) Calculate the
corresponding modi ed wavenumbers for the second-order centered operator
from Eq. 4.37. Calculate and plot the corresponding ODE solutions.
5. Consider the matrix

A = ;Bp(10 ;1 0 1)=(2 x)
corresponding to the ODE form of the biconvection equation resulting from the
application of second-order central di erencing on a 10-point grid. Note that
the domain is 0 x 2 and x = 2 =10. The grid nodes are given by
xj = j x j = 0 1 : : : 9. The eigenvalues of the above matrix A, as well as the
matrices X and X ; , can be found from Appendix B.4. Using these, compute
and plot the ODE solution at t = 2 for the initial condition u(x 0) = sin x.
Compare with the exact solution of the PDE. Calculate the numerical phase
speed from the modi ed wavenumber corresponding to this initial condition
and show that it is consistent with the ODE solution. Repeat for the initial
condition u(x 0) = sin 2x.
1
70

CHAPTER 4. THE SEMI-DISCRETE APPROACH
Chapter 5
FINITE-VOLUME METHODS
In Chapter 3, we saw how to derive nite-di erence approximations to arbitrary
derivatives. In Chapter 4, we saw that the application of a nite-di erence approximation to the spatial derivatives in our model PDE's produces a coupled set of ODE's.
In this Chapter, we will show how similar semi-discrete forms can be derived using
nite-volume approximations in space. Finite-volume methods have become popular in CFD as a result, primarily, of two advantages. First, they ensure that the
discretization is conservative, i.e., mass, momentum, and energy are conserved in a
discrete sense. While this property can usually be obtained using a nite-di erence
formulation, it is obtained naturally from a nite-volume formulation. Second, nitevolume methods do not require a coordinate transformation in order to be applied on
irregular meshes. As a result, they can be applied on unstructured meshes consisting
of arbitrary polyhedra in three dimensions or arbitrary polygons in two dimensions.
This increased exibility can be used to great advantage in generating grids about
arbitrary geometries.
Finite-volume methods are applied to the integral form of the governing equations,
either in the form of Eq. 2.1 or Eq. 2.2. Consistent with our emphasis on semi-discrete
methods, we will study the latter form, which is

d Z QdV + I n:FdS = Z PdV
dt V (t)
S (t)
V (t)

(5.1)

We will begin by presenting the basic concepts which apply to nite-volume strategies.
Next we will give our model equations in the form of Eq. 5.1. This will be followed
by several examples which hopefully make these concepts clear.
71
72

5.1 Basic Concepts

CHAPTER 5. FINITE-VOLUME METHODS

The basic idea of a nite-volume method is to satisfy the integral form of the conservation law to some degree of approximation for each of many contiguous control
volumes which cover the domain of interest. Thus the volume V in Eq. 5.1 is that of a
control volume whose shape is dependent on the nature of the grid. In our examples,
we will consider only control volumes which do not vary with time. Examining Eq.
5.1, we see that several approximations must be made. The ux is required at the
boundary of the control volume, which is a closed surface in three dimensions and a
closed contour in two dimensions. This ux must then be integrated to nd the net
ux through the boundary. Similarly, the source term P must be integrated over the
control volume. Next a time-marching method1 can be applied to nd the value of
Z

V

QdV

(5.2)

at the next time step.
Let us consider these approximations in more detail. First, we note that the
average value of Q in a cell with volume V is
1 Z QdV
V

(5.3)

I
Z
d
V dt Q + S n:FdS = V PdV

(5.4)

Q

V

and Eq. 5.1 can be written as

for a control volume which does not vary with time. Thus after applying a timemarching method, we have updated values of the cell-averaged quantities Q. In order
to evaluate the uxes, which are a function of Q, at the control-volume boundary, Q
can be represented within the cell by some piecewise approximation which produces
the correct value of Q. This is a form of interpolation often referred to as reconstruction. As we shall see in our examples, each cell will have a di erent piecewise
approximation to Q. When these are used to calculate F(Q), they will generally
produce di erent approximations to the ux at the boundary between two control
volumes, that is, the ux will be discontinuous. A nondissipative scheme analogous
to centered di erencing is obtained by taking the average of these two uxes. Another
approach known as ux-di erence splitting is described in Chapter 11.
The basic elements of a nite-volume method are thus the following:
1

Time-marching methods will be discussed in the next chapter.
5.2. MODEL EQUATIONS IN INTEGRAL FORM

73

1. Given the value of Q for each control volume, construct an approximation to
Q(x y z) in each control volume. Using this approximation, nd Q at the
control-volume boundary. Evaluate F(Q) at the boundary. Since there is a
distinct approximation to Q(x y z) in each control volume, two distinct values
of the ux will generally be obtained at any point on the boundary between two
control volumes.
2. Apply some strategy for resolving the discontinuity in the ux at the controlvolume boundary to produce a single value of F(Q) at any point on the boundary. This issue is discussed in Section 11.4.2.
3. Integrate the ux to nd the net ux through the control-volume boundary
using some sort of quadrature.
4. Advance the solution in time to obtain new values of Q.
The order of accuracy of the method is dependent on each of the approximations.
These ideas should be clari ed by the examples in the remainder of this chapter.
In order to include di usive uxes, the following relation between rQ and Q is
sometimes used:
Z
I
rQdV = nQdS
(5.5)
or, in two dimensions,

V

Z

S

I

A

rQdA = C nQdl

(5.6)

where the unit vector n points outward from the surface or contour.

5.2 Model Equations in Integral Form
5.2.1 The Linear Convection Equation
A two-dimensional form of the linear convection equation can be written as

@u + a cos @u + a sin @u = 0
@t
@x
@y

(5.7)

This PDE governs a simple plane wave convecting the scalar quantity, u(x y t) with
speed a along a straight line making an angle with respect to the x-axis. The
one-dimensional form is recovered with = 0.
CHAPTER 5. FINITE-VOLUME METHODS

74

For unit speed a, the two-dimensional linear convection equation is obtained from
the general divergence form, Eq. 2.3, with

Q = u
F = iu cos + ju sin
P = 0

(5.8)
(5.9)
(5.10)

Since Q is a scalar, F is simply a vector. Substituting these expressions into a twodimensional form of Eq. 2.2 gives the following integral form

d Z udA + I n:(iu cos + ju sin )ds = 0
dt A
C

(5.11)

where A is the area of the cell which is bounded by the closed contour C .

5.2.2 The Di usion Equation

The integral form of the two-dimensional di usion equation with no source term and
unit di usion coe cient is obtained from the general divergence form, Eq. 2.3, with

Q = u
F = ;ru
!
@u + j @u
= ; i @x @y
P = 0
Using these, we nd

(5.12)
(5.13)
(5.14)
(5.15)
!

d Z udA = I n: i @u + j @u ds
dt A
@x @y
C

(5.16)

to be the integral form of the two-dimensional di usion equation.

5.3 One-Dimensional Examples
We restrict our attention to a scalar dependent variable u and a scalar ux f , as in
the model equations. We consider an equispaced grid with spacing x. The nodes of
the grid are located at xj = j x as usual. Control volume j extends from xj ; x=2
to xj + x=2, as shown in Fig. 5.1. We will use the following notation:

xj;1=2 = xj ; x=2

xj+1=2 = xj + x=2

(5.17)
5.3. ONE-DIMENSIONAL EXAMPLES

75
j+1/2

j-1/2
∆ x

j-2

j-1

j
L

R

j+1
L

j+2

R

Figure 5.1: Control volume in one dimension.

uj 1=2 = u(xj 1=2)

fj 1=2 = f (uj 1=2)

With these de nitions, the cell-average value becomes
1 Z xj+1=2 u(x t)dx
u (t)
j

and the integral form becomes

x

xj;1=2

(5.18)
(5.19)

Zx
d ( xu ) + f
; fj;1=2 = x j+1=2 Pdx
(5.20)
j
j +1=2
dt
j ;1=2
Now with = x ; xj , we can expand u(x) in Eq. 5.19 in a Taylor series about xj
(with t xed) to get
2
3
!
!
!
1 Z x=2 4u + @u + 2 @ 2 u + 3 @ 3 u + : : :5 d
uj
x ; x=2 j
@x j 2 @x2 j 6 @x3 j
!
!
x2 @ 2 u + x4 @ 4 u + O( x6 )
= uj + 24 @x2
(5.21)
4
j 1920 @x j

or

uj = uj + O( x2)

(5.22)
where uj is the value at the center of the cell. Hence the cell-average value and the
value at the center of the cell di er by a term of second order.

5.3.1 A Second-Order Approximation to the Convection Equation
In one dimension, the integral form of the linear convection equation, Eq. 5.11, becomes
u
(5.23)
x ddtj + fj+1=2 ; fj;1=2 = 0
76

CHAPTER 5. FINITE-VOLUME METHODS

with f = u. We choose a piecewise constant approximation to u(x) in each cell such
that
u(x) = uj xj;1=2 x xj+1=2
(5.24)
Evaluating this at j + 1=2 gives
fjL+1=2 = f (uL+1=2) = uL+1=2 = uj
(5.25)
j
j
where the L indicates that this approximation to fj+1=2 is obtained from the approximation to u(x) in the cell to the left of xj+1=2 , as shown in Fig. 5.1. The cell to the
right of xj +1=2, which is cell j + 1, gives
fjR =2 = uj+1
(5.26)
+1
Similarly, cell j is the cell to the right of xj;1=2 , giving
fjR 1=2 = uj
(5.27)
;
and cell j ; 1 is the cell to the left of xj;1=2, giving
fjL;1=2 = uj;1
(5.28)
We have now accomplished the rst step from the list in Section 5.1 we have de ned
the uxes at the cell boundaries in terms of the cell-average data. In this example,
the discontinuity in the ux at the cell boundary is resolved by taking the average of
the uxes on either side of the boundary. Thus
1
f^j+1=2 = 2 (fjL+1=2 + fjR =2) = 1 (uj + uj+1)
(5.29)
+1
2
and
1
f^j;1=2 = 2 (fjL;1=2 + fjR 1=2) = 1 (uj;1 + uj )
(5.30)
;
2
where f^ denotes a numerical ux which is an approximation to the exact ux.
Substituting Eqs. 5.29 and 5.30 into the integral form, Eq. 5.23, we obtain
u 1
u
x ddtj + 2 (uj + uj+1) ; 1 (uj;1 + uj ) = x ddtj + 1 (uj+1 ; uj;1) = 0 (5.31)
2
2
With periodic boundary conditions, this point operator produces the following semidiscrete form:
d~ = ; 1 B (;1 0 1)~
u
u
(5.32)
dt
2 x p
5.3. ONE-DIMENSIONAL EXAMPLES

77

This is identical to the expression obtained using second-order centered di erences,
except it is written in terms of the cell average ~ , rather than the nodal values, ~ .
u
u
Hence our analysis and understanding of the eigensystem of the matrix Bp(;1 0 1)
is relevant to nite-volume methods as well as nite-di erence methods. Since the
eigenvalues of Bp(;1 0 1) are pure imaginary, we can conclude that the use of the
average of the uxes on either side of the cell boundary, as in Eqs. 5.29 and 5.30, can
lead to a nondissipative nite-volume method.

5.3.2 A Fourth-Order Approximation to the Convection Equation
Let us replace the piecewise constant approximation in Section 5.3.1 with a piecewise
quadratic approximation as follows
u( ) = a 2 + b + c
(5.33)
where is again equal to x ; xj . The three parameters a, b, and c are chosen to
satisfy the following constraints:
1 Z ; x=2 u( )d = u
j ;1

x ;3 x=2
1

x

1
These constraints lead to

x

Z x=2

; x=2

Z 3 x=2

x=2

u( )d = uj

(5.34)

u( )d = uj+1

j
a = uj+1 ;22ux2+ uj;1

u
b = uj+12 ;x j;1

(5.35)

c = ;uj;1 + 26uj ; uj+1
24
With these values of a, b, and c, the piecewise quadratic approximation produces

the following values at the cell boundaries:
uL+1=2 = 1 (2uj+1 + 5uj ; uj;1)
j
6

(5.36)
78

CHAPTER 5. FINITE-VOLUME METHODS
uR;1=2 = 1 (;uj+1 + 5uj + 2uj;1)
j
6

(5.37)

uR+1=2 = 1 (;uj+2 + 5uj+1 + 2uj )
j
6

(5.38)

1
uL;1=2 = 6 (2uj + 5uj;1 ; uj;2)
j

(5.39)

using the notation de ned in Section 5.3.1. Recalling that f = u, we again use the
average of the uxes on either side of the boundary to obtain
f^j+1=2 = 1 f (uL+1=2) + f (uR+1=2)]
j
2 j
1
(5.40)
= 12 (;uj+2 + 7uj+1 + 7uj ; uj;1)
and

1
f^j;1=2 = 2 f (uL;1=2) + f (uR;1=2)]
j
j
= 1 (;uj+1 + 7uj + 7uj;1 ; uj;2)
12

(5.41)

Substituting these expressions into the integral form, Eq. 5.23, gives
u 1
x ddtj + 12 (;uj+2 + 8uj+1 ; 8uj;1 + uj;2) = 0
(5.42)
This is a fourth-order approximation to the integral form of the equation, as can be
veri ed using Taylor series expansions (see question 1 at the end of this chapter).
With periodic boundary conditions, the following semi-discrete form is obtained:
d~ = ; 1 B (1 ;8 0 8 ;1)~
u
u
(5.43)
dt
12 x p
This is a system of ODE's governing the evolution of the cell-average data.

5.3.3 A Second-Order Approximation to the Di usion Equation

In this section, we describe two approaches to deriving a nite-volume approximation
to the di usion equation. The rst approach is simpler to extend to multidimensions,
while the second approach is more suited to extension to higher order accuracy.
5.3. ONE-DIMENSIONAL EXAMPLES

79

In one dimension, the integral form of the di usion equation, Eq. 5.16, becomes

u
x ddtj + fj+1=2 ; fj;1=2 = 0

(5.44)

with f = ;ru = ;@u=@x. Also, Eq. 5.6 becomes
Zb

a

@u dx = u(b) ; u(a)
@x

(5.45)

We can thus write the following expression for the average value of the gradient of u
over the interval xj x xj+1:
1 Z xj+1 @u dx = 1 (u ; u )
(5.46)

x

xj

x j+1

@x

j

From Eq. 5.22, we know that the value of a continuous function at the center of a given
interval is equal to the average value of the function over the interval to second-order
accuracy. Hence, to second-order, we can write
!
@u
f^ = ;
= ; 1 (u ; u )
(5.47)
j +1=2

@x j+1=2

x j+1

j

Similarly,

f^j;1=2 = ; 1x (uj ; uj;1)

(5.48)

Substituting these into the integral form, Eq. 5.44, we obtain
x duj = 1 (u ; 2u + u )

(5.49)

or, with Dirichlet boundary conditions,
d~ = 1 B (1 ;2 1)~ + bc
u
u ~
2

(5.50)

dt

dt

x

j ;1

j

x

j +1

This provides a semi-discrete nite-volume approximation to the di usion equation,
and we see that the properties of the matrix B (1 ;2 1) are relevant to the study of
nite-volume methods as well as nite-di erence methods.
For our second approach, we use a piecewise quadratic approximation as in Section
5.3.2. From Eq. 5.33 we have

@u = @u = 2a + b
@x @

(5.51)
CHAPTER 5. FINITE-VOLUME METHODS

80

with a and b given in Eq. 5.35. With f = ;@u=@x, this gives
f R = f L = ; 1 (u ; u )
j +1=2

x j+1

j +1=2

j

fjR 1=2 = fjL;1=2 = ; 1x (uj ; uj;1)
;

(5.52)
(5.53)

Notice that there is no discontinuity in the ux at the cell boundary. This produces
duj = 1 (u ; 2u + u )
(5.54)

x2

dt

j ;1

j

j +1

which is identical to Eq. 5.49. The resulting semi-discrete form with periodic boundary conditions is
d~ = 1 B (1 ;2 1)~
u
u
(5.55)

dt

x2

p

which is written entirely in terms of cell-average data.

5.4 A Two-Dimensional Example
The above one-dimensional examples of nite-volume approximations obscure some
of the practical aspects of such methods. Thus our nal example is a nite-volume
approximation to the two-dimensional linear convection equation on a grid consisting
of regular triangles, as shown in Figure 5.2. As in Section 5.3.1, we use a piecewise
constant approximation in each control volume and the ux at the control volume
boundary is the average of the uxes obtained on either side of the boundary. The
nodal data are stored at the vertices of the triangles formed by the grid. The control
volumes are regular hexagons with area A, is the length of the sides of the triangles,
and ` is the length of the sides of the hexagons. The following relations hold between
`, , and A.
1
` = p
3
p
A = 3 2 3 `2
` = 2
(5.56)
A
3
The two-dimensional form of the conservation law is

d Z QdA + I n:Fdl = 0
dt A
C

(5.57)
5.4. A TWO-DIMENSIONAL EXAMPLE

81

c

b

2
3

p

1

l

d

a

∆

4

0
5

e

f

Figure 5.2: Triangular grid.
where we have ignored the source term. The contour in the line integral is composed
of the sides of the hexagon. Since these sides are all straight, the unit normals can
be taken outside the integral and the ux balance is given by
5
d Z Q dA + X n
dt A
=0

Z

Fdl = 0

where indexes a side of the hexagon, as shown in Figure 5.2. A list of the normals
for the mesh orientation shown is given in Table 5.1.
Side
0
1
2
3
4
5

Outward Normal n

p

(i ; 3 j)=2
pi
(i + p j)=2
3
(;i + 3 j)=2
;i
p
(;i ; 3 j)=2

Table 5.1. Outward normals, see Fig. 5.2.
i and j are unit normals along x and y, respectively.
CHAPTER 5. FINITE-VOLUME METHODS

82

For Eq. 5.11, the two-dimensional linear convection equation, we have for side

n

Z

Fdl = n (i cos + j sin )

Z `=2

;`=2

u ( )d

(5.58)

where is a length measured from the middle of a side . Making the change of
variable z = =`, one has the expression
Z `=2

Z 1=2

u( )d = ` ;1=2 u(z)dz
(5.59)
Then, in terms of u and the hexagon area A, we have

#
5
d Z u dA + X n (i cos + j sin ) ` Z 1=2 u(z)dz = 0
(5.60)
dt A
;1=2
=0
The values of n (i cos + j sin ) are given by the expressions in Table 5.2. There
;`=2

are no numerical approximations in Eq. 5.60. That is, if the integrals in the equation
are evaluated exactly, the integrated time rate of change of the integral of u over the
area of the hexagon is known exactly.
Side

n (i cos + j sin )

0
1
2
3
4
5

(cos ; 3 sin )=2
cos
p
(cos + p sin )=2
3
(; cos + 3 sin )=2
; cos
p
(; cos ; 3 sin )=2

p

Table 5.2. Weights of ux integrals, see Eq. 5.60.
Introducing the cell average,
Z

A

u dA = Aup

(5.61)

and the piecewise-constant approximation u = up over the entire hexagon, the approximation to the ux integral becomes trivial. Taking the average of the ux on
either side of each edge of the hexagon gives for edge 1:
Z
up + ua Z 1=2 dz = up + ua
u(z)dz = 2 ;1=2
(5.62)
2
1
5.5. PROBLEMS

83

Similarly, we have for the other ve edges:
Z

u(z)dz = up + ub
2
2

Z

(5.63)

u(z)dz = up + uc
2
3

Z

(5.64)

u(z)dz = up + ud
2
4

(5.65)

Z

u(z)dz = up + ue
2
5

(5.66)

u(z)dz = up + uf
2
0

(5.67)

p
u `
A ddtp + 2 (2 cos )(ua ; ud) + (cos + 3 sin )(ub ; ue)
p
+(; cos + 3 sin )(uc ; uf )] = 0

(5.68)

dup + 1 (2 cos )(u ; u ) + (cos + p3 sin )(u ; u )
a
d
b
e
dt 3
p
+(; cos + 3 sin )(uc ; uf )] = 0

(5.69)

Z

Substituting these into Eq. 5.60, along with the expressions in Table 5.2, we obtain

or

The reader can verify, using Taylor series expansions, that this is a second-order
approximation to the integral form of the two-dimensional linear convection equation.

5.5 Problems
1. Use Taylor series to verify that Eq. 5.42 is a fourth-order approximation to Eq.
5.23.
2. Find the semi-discrete ODE form governing the cell-average data resulting from
the use of a linear approximation in developing a nite-volume method for the
linear convection equation. Use the following linear approximation:

u( ) = a + b
CHAPTER 5. FINITE-VOLUME METHODS

84
where b = uj and

u
a = uj+12 ;x j;1

and use the average ux at the cell interface.
3. Using the rst approach given in Section 5.3.3, derive a nite-volume approximation to the spatial terms in the two-dimensional di usion equation on a
square grid.
4. Repeat question 3 for a grid consisting of equilateral triangles.
Chapter 6
TIME-MARCHING METHODS
FOR ODE'S
After discretizing the spatial derivatives in the governing PDE's (such as the NavierStokes equations), we obtain a coupled system of nonlinear ODE's in the form

d~ = F (~ t)
u ~u
dt

(6.1)

These can be integrated in time using a time-marching method to obtain a timeaccurate solution to an unsteady ow problem. For a steady ow problem, spatial
discretization leads to a coupled system of nonlinear algebraic equations in the form
~u
F (~ ) = 0
(6.2)
As a result of the nonlinearity of these equations, some sort of iterative method is
required to obtain a solution. For example, one can consider the use of Newton's
method, which is widely used for nonlinear algebraic equations (See Section 6.10.3.).
This produces an iterative method in which a coupled system of linear algebraic
equations must be solved at each iteration. These can be solved iteratively using
relaxation methods, which will be discussed in Chapter 9, or directly using Gaussian
elimination or some variation thereof.
Alternatively, one can consider a time-dependent path to the steady state and use
a time-marching method to integrate the unsteady form of the equations until the
solution is su ciently close to the steady solution. The subject of the present chapter,
time-marching methods for ODE's, is thus relevant to both steady and unsteady ow
problems. When using a time-marching method to compute steady ows, the goal is
simply to remove the transient portion of the solution as quickly as possible timeaccuracy is not required. This motivates the study of stability and sti ness, topics
which are covered in the next two chapters.
85
86

CHAPTER 6. TIME-MARCHING METHODS FOR ODE'S

Application of a spatial discretization to a PDE produces a coupled system of
ODE's. Application of a time-marching method to an ODE produces an ordinary
di erence equation (O E ). In earlier chapters, we developed exact solutions to our
model PDE's and ODE's. In this chapter we will present some basic theory of linear
O E's which closely parallels that for linear ODE's, and, using this theory, we will
develop exact solutions for the model O E's arising from the application of timemarching methods to the model ODE's.

6.1 Notation
Using the semi-discrete approach, we reduce our PDE to a set of coupled ODE's
represented in general by Eq. 4.1. However, for the purpose of this chapter, we need
only consider the scalar case

du = u0 = F (u t)
dt

(6.3)

Although we use u to represent the dependent variable, rather than w, the reader
should recall the arguments made in Chapter 4 to justify the study of a scalar ODE.
Our rst task is to nd numerical approximations that can be used to carry out the
time integration of Eq. 6.3 to some given accuracy, where accuracy can be measured
either in a local or a global sense. We then face a further task concerning the numerical
stability of the resulting methods, but we postpone such considerations to the next
chapter.
In Chapter 2, we introduced the convention that the n subscript, or the (n) superscript, always points to a discrete time value, and h represents the time interval
t. Combining this notation with Eq. 6.3 gives
u0n = Fn = F (un tn)
tn = nh
Often we need a more sophisticated notation for intermediate time steps involving
temporary calculations denoted by u, u, etc. For these we use the notation
~
~
u0n+ = Fn+ = F (~n+ tn + h)
~
u
The choice of u0 or F to express the derivative in a scheme is arbitrary. They are
both commonly used in the literature on ODE's.
The methods we study are to be applied to linear or nonlinear ODE's, but the
methods themselves are formed by linear combinations of the dependent variable and
its derivative at various time intervals. They are represented conceptually by
(6.4)
un+1 = f 1 u0n+1 0u0n ;1u0n;1
0 un ;1 un;1
6.2. CONVERTING TIME-MARCHING METHODS TO O E'S

87

With an appropriate choice of the 0s and 0s, these methods can be constructed
to give a local Taylor series accuracy of any order. The methods are said to be
explicit if 1 = 0 and implicit otherwise. An explicit method is one in which the new
predicted solution is only a function of known data, for example, u0n, u0n;1, un and
un;1 for a method using two previous time levels, and therefore the time advance is
simple. For an implicit method, the new predicted solution is also a function of the
time derivative at the new time level, that is, u0n+1. As we shall see, for systems of
ODE's and nonlinear problems, implicit methods require more complicated strategies
to solve for un+1 than explicit methods.

6.2 Converting Time-Marching Methods to O E's
Examples of some very common forms of methods used for time-marching general
ODE's are:

un+1 = un + hu0n

(6.5)

un+1 = un + hu0n+1

(6.6)

and

un+1 = un + hu0n
~
1
~
~
un+1 = 2 un + un+1 + hu0n+1]

(6.7)

According to the conditions presented under Eq. 6.4, the rst and third of these are
examples of explicit methods. We refer to them as the explicit Euler method and the
MacCormack predictor-corrector method,1 respectively. The second is implicit and
referred to as the implicit (or backward) Euler method.
These methods are simple recipes for the time advance of a function in terms of its
value and the value of its derivative, at given time intervals. The material presented
in Chapter 4 develops a basis for evaluating such methods by introducing the concept
of the representative equation

du = u0 = u + ae t
(6.8)
dt
written here in terms of the dependent variable, u. The value of this equation arises
from the fact that, by applying a time-marching method, we can analytically convert

1 Here we give only MacCormack's time-marching method. The method commonly referred to as

MacCormack's method, which is a fully-discrete method, will be presented in Section 11.3
88

CHAPTER 6. TIME-MARCHING METHODS FOR ODE'S

such a linear ODE into a linear O E . The latter are subject to a whole body of
analysis that is similar in many respects to, and just as powerful as, the theory of
ODE's. We next consider examples of this conversion process and then go into the
general theory on solving O E's.
Apply the simple explicit Euler scheme, Eq. 6.5, to Eq. 6.8. There results
un+1 = un + h( un + ae hn)
or
un+1 ; (1 + h)un = hae hn
(6.9)
Eq. 6.9 is a linear O E , with constant coe cients, expressed in terms of the dependent variable un and the independent variable n. As another example, applying the
implicit Euler method, Eq. 6.6, to Eq. 6.8, we nd
un+1 = un + h un+1 + ae h(n+1)
or
(1 ; h)un+1 ; un = he h ae hn
(6.10)
As a nal example, the predictor-corrector sequence, Eq. 6.7, gives
un+1 ; (1 + h)un = ahe hn
~
1
u
(6.11)
; 2 (1 + h)~n+1 + un+1 ; 1 un = 1 ahe h(n+1)
2
2
which is a coupled set of linear O E's with constant coe cients. Note that the rst
line in Eq. 6.11 is identical to Eq. 6.9, since the predictor step in Eq. 6.7 is simply
the explicit Euler method. The second line in Eq. 6.11 is obtained by noting that
u0n+1 = F (~n+1 tn + h)
~
u
= un+1 + ae h(n+1)
~
(6.12)
Now we need to develop techniques for analyzing these di erence equations so that
we can compare the merits of the time-marching methods that generated them.

6.3 Solution of Linear O E's With Constant Coe cients
The techniques for solving linear di erence equations with constant coe cients is as
well developed as that for ODE's and the theory follows a remarkably parallel path.
This is demonstrated by repeating some of the developments in Section 4.2, but for
di erence rather than di erential equations.
6.3. SOLUTION OF LINEAR O E'S WITH CONSTANT COEFFICIENTS

89

6.3.1 First- and Second-Order Di erence Equations
First-Order Equations

The simplest nonhomogeneous O E of interest is given by the single rst-order equation

un+1 = un + abn

(6.13)

where , a, and b are, in general, complex parameters. The independent variable is
now n rather than t, and since the equations are linear and have constant coe cients,
is not a function of either n or u. The exact solution of Eq. 6.13 is
n

un = c1 n + bab
;

where c1 is a constant determined by the initial conditions. In terms of the initial
value of u it can be written
n;
un = u0 n + a b b ;

n

Just as in the development of Eq. 4.10, one can readily show that the solution of the
defective case, (b = ),
un+1 = un + a n
is
h
i
un = u0 + an ;1 n
This can all be easily veri ed by substitution.

Second-Order Equations
The homogeneous form of a second-order di erence equation is given by

un+2 + a1 un+1 + a0un = 0

(6.14)

d
Instead of the di erential operator D dt used for ODE's, we use for O E's the
di erence operator E (commonly referred to as the displacement or shift operator)
and de ned formally by the relations

un+1 = Eun

un+k = E k un

Further notice that the displacement operator also applies to exponents, thus

b bn = bn+ = E bn
90

CHAPTER 6. TIME-MARCHING METHODS FOR ODE'S

where can be any fraction or irrational number.
The roles of D and E are the same insofar as once they have been introduced to
the basic equations the value of u(t) or un can be factored out. Thus Eq. 6.14 can
now be re-expressed in an operational notion as
(E 2 + a1E + a0)un = 0

(6.15)

which must be zero for all un. Eq. 6.15 is known as the operational form of Eq. 6.14.
The operational form contains a characteristic polynomial P (E ) which plays the same
role for di erence equations that P (D) played for di erential equations that is, its
roots determine the solution to the O E. In the analysis of O E's, we label these
roots 1 , 2 , , etc, and refer to them as the -roots. They are found by solving the
equation P ( ) = 0. In the simple example given above, there are just two roots
and in terms of them the solution can be written

un = c1( 1 )n + c2( 2 )n

(6.16)

where c1 and c2 depend upon the initial conditions. The fact that Eq. 6.16 is a
solution to Eq. 6.14 for all c1 c2 and n should be veri ed by substitution.

6.3.2 Special Cases of Coupled First-Order Equations
A Complete System

Coupled, rst-order, linear homogeneous di erence equations have the form

u(1n+1) = c11u(1n) + c12 u(2n)
u(2n+1) = c21u(1n) + c22 u(2n)

which can also be written

~ n+1 = C~ n
u
u

~ n = hu(1n) u(2n)iT
u

(6.17)

C = c11 c12
c21 c22

The operational form of Eq. 6.17 can be written

u1 (n) = C ; E I ]~ = 0
un
c21
(c22 ; E ) u2
which must be zero for all u1 and u2. Again we are led to a characteristic polynomial,
this time having the form P (E ) = det C ; E I ]. The -roots are found from
P ( ) = det (c11c ; ) (c c12 ) = 0
21
22 ;
(c11 ; E )

c12
6.4. SOLUTION OF THE REPRESENTATIVE O E'S

91

Obviously the k are the eigenvalues of C and, following the logic of Section 4.2,
~ are its eigenvectors, the solution of Eq. 6.17 is
if x
2
~ n = X ck ( k )n~ k
u
x
k=1

where ck are constants determined by the initial conditions.

A Defective System

The solution of O E's with defective eigensystems follows closely the logic in Section
4.2.2 for defective ODE's. For example, one can show that the solution to

2
3 2
un+1 7 6
6 un+1 5 = 4 1
4^
un+1
1

32 3
7 6 un 7
^
5 4 un 5
un

is

un = u0 n
h
i
un = u0 + u0n ;1 n
^
^

#
;1 + u n(n ; 1) ;2
un = u0 + u0n
^
0 2

n

(6.18)

6.4 Solution of the Representative O E's
6.4.1 The Operational Form and its Solution

Examples of the nonhomogeneous, linear, rst-order ordinary di erence equations,
produced by applying a time-marching method to the representative equation, are
given by Eqs. 6.9 to 6.11. Using the displacement operator, E , these equations can
be written

E ; (1 + h)]un = h ae hn
(1 ; h)E ; 1]un = h E ae



(6.19)
hn

;(1 + h) #  u # = h  1 # ae hn
~
1E
1 (1 + h)E E ; 1
u n
;2
2
2
E

(6.20)
(6.21)
92

CHAPTER 6. TIME-MARCHING METHODS FOR ODE'S

All three of these equations are subsets of the operational form of the representative
O E
P (E )un = Q(E ) ae hn
(6.22)
which is produced by applying time-marching methods to the representative ODE, Eq.
4.45. We can express in terms of Eq. 6.22 all manner of standard time-marching methods having multiple time steps and various types of intermediate predictor-corrector
families. The terms P (E ) and Q(E ) are polynomials in E referred to as the characteristic polynomial and the particular polynomial, respectively.
The general solution of Eq. 6.22 can be expressed as
K
h
X
un = ck ( k )n + ae hn Q(e h)
(6.23)
P (e )
k=1
where k are the K roots of the characteristic polynomial, P ( ) = 0. When determinants are involved in the construction of P (E ) and Q(E ), as would be the case for
Eq. 6.21, the ratio Q(E )=P (E ) can be found by Kramer's rule. Keep in mind that
for methods such as in Eq. 6.21 there are multiple (two in this case) solutions, one
for un and un and we are usually only interested in the nal solution un. Notice also,
~
the important subset of this solution which occurs when = 0, representing a time
invariant particular solution, or a steady state. In such a case
K
X
Q(1)
un = ck ( k )n + a P (1)
k=1

6.4.2 Examples of Solutions to Time-Marching O E's

As examples of the use of Eqs. 6.22 and 6.23, we derive the solutions of Eqs. 6.19 to
6.21. For the explicit Euler method, Eq. 6.19, we have
P (E ) = E ; 1 ; h
Q(E ) = h
(6.24)
and the solution of its representative O E follows immediately from Eq. 6.23:

un = c1(1 + h)n + ae hn

e

h

h;1;

For the implicit Euler method, Eq. 6.20, we have
P (E ) = (1 ; h)E ; 1
Q(E ) = hE

h
(6.25)
6.5. THE ; RELATION
so

93

he h
1 n
un = c1 1 ; h + ae hn
(1 ; h)e h ; 1

In the case of the coupled predictor-corrector equations, Eq. 6.21, one solves for the
nal family un (one can also nd a solution for the intermediate family u), and there
~
results
#

E
;(1 + h) = E E ; 1 ; h ; 1 2h2
P (E ) = det ; 1 (1 + h)E E ; 1
2
2
2
h
Q(E ) = det ; 1 (1 E h)E 1 hE = 1 hE (E + 1 + h)
2
2 +
2
The -root is found from
1
P( ) =
; 1 ; h ; 2 2 h2 = 0
which has only one nontrivial root ( = 0 is simply a shift in the reference index).
The complete solution can therefore be written
1 h
1 2h2 n + ae hn 2 h e + 1 + h
un = c1 1 + h + 2
(6.26)
e h ; 1 ; h ; 1 2h2
2

6.5 The ; Relation

6.5.1 Establishing the Relation

We have now been introduced to two basic kinds of roots, the -roots and the -roots.
The former are the eigenvalues of the A matrix in the ODE's found by space di erencing the original PDE, and the latter are the roots of the characteristic polynomial
in a representative O E found by applying a time-marching method to the representative ODE. There is a fundamental relation between the two which can be used
to identify many of the essential properties of a time-march method. This relation is
rst demonstrated by developing it for the explicit Euler method.
First we make use of the semi-discrete approach to nd a system of ODE's and
then express its solution in the form of Eq. 4.27. Remembering that t = nh, one can
write
n
u(t) = c1 e 1 h ~ 1 +
x

+ cm e

mh n

~m +
x

+ cM e

Mh n

~ M + P:S: (6.27)
x
CHAPTER 6. TIME-MARCHING METHODS FOR ODE'S

94

where for the present we are not interested in the form of the particular solution
(P:S:). Now the explicit Euler method produces for each -root, one -root, which
is given by = 1 + h. So if we use the Euler method for the time advance of the
ODE's, the solution2 of the resulting O E is

un = c1( 1 )n ~ 1 +
x

+ cm ( m )n ~ m +
x

+ cM ( M )n ~ M + P:S:
x

(6.28)

where the cm and the ~ m in the two equations are identical and m = (1 + m h).
x
Comparing Eq. 6.27 and Eq. 6.28, we see a correspondence between m and e m h.
Since the value of e h can be expressed in terms of the series
1
e h = 1 + h + 2 2h2 + 1 3h3 +
6

1
+ n! nhn +

the truncated expansion = 1 + h is a reasonable3 approximation for small enough
h.
Suppose, instead of the Euler method, we use the leapfrog method for the time
advance, which is de ned by

un+1 = un;1 + 2hu0n

(6.29)

Applying Eq. 6.8 to Eq. 6.29, we have the characteristic polynomial P (E ) = E 2 ;
2 hE ; 1, so that for every the must satisfy the relation
2

m ; 2 mh m ; 1 = 0

(6.30)

Now we notice that each produces two -roots. For one of these we nd
m

q
h+ 1+
m
1
= 1 + mh + 2
=

2 h2
m

2 h2 ; 1 4 h4 +
m

8

m

This is an approximation to e m h with an error O( 3h3). The other root,
q
1 + 2 h2 , will be discussed in Section 6.5.3.
m
2 Based on Section 4.4.
3 The error is O( 2 h2 ).

(6.31)
(6.32)
mh

;
6.5. THE ; RELATION

95

6.5.2 The Principal -Root

Based on the above we make the following observation:
Application of the same time-marching method to all of the equations in
a coupled system linear ODE's in the form of Eq. 4.6, always produces
one -root for every -root that satis es the relation
(6.33)
1 2h2 + + 1 k hk + O hk+1
=1+ h+ 2
k!
where k is the order of the time-marching method.

We refer to the root that has the above property as the principal -root, and designate
it ( m )1 . The above property can be stated regardless of the details of the timemarching method, knowing only that its leading error is O hk+1 . Thus the principal
root is an approximation to e h up to O hk .
Note that a second-order approximation to a derivative written in the form
( t u)n = 1 (un+1 ; un;1)
(6.34)
2h
has a leading truncation error which is O(h2), while the second-order time-marching
method which results from this approximation, which is the leapfrog method:

un+1 = un;1 + 2hu0n

(6.35)

has a leading truncation error O(h3). This arises simply because of our notation
for the time-marching method in which we have multiplied through by h to get an
approximation for the function un+1 rather than the derivative as in Eq. 6.34. The
following example makes this clear. Consider a solution obtained at a given time T
using a second-order time-marching method with a time step h. Now consider the
solution obtained using the same method with a time step h=2. Since the error per
time step is O(h3), this is reduced by a factor of eight (considering the leading term
only). However, twice as many time steps are required to reach the time T . Therefore
the error at the end of the simulation is reduced by a factor of four, consistent with
a second-order approximation.

6.5.3 Spurious -Roots

We saw from Eq. 6.30 that the ; relation for the leapfrog method produces two
-roots for each . One of these we identi ed as the principal root which always
96

CHAPTER 6. TIME-MARCHING METHODS FOR ODE'S

has the property given in 6.33. The other is referred to as a spurious -root and
designated ( m )2 . In general, the ; relation produced by a time-marching scheme
can result in multiple -roots all of which, except for the principal one, are spurious.
All spurious roots are designated ( m )k where k = 2 3 . No matter whether a
-root is principal or spurious, it is always some algebraic function of the product h.
To express this fact we use the notation = ( h).
If a time-marching method produces spurious -roots, the solution for the O E in
the form shown in Eq. 6.28 must be modi ed. Following again the message of Section
4.4, we have
un = c11 ( 1 )n ~ 1 + + cm1( m )n ~ m + + cM 1 ( M )n ~ M + P:S:
1x
1x
1x
n~ +
n~ +
+c12 ( 1)2 x1
+ cm2 ( m )2 xm
+ cM 2 ( M )n ~ M
2x
n~ +
n~ +
+c13 ( 1)3 x1
+ cm3 ( m )3 xm
+ cM 3 ( M )n ~ M
3x
+etc., if there are more spurious roots
(6.36)
Spurious roots arise if a method uses data from time level n ; 1 or earlier to
advance the solution from time level n to n + 1. Such roots originate entirely from
the numerical approximation of the time-marching method and have nothing to do
with the ODE being solved. However, generation of spurious roots does not, in itself,
make a method inferior. In fact, many very accurate methods in practical use for
integrating some forms of ODE's have spurious roots.
It should be mentioned that methods with spurious roots are not self starting.
For example, if there is one spurious root to a method, all of the coe cients (cm )2
in Eq. 6.36 must be initialized by some starting procedure. The initial vector ~ 0
u
does not provide enough data to initialize all of the coe cients. This results because
methods which produce spurious roots require data from time level n ; 1 or earlier.
For example, the leapfrog method requires ~ n;1 and thus cannot be started using
u
only ~ n.
u
Presumably (i.e., if one starts the method properly) the spurious coe cients are
all initialized with very small magnitudes, and presumably the magnitudes of the
spurious roots themselves are all less than one (see Chapter 7). Then the presence of
spurious roots does not contaminate the answer. That is, after some nite time the
amplitude of the error associated with the spurious roots is even smaller then when
it was initialized. Thus while spurious roots must be considered in stability analysis,
they play virtually no role in accuracy analysis.

6.5.4 One-Root Time-Marching Methods

There are a number of time-marching methods that produce only one -root for each
-root. We refer to them as one-root methods. They are also called one-step methods.
6.6. ACCURACY MEASURES OF TIME-MARCHING METHODS

97

They have the signi cant advantage of being self-starting which carries with it the
very useful property that the time-step interval can be changed at will throughout
the marching process. Three one-root methods were analyzed in Section 6.4.2. A
popular method having this property, the so-called -method, is given by the formula
h
i
un+1 = un + h (1 ; )u0n + u0n+1

1
The -method represents the explicit Euler ( = 0), the trapezoidal ( = 2 ), and the
implicit Euler methods ( = 1), respectively. Its ; relation is
)
= 1 +1(1 ; h h
;
It is instructive to compare the exact solution to a set of ODE's (with a complete
eigensystem) having time-invariant forcing terms with the exact solution to the O E's
for one-root methods. These are
~ (t) = c1 e 1 h n ~ 1 + + cm e m h n ~ m + + cM e M h n ~ M + A;1~
u
x
x
x
f
~ n = c1( 1 )n ~ 1 + + cm( m )n ~ m + + cM ( M )n ~ M + A;1~
u
x
x
x
f
(6.37)
respectively. Notice that when t and n = 0, these equations are identical, so that all
the constants, vectors, and matrices are identical except the ~ and the terms inside
u
the parentheses on the right hand sides. The only error made by introducing the time
marching is the error that makes in approximating e h.

6.6 Accuracy Measures of Time-Marching Methods
6.6.1 Local and Global Error Measures

There are two broad categories of errors that can be used to derive and evaluate timemarching methods. One is the error made in each time step. This is a local error such
as that found from a Taylor table analysis, see Section 3.4. It is usually used as the
basis for establishing the order of a method. The other is the error determined at the
end of a given event which has covered a speci c interval of time composed of many
time steps. This is a global error. It is useful for comparing methods, as we shall see
in Chapter 8.
It is quite common to judge a time-marching method on the basis of results found
from a Taylor table. However, a Taylor series analysis is a very limited tool for nding
the more subtle properties of a numerical time-marching method. For example, it is
of no use in:
CHAPTER 6. TIME-MARCHING METHODS FOR ODE'S

98

nding spurious roots.
evaluating numerical stability and separating the errors in phase and amplitude.
analyzing the particular solution of predictor-corrector combinations.
nding the global error.
The latter three of these are of concern to us here, and to study them we make use of
the material developed in the previous sections of this chapter. Our error measures
are based on the di erence between the exact solution to the representative ODE,
given by
t
u(t) = ce t + ae
;

(6.38)

and the solution to the representative O E's, including only the contribution from
the principal root, which can be written as
h
un = c1 ( 1)n + ae hn Q(e h )
P (e )

6.6.2 Local Accuracy of the Transient Solution (er
Transient error

(6.39)
j

j

er! )

The particular choice of an error measure, either local or global, is to some extent
arbitrary. However, a necessary condition for the choice should be that the measure
can be used consistently for all methods. In the discussion of the - relation we
saw that all time-marching methods produce a principal -root for every -root that
exists in a set of linear ODE's. Therefore, a very natural local error measure for the
transient solution is the value of the di erence between solutions based on these two
roots. We designate this by er and make the following de nition

er

e h; 1

The leading error term can be found by expanding in a Taylor series and choosing
the rst nonvanishing term. This is similar to the error found from a Taylor table.
The order of the method is the last power of h matched exactly.
6.6. ACCURACY MEASURES OF TIME-MARCHING METHODS

99

Amplitude and Phase Error
Suppose a eigenvalue is imaginary. Such can indeed be the case when we study the
equations governing periodic convection which produces harmonic motion. For such
cases it is more meaningful to express the error in terms of amplitude and phase.
Let = i! where ! is a real number representing a frequency. Then the numerical
method must produce a principal -root that is complex and expressible in the form
(6.40)
1 = r + i i ei!h
From this it follows that the local error in amplitude is measured by the deviation of
j 1 j from unity, that is

q
era = 1 ; j 1 j = 1 ; ( 1)2 + ( 1 )2
i
r

and the local error in phase can be de ned as

er! !h ; tan;1 ( 1 )i=( 1 )r )]

(6.41)
Amplitude and phase errors are important measures of the suitability of time-marching
methods for convection and wave propagation phenomena.
The approach to error analysis described in Section 3.5 can be extended to the
combination of a spatial discretization and a time-marching method applied to the
linear convection equation. The principal root, 1( h), is found using = ;ia ,
where is the modi ed wavenumber of the spatial discretization. Introducing the
Courant number, Cn = ah= x, we have h = ;iCn x. Thus one can obtain
values of the principal root over the range 0
x
for a given value of the
Courant number. The above expression for er! can be normalized to give the error
in the phase speed, as follows
;1
(6.42)
er = er! = 1 + tan ( 1)i =( 1)r )]
p

!h

Cn x

where ! = ;a . A positive value of erp corresponds to phase lag (the numerical phase
speed is too small), while a negative value corresponds to phase lead (the numerical
phase speed is too large).

6.6.3 Local Accuracy of the Particular Solution (er )

The numerical error in the particular solution is found by comparing the particular
solution of the ODE with that for the O E. We have found these to be given by
1
P:S:(ODE) = ae t ( ; )
100
and

CHAPTER 6. TIME-MARCHING METHODS FOR ODE'S
h
P:S:(O E) = ae t Q(e h)
P (e )

respectively. For a measure of the local error in the particular solution we introduce
the de nition

er

(

)

P:S:
h P:S:(O E) ; 1
(ODE )

(6.43)

The multiplication by h converts the error from a global measure to a local one, so
that the order of er and er are consistent. In order to determine the leading error
term, Eq. 6.43 can be written in terms of the characteristic and particular polynomials
as

er = co
;
where

n

( ; )Q e

h

;P e h

o

(6.44)

co = h!0 h( ;h )
lim
P e

The value of co is a method-dependent constant that is often equal to one. If the
forcing function is independent of time, is equal to zero, and for this case, many
numerical methods generate an er that is also zero.
The algebra involved in nding the order of er can be quite tedious. However,
this order is quite important in determining the true order of a time-marching method
by the process that has been outlined. An illustration of this is given in the section
on Runge-Kutta methods.

6.6.4 Time Accuracy For Nonlinear Applications

In practice, time-marching methods are usually applied to nonlinear ODE's, and it
is necessary that the advertised order of accuracy be valid for the nonlinear cases as
well as for the linear ones. A necessary condition for this to occur is that the local
accuracies of both the transient and the particular solutions be of the same order.
More precisely, a time-marching method is said to be of order k if

er = c1 ( h)k1+1
er = c2 ( h)k2+1
where k = smallest of(k1 k2)

(6.45)
(6.46)
(6.47)
6.6. ACCURACY MEASURES OF TIME-MARCHING METHODS

101

The reader should be aware that this is not su cient. For example, to derive all of
the necessary conditions for the fourth-order Runge-Kutta method presented later
in this chapter the derivation must be performed for a nonlinear ODE. However, the
analysis based on a linear nonhomogeneous ODE produces the appropriate conditions
for the majority of time-marching methods used in CFD.

6.6.5 Global Accuracy
In contrast to the local error measures which have just been discussed, we can also
de ne global error measures. These are useful when we come to the evaluation of
time-marching methods for speci c purposes. This subject is covered in Chapter 8
after our introduction to stability in Chapter 7.
Suppose we wish to compute some time-accurate phenomenon over a xed interval
of time using a constant time step. We refer to such a computation as an event.
Let T be the xed time of the event and h be the chosen step size. Then the required
number of time steps, is N, given by the relation

T = Nh

Global error in the transient
A natural extension of er to cover the error in an entire event is given by

Er

e T ; ( 1 ( h))N

(6.48)

Global error in amplitude and phase
If the event is periodic, we are more concerned with the global error in amplitude and
phase. These are given by

q

Era = 1 ;
and

( 1 )2 + ( 1)2
i
r



N

(6.49)

!#

( )
Er!
N !h ; tan;1 ( 1) i
1r
;1 ( ) =( ) ]
= !T ; N tan
1i 1r

(6.50)
CHAPTER 6. TIME-MARCHING METHODS FOR ODE'S

102

Global error in the particular solution
Finally, the global error in the particular solution follows naturally by comparing the
solutions to the ODE and the O E. It can be measured by

Er

( ; )

Qeh
;1
P eh

6.7 Linear Multistep Methods
In the previous sections, we have developed the framework of error analysis for time
advance methods and have randomly introduced a few methods without addressing
motivational, developmental or design issues. In the subsequent sections, we introduce
classes of methods along with their associated error analysis. We shall not spend much
time on development or design of these methods, since most of them have historic
origins from a wide variety of disciplines and applications. The Linear Multistep
Methods (LMM's) are probably the most natural extension to time marching of the
space di erencing schemes introduced in Chapter 3 and can be analyzed for accuracy
or designed using the Taylor table approach of Section 3.4.

6.7.1 The General Formulation
When applied to the nonlinear ODE

du = u0 = F(u t)
dt

all linear multistep methods can be expressed in the general form
1
X
k=1;K

k un+k = h

1
X
k=1;K

k Fn+k

(6.51)

where the notation for F is de ned in Section 6.1. The methods are said to be linear
because the 's and 's are independent of u and n, and they are said to be K -step
because K time-levels of data are required to marching the solution one time-step, h.
They are explicit if 1 = 0 and implicit otherwise.
When Eq. 6.51 is applied to the representative equation, Eq. 6.8, and the result is
expressed in operational form, one nds

0 1
@ X

k=1;K

1
0 1
X
k
k E Aun = h@

k=1;K

1
k
hn
k E A( un + ae )

(6.52)
6.7. LINEAR MULTISTEP METHODS

103

We recall from Section 6.5.2 that a time-marching method when applied to the representative equation must provide a -root, labeled 1, that approximates e h through
the order of the method. The condition referred to as consistency simply means that
! 1 as h ! 0, and it is certainly a necessary condition for the accuracy of any
time marching method. We can also agree that, to be of any value in time accuracy,
a method should at least be rst-order accurate, that is ! (1 + h) as h ! 0. One
can show that these conditions are met by any method represented by Eq. 6.51 if
X
X
X
k = 0 and
k = (K + k ; 1) k
k

k

k

Since both sides of Eq. 6.51 can be multiplied by an arbitrary constant, these methods
are often normalized by requiring
X
k=1
k

Under this condition co = 1 in Eq. 6.44.

6.7.2 Examples

There are many special explicit and implicit forms of linear multistep methods. Two
well-known families of them, referred to as Adams-Bashforth (explicit) and AdamsMoulton (implicit), can be designed using the Taylor table approach of Section 3.4.
The Adams-Moulton family is obtained from Eq. 6.51 with
k = ;1 ;2
(6.53)
1=1
0 = ;1
k=0
The Adams-Bashforth family has the same 's with the additional constraint that
1 = 0. The three-step Adams-Moulton method can be written in the following form
un+1 = un + h( 1u0n+1 + 0 u0n + ;1 u0n;1 + ;2u0n;2)
(6.54)
A Taylor table for Eq. 6.54 can be generated as

un

h u0n

h2 u00
n

h3 u000
n

h4 u0000
n

1
1
1
un+1
1
1
2
6
24
;un
;1
1
;h 1 u0n+1
;1
;1
; 12
; 11
6
;h 0 u0n
;0
1
1
;h ;1 u0n;1
; ;1
; ;1 2
;1 6
;1
1
;h ;2 u0n;2
;(;2)0 ;2 ;(;2)1 ;2 ;(;2)2 ;2 2 ;(;2)3 ;2 1
6
Table 6.1. Taylor table for the Adams-Moulton three-step linear multistep method.
CHAPTER 6. TIME-MARCHING METHODS FOR ODE'S

104

This leads to the linear system
2 1 1 1 1 32
3 213
1
6 2 0 ;2 ;4 7 6 0 7 6 1 7
6
7 6 7
6 3 0 3 12 7 6
76
(6.55)
4
5 4 ;1 7 = 6 1 7
5 4 5
4 0 ;4 ;32
1
;2
to solve for the 's, resulting in
(6.56)
1 = 9=24
0 = 19=24
;1 = ;5=24
;2 = 1=24
which produces a method which is fourth-order accurate.4 With 1 = 0 one obtains
2
32
3 2 3
1 1 1
0 7 617
6 0 ;2 ;4 7 6 ;1 5 = 4 1 5
(6.57)
4
54
0 3 12
1
;2
giving
(6.58)
0 = 23=12
;1 = ;16=12
;2 = 5=12
This is the third-order Adams-Bashforth method.
A list of simple methods, some of which are very common in CFD applications,
is given below together with identifying names that are sometimes associated with
them. In the following material AB(n) and AM(n) are used as abbreviations for the
(n)th order Adams-Bashforth and (n)th order Adams-Moulton methods. One can
verify that the Adams type schemes given below satisfy Eqs. 6.55 and 6.57 up to the
order of the method.

Explicit Methods

un+1
un+1
un+1
un+1

= un + hu0n
Euler
0
= un;1 + 2hhun
Leapfrog
1 h 3u0n ; u0n;1i
= un + 2
h 0
i AB2
h
= un + 12 23un ; 16u0n;1 + 5u0n;2
AB3

Implicit Methods
un+1
un+1
un+1
un+1

= un + hu0n+1
Implicit Euler
1 hhu0n + u0n+1i
= un + 2
Trapezoidal (AM2)
1 h4un ; un;1 + 2hu0n+1i
=3
2nd-order Backward
h h5u0n+1 + 8u0n ; u0n;1i
= un + 12
AM3

4 Recall from Section 6.5.2 that a kth-order time-marching method has a leading truncation error
term which is O(hk+1 ).
6.7. LINEAR MULTISTEP METHODS

105

6.7.3 Two-Step Linear Multistep Methods

High resolution CFD problems usually require very large data sets to store the spatial
information from which the time derivative is calculated. This limits the interest
in multistep methods to about two time levels. The most general two-step linear
multistep method (i.e., K=2 in Eq. 6.51), that is at least rst-order accurate, can be
written as
h
i
(1 + )un+1 = (1 + 2 )un ; un;1] + h u0n+1 + (1 ; + ')u0n ; 'u0n;1 (6.59)
Clearly the methods are explicit if = 0 and implicit otherwise. A list of methods
contained in Eq. 6.59 is given in Table 6.2. Notice that the Adams methods have
= 0, which corresponds to ;1 = 0 in Eq. 6.51. Methods with = ;1=2, which
corresponds to 0 = 0 in Eq. 6.51, are known as Milne methods.

'
0
1

1=2
1
3=4
1=3
1=2
5=9
0
0
0
1=3
5=12
1=6

0
0
0
1=2
0
;1=2
;1=2
;1=6
;1=2
0
;5=6
;1=6
0
;1=2

0
0
0
0
;1=4
;1=3
;1=2
;2=9
0
1=2
;1=3
0
1=12
;1=6

Method
Euler
Implicit Euler
Trapezoidal or AM2
2nd Order Backward
Adams type
Lees Type
Two{step trapezoidal
A{contractive
Leapfrog
AB2
Most accurate explicit
Third{order implicit
AM3
Milne

Order
1
1
2
2
2
2
2
2
2
2
3
3
3
4

Table 6.2. Some linear one- and two-step methods, see Eq. 6.59.
One can show after a little algebra that both er and er are reduced to 0(h3)
(i.e., the methods are 2nd-order accurate) if
1
'= ; +2
The class of all 3rd-order methods is determined by imposing the additional constraint
=2 ;5
6
1
Finally a unique fourth-order method is found by setting = ;' = ; =3 = 6 .
106

CHAPTER 6. TIME-MARCHING METHODS FOR ODE'S

6.8 Predictor-Corrector Methods

There are a wide variety of predictor-corrector schemes created and used for a variety
of purposes. Their use in solving ODE's is relatively easy to illustrate and understand.
Their use in solving PDE's can be much more subtle and demands concepts5 which
have no counterpart in the analysis of ODE's.
Predictor-corrector methods constructed to time-march linear or nonlinear ODE's
are composed of sequences of linear multistep methods, each of which is referred to
as a family in the solution process. There may be many families in the sequence, and
usually the nal family has a higher Taylor-series order of accuracy than the intermediate ones. Their use is motivated by ease of application and increased e ciency,
where measures of e ciency are discussed in the next two chapters.
A simple one-predictor, one-corrector example is given by

un+ = un + h 0n
~
hu
i
un+1 = un + h u0n+ + u0n
~

(6.60)

where the parameters
and are arbitrary parameters to be determined. One
can analyze this sequence by applying it to the representative equation and using
the operational techniques outlined in Section 6.4. It is easy to show, following the
example leading to Eq. 6.26, that

h
P (E ) = E E ; 1 ; ( + ) h ;
Q(E ) = E h E + + h]

2 h2 i

(6.61)
(6.62)

Considering only local accuracy, one is led, by following the discussion in Section 6.6,
to the following observations. For the method to be second-order accurate both er
and er must be O(h3). For this to hold for er , it is obvious from Eq. 6.61 that
+ =1
=1
2
which provides two equations for three unknowns. The situation for er requires some
algebra, but it is not di cult to show using Eq. 6.44 that the same conditions also
make it O(h3). One concludes, therefore, that the predictor-corrector sequence

un+ = un + hu0n
~
1
un+1 = un + 2 h 1 u0n+ + 2 ; 1 u0n
~

is a second-order accurate method for any .

5 Such as alternating direction, fractional-step, and hybrid methods.

(6.63)
6.9. RUNGE-KUTTA METHODS

107

A classical predictor-corrector sequence is formed by following an Adams-Bashforth
predictor of any order with an Adams-Moulton corrector having an order one higher.
The order of the combination is then equal to the order of the corrector. If the order
of the corrector is (k), we refer to these as ABM(k) methods. The Adams-BashforthMoulton sequence for k = 3 is
i
1 h
un+1 = un + 2 h 3u0n ; u0n;1
~
i
hh u
un+1 = un + 12 5~0n+1 + 8u0n ; u0n;1
(6.64)
Some simple, speci c, second-order accurate methods are given below. The Gazdag
method, which we discuss in Chapter 8, is
1 hu ~ i
un+1 = un + 2 h 3~0n ; u0n;1
~
h
i
un+1 = un + 1 h u0n + u0n+1
~ ~
(6.65)
2
The Burstein method, obtained from Eq. 6.63 with = 1=2 is
1
un+1=2 = un + 2 hu0n
~
un+1 = un + hu0n+1=2
~
and, nally, MacCormack's method, presented earlier in this chapter, is
un+1 = un + hu0n
~
1
un+1 = 2 un + un+1 + hu0n+1]
~
~
Note that MacCormack's method can also be written as
un+1 = un + hu0n
~
un+1 = un + 1 h u0n + u0n+1]
~
2

(6.66)

(6.67)

(6.68)

from which it is clear that it is obtained from Eq. 6.63 with = 1.

6.9 Runge-Kutta Methods
There is a special subset of predictor-corrector methods, referred to as Runge-Kutta
methods,6 that produce just one -root for each -root such that ( h) corresponds

6 Although implicit and multi-step Runge-Kutta methods exist, we will consider only single-step,

explicit Runge-Kutta methods here.
108

CHAPTER 6. TIME-MARCHING METHODS FOR ODE'S

to the Taylor series expansion of e h out through the order of the method and then
truncates. Thus for a Runge-Kutta method of order k (up to 4th order), the principal
(and only) -root is given by
(6.69)
= 1 + h + 1 2h2 + + 1 k hk
2
k!
It is not particularly di cult to build this property into a method, but, as we pointed
out in Section 6.6.4, it is not su cient to guarantee k'th order accuracy for the solution
of u0 = F (u t) or for the representative equation. To ensure k'th order accuracy, the
method must further satisfy the constraint that
er = O(hk+1)
(6.70)
and this is much more di cult.
The most widely publicized Runge-Kutta process is the one that leads to the
fourth-order method. We present it below in some detail. It is usually introduced in
the form
k1 = hF (un tn)
k2 = hF (un + k1 tn + h)
k3 = hF (un + 1k1 + 1k2 tn + 1 h)
k4 = hF (un + 2k1 + 2k2 + 2 k3 tn + 2h)
followed by
u(tn + h) ; u(tn) = 1 k1 + 2k2 + 3k3 + 4k4
(6.71)
However, we prefer to present it using predictor-corrector notation. Thus, a scheme
entirely equivalent to 6.71 is
b
un+ = un + hu0n
b
un+ 1 = un + 1 hu0n + 1hu0n+
~
b
un+ 2 = un + 2 hu0n + 2hu0n+ + 2hu0n+ 1
~
0 + hu0 + hu0
(6.72)
un+1 = un + 1hun 2 bn+
3 ~n+ 1 + 4 hu0n+ 2
Appearing in Eqs. 6.71 and 6.72 are a total of 13 parameters which are to be
determined such that the method is fourth-order according to the requirements in
Eqs. 6.69 and 6.70. First of all, the choices for the time samplings, , 1, and 2 , are
not arbitrary. They must satisfy the relations
=
1 = 1+ 1
(6.73)
2 = 2+ 2+ 2
6.9. RUNGE-KUTTA METHODS

109

The algebra involved in nding algebraic equations for the remaining 10 parameters
is not trivial, but the equations follow directly from nding P (E ) and Q(E ) and then
satisfying the conditions in Eqs. 6.69 and 6.70. Using Eq. 6.73 to eliminate the 's
we nd from Eq. 6.69 the four conditions
1+
2 +
3 1+

= 1
2+ 3+ 4
= 1=2
3 1+ 4 2
( 2 + 1 2 ) = 1=6
4
= 1=24
4 12

(1)
(2)
(3)
(4)

(6.74)

These four relations guarantee that the ve terms in exactly match the rst 5 terms
in the expansion of e h . To satisfy the condition that er = O(k5), we have to ful ll
four more conditions
2
2
= 1=3
(3)
2 2+ 3 1+ 4 2
3+ 3 3+ 4 3
= 1=4
(4)
2
1
2
(6.75)
2 1 + 4 ( 2 2 + 2 2 ) = 1=12
(4)
3
1
(4)
3 1 1 + 4 2 ( 2 + 1 2 ) = 1=8
The number in parentheses at the end of each equation indicates the order that
is the basis for the equation. Thus if the rst 3 equations in 6.74 and the rst
equation in 6.75 are all satis ed, the resulting method would be third-order accurate.
As discussed in Section 6.6.4, the fourth condition in Eq. 6.75 cannot be derived
using the methodology presented here, which is based on a linear nonhomogenous
representative ODE. A more general derivation based on a nonlinear ODE can be
found in several books.7
There are eight equations in 6.74 and 6.75 which must be satis ed by the 10
unknowns. Since the equations are overdetermined, two parameters can be set arbitrarily. Several choices for the parameters have been proposed, but the most popular
one is due to Runge. It results in the standard fourth-order Runge-Kutta method
expressed in predictor-corrector form as
1
b
un+1=2 = un + 2 hu0n
b
un+1=2 = un + 1 hu0n+1=2
~
2
un+1 = un + hu0n+1=2
~
h
i
b
un+1 = un + 1 h u0n + 2 u0n+1=2 + u0n+1=2 + u0n+1
~
(6.76)
6

7 The present approach based on a linear inhomogeneous equation provides all of the necessary

conditions for Runge-Kutta methods of up to third order.
110

CHAPTER 6. TIME-MARCHING METHODS FOR ODE'S

Notice that this represents the simple sequence of conventional linear multistep methods referred to, respectively, as
Euler Predictor
Euler Corrector
Leapfrog Predictor
Milne Corrector

9


=



RK 4

One can easily show that both the Burstein and the MacCormack methods given by
Eqs. 6.66 and 6.67 are second-order Runge-Kutta methods, and third-order methods
can be derived from Eqs. 6.72 by setting 4 = 0 and satisfying only Eqs. 6.74 and the
rst equation in 6.75. It is clear that for orders one through four, RK methods of order
k require k evaluations of the derivative function to advance the solution one time
step. We shall discuss the consequences of this in Chapter 8. Higher-order RungeKutta methods can be developed, but they require more derivative evaluations than
their order. For example, a fth-order method requires six evaluations to advance
the solution one step. In any event, storage requirements reduce the usefulness of
Runge-Kutta methods of order higher than four for CFD applications.

6.10 Implementation of Implicit Methods
We have presented a wide variety of time-marching methods and shown how to derive
their ; relations. In the next chapter, we will see that these methods can have
widely di erent properties with respect to stability. This leads to various tradeo s which must be considered in selecting a method for a speci c application. Our
presentation of the time-marching methods in the context of a linear scalar equation
obscures some of the issues involved in implementing an implicit method for systems
of equations and nonlinear equations. These are covered in this Section.

6.10.1 Application to Systems of Equations
Consider rst the numerical solution of our representative ODE

u0 = u + ae t

(6.77)

using the implicit Euler method. Following the steps outlined in Section 6.2, we
obtained
(1 ; h)un+1 ; un = he

h

ae hn

(6.78)
6.10. IMPLEMENTATION OF IMPLICIT METHODS

111

Solving for un+1 gives
1
un+1 = 1 ; h (un + he h ae hn )

(6.79)

~ 0 = A~ ; f (t)
u
u ~

(6.80)

This calculation does not seem particularly onerous in comparison with the application of an explicit method to this ODE, requiring only an additional division.
Now let us apply the implicit Euler method to our generic system of equations
given by

~
where ~ and f are vectors and we still assume that A is not a function of ~ or t. Now
u
u
the equivalent to Eq. 6.78 is
~
(I ; hA)~ n+1 ; ~ n = ;hf (t + h)
u
u

(6.81)

~
~ n+1 = (I ; hA);1 ~ n ; hf (t + h)]
u
u

(6.82)

or
The inverse is not actually performed, but rather we solve Eq. 6.81 as a linear system
of equations. For our one-dimensional examples, the system of equations which must
be solved is tridiagonal (e.g., for biconvection, A = ;aBp (;1 0 1)=2 x), and hence
its solution is inexpensive, but in multidimensions the bandwidth can be very large. In
general, the cost per time step of an implicit method is larger than that of an explicit
method. The primary area of application of implicit methods is in the solution of
sti ODE's, as we shall see in Chapter 8.

6.10.2 Application to Nonlinear Equations
Now consider the general nonlinear scalar ODE given by

du = F (u t)
dt

(6.83)

un+1 = un + hF (un+1 tn+1)

(6.84)

Application of the implicit Euler method gives

This is a nonlinear di erence equation. As an example, consider the nonlinear ODE
du + 1 u2 = 0
(6.85)
dt 2
112

CHAPTER 6. TIME-MARCHING METHODS FOR ODE'S

solved using implicit Euler time marching, which gives
1
un+1 + h 2 u2 +1 = un
(6.86)
n
which requires a nontrivial method to solve for un+1. There are several di erent
approaches one can take to solving this nonlinear di erence equation. An iterative
method, such as Newton's method (see below), can be used. In practice, the initial
guess for this nonlinear problem can be quite close to the solution, since the initial
guess is simply the solution at the previous time step, which implies that a linearization approach may be quite successful. Such an approach is described in the next
Section.

6.10.3 Local Linearization for Scalar Equations
General Development

Let us start the process of local linearization by considering Eq. 6.83. In order to
implement the linearization, we expand F (u t) about some reference point in time.
Designate the reference value by tn and the corresponding value of the dependent
variable by un. A Taylor series expansion about these reference quantities gives

!
!
@F (u ; u ) + @F (t ; t )
F (u t) = F (un tn) + @u
n
n
@t n
n
!
!
1 @ 2 F (u ; u )2 + @ 2 F (u ; u )(t ; t )
+ 2 @u2
n
n
n
@u@t n
!n
1 2
+ 2 @ F (t ; tn)2 +
@t2
n

(6.87)

On the other hand, the expansion of u(t) in terms of the independent variable t is

!
!
@u + 1 (t ; t )2 @ 2 u +
u(t) = un + (t ; tn) @t
n
@t2 n
n 2

(6.88)

If t is within h of tn , both (t ; tn)k and (u ; un)k are O(hk ), and Eq. 6.87 can be
written

!
!
@F (u ; u ) + @F (t ; t ) + O(h2)
F (u t) = Fn + @u
n
n
@t n
n

(6.89)
6.10. IMPLEMENTATION OF IMPLICIT METHODS

113

Notice that this is an expansion of the derivative of the function. Thus, relative to the
order of expansion of the function, it represents a second-order-accurate, locally-linear
approximation to F (u t) that is valid in the vicinity of the reference station tn and
the corresponding un = u(tn). With this we obtain the locally (in the neighborhood
of tn) time-linear representation of Eq. 6.83, namely

!
! !
!
du = @F u + F ; @F u + @F (t ; t ) + O(h2)
n
n
dt
@u n
@u n n
@t n

(6.90)

Implementation of the Trapezoidal Method
As an example of how such an expansion can be used, consider the mechanics of
applying the trapezoidal method for the time integration of Eq. 6.83. The trapezoidal
method is given by
1
un+1 = un + 2 h Fn+1 + Fn] + hO(h2)

(6.91)

where we write hO(h2) to emphasize that the method is second order accurate. Using
Eq. 6.89 to evaluate Fn+1 = F (un+1 tn+1), one nds



!

!

#

un+1 = un + 1 h Fn + @F (un+1 ; un) + h @F + O(h2) + Fn
2
@u n
@t n
2)
+hO(h
(6.92)
Note that the O(h2) term within the brackets (which is due to the local linearization)
is multiplied by h and therefore is the same order as the hO(h2) error from the
Trapezoidal Method. The use of local time linearization updated at the end of each
time step, and the trapezoidal time march, combine to make a second-order-accurate
numerical integration process. There are, of course, other second-order implicit timemarching methods that can be used. The important point to be made here is that
local linearization updated at each time step has not reduced the order of accuracy of
a second-order time-marching process.
A very useful reordering of the terms in Eq. 6.92 results in the expression


!#

!

1
un = hFn + 1 h2 @F
(6.93)
1 ; 2 h @F
@u n
2 @t n
which is now in the delta form which will be formally introduced in Section 12.6. In
many uid mechanic applications the nonlinear function F is not an explicit function
114

CHAPTER 6. TIME-MARCHING METHODS FOR ODE'S

of t. In such cases the partial derivative of F (u) with respect to t is zero and Eq. 6.93
simpli es to the second-order accurate expression



1
1 ; 2 h @F
@u

!#
n

un = hFn

(6.94)

Notice that the RHS is extremely simple. It is the product of h and the RHS of
the basic equation evaluated at the previous time step. In this example, the basic
equation was the simple scalar equation 6.83, but for our applications, it is generally
the space-di erenced form of the steady-state equation of some uid ow problem.
A numerical time-marching procedure using Eq. 6.94 is usually implemented as
follows:
~
~
1. Solve for the elements of hFn, store them in an array say R, and save ~ n.
u
2. Solve for the elements of the matrix multiplying ~ n and store in some approu
priate manner making use of sparseness or bandedness of the matrix if possible.
Let this storage area be referred to as B .
3. Solve the coupled set of linear equations

B ~n = R
u ~
for ~ n. (Very seldom does one nd B ;1 in carrying out this step).
u
4. Find ~ n+1 by adding ~ n to ~ n, thus
u
u u
~ n+1 = ~ n + ~ n
u
u u
The solution for ~ n+1 is generally stored such that it overwrites the value of ~ n
u
u
and the process is repeated.

Implementation of the Implicit Euler Method
We have seen that the rst-order implicit Euler method can be written

un+1 = un + hFn+1

(6.95)

if we introduce Eq. 6.90 into this method, rearrange terms, and remove the explicit
dependence on time, we arrive at the form



1 ; h @F
@u

!#
n

un = hFn

(6.96)
6.10. IMPLEMENTATION OF IMPLICIT METHODS

115

We see that the only di erence between the implementation of the trapezoidal method
1
and the implicit Euler method is the factor of 2 in the brackets of the left side of
Eqs. 6.94 and 6.96. Omission of this factor degrades the method in time accuracy by
one order of h. We shall see later that this method is an excellent choice for steady
problems.

Newton's Method

Consider the limit h ! 1 of Eq. 6.96 obtained by dividing both sides by h and
setting 1=h = 0. There results
or

; @F
@u

!

un+1 = un ;

n



un = Fn
@F
@u

! #;1
n

(6.97)

Fn

(6.98)

This is the well-known Newton method for nding the roots of a nonlinear equation
F (u) = 0. The fact that it has quadratic convergence is veri ed by a glance at Eqs.
6.87 and 6.88 (remember the dependence on t has been eliminated for this case). By
quadratic convergence, we mean that the error after a given iteration is proportional
to the square of the error at the previous iteration, where the error is the di erence
between the current solution and the converged solution. Quadratic convergence is
thus a very powerful property. Use of a nite value of h in Eq. 6.96 leads to linear
convergence, i.e., the error at a given iteration is some multiple of the error at the
previous iteration. The reader should ponder the meaning of letting h ! 1 for the
trapezoidal method, given by Eq. 6.94.

6.10.4 Local Linearization for Coupled Sets of Nonlinear Equations
In order to present this concept, let us consider an example involving some simple boundary-layer equations. We choose the Falkner-Skan equations from classical
boundary-layer theory. Our task is to apply the implicit trapezoidal method to the
equations

d3f + f d2f +
dt3
dt2

0
!21
@1 ; df A = 0
dt

Here f represents a dimensionless stream function, and is a scaling factor.

(6.99)
116

CHAPTER 6. TIME-MARCHING METHODS FOR ODE'S

First of all we reduce Eq. 6.99 to a set of rst-order nonlinear equations by the
transformations
2

u1 = d f
dt2

u2 = df
dt

u3 = f

This gives the coupled set of three nonlinear equations
u01 = F1 = ;u1 u3 ; 1 ; u2
2
0 = F =u
u2
2
1
0 = F =u
u3
3
2
and these can be represented in vector notation as

(6.100)

(6.101)

d~ = F (~ )
u ~ u
dt

(6.102)

A = (aij ) = @Fi =@uj

(6.103)

Now we seek to make the same local expansion that derived Eq. 6.90, except that
this time we are faced with a nonlinear vector function, rather than a simple nonlinear
scalar function. The required extension requires the evaluation of a matrix, called
the Jacobian matrix.8 Let us refer to this matrix as A. It is derived from Eq. 6.102
by the following process
For the general case involving a third order matrix this is

2
6
6
6
6
A=6
6
6
6
6
4

@F1
@u1
@F2
@u1
@F3
@u1

@F1
@u2
@F2
@u2
@F3
@u2

@F1
@u3
@F2
@u3
@F3
@u3

3
7
7
7
7
7
7
7
7
7
5

(6.104)

~ u
The expansion of F (~ ) about some reference state ~ n can be expressed in a way
u
similar to the scalar expansion given by eq 6.87. Omitting the explicit dependency
~
~ u
on the independent variable t, and de ning F n as F (~ n), one has 9
2.2

8 Recall that we derived the Jacobian matrices for the two-dimensional Euler equations in Section
9 The Taylor series expansion of a vector contains a vector for the rst term, a matrix times a

vector for the second term, and tensor products for the terms of higher order.
6.11. PROBLEMS

117

~ u ~
F (~ ) = F n + An ~ ; ~ n + O(h2)
u u
(6.105)
where t ; tn and the argument for O(h2) is the same as in the derivation of Eq. 6.88.
Using this we can write the local linearization of Eq. 6.102 as

d~ = A ~ + F ; A ~ +O(h2)
u
~ n n un
nu
dt
| {z }

(6.106)

constant
which is a locally-linear, second-order-accurate approximation to a set of coupled
nonlinear ordinary di erential equations that is valid for t tn + h. Any rst- or
second-order time-marching method, explicit or implicit, could be used to integrate
the equations without loss in accuracy with respect to order. The number of times,
and the manner in which, the terms in the Jacobian matrix are updated as the solution
proceeds depends, of course, on the nature of the problem.
Returning to our simple boundary-layer example, which is given by Eq. 6.101, we
nd the Jacobian matrix to be
2
; u3 2 u2 ;u1 3
0
0 7
A=6 1
(6.107)
4
5
0
1
0
The student should be able to derive results for this example that are equivalent to
those given for the scalar case in Eq. 6.93. Thus for the Falkner-Skan equations the
trapezoidal method results in
2
3
1 + h (u3)n ; h(u2)n h (u1)n 72 ( u1)n 3 2 ; (u1u3)n ; (1 ; u2)n 3
2
2
6
2 7
6 ;h
(u1)n
74
6
5 4
5
1
0 76 ( u2)n 7 = h 6
2
4
5 ( u)
(u2)n
h
3n
0
;2
1
We nd ~ n+1 from ~ n + ~ n, and the solution is now advanced one step. Re-evaluate
u
u u
the elements using ~ n+1 and continue. Without any iterating within a step advance,
u
the solution will be second-order-accurate in time.

6.11 Problems
1. Find an expression for the nth term in the Fibonacci series, which is given
by 1 1 2 3 5 8 : : : Note that the series can be expressed as the solution to a
di erence equation of the form un+1 = un + un;1. What is u25 ? (Let the rst
term given above be u0.)
118

CHAPTER 6. TIME-MARCHING METHODS FOR ODE'S

1
2. The trapezoidal method un+1 = un + 2 h(u0n+1 + u0n) is used to solve the representative ODE.
(a) What is the resulting O E?
(b) What is its exact solution?
(c) How does the exact steady-state solution of the O E compare with the
exact steady-state solution of the ODE if = 0?
3. The 2nd-order backward method is given by
i
1h
un+1 = 3 4un ; un;1 + 2hu0n+1
(a) Write the O E for the representative equation. Identify the polynomials
P (E ) and Q(E ).
(b) Derive the - relation. Solve for the -roots and identify them as principal
or spurious.
(c) Find er and the rst two nonvanishing terms in a Taylor series expansion
of the spurious root.
(d) Perform a -root trace relative to the unit circle for both di usion and
convection.
4. Consider the time-marching scheme given by
un+1 = un;1 + 23h (u0n+1 + u0n + u0n;1)
(a) Write the O E for the representative equation. Identify the polynomials
P (E ) and Q(E ).
(b) Derive the ; relation.
(c) Find er .
5. Find the di erence equation which results from applying the Gazdag predictorcorrector method (Eq. 6.65) to the representative equation. Find the - relation.
6. Consider the following time-marching method:

un+1=3 = un + hu0n=3
~
un+1=2 = un + hu0n+1=3 =2
~
un+1 = un + hu0n+1=2
6.11. PROBLEMS

119

Find the di erence equation which results from applying this method to the
representative equation. Find the - relation. Find the solution to the di erence equation, including the homogeneous and particular solutions. Find er
and er . What order is the homogeneous solution? What order is the particular
solution? Find the particular solution if the forcing term is xed.
7. Write a computer program to solve the one-dimensional linear convection equation with periodic boundary conditions and a = 1 on the domain 0 x 1.
Use 2nd-order centered di erences in space and a grid of 50 points. For the
initial condition, use

u(x 0) = e;0:5 (x;0:5)= ]2
with = 0:08. Use the explicit Euler, 2nd-order Adams-Bashforth (AB2), implicit Euler, trapezoidal, and 4th-order Runge-Kutta methods. For the explicit
Euler and AB2 methods, use a Courant number, ah= x, of 0.1 for the other
methods, use a Courant number of unity. Plot the solutions obtained at t = 1
compared to the exact solution (which is identical to the initial condition).
8. Repeat problem 7 using 4th-order (noncompact) di erences in space. Use only
4th-order Runge-Kutta time marching at a Courant number of unity. Show
solutions at t = 1 and t = 10 compared to the exact solution.
9. Using the computer program written for problem 7, compute the solution at
t = 1 using 2nd-order centered di erences in space coupled with the 4th-order
Runge-Kutta method for grids of 100, 200, and 400 nodes. On a log-log scale,
plot the error given by

v
uX
u M (uj ; uexact)2
u
j
t
M
j =1

where M is the number of grid nodes and uexact is the exact solution. Find the
global order of accuracy from the plot.
10. Using the computer program written for problem 8, repeat problem 9 using
4th-order (noncompact) di erences in space.
11. Write a computer program to solve the one-dimensional linear convection equation with in ow-out ow boundary conditions and a = 1 on the domain 0
x 1. Let u(0 t) = sin !t with ! = 10 . Run until a periodic steady state
is reached which is independent of the initial condition and plot your solution
120

CHAPTER 6. TIME-MARCHING METHODS FOR ODE'S

compared with the exact solution. Use 2nd-order centered di erences in space
with a 1st-order backward di erence at the out ow boundary (as in Eq. 3.69)
together with 4th-order Runge-Kutta time marching. Use grids with 100, 200,
and 400 nodes and plot the error vs. the number of grid nodes, as described in
problem 9. Find the global order of accuracy.
12. Repeat problem 11 using 4th-order (noncompact) centered di erences. Use a
third-order forward-biased operator at the in ow boundary (as in Eq. 3.67). At
the last grid node, derive and use a 3rd-order backward operator (using nodes
j ; 3, j ; 2, j ; 1, and j ) and at the second last node, use a 3rd-order backwardbiased operator (using nodes j ; 2, j ; 1, j , and j +1 see problem 1 in Chapter
3).
13. Using the approach described in Section 6.6.2, nd the phase speed error, erp,
and the amplitude error, era , for the combination of second-order centered differences and 1st, 2nd, 3rd, and 4th-order Runge-Kutta time-marching at a
Courant number of unity. Also plot the phase speed error obtained using exact
integration in time, i.e., that obtained using the spatial discretization alone.
Note that the required -roots for the various Runge-Kutta methods can be
deduced from Eq. 6.69, without actually deriving the methods. Explain your
results.
͏
@̰
34—48bDG˜£P9@h8ImP04@37PwXF44@aV0@PTVFjHY@E@o4@c1PIeFXG4EDC4A
TAI 0 f 97 G 9W 9gg7 57 T 9727 A27 T2 F2 0
`YHGPFP9c@d7vGh3Ae0Sº76FjVIeT@xc8bs4S· ¯ sy’…ef1tI”80DGe035VwPT4¹A“XYP9ctpq4}…1X° ¯ syi@€db4VpËVf1tIR
FW T G w T7 0 G A27 ¥ ˆ ™ 5 R F „ 9 R 0b {  ¥ ˆ T7 w T 5
806GV035VwPT4¹AH„h3fe0m80SP743Ahef6580“P2u q@xP2q3280VGXGVF5 u txSz7˜XY39e0S87SE3gV0x3A80œz7e0e5mV0@U4@PI8Fœz7PÊeF6GV035ewu XT4A
F F T G F 0 G F 27 F
0W 2 w G 57 T G G 57 T2 G
F
60@Eeg4@w˜Xf8Fwc8bdbXw4b X2”4—48bDG˜…HY41mSE8bheIXT@ee0@m~36TP04Sº7eFS@‡“624432l3gcA 42
w7 T A27 0 G 0 G F F TAI 0 f 92I G7 G 97 GI É 9W 57q G 0A 0 0 0
( wpA G F YW ¥ ˆRI 5 R 0 G F
cP23Fc4jVI85“P2v€} ¯ lyc@ÀVf1tIy48b‡P2d32e0eGHGeF5 u tÇ—zY7 u @w@z7È43ge0VGyV01˜Ç1~I u cP2—Xq1@“P2F
0WT 97 2 wT T 5I f5I G ( F 9Iq
TAI 0 Æ
4—4eb6Go~…®  ½Åħ­ ¬ ¨ ² § ¶ 4@l™ EÃaÀ¨ q8I}4@37P0—4eb6Gh~65P04ymXG6FPwXF4jDid48bE@X04h@cDi0
A27 ªÂ Á ¿ ¾ G TA 9 AI 0 f 9p ˆ 9g 0 0 G™ 9g f7
5I¸ 0227 f 5 5 Gb F T F R 7 F 5 R ˆ † „ 0 0( 0 G G AI 0 f ( F 57
1Eu63544Sq©VA@7 u 1tIeR“1X(@87e5VG’HYe9P5S½7x#P2¼ef1tI»‡aiPweF65432@i48bpeI#j4eb6Ghp4X24dbew@˜f
D„hPfeF”˜4P2—HY44@…“…3A4X2@d7c@~XTxef1tIU6580VGSº7d48b4£j4eb6Gh#3ge0VG¹TD„41”~1E}1HY39@Xq8FDG3wleg6Te05
0 G 7 ( F 9gg7 YW 0 F GWI F 5 R G 9 0 G™AI 0 f 02I 7 5I¸  0 0
² § ¶ ‡E§² ‰ y¨ tz³E§² ‰
®
@· ™¯­
« µ ´
A2
4@7
­ « ª ¨
±®X° ™¯­
V®Š |§ ¬ ˜§ ‰ y©y¦‰§Š ¦
YW G 5 5 57 T2 G7p 0 0b { TAI 0
“#6A80“32V03TV043gV0‡e0@~41XI8FS4—6¥uV03T4}y64jc8b6Ghf
( F 57 0 GRI 2 G 9gg7 YW ‰ ˆ † „ 0 G G 5 5 0 G f R G 0 0( ‰ ˆ ‡ „ 0
4P2cdbew@˜`f…„˜Xf8F£Si1PIeFSz7XwPF44Sq“r†T}‡‡‡@XqeFSd7“32V03TV043gV0m4eb¤1eIt5h3Ae0S87654321†T}”‡vc8bG
32c8bh4@B£db@“eIc4@xe06Ge065ewXT4PAh3fV0x48b§€u†T}‡BxPwVF@Ex4eb¡1eIt5–3Ae0S8765432@e†T}‡‡”@I
0 G A27 ™ w7 5gg7 F F T 0 G YW ‰ ˆ † ¢ T7W 0 G f R G 0 0( ‰ ˆ † „ R
T 5 R 0 G G 5 5 0 G 0g 0 0A   A27 Ž Gg7b Ÿ  –› • “ T7 G7 f w T
˜Vf1tIw@Xq8Fœd7“32V03Te0c3ge0a4eb…6At@PI39@6q4io4@h~eT35e0c@Eœ…ž@lœ—š™˜@—–D•”@3T60PwVF85S˜db4Vp”8IG
65t06RV0’P9X9F u §ij4‹1PIeF6G3w—p60e0|…Œ‹4@s§eb@l@w“324c32l3g44X2”e0@a6T30PwVF85S˜d“32P06Fh6ˆ—3Iw
5 0 ‘  Ž 2 0 T Š A27 ‰ GIW RI G 0A 0 0A F 57 G7 f G w 0
0 G F F ‰ u ˆ ‡ „ A 2 7 ‰u ˆ † „ G 0 A 0 0 0 G F w 2 w T 7 W 5 p „  5 F
c8b”dbPw4b u P2B‘Tg”‡pc@B†T}‡‡“324462t6g4`A…„˜Xf8Fi8bHGF u PThe26530416I}PwVF@Ey4vrseƒ1I u PTc8bG
X2‚3f4ebq1lP9390 @4w4v0 c4j3™eTc3g60413Iu4P2eFVG3TV035e0€X2q4S“@87VG1lhPf~e0@‡V03T4}|z“P21lg
F 0 G 2I A GI2 IA GpW G w2 w ( G F A27 G2 5Ig F 57 0b { G FI
3Ajcd˜S87uc8b˜eIo6A806GS8785VGS‡—zY7 u @mPT…1PIeFcPp1VImeTXGySxef14w˜@eIE‚X2@q@4vS48b’P24ebXGF u
0iC 0 f T 0 G G w G7 T 97 F 2 G 9 T F RI 5I2 0 f T™ F7 fIA G7 G F
f R F F7 fIA F w 7 F 9W T 0W G F T F T T 7 T G 0 G ƒ 5 w G
1eIt5sr™XR…P2Sq1c#P2@87VG6530qP2uX04@87VGelp8IoPA@e7mXTn3fe0VG—VY˜‡˜Vf35e0ue06T48b#`2m3eT@8I6GS8785VGS7
A27 G FIg 0iC RI T G F T FA RI F FW T F f72YA Fp• F G
4S”8T“P21lk3Ajc@ihef35e0hP2g3Ae0VT43pVwPT4€6280fG@eXTs`YHGPFX94@d7vGB3™3TXw˜SE—c–PA44€X2”VG6Te035e0“P2F
RI ‰ ˆ † „ 5 0 92I2 0 G RI T w 0 G ƒ  0 T2 w ( 0W 2I 0 fI 0bg 5 9 57
@’‘T‡‡…@374P2XF414Q4ebu@Qe0@37§c8by`2¤‚3AV0354XAeF416I€4P26Fty1432h146244x@P743pXw8FvG@Eg
0 G 2I TA 0 0A A27 9 0 F2p 5I2 9g T 0 02 F FW T RI 2 F2 0A 9 0 0(
c8b§@u4462t6g4sc@r@87VT351Hq44a14iX04hPfeFd35c8bXG6F4aPT`YXGPFX94@87VGUSQ@PI8FHG4EDC4B@87654321)'
%  $ #  !



$  
 
     
 

 ©§¥ ¤¢ ¡  
¨ ¦ £
8YR8©71¨QQ1W10T'7R8VUTRQ©P'7I'H©GED¨CBA6§9871#'¨6'54¥3%©¦210)#('%©¦!©§¥¤£
B # X ¨ ¨ ¨ # # S 73 F # #F  @ $ # $ # ¨  $ #  ¨ ¨¦

36T4@P74§¢DiX04˜@3Iw
02 9g   9g f
A27 ý 9g f w 0 G GIW F TAI 0 f Tp 57q RI FW T 0 G 0 F f7 0 G G F 0q2
4S€s…iP04h16Iq4eb§8bSt§P2d4jc8b6Ghd41PIVF@SU@©`YHGPFX94@d7vGq4ebhcP2h@cDieIe“32X0432@€@3Iw
GXF cEvP9X9F u 0 u 4Sw@XY691XqeF6G6wtVg3Te0‡—· ¯ 4@§X° ¯ 6—y…1tIR 4¡c@¼E@o3T4Xp@S“321X(3F0
A2C
A27 ™ 0 0 5 ™ A27 T¥ ˆ 5 ÿ  A27 ÿý T7 0 97q 0
V03T4ebh3A80œE1P(VF3T4x0 u 3™VT3580j@Edbe4@PI—6qV04–`2@`YXGPFX94@87VGp4eb˜4X2˜Vf35e06G4©eIe“32P06FhceppV0@7
0 G G72 0A
Gg7 w Tp F 5g ƒ  FW T 0 G 0 F 0A G G w ˆ T 5
 ¯ 4S©X° ¯ 3€yþP2h3T60PwVF85S˜#4eb‡@q6T4Pp@S“32@P(3F48b3™6Te0@37–4P2eFVG3TV035e0€X2k€Sqþ`2ƒ
A27 T¥ ˆ F G7 f 0 G RI 0 97q 0 0 0 G T w ( G F Y27 f
3PTjœ˜vY@EP2@@qXfF
Fi7 57 F(7
0 G (2 97 9 G A G 0 97q 0 „ý 0 G I• G7 F fI „2 0q2 w FA 0g 5I
c8bwc1PI@mP0XFueIp432e0r6T4Pp@S“32@P(3F¹04‡48bT u Eh3Ae0SEP2h14¹Aj1XI8F6G6w1“16ImXw4jXIeF65tr1E¸ ü
3XTjœÇ@z7V05
Fi7 9
0 G7 02 0 G (2 97 9 G A G 0 97q 0 „ý 0 G I• G7 F fIA 2 Tp FA 5I
@XqeFS“3(chc8bq4@PI@iX0PF’8I‹46280”6T4Pp@S“32@P(3F¹04˜4eb‡T u 4#3A80œEP2h14©1XIeF4tXøcv1E¸ ü
û( 9 R 0 G YW 57 f f T 0W G b(pI 0 G2 5Ig F 57 0b
4cP2F u PIX91tI‡48bp“’3A60PÊVF@qh4Vpdl”8I’141c32U“@87VG1lhPfae0@…DY4}{
33TX08FvG35l1eI4u`YXGXFP94@87VGÛSrXTeF—XYSE@d4P2F u XIP91tI48b”P2r3ThPfeFi“@qd8I˜3Ae0V535t0DRe0~e0@41XI8FS876G3wlg
0g 5g FW TRI T 9727 ( 9 R 0 G F 0 G Y27 f G
5 57 T2 G 0
„ 0 0b {  Ž F¸ T™7 0 fI 0bg 0 G ( F F G2 w T 9W 5g 9 TYbg9 w 5g R
€…iqe06T4}i1H°4‚4X(|h30V0Äc432h1432c4˜V03T4ebp4P2cP2@87€@3I‡h3fP0c1eI4B@37PwVFj“4|@z7Xw8F6GS874@I
T f 0 T 0 97q 0 0 0 G 5 R 0g 0 0W 9p w G7 2 0q2 w FA 0g A27 2 T
h4epe56G6wtVgdcPp@S“321X(3Fd48b1tI6A80DG3wlc…iwlXA416I”S4b u 1PIeF6G6w1“13I‡Xw4—PIeF65to4@o1PIVF4tpR
º„XR4d1tIw‘T}‡‡U694jhd41è1eIt5§441tIq0 u c†Í4h1XI8F6G6wj–X2|SP04h@cDid1E#63TP0eFVG65t1VI4g
FA 5 R ‰ ˆ † „ 0AI f 5pI f R A2p R  Ž 2 0 F ™ 9g f7 0 5I¸ 0g 5
9@d7“32h@Ec4tp}P53Fc8b‡80S˜PfeFVG6TEz™VGSz7P0~S…vY13Ic8bxP2s‚@37u0 u 1vY@E1XI8FS87VGae0@7 µ 4@7 ª ¹Rƒ
G 0 f7A2 R 0 G G7 0 T 9 G7 5 0 G F™2 w ™ 572 G T 5 A2
 G7 F fIA G 5 0gg7 G 9 0 GRI 0g 5g 0 G 0ƒ7
@e0SEX2˜1c˜eIU@z7l4@6580eGœº7a48bÈ@}6TP08FvG35l1eIcdc8b‡@@˜f
2 w T2 G 9gg7 9 w 5g T w F F ™02I 0 0A 7 G T w 5 F 57 0W 2
@37‡41XI8FS37PwPFc4@r@z7Xw8FDG@874˜e0@37hdbPwcb u X2|@c1q@Xq8FDG3wt0DR4o8I”e01XI39oXYP9VF@87e5XG4VW@plsSz7w
6f80vGjvYU80DGP04h16IvrSE8bÈ354cP2h3fe0‡”ebXGF u c†Íj4”1PIeF6G6wj~30V0j6™˜6f80VG—vY4321X(3F}@Xq8FDG3wt0DR4”4@7
T T 9g f w 7 G7 G 0A F 5 7 ™  Ž 2 0 T T T T 0 0 0 0A A2
806GX04h13Iheb@lx1zqEeœE8ba3T60PweFe5S˜#8Is621Hq1plrX9u P9F u 1PIeFS87654PAVF41©SP04Sd7VGwPTú3f80vG—VYT
9g f w GIW 0 7b G7 G G7 f G 0 F( 0W 2 G 0 T2I Ÿ  9W T F T
7 F G „YA T 7 0 w7 5gg7 2 G 9 T 7 F G7 •  0 G RI G7 0 27 0 F(
mXR’e0Sd7vG`T“c@3780VG‹h3T4dbS“eI4c@€1PIeFcPp@eI©ÃdbXw4b Serù@V–‹4ebm@xe0S˜Pf8FvG3T€@h3T@Xq1eXGF
G7 G 0( G27qA7 0AA7 G2 5Ig F 0 G T7b T T T 0 0 0 G RI T 972 '  2 0
œE8b‡1@87“@Sc@o3A44S“@d7vG1thPfa4eb~SEmh3fe0VG—VYc321X(3Fde03Tc8bÈ@PTeF—HY@E”yc†Ž ¯ 1XI8F6G6wj
X2§6Ae0VT43pVwPT4vXTvPTc}dc4P26F432V035tXø4”30SEeg©4SehPf8Fec8b#8bSt©1‹462t6g4‹@z71PIeFXG4EDC4A
F T FA F Fb { ( w 0 FA w7 T A27 0 G 0 G GIW 2I A 0 0A 2 w 2 F2 0
`YHGPFP9c@d7vGpÇD™d®6T41eXwPF1leW65t—“…XYX9@º76F3wleg3T ­0 41XI8FSE€6¥Ä@P78F“32V035tXø4È@P78FVGSEx8I41XI8FS37PwPFc4@7
FW T 7 02I 9I 0gYb 9 0 T2 G7p 0 9 G 0 FA9 57g G T2 G 9gg
5pI F ™ w T 9g T T Fp¥ GI2 F 2 G7 T 0 G T w F G F 0 I ÷  G7 f
c1hP2yS304X2eFhP04hPfVF©eI˜80XGc—e@4uXTs1XI8FS48pXGVFp4ebpe0@37uPTc8bsX26™351Dq0 u ~#tHiVF85S˜ueTXGF
R@¡6f80VG—vY4321X(3Fh48b’8I©6A80SP739e0hl…VIPT@§32e0fG@Q@z7x· ¯ sy}S`YHGPFP9c@d7vG˜4}h ª @I 6f80G
I T T 0 0 0 G G G 5 0W 97 RI 2 w ¥ ˆ RI FW T 0b { R
„rjvY432@P(3Fw48bo1…XY39V0P5eF€62‡4462t6g4eH° ¯ syr@x`YHGPFP9c@d7vGe4}”—· ¯ c@eH° ¯ 6—yr@m8T´ vG@Eg
T T 0 0 0 G 2I G 0 TA 0 0A ¥ ˆ RI FW T 0b {  A27 T¥ ˆ RI 57
Tc13I46211h14x4eb@e1XIjzqE6btxc8bh1§XY69e0P5eF“32€3AV0@EpV0@§`YXGPFX94@87VG~@e4@PI8FHG4EDC4e4v„
p 0 0(I fIb 0 G RI 5 F 7 0W 0 G 2I G 0 T7W 57 FW T RI T2 F2 0A 5p
öçïô õô êç ò ç ð ê í çì êç ë êç éç
‡’È…Ä©‡”3óÀñ #’ï h‡#©‡s‡èæ ±åpã
ä
× âÓÒ×Ü× Ô ÐÓ ÙÚ ßÝ Ü Ù ÙØ ÐÒ× Õ ÔÓÒ Ñ Ð Ï
#rÄÇBÇávy”ràÛ€}ސ3ÒÛrÚ”4ÇñÖxBÄv”m’Î
Ž
S̰
› ‰
 ‰ ý °
‰ š   ý ° š ¨   ´ œ› ‰ š
´œ
ý ˜™ EŸž ‰ ˜™
›
EŸž ‚‰ ˜™ EŸž
0W Gb F f 57g Tp 0 0(I fIb 0
l}“1X(˜vG@E416I4321@˜1cdc8bG
R@)ef1tIl@z7Xw4—`Yue‘Ž44sy|S…Sz780vG4P2j@X04˜S4…i1EBsdƒ—PI4x@4eA1@—”8Ip@PI8FœE€3¥”X014X2eFT
I 5 R9 Fg G 7 d Ž¥ ˆ RI A T F™ 9g f7 0 5I¸  w 9W 27 5I– 7 G 2 G7p 0 9(
7 1eIt5‡6T14@Edb©@PI8FœE€3¥h1XqeFSd7“62e03TV043gV0i48bB@¼ef@tIe48b‡h3f80vG—VY”1Hq8F6G6wt06R4xeI#3Ae0Sº769e05
f R 0(27 w 2 G7p 0 0 G G 5 5 0 G RI 5 R 0 G T T T 0 0A G G
60@Eegc321X(3FQ@s`2”‚@PI8FDG3wV0wœE8b©P2x”•H°4…8Ip”“H°4Ç3€ys@#XYX9@º76F3wleg6T§4S…†Íj4a41XI8F6G6wj
w7 T 0 0 27 ƒ 2 T G7 G F Ž G Ž T¥ ˆ 2I 9 0 0 A27  Ž T2 0
X2U8THG4ep6Te0m48bq@I u e74v0 u PTc8bB1EB@30SEeg4621P(6FpP2r41XI8FcXp1eIrP56F48bÛS”e0c8pSE”48b6G3wlegcP2F
F 9 5 0 G 2 5A F G 5I¸  w7 T 0 0 F T2 G 9 T 0 GRI 5 G72 0 G 0 T
0 u 6™˜6f80vGjvY432@P(3Fh1Hq8FDG3wt06Rc˜@±q4wœE8b‡‘T‡‡U@o`YXGPFX94@87VGh48bQ4@d7vGeT65444’8I‡654eA1Q`2ƒ
T T T 0 0 0 0A 0 7b G7 G ‰ ˆ † „ RI FW T 0 G A2 0A2p G 0 5I
s i–s ts ˜ ” m  ”–Œ ‹
’r‘Gvhr™¥pny…Ž‚QAQ¡Š ‰ˆƒ…„ƒ
‚ ‚

2
‚1XIeF35e0XGVF35w
`YHGPFP9c@d7vGp“32V03544X2oc8bgX2’P01VIs4€zYº7cqeT@8I6G6w1“32@P(3Fo48bh˜6f80vGjvY432@P(3F’e06GP0c˜16IÃebXGF u
FW T G 0b F 0 G F 9 5 I2 9g 5 0q 0 0 0 G T T T 0 0 9g f w
‘T}‡‡v1tI~SEebwe0@4u0 u HYP9@4P2|36GhmXTo1XI8FHG4416Iu1±ql@ec8b˜VI£™ u eI@mHG”6Tj4~35c8bXG6F42
‰ ˆ † „ 5 R G7 G GI2 97 F ¸ 0 f F 2 FA2 w 0 IW7 0 G T 5( F 0IA 0 0
GpW g Š T7 0A GI2 0IA G7 G 0 G F F T w F G ƒ  FW TRI F7 fIA 0 G
j4j™ h ‡r@xzY373w4@43T—4x§ ‰ S48bmcep85BPTXG”e0@37XT48bq`2Ä1`YHGPFP9c@d7vGÛ@hP2@˜14m48bhP2F
†…—W„ƒR‚f›aPTF l¨ ©dbPwcb u 1tIae0SzÇ@º763legd48b~SEeb8®˜680VG—vYo680SEX2˜@4`Aj@PI8FD3@€@3…P2F
ù… e ˜ € ~ ý F 5 R T7w 9 Fw0 T 0 G G7 G T f T T A G7 F fI „2 Gw0q2Iw
2 G 0 T2 w9 w 5g G2 5Ig F 27 F F T T7bg 0 0W 9pI T ƒ 2 0q2 F
@PI8Fœ8735cPAeFc13IÇ@37Pw8FDG@87c€Sd7VG@thPf…@mPT~XG~@ ­7 3A60PÊeFSE4h3fdtoPA41cebm¹G}‚1PIeF6G6w1“13IXw4W
A27 2 Tp FA GIW ( G 5 5 ‰ ˆ † „ 0AI f 0 G 5 R 0 G T F 2 w F G G7
4Ss1XIeF4tXøch8b@l#4X28F“32V03TV043gV0u‘T‡‡r694jhqc8ba1tIs3A4VCPTeFS87dPTQ1XIeF35e0XGVF35dPT4ebwS48bG
60e0p0 u 1H°4Û4X(|©4X28FDG3wleg4`2’@c@º74–sDiX04h13I˜48bQP2dPTjœ©vY@EX21@˜Pfqc8bÄr™SufGDRP0qc8bG
T ™ Ž F ¸ ( 0 T ƒ 02 9g ý 9g f w 0 G F Fi7 57 F(7 F 0 G RI 9 0
eIh1‚1xP0XFpvG4eh3T4Xp@S€621P(6F0 #4ebv@}X9@@`YXGXFP94@87VGq€62e06544P2h1tI3™SEeb˜3Te0Sd7vG˜XT4}{
G 5I ™2I 9 Tp f 0 97q 0 ý 0 G RI 97 ™ FW T G 0b F 5 R G7 G G T Fb
| 97 5 z x ® ÿ
}X9@1tIR {y}4 ­ý w
®
“†Ž ™¯­
HRpHY41…4@7
F 92I A2
HRhX04@87VG©HY89“32V03544X2˜V0@d†T}‡‡q48baSEebÛ@P0c˜@c…id@tIÇ™ ¯ ·jÄsy¡1VIt5h6041dSaT u PIX91tIR
F 9W T G 0b F 57 ‰ ˆ † „ 0 G G7 G™ 9g f7 0 5 R   ¥ ˆ f R w2I G7 9
XGde0@37hdb4epo`2’‚1XI8FS˜ef1tIvR4@e785”`YXGVF@º7X9˜XfeF”…€q3A30XÊPF@411@P74wl…@z7qHiVF85S˜wc8b’4@7
F T w 7 w T ƒ 2 G7 5 T2 G 5 F T 7 YW 972I( FA 0W 2 w G7 f 0 G A2
3™“324462t6g44X2vXYV9@z7cP2PFBV0@’VT18IDG3w1“621P(6FÈeTXGc@1P9S1…3f80vG—VY4621P(6Fre06GX04˜@3I|@4‡HiVF85S˜E¹Rƒ
G 0A 0 0A F 5 0 9 57 5 0q 0 0 FRI 97™ T T 0 0 9g f w 7 T7b G7 f 7
s i–s ts ˜ ” m – k j i —
€rWvu2hrq'ponW§'l€™‰‘ …„ƒ…„ƒ
‚ ‚

3‘T}‡aw4ebÄS…@PI8FjPp1VI€62P0VF4@87e5‡48b’1pHY41~4462t6g4q`YHGPFX94@d7vG~€62e06544P2œE8b‡80SmÉ
‰ ˆ † „ 0 G RI 2 G 9 T G T2 G 0 G 2I 92I TA 0 0A FW T G 0b F G7 G GI
 Š T # 0 2 I W 4X2@
7
TF
G@
2
®
1Í ™¯­ PTF § ¬ 32cb u r™HR”Pù9e!¹–D•©ž )eED›dùDEWf›’XThoH° %¯g UlSy}3Aˆ ™ c4ªA 4i1eFp lœUq’q@6f…ž7 le0– œo™˜—š5› § ‰ @3™• —–D•“hd7˜4@1s3II25T7vG ¸w
0 F f “ • ùd ˜ F ¥
85G 7 f
“
641XI8FG
T2
„7p 0 9 G 0 FA 57 F 5I 5 T 2 w FW T 57A2 T 0 G G T 0
ÌE€3¥v@P78F“32V035tXø4gVYSEP24VA1p1tIR 3AV04p 1XIeF35e0XGVF35g`YXGPFX94@87VG»eA@44@d7vG‹48b#e0Sd7vGQ0 u e065m÷
˜ ”’ ”’ ‘  ˆ
™'—•QW…–•“xh‰‡ 8†ƒ…„ƒ
‚ ‚

d
Ḭ

Vôy€ñænwxví ‚6ïzò9t©sppxvBh#©Çf Aepã
u õ ò rqï i ï êçgç ð ê
ä
× c‡6y}À3ÒÛrÚvcÇgir~B”mràgc1`±ÖÕ
b Ó a Ý ß Ý Ü Ù ÙØ ÐÒ× Ò àÓ ÔÓ Ï Ù Ö
 2 0 FqRI G FIg F G T FA 0 ‘  G 5 G2 T2 w 0 f T G7
4‘ށ ¯ 1PIeF6G6wjoP2F u P0—È@“P21l}PT4eb~VT43pVwPT4a§|4XI8FSe7m“@87VG4@3Ia˜@eIS˜eI6530Ê
eIw1(PT@SVq6580“P2qeb3Thv4eb@˜P2@˜14PT4eb˜X248bHGF u 1XI8FcXp1eIvc8b‚@)ef@4”h1eIu8I462tc@Eb
G I 97 G F 0 f 0 G T7 F7 fIA F G F 2 G 9 T 0 GRI 5I2 0 f T G T 0gg7
G7 I T G F 02 0A F FW T A27 0iC F F7 fIA w7 0 G ' T2 G7 F 5
œEb u RS}˜Vf3580xX2o6A4E6Cc}PT˜`YXGPFX94@87VG’4@o3AjcUXTxP2@˜14v60@EVg`TD„hPfeFÀ’3c1PIeFSqXfj±iVI4g
„g7 w T A27 0 0 G GIW RI 0 0 0 G Tp 02 9p T 0 T2 w G G 5g 5gg
j@#60@7EVgÃ4@’hPfeFG…c8b€8b@lv@˜8TDG3wt6ø…48b§XYe9c13I4Sd7XGcePfVF˜654PAVF413IQ8Ixe0Sº7VF41eIc4@7
XT’XG…3TV0@7zÀdbcepT `2ƒ S80c1VI‹806GV035VwPT4XA˜6fe0Q48bG u PIX91tIR XYX9eF@e7eT6T303wcoS4gcoœE8bp4@PI8FjPp9
F F T w w
 Gp 5 F F T 0 9 5 02 GI2 IA G7 G T2 G
„ T ˆ † ¢ R G 0 fg 0 0A 0 G f R T T 5 G † ¸ Ÿ F Tp RI 2 F2 0A
œeIÞ‡B~@Ii“32h41XI931Dq4p4eb¡1eIt5uh3fe0VGhe04epS876580HGPF9 ’UhP2€3AV04h32e0fG@h1XI8FHG4E6Cc¤'
0p F2p GI2 57 T2 F 0A F T Gg7 w F GRI ( F2 F 0W 0 G G7 G T T
S4€P¥4c@c”0eSc1PIeFXG42EDC4i`YHGPFP9cW@d7vG43™6580c@4dbXT48b‚Sw4X244X213(l”4ebœx3Ae0Sd7vGv0 u ”'
 FW T 0 G 5I G G f T7 T G
@`YXGXFP94@87VG‡hPfFeU1‡PweF@8Icgh—VY@S7qeI…6Ae0e565t06RV0}3ThPf8FDG˜@eI}PT˜`YXGXFP94Sd7VGÄ@x1XI8FHG4E6Cc~XT4}{
5 0 0 f T F FW TRI 2 F2 0A Fb
6†T‰gh‡m4eb£@i21XI8FcXp1eIr“32X0eFT4S878504eb”@IiXY4@4c32l3g4u`YXGPFX94@87VG4@37PwVF35h4€œE8b30V0~§‘
ˆ ‡ „ 0 GRI G 9 T G 2 G G 2 92I TA 0 0A FW T9 0 fp2 G7 G T 0
 h g T # 4A p W T P2F ˜ ” @
7 0
7 5 2
® ¯ ™¯­ PTF § ¶ 324b u r™XR‡Pù9e!¹–D•xž ÁeIe–…˜Dùq2›”PTF’·Å ¯ @sy6A¥ ’™44µ2 @teFI i UScq@”…ž3f@V0 lœ4—š²› §½˜‰ @3™• ¹–“D•G ©d7vGw4@1s3II25T7 ¸w
0 F f “ e Àƒ
 ˆ e5G 7 f – “
PTiÍ ¯ “62˜6f80S87—˜8Ip1XI4@Eh13Igh‡u4}{
F G 0 G G G 2 F27g f w ˆ ‡ „ 0b
˜ ”’ ”’ ‘  ˆ
™'—•QW…–•“xh‰‡ 8†6‰ˆƒ
‚ ‚

Vôy ñ ¿nví ‚6ïzò4t©cp½s·zìBlç ©«» ºpã
¾ w u õ ò rqï i tq òg ö ¼
ä
3€62e06Te04e0S˜@PI8FœEPgVFeTPTc‚@B8T“4@˜@“@37EXC4@P(eF£XR}604@d7vG1l˜XfE@z7Xw8F6GS874d4B1UX089eGHGPF£@BPTF
G 5g 57 2 G7 FARI G2pI f7 G2 w F2 T F w2 5Ig F9 w 5g I2 5I 9RI
†  ¯ 1XI8FXGc413Ij3™6516q0 u m|3h3fP0c1eI4h1XI8F6G6w1“16IPw4a8Ii6A80SP739e0B6T4Pp@S“32@P(3F4ebe“˜6AP04c3p3w—I
2 FA2 w 0 I ÷ T 9W 5g 2 0q2 FW G G 5 0 97q 0 0 0 G YW Fg w
0l‡8IÄ4432e0idbPw4b u PTjœavY@EP2@@qXf}48b‚d“—‘„ƒRe28¹˜†  ¯ @PI8FHG4416Ia`YXGXFP94@87VGUc8b’S48be0@mÉ
W G TA G F Fi7 57 F(7 F 0 G ù…  ù 2 FA2 w FW T 0 G G7 G GI
 G7 F G 0W 9p w F 5 0W w 5
‚6A80SEX2˜Vf35e0al’PA4@3IXG‡V01tI6Rl~eT3T60jVI4g
2 G 9 T 0 G 0A Gb F f 5( 7 w T Gpg f w 7 2I ™ 5I 0 5p¸  0A 0
@PI8FjPp1VIx48bhY±VI85VG6T4i“1X(˜€8bG u VI1©Ãdb4Vpi35e0c4h13I©k1B@V01˜Vf354ebVG4E€@±Y373w4xc8bG
G IW7 T( 5W 27 0 I 0ƒ ¶ 9 G 2Ig 0 0 G 5 0W9 F fI2 9Ig 0 GRI 5( 0 5
jp1tSU14X2eF4xAc@h†¸35@±q}3T@Sd7vG·Sº78F“624u0 1lc…iv4eb”e01tIDRts@P7˜@4—XY1lv4ebÈSx8bG u eI1m1e(Sº79
vY35@q’t§zYqf’e06548bp604P2VFieTT6P04ebVG1I tszYqh@PIeF6580HGeF35xc8bwc1PIeFSz7XwPF44SU@37Pw8FDG@87c–P2F
0 7 0W 7 0 G w T 9 5 0W 7 f 2 w 0 G T2 G 9gg7 9 w 5g
6™351Dq0 u ~B3µeI6530¹Êj214sP9SU1tIR h ‡y@dz g £ ‰±³ ²°4¡¥®m604P2VFu¨†Í ¯ “32h3fe0Sd7€Ä@ve0c32e0”48bhP2F
0 I ÷ ´ „ I 2 9 7 5 g Š T 7 ± ¯ Š w T G 0 G G ¨ R I T T 0 G
`YHGPFP9c@7dvG1tI}“32X03FhcVpTPT˜1PIeFXG4Ac13IPT4ebiXYP9Sz7PweF6GV013I4}yjz l“z ­ ‚U1uz ­1z ­ ÛHRycHYP9@37PwF
FW T 5 R G w ˆ F 2 F 2 w F G 9 5 0b {  ¬ ® ´‰ 5I ¬ ® ‰ F ® 9
v„S87c@E€¥’1aHYe9@374P2XF ­9 4241l’j14b8HGF gu VI1iPA4@I u  i4@7 œ “ÛdVY@4P21@˜Pf}V04œ4’@tIU304X2eFT
G 5A7p 5I 5 0 A pIW GpI u 5( 9p ‰ A2 ‰™ý 57 F(7 F 5pg 5 R w
|«P9S1tIR ªƒUÿ4 ­ý w
97 5 z © ®
®
1  ™¯­
ef1tI‡4ebi8IG
5R0 G
6AEXCcjhtWrVGcew‘ށ ¯ 1XI8FGXc413Ir3TV0@z7qbd4epy1tIBGS48bm600e~0 u ‚1PIeFcPp@eIBPT4ebw4X28FDG3wleg4`2ƒ
0 FAI f 0 Tp f 2 FA2 w T w w T5 R 7 G T ™2 G 9 T F G ( 0 T
®
@d ™¯­
£4¡ 8¨œ Š`“z ­ ‚‰ ° Á `Š“z ­ œ ‰ Á “z ­  ‰ § ¨ ®V ­Š  ‰
¢ ® ´
® ®
A£4¦¡…¥rŠ1z ­ ´‚‰ Á 1z ­ œ ‰ ¤ ¨ ®V ­Š œ ‰
¢ ®
®
£48¡“z ­ ‚‰ ¨ V® ­Š ‚‰
¢® ´
´
2
1PIeFGcPp91VITa048bG4A4EC‡04@IodbXw4b u 1tIR
T 2 2 F 5
 
@̰
× âÓÒ×Ü× Ô ÐÓ ÙÚ ßÝ Ü Ù ÙØ ÐÒ× Õ ÔÓÒ Ñ Ð Ï
#rÄÇBÇávy”ràÛ€}ސ3ÒÛrÚ”4ÇñÖxBÄv”m’Î
 FW T9 0 fp2 5 R 2 FA2 w 0 G 0W G 0ƒ G
1`YXGXFP94Sd7VG£@z7XweF35h4€}1tIp1XI8FHG4416Idc8b‡t”eIo32S@d7UXTF
XT48bx4SwÞx Æ ®  ­ý   Æ S48bv30e0“@87@41odbXw4b u 3Al1PI6916qc‡e0@4—4eb6Ghpdbew@˜`f…„˜Xf}cÍ
F G A27 °
G7 G G2 57p( F 0g 0 0A 57 TAI 0 f 57 0 F { 
z x ® w G7 G ( G2 57p( YW 0 9W 0 F ‰ ˆ † „ 0 GRI FW T G 0b ƒ 
c{yl ­ý GSEeb”cP23F6080“@e7@E1x“…3A4VbPTXF4@d7vG3T}XT~‘T}‡‡uc8bÈ@q`YHGPFX94@d7vG”“62e035c4`2j
 0 f F2C
‚Vb3Th‡80HG4Ee7
2I 0 G7 0A w7 T 0 G ( G7 F 5gg7 YW ‰ ˆ † „ G 0q2 w 57 ‰ ˆ † ¢ 0b { 
16T1XqeFSSXqVF354w30@EVgwc8be4X28FS˜PfjzieI4c@…“m‘T}‡aq8Io3A80vG35@€@3Ide0@m†T}‡Bw4}1°
û w7 5gg7 ( 9 R 0 G F 0A 0 f T F 0 T2 w 2 T F
‚db@“VI44@e4P2F u PIX91tI‡48btP9@876G4‡h1eI’X23AV0354XAeF4@3Ia0 u 1XIeFeTc3pewXT4A
Tp F 5g 0 G ƒ  G 0 FA
4@PI—6qV04‹48b»`2¤@±Y7 u “32e065£Hø4–7 P2F `YHGPFX94@d7vGuSc6g304@3I‹48b©4X2˜S4…i0 u 4…4…6G0 Õ
FW T RI G w2 w 0 G 0 F f7 I2 Tp
Vô€ñ ¿o—ᐩ‡”ylhÔh)Ò ©eÑ‚6ïzò4t©cpАe’Gç zöò Î 'Ípã
y ¾ w u í çì êç ógç Ó ê í ë ê q õ ò r qï i çì q é iÏ
ä
 5 ( G 5 A 7 p ¥ 5 I 5 0 9 0 ( ¬¨ ® ´ ‰ 5 I ® ‰ 0 0 A 2 7
‚ebG u eI1aPweFS87c@E€}1U@374P2XF6G1d0 u z h“z ­ ‚}1U“z ­ 354ebXG6Fo4Sw° ¨ Æ   Æ XRed ¯
F
syxX2mX04˜S4…i1tI—1° ¨ Æ   Æ @tIVT3T4c3A44c1t”3080“@e7@E1@4eœ2 c}˜6f80VG—vYv1Hq8F6G6wt06R4”304X2eFT
¥ ˆ F 9g f7 0 5 R™
5 R 02 0A2pIW G2 57p( GI IA T T T 0 0A w
®1• ™¯­
Ç A27 | 97 5
4S‚X9@1tIR ° © Æ ® U4  ­ Æ
®ÿ
XTi“ ¯ eIq1PIeFSz74XC4—˜…3AV0P54€6¥e05
F G 2 G w FAI f Fp
0c8bw‘T}”aq1Hq8FDG3wt06Rcd@tIdœE8bh30e0h§hjd ¯ sysebXGF u `YXGVF@º7X9˜XfeFa8THG˜e0@4Q4@…”“X°jÄsyˆ
G ‰ ˆ ‡ „ 0 0A 5 R G7 G T 0 ‘  ¥ ˆ
5 F T F GI2 A27  ¥
0 F f7i ˆ ‰ ˆ † „ 0 0A5 R 2 T FA 0 G 9 57gT T T 0 G5 R 2 T FA 0b
cP2h@c’Ä3‘T}‡‡@XqeF6G3wt0DR4Û1tIa1PIVFeT46pewXT4y48blPT69P0P9S87@EÈh3f80vG—VYre03Tc8b£1tIa1XIeFeTc3pewXT4B4}{
s i–s ts ˜ ” m  ”–Œ ‹
’r‘Gvhr™¥pny…Ž‚QAQ¡Š ‰ˆ6‰ˆƒ
‚ ‚

z“32hefVT3Te0VT@q`YXGPFX94@87VG‚@37PwVF35h4€dc8bpP2‡X01eIh4q±YP74g
G 0 T7 FW T9 0 fp2 0 G F 9 5 I2 9
eT@8I6G6w1“32@P(3Fr4ebS…3f80vG—VY4621P(6Fre06GX04˜@3ImÈ1tIœ3™6548bvG4E|SP04@87VG‡HYP9@e785c6p4‡HY41ÈPTa1PIeFcPp@eIT
5 0q 0 0 0 G™ T T 0 0 9g f w 75 R 0 5p¸  9W T 9 G 02 92I F 2 G 9
0 G 0
c8b”e035cb u P069ewP56F‡XGc4i48b©1XY69e0PT6F3wV04‡@—eI—•Ë@EXg3F4X2eF4ic8bB@#1XI8FS37jXI’ʸ6G6we0V513IVwÉc8bG
w F2p 0 G 2I
5g GI 5Ì  97 w 5g 0 G RI 2 G w 9 5 ¶ 0
6T30@P74udbXw4b u 694jha1PIeF6G6w1“13I¹wD„Xw4jXIeF65tB4ebÇ@tIÈVT43p6wjBe0Sz7r1XqeFXGVF432V04ebvP2@1”|6†T}‡‡„
w 9g F 0AI f 2 0q2 FA 0g 0 G5 R 5 wI T w 0 T T 0 G F7( ' ‰ ˆ †
5 R 2 F2 0A FW T 0 G G T2 w F ‰ ˆ ‡ „ 5 R FW TRI 2 F2 0A Fb
@tIe1PIeFXG4EDC4d`YXGXFP94@87VG4eb”ebXGF u “32e0VGPTVF416IyPTB†Tgh‡r1tIa`YHGPFP9c@d7vG£@i@PI8FHG4EDC4BPT4}{
02 9 „  9g f
S4@P74`gt¢DiX04˜@3Iw
0 G F w F2p 0 G 0 T F 5I 2I 9 Tp f ®Y27 57 0 G F Tp 5p T A27 97 w 5
c8b‹P2iP069ewX53FaXGc4”48be4XAeF4X2a1§@eP0XFwvG4e‡c€S”e0@˜e06548brXRÇ3™c1PIVF44egQ4@’@EPg6F4P2VF4g
eb@t ­W 3T4Xp@S€621P(6F0 È4ebwSvP9@m1`YHGPFX94@d7vG‡@z7XweF65˜4€x1tImz™SEebx3T80œd7VG»1XI8FHG4416I…XT4}{
GI 0 97q 0   0 G RI 97 ™ FW T 9 0 fp2 5 R G7 G G T 2 FA2 w Fb
Ç A27 | 97 5 ° ® ÿ
oc@§X9@1tIR Þx Æ ® }4  ­ Æ
®
1“ ™¯­
XRpHY41…4@ÄXRaX04@d7vGqHYP9@37PwVF35h4€}PT’jc8b6Ghi4X24dbew@˜f
F 92I A27 F 9W T 9 0 fp2 F AI 0 f ( F 57
D„hPfeFxwh3f80vG—VYQdb4ep‡1tIt1XYV9@z7X0”c1u  †ÍcÇsyÛ3™eT@—eI`5lcP0cPg8FHG4ev@tI#1PI4SE˜@3I‡8THG‹4@7
0 G 7 T T T w T 5 R™ 5 9 Ÿ   ¥ ˆ GI „  9 9p f 5 R 2 F27g f w F A2
“    ¥ ˆ RI YA T 7 f R 0w2I G7 9 R  ¥ ˆ F G T 2 FA2Iw 0 G G ( F 5Iww
°·c|sB}@sj48pvGoè1VIt5q34@uSdT PIX91tIÄ™ ¯ ¯ sB§P2e6e0Q1XI8FXGc413˜48b…8I…4P24VA136@7
™2 w FW T 0b {  T T 0 0 9g f w 7 YW 0 0qI( ‰ ˆ ‡ „RI T 7 0 T2I
‚1XIeF35e0XGVF35a`YXGXFP94Sd7VG4}’…3f80vG—VY4621P(6F80DGP04h16I”e“h3A4V235@Ì@’†T€”‡t@y6GV0”y654PAVF41Ÿ
¯ ̰


s i–s ts ˜ ” m – k j i —
€rWvu2hrq'ponW§'l€™‰‘ …„6‰ˆƒ
‚ ‚

× c”}Ý ©’urlB’—}}¤Gvg3ÒÇrځvcÇ× ’dtc—×qovâÈá—±ÖÕ
b Ó ‡ ß Ý ÓÎ àÓ Å ÔÓÄ à Ý Î a à Ð Ü Ù ÙØ ÐÒ ÓÎ ÐÑ ÃÓ ÙÒ Ö
7 X   ë F  û þ ¤ ù 7
# @ï
# #
# @  ¨F
0 3 vXY R3 C¨”ïRC3‡C#‰ÿGû”âR†C#)y·3Ëù 9„çþ'ýÊü°Xû ‰µR3C¨”# ‘ïõ R@X C3ï 7 #AX8$¨'Bƒ©47
#P ø y Q ø †# ‚øQ  8B# Y ”¨· 87# R3 ‚7 ¨ ( ø 
‚C¦ËC#C38B‚'B£ê#¢ '0'YC#9!¡X B 7X©A7¨¨ ây§'B9C#87AC#vI1îQ©²'Xõ ë §1B#¦ ©#¨ (¦v™uÿøRTC¨3©C¦11ï)3u†F…)#(°”§§©9C¦ü#¨#'Dï$  çþyÊü'ýC3°4‰þ „ú¦þ¥¤ù ‰F¥ýB ü‚Aø #sR÷7 3C¨”B ïRC3!AX8$X ¨'Bƒ©4™©ƒ3‚'Bê#¥0#B
3P
R§©C¦4(C#PCï‰'B#E¨ö ™ ‚$ô qó §C¦T7 'òñ B
$1¨(°RRP§Rê3u8F”†F'#©‡I6Êë6™3C¨A9'7#'B148í6'@#©R©RËC¨H7B3Yì 3 A$1¨P(9°8ð3ïX ìhIR43H7##'B 9)ë¨ °I(1îBï ê3”rv#F0¨ 8X”#  C¨”©y(‡PP©C¦H#B@H3BF C3 AH‚R h‰¦3C¨PACï6©'@¨ §#¦ ©Ré¤X ì 3©H
X3ì BH B 0 # #7 #ì  @ B # ¨F   X
¦
¨ B

®°
Ì1H° —¯­
Ý Æ
Ý Æè
Ý
²
¦ÆÆ ²§ ‰ ¦Æ‘è ² ¦ÆÆ µ çÆÆ x ¦ÆÆ ²§ ‰ ¦Æ‘”çÆÆ ² µ çÆÆ x ¦ÆÆ •§ ‰ ² µ ¦ÆÆ ¨ ¦ÆÆ E§ ‰ ¦ÆÆ
0 7b
@zqEw0 u
™34@PI8Fœº739V0d`YXGPFSE€3¥4X2’P56F48bi4@’vii 4432l4m~60e0 ­T hef14¹2cuHiVF85S˜”4@r18IDG3w@v4P2VF4”4@7
T2 G 5 97p 0 F 0 G A27 ® ' FA 0gg ' T 5I „æ G7 f A27 5 0q ( Tp A2
Ý µ
•§ ‰ ² À¨ E§² ‰
A2C ™ ¥ˆ G 2 5 5 9g T ( F 9gg
cE‡0 u j”zX° ¯ syh8I’1PIVFeT46p3wV0vP04hPfVF”4P2—XYc4”'
 0g 5g G2 5Ig F 27 F F G™ 5 9 0227 f F
1`YvG35l1eI4U€Sd7VG@thPf’@XT}PT4ebc1HYe9@37P0Ÿ 36544@˜}PTc8bG
X2peI6530h8Ih16g80VGahPfeFo4@q4P26F@EVgeb6T˜d4eb~@o1XI8FcXp1eIm6G@c…iu4ebheI”3T 1V(35@€@3I~XG|XRF
F Ê G I( T 0 G A27 ( w7 T 0 f 0 G T7 2 G 9 T w7 0 0 G G 0 0q2 w F
•ED›—CåD@œdšTPT”jc8b6Gh»’c1“ ¯ 1PIeF6G6wj˜P2p6Ae0eTc3pewXT4B354ebVG4tp’XTBPT4}y…±®e0Sz7}PwXF1leW35l—“~c8bG
ù ùä›  F AI 0 f '  2 0 F T FA 0 5 R F Fb { T w 9I 0gYb 0
X24‚6Acjd² Ü ebXGF u ­ eI6530ueIw1q3g80vG˜Xf8Fmc8bq4Se4X23F@EVgpeb6T˜m48bB@BHG˜XfPFm48bhP2z®e0462e0T
F™ 0iC
Ê G I( T 0 G 0 G A27 ( w7 T 0 f 0 G T7 F 9 0 G F T
6TP0eF65e0m1PI—zY|u48bX2 ­F 1eIV535x4‡6T3044—eIc”HGBXRÈED›rùD•P“D˜cœdšvPT#—48bDG˜f ”½ED›—åD@œdšvPT”XGF
T 5 9 7 { 0 G 5 0 I2 wpA 5g F F• “›  F AI 0 ' • ù ùä›  F
32c8b£ED›`ùD•P“D˜cœdš‰4@}4œ7 Õ @we0462e0a4eb’X2 ­F Pù9e!¹–D•”XT’j4eb6Gh‚@37PweF65˜c—i|XR43™SEeb~6T80S87VGT
0 G• “›  A27 ®i RI T T 0 G f “ F AI 0 f9 0 fp2 7 F G7 G G
dbPwcb u iRÀ8ùœdšE§v“ â4¹Û¢1c1eI4eby3Te0XTeF@w`YHGPFP9c@d7vG£@”1XI8FHG4E6CcyPT4ebt@}604@37EXC4@P(eF~4}{
F ™  ùdã á –à b(p 5 G 57 FW TRI 2 F2 0A F GRI w2 w F2 T 0b
2 w FW T F G5
‚1PIVF35e0XGeF65q`YHGPFX94@d7vG}PT4ebU1tIR
2 FA2 w 5 02 7
@PI8FHG4416IpvY@87VT3T306w4uPTF ¯ ¯ X2q1XIeF35e0XGVF35”c8beeI€‚X2@˜14’3Ajc~e0P5eF“32v4ebU35@Ì6Ie8Ir354VA1I
F 2 w 0 G T™ F7 fIA 0iC G 0 0 G 0q w G 0 5
X2x`YXGcEcP2”eI”@mvG4es§²6™43ge0VG‡hPf8FÈ@35le4€a4ebsceI3560”8I”1}PT@Svq3580“X2oVb3Thdc8b}@7
F F2C F G I( Tp f™ ß T T 0 GRI 0W fp2 0 G™ Ê G I( 97 G F 0 f 0 G T
XYV9@z7X0Ä1`YXGXFP94Sd7VGÄ35@u8f“dbPw¥Þ€œ7 Õ 1dœ7 Õ S”eIe3Ae0V535t0DRe0u6280fG@ÈPTĹGÇ1`YHGPFP9c@d7vGE@d1PIeFXG4EDC4A
5 9 Ÿ  FW T 0Y G F „i 5I i T7 G
5 RI F ƒ FW TRI 2 F2 0
9@z7XweFeTSº739”4ebvPTaPTc}hj² §Ü 6Acj’a1tI’eI6530…8I‡€4P2VF4ebQeb6T˜”4eb‡@ÈcE§² ‰ 3™1eI6G3w@#1PIeFcPp@eIT
T w 0 G F Fb {  0iC 7 5 R Ê G Tƒ 5 T 0 f 0 G T7™ 5 0q 2 G 9
3Ac441l…u3T6044—eI4Äz™•‰ 3™1eI6G6w1ÄSº78FHG4P2§3A4c41l§“@UXR”P0c@d7vGqloeI§PAS87aPT’”zH° ¯ syˆ
0A2pIW 7 wpA 5g Ý 5 0q9 F F 0A2pIW Y27 F 9W T 0W G F T F ¥
®
“”zH° —¯­
E§² ‰ µ ¨ tz³E§² ‰
´
PTeP74eef@tIUPT4ebÄ@vG@E416I432@1˜@4wc}yj· ¯ ly|@I Vf1tI‡48bpX2eº74eVf1tIR
F 9p 5 R F GRI 57g Tp 0 0(I fIb 0b {  ¥ ˆ R 5 R 0 G F 9p 5
d®6T4@º7c`gD„hPfeF‡I u @H™@‘0— ­F 6916qX0`9SI u ”a8I©‡B}4ebE@u1XI8FS˜PfjzieIc4@Qh‡Bc1}304c3Ae0B—…imÉ
02 9 0 G G  0 „ G 7 G ˆ † ¢ 0 GRI 2 G7 F 5gg7 ˆ ‡ „ 5pI wp 5 G 0
Ø
µ‡ ¨
Š
i‡ ² Ü
2 G7p 0 0 G YW •  0 f 0 G iC A27 w7 T A27 0 G GIW F w7 Fp 0 F G7
1PIeFSE€3¥a4ebx“v—š½˜@V–§Vb3Thdc8bxc’4@w30SEeg’4@v˜Xf8F’8b@l’P26A30@4egPTc—6¥}PTS48bG
XAeF1œ5 ”…8bHGF u X2@˜14}PTc8bm651±qd{yþ—Ú4@þ½ªv×P24ebXGF u 4P2—HYxP2@˜14d30@4egT
( 7 F7 fIA F G 0 I Ÿ  Û x Š x z A27 Ù x Ø x z F ( F 9 F7 fIA w7
„DhPfeFw80HG4E”a6G4Vp85vG413ImVGVTP5|”@V0432V0w60@Eeg¹TD„hPfeFw4eboP2p`YXGPFX94@87VGe446C4m4”DGP09 u mÉ
0 G F2C 7 w T2 w F ¸  T T w7 0 G 0 G F FW T 02 0A Tp I
 Ê w7 5gg7 97 G F 0 f w7 T A27 0 G 0 G GIW T
4eI6530…db@“VI44@XT@SVq35e0“P2’eb6T˜d30@4eg…4@‡hPfeFac8bx8b@l@7
VT3T30—eIc#dbew@˜d˜Xf8Fwc8bX2#3Ae0S87654321ue0@m41XI8FcXp1eIdP04S87P5VF3T4”SEebu30e0€S87@E@Äœ£wd“±ù—…
w 5g 57 f 0 G 0 G F G 0 0( 57 T2 G 9 T 9W 0A G7 G G2 57p( •š› š
TX4}p h g  Š¨ a@s3A44c1tdPTdS48b‹1PIeFcPp1VIy@z7XweF65˜4€…p1zqE|P9P9F u ‚eb6T˜˜30@4egT
Fb{
Š T7 0A2pIW F G7 G 2 G 9 T 9 0 fp2 7 0 7b ™ 0 f w7
†…jrTh1VI©1I ‡Bx7 1eIt5©680Se73461Ûo680vGjvY…VY@E@PI8Fœd7VGp‡SE8bw380“@e7@E1md“±—vXT4}{
ù¹ Ö 0 f T 2 ˆ † ¢ f R A G 5020( ™ f T T 572 G T 7 G7 G 0 G2 57p( ùš… Fb
× âÓÒ×Ü× Ô ÐÓ ÙÚ ßÝ Ü Ù ÙØ ÐÒ× Õ ÔÓÒ Ñ Ð Ï
#rÄÇBÇávy”ràÛ€}ސ3ÒÛrÚ”4ÇñÖxBÄv”m’Î
“
Ḭ
4
3 BIï)H #Pï  R ¨ C¨ $C¨ ¨ F©7 $h ¨6 ¨ ¦ R©ì 7653
37 ¨
3‘AXP98ð(úRPC¦â8#yIì 0A0ËPRïY #”'B¨ (©#F §‘†B¦ AX)#‰9CB °¥8$H©©6©¦R‡RPêB 3 ¦0 â'$c1C¨R'B7 3Q1”AP(¥3lCëRRB7 3 C¨C¥P'#$8 17¨8$ÿ©# ”QP#F C¦©l1Xë”PCïP¥¥÷rS98$ ('
ï # B3 7 X # ) 3
# HB 3 X
7 Xï

2 1
0

 FW T 5 R G w ˆ T GI2 GpW $ 5 02 F 2 FA2
1`YXGXFP94Sd7VG}@tI~“62P03FhcVp~@4~c4‡%vY@87VT3T306w4}PTx@PI8FHG4416Iw
T FA 5 9 0 T 0 G G7 f 9 0 0( 5 R Tpb { 2 w Y27 YW 9W T2p
cPp4@e7”@e785DG3wleg#4eb}3™3T60PwVF85S˜”@e7354621q@tIp4€}À‚1XIeF35e0XGVF35g€Sþ“#P0c@d7vG44qXTF
AI 0 f 0 G™02I 27 G G 5( F G7 f ( F 0 I( ž›– RI T FA 59 0 T 0 G
—4eb6Ghu4eblS41#@48b3580œz7e0@mXT’HiVF85S˜p4X24e2651±q1aE@~@~4Ppc@87È@87e56G6wtVgu4eb’¹Rƒ ü
63T30XweFe5Sqa4ebG
G7 f 0
RI 0 97q 0 0 0 G 2Igp 9 T A 0 0A A27 G7 f w T G 0 0( G7 G TAI 0
@B3TcPp@S“321X(3F~48bh1l4eHY39P0@eIp462t6g4qc@B3T60PweFe5S˜pdb4ep~80œ8735c321SEebBcj4eb6Ghf
5 R G w ˆ T A27 5 02 GIW 57
@tI…“62P03FhcVp»4@yVY@e7eT6T303wcþ8b@l‹e0@hP7eF6580XGVF35Qe06T4}¤36T30XweF85œqx“@P743pVwP56Fw c@7
w 0b{
G7 f G2 9 A2
™ 0 f f T7 ™ 0 f f T 0A w F Fb { 97 5I2 F G7 f ( F 0qI( 0 G 0
@XweF85DG˜h—VY@’@PwVF85DG˜h—VYe6T44Pp694P2wPT4}o—@˜ef@4uXTQHieFe5S˜©4P24V235@Ì@p48b–624b u
T T T 572 G T 5 R 9 G 0 F 57  A27 T¥ ˆ F
h3f80vG—VYoVY@E@PI8Fœd7VG‡@tI|@z7Xw8F“32cPA”e0@xÌH° ¯ 4@’1“ ¯ 3€yQP2pº7VF35e0XGeF65`YHGPFX94@d7vG”4}{ ü
w FW T 0b
6†T}‡Bd1Xq@eI”8I…3Ae0c}4jc8b6Ghf
‰ ˆ †¢ 0 9 T G Tp TAI 0
RI FW T 9 0 fp2 0 G GpIW7 T2 T w2 w G2 5Ig F
@o`YXGXFP94@87VGy@37PwVF35h4€hc8bac1l@d41XIeF4Xp39416I‡“@d7vG1l˜XfI u G u 874h0 u c1PIeFSº769e0he03Tc8bG
5A T2 G 5 0
f 5¸  FW T 5 R G w ˆ T A27 5 02 GIW 0 f 0W  ¥ ˆ™ T w F G ƒ 
1eIE~1`YHGPFX94@d7vG”1tI”€62P06F˜jep©4@#VY@e7eT6T303wc©8b@l”6T˜16I3wl˜ÌH° ¯ syÛ@V0@z7mPT4eb#`2”@`YXGF
H„@E€6¥p@U6T˜@3I3wl”@X° ¯ sypX2i`YXGXF@E€3¥cP2x416I3wV0”4eb1—™@˜ef1cXT©x624b u @e0@˜Vf354ebVG4E¸
97p 0 27 0 f 0W ° ¥ ˆ F 97p 0 F A2 T 0 G 97 5I2 F ¾ 0 ™ 5I 0 5p
6˜Vf14tP9@’@a²—PDšf D#Pšv48bUXT}4Ppc@87Ç@e7856G6wtVga4}j
T 5I2 97 RI …›ƒ ù  e 0 G F T FA 59 0 T 0b { 
 TI T2 G F
Se01legc@87e5U8TXG’ebXGF u 3Te0ceh13I}HGF
Gp f f w
™XS†0™c—™SqVf14PTpHieFe5S˜w4ebo624b u ef1c2 œ u8TXGXTxHiVF85S˜”y@4Xp4@87Ç@e785DG3wlegd4}1°
 F 97 5I2 F G7 f 0 G 0 5I Ù F F G7 f 7 RI T FA 59 0 T 0b { 
û I2
‚2 u 4€ƒ
9P390 u V0@ihef14Qi eFe5Sq–c@XF4@e7U@87e56G6wtVgg62300 u 6Gls1XI8FSP739e0q48bej1tSi8TDG@½7©I u {
57 T 5I2 G7 f A27 FA 5 9 0 T 0W 2 G 5 0 G GpIW7 w R
! À  š ›  ù ƒ 
Aœ£` ER½•
– ˜ “ ˜… e ù “ ù • ùd  ù À “ ù • –
hP“e€Áƒ@!V–ÄIe–½D•EuEÁdsD›EËqI3–uEÁdi8ù@½–…˜D`ùf•…˜D¢EÿdeSE8bm@z7X039vXT‡¹Gw µ @¼ef14¹2cµ æ
 ù • G7 G 5 w F ƒ RI 5I „
7 G G 5 F FW T ™ ¥ ˆ ƒ 0A F2(7 f fp Fi7 f RI 0 97q 0 0 F  F
…8I‹3Ae0Sº769e0aPTo`YXGXFP94Sd7VGÇj±X° ¯ sys`2”S448pHG41@˜ncePfjœ˜ShcPp@S“321X(3F‡eTXGÈX™S†0™È™
R@Ia“Áƒ@!V–IV–½D•E…4eb8IQ3Ae0Sº769e0uXT©`YXGXFP94Sd7VGÄc1• ¯ 4@o“ ¯ 3€y€`2o—ÌX° ¯ syhP2s321Hq1(
“ ˜…  e ù “ 0 G G G 5 F FW T™ A27 T¥ ˆ ƒ  ¥ ˆ F 0 F
G7
œE8bGh8bXGF u • ¯ 4@e1“ ¯ 6€BqP2p621Hq14@PI8FHG4EDC4i`YXGXFP94Sd7VGm48b~80SP739V0u8Ip6A304”0 »u mÉ
A27 T¥ ˆ F 0 F( T2 F2 0A FW T 0 G G 5 G 02 u I
 FW T5
1`YHGPFX94@d7vG}1tIR
2 F 2 w  “ 7 T7 Tp RI F Fb { RI 5I „ Y27 G 5
@PI8FHG4A41I6|•ED›—ùD˜ª¥Rƒoa@s6Ae04‹6280fG@vXT‡PT4}w µ @¼ef@4`2cæ €SueT€62e06Te046ge05 çÆÆ µ ¦ÆÆ e0654b u
0
®
1ÌH° —¯­
°
Þx ¦ÆÆ µ ¦ÆÆ
HRFo6A0444@t}XTm1eI6G6w1p1XI8FcXp1eIa4ebs£3A44c1t}XT18IDG3w1e87SEl@º7eFXG4X2dc8b‡304X2j
A2pIW F 5 0q 2 G 9 T 0 G™ 0A2pIW F 5 0q G7A9 F F 0 G w F
× c”}Ý ©’urlB’—}}¤Gvg3ÒÇrځvcÇ× ’dtc—×qovâÈá—±ÖÕ
b Ó ‡ ß Ý ÓÎ àÓ Å ÔÓÄ à Ý Î a à Ð Ü Ù ÙØ ÐÒ ÓÎ ÐÑ ÃÓ ÙÒ Ö
•
°Ì°
$ï 7 # V 7 ¨
F 7  7  ï ¨ F # B 0 o F 7  l X  ï # j 0 3 # X V # D i B 0 g @# #
PRvR31¨C¨PEî©G©¦%Rê3âPR·n1m3•RP98ð—kR%†©1ïRs8F”©e(ê3sh8BC#'(y8X1ë#Y RRVB C¨¥ 8$H I#)H†C#”÷B 8÷# 8C#RX 8GR3C¨7 ¥¨ 8$(9(¥3$©ì
RPuPC¦2RR˜f¨¨ µRRì3 3Cïë 10 R‘8÷B ed™ ¨
'B©¦)©êï1ƒR•X1Xy‚ú(Éø©{(C3P™!†F)#8#”©(µ'7'#IËRP68@C#)4CëP87R˜ '¨RƒC##Y RV8C¨v¥AX8$ê#¥¨¥0†$©°‚CHF## A0Q‡3 ©¥8$C¦2A0—ÿ# ©T·3©#)¨ §P¤¦ 'ï– C$”F
# B 0 ¨ @ 3 ¨ ø # ø 7 3 3 7 @ B ô Y B F F  # ì   ¦    # #R $

 w F2p 0 G ›š › š 0 G
SP069ewP56FXG4cdc8b”œ§œ—š™˜f•D˜±“E•4ebi8IG
6T80SP739V0m1VIe565ee0@44u4}…Ì4‘Žc‚sye60e0 ­T 1eIV535U±ùœc”4eb’@qcP24eb@4”cmXTP939e0XG£3™6G6we0e5@3Iw
G 5 5 0 T7bg 0b { ®°  ¥ ˆ 5 0 “–d 0 G RI ( F GI2 Tp G F 5
XT#1XI8FS87€62e06Te046ge0uc8b’@}—‘)ƒf•˜ ²“Ix4eb”S48bxXYc1”4Sz7hdX039VwP53FmXGc4u4ebpœ”d“—ù˜ cHG”S48bG
F 2 G G 5 5 0 G RI ù… e À– 0 G G7 G 92I T2 0 f w F2p 0 G ›š e F G7
GD@½7i4}” ˆ ’‘Xu o4X28F“32V03TV043gV0‡PTaXG§324b u   4X28F6GV04eg6580“P2‹X2y4tp6RV0@z7”lwvG4e”§h63T1zq37P09
w R 0b{ ¡ ( G 5 5 F F 0 ( 5 G F F9 5 w 0W Tp f 0 ‘ 0
35@6q4BHGqdbXw4b @P069ewX53FrXG4cm4eb£@~30c R
0 02 F F ™ w F2p 0 GRI w
Ât065e032h w 40 G A 2 5 7 0T G 0 A I f 2 0 q F
‰ cRf 3pIewX53F0 ~48b”474@fp eI@GPT691zq' 87e5 4395 4—˜˜1e6GeFFPI 6w1“1@3I92 7 Xw4W
0
A
8bÂc 9‰©4peFP2¨(  “324e0ý —™6T69e044j6gA50 hp601@PIw2 87eFe56G˜14“ebq006wG 1y3IG2 3™Xw43TF V0a@4V0z70TW 8b3541X25wG tIF 4‚4@@4h44eb8p@HGG 4a14@8b(02IF ˜p4reb„0 u”’@VYg @EpX2¨7 1ÂF @”˜SPfT7ý( pP2—@zYFT P(eF7 @u5 du8bPTFG
€G
{ G I e05 ’
f
R ™ A 2 7 }350 xv h«
b
G2 h
7 Ic
0
T4VA@7 u eI|4@374€394—hw1XI8FS4PgeFVTPT448bm4P2eF€62e06Te046ge060@87e54eb13™6Te0@37e035cP2F  t@B448pHG41@˜f
5 G TA 0b 0AI f 2 G7 FA 0 G ( G 5 5 w G 0 G T w ýRI 0A F2(7
0 G T ' 0 G7 02 A27 9 5 ý 0AI f 2 Tp FA 0 G 5I¸    A27 ¨ 0
c8bwmoS1Hq8FS“6(4sc@Sz7e0dPTF Â |—™39cjh§@PIeFc£Hø4q4ebd@s’@° ¨ “4S#z –Â e0654b u
04Pp@S‹4P2eFVG@87VG…48b˜8T“32V03Te0c3ge05 ü 4eb˜6Te0@37geb@tg`2ƒ ‚1XI8FDG3w1“16IPw4”1k1XIeF4tXø4”6548bHG3F0
97q ( 5 T 0 G G 5 0 G T w GIW 2 0q2 FW 5I 2 Tp FA 0
( G 5 ¡ YW G 0 0( F F F GI „  0 G RI w G w7 0 0 G I T 5p F
4X28F“32V03Te0c3ge05 ¥ˆ¢ ö“Q3A80œ8735c321vXTvHGHRv@—eI¹5tµ4ebrSi30@e785‡6GS4…ii48b‡T u 4VbiX° ¯ e041X(|¸
x f ‚ … u u f ‚  x x w u s d p h f d
‡b#†„ƒ£0%€yvtrqigec

a2 0q2
Ìb@PI8FDG3w@€@3Iw
Pw4—PIVF35l#4@1PIVF4tXø4”4X2PF39cjh”4@PI8FœE€3¥uc8b1tIR  ”35e06Gh@87@4u4eb’@#1XI8FDG44tph”@7
FA 0g A27 2 Tp FA ( 0AI f T2 G7p 0 0 G 5 ý 0 f 57g 0 G RI 2 w2 R 7 T
8T@—eI¹5t  4ebU@d43p—PIh4eb˜30S8785…8Is6A3060jVI4yP9X9F u 0 u 1eISz7e0dPTc8b‡1E’@4Sº74u9 ¹gtÉDiX04˜@3Iw
GI „ 0 G RI T w 9 0 G w G G w 5g
2 T 5 F G 5I¸ 02 „  9g f
0 G F w F2p 0 G G 0 G 5 9 G GI „  0 G 0g 0 Gb F f 0 G T7 0 Fp
c8bxP2vX039VwP53FUXG44‡c8be8Iv@XqeFSº769e0”X0PFieI8T@—eI¹5t­48bDG3wlc…iU“1X(˜a0 u V0354b eIU@‡4XA41(
G F 0q2 w 0q 7 T7 0 T Fb { 0 97q 0 0 ý 0 G A27   0 G 0W 2 G 5 7 A2
“32X0432@€@3IpvY35@w}@6T1Vq65e0UXT4}y36T4PpS@“621P(6F’ac8bq4S‹h48bx62300 u 6Glq1XI8FSP739e0w’4EC
2 w ™ Tp ˜ w7 5gg7 F F T 0 G ƒ RI 0 97q 0 0 0 G 57 ÿ  0 G 0
@37w0 u ‚3AV04P“§db@1eI44S‡80DGe035VwPT4¹AH„h3fV0dc8b|¹Ry µ @3T4Xp@S€621P(6F‡48b‡V0@»4­48bae0654b u
Y § Ø Y   `Ü Á ””è Á E§ Ø ÿ qÿ Ü Á ””è Á ‚§ Ø ´ ¥´ Ü ¨ E§ ‰
² Y èè ÿ ²  èè ´ ²  ²
T7 5g 0 0W T 97 2
@©6Ae0VT3Te0cc…iat—zY7 u @Sz7w
vG@E413Ic3211h14m48bd8Ih1PIeFcPp1VI”4ebj…3fe0VG—VY4621P(6FUXWe06GX04˜@3Iw@Eb µ XR~e0@˜Vf354ebVG4E¸
57g Tp 0 0(I fIb 0 G G 2 G 9 T 0 G™ T T 0 0 9g f w 7 T7 F 5I 0 5p
² § ¶ ‡E§² ‰ µ ¨ tz³E§² ‰
«
´
YW G 5 5 0W 2 w T2 G7p 0 w 0 FA972C 0 G ‰ ˆ † ¢ RI T 7 RI 2 G7
“#3Ae0€62e06Te046ge0‡lo@3741PIeFSE€3¥a60432V035tXø4Û@4E‡48bE3™‘T}‡B’@~DGe0i’Sp1PIeFS˜PfF
„ 5gg7 ( w 0 FA 0 G A2C G 0ƒ G T w7 5gg7 F F T 0 G GI2 5I 0 0b
€zieIc4@w4P26F432V035tXø4~48bh4Ea8Iq62@@87rS7 u db@“eIc4@~80DGe035VwPT4¹AH„h3fV0m4ebB@4B16548bDG4»‘
'Q¥’” ‘ …–l¡Vh– ‘– y…ŽËTRrªSQ‡£’ ‡ ‡uªQIG 8†ƒFƒ
kŒ
” ˜ U  ˆ —  ”– k P sŒ R – — — PH ‚ ‚

çê t D
#e9qxEÏ C
A ç t
B6öé ˜)Ò #yï
ö í ç ð zêx’‡~©h)Ò ‚6ïzò4t©cp½s·zìBlç ©«»
ò ôï éçì êí õ ò rqï i tq òg ö ¼
× âÓÒ×Ü× Ô ÐÓ ÙÚ ßÝ Ü Ù ÙØ ÐÒ× Õ ÔÓÒ Ñ Ð Ï
#rÄÇBÇávy”ràÛ€}ސ3ÒÛrÚ”4ÇñÖxBÄv”m’Î

ä
pã

@
¥

zÍ
±°
9 7 w 5 g 0 G G 7 G  F f R T T 9 W 5 g G 7 F f I A 2 G 7 F Au G 9 g g
@EXg3F4X2eF4x4ebeSEeb· ¯ 4X(|¸ @eIt5x30V0…u 0 u h3fX041eIch3Ae0SEP2h14s1PIeFSEPgVFeTXT4©8Ih6AP0PFc4@7
32c»‘ ÛyVY35@6qþ“W 3A6044—eI4x‘T’  I #V0@‹e06548b©30cP2eF~‚—48bDG˜p@jVI`5SI s’PTxXT4}{
0b ý 0 0 Y wpA 5g ‰ G 57 0 G w T ™AI 0 f GI „ G 7 F Fb
 d w u x Œ
gk¡i“’ ¡‘yb%e‡ 
d …s x ‚ x c

 T w F G F FW TR
@e0Sz7}PTc8bxP2˜`YXGXFP94@87VGÄ@I
0(2 5 I2 T7b AI 0 f 0 G A27 F2C 97 5 R w F2p 0 G 0 GpI 9 R w G „  0
@4@87”4}SE’j4eb6Gh‡48bx4Ss™  80XGcEtX9@1tI”X039ewX53F}HG44a4ebv4PAVF8Tc1PTX9@½7v30@e785Btlc8bG
2 0q2 FW 5 R Tp 0b ‘ 5 0 A279 G YW A2p R F F RI A27 G7 0 0W
1XI8FDG3w1“16IPw41tIp3AV04x32c»|D8®1eIV535p4StSº7eFe5˜“pc41tIBPTXGp6280fG@pc@p6A80S˜PfeFVG3Tmtu8IG
T7b ýRI 0A F2(7 f 0 G 97 z ý x „ 0(2 5 0 G5 R 9W T F F T w G7 F fI
SEht@r44epXG4@@q48b‡HYP9@EVpT 9Ž­ cGx  þ2vB14@e7U48bÈ1tIX04@d7vGÄXT’HGy3Te0Sz7u6A80S4P2h14A
„2 G7 FA 5 R Tp 0b ‘ AI 0 f 9p ˆ 9g 0 0 G 5 R 9 5 I T 5p F
j1XI8FSEXgeFVTPT4a1tIs6Ae04§324»h‚—48bDG˜d35X04ydXG3FXwPF4j…i˜4eb‡1tIdeTXG4Vp3TV0uT u 4ebx ¯ e041X(|¸
 d w u x Œ … xz h v u‰ f‰z x  v ‡
gy%„%9ym}‹iŠ9qg“ˆ0‚

T2 G 0 Þ « ý 0 fI  9W7
c1PIeFSº769~É  ˜dh1jr1H° ¯ X04@Ä{
eb@‡4P2X9oÆ
GŽ 0 F
z ¨ ®  ý  Á ­° ‹   ý $ |®   ý ´ ~ ­° œ  
«
« «
ކ
‡vÞ
z ¨ $ Â bý $ ´ Â a Â
$
ý «° «
´ œ « ý ´ ¨«  ý ´œ «  €þ© 
†
dvÞ
ý «° «
¨  «  z œ œ ý œ « ý €þ© 
(7 Ê7
@E6A@d…
z  ý œ ©   ý œ œ Á œ Á ¥ ´ ®  @ Á ­° «  
ÍÆ€
}•'
z ¨ ®  ý Wœ Á  ´ Á  $ ˜Â Á
¨ ­° ý œ ´ ' ® ƒ œ ´  ý W œ œ « ý œ ´ ­° « «   
ÍÆ
‡'
z  ý œ ´ ´ ´ Á ' ®  œ ý œ „Á ´ ­° ’®   ´ ý œ W ´ ~ ­° œ  
eA5S7 u dƒ@U‚#cS
w7 € „ A2
z ¨  Á   $ |®  ý  ~ ­° œ  
« «
97 F 0g 5
@EXA13I6ÊtS87È{
z ¨ ® ´ Á |  « œ
«
´ý œ z ¨­° þ®|® ýœ ´œ k~ ™°­° q  
65P04yUXG3FXwPF4h`fƒ
9pˆ 9g
° « ý 
«
¨ «
Í€
U•'
z o ý œ W ´ ©   ¨ ý aœ ´ Á ¥ ®  ý œ ´ Á ­° «  
€
}•'
z  ´ ý ´œ œÁ ¥ ®  ý …œœ Á ­° «   
( Rg
1VIt5c@z70 Õ
z ¨ þ     1k« œœ  
° © ý
«
35P0cB~HG3FXwPF4j|ˆ
9pˆ 9gi
z ¨ €þ© 
ý «° «

±Í°

̰
°
1°
z”°
•
“
d

¯

 
Í


°

Ž

341XI8FSe785vG4PpX9P9a48bq€3Ae0651±q3I‡V0@U6TP0eFXGPFX94PWVFeT1lg
T2 G T F 0 G YW 0 w 57 F TI
G2 5Ig F 0 G RI TI Æ T w 0AI f 0 G F 0gg7b 0IA G7 T7 T7 T 9W 5
“@d7vG1thPfq48b}@eVG1o§63Te0Sz7r394—˜q48bsX2–32l4@Eu3T—4iSEb u @X9390 u @u˜6fP041VI4g
6A80S4P2h14`A—1PIeF6G3w@“13IrPw4—PIVF35lÄ@w6A80SEX2˜@4‚v®j1XI8FS4PgeFVTPT4È1 ­I —1PIVF4£Hø4veId6AP0PFc4@UV0@7
G7 F fI „2 0q2 w FA 0g 5I G7 F fIA „2 G7 FA5 „2 Tp FA G 9gg7 5
TAI 0 f 0 G F 0gg7b G7 RI 9 Fg G F I T 5 F 7 0W 0 G G7 G 9g F F
cj4eb6Ghi48byHR‹32l4@EÈP9X9F u SEb u @’Sz7Pwcj`YmPT‹2 u 4ebv@PI—zqE3bli48b”SE8b…3AX0PF4hPfvXT‡¹Gƒ
jdc©4@x‘Ž4‚6—y£‚1PIeF6G6w1“13I¹wD„Xw4jXIeF65t©4S#1XIeF4tXø4”1tI”‘T‡‡|394—he48b˜8I6AP0PFc4@7
Ž A27 Ž T¥ ˆ™2 0q2 FA 0g A27 2 Tp FA 5 R ‰ ˆ † „ 0AI f 0 G G 9gg
V0@q6Y4ebp324b u 4jc8b6Ghr41PIVF@S˜“x6A3044—eIcU8THG4ep6Te0”c8b}80Se785vG4PpX9P9u†Í ¯ 4Su· ¯ 6Te041X(|¸
57 0 G 0 TAI 0 f Tp 57q YW wpA 5g 9 5 0 G G T F A27 5p F
34—48bDG˜|@’`Y6GX0eF@S”m@tIc1PIeFSº769e0Q… ce4eb”T u 4ebdH° ¯ X04@ÄU3cj4eb6Ghi4P2cdbew@˜`f…„˜Xf8FG
TAI 0 f RI 57q 7 5 R T2 G 5 „ý 0 G I T 9W7 { TAI 0 f ( F 57 0
97 w7 YW wpA 5g 57 G7 G 0 f T
@E8pDG@©“‹3A6044—eI4iV0@aS48buh1eI©ebXGF u 6T30@e785”SjVI`5t­DG@cDii4ebue0@4˜16I‡4vDGP09 u mÉ
w G GI „  w7 0 0 G 57g f w Tp I
p  d w u x w x
q0y¡iy~yw Xvs }|{©ybg“v
d p d p xz x w ‚ 

° Ó à ÐÚ Ã  tÓÚÑ â Ý Î Ó Ï Ù ×Ò ÑÓÎ à Ý Î Ü Ù ÙØ ÐÒ× Ú Ð Ù ÔÓ âr à Ö
j±Í° ”vÛB—ѧxuÇB}á”ÄÒ rào|”B’e}}À3ÒÇrځvcÇ€v|DΐB|sÀqp±ÖÕ
2 0q2 FW 0 G 5 R A27 ™   Â 97 5 R w F2p 0 G 0 GpI 9 R GI 5 97 w 5
1XI8FDG3w1“16IPw4xc8bw@tIh4@ycz ž‰ X9@i1tIhP039VwP56FeXGc4p4ebq4PAVF8Tc@wXTP9@½7d@—eIr@EPg6F4P2VF4g
0 G 0 I ÷ Â RI 0(2 5 7 5 R 9W T T F7 5 A27 w 0 G 0 T F T F7 5 GI
c8b6™35@6q0 u ~Q ‰ Sx14@e7i1tIqX04@87VGucP2@˜3fV0–4@xX039ewX53Fpc8bq4XAeF4X2u4X2@˜3fe0u@—eI5
Tp 5p T 0 G Ê f R 7 T w  T7 T w G7 G ƒ  57 F(7 F 5pg F GI „
c1PIVF44eg”4ebxeI3560n1VIt5©zY7 u d3TV0@z7V0354X2F ‰ @hV0@z7aS48b‹`2d@VY@4P21@˜Pf”V044vXT‡@—eI`5cý
0 G 0 G 0 FA Fp¥ F 2 G7 T 0b { 02I 27 G G 5( 0 f 0 A27
c8bs624b u €62e065£Hø4”80XGc—aXT©1PIeFSE8pHGeFh4}qS41Q@Eeba6580S37e01a6T˜16I3wlW Æ   Æ 4@”P069ewX53Fw
0 G 0 9 GI 5 Tp 5p T 0 G G FIg G7 G G7 w T Ÿ° ý 0 TA 0 (2 5 0 G G7
c8b3T1zq37P0}@—eI4@PIeFc4ega4ebU“P21lSEeb}Sd304X2eF”z‡d« ©  324b u 4462‡1œ0 4@e7a48b}S48bG
T u 4ebhe0c1Eq4}xSP04Sd7VG˜tyX9P9F u jc8b6Ghqc8bsdbXw4b u @tIR Â q1Hq8FS“6(4r@z7V0}@h14@e7o7
I T 5p(C 0b {  9W T 0W AI 0 f 0 G F 5 ý 0 G7 02 9 5 RI 0(2 5
XT”e035c8bÇ@e0@tI6Re0654}ij ¯ 4X(|h30V0ÈSP069ewP56FaXG4chc8b©1Q@E8b‡6548bSe7£‚X21P(VF1h48b‡SdeTVG@87VGT
F 0 G™ 5 0b {   F ¸ T™ w F2p 0 G 2I 27 G 0 G 5™ F 5I 0 G G7 5
GI 5 Tp 5p T 0 G ™0 0 T ( Rg 9 0 G 0 92p GpW AI 0 f GI „ G 7 97 F Fb
@jVI”41PIVF44Vgx48br@h3f4dbVw©1eIt5cSz7P0’4ebp@XƒPF44rz™j4€j4eb6Ghi@—eI¹5SI u #QeIXT@”PTiXT4}{
 d w u x Œ w u … ds w p ‚ œ — p w ‚  ™ … x  … ˜ —  d f x • ‡
0y¡iž¡t‘yX£¥›£kšš%y#rgy– ‡|0bf

“ Gg7b Ÿ F F G GpIW
cu6580c@4X2}PT4eb}c1l@7
XA@87yXT~V01o’D±ùœc”P2B1eIV5354ebyc1l@d4P24eb@4r—±Ye7BXGS@44epXGXF4˜S˜X2B1eIV535a4r3T30c4jVI4g
F T F 5I Æ “–d F 5 0 0 G GpIW7 ( F GI2 T T F™0A 9g f7 F 5 0 I2 wpA 5
A—4eb6Gh˜1VIt5c@37P0uc8bdbXw4b u X2F ‰ @d14@e7˜mPTwe035c8b~SE8bmT u cebuV041Ea4ebo14@48bHG”'
I 0 f ( Rg 9 0 G F Â RI 0(2 5 7 F 0 G G7 G I T 5p(C 0 G b(pI 9
351VIe535”j148bHGF u PT–—48bDG˜’4ebiSEebB£@z7h”@4”3T—4iXT48bB@@Ìl@hc@k6A80“P2@t”@7 u ”'
0 GpI F AI 0 f 0 G G7 G ™2 0 f GI2 0IA F G ™0qIW7 GpI G FIg T T
 Â
1°¡x ‰ x z 14@e7x48bhX2qX039ewX53FiHG44x4ebh1hHY39V0PT3F6we04wPTX9@½7eSEebþ”3T30c4jVI4©eIXT@7
0(2 5 0 G F w F2p 0 G 2I
5g 9 R G7 G   7 wpA 5g 9
XGacp4£@P0cu9 W@d7vGHY41a@4”PT©—48bDG˜i4ebtœ…ž@lf›@”åhÁÀ”8ùj²BXTQs324b u 6™3Te0Sz7‹1PIeF6G6w1“13IXw4W
F G W™ T 92I GI2 F AI 0 f 0 G™ – ˜ – ˜ ƒ F ý 0 T w 2 0q2 F
5R
@tIÇ6™350@6q0 I~ecl® Â ­ý UÁeI”1tImXGr@i4XAeFeTc1”XTP9@½7#c@iP069ewX53F‡HG44i4eb#1‡8TvG@d7vG‡@—eI5
÷ z © w e– 5 R F RI 0 GpI 9 R A27 w F2p 0 G 2I 5 T GI
Tp 5p 0 G w R ƒ GI2 F GI 5 Tp 5p T 0 G GpW ý RI 0(2 5 7 5 R 9W T F GI
c1PIVF44egTh4beÈ™36G@½7Q`2pz@cdXTd@jVIwc1PIVF44egh4ebdj4|™  @”14S87od1tIiX04@d7vGaPTd@—eI5
3c1PIeFSE€3¥‚694—˜}1tI8T@—eI¹5tËSm6T30@e7856G@c|B1H° ¯ e0c1P(|¸
T2 G7p 0 0AI f 5 R GI „  RI w G w7i ˆ û 5p F
a) Diffusion

σ = e λ h , λh

- oo

λ h= οο

b) Convection

σ=e

i ωh
, ωh

oo

R (σ)

R (σ)

ωh= 0

λ h= 0

Ι(σ)

Ι(σ)

× âÓÒ×Ü× Ô ÐÓ ÙÚ ßÝ Ü Ù ÙØ ÐÒ× Õ ÔÓÒ Ñ Ð Ï
#rÄÇBÇávy”ràÛ€}ސ3ÒÛrÚ”4ÇñÖxBÄv”m’Î


“±Í°
°  x z 0W 0(2 5 F 9 7 T ¥ GI ¦  ž›– 5
1Þx ‰ v32300 u 6Gl‡14S87p6A80XGhPfXFi”vG4Vp©@42 s‰ E@d1tIR
5 0 0A 9g f7 I2 wpA 5g AI 0 f97 F 0g G 0 G w T G 0 G 0W w 0 F
@eIe565U44epXGXF4˜Se4r3T6044—eI4hjc8b6GhE@EXA13I6ÊtS87854eb604P2VFeI u c8bp32600 u DGt~30c32e065£Hø4A
5 ¥7 f 7 F 0 G GpW ™ T w ( 0q2 w FA 0g 0 G 5 R 5 0 T7bg 92I ( wpA 5
1VI¡˜§˜PTV0354eb˜j4}@V0@z7–4X28FDG3w1“16IxPw4—PIVF35l4ebi1tI˜1VIe565e0SE4–HY41scP23Fc4jVI4g
RI FW7g w 0 G T7b F AI 0 f ( Rg 9 0 G 0 9 Tp f “ • ùd ˜ ˜ ˜
@Q`YXGXFP94SE@z7’4ebe@EiHG€j4eb6Gh©1eIt5j@z7X0…c8bqSPƒPFhvG4@– DPù9e!—–D•ž CeED›8ùDEWf›’P“q¤ Re±ùt“f•Àý
d—Ëœz¤  uT¤xd“s„ƒIœ%ÁeI˜œzvPù9!¹–D”P“mf•zD@½7‹P2|£4@xV0@z#cP28FD3@€@3iPwcjXIeF3lqc8bG
˜d  š ý š ù e–ä e– š¤ ef •“ ˜ ˜ ™Gw R F ™ A 27 T7w ( Gw0q2Iw FA 50 g 0
A27 ( G7 FA 0 G GIW 5 R w F2p 0 G 0 T F 5I 2I 9 R GI „  ƒ   F ¸
4S’4P2eFSEPgVFeTXT4”48b©8bSt‡1tIeX039VwP53FaHG44”4ebe4PAVF4P2‡1Q1ÄP9@½7veT@jVI`5t­eT¹GicÍ ¯ 4X(|QP2F
3A80œ8785vG4PpX9P9‡HYP9@P78FvG@EUV0@BSEeb’41VI@z7V0|1tIc1|@P7441levY35@”’PTuj4eb6GhjSEPA16I3Êl@87e5U4}{
G T F 9 57g 57 G7 G T2 T 5 5 R 02I 5 9pgIg 0q 7 F AI 0 f97 F 0g G 0b
 d w u x Œ z ‚  d £ x x ‚ … ¡ ‡
gy%5by9‰ i|§¢#he

  X9@1tI‡P04Sd7VGc4}PT’—48bDG˜a4eb’@PI8FœE€3¥‚694jhf
97 5 R 9W T2p F AI 0 f 0 G 2 G7p 0 0AI
34—48bDG˜}c1PIVF@SU1tIU8T@—eI¹5tâ@3T30S87Èyj· ¯ e041X(|¸
TAI 0 f Tp 57q 5 R GI „  RI w 5{ û 5p F
Diffusion

Convection
c) AB2

λ h=-1
σ2

σ1

σ2

σ1

b) Leapfrog

σ1

σ2

σ1

σ2

ωh = 1
a) Euler Explicit

λ h=-2
σ1

σ1

Í Ó à ÐÚ Ã  tÓÚÑ â Ý Î Ó Ï Ù ×Ò ÑÓÎ à Ý Î Ü Ù ÙØ ÐÒ× Ú Ð Ù ÔÓ âr à Ö
@±Í° ”vÛB—ѧxuÇB}á”ÄÒ rào|”B’e}}À3ÒÇrځvcÇ€v|DΐB|sÀqp±ÖÕ
 T FA w2 T f w 0 G 0A2p 9W 5g Tp
‚3AV0eT46pewXT43T30c@d7vG˜46pewX53Fa48b35c44¤6fP04@eI441XIeF65e0T
7 GI2 F A27 FW T F F f T7 G
˜@4”XTÃ4@s`YXGXFP94Sd7VGcP2€PAX9˜h@§8Ig6Ae0V535t06RV0”PTh`YHGPFX94@d7vG4P2”@k4P2€hPT4}þ‚@PI8FDG3w@€@3Iw
5 F FW T F RI A Fƒ Fb { 2 0q2
Pw4—PIVF35l”4P2—Xq@1“P23TX044epVGa1Hq8FS87XG8F“@4—4@PIeF65e0’P2o3AV046230l…eb@lw@±q4~cj4eb6GhewvÞ
FA 0g ( F 9Iq F FA T 0 G G27p¥ Tp T F Tp 0W GIW 0 7b TAI 0 f  †
0 G A27  € ' 0 G 2 T 5 F G 5I¸ 2 FA TIggI 0 G F T ™ F f f w 0W 0 7
c8b”4@a}•4eb˜1VI@z7V0yPT4eb’1E’‚1XI8FDG3we0X54}80HGeF1l414ebiP2rVG4Vp¥¥‚3Ae0eGXGhh13I˜3230l~1zqEb
XA41I u —‘)ƒf•E@”åhÀ h@87u48by@”1eIV535#@‡c4eX04@d7vG#3AV0@º7693w4‹6230li1zqE#XA41I u jc8b6Ghf
9p ù… ˜› – 0 f T 0 G RI 5 0 27 GpW 9W T 5 0A 0W 0 7b 9p AI 0
0 G w 0 G 0 T F 9 R A7b GI 5 0 G ƒ G2 5Ig F2p 0 G 5 0W 7 f FW T
c8bvP069ewX53Fa48bvcPAeFcP2x32X0P9@½7’@EU@jVIwc8bȹR’z“@87VG1l˜Xf44qXY39@XqeFSº769e0‡lxzYqh`YXGXFP94Sd7VGcP2F
TX48bu€˜3AV04@z7y@eIe56548b“@V041E}4ebtSmV0432V0~c8biP2jP9@˜ef}V0@rSEebr46g80vGU˜Xf8Fl@B35le4€2
F G YW Tp w 5 0 0 G™ 5p(C 0 GRI T T 0 G F 97 T 57 G7 G T T 0 GRI 0W fp
3Ae0XGhPfPFhX2©3A@Xq1VI3Te0dl@37vVG6Te06580“P2yS…@PI8FjPp1VIv“32X0eF4@e785a48bÄXR‚6™35@6q0 u ~ ‰ P9@m1tIR
F 9 7 F 0 9 5 0W 2 w G F RI 2 G 9 T G T2 G 0 G F 0 I ÷ Â 97 5
X04@87VG44~PTo4@dP069ewX53F~XG4cw4ebdcPAeFeTc1}XTP9@½7@—eI‚SEPg6F4P2VF4u4eb}4jc8b6Gheb@luI ~@tImS48bG
9u W T 2 p F A 2 7 w F 2 p 0 G 0 G p I 9 R G I 5 9 7 w 5 g 0 G T A I 0 f G W 5 R G 7
I T R A27 w T F ¸  9W 5g 2 0q2 FW 7 G 9gg7 57 0 G 0 TAI 0
4ebyœÍ ¯ 4@wS ¯ 31X(|}…3fP0c1eI41PIeF6G3w@“13IXw4˜q8I’3AP0XF44@we0SDY48b#624b 4jc8b6Ghf
 † Þ A27  € ' 0 G YW 0 Fg G 57 T w wp 0 F GII f 7 0W 7 f 27 T 0 G 5I
dvö4@˜}•ec8b’“©3AEHC4—`Ywe0S‡3TV0@z7©db4—‡@cepeTXT~@jhqut…zYq@EegdhPf8FmVG1cebT
XY691Hq8FSP739e0im35@Ìx@PI8FjPp1VI€62P0VF4@87e5eu@Xq1VI3Te0”eI…6Ae0P5c—6¥e0}XTSE8bx—48bDG˜i|@˜`YXGPFX94@87VGT
0 G 5 7 0qI 2 G 9 T G T2 G 7 0 9 5 G Fp 5 F G7 G AI 0 f 7 RI FW
0 G GI 5 97 w 5g 0 G RI T7W 0 G 2I ™ 5 0b ý RI 0 97q 97 T 5
c8bm3™@—eI”SEPg6F4P2VF4‹48bd@xPTVF@E‹4eb»@v@V01tI6RV0354}{   i@’6T4Pp@S~P9@˜efp@tIR ¥ˆ¢ ¡ 8IG
V01PI69©VY651”XT‡SEebv@—eIÈ@EXg3F4X2eF4x”30c4jVI4v4—4eb6Ghq4X24dbew@˜`f…„˜Xf8F|SE1PIeF“321“16I|X9”'
T w 0q F G7 G GI 597 w 5g 7 wpA 5g TAI 0 f ( F 57 0 G 972 G 0q2 w 9
¼ u‰z
‹9Љ  `y9S9ŠVŒ
‚ u p –‰ z‰

“ Gg7b Ÿ F 0 T2 w 57 T w 0
jT6580c@4…P26Ae0654PAVF413IaV0@de0@37dc8bG
GI2 F F G F 5 R T2 G7 F  w2 5Ig F RI F GI „ý 0 G 97 RI w 5 w7 G7 G
S4mXTmXT48b#dbXw4b u 1tI}41PIeFSEepXGjm@604@87VG1l˜Xfy@~PT~8T@—eI¹54e48bÛX9@B@o6Y@e743p6w@”SE8b˜eIT
P9@˜efBXT—™  @60PÊeF˜3ge0VG}hPf8F4eb˜32cb u `YXGXFP94Sd7VG£@q@PI8FvG3T4€~48b~4epVT44d8Ia4P2eFVG6Te035e0“P2BPTr¹Gƒ
97 T F ™ T T 0 G 0 G 0 FW TRI 2 0p¥ 0 G 0 5pg G ( G F F
'k%¸G·™A—pI…–'”'kleb6µ …„ƒFƒ
kR i µ ’ ‹ t ” ¶R– ‚ ‚

º ¹
»„

z x® w F 5 ý 9g f w 9
c{ƒt ­ý ÚdbPw4b u @tIR Â oDiX04˜@3I£X9@7
5 R Ÿ
@tId1“´»© Æ Â ý Æ j1tSXTBXGhPfPFe`YXGPFX94@87VGu‡vl4ebS48bG u 4ebpSz7v4vB— % x ‰ —™1tIR
GpIW7 F F 9 FW T Ž † Þ 0 G G7 I T 2 w 02 „  ³  x z 5
P039VwP56F”HG44d48ba4PAVF4P24X2@˜3fe0˜‡BlSz7e0654b u ™ ‰ P9@m1tIaP04@87VG4cmXT”dvö1PIeF6G6w1“13IXw4W
w F2p 0 G 0 T F T F7 5 Ž † Þ T 0  97 5 R 9W T2p F  † Þ 2 0q2 F
5 R A27b 0 GI 0 G 2 „  „ G F 9 F  † Þ T 0 ™  „ G 0 G 97 TI 97 ( FI
@tI˜4@46548b@m48bhvyjrd8Ie6A80HG˜XfPFrPTddvƒ@37e0654b u c“—vdeI”±Y7 u c8b4P9SrVG1hPf@w4X211(
™335e0Sz7V01”XTp‡BT1tIx`YXGXFP94Sd7VGBSe14@e7e4eb”SEebvc4£@1Hq8FS13(4#c@’@37e0mPTF  Q624b u  ý
G 5( F Ž † Þ 5 R FW T RI 0(2 5 0 G G7 G GpW™0 G7 02 A27 9 5 ý 0
RI 0(2 5 7 5 R 9W T 57 TAI 0 f GIW G7 I T 5p(C 0b   F ¸ F I
@’14S87§h1tIxX04@d7vGoV0@˜4jc8b6Ghk8b@lqœE8bG u 4Vb˜6Te0414o4}{ jÍ ¯ 4P(|gP2Ã2 u cebT
V0@’4—48bDG˜h87eGc‡†D„14c~Ô654eA@`IjebVG41tIþ4S˜j416I3we0‹4ebq1tIqeT@—eI`5lö48ba@’3T60@87È{
57 TAI 0 f Gp 0(2p Þ 0 5 „ 5p R A27 „A2 T 0 G 5 R GI „  0 G RI w 5
² ® ­  – ‚ ¯ ® ­ © p  d w u x Œ ‚ u u h ® — x ’ – h ­ … x  … ˜ — w u … d «  – ‚ —  d f x • ‡ ’©
€š±y£°~šuQqgk¡iy††k€‡tkqšs|k#rg¡kh k¬y£0q– ‡|0kªes

 ý 0 F 5I 0 G G7 G w 9 57 GI 5 Tp 5p T GIW G7 G GI É    0
cz ¨ #324b u P21X(eF1a4eb}S…3A80œz7—PIae0@eT@—eI41XIeF44Vg’8b@lSEebae0@mB  ¨‰ 624b u
™Se0@37x4P2eF6G6w1“13IXw4i4ebm1tI#4SÛ™ ´œ ¤©  §32cb u P069ewX53F‡HG44e4ebv3T@±q37P0”@jœVIv41XIeF4cegp7
T w ( 0q2 FW 0 G 5 R A27 « ý 0
w F2p 0 G 0 9 GI 5 Tp 5p T
™Se0@37”4P2eFSEPgVFeTXT4u4eb}1EU1`YHGPFX94@d7vGwc8beTXGhPfPF~@—eI~41XIeF4ceg˜£3™6Te0@371XI8F6G6w1“16IPw4o4@7
T w ( G7 FA 0 G 5I¸  FW T 0 G F 9 GI 5 Tp 5p T 7 T w 2 0q2 FW A2
2 G 7 F A 0 G G I Wu ƒ   F ¸ F I T 5 7 0 b {  0 2 I 9 7 w 5 g 0 G G 2 F A A
1PIeFSEPgVFeTXT4”48b#eb@tQ`2ujÍ ¯ 4P(Ä‹P2Q2 u cebie0SqV03T4}eS41Ä@EPg6F4P2VF4i4eb’eI1XI8FXGc4@7
X2weT@—eIuc1PIVF44egI h1zqEevG4edXGÈD™1”zc4Ä@X° ¯ P0c@| ­{ Xw443p…dPTF ­1tI|Sº7h14—XY1lg
F GI 5 Tp 5p T G 0 7b Tp f F ® ° I2™ 9W7 FW w 7   5 R 9 F fI2 9I
Xw8FvGPTeF6580DG@87@4db’8THG}304X2jB3@eIe565e0@Ecg u XI~6044—eI4‡eIh6A41X(eF3TcrS7 u —48bDG˜‡SE3A@aB4}{
w 57 w F w F 5 0 T7b 9 wpA 5g G 02 0A T AI 0 f (7 Ê7 … 0b
 d w u x Œ ’ ‚  £ ‚ § ‡
0y¡i“bk%bštx

× âÓÒ×Ü× Ô ÐÓ ÙÚ ßÝ Ü Ù ÙØ ÐÒ× Õ ÔÓÒ Ñ Ð Ï
#rÄÇBÇávy”ràÛ€}ސ3ÒÛrÚ”4ÇñÖxBÄv”m’Î

Ž
@±Í°
Ds‘Az‰“16I ­w 4—48bDG˜Uc1PIVF@S@tI8T@—eI¹5tâ@m6T30@e7ÄyjÍ ¯ V041X(|¸
® G2 TAI 0 f Tp 57q 5 R GI „  RI w 5 { û 5p F
Diffusion
λ h=-2.8

Convection
ωh= 2

2

g) RK4

σ1

σ1
λ h=-2

f) RK2

σ1

σ1
e) Gazdag

σ2
σ3

σ3

σ1

σ1

λ h=- οο

d) Trapezoidal

σ2

σ1

ω h = 2/3

σ1

dÍ Ó à Ð Ú Ã   t Ó Ú Ñ â Ý Î Ó Ï Ù × Ò Ñ Ó Î à Ý Î Ü ÒÙ Ù Ø ÐÒ × Ú Ð ÎÙ Ô Ó â r à Ö Ö
±° ”vÛB—ѧxuÇB}á”ÄÒ rào|”B’e}}À3ÇrځvcÇ€v|DB|sÀqp±Õ
R@e@4@87Q3A6080“@e7@E1ph1zqE#6Y4eb£cz ©Â 1tIX21P(VF1i4ebvSdVGSd7VG”4jc8b6Gh‡41XIeF4ceg|X9@7
I 0(2 5 G2 57p( 7 0 7b 0 G™ ¨ 5 R F 5I 0 G G7 5 T TAI 0 f Tp 5p T 9
TAI 0 f 0 G 5 R w F  š ù È “ À–… É 27 T7
cj4eb6Gh‹e03Tc8bp1tI©30cP2j‚@9…EÁdD•QËuI“uÊ@’SgeIG 6Ae0V535t06RV0xPT‹lj`Y˜3580VGSº7Q4}{
5 F 0g G G 9 0b
 £ †À·1tI¤ef6580e4X24@37P0a48bxX2£ED›—ùD˜ª{±ùdšµEÿdw30XʘXf4P2hx6Yc8bG
¡ 5 R G ( FA 9 0 G F•   ù • F F F f 0
T7 5 R T F G 5 w7 TI f 0 G 9 0 0( 57 TAI 0 f 0 G 0 Ib™2 T27g 0
Sv@½7@VI4P2u80Se743p6w@‡vG1˜u48b’XYX9@8765432@ee0@”4—48bDG˜iV03T4ebÇ6™35@6q0 u c‚‚1XIeF4@4c…iv3TX0eF65e0T
5 9 7 { 7RI T7W 0 G 2 „  Ê f R 7 T w 5 T7 ý 9g f w 0 f T 5 R 9W T2
@PI—zY|eÄ@UXTeF@4‡48bxvr4eI6530)1eIt5q±Y7 u ~43A6030—eI4g  @oxDiX04h13Ivh1VIU1tIvP0c@d7vG44p
0 f 0W G 0 9 F AI 0 f 0 G™ w F2p 0 G 2I 5 T T 97 AI 0 f 0 F Æ 7 5
h16I3wlx8IxXY69@XƒPFvXT#jc8b6Ghe4ebtSP039VwP56F‡XG4ce48b#@v8TvG@d7vG‡jzY7 u @#j4eb6Ghu4X2P9o’”1tIR
GI 5 Tp 5p T 02I T 9 G7 w F  š ù È ù ˜ È 7 T7 G
@jVIc1PIVF44eg~41rvG@z7X0S~604P2jr@9…EÁdD•Qv£› Áe@w8I˜3Ae0V535t0DRe0BPT~t—`Yy35hef@tIm4}{
5 F 0g G 0 5 R 0b

cz g  324b u f›@å …˜œiEÿd©œBP9@½7UeT@—eI5
0 ˜ š ù • ›š 9 R GI
Tc1PIVF44egBX9@pV0@z7dPT4ebs`2…34—48bDG˜o@E6A@d›4@s8bVG@tIceb@T€v„h@Emu654eA1¹Ij4Sp48b‹“W
p 5p T 97 T w F G ƒ TAI 0 f (7 Ê7 … A27 5 R T7 T f7A ' 0 5 „A2 0 G Y
6AEXCXF4˜6fjDi’XT}t—`Y|6548b@4}Äcz g  624b u PùReʁfD˜%f•E—·EÁdpœ}PTP9S½7’@—eIy41XIeF4cegve0Sz7w
0 9g 0 0 F 0g G 0 GI 0b {
0
 ˜›ƒ ù • ›š 9 R GI 5 Tp 5p T 7 T
TX48b©`2w‚jc8b6Ghx1VIt5c@z7X0”48b#“‹3A4XC4—`YvPT”l—`Ye4vh33Tl—`Y…I u r@it’eIG 3fc8b‹4EC
F G ƒ AI 0 f ( Rg 9 0 G YW 0 Fg G F 0g G 02 „ 0g G G RI 0W 0 G A2
0 u cÍ ¯ 4S˜ ¯ 3@P(|oP2~4—48bDG˜~@—eIvX04PgeFXG4uw4eb|@~3T60@87e5@jVI`5t  4ebmDG3wleg4X2w0 u ¹Rƒ
™ A27 T F ¸ F TAI 0 f GI 5 9 9p f 0 G RI w G GI „ 0 G 0 T F
p  d w u x w x x ¼ u p w ‚  ™  – ‚ x –z‰
qgk¡iyǧ0›byšžy£€k9ŠVŒ

641PIeFSd7j4˜@3Ic™™P9@~S4ÈXR43™VG1h}1tIeT3TX048bvG1I u V0@…4@dP0c@d7vG44p
T2 G Gpg f w 97 GI2 F TI f 5 R 9 5 57 A27 9W T2
HYP9@37Pw44@eI85vG@d7œz7q6AP0X9@z7vV0@Ucj4eb6Gh’db4jr‚6A˜Xf394b u 351±q˜XY€dƒPwc—PTF ® ÿ Ü @mcPp@S4@P78FXGcP2F
9 Fbg T G w 9 w 57 TAI 0 f wp  0 0 0 I 9 Fp¥ RI 0 97q9 F
P9@˜efoVY651”§621’m3‡”z° 1d ­ e04@373wl~€624P2hhPf~PT”6580vG@87XT4e30V0#@37u41lj¢8IÄSE€3¥0
97 T 0q 7 0q ˆ Æ
® Tp 0W G 0 F f F F T FA T 2 w 02I™d G 97p
XTF —41XIeF44Vgoc8bv@…41”v@)ÝRÅI ’44epXG41Sq…48bmXR3™651Dq0 u m» Å cP2eFSz7e0654P2g8bHGF u 35P0X9@˜efT
  T p 5 p T 0 G R I 0 2 I´ 0 A F 2 ( 7 f 0 G F 0 I ÷ ( T w F
97
DG1Q6Y4ebÈSP04Sd7VGaXT§—48bDG˜˜48brXR§4@Ç™™P9@˜ef§VY651”t…8IQ3A30Vw1tI”e0@u8T“32X03Fh6ˆ—3I˜e03Tc8bG
0( 0 G™ 9W T F AI 0 f 0 G F A27 97 T 0q 0W G 5 R 57 G w 0 w 0
3Ac1P(VF3T4ÛX9390 u XTmVT3T60jVI4˜cP28FvG@d7vGa48bĹRc@ÍclsyX2w°   G1tIR ® ÿ Ü 48bE6™8T@—eI41XIeF4cegT
02 0A F w 5g ( 5 T 0 G ƒ    ¥ ˆ F Ç 5 0 G GI 5 Tp 5p
0 G RI G w 0 w 0 G 9 F F 0 G 5 T G TI w 5p w 5g9 0 T 0 G A27™(
c8by@m8T“32X03Fh6ˆ—3Iw48b”60PÊXF@º7eFXG4X2¼6f48bmVG@87VG˜8I#32V014dbv6Te04c3A30—eIcÈSº73F6wtVgu4eb4@l4cP2F
v„VG@87VGÄXR69e0@4‡V0@…6Yc8b}SEebG u 4€‡syS30PweF6G@e74’P2pVƒ1I u 8T@—eI41XIeF4ceg’8bHGF u 4jc8b6Ghf
5 T T GI2 57 0 G G7 I2ƒ 0 ‘  w 5g F 5 GI 5 Tp 5p T TAI 0
Iu b A 2 0 A 2 p T p f 0 2 I 9 5 F G R I w 0 p T 2 w 0 G G 7 9 7 0 G 0 5 I
4gc@d7vGeT35c44hVG4ux41rz™XGcep3TV0ePTc8b~@p3T60432c—6¥e04@3Ix4ebp80SEXp@S6q‹8Ie654eA@g`2ƒ
ÄÄ d „ I G 9 7 p ¥ 0 ™ 0 2 I T p IF 5 p g T 7
7´¥e8Û@E€3ES41}4@Pec4e”E™ ×4@E1…8‚SE€30
  A 27 ™° IG 97 p¥
™@41B@4Pg3FcP2eFcq4eb|D™£‡3ŒeT@jVI`5toI u he0@xV0354}…cz ¨ @d Á   ­ ÌÀ‹  œ­ ¨ Û  ­ »4Eq0 u
02I 97 w 5g 0 G ´  GI „  G 57 0b {  ® ®° « ®  A2C
z ¨ Ç  ­ scP2eF@8I6SlUjd « Ã Ž Á à ¨ ® 9í  cz ’ v1tIS48b}T u PIP9@tI~HG˜±H° ¯ sBˆ 1eIE¸
®  ( 5 Gw7 ¸ 
™ ¨ ý 5 R G7 G 9 R F Í ¥ f 5
cz g  s624b u @º7h14—HY1tuPw8FvGPTVFœ3580DG@87SEdbv8THG’4P2—c4epVG€3A4VbPTPFc˜16I3w@”l…XYX9eF@37QSz7w
ý 0 9 F fI2 9Ig
w 57 w F ( FYA T YW 0 9g f w7 0W T 0 2
XT4}y  Ç@6T4Pp@S4X9@qVfpvY351B1tIx32@6qi`YHGPFX94@d7vGeTXG6G3wlegcP2U46GX0E3™6516q0 u myS1Hq8F6GS8785VGS7
Fb { ýRI 0 97q 97 T 0q 5 R 0 0 FW T F 0 T F Tp 9 0 I ÷ 0 w G
XT~XGF u X0—’@m€X21loDY@87c3p3wS©@7 1VIt5qeIl—XÁ†Àö4@7 ¢ †À%@~˜Vf3580…P2o8b@lue0S8746p3w@”354VA1I
F Fq RI G FIg w 5 w7 2 f R T™ ¡ A2 ¡ RI T G F GIW G 5 w7 0 5
„ F G F AI 0 f F G G7 G ™   2 0 F 0 F( TAI 0 f 0 G ( Tp I T 2 w 02
jeAX548buXT€j4eb6GhiPT4ebeSEebyc jg@PI8FDG3wjgX2k621Hq1i4—48bDG˜x4eb©4P2VF4™ u 4VbgSz7x4v„
¯ Á ›² S e  Á ´ ¯ sœd Á E1~« ¨ t±E‰
¿
T´ ›² ‰
®
“±ÍH° —¯­
‰¾
²‰ ²‰Ž ´³²
DûÌH° ¯ X04@Äw60e0 ­T —48bDG˜x6g80vGPT8FHG4eUSz74X2PF9
® 9W7{ AI 0 f 9p f 5 0
™£3g80vG`TSI u 4z™HG3FXwPF4jDit@e0S8746p3w@mvG1˜w48bÄ@oc48pvG‚@37Pw8FHGeF65˜7 1VIt5mh3f80vGT 3fX041VI4y@o4P2€ƒ
„ G 9g 0™ G 5 w7 TI f 0 GRI YA T9 w f R T
9W 5g RI A F
TX48bESÈc1PIeFS87e5VG4XpP9P9BvG3TlU4ebE@}4vy68T@—eI’c1PIVF44egsSy3Tlj`YeX2@d7vG3560s@3046280VGXTjDiU4ebu“W
F GRIT2 G T F 0W 0 GRI 02 „ GI 5 Tp 5p TRI 0g G F wRI w F 0 0 G Y
GpIW7 Gb(p 5W 0W 2 w G7 97 T 5 R 9W 5g FW T Tp T 5I f wp f 7 F 0b
j1tSr€@41eIc~lh@z7rSEebG  X9@˜efy1tI©3fP0c1eI4w`YXGXFP94Sd7VGB4@PIeF65e0}V01˜˜db4e‡BPT~e0654}{
¼ u‰z
¥‹Š9‰  `yЍŠyqx ¡£¢‚ ½
‚ u p –‰ f‰ w d … u p ‚ u

× âÓÒ×Ü× Ô ÐÓ ÙÚ ßÝ Ü Ù ÙØ ÐÒ× Õ ÔÓÒ Ñ Ð Ï
#rÄÇBÇávy”ràÛ€}ސ3ÒÛrÚ”4ÇñÖxBÄv”m’Î

 
1±Í°
36580c@4dbm—…i4a48bxP23Ae0VT43pVwPT4VT3T4tXøeFVGT
Gg7 w G 02 0 G F T FA 02
R@aDG3wV0|4Vpe4ebq8I”c@z7X0v¹G”@`YXGXFP94@87VGÈ@z7XweF65˜4€B@c4epVGe4ebm1tIx1XI8FSSHq8F@h”1VI¥qec8bG
I ¥W T 0 G G TA 9 ƒ  FW T9 0 fp2 RI YA T 0 G 5 R 2 G7 GI f 5 7 f 0
XTÃ1XI8FS48pXGVFxPT4}{ @60@Eegc321X(3FþP2F 6Y@e743p6w@”SE4PA—Hq44P2˜P56F48bq@tI»VA@“6(e05 “@xc14ebXGF u
F 2 G7 T Fb  w7 T 0 0 w 5 w7 97p F FA F 0 G 5 R 57 Y27 GpI
VT3T30—eIc…@PI8FjPp1VIu4eb…1c1eI4ebd@XqVF4qeI…VbPTF u 0 u SE8b~eT1eI6G6w1“321X(3F…8bHGF u 3Ae0Sº76FjVIeT@7 Æ Â ý Æ
w 5g 2 G 9 T 0 G b(p 5 G 0 5A G
G7 G 5 0q 0 0
G w T
R@e6T4PpS@˜1e(@P7sHY39@Xq8Fœº739V0”˜6f80VG—vY4321X(3F’4ebhP2”VGXTjDi’e06548bi3TV0@z7’V03T4ebm@–eb@lg`2ƒ
I 0 97q 0 5 9 0 G 5 T T T 0 0 0 G F F 0 0 G T w 0 G RI GIW
z“32X0eF4@e7856A80“@7 u 4p
G T2 G G2 2
0 G 0A w F G7 G7g 7 ( T 2 G 9 T G „YA T 7 A2C G 92I T 0
c8bq6T44Pp694P2qSEebG 8bSE§–4P2VF4p 1XI8FcXp1eI80S87VG`T“cSz780vGh»4EseI€XY41g3ƒ60e0#§‘ ü

œš

63T4c8pXGc1@˜o6A80Se7@E3gV0T
0A F2(7 f G 57
XY694PAF u 4P2—zqEu6T4PpS@“621P(6F—Wh8bHGF u ˜6f80vGjvYh3AX04416I|SP04@87VGQXYe9“32e06544X2u@E˜4v„ ü
0 ( F 7b 0 97q 0 0Ìý T T T 9gp w ™ 9W T G 0b F T7b 02
û 0
‚624b u
T2 FA2 w 0A2p 5 wI FW T9 0 fp2 RI 0 T7 G2 5Ig F TI f 0 G 5 R Y
41PIeFXG4c13Iv65444‡VT43p6wj’`YHGPFX94@d7vGÄSz7PwVF35h4€B@‡DG3wleg@”“@d7vG1thPf”VG1he4ebm@½7…€
641PIeFS87654PAVF416Iq`YHGPFP9c@d7vG…X2‡P01VI1cP2h~6548bœ87i”6T80cepXGeFVG416Io6A1Hq1eI6Te05
T2 G 0 T2 w FW T F 9 5 5I F f 0 G 5 7 G T2 w 0 9
V0@…˜Vf35e0…“62P0eFc@87e5Q4ebwSvP9@7 dbPw4b u X2F @PI8FœE8pHGeF‹48ba3™651Dq0 u 4v6™4—48bDG˜‹P0c@d7vG44p
57 T G G T2 G 0 G RI 9 F
2 G7 T 0 G 0 Ib TAI 0 f 9W T2
HYP9@37Pw44@eI85vG@d7œz7mc1”4P2XF4ep¤1eIt5a4PAVF”U3VG@4h’zYP74@37p`YHGPFP9c@d7vGE@e0XT˜@eI4h13Id4ebo`2ƒ
9 Fbg T G w GpI ( 9 5 f R 0 T ' 57g 7 9g 2 w FW T™ F f 5g f w 0 G
 9 TIg T7 0 5 9 T7 T T 0 G 0ƒ7 f G
@X04PWVFeT1l‡@i1V(@º7‡S”30PÊVF‹3g80vG”48buS@˜…eI©ebPTF u 0 u PTc8b‡30XʘXf4P2hx8I©4@‚‚1PIeFcPp@eIp7
F G F F F f G A27™2 G 9 T
e0c4h13I”eI…62@@87~46g80vG|@65tec—‡c8b’1mc432l3g4˜XYX9@8765432@x1PIeFSd7cc˜16I‡48bÈ@~VG@3Iw
Gpg f w G 0ƒ G T T RI 0W fp2 0 G 2I TA 0 0A 9 0 0( 2 G Gpg f w 0 GRI T
0 G ™A27b 0 GI 0 G 2 „  9 TIg T7 97 T T7 T F G RI T 0 G 0ƒ7 f G T
c8bÄ£4@Ed354eb@qc8b§vp@P0cPWeFVT1lw@BX9@˜efd@–3ge0VGaPTc8bU@h30XÊeFh48b”@Sqo8I©3ƒ60e0q0 u
™‚3ge0VG¹TD„hPf8Fec8by@vVT3T4X2P9@˜efu48b#1a4c32l3g4vcj4eb6Ghv41r@ÈP9Sv1tI@PI8FjPp1VI‡“32P0VF4@e785G
0 G 0 G RI 0 97 T 0 G 2I TA 0 0A TAI 0 f 5pI RI 97 5 R 2 G 9 T G T2
0 G RI w 5 w7 0 G w T™A27 G T2 G 0 f T 0 9 5 G ( F T 57 9W7 f 5
c8bB@©DY@8746p3w@”c8be30cP2eF£‚4@d“32X0eF4S8785w˜1VIi1Hq1eI6Te0x8I’4X2—6ƒ30V0ee0@”0 u HY4@˜4ep6Te0y¢
A 0 5g f w T 0 F R RI 0 97q 97 T 5 R FW T YA T 2 T 5 0b
£43246be04h16IkeIG VYSz7kXYV9P5@½7pXTF Â @x3T4Xp@SmX9@qVfx1tI€`YXGXFP94@87VGþj48pvGkeIG @eI@37e0‹4}{
‚Ô p’R Ó ’ ‹ t ” ¶R– ‚ ‚
6Õq‡r¬™A—pI…–'”'kleb6µ 8†6‘Òƒ

çê t Ñ
#u9qxD Ð
6çöé ˜)Ò #yï zêx’‡~©h)Ò ‚6ïzò4t©cp½s·zìBlç ©«»
t öí ç ð ò ôï éçì êí õ ò rqï i tq òg ö ¼

A
B

ä
pã

Ï


0A F2(7
S448pHG41@˜f
650 u XI…ebXGF u “32X03Fh6ˆ—3Ii’“’3AcPA—±qeI4xDY@87c3p3wS’P2ae0@37e0654P2yf®X9@qVfqHYP9@4ep4 ­p 48b‡4XAeFe5651±qI
9 G w 0 w 7 YW 0 F 5g w 5 w7 F T w F 97 T 97 T 0 G 0 0
XYX9@8765432@‚41XI8FS37PwPFc4@Ã|UeX2ÄeT€62˜6fe0X54€3¥e0”`YXGXFP94@87VGd4@Sz™“32X0@SXq4€6¥vXYX9@8765432@ÈXT|6Tt—`YG
9 0 0(T2 G 9gg7 † ¸ Ÿ F G 0 Fp 5 FW T A27 G 97 Fp 0 9 0 0( F 0g
I u ‹c8bd@þ6YS8746p3w@u@’354VA1‹48bmlVƒ1I u @E@PI8Fœd7c4h16Iu@’“4@˜@y32@Xq1–’1E¸
G 0 G RI w 5 w7 RI 0 5I 0 G ™ 5 972 G Gpg f w RI G2pI f7 0 F( 7 5I
@6Y@e743p6w@¤@eIt5@4cP2€@z7legwXY691Hq8FSP739e0€6™35tcepu6Y4eb@oVf35e0’1eIV535y3TX0eF65e0’1XI—±YÄv4X24@37P0}4ebeP2F
w 5 w7 f R™( Fƒ 0 T 0 G 5 0ø T 0 G™ G 5 0 T 5 9 7{ ( FA 9 0 G
G“32X03Fh6ˆ—3I}c8bl@4c8pXGc1@˜~c8bs@yPTVF@E4eb”@j6™351Dq0 u ~y  @41462cP9SqVfy1tIa`YXGPFX94@87VGT
w 0 w 0 GRI 0A F2(7 f 0 GRI T7W 0 G 2I 0 I ÷ b(pI 0 97 T 5 R FW
¯ z͐mvÛBèÎ ¤uÈB}ÞmĤrà…|”B’e}}ސ3ÒÛrÚ”4Û€v|Dΐro|Ík“ªÌ±ÖÕ
° Ó à ÐÚÑ ý tÓÚÑ â ÝÎ Ó ÏÒ Ù ×Ò ÑÓÎ àÝÎ Ü Ù ÙØ ÐÒ× Ú Ð Ù ÔÓ âr à Ö
31VIe535’1XI8FS3744Vp85G
5 0 2 G w2
VG3TX0P9@7˜ef‹4eb…SE»j4eb6Ghv@EXA13I6ÊtS8785‹4eb’cj4eb6Gh©P04Sd7VG¹T~v6™354VA1`I—4SaX9@i@…S48bG
9 T 0 G T7b AI 0 f 97 F 0g G 0 G TAI 0 f 9W „ ' 0 5 „A2 97 RI G7
0V1hef53c8bVGctpÇ£4@ÈœŠ…†…dùdù28¹‡œ£E@e– #Æ Õ P0c@d7vG`T~Q@@a354VA1”48baS48b§6A1±qeIchlW
5I 0 5 R ™A27 ™š •  ù •š›› Æ 9W „ ' 27 RI 0 5I 0 G G7 G 0 5g 0
2
@37w~¹Gƒr6534VA1`I—413I6we0’@EebU354@P(4’DY@8746p3w@…@~@4}4jc8b6Ghae06T48bÈ@a414œE8bv60Pw8FSmÉ
0 5 „A2 T 27 G 0b Fb w 5 w7 27 T7b TAI 0 f 0 G RI 02I2 G7 G GI
64jc8b6GhXG3FXwPF4hPfr±®P0c@d7vG`T~ ­' P04@87VGhXYX9@E1XI8FHG4416I44‡h1jrj ¯ P0c@|{
TAI 0 f 9g F 9W „ 9W T 972 FA2 w2p 0 fI  9W7
 9 7 F 1Hq8F0 6Gg S8785“16I`w' u I‡”« @ãw« I‡d
0 w G2 „
•㏠  ° “ã
ã
 @EXA13I6Êt@3Te78560…Õ 3g80vG`TSI { 1ã¡°d« 1ãw« 1ã¡°
0G „
ÍŽ °
@ã °d  ° ÍSã¡
S¡zã¡d«« 11㏏ ¡zã w°° « @i°Í
Ž

eA@7t—ug `Ydƒ}UäE„7 ”A' 2
5 0 G @7 h€ @ A
wT f
5o4S
z
z 1¡°
 °ã
°
35@X9 0 4Ey@U3IˆFp79 PA 3ÊHG3FlPw0 XF@4e79g h{ `fƒ
gÄ
z
z °
â
à
Þ
354VAv„
0 5
AI 0
—48bDGoÆ
 9W7 { F I T F TAI 0 f 9g F 9W „ ' RI T
j ¯ P04S|’P2o2 u 4eb}XT}4jc8b6GhXG3FXwPF4hPf‡X04@87VG`T|SmDGe0á'
 «à ÁÞ xâ
®
“± H° —¯­
° « ß â
®d
1©H° —¯­
° Á à ß
®
€zŽH° —¯­
° á}Þ
HRpXYc1’4@|XR‡P0c@d7vG`T~al”8IU4—48bDG˜de06T48b444ac14cIdc…1XI8F6G6wj
F 92I A27 F 9W „ ' 0W G TAI 0 f 0 G TA2C 02I™•   2 0
X2p32@Xq1†TQ#Æ Õ 3g80vG`TSI u ‚@reTSº739m48bd8Ir41PIeF6G4ctpsSz7e0~1Hq8FHGeF1lÛ@r˜Vf35e0˜P2u`YXGXFP94@87VG¹T~'
F 0 F( ‰ Æ
„ GRI T w 0 G G T2 w2 R9 5 0 TIgRI T G F FW „
5 R G 9g T F R 7 ( F 9gg7 Y € Fi7 57 F(7 F G 0 0 G T F G2 w F F f
@tIvVG6T80wX04hPfeF’HYe9X5@½7˜x4X2—XY44S©ˆ6PTjœ…VYSEP21SqXfee0X58F“32ec8b”4X2@d7“16IvHGBXR~Pù9e!—–D•—“ Ý
A27 ™02 ý 9g f w 0 G F Fi7 9 5 0 G7 02 0 G T F G2 w FW T RI 2 F 5 0
4SÄS4@P74Ü9 g  Q…iP04h13I”4eb©P2‡PTjœBSz7e0”@Xq8Fœ“3(4”4ebv4P2Sd7“13Io`YXGXFP94Sd7VG@‹1XI13(V0hc8bG
HR”Pù9e!¹–D•—“ “ª PTkjc8b6Gh¼' DPù9e!—–D•—“m~lseIgPAS87”PTk`YVG65t@eI4hPT4ebgebXGF u j4eb6Ghn'
F f
F AI 0 f f  É 0W G F T F 0g 5g F G AI 0 f
 9W T G 0b F 57 G7
@X04@87VGxHY89“32V03544X2ae0@~S48bG
‘T}‡‡cX9@Ä1tIrX04@87VG|XTÈXGEHRÇPù9e!¹–D•~ž ÁeIlœ—š™˜f•@²œdš‚—™XTu—48bDG˜€@37PwVF35h4€Ã'
‰ ˆ † „ 975 R 9W T F F F f “ e–› ˜…› ›ƒ F AI 0 f9 0 fp2
û2 F2 0A 0 G 5 T ™ 9g f7 0 5I¸ TAI 0 f ( F 57 0 GRI 5 G
‚1XI8FHG4E6Ccdc8bx8bHGF u vG@d7vGw0 u SP04h@cDi}1EB64jc8b6Ghe4X24dbewSq¹fD„hPf8FÈ@3TV048pœz7t0R
`YHGPFP9c@d7vG‚@8765432@‡48b‡4EDC4’4@VT43pVwPT4”8I~˜S87t5‡30462e065t06Re0“62P0P96930jDi’@U@”6T1vq35e0}XT4}{
FW T9 0 0( 0 G 02 0A A27 T FA G 0 f R w 5 G w 0 27 T7 0 T Fb
@4@P74qh…iP04h16I~c8b”P2yPTjœuVYSEP21SqXf~c8b“r™@BfG6RX048ba8Iy1€‚1P0PFrvG4eB3T4Xp@S“321X(3Fqýu
02 9g ý 9g f w 0 G F Fi7 57 F(7 F 0 G RI 9 0 G G 5I™2I 9 Tp f 0 97q 0 0
9P@lS’8TvG@EcSz7e048b’œE8b’“62˜6fe0P5c—6¥e0Uc8b”eIe3A80“4@˜@|XG“…3fe0VG—VYc321X(3Fe06GX04˜@3IviebXGF
97RI 57g9 5 0 G G7 G G 0 Fp 5 0 G G G2pI f7 F™ T T 0 0 9g f w 7
eT6Ge0©6AP04c13I~1tI£‚c@q ¯ 1XI8F6G6wj©X2‹3A4EDC4v@7 u ‘T}‡aS‡6GV0qB@’`YHGPFP9c@d7vGa€62e06544`2ƒ
T 9gp w 5 R™A27 2 0 F 02 0A T ‰ ˆ † „ RI T 7 RI FW T G 0b
s Ö — ˆ–
lÛh‘

'le¢6%±”؉–8”'kleb6š%•y¥—‘…–­•™h˜
k ¶R– µH Ù × t ” ¶R– µ kR ˜ ” ” Ö ˜ —Œ

Ú
V

× âÓÒ×Ü× Ô ÐÓ ÙÚ ßÝ Ü Ù ÙØ ÐÒ× Õ ÔÓÒ Ñ Ð Ï
#rÄÇBÇávy”ràÛ€}ސ3ÒÛrÚ”4ÇñÖxBÄv”m’Î

U

…„‚6‘Òƒ
‚
“Í
±°
3 BR ¨  3 $ ï F B H 0 0 3 B 7  ¨ ì
 3 R ” ¨  ¨ ¥3$ R3ƒ  4 
ï
@ ¨
$
°8Y Rrë93ì‰0 E!XAXï A0§‰…P””3©2WR§Pì ©R3C¨AP7¤©q8 (g@ ¥3$
$
A0°‚39C¨'7R”Ê#B P87VF R°Q8H3#0 6P©7@F Cï²%9C#A7R‰B vPAX ÿ (7  ƒ%©44ëë7 R6IR6)¨3H73ìX l‰¦1V©PF$¨ )ï4 •RRQC¨370 3 A98˜ì871¨1#R'¨X ƒ@'5R4P¥33#B PqAX$7 ©#  4¨ ¦ Q¨1VCBËC¦64¥y ÿ뇩PPC¦7#¨E %C3PRAX@ 3êBP§9Qr13ø#8ðï0 ”# X RRê3FX 6r4I3#3A0@ 6%8A7H ©U§B¦$# Qd ¥Yë Qƒj
#
6

5@tI@@º7h14—HY1tPweFVGPTVF35e06G@e7@Edbc8b”eIÄ@—eI~’XT’SEebS6™41PIVF44Vg|1€@EXg3F4X2eF4S’ú€Sl@cPp@Sq
R9 F fI2 9Ig
w 57 w 0 G G GI 5 7 F G7 G Tp 5p T 5I97 w 5g™   Y27RI 0 97
0ecPp@eI4@ècePfjœ˜p4eb8IeVT35¨ t06RV05 Æ   Æ e065u m©jz  k i€X21lp48b§141VI48bu6Tj@e41eI€@3Iw
G 9 TW7 fp Fi7 f 0 G G
0 ÷  ¨ ý G FIg 0 G b(p 5 G 0I( 5p G2
(cP28FHG4ep6Te0…48bhSEebÃdb4VpU1° Æ   Æ dbPw4b 1tIR gDiX04h13I…48b”@”43p—PI…48b”@XI4seIiPTF
9 5 0 G G7 G w T ™
F 5 ý 9g f w 0 G RI T w 9 0 G G 9g G
AI 0 f ( F 57 0 G 7RI 0g 5g FW T 0 G G 5g G G F 0q2 w 0q
—4eb6Ghw4X24dbewSq¹fD„hPf8FdÈ@6TP08FvG35l1eIc”`YXGPFX94@87VG”c8b}“32V03Te0ce8I˜±Y7 u “32X0432@€@3IpvY35@y'
‚˜
™h%TRk

¥lj ™‰‘ h‘¿8˜” hIWyy“ÑI…–'”'kleb6µ ‰ˆ6‘Òƒ
k i—  ˆ– s’ æ—–˜— ‘ t ” ¶R– ‚ ‚

ê Ô è ç
ÕIé0

64—48bDG˜Pù9e!¹–D•iž ÁeI–
TAI 0 f f “ e
 › š˜•˜ … › š  T 7 ™ 0 5 IR 0 5 0 b G ™ I G A 0 5 5 0R 0 5 0 5 7 T A I b G 0 f b w p   T 0 w 2 0 p ¥ 0 T GF wF9 g i 0 R I g p 0 A 7
£œ—½f@²œdú@ESe1tDe648—48x3Ve6t6e”e@}cj4e6h’d4j}636434€6eUH3XP4jDÇSx4v4@˜f
TAI 0 f 5 5 5 F 5g A27 TAI 0 f 9g 0 97 0A w F Fb {  9W T 972
cj4eb6Ghw@8I6G6we0V513I¹wv„1eI6GPwc3Ae0cs4@u4—48bDG˜dXG6FPwXF4jDiyP9Su6T44Pp694P2wPT4}xSP04Sd7VGXYX9@E1XI8FG
„ 4416I44el‡35@6q4©Sz7‡´`YXG44mPT»©P2¼ef6580”654eA@‡VG6T41P(ce48bB@v€62P06F˜Dˆj6Ii48b#dbXw4b u
FA2 w2p 0W 0 02 2 w Æ F2p F ˆ F G 0 5I 0b Fb 0 G RI G w 0 w 0 G F
5 R 9 F fI2 9Ig
@tIBSº7h14—XY1lxPweFVGXTeF35e06G@e7@Edb©Q4P2—zqEi4—4eb6Gh˜œE8bx1±qVI4‹8IeHG43phXˆc˜S4ePTh¹Gƒ
w 57 w 7 ( F 7b TAI 0 f G7 G 0 5g G 9 w FA GI2 F
 FW ƒRI T w9 0 T 0 G 5 R 5 02 F 2 T FA 0 5 R I2™ 5 0b
1`YHGPFX94@d7vG`T—„Ä@ae0@37Û@º76F3wlega4ebU1tI’VY@e7eT3T603w4}XTo@PIeFVT43pVwPT46548bvG4tpi4s@e0@tI6Re0654}{
@P0c@d7vG`T~thVIPT@pVG4upXGP04@87VG¹T—„#ts8I×48bDG˜hq1tIpS48bþ2 u 4eb»3260tq@Ex¹Gƒ
9W „ ' 0W 97 Tp f F 9W ƒ 0W G AI 0 f 7 5 R G7 G I T 0W T7b
335ceA1’1X(4hXYP9VF@87e5XG4VW@7
0 5I b Fb 5 F 5
R@h6YS8746p3w@q@v@±q4qdbPwcb u VGXTjDir4jc8b6Gh¼Æ Õ P0c@d7vG`T„ Bª cI u p6A3030j…iU@4c@z7hjc8b6Ghf
I w 5 w7 27 0 7b F F 0 TAI 0 f Æ 9W Ü ™ G w 0 GI22 w AI 0
P04@87VG¹T~h@}@sDY@87c3p3wS@d354VA1q4eb§1c148bHG”…@60@Eegd35e06Gh@87SEa® Þå â hnà­ ˜S87qc8bG
9W „ ' 27 RI w 5 w7 RI 0 5I 0 G b(pI 9 '  w7 T 0 f 57g å 0 f T 0
V0@EebX04@d7vG`T„ Bª 4SmX04@87VG`TmV0@SE8b†T§Æ Õ 80Se743p6w@U654eA@`Ij4@3I3wV0c‚6g80vG`TSI u jS30462m÷
57 T 9W Ü A27 9W „ ' 57 G7 G ‰ Æ G 5 w7 0 5 „A2 T™ „ G™ w 0

®Ìj —¯­
°
°« ßâ
®“I —¯­
z
°
þ« Þ  x â
XTodbXw4b u 6Ge0‡h@e7dc8b”8Ia30446Ae03TP0eFXGXF@E€3¥4X2|SmeT6Ge0hI u ac8b’4@7
F F T 0 f T 0 G G wp 5 97p 0 F RI T G 0 G A2
¨
 Á
° Þ «â à
2 FA2
1PIeFXG44@3Iw
0 G YW G 5 57 å 0 f 57g 0 G 0 Ib™ w 5 w7 0 5 „A2 T 5I¸ 
c8bx“’3A80œº739V0ae0@® ¥àå â |ŠÞ­ eT6580DG˜@e7@Ea4ebl6™351Dq0 u 4s@6Y@e743p6w@”654eA@`Ij4@3I3wV0}1EBc± H° ¯
eIpzŽX° ¯ @48b‡“321cP2eFe5VGaeT6TP0iV0@’”•X° ¯ eIG ¯ H° ¯ 3TX08FHGPF@E€6¥4P2i4ebÈ@6Y@e743p6w@d354VA1`Iv„VGVTE”1E¸
G 27 G G 0( T 9 57
97p 0 F 0 G™ w 5 w7 0 5 5C 5I
®“”•H° —¯­
x
à « « Þ ß âvz
®“”“H° —¯­
° Á à ß
® ¯ H° —¯­
° á}Þ
XRpHY41’4@|XR‡X04@87VG`T„ “ª XTè#Æ Õ 3g80vG`TSI u G
F 92I A27 F 9W Ü F Æ
„
7 G7 I T 2 w 02I T2 w2 R 9 5 0 TIg ( Tp G FW T 0 G G ( F 5 0
aœE8bG u 4eb‹@37e41‡4@PI8FDG44tpÈ@z7V0e1Hq8FXGVF1lx4P2VF4aVG6T80x`YXGXFP94Sd7VGic8bp8IpcP24V248pDG~Þ
•Ͱ Ó à Ð Ú Ñ ý t Ó Ú Ñ â Ý Î Ó Ï Ò Ù × Ò Ñ Ó Î à Ý Î Ü ÒÙ Ù Ø Ð Ò × Ú Ð ÎÙ Ô Ó â r à Ö Ö
zmvÛBèÎ ¤uÈB}ÞmĤrà…|”B’e}}ސ3ÛrÚ”4Û€v|Dro|Ík“ªÌ±Õ
û © ø ¢ 2  ÷  ¤ ù $ ‰ ˆi ¥¤  ¦¦ ¢   ¢ $   8 6  ù¦ … )  E  ù õ  ¢ ø ù øô    ù ù $   ø  ù¦ ¤ ¢    ô 2  $   ù
‡XQH11‡‰xb£  ¡vd¡yw ¨¥vIHc‰£–ö1‘TS¥x‡bI£}(7eTrb‹‡WöV¥a‡§°3V£0)
ù $     ¢ $   ù Eô    ˜ û  2  $   ù )  ô Eô¦ … )ô ù¦ ¤ ¢    ©¦¦ ¢  ô  ô 2   E  ÷ ø   ø ÷      E ©  ô¦ô ¤ ¢    ©  ¢
¢£“IH‹X¨e¥—S`1¡1£d„„¨`§71~¨mö1IaXx5§¥1§(¨b1¥T11ƒ!Xb‡ˆ¥T~¨ö¨b¥£XP¥~)
¥A¥T§b¡‹¨Bx0¡10`ö1§Q¨`§öV~¨„b‹‡b‡ˆ¥T¢5ö¨b¥a‡xb£!{Vgý´kb7©ó
 ¦ ¢ E ô … ©   ô   @ û 2  $   ù ) ø ù ¦ ÷   ô E ô ¦ … )ô ù $   ø  ø ÷      E ©  ô ¦ô ¤ ¢    ù $    C  $  E üû ú û õô

m } g z i o w it utr q wt or ¡ ž i m Ÿrr ž h gt it } h g u h j k gn m k j g i h g
sR|{yevvfyv¢s1(0 qvHl‰{qsl‰slv†Bgyl‰(9‰f
û ©¦ ù 4ô   E …  ù ø œ  ™ 2  œ ›š ™      ÷
ƒ¨Tƒ¨(0Tù 0(£` y‡ ˆ‡ ™1¥¢ ¥—„ P“V‡
ô  ¢ © ø ¢ ô õ ¢ )ô ù $     ô   ø  … ¢ ù 2 ÷¦ E ô ` ˜û ú û õô ó `  2  $   ù ) ¢     ÷ ” ' ù õ  ÷ “ ø ù 2 ø  ' $   ø ÷ 
¨´y‘Xƒ1§‡ƒ~§m¢£|¥P¨e‡‡9W‹b1ö01§¢VG|bb7©£013V£0WaXVm€–‡b1Û“X¢‡B3£‡b‡
2  ¢ ' 2 øô $   ù $     ¢ $   ø ¢¦ ÷ Eô   ø ¢ … ô ù Eô    ˜ û ˜û ú 2  ¢ dû ú û  õô ó ù ù  ` Ž ü ” “ ` F ” “ ` õ ¢ 2 –
1I!3Xöbeb£€IH—ƒ§1X¨e‡ƒH‚¨X¨e¥—¢—´°1Ie|0`ö©r`(‰dˆm—ƒV•—ƒ1QHT¥¢ •
`1‡X{V¥U715b’Q9¥V‘V—XXb¥R¥X‡d(1–Ž ‡ €1` ‡ ‹V¨býƒ{‘010ö`H0b§b•ù ƒHX“13V£0)
õ  ø … ¢ ù¦ `û õû ù Œ      2  ø ù $    ¦ ¢ ø ù 4 ù  `
” “
’  `û õû ù Œ © E  ù ô E … ù 2  ô $   ø ¢ $   2  $   ù
 ô Eô¦ …  ù ¦ ¢ ø ù 4  $ õ ÷  $  ¦  û ) ù¦ ¤  ø …  ô   E ù 4   Eô ¤ ¦ ù 2  ) ù $   ø  ù¦ ¤ ¢     ÷ ô  ô   2 
¨X¨ö13–§¥£`‡0ù b‡V£¨€•€0ö1Xbc§(00‡T¨bf0b¡~gbQ‡W71¥a‡11•¨m¨šXc1¥¢
Ž ô õô ø  ù $   ø    … ù E  ùŒ ô  ¢ © ø ¢ ô õ ¢ )ô ù $      ø ¢ …    ù 2 ÷¦ E ô 2  $   ù ) ô $   ` ø ù 4 ù C 
†§ƒö(ƒeb€‡V0X3d{g¨¢{7Xƒ1§‡ƒ~§b£AI‹XQHP1€Tb17T1¨~¡1£d„€§bƒTXƒ0h(€Š

“
c

û¦ ¢  ô  ô 2   E ô  ô ` ø  ø ù $   2  ¢ ` © ø ¢ 2  ÷  ¤ ù $ ‰ ˆi x ô ©  ô¦ô ¤ ¢      ô õ ø ù $ ƒ
n¥1§(¨b1¥T“§5¨t¥ù ‡0ù Xb7V¥†‡ƒH11ƒ9•b  ¡vd qi ¨s5ö§¢¥a‡f¥7¨‡Xù ˆb“!û ‡
û ù  ¢¦ … ' 8 6  ù¦ … )  E ¦ ¢ $ '   ù¦ ù $     ô   ø  … ù  ô  … ¢  ù  ¦ E  ù ø ÷      E ù $ ƒ
Qb¥§13‰†d71‘T|5¥H‡q07¢£l¥v§(X‡‰•e5bHWQ0(¨T10Ûb‡£0•b“!û „
þ  2  $   ù )  ô Eô¦ …  ù ø   ø ÷      E ©  ô¦ô ¤ ¢    ¦¦ ¢  ¦ ¢ Eô … ©   ô  ô  © ¢ C  C
XV310“¨`§713d‡!bƒ£T‘5ö§¢¥a‡ƒ§¥f¥R¥T§b¡#¨¨B3U‘S 
õ  ô C ¦ ¦  ù $    @ 2  $   ù ) ø ù ¦ ÷   ô E ô¦ …  ù ù $   ø  ø ÷      E ©  ô ¦ô ¤ ¢    ù $    C  $  ¢ üû û õô
b§Û(¨§b£‚“û 310€`ö1§€¨`§713d”¢£!‡€bƒ£TP¨ö¨b¥£Xb£Q!(1X~ý´ú b7©ó

m } g z i o w it utr q p o k gn m k j g i h g
sR|{yxqvtsRP†Bgyl‰(9‰f
û üû dû ˜   ô   E ù ÿ ô  ù 4ô 2  $   ù ) ' %     ø ' ù   ù $   )  ø 2 ù 4 ø ù 2 ô $ E ô $ C ` üû ú û õô
bý´e´™¥§edT´€¨¨0‡5‡õ 310(—¥3X–b•b£”{7Tƒ¨ô Xb“¨Ëa§¢!V1ý´£b7©ó
ô 2 ù   ¢ ø    ÷¦¦ô ù ø ¢  2  $   ù )  ô Eô¦ … )ô 2  ¢  ô Eô¦ …  ù $    ¤ ø   ø ÷      E ©  ô¦ô ¤ ¢    ¦ ¢ Eô … ©
¨rTey£e‡1ö¨§Û(QSV310’5X§71‘§1¥„¨`§713d£¥‰D‡„Xb‡ˆ¥TW5ö¨b¥a‡†¥U¨b¡„ƒ
û ¡y€ yavt rqT
‚  w x w u s ipi h
¢  ¢ ` ù ø  ù ø ù $   `  ô    ø ù ù ø
gISI(‡d(`b£fT¨ÇeX{d(šù cQö1IaXV1”¨¨e0Xb¥PbY7§b!71¥£XW¨›3V£0)
b û ù¦ ¤ ¢     ÷ ô  ô ` ø ù $    ù $     ù¦ô $ C ù¦ ¤ ¢    ô 2  $   ù
¦ ¢ Eô ø ù ) ÷  ù $   ø ÷      E ô $    ù 2ô  ù       ¢ $   Fû  ô   E ù
¥U¨(X1%Q¢£bƒ£TS§bR¥Q¢§(QbPIHG|ú §(00´ÿ {D!(§§¥#BA0970‡5‡”¢
)  ø  C ¦¦   @ û 8 6  ù 4ô õ

•
E f• —–D•“

û 310(¢£#‡!bƒ£¨7§b¥£¡hbý´ˆ(¢‡ö©ó
2  $   ù ) ' % ù $   ø   ø ÷       ©  ô¦ ô ¤ ¢   ÿ þ üû ú ù ø ÷ õ ô
ð

b) Trapezoid Implicit

òñ

θ=0

θ = 1/2

c) Euler Implicit
Unstable

î

ï

Unstable

θ=1

í

a) Euler Explicit

R(λ h)

R(λ h)

Stable

Stable

1

R( λ h)

1

Unstable
Stable

î

I λ h)
(

í

ï

I( λ h)

I λ h)
(

× âÓÒ×Ü× Ô ÐÓ ÙÚ ßÝ Ü Ù ÙØ ÐÒ× Õ ÔÓÒ Ñ Ð Ï
#rÄÇBÇávy”ràÛ€}ސ3ÒÛrÚ”4ÇñÖxBÄv”m’Î

zŽ
!z°
û  2  $   ù ) ¢     ÷ ” ' ù õ  ÷ “ ø   ø ÷       ©  ô¦ô ¤ ¢   ÿ þ ˜û ú ù ø ÷ õô
`1¡1£d„gaXVm€–‡b1Û!‡!b‡¨ö¨b¥£¡Ø¢—´”(bƒö©ó
-2.0

-1.0

RK1
RK4
3.0

„ ü „ €‹RDº
® ª ² ³

-3.0
R(λ h)

1.0

RK2
2.0

RK3
Stable
Regions

I( λh)

û  2  $   ù )  ô Eô¦ …  ù ù )   ø   ø ÷       ©  ô¦ô ¤ ¢   ÿ þ dû ú ø ÷ õô
XV310“¨`§713dm“‡!¢‡£P¨7§b¥£¡Ø´G´ˆù b‡öqó

¾
‰6

½ ® ³ º ­ ¹ ± ® ¼ µ ª ° ´ µ º ® ± ª ¹ ± · µ ° ³ ° ¶ ² µ ´ ³ ² ± ° ¯ ® ­ ¬ ª § ¨§
’lD‚!“¸€s»€†fQD’W““¸!TR€Q1R ‹fd!„™fP«©(¦
û Ž ¤ dû ú û õô ó ù ù  Œ 2  $   ù ) õ  ø … ¢ ù¦ ù $   ø    ¢ $      ø ¢¦ô )ô  © ø ù 4 ô © ø ¢ 2  ÷  ¤ ©  ô¦ô ¤ ¢      
†IG´¢böq”`(v£¡10g‡{VIUö¢£#‡#yH£g£Dƒ§§§(PXXƒ#§sXƒHV1‡‰~5ö¨b¥a‡!£B@
è ™ Ö 6 ø  sp x ù¦ ¤ ¢    ô   @ û
û
¢F  ê è 7cTb!C vœ 炍‡ rHyw 71¥a‡Q¨mBQ¢F „ b1€¥¢ „ ´}71¥s¢§°!(1‚1¥¢
ê é  ù $
û   
û ú ù¦ ¤ ¢ ƒ ô  C  $  2 

á
×
Ý
yàÛ Ú Þ àÛ Ú ü Þ × UàÛ Ú ß 8 F
Ü
„

Þ Ý Û
ƒ× IHÚ
× Ü Û
Ö (HÚ

ø    ¢ ø ù …    ô  … ù $   ©
‡I£`E¥!ˆ¨‡‰¢£P¤
 ù 4ô õ 2  $   ù ) ù ¦ô ã ø ù 2 ø ' $   ü ù $   ô ø ù $      û û ú ù¦ ¤ ¢ ƒ ` æ û  Œ 2  $   ù ) ø ù 2 ø ' 2 ø
0‡¨ƒÇ310Wb¨§€`b‡B3£I}b£Q¨mXb¥1€eŽ „ ´71¥sƒVeb1vÅ¡1£d„QXbX‡3XƒF
   ¦ ÷  ã '  ) ¢ 2  ù $   ô ù  ù $    ù  Î û æû û õô ó ô  C  $  ù ø ¢ ô $      ô   ¢ ø    ÷¦¦ô  C
¥£¨V‡™‡€~IHQW¢£Q¨}(T¢£A¥W¢´G´ú b7©Ç§°!(1XW(ƒ‹§bA¥!1§(I£(X17§¨¨S#ƒ
û ù¦ ¤ ¢    ©¦¦ ¢  ô  ô 2   E  ÷ ô  ô   ¢ $    ¢ ù )      ù  2  ô Eô¦ … )ô ô 2  $   ù ) ¢ ù  ÷ ¢ E ù ¤    ÷
ƒöV¥a‡¨¨¥H¨e¨¢1TV1”¨¨”IHY¥UW¥VWT|1•¨`§71~¨”¨›3V£0¢7(VƒU0Eg‡1ƒå

m } g z i o w it utr q wt or ¡ ž i m Ÿrr ž h gt it } h g u k gn m k j g i h g
sƒl{yeqtvf‘t‚vs1(0ävH|9{qsl‰v†Bgyl‰(9‰f
û … ©  ù ¦ô ã ù $    ù ø ¢  2  $   ù )  ù $    $    ¤   ¢ $   ù Eô   
ƒù ¡‹b§¨€b£l¥•(ƒ!V310ù TbsI†¥‰€yH£‹`§eI€˜
á
€×
Þ Ý Û
Ý
yàÛ Ú Þ Ûà Ú Þ × UÛà Ú ß 8 F ƒ× IHÚ Ö × (HÚ
Ü
Ü Û
‡

á Ý àÛ
€× IHÚ Þ × (HÚ
Þ Ý Û
Ü àÛ D8 ƒ× IHÚ Ö × (HÚ
Ü Û
ß

 ù ù â   ù ÷ 2 2  $  ù ) ¢ 2 
0Xg‘£bb7¡1£d„g™1¥¢

2  $   ù ) ¦ ¢ 2ô  – … ¢ ø   … ù   '  C  ù $   ù ø ¢ ©  ø …  ø … ô $   ù 4 ¢ $   ¢ $    2  $   ù ) ø ù $     C
¡1£d„ƒIH§‡0Tù ¥£(™0eXBIS•¢£(ƒvXXù Xb“§bƒUH!IH!V310!Xb¥~S#ƒ
û ô  ¢ ô $      ù¦ ù $      ø    õ ô ©¦ 8 6 ø  ù¦ ¤ ¢    ô 2  $   ù ) ¦ ¢ Eô ø ù ) ÷  ù $   2  ¢ ô 
X§´y§¢£#¥q07b™‡y™¢§|¨Y‰W‡xöV¥a‡¨y¡1£d„D¥T§(`„V|~b£‘1¥§´y¢
© ø ¢ ô õ ¢ )ô ù $   ô © ø ¢ 2  ÷  ¤ ù $ ƒ û ¤ üû ú û õô ó ô  C  $  ô ù  ¢ E ô $   ø  © ø ¢ 2  ÷  ¤ ©  ô¦ô ¤ ¢  
‡ƒH¨‡ƒ~§“¢£A§r‡ƒH11ƒ9—b“’0¥’´|¢ö©„§Í!(1XD§v(¥TS¨b£A‡g‡ƒH11ƒ9e¨ö¨b¥£X
Ø
ù $ ƒ
b“Ùû × «Õa§b!x‡«310(¢b‹¥¢ù ¥U—¥Ô`Tù ™b£#5ƒýn5Ó310!¥H§ƒTTù ¥e 
Ö % $ E ô $ C ø  2  $   ù ) ' % ù $     ¢ E ¦ ¢ ô E …  ù $   `û ùû ô ` 2  $   ù ) ¦ ¢ 2 ô  – … ¢ ø
ù $    ô ù ¦ ¤ ¢    ©¦    ù ø ù $  ô  ù 4¦ ù  ) ù $   ù ø ¢ Ð  Ï Î õ  ô   ¢ ø ù  ù õ ù $    ù $
¢£P§Ëö1¥£XÀ¨£0(X¢1§š0‡¨0(‘Tb¢(ƒ7Ñ“«b§(I£`bT‡Ç¢£ÒTb!C rHyw ö1IaX§ô
sp x ù¦ ¤ ¢    
  ¢ $   2  $   ù ) ¢  ù¦ … ) ¢  ù E   ¢¦ E ù $ ƒ û ù¦ ¤ ¢     ÷ ©¦    ù ø ù $ ô ù ø ¢ õ ô   ¢ ø õ ù   ô ø ¢ © ù $
yH£¢¡1£d„v¥W71~I1–}§ô ¥§Txb“WQö1¥£X1V~¨T(`b1¨}(ƒv¢§ey£‡`e§}ù ƒc0¢£ 
Ð  Ï Î ù $   ø ù $ C   ô õ ø ù )   ô ù¦ ¤ ¢    ù ø ¢  2  $   ù ) ù ¦ ¤ ¢    ©¦ ¦ ¢   ô  ô 2   E  ÷ ¦¦ ¢   
Ñ“#bSù Xb!R1¨‡Xù hX¨Ø71¥£X„(ƒl1¡1£d„„öV¥a‡Q5§¥H¥§e5b1011‡¨¥f¥€˜
û  ô õ ù ‰p h ˤ ù $      ø ¢ … ô ô  ¢ © ø ¢ ô õ ¢ )ô ù $
0§ƒX(ø §TÍd¥ ¢£l¥—XƒH“¨§´y~XQH§‡Q¨”¢£ 
 ù  ¢ E ù  ù $    ¦¦ ¢  @ û úû ú û õô
0(¥T(0b£„¥’¨¥Y‘´˜´g¢ö©ó §ô !{Vx(ƒ£‡Xù ¢‘¥‘¢£c£¨Û1¡10‘71¥£X
  C  $  ù ø ¢ ©  ø …  ø … ù ) ¢  ù $   $  ô C  2  $   ù ) ù¦ ¤ ¢  
©¦¦ ¢  ô  ô 2   E  ÷  ô Eô¦ … )ô ø ù $    ù )  ÿ ‰p h Ë ¤ ¥ x  sp¤ x ‰ ‚ ‰ Æ xi ‰ ‚ Ë ‰ ¤ Ë ‚ Ì ‰ ¤ xi w ¤ ˆ ‰ ¥  Ì xi ‰
5§¥1§(¨b1¥T11B¨`§71~¨mXb¥g3}û §TÍdV¡†rvHd£dHVqx£¥~¥¥ÍHq7™(†¡qddh
¥i ¤i ¤ Ë Æ¤ Ê É È Ç ‰ Ƥ x ‰ Æ Ä x ‰ à ù¦ ¤ ¢    ©¦¦ ¢ Eô ø ù ) ÷  ô 2  $   ù ) ù $     ¢ $     ¢ ù ) ô $
§q¥VqP¥ x‹SH«dHfÅd¥d‰ ö1¥£X£¨¨¥U¨(`„1%W¨›¡1£d„vbWIHW1¥T„W¨b“ƒ
û  2  $   ù )  ô Eô¦ … )ô ù¦ ¤ ¢    ©¦¦ ¢  ô  ô 2   E 
`13V£0S¨X¨ö1‘§m71¥£X‘¨¨¥H¨e¨¢1TV1÷ ‡ ¢£#‡!bƒ£¨7§b¥£¡h´˜´ˆ(¢‡ö©ó
ù $   ø   ø ÷       ©  ô¦ô ¤ ¢   ÿ þ úû ú ù ø ÷ õô
a) 2nd Order Backward Implicit
1.0

2.0

3.0

4.0

R(λ h)

Unstable
1.0

1.0

b) Adams Type
1.0

2.0

R( λh)

Unstable

2.0

2.0

Stable Outside

I(λh)

I(λh)

Stable Outside

‡ ü „

´ ­ ® µ ´ · ´ ¯ ² ® ª° ³ Á ¹ · µ ° ³° ¶ ² µ ´ § ¦ ¯ ® µ º ² ¼
¢„s|D|‹AQ€R “¸!TR€Q1|À(¿Ds‹Q€’±
Œ ft † g
}n {a|
j z n „ x j ht f ‰ ft f n f g † j … g k „ j ƒ n r  nt ht ft f n x n ht k j |t x f g z g h xt xt i h w ft l jt r q g o n l k j i h g f e
v¡’‹€rŠa}„ˆ‡#}¡€rCru‚u€¡}„~~}y#au’¡{7H’yumu¡’§ruDvuhsp©ˆm#r’rF#d
‘
hÛ

‡ u e
‡ e
” ‡“
•Ü ˆÚ
‡“
ˆÚ p w
– u e
™” vs rp i —‰ g ‚Ö ‘ w ˜•Ü w vs rp ‘ i —Ü i g fÖ ’UÛ
– e
– ”
–‰
‘‰ Ü

` ) ø ù   ¦ ¢ ø ù  ù õ ù $   ø  ` ù E ô ÿ û … ê b ¦ y ê
™XXeƒI£X¢T‡ˆb!ƒV¥`1§´h§†‚„ƒ‚gé
ù õ  ¢ ø ù $   ô  ùô¦ b ¦ y 2  ¢ ¦ ¢ ø ô y ù ø ù $ C `  ô   ¢ ÷ X ‰ u x ‰ ‚ ‰ i
ƒb¥£š¢£Y§T7öŁB€1¥#¥Uù §»V(X¢!DÓ§(IH%tù aÓd£d‹x ¥ˆ b¢£y¨eV7¢W§ô
ù $       ô   ÷¦   ¢ 
w us e p i g e Ö Ž d c b
vtrqhhfAXWFŒ Ú

‡ û ú
Ž ‡ ´nŒ

$ Eô $ C ø ù 2  ÷   ô  ô 2  
a§¢!!`b11V§(¨b1¥TE
ù $   õ ô 2  … © ¤ 2 ù ô ) ø ù   ù 2 ô ø ù C   ¢ ù $ ƒ ` ù )ô   ô © ¢ E ù 2 ø  C  ø õ ù 2 ÷  ô¦ … ) ¢   ô ¦¦ô
¢£b¨b1H™¢Tb¨„XX(0b—§m`I‡1¥gb“äa§(™¨~UU0bQ‡Â(X‡¢1e5ö1‘¥€£¨k¨§žb
þ §(XT¢|Yb£WˆWI 1¥ 0„b£Ybö¥I’¥§e5b§›Ix¥¨b‘ƒ1S¥§eI1¢W0(‰‘§ô
 ô    ù ÷ X ù $    I  ¢ 2  ¢ $  ù ) ù $     ù ÷¦ ¢ 4 ¦ ¢ô  ô ô  ¢  ¢ Eô   ) ø ¢ $ ¦ ¢ô   ¢ …  ¢  ù   … )
ù    ù $ ƒ û ù 4  ¤ ¢  ù 4ô õ   ô   … ) ÷   ¢ ù $      õ ô 2 ø  E E ¢ ù E ¢ …  2  ¢ ù )ô     ÷  $ õ ÷  ø $
¢ÕTb“¸Q‡(9IÒTƒ¨‡ÍV§(V~V(Ib£‘£yb¨bƒTTIX¥1Ò1¥™§e~V‡1¥b‡¢£ 
   ¢      E  ¢ ô $    ù  2  ¢ 2¦ ù … C  U ù $   ô   ô  … S¦ ¢ Eô … ©  Q
¥£X10~I¨b£0(1÷ 1¥À§Tb¿{1Vb«¨„¨‡9£TIU§¢3€R¢ X{£ayH0ƒP£™b‹Î
) ø ¢  ¢ 2  ù I ¢  ù 
' 9 G E ' 6 A 9 8 64 2 0 ( ' %
B¥HFDCB@)7531)¥$

 
# ! 

û ù  ¤ x ‰i u   ¢   ¢ ù )   © ¤ ô  ô   ÷ ¤ `  ô  ô 2  
ƒb¥ HdÍdÒd¥ !1¥T„‘1v“§Û5vVbVÓ§(¨b1¥TE
©  ô¦ô ¤ ¢   s ‚ Ë ¥ ¥ ‰ u ‰ ù¦ ¤ ¢ô¦ ø ©¦ øô ¢ ¢  ¢  ù 4 ø ù   @ û  ) ù¦ ¤  ø … ¦ ¢ ø ù  ù õ ù ø  ) ø  2  $   ù )
5ö§¢¥a‡ d¥TaaaaÓx 71¥§öTù Í5öQvx€¥0‡X`(—B`~0ö1¥bl¥£`bTƒm(‡‘€ƒ†¡1£d„x¢
¥T¢§bX‡S~bvb§(I¨e‡Tˆ‡xb§bƒ€WIäTù 1y0eq¥§”¨°¨eIT§711¥D¥T§(0¥bY@
   ù ô $   ø  C ù $   õ ô   ¢ )ô    ù ø  ù 2ô ÷ õ ¢  ¢ 2  ÷  ù    ô  ô  ô   ¢ Eô¦ … … ¢ ¦ ¢ Eô   E ¢ ø … 
 ¥ x wi¤i ˆ x w u s ‚ Ë ˆ x  w h ui ˆ wi ‚ ‰  ‰ Ã Ë Æ ˆ x Ë ¨ ¥¤ x ‰i u ‰ w u Ì xi s ‚ Ë Ã ‰ i¤ ‚ w ‰ u Ë ¥ w x ‰ à Ë
û VyÍvq¥‰ya£–¥‰3ydÍ¥TÍ–dHm¥¥V†‰¥‹qHdÍdÕ(a£¡qy–¥y‘t‘yva¡VvÓ‘¥¥VÆ
¨©¥Óqr7£¥ÅaÍ¡fÄ —“x§™X1b¡¢~yH£gÑ!D¥¥W1¨eI~§´U¢1¥†X10(`ù £b‘y51
‚ Ë ‰ x ip ‰ ‚ Ë Æ u i Æ Ð  ¦ Î ù E ÷ 2  ø …   ¢ $   Ð  Ï ¤    ô   ¢ ) ô   ø … … ¢ ù E  ù ø ¢ô 2    ©¦ 
 ù ô¦ … … ¢   Ì x i   Ë ‰  ¥ sp ¤ u i ‚ ÿ û Ð  Ï Î  ù õ ¢    ù   ¢ ô 2 ù ) ø ù   ô  ¢   2  … ù 2      ù  2  
Tö711¥e¨ô ¡qy¡H™rvdÍdv¤ cXÑ!—I‡ƒ£XxeyÔb0„XXe¨›¥Y¥ä1Tù Tb¥1T|1¨ô
2  ¢  ø    ¢ ø …    ô  …     ÷  2 ù ø ø ¢ E ©¦¦ ¢ ÷  ÷ ô ô  ©¦ ¢  ¢ ô $ ƒ $ E ¢  ø … … ¢   ¢ ) ÷ ù ˜   4 ø
1IfX‡£IXù sˆ¨‡‰esV‡Töô (ƒT•¨¨¥H(Vy¨q¨(¡¨IH¥s§b“’û a¥¢1¥WV¥VXBW|‡
ø ù ø ÷  ó ù $   ô  ù ) ù $ E  ¦ ¢ Eô ø ù ) ÷  ø  ô  ©¦ ¢  ¢ © ô¦ô ¤ ¢     ) ø  ø ¢¦ ÷ …  …     ) ù $   ø ¢ ©
Xöô b‡Hbs¨§TTbaXV¥T§(`„V|s‡s¨(¡¨IH¥¨7§bIaX†IþX‡sQÔ1b¥9fX‘#bsƒvS’

ý ñ ý ù ø ö û
U’†0e¢üú

ù õ ñ ø ñ ÷ ö õ ó ð ò ñ ð ï î
Ó0UUe’Pô0„‘ví

ë ì
dPë

û  2  $   ù )  ô Eô¦ … )ô ù¦ ¤ ¢    ©¦¦ ¢  ô  ô 2  
`1¡1£d„S¨`§öV~¨mö1¥£X‘¨¨¥H¨e5b10E ‡ b#‡!b‡¨ö¨b¥£¡Ø¢—´”(bƒö©ó
ù $   ø   ø ÷       ©  ô¦ô ¤ ¢   ÿ þ æû ú ù ø ÷ õô
a) AM3
-3.0

-2.0

b) Milne 4th Order
R(λ h)

-1.0

R(λ h)

1.0

Stable

1.0
2.0

Stable
only on
Imag Axis

2.0

3.0
3.0

I(λh)

I(λh)

F
ü „

´° ´ · ³ ² ª ² · µ ° ³° ¶ ² µ ´ ¯ ®° ¯ ¬ ¹ Á § ¦§
‡3Al‹—‹Å!TR€‹V|¸D€!sx„À((¦
ÉÈ Ç Å Ä
Œ —~¢Æ ¶qÃ
 À À x n | j h f j x j k „ f j hq g xt f gt ht | f g z j i h ½ ft n † g |
qƒÁ W’tv’#€r¿#’vm´ˆu’}a¡{7r’5¾u¼{a‹j u’y²vŠƒ˜¶}„W’urt#€m´~’Wra#r¡rP³²v°
†t h »º¹ ¸ · n ft | j kt ƒ µ j k xt x x j f | j | f ƒ g … q±
û d ¦ 2  ¢
¥„VV¥‚y
£
` §I!‡ö1¥£X1Vv¨BVTe‡xb§bV¥ÔXX‡(s¥73V£0——ƒ¥1XƒHa§Û†U‡T(~5ö§¢¥a‡“Xöô b‡Hó
¦¦ ¢ ø  ù¦ ¤ ¢     ÷ ô  … ù    õ ô … … ¢¦ ø ù 4   2  $   ù ) Ð    2 ø ¢ $ Eô “ `    ù   ©  ô¦ô ¤ ¢    ø ù ø ÷ 
ù $   © ¤   ¢ $   ` ù ø  ù ø ù $   ` 2  … ù b
¢£YxIHA¥(ƒ0(`b£Dƒ11Py£û „ ¡U¨¥x¨g“ ¢gIHeƒTöTg¨5ô a¨b!C ¥{
¯  © ¢ C¦ ¢ ô ’ ’ ù     ¢ $   ø ¢ ù¦ E ô   $ Eô $
) ø
®
®
‹¥
­
!×
„ Þ Ø  ™
Ö Ø 
ù ø ¢
(ƒgd ‡ ´ú
û
¥¥3X€Sxb“x´d ‡ ´yty#¥¥¡ø •§ô ~¨ô ü ‡ ´yty#¥¨eV77•§ô ‡ ´qty1%“ƒ
    ø  C  ù $ ƒ û û ú û X       ¢  
û ú û X    ô   ÷¦   ¢  ‡ û ú û X   ÷ $

Ž û ú
d ‡ ´nŒ
é

Ö „

¥

¬

¤ ‡
«
7ª

 79„B‚0E
¨Ž b ¦ y  

¥

„Œ

©

b ¦
Ø ¦ §Þ

d
„¦

£

ü

Ø 
ø
‡

á

w – vs Ý e
u

b
Ø „¦ €Þ
£
Þ ‡ ¥
 Ö
w – vs e ß
u
× Ý ‡‚
d
„¦ ‡

 ô   ¢¦ ù ø ù $    ù 4ô õ û ú X      ‡ û û X    ô   ÷  ô    ¤ ÷
§(IÔ0(ˆb!0‡5‡}ü ‡ ´Eû 3‘£¨ô ¥‡ ´ú t3f¥7§(Ve5eXV1´ÿ
Ž û ú
ˆü ‡ ´nŒ

á × Ý ‡“ Ú Þ
‘
hÛ

‘
aÛ

b
¥™×
£
Ü ‡ “ Ú ß Ø „¦ ¤Þ × ‡ “ Ú Ö × ‡ “ Ú
‘ yÛ
Ý
‘ (Û
Ü
d
„¦ ‡

‡“ Ú ‡

‘
aÛ

þ „ bü
û
ût3g¥ 0‡5‡»1¥¢ „ b›¥§edT´»§»T¢§(ˆ0„e¥#§b“£X10e‡¢b§¢1¥ÔXXƒ{!IY3V£0)
X   ¢  ù 4ô õ 2 
û ü  ô   E ù ÿ ô 2 ù  ô    ù )  ¢ C ô $ ƒ û  … ù    õ ô … … ¢¦ ø ù 4   2  $   ù
Ð    2 ø ¢ $ E ô “  ¢  C   I  ô   ¢ ÷ X ù  ô  ÷ ¢ô 2 ¦ ù 2  ) ù $        ô   ¢ )ô   ø … … ¢ ù E  ø ù ¢ô 2 ù  ô 
уX1ƒ1a§Û’¥x!(1ˆ„¨eI1|{”¨(1E¢¢¡0b¡~#¢£Q•¥§ey¨¢UXb1¥“`1Tù XE¢bSe5bH…
ù $   ù¦ … ) ¢  ù   ø … ¢  ¢ ø ù 2     û  ù¦ … ) ¢  ù © ¤ 2 ù ô ¢¦ …  ù ¤    ù ¤  ¢ E ø ÷ 2 ù E  ø … ù $
¢£WöV~¥V–‡£P•¥`b§ô 1x`TöV~¥V–Ç£0b§QÔ13d}ù X0E£¥Uxù bbT`3Xbxb“ƒ

2 '¡ Ÿ ™ 0  › ' ™ A
Fv§ y‹žœš“˜—

– 
! ! 

û • 2 ù … ô   ¢  ô
•T£‡§ey£“§}F ‡ ´¨¨e5b10HT`ed„¥ƒHs¥
û ú  ô  ô 2   E `  ø ù   ù ) ¢ ø ¢ …
 ô   ¢ ô ¤ )  E ù¦ ¤    …    ø  C ù $   ô `   ¢ $   ù ø  ù I ¢ ) ` ©  ô¦ô ¤ ¢    ø   ô  ô 2   E © ø ¢   ù E ù
§(IH§¢WTg71§ô ‰XX‡gb§kUI1£g(b÷ xƒP~ƒ5ö¨b¥a‡‡¢¨e¨¢1T£‡ƒ£XTX0b
¢  ¢ ` 2  2  $   ù )  ù 4ô ©  © 2 ù E ÷ 2  ø … Ð  ù $   ø  ù 4¦       ) ù ¦ ¤  ø … ù $   2 
~¥!ƒ1I¢ ¡1£d„ÅT‡5‡õ ¥¢ ¤ 0X1¢3XbÑ’”¢£x‡†ƒ¨XY£g¨ô 0ö1¥b†b£Å1¥¢

„

Ž û ú
F ‡ ´nŒ

ê ’ ’ ©  ô¦ô ¤ ¢    ¦ ¢ Eô ø ù ) ÷  ø 
ˆ“ @5ö¨b¥a‡ƒ¥T§(`„V|“ƒ†ó
á
i g e ß
  ¢ $   ø ¢ ù¦ E ô  ô
IH#ƒU7T“§Û5b` Û ‚Ö

Û –

i e ù E ô  `  ù $
Ö hg pXV§(†ƒ0b“ƒ

i – hRV
g e ‘
þ  ÷ $   `  © ¤    ù  ø … ø ù C $ Eô $
XV|1’‹0(Tù bTù ˆI7a§b!C i – g ŽXXeb†VHhHT1¥§(XTù b3dù
e ) ø ù   ù $   2  … ù C `   ô   ø … 
õ ô ô ¢ ) ù ø ù $   @ û   ÷  2 ù ø    E ¢ ù ¤  ¢ E 2 
b§b¨ƒ~T(vb’†3‡0(‡0¥v—E~¥UPV¥¢ `e‘XXƒ0£x~‘0S¨ô aÛ DÚ 5e¥H%¢£ 
) ø ù   © ø ù 4 ù      ) )  E  ‘ ‡“ ©   ô    ¢ ÷ X ù $
ü
‡ü „

´ ­ ® µ ´ · ´ ¯ ² ® ª° ³ Á ¹ · µ ° ³° ¶ ² µ ´ § ¦ ¯ ® µ º ² ¼
¢„s|D|‹AQ€R “¸!TR€Q1|À(¿Ds‹Q€’±
Ž û ú
ú ‡ ´nŒ

Ø b â £
ÚØ â

d â

Ö Ú
â

ô  ©¦ ¢  ¢  ô  ÷ ¢ô 2 ø   ô   ¢ ÷ X ù ¦ ù 2  ) ù $   ø ù 2   
§(¡5¥H¥†¨(1E¢b“ƒ7¥§eyH%t00b3‘•b£“`b§ô 1
ù à û ò õ ý ñ ý û î
“áfsU’‘”ß

Þ ì
Pë

û   ô  ô 2   E $ E  ø  ù¦ ¤ ¢     ÷  © ¢ C¦ ¢ ô 2  $   ù ) ô $   ` üû ú û õô ó 
X1¨e5b10‚a1÷ “‡ö1¥£X1Vv¡U¨¥!¨¨¡10“§b11’|£b7©£ 
õ ô 2 ø  E E ¢ ` 2  ¢ $ E ø ¢ )' ù )ô   ù $   ø  2 ù  ÷ õ ô ¤ ô 2  $   ù ) ø ù¦ ÷   ô Eô¦ …  ù ù $    ¢ E ô $   
¢§bX‡T0¥¡ƒ1¥eaƒ~–„¨e#b’‡‘0(1m¢§Xù ’¨}310AX71§A¨`§713db!ù ¥Uf§bW§ô
` ø ù 4 ù C  Š û  ù ÷¦ ¢ 4  ù õô ù © ø ¢ ô õ ¢ )ô ù ø ÷ …  ¢ $  ø   ¢ ) ô $   ` ’ ô 2  … …     õ ô 2 ø  E E ¢ 2 
0X‡dI(—DXT¢ö¥IT‡7Xr‡ƒH§ƒƒ¨m(b¢#¥H~5ô eI~¨b£3Q7©b1Tù 1€W£Wb¨bƒTTI71¥¢
¥
`dŽ „ •ac „ ¡“˜¨˜ ‡ ´Et3™¨š©(eyX¥HX•b£Hƒ1IH€`b£Ib†‹#X£‡ƒHR¥T(”‡5eI`b
c é
Œ Ü Û ô û ú û X  ô ô ø   ¢ ) ù E ¢ …  ù $   ` 2  ¢ $ ø ù $    ù $    Î û    ø ¢ … ¦ ¢ ù ø ù 4ô   ¢ õ ù
$  ô C  ù ÷¦ ¢ 4  ù õô pp ø  ù¦ ¤ ¢     ÷ ô 2  $   ù ) ô $   ` dû ú û õô ó )  ø ` 2  ¢ 2  $   ù ) õ  ø … ¢ ù¦ ù $
¨ÛƒT¢ö¥IT‡7Xù q¥Ë ‡’öV¥a‡11g§ˆ¡1£d„R¨b£(3G´†bö©·{(ƒV¥310“‡{3¥U7„¢£ 
© ¤   ÷  2 ùô ø ¢ E õ ô ù ¤ ô õ ô $ E ø ¢ )' ù )ô   ù $   ` ©¦ ø ¢ ù¦  û  ø ¤ ) ÷  ù 4ô   ¢ õ ù  ¦ ¢ ù ø ø ¢  ø   ¢
ˆV‡v0ö(ø ƒUeb§`ES§”b§baXƒ~d§(Qb¡¥¨QUöS`Xù W1%€‡¨(I`bÓ¥T(•ù ƒ~5ô eI~)
ô $     ù ÷¦ ¢ 4  ù õô ù ù $     ¢ $   2  … ù C ’ ô 2  … …  )  ø ó û    ùô E Ý ù  E ø ¢¦ ¢ E  ù 4ô  ô   … ¢ ô
¨b£†¥fTb7¥Iˆ0‡ö`Ûb£’yH£g1H“hYx5¢1Tù 1QþXtu†T7X‘{|T’QÔ¥T#ƒ¨e5(‰‹A¨vÚ
¥
ù Xb!AŽ „ c ‡ c „ ¡““Y5((I~b£#0X1b¡¢P3V£0“уVƒHa¨vP§b¨X10(`ù £bX¥1
ø ù $ C
Œ Ü Û p Ú ô ø   ¢ ) ù $    ù E ÷ 2  ø … 2  $   ù ) Ð    2 ø ¢ $ Eô “  ô õ ô E  ù ø ¢ô 2 ù E ¢ …
ù $ ƒ û   ô  ÷¦ E   E  ÷ ô 4 ¤  ø ù $   ¢ ø    ù  ù ø …   ¦ ÷  ø ù $   ` $ E ¢  ø … … ¢ ù   ù ø E ô 2'ô )  ù $   2 
b“QX1¨(17T1¥T‹1ƒ§|Q`b£IˆT(0(bQ£¨V(Tù bÓƒa¥Xb1¥eed(XX§bB5Tù eb¢1¥¢
 ù Eô ø   ¢ )    ¢¦ ÷ E øô E    ô  … C ùô 4 ù $
TX¨((Ie¥Ô1`7X“¥e§‡‰!07´~b£  X{T71‘¥VdÇb¨bT`T(¢b~b¨„¥V–ÍI!B@
)  ø  ù¦ … ) ¢  ù õ ô 2 ù E ù ø … ù $   ù ô ) ¢  ù ù C
û ù 4ô   E …  ø ù …    ù ø ù ¢ô 2 ¢ )  ø   ¢ 2 ù 4 ø ø ¢   ÷ ¤ `   ô   ÷ E ô
ƒ‡5edTù `E!0(XE¢¢‘»{“I™Tƒ¨ô (ƒ€VbH01¨(VX¨b2
 ÷ ô 4 ø … ø ÷   ¦¦ ¢ ô õ    ù ¤ ù 4 ¢ $ ù C  ù ) ¢  ù $   ©¦   E ¢  ù ô  @ û    ù 2ô E E ¢  ¢     
1ƒ§|0ù b#b‡l¥9§¥7¨rb§ô 1÷ TXù •‡UH•hc„¥b£¨£d¥Vd5¨ÛBA†T¢§X0¥†¥—¥1§ô
`I(‡d(`b£Ó0§ô 35¥H¥‹Xöô b‡Hrb¢§mX(0¥£QH†¨ö¨b¥£Xgb‹‡ä~IgX§ƒ1axb“e`~0ö¦
ù ø  ù ø ù $   `   ©¦ ¢  ¢ ø ù ø ÷  ó ù $   ô ø ù   ù ) ¢ ø ¢ … ©  ô¦ô ¤ ¢    ù $   ø    ù Eô  $ E ù $ ƒ û  ) ù
' ¤  ø … ¦ ù 2  ) ù $       2  $   ù )  C  ù $     ô   ¢ Eô¦ … … ¢ © ¤ 2 ù ) ø   ù Eô ø   ¢ )    ¢¦ ÷ E øô E ù $
¡bÓTb¡~b‘!V310Sb£s¥v§(IU¨ö1V¥†™0„X‡#T`§((I~!ˆIÔ1`ö`¢£ 
¥ aHr¥yHd¡5d‰ ¢£eb¨b1H„‡Qù bbT`3Xb—ö1‘§ô eQ¢§öV‡†T(ˆ0(0(b“‡1÷ F0ö1‘¥Vd}S 
¥ ‰ p Ë Ã x ‰ Ìi ù $   õ ô 2  … ø  ø ÷ 2 ù E  ø … ù¦ … )  ¢ ù ô¦   ÷  2 ù    ù  ù ø …    Ù  ù¦ … ) ¢  ù  C
ù $   2  ¢ ` ) ù   ©  ù $  
¢£‚1Iƒ†Te‡¡Xe¢£’¥ yda¥Hd¡5d‰ I•£Tù T(¢T(ø ‡ ´0t3¢¨ô vs Øb£‰¥(IUe¢£~¢§Xù ¤
‚ w ¤ u ‰ à x ‰ Ìi  ¢      ù ø … ù ‡ û ú û X   w u e ù $   ` ù  ¢ E ù $   õ ô
$ E ÷ ÿ û    ¢¦ ÷ E øô E ô û û X   ) ø  ù $   ô   ÷ … ô ù ) ù $ E  õ ô E  ù ø ¢ô 2 ù $    ù $ C 2 ù ô
a1´†¥ÔVX7X!§t` ‡ ´ú ty’¥¿ƒb™¨“V¢—¨”TbaXb¨X10(`ù £b¢£‚0b!†0b§)
'ø ù  ù 2 `  ø  ¢
€X(0b95ô eI~) ‹b£AyH£’¨Ø¨(¡¨IH¥e¨ö¨b¥£X’`ö(¢‡H‘§r¨eV‘1÷ ¥b¨´5`b11vb“ƒ
× ù $     ¢ $   ô ô  ©¦ ¢  ¢ ©  ô¦ô ¤ ¢    ø ùô ø ÷  ó ¢ ô  ô   … )   ¢ õ ô ©¦ ø ù 2  ÷ ù $

2 ' 64 9 Ò
FDvƒ•˜0

Ö
†Ò y7§FB7ÍŽ5Ô~v5˜v³ÑÐ
Ó 0¡ G 6 94 Õ A Ò Ó A4 Ò 0¡ '

Î 
Ï ! 

û  ø ù   ù ) ¢ ø ¢ … ù ø ù $    ù Eô  $
X`ed„¥ƒH•Xù {b£l¥•X¨‡1aE
©  ¢ ø  ù ¦ ¤ ¢     ÷  ô `    ù   ©   ô ¦ ô ¤ ¢   Ë ø ù ô ø ÷  ó ù $   © ¤ `   ¢ $     ô   ¢ ) ô   ø … … ¢ ù E  ù ø ¢ ô 2 ' ù   ô 
ˆI!‡‹ö1IaXV1§£TXT(~5ö¨b¥a‡#X7(bƒ†”bP1UyH£P¨eI~§´U¢1¥•XVT(`ù £b–e5bH…
ø ù $     ¢ ù 4 ¢ $ ù C  ÷ $ ƒ û y 2 
`b£I1¥PƒUHhe1%“P0ÍV¥¢
 ø ù –    ¦¦ ¢ ø 
`X1¥1A§¥‡ „ ³“ ÌI1£•ƒU7T•§”¨ô a§b!C ¥{
¯ ’ ’   ¢ $   ø ¢ ù¦ E ô   $ Eô $
) ø

b
„¦ Ë
b„¦By‹§ô (p œ p

d
„¦

Ž û ú
˜ ‡ ´nŒ

¥

„

Ö
™
ù ¥U“¨b£7@
 ¢ E ô $   

b ˇ
á×
¥
Ý ‡ “ Ú ³× Ü ‡ “ Ú ß „¦ §¥ ‡ “ Ú Ö × ‡ “ Ú
‘
hÛ
‘
hÛ
‘ (Û
Ü
d
„¦
‘
hÛ

 ô   ¢ ÷ X ù  ô   E ù 4   Eô
§(IH%t¨§(00‡T¨b¤
¦ ù 2  ) ù $   ø   ô   ¢ )ô   ø … … ¢ ù E  ù ø ¢ô 2 ' ù  ô  … ù $   ø ù 2    E ù¦ … ) ¢  ù ø ù $     ¢ 
Tb¡‘¢b£x‡ §(I~§´Ub1I¢XVT(`ù £b–e5bH™¢£`b§ô 1T†öV~¥V–sX¢£¥1IvQ
d
ü „

· ± ª ® µ ´° ´ ª ¹
€WDs|‡3Q““±

§ ʧ
¡´(¦
û      ø'  ù $
X¥¡‰p¢£ 
 ~5Tùey¢Ôb0ù„‘)§•VTX`3XbWb¥¢¥U(X1€†dTù 1¨s£(b(01÷ eX—¥¡‘1eeyÔb0„XXe¨Í1—§ô
©¦   ô 2 ) ô 2 ù ù E  ø … ù   2 ¢ ù     @ û   E …  ô    ù ø ÷   E ø        ø' 6 ù   ¢ô 2 ù ) ø ù   ô   
ù Xb$Ó`¥`E1TvŠƒx¦HÎ’¥HH—§b‚1¥ÙD„¨(¥Heb£T`IdEՍ1ƒ§|P1€§}(`b“ƒ
ø ù   ù  ù û
¦ ¢  … ô $   2  ¢  Ï ¤ Eô  ¢ ¤ ù $    ù ù C  ù ¤  Ï Î  ÷ ô 4 ¤    ô ù ø ù $
ò
€×
Ü ‡ “ Ú Þ × Ý ‡ “ epð Þ × ‡ “ Ú Ž ð ¥ „ çÖ × ‡ “ Ú Ž ð Þ „ Œ
Úñ
Œ
‘
hÛ
‘ yÛ
Ý
‘ (Û
Ü

‘
aÛ

 )ø ù  ù õ  ¢øø ¢ ùø 2 
~XX(‹‡b¥(ƒT(¨1¥¢
Ø b¦
£

› û ú
Ž ¥‡ ´nŒ

d
„¦

‡

‘ ð

  ù C  ˜ û ¦ ù 4 ù¦ ù )ô      ù ø ¢ô 2  C     ¢ ù ÷¦ ¢ 4 ù õ ¢ ø ù 4
07¦ (€„X¨Tƒ0öQ„¨e!T(`ù £b‘“I•¢ö¥I•‡ƒ£`‡U¢
   © ¤ 2 ù E ¢¦ … ø  ù ¤  ¢
¨ô ‚0X¥§1Tù Ë0Xù €¥1$ ‡ btû 3™§ˆ‡5eII5(X¢eXIHb£7§ô XX(l¥eT`¢£™a¨b!7§ô
û ü X  ô ù 4ô   ¢ 4ô ø ù 2 ù E ¢ …  ù $   
) ø ù   ¦ ¢ ø    ù E ù $   $ Eô $ C 
îï ‡ “
—× Ü ˆÚ Þ ìí
‘
aÛ

‘ × IÛ
Ý

‡“
ˆÚ

‡
Þ

‘ × UÛ
Ü

‡“
ˆÚ

b
¥ × Ý ˆÚ ÍØ ¦
‡ “ èé
£

듇
ê

‘
hÛ

d
„¦

‡

Þ

‡“
ˆÚ
‘ × IÛ
Ý

‡“
Ö ‘ × (Û ˆÚ
Ü

þ ü ø ù   … ¢ $  ô 2  $   ù ) ¦ ù I  ¢ ø ó'   ø  ó ÷ Ï ù $   2 ù E ÷ 2  ø   ô ù C ` ù¦ … ) ¢  ù ø  ó û 2 ø ù 2ô   
bÛX(V¥H™¨¨¡10ÓTQ5¥tX‡‡H£•b£7T`1b¡e¨hV¥71‘¥Vd‡HØ0Tù Xb¨(1¥TE
  ù ©     ù 4 ¢ $ ù C ©  ô¦ô ¤ô    … ¢ ` õ ô E  ù ø ¢ô 2 ù E ¢ …  2  ¢ ù )ô   2 ù ô ) ù E ÷ 2  ø   ô     ) ù $
d‡I1‡UH‹hg¨7§b¨(X9V1¢§XVT(`ù £b‹`¥HvV¥Q§(T´©„€X1b¡(§S§ô T¢£ 
¥€b‹f`~V£¨ô ‡7¥l¥g5ö§¢¥a‡‰IU§ô X1%Qb“eI§1b§¢¥£¡U‘¥~Qù ƒù Xb“ƒ
 ù  Î û  ) $   ø  õ¦ ¢  ©  ô¦ô ¤ ¢    ¦ ¢ E ø ù ) ÷  ù $   ù   ¢¦ ÷ …ô  ¢ )     © ¢ C ©  ¢ ) ø ¢ ø ù $
£
û
Ž ‡ Œ {Ø „æ#„¦
ç b ¦ ê d
   ù ) ù øô ÷ X ù ø ù $   © ¤ ù –ô  … ù    ù )ô   ô 2 ù  ô )ô¦ ©¦ ù ø ù 4  ø ù $   ¢ ø ø ¢ ù C ù  ¢ E ô $   ø  2 
0„0(ö¢|{(b£†`§(0e‡§(™¨šTe5„¨ö™¨0(Xƒ0ù QX¢£Iù ƒgh(IU—§b—‡™1¥¢
ù¦ ¤ ¢    ©¦¦ ¢  ô  ô 2   E ` ø ù 4 ù C  $ ` ô   @ û Ð 6 ù 4ô   ¢ õ ù  ¦ ¢ ù ø ø  ù¦ ¤ ¢    ô  ô ù E  
71¥£X¢5§¥1§(¨b1¥TDT`‡0h(1f0§”B™`—Rvƒ¨eyXb„¥T(”‡~71¥a‡¨”5s`1§ô ™æ ‡ ´§t3
û ú û X
ù   ¢ ø õ ù   ô    2  $   ù ) ¢     ÷ ” ' ù õ  ÷ “ ø ù 2 ø ' 2
(I£ƒXe¨•£e¡10QaXVm€dƒb1ÛAXbX‡¡1 ‡ b(V|I(Xb‡T†I¥ƒ¨1‡T“ù s´HT10b1…
ù $   ù  ÷ ` ù  ø ÷  E  ` 2¦ ÷  E
b û ¢  ù )   ù $
ù õ  ¢ ø     ô ¤ô $     $ õ ÷   ù ø ¢ 2 ù ø ø ¢ E     ù ø ù C Ž ù )ô   ù $     ¢ ù¦ ¤ ¢¦ô ¢ 4 ¢ $ E ¢  ø … … ¢ ©¦ 
ƒb¥£(X5b§¢V–ù £b‡VT•ƒv¢0öô (ƒT¥1x(`I“(§(x¢£‹IöV¥Ô¨ƒI(£a¥b1I¢51
ù $  Œ   ô   ¢¦ ÷ E¦ ¢ E 2  ¢ $ ù $   ` ø ù 4 ù C  $ ` ©  ô¦ô ¤ ¢ ¤  ø … ¦¦ ¢  @ û ©  ô 4 ù¦ ù )    ù E ø ÷   ¢
¢£“1§(IÔVX§IU‘1¥H!bVT`‡0h(1¥¥¨7§b¥1bV§¥~’‡5|0ö“XÓ¥—XXb‡X—ù ¤ (1
C 
 ¢ E   E ¢ ô $   2  ¢ `  ô   Eô 2 ù ø … ø ù $   ¢ ù C ø     2 ø ¢ $ Eô “ © ¤ 2  ÷  ¢ C 2  $   ù ) ù $
¥T‘0¥vW¨b£ 1¥„ƒ¨ed§b0(b‘XbIUhW‡äX1ƒ1a§Û«ˆÅTù 1r¥#ä¡1£d„†b“ƒ
û ¤ dû ú û õô ó ù ù  `  ù  ¢
0IG´£b7©X(†0T(IUE
$ E ÷  ¦¦ ¢ ø  ù¦ ¤ ¢     ÷  2  $   ù ) õ  ø … ¢ ù¦ ù $   ô     ø '   ÷ ô ø ÷ …  ù $   2  ¢ ù 4ô   ¢ õ ù  2 
a1(Ó§¥—‡•ö1IaXV1Û§ô 3V£0‘‡{VIUöb7¨Û¥¡‰‹1ƒ§(¢bb£†1¥‡5eIXb™1¥¢
¦ ¢ ø ¦¦ ¢ ù ø ¢
¥Uù §§¥~(ƒŽ „ ` ‡ ' ` „ !¥•¥3XVP¢£~`1§ô ~71¥£X11˨¨¥U¨(X1%§ˆ§byH£y0ö¥T‡d(ø
Œ ’       ø' 6 ù $   ù E   ù¦ ¤ ¢     ÷ ©¦¦ ¢ Eô ø ù ) ÷  ô ô $     ¢ $   2 ù¦ ¢ ù 4 ù
ø ù   … ¢ $  ô $   ô   ©¦ ¢  ¢ ø ÷ Î
`eV¥1¨b£«§r§ô ¡¨¥HIb•Õû aƒ~v„¨e†b£g‡À0(1÷ 3V£0c‡{3¥U7™bŨÛC
$ E ø ¢ ) ù )ô   ù $   ø  2 ù  2  $   ù ) õ  ø … ¢ ù¦ ù $   $  ô

Ž û ú
æ ‡ ´nŒ

å
®

Ž

Œ

b
Ø „¦
Þ Ú „ ‡ ¥ „
Ž c
c vÛ £
Œ

d

Ö Ú

ä

ä

ã

ä ã þ Ð  Ï Î  ) ù    ©  ù $   
3áXÑ“•’¥¿0eX¡‡¢£“¥¢
 ô   ¢      ø   ¢ ) ô 2 ù   ù ø …  ù ¤  ¢ E  ô 2  $   ù ) ù   ø E ô 2'ô ) ù  ¢   û ù¦ ¤ ¢     ÷ ù ¤ 2¦ ÷ 
¥§eya¥1W5ô eI~¨¨0(XT(¢V–Bù IU„¨„310!e0ù XX§bB5T(#€AƒöV¥a‡11vE~§1‡SC
$ E ¢  ø … … ¢ ô $   ¢ $   ©¦ ù   ¢ô 2 ù ) ) C   I C   ù C 2  ¢ © ¢ 2    ø ¢ ù¦ E ù  ô ÷ X ô   … ù E   E ù $   ` ø ù 4
a¥b1I’§¢fI1£Q5T(IÔb0„‘§ô (1ˆ1(1#he1¥UH¡£|ƒU7TSe¨¢|³§uVT`1TSb£0Xƒ0ù
'#(—•0!(1ˆ¥V¥#~¨7§b¥£X1¨qIU§ô X1%A¥•V0X1¥Te¢£†¥§e——Ó1XƒHa¨vc@
C  Š û  C   I      ¢ C ©  ô¦ô ¤ ¢    ô ¦ ¢ E ø ù ) ÷     … ù E   E ù $   ` ù )ô   Ð    2 ø ¢ $ Eô “ 
û úû ú  ô   E ù ÿ  2  $   ù ) ø ùô ø ÷  ó ù $   © ¤ ©  ô¦ô ¤ ¢      ô 2 ù – ©¦ ¢  ¢ 2 
´˜´~¥§edT´¨¨ô 310“X7(b‡H”bP5ö§¢¥a‡“£¨¨T`¡¨¥HI‚1I¢ ‡ b£t3†§ô
û ü û X  
2¡10Q§¢£0eTù Tù beù —QE¡!§bA¥—1§(IH%tb¨eI‡X(ˆ¨Bƒ™¡1£d„¢T(¥9Xb…
 $   ù ) ô $ 2 ù     ø …
b û ù … ©  ô $      ô   ¢ ÷ X ù õ ô   ¢ ø õ ù   ô ø  2  $   ù ) ¢ 2 ù   …  ø
   2 ø ¢ $ Eô “ û ó ô C ù â ` Ž   E ¢ ô ` „ › Œ ù¦ ¤ ¢¦ô ¢ 4 ¢ ù ) ¢ E ù ¤  ø ù   ÷ … )  E ù ø  ¤  ø ¢ ù © ©  ¢
X1QHa§ÛÓh•§ÛdgÓ––0Iv™§tVé V(„ ‘71¥§§ƒIUW¥U0E€`eVb‘0e(ƒ0ù ‹ƒT‡†¥‚ã

˜
ü „

´ ­ ® µ ´ · ´ ¯ ² ® ª° ³ Á ¹ · µ ° ³° ¶ ² µ ´ § ¦ ¯ ® µ º ² ¼
¢„s|D|‹AQ€R “¸!TR€Q1|À(¿Ds‹Q€’±
Ž „ —´nŒ
Fû ú
 ¢  ô )ô¦ ù $   ù I ¢
I†¨§öyb£YQPa 
Ž é Fû ú
—´nŒ

Ød â

ÚØ â Ø

b
„¦
d
„¦
þ
ÿ£

‘

þ
ù ø ù $
(`b!C

¥ Ø b â £

ÚØ â

d â

Ö Ú
â

2  … ù b û
VHy’¢é Ì„~c „¦
ý b ¦ d
› û ú û X  ô  ) ø ù   ù $   ù E ¢¦ … ù
$  ô
£5ÛC ¥‡ ´mt3¸¨~~XX(yb££X¥§1TÛ“

2  ¢   ô   ¢ …  ù ù 4  ¤ ¢ ù $
V¥c1¨(1¥1V–›‡(‰¥äb 

‡
ü b
iii
Þ
‡ “ Ú vvvi â Œ 3„¦ û Ø „¦ („
paap
p
d
‘
aÛ Ž
„
d
Ø „¦
‡
(„
¥ ‡ “ Ú w
w w w
b
â Œ Ø „¦
‘
aÛ Ž
„
ü b û
i
w
Þ
‡ “ Ú vi â Œ y„¦ ö¥ ‡ “ Ž Ú w â Œ
‘
aÛ Ž
‘
aÛ
d
Ø „¦

b
Ø ¦
× Ü ˆÚ Þ
¥
‡“
‡“
DÚ ¥ × DÚ ˜× Ý ˆÚ
‡“
‡“
‘
aÛ
‘ × IÛ
Ý
‘ (Û
Ü
‘
aÛ

Ö

 ù E  ù ø ¢ô 2 ù E ¢ …  2  ¢ ù )ô   2 ù ô ) ù $   ø  2 
0X10(`ù £b•X¥HX™V¥§ev0¢©„•b#‡71¥¢
p p
aap

Þ

ii
‡ “ Ú vvi â Œ Ø „¦ ˜
d
‘
aÛ Ž
„

Þ

ò
‡“ Ú i Œ
‡“ Ú
‘
aÛ Ž â çÖ ‘ × IÛ
Ý
¥

‘ × (Û
Ü

d
‡ “ Ú ñ „¦ ‡

„

ù 4 ¢ $ ù C ù 4ô   ¢ 4ô ø ù 2 ù )ô   ù $   ø  ó û¦¦ ¢ )
ƒUHh‹‡5eII5(X¢‹„¨eb#‡Hun¨¥~
© ø ù 4  ù )  E ù ¤ ù –ô  $  ù ) ù $    ¢ õ ô 4¦   ©¦¦ ¢ ÷   E ¢ ù ø ¢ ù C  ô   ¢ ÷ X ù ¦ ¢ô    ø ù ¢ô 2 ¦ ¢ô   ø ¢ … ù $
‡Xƒ’TT0E!X¨(‘0„!bDI•b§|¨¥¨§IHed¥!(ƒ€hx¥§eyH%tb¥§eTù XE¢b3¥Ô(Xƒ1—¢£ 
  E ÷ ø      E ø 2  ¢  ùô ø  ø ¦ © ¢ ƒ ¢  › û ú X  ô  ) ø ù   ù $   2  ¢ …  ù ù C ` ô $   ù 4  ø … 
d1((X10Tù ¨V¥!T7(Xù #‡¨3UsWv§ô I‡ ´£û 37¨5~XX(‹b£v1¥1V–mI3T§¢£‹‡(Xbxsƒ
û  Ï ¤ ¦ ¢ ô õô ø  ù $   $  ô
Dˆ¥1§‡7(‡•b7¨ÛC dÓdd§d¥
s u x ‰¤ ¥i
   ¦ ù $   ô ô $   ø  2ô ¢ … ù 4 ¢ $ ù C ù E ø … ù $
ú x w
Byau ¥“¥§b#§§¢£‡P¨ƒH‡UH•h‹X§ô b•b“ƒ
û`§¥§„)V35‰…e¨e I§9XøX(ˆ¨ô”¥¢§‡b¥‡ƒ|9¥e¥§eyH§beTE qdÍr‰{#‰ ¥•b§ô 1}¡1£d„#71¥£X
¦ ¢ô  ©¦   ô ¢¦  … ù     ô õ  ¢ ø õ ¢ â   ô   ¢ ô ¤ )  ¤i u ip ù ø  ¢ õ   ÷ 2  $   ù ) ù¦ ¤ ¢  
© ¦ ¢    ô   E ÷  2  ÷ ù ¢ ù C ù ô  ` ù ø   ¤    2   õ      ) ù   ¦  ø ù 4  ¤ ¢ ù $
5¦§¥1§ô(¨b21¥T11”¥¢11ƒ„ƒ4(1$„hAXE1¨(y¥b÷ e’ù !£‹¡3Û¡£R‘TXù |¨1÷ Tù ؃(9¥Sb“ƒ
÷§TͤdWsrq¥‰yÍtq¥‰yaÓ¡ §ô ¡1£d„•b—yH£#1IU—¨b“ƒ
‰p h Ë ¥ pp Ë x wi¤i ˆ x w u x  2  $   ù ) ù $     ¢ $     ¢ ù ) ô $
û
·õöê ð ê†x‡õb¥}ùb£¢¨ô ð ¥T(øÇ¥¢øƒ „ Pù ƒya¨b!D¥f¨¥‹¥¡‰ôã ‡ (ƒ‘(`b“ƒ
é ù  ¢ø $ 
¦ ¢ ù © 
ê ø ¢ $ Eô $ C  ¦¦ ¢      ø' 
ù ø ¢ ù ø ù $
ð Þ „
Ö
‚
„  gBq0E ð
™ b ¦ y  

¥

b ¦
„By Ø §( Ø ð
ô

ô Eô   ¢ ø 2 ¢ ÷ X ù $     ô   ÷¦   ù $
§m§(I£¢¥H%Hb£l¥v¨eV7b“ƒ
¥
¥
¥
Þ „
„Œ
é ÖAŽ ð
Ž9b„¦•ó’Œ{0E ð ‡

Œ
Ø 7Ž ð
ø
‡

á

w – vs Ý e
u

Þ

Þ

w – vs Wß ð
u e

¥
„ ç‚7Ž ð Þ „ Œ

Œ Ö 
× Ý 7Ž ð

   ù E     ¢  2 ¢ ù¦ ô $ ƒ û û ú  ô   E ù ÿ ô 2 ù E ÷ 2  ø   
£•XV!I!1¥Tö!§¢“A´ú |Ë¥§edT´€¨€0X1b¡(§ô
ô  ©¦ ¢  ¢ ©  ô¦ô ¤ ¢    ø ùô ø ÷  ó ù $      ¢ ù ) © ¤ ô   ÷  ô $   © ø ¢ E    © ¢ C    ù¦ … )ô  ù $
§(¡5¥H¥¢¨ö¨b¥£XX7(bƒ†b¥•1IUcˆ¨”V‡•§bXø ƒU7£cUXT71‘§(‘b“ƒ
ú
iü „

· ± ª ® µ ´° ´ ª ¹
€WDs|‡3Q““±

§ ʧ
¡´(¦
ï é
B
Cî é

„

é
èA
¥

Ö

9

c

ï „
B
Cî „

¥

„
5š é

„
„
¥

d
9
@Þ Ú
7
8Ö Ú

¥

„
5š é

¥

„

é „
é „

é
èA
¥

Ö
Ù7
$  ô
£5ÛC

à
Ö HÚ
ã

 Ï Î ù $   ø ù 2ô    
b£“X¢§(V€û „
ã

ý

5 ò ø ÷ î ð
6T‘Aç4

2 ì
3Pë

û 11‡‰“‡ø XsXƒe¨¢ƒ†¥çÖ XV310ƒTQ5¥tX‡‡H€•Ï
2  ÷  ¤ ø  ø ù © ø ¢ ø  ô ¤ ø ¢  ¢
û  2  $   ù ) ¦ ù I  ¢ ø ó'   ø  ó ÷
'
2 
1I¢ ‡ —!‡1¥§e5b107010e‡§(VT†1¥†d¥£b`T¥f¥Xƒ~~V´Ø¢—´”ö1Ifƒ
” “ ø    ô  ô 2   E © E  ù   ô    E 2  ¢ © E ¢ ø ÷ E E ¢  © ø ¢ ) ) ÷ ÿ þ Fû ú ù¦ ¤ ¢
1


w ! £
# !



) b
0¦

d
„¦

%

ù ø  ù ø ù $
(‡d(X¢“ƒ
á w – £
i – ß
' %
(Ø
¨s¨1
ô ©¦ 
i !
Ö $0eI~§´UbVQ
# !  ù   ¢ )ô   ø … …

 w ! £

i !

# !
#
Ö $!
$  ô
£5ÛC

`    ù   ô     ©¦¦ ¢  ô  ô 2  
Tˆ0e‡§(V~¨¨¥H¨e¨¢1

   ù        ©¦ ) ø  ô 
T(X§ô 1¨‘ƒ¨b—
© E  ù      ø 
d1T(X§ô 1—‡Hó

ù¦ ¤ ¢   ÿ ©¦¦ ¢  ô  ô 2   E 
71¥£¡„¨¨¥H¨e¨¢1TV€

ù¦ ¤ ¢   ÿ ©¦¦ ¢  ô  ô 2  
ö1Ia¡s¨¨¥H¨e5b1

Ø
 w –

õ ê d
‡„¦

© ô¦ô ¤ ¢   ÿ ø 
¨ö¨b¥£¡v‡Hó

¦ ù I  ¢ø ó  ø  ó ÷
Tƒ•¥££´X‡H£•Ï

ê d
#¦

¢   ÷ ”' ù õ  ÷ “ ø ù 2ø ' 2
£Vmd‡bVv!`b‡B31 ‡

û ù¦ ¤ ¢   ù $   
ƒ71¥abv§ô
 C  $  2  $   ù ) ¢     ÷ ” ' ù õ  ÷ “ ø ù 2 ø ' 2   E ù  ù $     ô  ô 2   E © ô¦ô ¤ ¢    ù $   © ¤ 2 ù   … )
!(1c¡1£d„v£Vm€–‡b1ÛXbX‡¡1T0(xb„I§(¨b1¥T™¨ö¨b¥£Xxb£‚ˆ0(‰‘§ô
  ¢ $    ¢ ù ø ù 4   ¢    Ù  $ Eô $ C … ù    ù )ô   ù $       ô ¢ ø      E ¢     2 ¢ ù
yH£‹¥(`‡0ù •¥X1÷ ~¨ô a¨b!cTe‡W§egbˆ¨ƒ£(X1¥Tv†£‹1¥Tö¦
  ô $   ` ø ù 4 ù C 
w ¨b£lTXƒ0h(€Š
þ
û    ù      E ô 2  $   ù ) ù $   2  ¢ ` Ž d ¦Œ  
XTe‡§ô 1T§›¡10Pb£‘1¥A–X—P§ô Ø
 ù $   `    ¢      E  ô ¢ ) ù
Tb’U¥£X10e1¨ƒ~T(ø i – – I1£yU™¢
  ¢ $  © ¢ C
$ E ÷  ô
a1(v¨é ž1I‘é y„˜BA¢—´”ö1Ifv¨šTX¨(ƒ~‘1(“¨Í§(IH(¨(•b“D`TX¨(†T(X
ý b ¦ 2  ¢
ý d ¦ @ û Fû ú ù¦ ¤ ¢ ƒ ô 2 ù –ô ø ¢ ) ) ÷  ô  ô   ¢ ÷  ô  ù $ ƒ û  ù –ô  … ù  
¦§¥~¨¢§bX§b¥I“‡¢0‡0ù ¥ry(x€#¡y—d(•cyÍv¥1 ¡ xHq‚qqA„Hd€d§dVya7rgyU H¡
¦ ¢ )  ©¦ õ ô $ ô  ¢ 4 ø   ù 4 ‰ Ãp w ¥ w ¤ ¤  w ¤ ‰ ¥ ‰ Ä x w i¤ Ë ‰ ‰ Ƥ Ƥi Ä ¤ x ‰ ¤ ¥i ¥ x w u sp  ‚ w i x
› û ú û X
 ¢ E ¢ $ E ÷  @ û  ô   ¢ ÷ X ù  ô  ÷ ¢ô 2 ¢     `  ô   ¢ ÷ X ù ù 4 ¢
¤yÓe§i ¨¦¥£¡ É ù ¥U‘ca1(™“0¨eIH%{€¨(1E¢¢‘Q¥1†ƒ¨eI1|{‡UC ¢  ¥‡ ´0t3
w x ¥ © §¢ ¤ ¢
w ‘€§ô
  ¢ $  © ¢ C
¨›¡1£d„P¢£yPƒ¨Xc¨¨¥Hed¥7hy§(IH%tsb£AU¥£X1¥T1§ƒ~Tù ø i – – I1£yU™¢
ô 2  $   ù ) ù $   © ¤ ù 4¦   ©¦¦ ¢ ÷   E ¢ ù C  ô   ¢ ÷ X ù ù $   `    ¢      E  ô ¢ )
$ E ÷  ô
a1(7¨ré ž„”V¥~é m„¦ 5BV|“Dû Íryd0dH¡Æ §ô „ G|ú t3Dû ÍrydX¥Vù §ú ‡ ´Eû 3
ý b ¦ 2  ¢
ý d
ô  ÷ $ ƒ u ip w h ‚ ‰ ù s 
Fû û X  u ip w h Ë ‚ Ë ô û ú X

æ
ü „

´ ­ ® µ ´ · ´ ¯ ² ® ª° ³ Á ¹ · µ ° ³° ¶ ² µ ´ § ¦ ¯ ® µ º ² ¼
¢„s|D|‹AQ€R “¸!TR€Q1|À(¿Ds‹Q€’±
` ù¦ ¤ ¢   '@ ø
hö1¥£XBÍ“‡
` ù¦ ¤ ¢   ' f 7 ` ù¦ ¤ ¢   '   ô @ û 2  $   ù ) ù $   ø   ô   ¢¦ ø ' 6 ù $   ù 4 ø ù Ï ` 2   …  ø ø 
¥71¥a‡XgeIö1IaXB—€¨•€0¡1£d„b£—‡†¥§eyÔTù yÏ1x¢£ƒ¨ô X•ÅB1‰Tù (‡0E
 ô  ù  2
¨ÛT|1Ž › G¢†t3†§9äd1¥†¡H1F¥!T¢ö¥I“IH!x£1VsB` ¢l¢0e‡ISW—¨Û@
dû ˜ û X  ô Œ c 2  ¢ ` % ` b   ù ÷¦ ¢ 4   ¢ $ C    `   @
ã ã â … ù   '  C  ¢  ô 
`¨`§71~¨©‡s¨`§713dq¨uvƒ¡1£d„#¢£|§u`b‡fIHÕR¢§1ƒs§¢£Qb¨(1”310)
 ô Eô¦ … )ô ø   ô Eô¦ …  ù  ô @ ` 2  $   ù ) ù $   ô ø ù 2 ø    ¢ $ b û ¢¦ ÷ ) ø  ô $   õ ô  ÷ 2  $   ù
õ ô $ E ø ¢ )' ù )ô   ¢ ô ¢   ¤  ` `  ù 2 ô ¦ ¢ ø  … ) ù   ù $   © ¤ X  ù 2 ô ¦ ¢ô   ¢ …  ù $   õ ô E ¢¦ … ù ø ©
b§¢aƒ~–„¨e#§QaVyfadbV§ƒI£‡‰~0e’b‹€Ydb1¨ƒ¥§eI1Ab#b§`¥Ô10(“S’
b
¥ ×
×
Ü “ Ú Œ ¦
Ž Ý“ Ú
F

Ö

× Ü“ Ú w
Þ “ Ú w
Þ
Ó× Ý “ Ú w
Ž WŒ
V
Ž W†ü
VŒ
Ž WŒ
V

þ ù 4ô   ¢ 4 ø ù 2    ø … ¢ ø   ô   ¢ )ô   ø … … ¢   ô  …' F 2 ø ù    ù E   E ¢ … )  E ù $   ¦¦ ¢ E ù “ û
Q‡¨(II¨ô Xb—XX£W!‡¨eI~§´U¢1¥!§ƒ9ByTù X(ˆ0X!d¥H‘T•bÓ§¥TTÛ—´d
û
bü

$ õ ÷ ø $
¢‡b  „ X¢‡RI„V310£Vmd‡bVv€b£‘£5Û!ù ƒH‘Db„b‡Xb£  „ XbX‡
ø ù 2 ø    2  $   ù ) ¢     ÷ ” ' ù õ  ÷ “ ù $   $  ô C ø ¢ … )   û ü $ õ ÷  ø $
ø ù 2 ø
¥S13V£0PX‡VX¥#‡‘¥HQQb£„‡#bƒ£TW¨ö¨b¥£X‹b¥¨1v1¥€b¨„XXed•—bü
  2  $   ù ) $   ø  $  ¢ ’'  ) ¢ 2  ù $   ø   ø ÷      E © ô¦ô ¤ ¢    ù $     ¦ … 2  ¢ ù ô ) ø ù   ù Ï û
û ù¦ ¤ ¢    ô 2  $   ù ) ù $   $ Eô $ C ø 
Qö1¥£X“¨¨¡1Ë 0¢£7a§b!#‡ Û 3¥‡¢¥£ˆb†11VT¨(¡¨¥1¥P5ö¨b¥a‡
×  ù õ  ¢ ø ù $   2  … ` ô  ©¦ ¢  ¢ ©  ô¦ô ¤ ¢  
ø ù ø ÷  ó õ  
Xöô b‡H¨b§ô €Uk„¦ ç 8 ¨kTXù W1%‹l’5‡P¥b‡b£‹IY!(1ˆF` Û ¶(`b!C
û b
ô ` ø ¤ ) ÷  Ž â ó  ø Œ    ¢ ø ÷   ù $    ¢  C   I
× ù ø ù $

×
Þ “
Ú ¥ × Ü “ Ú Œ ØÛ × ‡
Ž Ý Û“ Ú
Û ‡
Û
„

¥ ×
Þ ×
Ü“ ÚŒ Û × ‡
Ž Ý Û“ Ú
Û
„

¥ “ Ú

Û

Ö × (Û “ Ú
Ü

þ  ù 4ô 2  $   ù
X0‡5‡õ 310)
¢  ø 2  b   ¢ â  C   I ©¦ ù 2ô C ù $   `  ô   ¢ ÷ X ù  ô   E ù 4   E ø ¢ ù ô¦ ù $      2 ùô¦ … … ¢  ù $ b û
PXb1Tù ˆTy|!{V¡¨0b§Û’bUƒ¨eIH%{¨edT‡0ÓƒTb§7Db£#QT7ö11Ie0bÕ“¢F
û 2  $   ù
0¡10) ‡ —b£#ƒƒ{‰¥b—yUù TÛ†UvŒ
” “ ù $  ø  ù 4  ¤ ¢ ù $    ¢ … ù “ Ž E
ù¦ E øô E  ô  ÷ ù $
öTXö`S5b1Bb£ 

û   ¦ … ù ) ¢  ù $   
†I§1¥£•b†¥
C ¢ ø 2 2  ¢ ù  ¢¦ …'   ù¦ … )  E ù $   ô      ø ù $    ù E ¢ ø   ù $     ¦ ¤ Ž ¤
Ub1I€¢¥Ô1B9¿d71‘T—b£x§e¥3X“bÓ¥—XI£e—b£D¥¨AÌHvŒ

û  ù E ¢¦ … ˜    ¢ ù¦   ¢         ø ù $     ù ÷¦ ¢ 4 ù   ÷¦   ¤ ¢ ù $   ù   ÷ … )  E 2  ¢ é æû é 
`T`¥Ô1g€XIUö!y~#£¥¡ˆbsI—0böI¥‹(Vö¥1¥beVb‘0†V¥xG´ 
é X{x—¢„¥!¨¥IXX(§Ë¨~xƒPs—û œ ‚£T¢!™¡1£d„¢X‡3¥#‡‘¥H€
)  ø d éû é  ¦ ¢ 4 ø ù   ô ô 8 ù I ¢ ƒ
Ö 6  ù $ C 2  $  ù ) $ ø  $ ¢ ’' ) ¢ 2
ø ù 2 ø ' 2
`bƒ31 ‡ bSI¥¡‰¿¢£I0böI¥’IU§ô X1%~¢£Igö1¥£7~e3b~¥†tŒ
ù $         ø'  ù $     ù ÷¦ ¢ 4 ¦ ¢ E ø ù ) ÷  ù $    ù¦ ¤ ¢   ¢ ù   ÷ … )   Ž ¢

û ‡

`  2  ÷  ¤  ù $   $  ô C    ù       E   ¦ ÷  ø ø ÷  © ø  ` ©  ô¦ô ¤ ¢    ø  8    2  ÷ 
11V‡9•ù Tb7¨Û!T(X§ô 10“£¨V(Tù Ûb‡‹ù “755ö¨b¥a‡“‡7™!1V1‡‰¤
2 ù   E …  ù ù $   ù ø ¢   ¢ $ C `  2  $   ù ) ù ù ø $    ù $   ø    ô   ¢¦ ù ø ' 6 ù $   õ ô 
T(0Tù 3dšbP(ƒ‘yH!„01¡1£d„v`(b7ù TbW‡V§(IÔ0(ž!V†b£b¨(—SUvŒ
Ž E
û  ô   ÷¦   © 2 ¢ ù      E ¢  ù ù $   $  ô C  ô   ÷¦   2 ù   ÷ … )  E ù $   ù ø ¢ … ) 
0¨eV773¥U(X—0¥V–”¢£v£5ÛP§(VöX™0eV¢~0•b£(QH~¥
š
û  … ù    ù )ô   é
`1T(X§(¢é „ ‡‚é „ ÕÅ1¥~1T(X§(¢¥d ‡ ‡¢ü š é Õ“01T(XP§( 
ø 
Ö 8 2  ¢  … ù    ù )ô   é
ø 
Ö 8 `  … ù    ù )ô
é é d ø  ‡ é Ö 8 `  … ù    ù )ô   é é
¥¥‡ Gš ”yA01T(Xg§(v¥é „ ‡ ¨š é Y(1qT0(¥T~`(bf§¥‘`1¡
ø  „
Ö 8 ù  ÷ `  ù  ¢ E ù ù ø $   ¦¦ ¢ @ û  2
'3£d„¥X‡(I‚‘1¥ˆ0XöVel5X¨ö1‘§‡0X71§A¨`§713d5b‹b§ô 1“é A~§( 
$   ù ) I E ¢ ) ø   E ¢ ã 2  ¢ ` ø ù¦ ÷   ô Eô¦ … )ô ` ø ù¦ ÷   ô Eô¦ …  ù ù $   õ   ÷
Ö d ù )ô
)  ø QI
{ RP„ c „ c „ H“tŒ Ú §(¨b1¥TR¥§e¨¢§b  ¥{(I£ƒXe¨š£eb¡T~ge5(ø PHvŒ
G Ö Ž é
 ô  ô 2   E ¦ ¢ô  ô ô ù $
)  ø ù   ¢ ø õ ù   ô    ù 2  E ¢ ù  ô b Ž ¤

` ù )ô   ô ù 4 ¢ $ ù ¤  ô   ÷¦    Ï Î ù $    ù  2 C  Š `  ô   ÷¦   ù   ¢  
h„¨ev§”‡UH0Ev¥§e3öXōb£“T|1¸(—™ƒ¨eV7•(Ia‡
' © 2 ¢ ù    ù $   ô   ¢ $ b û ù õ ¢ I E ¢ … ¦ ¢ E ø ù ) ÷  ¢ õ   ÷ 7   ù ÷¦ ¢ 4  ù õô ù ù $   2 ô Ž ¢
V¥Te‡b£¨ÛIHÕ’Q‡ƒy¥HƒIU§ô X1%Wxb§ô 1F¥“T¢ö¥IT‡7XmbP1§qó tŒ

› ü „

´ ­ ® ³ ¶ ¹ ¯ º § D§
¢„|#“DÀˆE(¦
`¦ ¢ )  
¥~øƒ1çט§§þXˆ¨BD¢»T71¢‘—`I‡1¥b»{#XXE¢b“¨b£v!v§QÔ13f
ô   ô Š û æ ) ù¦ ¤  ø …    ø ù C   ¢ ù $   )  ø  ø ù ¢ô 2 ô $   © $ C ô ¢¦ … 
` © ô¦ ¤ ¢    ô      ) © ¢  2 ù C ¦¦ ¢ ø ¤ ) ÷     ¢ ø ÷ 
•¨7§ôbIaXQE§eI£V…‘¡X¥ø‡PTh(§§I“Xù W1%!¥£¢‡ 1§´y~‹b§5IH!1¥ù Tb 
) ÷ )ô  ¢ ) ù $   ô   ¢ $ C `  ù $
 T(I#¿ûX0böI¢¥0ù‡ö`'9 ùb£ Ù1H‹ƒ¡10†`ö1§™¨`§713dù b£v‡Ò¨eI§T(ø 
2 ù ¢ ’
 ù ÷¦ 4  õô ù
$ 2  … ` 2  $   ù ) ø ù¦ ÷   ô Eô¦ …  ù $   ø   ô   ¢¦ ù
' ù $   
16¢b£cõb§ô €(û q ¥~0öô eT¨ùb£ 7‡5‡SV¥«§(Ia¥V 5ô eI~À0b1¥H«§ô že5(ø b
 ù ø   ù $ ù 4ô õ 2  ¢  ô   ¢      ø   ¢ ) 2 ù 2  ¢ ¤  × ù  ô
Û
yq ¥ HÚ ‚Ö × (HÚ
Û ×
Ü Û
ä

` û ù û ô ` ) ø  ø    Eä ù 4 '  ô ø   ¢ )  ô õ  ô $ E ø ¢ ) ù ) ô   ø ù ¦ ÷    ô E ô ¦ …  ù
¨Q’Š¢†‡#ƒ£00‡Í¡©(ä (I7¨}bä §baXƒ~‹„¨e“X71§!¨`§713dq¥
 ô   ¢ Eô¦ … … ¢ ù $ )  ø   ¦ ÷  ù ø $ Eô $ C  ¦ Î ù $   ù  ô b û  ù ÷¦ ¢ 4  ù õô ù' 6 ù $   2  … û
§(IU¨ö1V¥e¢£  ¥{“£51(0(Ëa¨b!Åx§b£‹(¨(ø AX0bö¥ITƒöX‘1b†VH1` „ “’
ô 2  ù … …  õ ô  û ) ø  ø    E ù 4 ' ô ø   ¢ ) ô õ ô E  ù ø ¢ô 2 ¦ ¢ô   ¢ …  2 ø ¢ C I E ¢ ¤ ø ù 2 ø  '    ø
5b10EVQQ¢§(—p¨ƒl‡00‡Bˆ©(eyW¨“b¨X10(`ù £b3IÔeyHxQ#¥HsXbX‡‡XX£…
)  ø   ¦  ø $ Eô $ C Ð  Ï Î
{’¨1÷ Tù „a¨b!’—“Ó¥ T(X¡X!be5(ø f‡‡ƒH1V‡9’ˆ¥ö(Ûb’Ix0e5„XXù …
) ù    ©  ù $   ù  ô b û © ø ¢ 2  ÷  ¤   $ õô ø ù $     ¢ 2 ù    ô ) ø
¨Í¨e¨¢1TXƒ111‡‰x€D‡‡ƒH1V‡9#q0ö¢£“Iv¥§e5b10P‡ƒH11ƒ90öVa§(7•g¢
ô  ô  ô 2   E © ø ¢ 2  ÷  ¤  ˜ û © ø ¢ 2  ÷  ¤   ù¦ ù $     ¢  ô  ô 2   E © ø ¢ 2  ÷  ¤   ù¦ $ Eô øô Ï
©¦ … …  û
¨1VQl¢æ 0ö1¥b¨g¥e0Xù „‡Uf‡5e¨ô ‰#¨Û•§(00‡T9ƒU¢§öA¢£ƒX¢§(V€û ›
) ù¦ ¤  ø … ô  ¢ 2 ù …  ù 4 ¢ C ù 4ô     … ¢ $  ô C  ô   E ù 4   E ø ¢ ù ô¦ ù $   ø ù 2ô    
Ë

û ©  ô¦ô ¤ ¢    ø  ø ¤ ) ÷     ¢ ø ÷   ) ÷ )ô  ¢ ) ù $   2 ô ó
‡5ö§¢¥a‡“‡“Xù W1%—ˆI£b‡»1¨´y•bv1§©Øû ‡5e5(‰7£¨Ûv¨eI1|{ù
ù 4ô  ô   … $  ô C  ô   ¢ ÷ X
 ô   E ù 4   E ø ¢ ù ô¦ ù $      2 ùô¦ … … ¢ õ ô $ E ø ¢ ) ù )ô   ø ù¦ ÷   ô Eô¦ …  ù $  ô C 2 ù¦ … ÷  E õ 
¨e00‡0“ƒUb¨öb£x£7T7ö11I~¢§baXƒ•§(—`ö1§—¨`§713d¨£¨Û†T711‡0~b¨ô
' E  ø ù ¢ô 2 2 ø ¢ C I E ¢ ¤ ø ù 2 ø  '    ø …  ©  ô¦ô ¤ ¢    ù $   ù – ©¦ ¢  ¢ `   ©¦ ¢  ¢ ø ù ø ÷  ó õ ô  û
–1Tù XE¢byƒ¥HXbX‡‡Xb#¥¢5ö¨b¥a‡~¢£xX¡¨¥1¥lT§ô ¡¨¥HI`öô b‡HË¢§(—¢æ
û  2  $   ù ) ù  ù $    ù   ø   ô  ô 2  
`1¡1£d„(0b£l¥•b“‡P¥§e5b10E
©  ô¦ô ¤ ¢    ù $   2 ô
5ö§¢¥a‡vb£yV§©ó h§b¡§ô Xù v(ƒe1¨e¨¢1TyXƒ111‡‰Pb V¥xT`1Tù XE¢b„¥Ô( 
` Eô 2  ø … ù ø ¢   ô  ô 2   E © ø ¢ 2  ÷  ¤ ù $   2  ¢  ù E  ø ù ¢ô 2 ¦ ¢ô
' ¢ …  ù $   ø  2 ù  ÷ ô õ ô E  ù ø ù ¢ô
{H¢¢£‡Ò0(1„§»b¨X10(XE¢¢2 0(X(TX~XbX‡¡1 ‡ ¨h“„¤ §b‘b¨eI‡X(ˆ¨ô
2 ùø ù   ù E ø ù 2ø ' 2
ô `  Ï
ô $   õ ô   ¢ ø õ ù   
¥
 Ö œ (`b!C
ø  ù¦ ¤ ¢  ô ÷  ù ¤ 2¦ ÷  C  2  $   ù ) õ ô $ E ø ¢ )' ù )ô    ô Eô¦ …  ù $ Eô $ b
ƒ71¥a5b(E‚§1‡SQ1¡10‘¢§baXƒBd§(€5X§713d~a¨bÕQû „
ù ø ù $

Ø b â

d â

Ú Ø â œ Ö Ú â
þ  Ï ¤ õ ô C ¦¦  ù $   ø ù 2ô     û
ۍD¢§Û(§¨b£“X¢§(V€´ú

û ô  ©¦ ¢  ¢ ø ùô ø ÷  ó õ ô  ÷   ¢ ù … ù “ û  ô
X¨(¡¨IH¥!X7(bƒ†b¨(1vITE0v’0§( 
' ¢ ÷ X ù  ô  ¢ô 2 ¦ ù 2  ) ù $      2 ùô¦ … … ¢ 2  $   ù ) $   ø  $  ¢ ’ '  ) ¢ 2  ø ù 2 ø  ' 2
{H%ty¥§(V÷ £bDTb¡~b£†£‘0ö711¥ä¡10y£‡‡VX¥#€€~IHQXbX‡3V ‡ b 
ù $
2  ¢  ù E  ù ø ù ¢ô 2 2 ù ø ù    ù E ø ù 2 ø ' 2
1I0X10(XE¢¢vT(`eT`AXbX‡¡1 ‡ Ig§(IH§¢WT—b’‡~0eX“§(“ö1¥£X V)
  ô   ¢ ô ¤ )  E ù $   ø  … ù    ù )ô   ù¦ ¤ ¢   ) ÷
¥
'5´y~eb‚1HH95ô eI~—‡£IXù |¥Ô(IHXeb’¥—Tb7¥Iˆ0‡ö`”b~b¨(—iû „
ô  ¢ ) ù $   2  … `  ø   ¢ ) ø    ¢ ø …  ¦ ¢ô   ¢ …  ù $     ù ÷¦ ¢ 4  ù õô ù ù $   õ ô 
Ö 8
™‰6
$  ô C 2 ù ô ¢   ¤  ô ` ô  ¢ ¦ ¢ ù ø ù 4ô   ¢ õ ù  ù $      E ù  ø ù   ô ø ÷      E ©  ô¦ô ¤ ¢    ù $   ù ø ù $
¨Û‘0b§QaV§qT§´yS¥T(sƒ¨(IX¢Pb££00(XXe¨”b‡Tc5ö§¢¥a‡b(`b!C
  ô  … ù $   `û ùû ô ` 6 ù 4ô   ¢ õ ù  ¦ ¢ ù ø ø  ’ 8 ’  ù ÷¦ ¢ 4 ù¦ ¤ ¢    ) ÷ )ô  ¢ ) ù $     ¢ $   C  $
ˆ¨‡‰eb1¨Q’ŠERWƒ¨(IX¢lIU(Û‡ˆ˜‰6 ¥¥•b7¥I71¥£X»V§´y~¢£—IH£¸(1X

é
ÙÖ ‡ ç ‰6
8

Þ


7Ž ‡ ç ‰F
8 6

Þ

„Œ

¥

Ø 

 2  $  ù ) $ ø  $ ¢
§ô ¡1£d„†£‡‡VI#’
' ) ¢ 2  ø ù 2ø ' 2
‡‘¥HQ!`b‡B31 ‡ b“‡¨eI§T(ø !Vb£“yH£7Tƒ¨ô • û ©((I“ƒ£IXù ƒ¥§eIHX
ù $   ø   ô   ¢¦ ù ' 6 ù $     ¢ $    ù 4
ô ø   ¢ ) ø    ¢ ø …  ¦ ¢ô   ¢ …
ù¢£l¥!Tb7¥Iˆ0‡ö`ˆb£71HVV’“75b10EVQxb§ô €h`1§(¨bVTXƒHV1‡‰‹§b¡§ô Xù …
$     ù ÷¦ ¢ 4  ù õô ù ù $   2  … ` üû ’ ô 2  ù … …  õ   û   ô  ô 2   E © ø ¢ 2  ÷  ¤ Eô 2  ø
$  ô C  ô   ¢ ÷ X ù  ô  ÷ ¢ô 2 ¦ ù 2  ) ù $   ô ù 4ô   ¢ 4ô ø ù 2 ¦ ¢ô   ¢ …  ù $       ô   ¢ )ô   ø … …
¨Ûä§(IH%t“¨(1E¢¢#Tb¡‘™bä§š‡5eII5(X¢“¥Ô(IH7b£Y¨eI~§´UbV¥¢
ù E  ø ù ¢ô 2 2 ù ø ù    ù E ø ù 2 ø ' 2
`1Tù XE¢b¢0(`eT`—`bƒ31 ‡ ¢£gb§|511¥††Tb¨ƒaV¥ 0e‡3‡ÀW¢£‹e5(ø “¢˜
ù $   õ ô ©¦ … … ¢ © ¤ 2 ù ô ¢   ¤
) ù    ©   Ï Î ù $   ù  ô b û
é
¥d „

´ ­ ® µ ´ · ´ ¯ ² ® ª° ³ Á ¹ · µ ° ³° ¶ ² µ ´ § ¦ ¯ ® µ º ² ¼
¢„s|D|‹AQ€R “¸!TR€Q1|À(¿Ds‹Q€’±
Chapter 8
CHOICE OF TIME-MARCHING
METHODS
In this chapter we discuss considerations involved in selecting a time-marching method
for a speci c application. Examples are given showing how time-marching methods
can be compared in a given context. An important concept underlying much of this
discussion is sti ness, which is de ned in the next section.

8.1 Sti ness De nition for ODE's
8.1.1 Relation to -Eigenvalues
The introduction of the concept referred to as sti ness comes about from the numerical analysis of mathematical models constructed to simulate dynamic phenomena containing widely di erent time scales. De nitions given in the literature are
not unique, but fortunately we now have the background material to construct a
de nition which is entirely su cient for our purposes.
We start with the assumption that our CFD problem is modeled with su cient
accuracy by a coupled set of ODE's producing an A matrix typi ed by Eq. 7.1.
Any de nition of sti ness requires a coupled system with at least two eigenvalues,
and the decision to use some numerical time-marching or iterative method to solve
it. The di erence between the dynamic scales in physical space is represented by
the di erence in the magnitude of the eigenvalues in eigenspace. In the following
discussion we concentrate on the transient part of the solution. The forcing function
may also be time varying in which case it would also have a time scale. However,
we assume that this scale would be adequately resolved by the chosen time-marching
method, and, since this part of the ODE has no e ect on the numerical stability of
149
150

CHAPTER 8. CHOICE OF TIME-MARCHING METHODS
I(λ h)

Stable
Region
λh

R(λ h)

1

Accurate
Region

Figure 8.1: Stable and accurate regions for the explicit Euler method.
the homogeneous part, we exclude the forcing function from further discussion in this
section.
Consider now the form of the exact solution of a system of ODE's with a complete eigensystem. This is given by Eq. 6.27 and its solution using a one-root, timemarching method is represented by Eq. 6.28. For a given time step, the time integration is an approximation in eigenspace that is di erent for every eigenvector ~ m . In
x
many numerical applications the eigenvectors associated with the small j mj are well
resolved and those associated with the large j mj are resolved much less accurately,
if at all. The situation is represented in the complex h plane in Fig. 8.1. In this
gure the time step has been chosen so that time accuracy is given to the eigenvectors
associated with the eigenvalues lying in the small circle and stability without time
accuracy is given to those associated with the eigenvalues lying outside of the small
circle but still inside the large circle.

The whole concept of sti ness in CFD arises from the fact that we often do
not need the time resolution of eigenvectors associated with the large j m j in
the transient solution, although these eigenvectors must remain coupled into
the system to maintain a high accuracy of the spatial resolution.
8.1. STIFFNESS DEFINITION FOR ODE'S

151

8.1.2 Driving and Parasitic Eigenvalues

For the above reason it is convenient to subdivide the transient solution into two
parts. First we order the eigenvalues by their magnitudes, thus
j 1j j 2j
j Mj
(8.1)
Then we write
p
M
Transient = X c e m t ~ + X c e m t ~
(8.2)
xm
xm
m
m
Solution
m=1 {z
m=p+1
|
}
{z
}
|
Driving
Parasitic
This concept is crucial to our discussion. Rephrased, it states that we can separate
our eigenvalue spectrum into two groups one 1 ! p] called the driving eigenvalues
(our choice of a time-step and marching method must accurately approximate the time
variation of the eigenvectors associated with these), and the other, p+1 ! M ], called
the parasitic eigenvalues (no time accuracy whatsoever is required for the eigenvectors
associated with these, but their presence must not contaminate the accuracy of the
complete solution). Unfortunately, we nd that, although time accuracy requirements
are dictated by the driving eigenvalues, numerical stability requirements are dictated
by the parasitic ones.

8.1.3 Sti ness Classi cations

The following de nitions are somewhat useful. An inherently stable set of ODE's is
sti if
In particular we de ne the ratio

j pj

j Mj

Cr = j M j = j pj
and form the categories

Mildly-sti
Cr  102
Strongly-sti
103  Cr  105
Extremely-sti
106  Cr  108
Pathologically-sti 109  Cr
It should be mentioned that the gaps in the sti category de nitions are intentional
because the bounds are arbitrary. It is important to notice that these de nitions
make no distinction between real, complex, and imaginary eigenvalues.
152

CHAPTER 8. CHOICE OF TIME-MARCHING METHODS

8.2 Relation of Sti ness to Space Mesh Size

Many ow elds are characterized by a few regions having high spatial gradients of
the dependent variables and other domains having relatively low gradient phenomena.
As a result it is quite common to cluster mesh points in certain regions of space and
spread them out otherwise. Examples of where this clustering might occur are at a
shock wave, near an airfoil leading or trailing edge, and in a boundary layer.
One quickly nds that this grid clustering can strongly a ect the eigensystem of
the resulting A matrix. In order to demonstrate this, let us examine the eigensystems
of the model problems given in Section 4.3.2. The simplest example to discuss relates
to the model di usion equation. In this case the eigenvalues are all real, negative
numbers that automatically obey the ordering given in Eq. 8.1. Consider the case
when all of the eigenvalues are parasitic, i.e., we are interested only in the converged
steady-state solution. Under these conditions, the sti ness is determined by the ratio
M = 1 . A simple calculation shows that
4
2
1 = ; 2 sin 2(M + 1)
x
M

and the ratio is

!

; 4x2

x 2=;
2

; 4x2 sin2 2 = ; 4x2
4 =4 M +1 2
2

M= 1

x

The most important information found from this example is the fact that the
sti ness of the transient solution is directly related to the grid spacing. Furthermore,
in di usion problems this sti ness is proportional to the reciprocal of the space mesh
size squared. For a mesh size M = 40, this ratio is about 680. Even for a mesh of
this moderate size the problem is already approaching the category of strongly sti .
For the biconvection model a similar analysis shows that
j j=j j 1
M

1

x

Here the sti ness parameter is still space-mesh dependent, but much less so than for
di usion-dominated problems.
We see that in both cases we are faced with the rather annoying fact that the more
we try to increase the resolution of our spatial gradients, the sti er our equations tend
to become. Typical CFD problems without chemistry vary between the mildly and
strongly sti categories, and are greatly a ected by the resolution of a boundary layer
since it is a di usion process. Our brief analysis has been limited to equispaced
8.3. PRACTICAL CONSIDERATIONS FOR COMPARING METHODS

153

problems, but in general the sti ness of CFD problems is proportional to the mesh
intervals in the manner shown above where the critical interval is the smallest one in
the physical domain.

8.3 Practical Considerations for Comparing Methods
We have presented relatively simple and reliable measures of stability and both the
local and global accuracy of time-marching methods. Since there are an endless
number of these methods to choose from, one can wonder how this information is
to be used to pick a best choice for a particular problem. There is no unique
answer to such a question. For example, it is, among other things, highly dependent
upon the speed, capacity, and architecture of the available computer, and technology
in uencing this is undergoing rapid and dramatic changes as this is being written.
Nevertheless, if certain ground rules are agreed upon, relevant conclusions can be
reached. Let us now examine some ground rules that might be appropriate. It should
then be clear how the analysis can be extended to other cases.
Let us consider the problem of measuring the e ciency of a time{marching method
for computing, over a xed interval of time, an accurate transient solution of a coupled
set of ODE's. The length of the time interval, T , and the accuracy required of the
solution are dictated by the physics of the particular problem involved. For example,
in calculating the amount of turbulence in a homogeneous ow, the time interval
would be that required to extract a reliable statistical sample, and the accuracy
would be related to how much the energy of certain harmonics would be permitted
to distort from a given level. Such a computation we refer to as an event.
The appropriate error measures to be used in comparing methods for calculating
an event are the global ones, Era , Er and Er! , discussed in Section 6.6.5, rather
than the local ones er , era , and erp discussed earlier.
The actual form of the coupled ODE's that are produced by the semi-discrete
approach is

d~ = F (~ t)
u ~ u
dt

~ u
At every time step we must evaluate the function F (~ t) at least once. This function
is usually nonlinear, and its computation usually consumes the major portion of the
computer time required to make the simulation. We refer to a single calculation of the
~ u
vector F (~ t) as a function evaluation and denote the total number of such evaluations
by Fev .
154

CHAPTER 8. CHOICE OF TIME-MARCHING METHODS

8.4 Comparing the E ciency of Explicit Methods
8.4.1 Imposed Constraints

As mentioned above, the e ciency of methods can be compared only if one accepts a
set of limiting constraints within which the comparisons are carried out. The follow
assumptions bound the considerations made in this Section:
1. The time-march method is explicit.
2. Implications of computer storage capacity and access time are ignored. In some
contexts, this can be an important consideration.
3. The calculation is to be time-accurate, must simulate an entire event which
takes a total time T , and must use a constant time step size, h, so that

T = Nh
where N is the total number of time steps.

8.4.2 An Example Involving Di usion
Let the event be the numerical solution of

du = ;u
dt

(8.3)

from t = 0 to T = ; ln(0:25) with u(0) = 1. Eq. 8.3 is obtained from our representative ODE with = ;1, a = 0. Since the exact solution is u(t) = u(0)e;t, this makes
the exact value of u at the end of the event equal to 0.25, i.e., u(T ) = 0:25. To the
constraints imposed above, let us set the additional requirement
The error in u at the end of the event, i.e., the global error, must be  0:5%.
We judge the most e cient method as the one that satis es these conditions and
has the fewest number of evaluations, Fev . Three methods are compared | explicit
Euler, AB2, and RK4.
First of all, the allowable error constraint means that the global error in the amplitude, see Eq. 6.48, must have the property:

Er  0:005
eT
8.4. COMPARING THE EFFICIENCY OF EXPLICIT METHODS

155

Then, since h = T=N = ; ln(0:25)=N , it follows that
1 ; ( 1 (ln(:25)=N ))N =:25  0:005
where 1 is found from the characteristic polynomials given in Table 7.1. The results
shown in Table 8.1 were computed using a simple iterative procedure.
Method N
h
Fev Er
1
Euler 193 :00718 :99282 193 :001248 worst
AB2 16 :0866 :9172 16 :001137
RK4
2 :6931 :5012 8 :001195 best
Table 8.1: Comparison of time-marching methods for a simple dissipation problem.
In this example we see that, for a given global accuracy, the method with the
highest local accuracy is the most e cient on the basis of the expense in evaluating
Fev . Thus the second-order Adams-Bashforth method is much better than the rstorder Euler method, and the fourth-order Runge-Kutta method is the best of all. The
main purpose of this exercise is to show the (usually) great superiority of second-order
over rst-order time-marching methods.

8.4.3 An Example Involving Periodic Convection

Let us use as a basis for this example the study of homogeneous turbulence simulated
by the numerical solution of the incompressible Navier-Stokes equations inside a cube
with periodic boundary conditions on all sides. In this numerical experiment the
function evaluations contribute overwhelmingly to the CPU time, and the number of
these evaluations must be kept to an absolute minimum because of the magnitude of
the problem. On the other hand, a complete event must be established in order to
obtain meaningful statistical samples which are the essence of the solution. In this
case, in addition to the constraints given in Section 8.4.1, we add the following:

~u
The number of evaluations of F (~ t) is xed.
Under these conditions a method is judged as best when it has the highest global
accuracy for resolving eigenvectors with imaginary eigenvalues. The above constraint
has led to the invention of schemes that omit the function evaluation in the corrector step of a predictor-corrector combination, leading to the so-called incomplete
CHAPTER 8. CHOICE OF TIME-MARCHING METHODS

156

predictor-corrector methods. The presumption is, of course, that more e cient methods will result from the omission of the second function evaluation. An example is
the method of Gazdag, given in Section 6.8. Basically this is composed of an AB2
predictor and a trapezoidal corrector. However, the derivative of the fundamental
family is never found so there is only one evaluation required to complete each cycle.
The - relation for the method is shown as entry 10 in Table 7.1.
In order to discuss our comparisions we introduce the following de nitions:
Let a k-evaluation method be de ned as one that requires k evaluations of
~u
F (~ t) to advance one step using that method's time interval, h.
Let K represent the total number of allowable Fev .
Let h1 be the time interval advanced in one step of a one-evaluation method.
The Gazdag, leapfrog, and AB2 schemes are all 1-evaluation methods. The second
and fourth order RK methods are 2- and 4-evaluation methods, respectively. For a 1evaluation method the total number of time steps, N , and the number of evaluations,
K , are the same, one evaluation being used for each step, so that for these methods
h = h1 . For a 2-evaluation method N = K=2 since two evaluations are used for
each step. However, in this case, in order to arrive at the same time T after K
evaluations, the time step must be twice that of a one{evaluation method so h = 2h1.
For a 4-evaluation method the time interval must be h = 4h1 , etc. Notice that
as k increases, the time span required for one application of the method increases.
However, notice also that as k increases, the power to which 1 is raised to arrive
at the nal destination decreases see the Figure below. This is the key to the true
comparison of time-march methods for this type of problem.
0

k=1 j
k = 2 j 2h1
k=4 j
4h1

T

j
j
j

uN

( h1 )]8
(2 h1)]4
(4 h1)]2

Step sizes and powers of for k-evaluation methods used to get to the same value
of T if 8 evaluations are allowed.
In general, after K evaluations, the global amplitude and phase error for kevaluation methods applied to systems with pure imaginary -roots can be written1
Era = 1 ; j 1(ik!h1 )jK=k
(8.4)
1

See Eqs. 6.38 and 6.39.
8.4. COMPARING THE EFFICIENCY OF EXPLICIT METHODS
Er! = !T ; K tan;1
k



1 (ik!h1 )]imaginary
1 (ik!h1 )]real

#

157
(8.5)

Consider a convection-dominated event for which the function evaluation is very
time consuming. We idealize to the case where = i! and set ! equal to one. The
event must proceed to the time t = T = 10. We consider two maximum evaluation
limits K = 50 and K = 100 and choose from four possible methods, leapfrog, AB2,
Gazdag, and RK4. The rst three of these are one-evaluation methods and the last
one is a four-evaluation method. It is not di cult to show that on the basis of local
error (made in a single step) the Gazdag method is superior to the RK4 method in
both amplitude and phase. For example, for !h = 0:2 the Gazdag method produces
a j 1 j = 0:9992276 whereas for !h = 0:8 (which must be used to keep the number of
evaluations the same) the RK4 method produces a j 1 j = 0:998324. However, we are
making our comparisons on the basis of global error for a xed number of evaluations.
First of all we see that for a one-evaluation method h1 = T=K . Using this, and the
fact that ! = 1, we nd, by some rather simple calculations2 made using Eqs. 8.4 and
8.5, the results shown in Table 8.2. Notice that to nd global error the Gazdag root
must be raised to the power of 50 while the RK4 root is raised only to the power of
50/4. On the basis of global error the Gazdag method is not superior to RK4 in either
amplitude or phase, although, in terms of phase error (for which it was designed) it
is superior to the other two methods shown.

K leapfrog AB2 Gazdag RK4
!h1 = :1 100 1:0 1:003 :995 :999
!h1 = :2 50
1:0
1:022 :962 :979
a. Amplitude, exact = 1.0.
K leapfrog AB2 Gazdag RK4
!h1 = :1 100 ;:96 ;2:4 :45
:12
!h1 = :2 50 ;3:8 ;9:8 1:5
1:5
b. Phase error in degrees.
Table 8.2: Comparison of global amplitude and phase errors for four methods.
The 1 root for the Gazdag method can be found using a numerical root nding routine to trace
the three roots in the -plane, see Fig. 7.3e.
2
158

CHAPTER 8. CHOICE OF TIME-MARCHING METHODS

Using analysis such as this (and also considering the stability boundaries) the
RK4 method is recommended as a basic rst choice for any explicit time-accurate
calculation of a convection-dominated problem.

8.5 Coping With Sti ness
8.5.1 Explicit Methods

The ability of a numerical method to cope with sti ness can be illustrated quite nicely
in the complex h plane. A good example of the concept is produced by studying
the Euler method applied to the representative equation. The transient solution is
un = (1 + h)n and the trace of the complex value of h which makes j1 + hj = 1
gives the whole story. In this case the trace forms a circle of unit radius centered at
(;1 0) as shown in Fig. 8.1. If h is chosen so that all h in the ODE eigensystem
fall inside this circle the integration will be numerically stable. Also shown by the
small circle centered at the origin is the region of Taylor series accuracy. If some h
fall outside the small circle but stay within the stable region, these h are sti , but
stable. We have de ned these h as parasitic eigenvalues. Stability boundaries for
some explicit methods are shown in Figs. 7.5 and 7.6.
For a speci c example, consider the mildly sti system composed of a coupled
two-equation set having the two eigenvalues 1 = ;100 and 2 = ;1. If uncoupled
and evaluated in wave space, the time histories of the two solutions would appear as a
rapidly decaying function in one case, and a relatively slowly decaying function in the
other. Analytical evaluation of the time histories poses no problem since e;100t quickly
becomes very small and can be neglected in the expressions when time becomes large.
Numerical evaluation is altogether di erent. Numerical solutions, of course, depend
upon ( m h)]n and no j m j can exceed one for any m in the coupled system or else
the process is numerically unstable.
Let us choose the simple explicit Euler method for the time march. The coupled
equations in real space are represented by

u1(n) = c1 (1 ; 100h)nx11 + c2(1 ; h)nx12 + (PS )1
u2(n) = c1 (1 ; 100h)nx21 + c2(1 ; h)nx22 + (PS )2

(8.6)

We will assume that our accuracy requirements are such that su cient accuracy is
obtained as long as j hj 0:1. This de nes a time step limit based on accuracy
considerations of h = 0:001 for 1 and h = 0:1 for 2 . The time step limit based
on stability, which is determined from 1, is h = 0:02. We will also assume that
c1 = c2 = 1 and that an amplitude less than 0.001 is negligible. We rst run 66
time steps with h = 0:001 in order to resolve the 1 term. With this time step the
8.5. COPING WITH STIFFNESS

159

term is resolved exceedingly well. After 66 steps, the amplitude of the 1 term
(i.e., (1 ; 100h)n) is less than 0.001 and that of the 2 term (i.e., (1 ; h)n) is 0.9361.
Hence the 1 term can now be considered negligible. To drive the (1 ; h)n term to
zero (i.e., below 0.001), we would like to change the step size to h = 0:1 and continue.
We would then have a well resolved answer to the problem throughout the entire
relevant time interval. However, this is not possible because of the coupled presence
of (1 ; 100h)n, which in just 10 steps at h = 0:1 ampli es those terms by 109, far
outweighing the initial decrease obtained with the smaller time step. In fact, with
h = 0:02, the maximum step size that can be taken in order to maintain stability,
about 339 time steps have to be computed in order to drive e;t to below 0.001. Thus
the total simulation requires 405 time steps.
2

8.5.2 Implicit Methods

Now let us re-examine the problem that produced Eq. 8.6 but this time using an
unconditionally stable implicit method for the time march. We choose the trapezoidal
method. Its behavior in the h plane is shown in Fig. 7.4b. Since this is also a oneroot method, we simply replace the Euler with the trapezoidal one and analyze the
result. It follows that the nal numerical solution to the ODE is now represented in
real space by
1 ; 50h nx + c
u1(n) = c1 1 + 50h 11 2
!
1 ; 50h nx + c
u2(n) = c1 1 + 50h 21 2
!

1 ; 0:5h nx + (PS )
1
1 + 0:5h 12
!
1 ; 0:5h nx + (PS )
2
1 + 0:5h 22
!

(8.7)

In order to resolve the initial transient of the term e;100t , we need to use a step size
of about h = 0:001. This is the same step size used in applying the explicit Euler
method because here accuracy is the only consideration and a very small step size
must be chosen to get the desired resolution. (It is true that for the same accuracy
we could in this case use a larger step size because this is a second-order method,
but that is not the point of this exercise). After 70 time steps the 1 term has
amplitude less than 0.001 and can be neglected. Now with the implicit method we
can proceed to calculate the remaining part of the event using our desired step size
h = 0:1 without any problem of instability, with 69 steps required to reduce the
amplitude of the second term to below 0.001. In both intervals the desired solution
is second-order accurate and well resolved. It is true that in the nal 69 steps one
-root is 1 ; 50(0:1)]= 1 + 50(0:1)] = 0:666 , and this has no physical meaning
whatsoever. However, its in uence on the coupled solution is negligible at the end
of the rst 70 steps, and, since (0:666 )n  1, its in uence in the remaining 70
160

CHAPTER 8. CHOICE OF TIME-MARCHING METHODS

steps is even less. Actually, although this root is one of the principal roots in the
system, its behavior for t  0:07 is identical to that of a stable spurious root. The
total simulation requires 139 time steps.

8.5.3 A Perspective

It is important to retain a proper perspective on a problem represented by the above
example. It is clear that an unconditionally stable method can always be called upon
to solve sti problems with a minimum number of time steps. In the example, the
conditionally stable Euler method required 405 time steps, as compared to about
139 for the trapezoidal method, about three times as many. However, the Euler
method is extremely easy to program and requires very little arithmetic per step. For
preliminary investigations it is often the best method to use for mildly-sti di usion
dominated problems. For re ned investigations of such problems an explicit method
of second order or higher, such as Adams-Bashforth or Runge-Kutta methods, is
recommended. These explicit methods can be considered as e ective mildly sti stable methods. However, it should be clear that as the degree of sti ness of the
problem increases, the advantage begins to tilt towards implicit methods, as the
reduced number of time steps begins to outweigh the increased cost per time step.
The reader can repeat the above example with 1 = ;10 000, 2 = ;1, which is in
the strongly-sti category.
There is yet another technique for coping with certain sti systems in uid dynamic
applications. This is known as the multigrid method. It has enjoyed remarkable
success in many practical problems however, we need an introduction to the theory
of relaxation before it can be presented.

8.6 Steady Problems
In Chapter 6 we wrote the O E solution in terms of the principal and spurious roots
as follows:

un = c11 ( 1 )n ~ 1 + + cm1( m )n ~ m + + cM 1 ( M )n ~ M + P:S:
1x
1x
1x
n~ +
n~ +
+c12 ( 1)2 x1
+ cm2 ( m )2 xm
+ cM 2 ( M )n ~ M
2x
n~ +
n~ +
+c13 ( 1)3 x1
+ cm3 ( m )3 xm
+ cM 3 ( M )n ~ M
3x
+etc., if there are more spurious roots

(8.8)

When solving a steady problem, we have no interest whatsoever in the transient portion of the solution. Our sole goal is to eliminate it as quickly as possible. Therefore,
8.7. PROBLEMS

161

the choice of a time-marching method for a steady problem is similar to that for a
sti problem, the di erence being that the order of accuracy is irrelevant. Hence the
explicit Euler method is a candidate for steady di usion dominated problems, and
the fourth-order Runge-Kutta method is a candidate for steady convection dominated
problems, because of their stability properties. Among implicit methods, the implicit
Euler method is the obvious choice for steady problems.
When we seek only the steady solution, all of the eigenvalues can be considered to
be parasitic. Referring to Fig. 8.1, none of the eigenvalues are required to fall in the
accurate region of the time-marching method. Therefore the time step can be chosen
to eliminate the transient as quickly as possible with no regard for time accuracy.
For example, when using the implicit Euler method with local time linearization, Eq.
6.96, one would like to take the limit h ! 1, which leads to Newton's method, Eq.
6.98. However, a nite time step may be required until the solution is somewhat close
to the steady solution.

8.7 Problems
1. Repeat the time-march comparisons for di usion (Section 8.4.2) and periodic
convection (Section 8.4.3) using 2nd- and 3rd-order Runge-Kutta methods.
2. Repeat the time-march comparisons for di usion (Section 8.4.2) and periodic
convection (Section 8.4.3) using the 3rd- and 4th-order Adams-Bashforth methods. Considering the stability bounds for these methods (see problem 4 in
Chapter 7) as well as their memory requirements, compare and contrast them
with the 3rd- and 4th-order Runge-Kutta methods.
3. Consider the di usion equation (with = 1) discretized using 2nd-order central
di erences on a grid with 10 (interior) points. Find and plot the eigenvalues
and the corresponding modi ed wavenumbers. If we use the explicit Euler timemarching method what is the maximum allowable time step if all but the rst
two eigenvectors are considered parasitic? Assume that su cient accuracy is
obtained as long as j hj 0:1. What is the maximum allowable time step if all
but the rst eigenvector are considered parasitic?
162

CHAPTER 8. CHOICE OF TIME-MARCHING METHODS
Chapter 9
RELAXATION METHODS
In the past three chapters, we developed a methodology for designing, analyzing,
and choosing time-marching methods. These methods can be used to compute the
time-accurate solution to linear and nonlinear systems of ODE's in the general form
d~ = F (~ t)
u ~u
(9.1)
dt
which arise after spatial discretization of a PDE. Alternatively, they can be used to
solve for the steady solution of Eq. 9.1, which satis es the following coupled system
of nonlinear algebraic equations:
~u
F (~ ) = 0
(9.2)
In the latter case, the unsteady equations are integrated until the solution converges
to a steady solution. The same approach permits a time-marching method to be used
to solve a linear system of algebraic equations in the form
A~ = ~
x b
(9.3)
To solve this system using a time-marching method, a time derivative is introduced
as follows
d~ = A~ ; ~
x
x b
(9.4)
dt
and the system is integrated in time until the transient has decayed to a su ciently
low level. Following a time-dependent path to steady state is possible only if all of
the eigenvalues of the matrix A (or ;A) have real parts lying in the left half-plane.
Although the solution ~ = A; ~ exists as long as A is nonsingular, the ODE given by
x
b
Eq. 9.4 has a stable steady solution only if A meets the above condition.
1

163
CHAPTER 9. RELAXATION METHODS

164

The common feature of all time-marching methods is that they are at least rstorder accurate. In this chapter, we consider iterative methods which are not time
accurate at all. Such methods are known as relaxation methods. While they are
applicable to coupled systems of nonlinear algebraic equations in the form of Eq. 9.2,
our analysis will focus on their application to large sparse linear systems of equations
in the form
Ab~ ; ~ b = 0
u f
(9.5)
where Ab is nonsingular, and the use of the subscript b will become clear shortly. Such
systems of equations arise, for example, at each time step of an implicit time-marching
method or at each iteration of Newton's method. Using an iterative method, we seek
to obtain rapidly a solution which is arbitrarily close to the exact solution of Eq. 9.5,
which is given by
~ 1 = A; ~ b
u
(9.6)
b f
1

9.1 Formulation of the Model Problem
9.1.1 Preconditioning the Basic Matrix

It is standard practice in applying relaxation procedures to precondition the basic
equation. This preconditioning has the e ect of multiplying Eq. 9.5 from the left
by some nonsingular matrix. In the simplest possible case the conditioning matrix
is a diagonal matrix composed of a constant D(b). If we designate the conditioning
matrix by C , the problem becomes one of solving for ~ in
u

CAb~ ; C~ b = 0
u f

(9.7)

Notice that the solution of Eq. 9.7 is

~ = CAb ]; C~ b = A; C ; C~ b = A; ~ b
u
f
f
b
b f
1

1

1

1

(9.8)

which is identical to the solution of Eq. 9.5, provided C ; exists.
In the following we will see that our approach to the iterative solution of Eq. 9.7
depends crucially on the eigenvalue and eigenvector structure of the matrix CAb, and,
equally important, does not depend at all on the eigensystem of the basic matrix Ab .
For example, there are well-known techniques for accelerating relaxation schemes if
the eigenvalues of CAb are all real and of the same sign. To use these schemes, the
1
9.1. FORMULATION OF THE MODEL PROBLEM

165

conditioning matrix C must be chosen such that this requirement is satis ed. A
choice of C which ensures this condition is the negative transpose of Ab.
For example, consider a spatial discretization of the linear convection equation
using centered di erences with a Dirichlet condition on the left side and no constraint
on the right side. Using a rst-order backward di erence on the right side (as in
Section 3.6), this leads to the approximation

82
 0 1
6

0
6
1 6 ;1 ;1 1 1
~=
0
u 2 x 6
x
6
6
;1 0
4
:
;2

3 2
u
7 6 ;0 a
7 6
7~ 6
7u+6 0
7 6
17 6 0
5 4
2

0

39

7
7
7=
7
7
7
5

(9.9)

The matrix in Eq. 9.9 has eigenvalues whose imaginary parts are much larger than
their real parts. It can rst be conditioned so that the modulus of each element is 1.
This is accomplished using a diagonal preconditioning matrix

2
61
60
6
D = 2 x6 0
6
60
4

0
1
0
0
0 0

0
0
1
0
0

0
0
0
1
0

0
0
0
0
1
2

3
7
7
7
7
7
7
5

(9.10)

which scales each row. We then further condition with multiplication by the negative
transpose. The result is

A = ;AT A =
2

2
0
6 ;1 1 1
6
0
6
6
;1 0
6
6
;1
4

1

1

32
0
7 6 ;1 1 1
76
0
76
76
;1 0
76
176
;1
54

1
0
;1 ;1

2
0
6 ;1 ;2 1 1
6 0
0
6
= 6 1 0 ;2 0
6
6
1 0 ;2
4
1

3
7
7
7
17
7
17
5

1 ;2

1
0
;1

3
7
7
7
7
7
17
5
1

(9.11)
CHAPTER 9. RELAXATION METHODS

166

If we de ne a permutation matrix P and carry out the process P T ;AT A ]P (which
just reorders the elements of A and doesn't change the eigenvalues) we nd
1

1

1

1

2
60
60
6
60
6
60
4

0
0
0
1
0

0
1
0
0
0

32

32

2
1
6 ;2 ;2 1
6 1
6
1 ;2 1
=6
6
6
1 ;2
4

1
0
0
0
1 0

3
7
7
7
7
7
17
5

0 7 6 ;1 0 1
76
76
0 7 6 0 ;2 0 1
76
7 6 1 0 ;2 0 1 7 6
76
176
76
76
054
1 0 ;2 1 7 6
54
0
1 1 ;2

0
1
0
0
0

0
0
0
1
0

0
0
0
0
1

0
0
1
0
0

3

17
07
7
07
7
07
5
0

(9.12)

1 ;1
which has all negative real eigenvalues, as given in Appendix B. Thus even when
the basic matrix Ab has nearly imaginary eigenvalues, the conditioned matrix ;AT Ab
b
is nevertheless symmetric negative de nite (i.e., symmetric with negative real eigenvalues), and the classical relaxation methods can be applied. We do not necessarily
recommend the use of ;AT as a preconditioner we simply wish to show that a broad
b
range of matrices can be preconditioned into a form suitable for our analysis.

9.1.2 The Model Equations

Preconditioning processes such as those described in the last section allow us to
prepare our algebraic equations in advance so that certain eigenstructures are guaranteed. In the remainder of this chapter, we will thoroughly investigate some simple
equations which model these structures. We will consider the preconditioned system
of equations having the form

A~ ; ~ = 0
f
(9.13)
where A is symmetric negative de nite. The symbol for the dependent variable has
been changed to as a reminder that the physics being modeled is no longer time
2

A permutation matrix (de ned as a matrix with exactly one 1 in each row and column and has
the property that P T = P ;1 ) just rearranges the rows and columns of a matrix.
2 We use a symmetric negative de nite matrix to simplify certain aspects of our analysis. Relaxation methods are applicable to more general matrices. The classical methods will usually converge
if Ab is diagonally dominant, as de ned in Appendix A.
1
9.1. FORMULATION OF THE MODEL PROBLEM

167

accurate when we later deal with ODE formulations. Note that the solution of Eq.
9.13, ~ = A; ~ , is guaranteed to exist because A is nonsingular. In the notation of
f
Eqs. 9.5 and 9.7,
1

A = CAb and ~ = C~ b
f
f
(9.14)
The above was written to treat the general case. It is instructive in formulating the
concepts to consider the special case given by the di usion equation in one dimension
with unit di usion coe cient :
@u = @ u ; g(x)
@t @x
This has the steady-state solution
2

2

(9.15)

@ u = g(x)
(9.16)
@x
which is the one-dimensional form of the Poisson equation. Introducing the threepoint central di erencing scheme for the second derivative with Dirichlet boundary
conditions, we nd
2

2

d~ = 1 B (1 ;2 1)~ + (bc) ; ~
u
u ~ g
(9.17)
dt
x
~
where (bc) contains the boundary conditions and ~ contains the values of the source
g
term at the grid nodes. In this case
2

Ab = 1 B (1 ;2 1)
x
~
fb = ~ ; (bc)
g ~
(9.18)
Choosing C = x I , we obtain
B (1 ;2 1)~ = ~
f
(9.19)
~
where ~ = x fb. If we consider a Dirichlet boundary condition on the left side and
f
either a Dirichlet or a Neumann condition on the right side, then A has the form
A=B 1~ 1
b
2

2

2
CHAPTER 9. RELAXATION METHODS

168

~ = ;2 ;2
b

;2 s]T

s = ;2 or
;1
(9.20)
Note that s = ;1 is easily obtained from the matrix resulting from the Neumann
boundary condition given in Eq. 3.24 using a diagonal conditioning matrix. A tremendous amount of insight to the basic features of relaxation is gained by an appropriate
study of the one-dimensional case, and much of the remaining material is devoted to
this case. We attempt to do this in such a way, however, that it is directly applicable
to two- and three-dimensional problems.

9.2 Classical Relaxation

9.2.1 The Delta Form of an Iterative Scheme

We will consider relaxation methods which can be expressed in the following delta
form:
h
i
H ~ n ; ~ n = A~ n ; ~
f
(9.21)
where H is some nonsingular matrix which depends upon the iterative method. The
matrix H is independent of n for stationary methods and is a function of n for
nonstationary ones. The iteration count is designated by the subscript n or the
superscript (n). The converged solution is designated ~ 1 so that
+1

~ 1 = A; ~
f

(9.22)

1

9.2.2 The Converged Solution, the Residual, and the Error

Solving Eq. 9.21 for ~ n gives
~ n = I + H ; A]~ n ; H ; ~ = G~ n ; H ; ~
f
f
(9.23)
where
G I + H; A
(9.24)
Hence it is clear that H should lead to a system of equations which is easy to solve,
or at least easier to solve than the original system. The error at the nth iteration is
de ned as
~ n ~ n ; ~ 1 = ~ n ; A; ~
e
f
(9.25)
+1

+1

1

1

1

1

1
9.2. CLASSICAL RELAXATION

169

where ~ 1 was de ned in Eq. 9.22. The residual at the nth iteration is de ned as
~ n A~ n ; ~
r
f
(9.26)
Multiply Eq. 9.25 by A from the left, and use the de nition in Eq. 9.26. There results
the relation between the error and the residual
A~ n ; ~ n = 0
e r
(9.27)
Finally, it is not di cult to show that
~ n = G~ n
e
e

(9.28)

+1

Consequently, G is referred to as the basic iteration matrix, and its eigenvalues, which
we designate as m , determine the convergence rate of a method.
In all of the above, we have considered only what are usually referred to as stationary processes in which H is constant throughout the iterations. Nonstationary
processes in which H (and possibly C ) is varied at each iteration are discussed in
Section 9.5.

9.2.3 The Classical Methods

Point Operator Schemes in One Dimension
Let us consider three classical relaxation procedures for our model equation
B (1 ;2 1)~ = ~
f
(9.29)
as given in Section 9.1.2. The Point-Jacobi method is expressed in point operator
form for the one-dimensional case as
n = 1 h n + n ;f i
(9.30)
j
j
j
2 j;
This operator comes about by choosing the value of jn such that together with
the old values of j; and j , the j th row of Eq. 9.29 is satis ed. The Gauss-Seidel
method is
n = 1h n + n ; f i
(9.31)
j
j
j
2 j;
This operator is a simple extension of the point-Jacobi method which uses the most
recent update of j; . Hence the j th row of Eq. 9.29 is satis ed using the new values of
j and j ; and the old value of j . The method of successive overrelaxation (SOR)
( +1)

( )
1

( )
+1

( +1)

1

+1

( +1)

( +1)
1

1

1

+1

( )
+1
CHAPTER 9. RELAXATION METHODS

170

is based on the idea that if the correction produced by the Gauss-Seidel method tends
to move the solution toward ~ 1, then perhaps it would be better to move further in
this direction. It is usually expressed in two steps as
h
i
~j = 1 jn + jn ; fj
2 ; h
i
n
= jn + ! ~j ; jn
(9.32)
j
( +1)
1

( +1)

( )
+1

( )

( )

where ! generally lies between 1 and 2, but it can also be written in the single line
n = ! n + (1 ; ! ) n + ! n ; ! f
(9.33)
j
j
2 j;
2 j
2 j
( +1)

( +1)
1

( )

( )
+1

The General Form

The general form of the classical methods is obtained by splitting the matrix A in
Eq. 9.13 into its diagonal, D, the portion of the matrix below the diagonal, L, and
the portion above the diagonal, U , such that

A=L+D+U

(9.34)

Then the point-Jacobi method is obtained with H = ;D, which certainly meets
the criterion that it is easy to solve. The Gauss-Seidel method is obtained with
H = ;(L + D), which is also easy to solve, being lower triangular.

9.3 The ODE Approach to Classical Relaxation
9.3.1 The Ordinary Di erential Equation Formulation

The particular type of delta form given by Eq. 9.21 leads to an interpretation of
relaxation methods in terms of solution techniques for coupled rst-order ODE's,
about which we have already learned a great deal. One can easily see that Eq. 9.21
results from the application of the explicit Euler time-marching method (with h = 1)
to the following system of ODE's:
~
H d = A~ ; ~
f
(9.35)
dt
This is equivalent to
d~ = H ; C A ~ ; ~ = H ; A~ ; ~ ]
fb
f
(9.36)
b
dt
1

1
9.3. THE ODE APPROACH TO CLASSICAL RELAXATION

171

In the special case where H ; A depends on neither ~ nor t, H ; ~ is also independent
u
f
; A are linearly independent, the solution can be
of t, and the eigenvectors of H
written as
1

1

1

~ = c e 1 t~ + + cM e M t~ M +~ 1
x}
(9.37)
| x
{z
error
where what is referred to in time-accurate analysis as the transient solution, is now
referred to in relaxation analysis as the error. It is clear that, if all of the eigenvalues
of H ; A have negative real parts (which implies that H ; A is nonsingular), then the
system of ODE's has a steady-state solution which is approached as t ! 1, given by
1

1

1

1

~ 1 = A; ~
f

(9.38)

1

which is the solution of Eq. 9.13. We see that the goal of a relaxation method is to
remove the transient solution from the general solution in the most e cient way possible. The eigenvalues are xed by the basic matrix in Eq. 9.36, the preconditioning
matrix in 9.7, and the secondary conditioning matrix in 9.35. The eigenvalues are
xed for a given h by the choice of time-marching method. Throughout the remaining discussion we will refer to the independent variable t as time, even though no
true time accuracy is involved.
In a stationary method, H and C in Eq. 9.36 are independent of t, that is, they
are not changed throughout the iteration process. The generalization of this in our
approach is to make h, the time step, a constant for the entire iteration.
Suppose the explicit Euler method is used for the time integration. For this method
m = 1 + m h. Hence the numerical solution after n steps of a stationary relaxation
method can be expressed as (see Eq. 6.28)

~ n = c ~ (1 + h)n +
|x
1

1

1

+ cm~ m (1 + mh)n +
x {z
error

+ cM ~ M (1 +
x

n
M h) } +~ 1 (9.39)

The initial amplitudes of the eigenvectors are given by the magnitudes of the cm .
These are xed by the initial guess. In general it is assumed that any or all of the
eigenvectors could have been given an equally bad excitation by the initial guess,
so that we must devise a way to remove them all from the general solution on an
equal basis. Assuming that H ; A has been chosen (that is, an iteration process has
been decided upon), the only free choice remaining to accelerate the removal of the
error terms is the choice of h. As we shall see, the three classical methods have all
been conditioned by the choice of H to have an optimum h equal to 1 for a stationary
iteration process.
1
CHAPTER 9. RELAXATION METHODS

172

9.3.2 ODE Form of the Classical Methods

The three iterative procedures de ned by Eqs. 9.30, 9.31 and 9.32 obey no apparent
pattern except that they are easy to implement in a computer code since all of the
data required to update the value of one point are explicitly available at the time
of the update. Now let us study these methods as subsets of ODE as formulated in
Section 9.3.1. Insert the model equation 9.29 into the ODE form 9.35. Then
~
H d = B (1 ;2 1)~ ; ~
f
(9.40)
dt
As a start, let us use for the numerical integration the explicit Euler method
0
(9.41)
n = n+h n
with a step size, h, equal to 1. We arrive at
H (~ n ; ~ n) = B (1 ;2 1)~ n ; ~
f
(9.42)
+1

+1

It is clear that the best choice of H from the point of view of matrix algebra is
;B (1 ;2 1) since then multiplication from the left by ;B ; (1 ;2 1) gives the correct answer in one step. However, this is not in the spirit of our study, since multiplication by the inverse amounts to solving the problem by a direct method without
iteration. The constraint on H that is in keeping with the formulation of the three
methods described in Section 9.2.3 is that all the elements above the diagonal (or
below the diagonal if the sweeps are from right to left) are zero. If we impose this
constraint and further restrict ourselves to banded tridiagonals with a single constant
in each band, we are led to
2
B (; ! 0)(~ n ; ~ n) = B (1 ;2 1)~ n ; ~
f
(9.43)
where and ! are arbitrary. With this choice of notation the three methods presented
in Section 9.2.3 can be identi ed using the entries in Table 9.1.
1

+1

TABLE 9.1: VALUES OF
and ! IN EQ. 9.43 THAT
LEAD TO CLASSICAL RELAXATION METHODS

!
0
1
1

Method

1
Point-Jacobi
1
h
i Gauss-Seidel
2= 1 + sin M + 1 Optimum SOR

Equation
6:2:3
6:2:4
6:2:5
9.4. EIGENSYSTEMS OF THE CLASSICAL METHODS

173

The fact that the values in the tables lead to the methods indicated can be veri ed
by simple algebraic manipulation. However, our purpose is to examine the whole
procedure as a special subset of the theory of ordinary di erential equations. In this
light, the three methods are all contained in the following set of ODE's
d~ = B ; (; 2 0) B (1 ;2 1)~ ; ~
f
(9.44)
dt
!
and appear from it in the special case when the explicit Euler method is used for its
numerical integration. The point operator that results from the use of the explicit
Euler scheme is
!
!
n = !
n + ! (h ; ) n ; (!h ; 1) n + !h n ; !h f (9.45)
j
j;
j
2 j;
2
2 j
2 j
1

( +1)

( +1)
1

( )
1

( )

( )
+1

This represents a generalization of the classical relaxation techniques.

9.4 Eigensystems of the Classical Methods
The ODE approach to relaxation can be summarized as follows. The basic equation
to be solved came from some time-accurate derivation
Ab~ ; ~ b = 0
u f
(9.46)
This equation is preconditioned in some manner which has the e ect of multiplication
by a conditioning matrix C giving
A~ ; ~ = 0
f
(9.47)
An iterative scheme is developed to nd the converged, or steady-state, solution of
the set of ODE's
~
H d = A~ ; ~
f
(9.48)
dt
This solution has the analytical form
~ n = ~n + ~ 1
e
(9.49)
where ~ n is the transient, or error, and ~ 1 A; ~ is the steady-state solution. The
e
f
three classical methods, Point-Jacobi, Gauss-Seidel, and SOR, are identi ed for the
one-dimensional case by Eq. 9.44 and Table 9.1.
1
CHAPTER 9. RELAXATION METHODS

174

Given our assumption that the component of the error associated with each eigenvector is equally likely to be excited, the asymptotic convergence rate is determined
by the eigenvalue m of G ( I + H ; A) having maximum absolute value. Thus
1

Convergence rate

j mjmax

m=1 2

M

(9.50)

In this section, we use the ODE analysis to nd the convergence rates of the three
classical methods represented by Eqs. 9.30, 9.31, and 9.32. It is also instructive to
inspect the eigenvectors and eigenvalues in the H ; A matrix for the three methods.
This amounts to solving the generalized eigenvalue problem
A~ m = m H~ m
x
x
(9.51)
1

for the special case
2 0)~
(9.52)
! xm
The generalized eigensystem for simple tridigonals is given in Appendix B.2. The
three special cases considered below are obtained with a = 1, b = ;2, c = 1, d = ; ,
e = 2=!, and f = 0. To illustrate the behavior, we take M = 5 for the matrix order.
This special case makes the general result quite clear.

B (1 ;2 1)~ m =
x

m B (;

9.4.1 The Point-Jacobi System

1
If = 0 and ! = 1 in Eq. 9.44, the ODE matrix H ; A reduces to simply B ( 1 ;1 2 ).
2
The eigensystem can be determined from Appendix B.1 since both d and f are zero.
The eigenvalues are given by the equation
m
(9.53)
m = ;1 + cos
M +1 m = 1 2 ::: M
The - relation for the explicit Euler method is m = 1 + m h. This relation can
be plotted for any h. The plot for h = 1, the optimum stationary case, is shown in
Fig. 9.1. For h  1, the maximum j mj is obtained with m = 1, Fig. 9.2 and for
h  1, the maximum j m j is obtained with m = M , Fig. 9.3. Note that for h  1:0
(depending on M ) there is the possibility of instability, i.e. j m j  1:0. To obtain the
optimal scheme we wish to minimize the maximum j m j which occurs when h = 1,
j j = j M j and the best possible convergence rate is achieved:
1

1

j m jmax = cos M + 1

(9.54)
9.4. EIGENSYSTEMS OF THE CLASSICAL METHODS

175

For M = 40, we obtain j mjmax = 0:9971. Thus after 500 iterations the error content
associated with each eigenvector is reduced to no more than 0.23 times its initial level.
Again from Appendix B.1, the eigenvectors of H ; A are given by
~ j = (xj )m = sin j m
x
j = 1 2 ::: M
(9.55)
M +1
This is a very well-behaved eigensystem with linearly independent eigenvectors and
distinct eigenvalues. The rst 5 eigenvectors are simple sine waves. For M = 5, the
eigenvectors can be written as
1

2 1=2 3
2 3
2 p3=2 3
p 7
p 7
6 3=2 7
6 1 7
6 3=2 7
6
6 0 7
6
~ = 6 p 1 7 ~ = 6 p 7 ~ = 6 ;1 7
6
7 x 6 0 7 x 6 7
x 6
6 7
6
6 3=2 7
6 0 7
7
6 ; 3=2 7
4
5
4 5
5
4 p 7
1
1=2
; 3=2
3
2 p
3
2
3
1=
p =2 7
p2 7
6 ; 3=2 7
6
6
6
7 ~ 6 ; 3=2 7
~ = 6 p0 7 x = 6 p 7
6 1 7
x 6
6
7
6 3=2 7
7
6 ; 3=2 7
5
4 p 5
4
1=2
; 3=2
1

3

2

4

5

(9.56)

The corresponding eigenvalues are, from Eq. 9.53

p

1

2

3

4

= ;1 + 23 = ;0:134
= ;1 + 1 = ;0:5
2
=
;1 = ;1:0

(9.57)

= ;1 ; 1 = ;1:5
2

p

= ;1 ; 23 = ;1:866
From Eq. 9.39, the numerical solution written in full is
5

p

~ n ; ~ 1 = c 1 ; (1 ; 3 )h]n~
x
2
1 x
+ c 1 ; (1 ; 2 )h]n~
1

2

1

2
CHAPTER 9. RELAXATION METHODS

176
1.0

h = 1.0
m=1

m=5

Values are equal

σm
m=4

m=2

Μ=5
m=3

0.0
-2.0

Figure 9.1: The

0.0

-1.0

relation for Point-Jacobi, h = 1 M = 5.
+ c 1 ; (1
3

)h]n~
x

3

+ c 1 ; (1 + 1 )h]n~
2 x
p
+ c 1 ; (1 + 23 )h]n~
x
4

4

5

5

(9.58)

9.4.2 The Gauss-Seidel System
If and ! are equal to 1 in Eq. 9.44, the matrix eigensystem evolves from the relation

B (1 ;2 1)~ m =
x

m B (;1

2 0)~ m
x

(9.59)

which can be studied using the results in Appendix B.2. One can show that the H ; A
matrix for the Gauss-Seidel method, AGS , is
1

AGS

B ; (;1 2 0)B (1 ;2 1) =
1
9.4. EIGENSYSTEMS OF THE CLASSICAL METHODS
Approaches 1.0

1.0

h

h  1.0

De

ng

cr

si

ea

ea

si

cr

ng

De

σm

h

0.0
-2.0

0.0

-1.0

λ mh

Figure 9.2: The

relation for Point-Jacobi, h = 0:9 M = 5.
Exceeds 1.0 at h

∼
∼

1.072 / Ustable h  1.072

1.0

h  1.0

In

cr

h

ea

si

ng

h

ng
si
ea
cr
In

σm

M = 5
0.0
-2.0

-1.0

0.0

λmh

Figure 9.3: The

relation for Point-Jacobi, h = 1:1 M = 5.

177
CHAPTER 9. RELAXATION METHODS
2 ;1 1=2
3 1
6 0 ;3=4 1=2
7 2
6
7
6 0 1=8 ;3=4 1=2
7 3
6
7
6
7
6 0 1=16 1=8 ;3=4 1=2
7 4
6
7
(9.60)
6 0 1=32 1=16 1=8 ;3=4 1=2
7 5
6
7
6 .
...
6 ..
7
. . . . . . . . . . . . . . . 7 ...
4
5
0 1=2M
M
The eigenvector structure of the Gauss-Seidel ODE matrix is quite interesting. If M
is odd there are (M + 1)=2 distinct eigenvalues with corresponding linearly independent eigenvectors, and there are (M ; 1)=2 defective eigenvalues with corresponding
178

principal vectors. The equation for the nondefective eigenvalues in the ODE matrix
is (for odd M )
+
m )
m = 1 2 ::: M2 1
(9.61)
m = ;1 + cos (
M +1
and the corresponding eigenvectors are given by
j;
m
+
~ m = cos m
x
sin j M + 1
m = 1 2 ::: M2 1
(9.62)
M +1
The - relation for h = 1, the optimum stationary case, is shown in Fig. 9.4. The
m with the largest amplitude is obtained with m = 1. Hence the convergence rate is
2

1

j m jmax = cos M + 1

2

(9.63)

Since this is the square of that obtained for the Point-Jacobi method, the error associated with the worst eigenvector is removed in half as many iterations. For M = 40,
j m jmax = 0:9942. 250 iterations are required to reduce the error component of the
worst eigenvector by a factor of roughly 0.23.
The eigenvectors are quite unlike the Point-Jacobi set. They are no longer symmetrical, producing waves that are higher in amplitude on one side (the updated side)
than they are on the other. Furthermore, they do not represent a common family for
di erent values of M .
The Jordan canonical form for M = 5 is

3
2 h~ i
7
6
h~ i
7
6
6
7
2~
37
; A X =J = 6
7
6
X GS
GS
1
6
7
6
6 ~
77
6
6
1 77
4
4
55
~
1

1

2

3

3

3

(9.64)
9.4. EIGENSYSTEMS OF THE CLASSICAL METHODS
1.0

179

h = 1.0

σm
Μ=5

2 defective λ m
0.0
-2.0

0.0

-1.0

λmh

relation for Gauss-Seidel, h = 1:0 M = 5.

Figure 9.4: The

The eigenvectors and principal vectors are all real. For M = 5 they can be written

2
3
2 p
3
2 3
2 3
2 3
3=2
1=2 7
17
0 7
6 3=4 7
6 p3=4 7
607
6 2 7
6 0 7
6
6
7
6
6
6 0 7
~ = 6 3=4 7 ~ = 6 p0 7 ~ = 6 0 7 ~ = 6 ;1 7 ~ = 6 4 7 (9.65)
6
7 x 6
7 x 6 7 x 6 7 x 6 7
x 6
6
6 7
6 7
6 7
6 9=16 7
7
6 ; 3=16 7
7
607
6 0 7
6 ;4 7
4
5
4 p
5
4 5
4 5
4 5
9=32
0
0
1
; 3=32
1

2

3

4

5

The corresponding eigenvalues are
= ;1=4
= ;3=4
) = ;1
(4)
Defective, linked to
(5)
Jordan block
The numerical solution written in full is thus
~ n ; ~ 1 = c (1 ; h )n~
4 x
h x
+ c (1 ; 34 )n~
1
2
3

3

1

2

1

2

(9.66)
CHAPTER 9. RELAXATION METHODS

#
n + c h n (1 ; h)n; + c h n(n ; 1) (1 ; h)n; ~
+ c (1 ; h)
x
1!
2!
+ c (1 ; h)n + c h n (1 ; h)n; ~
x

180

3

4

5

1

4

+ c (1 ; h)n~
x
5

5

1

1!

2

2

3

4

(9.67)

5

9.4.3 The SOR System

If = 1 and 2=! = x in Eq. 9.44, the ODE matrix is B ; (;1 x 0)B (1 ;2 1).
One can show that this can be written in the form given below for M = 5. The
generalization to any M is fairly clear. The H ; A matrix for the SOR method,
ASOR B ; (;1 x 0)B (1 ;2 1), is
1

1

1

2
x
0
0
6 ;2;2x x
;
x
0
6
1 6 ;2x + x x x 2x2x x
6 x +
; +
x ; 2x
x
x 6 ;2x + x x ; 2x + x x ; 2x + x
6
x ; 2x
4
;2 + x 1 ; 2x + x x ; 2x + x x ; 2x + x x
4

4

3

5

4

2

3

2

3

2

4

4

3

2

4

3

3

4

2

3

2

2

4

4

3

3

2

4

3

4

0
0
0
x

4

3

; 2x

4

3
7
7
7
7 (9.68)
7
7
5

Eigenvalues of the system are given by
m

+
= ;1 + !pm 2 zm

2

m = 1 2 :::M

(9.69)

where

zm = 4(1 ; !) + ! pm] =
pm = cos m =(M + 1)]
2 2

1 2

If ! = 1, the system is Gauss-Seidel. If 4(1 ; !) + ! pm  0 zm and m are complex.
If ! is chosen such that 4(1 ; !) + ! p = 0 ! is optimum for the stationary case,
and the following conditions hold:
2

2 2
1

1. Two eigenvalues are real, equal and defective.
2. If M is even, the remaining eigenvalues are complex and occur in conjugate
pairs.
3. If M is odd, one of the remaining eigenvalues is real and the others are complex
occurring in conjugate pairs.
9.4. EIGENSYSTEMS OF THE CLASSICAL METHODS

181

One can easily show that the optimum ! for the stationary case is

!opt = 2= 1 + sin M + 1

and for ! = !opt

m

~m
x
where

m;1
j ;1
m sin

=
=

(9.70)

2

m
j M +1

q

(9.71)

!opt p + i p ; p
m=
m
2 m
2
1

2

Using the explicit Euler method to integrate the ODE's, m = 1 ; h + h m , and if
h = 1, the optimum value for the stationary case, the - relation reduces to that
shown in Fig. 9.5. This illustrates the fact that for optimum stationary SOR all the
j m j are identical and equal to !opt ; 1. Hence the convergence rate is
j m jmax = !opt ; 1
(9.72)
!opt = 2= 1 + sin M + 1
For M = 40, j mjmax = 0:8578. Hence the worst error component is reduced to less
than 0.23 times its initial value in only 10 iterations, much faster than both GaussSeidel and Point-Jacobi. In practical applications, the optimum value of ! may have
to be determined by trial and error, and the bene t may not be as great.
For odd M , there are two real eigenvectors and one real principal vector. The
remaining linearly independent eigenvectors are all complex. For M = 5 they can be
written
2
3
2 3
2 p3(1
3
2
3
1=2 7
;6 7
1 7
p
p )=2 7
6 1=2 7
6
6 3(1 i 2)=6 7
6
6
6
6
7~ 6 9 7~
6 7
6
7~ 6 0 7
~ = 6 1=3 7 x = 6 16 7 x = 6 p
7 x = 6 1=3 7 (9.73)
6
7
0p
x 6
7
6 7
6
6
6 1=6 7
6 13 7
6 3(5 i 2)=54 7
7
6 0 7
7
4
5
4 5
4p
5
4
5
p
1=18
6
1=9
3(7 4i 2)=162
The corresponding eigenvalues are
= ;2=3
(2)
Defectivep
linked to
= ;(10 ; 2p2i)=9
= ;(10 + 2 2i)=9
= ;4=3
(9.74)
2

1

2

34

5

1

1

3

4

5
CHAPTER 9. RELAXATION METHODS

182
1.0

h = 1.0
2 real defective λ m

σm

2 complex λ m

1 real λ m

Μ=5
0.0
-2.0

0.0

-1.0

λmh

Figure 9.5: The

relation for optimum stationary SOR, M = 5, h = 1.

The numerical solution written in full is

~n ; ~1 =
+
+
+
+

c (1 ; 2h=3)n + c nh(1 ; 2h=3)n; ]~
x
c (1 ; 2h=3)n~
x
p
c 1 ; (10 ; 2p2i)h=9]n~
x
n~
c 1 ; (10 + 2 2i)h=9] x
c (1 ; 4h=3)n~
x
1

2

1

2

1

2

3

3

4

4

5

5

(9.75)

9.5 Nonstationary Processes
In classical terminology a method is said to be nonstationary if the conditioning
matrices, H and C , are varied at each time step. This does not change the steadystate solution A; ~ b , but it can greatly a ect the convergence rate. In our ODE
b f
approach this could also be considered and would lead to a study of equations with
nonconstant coe cients. It is much simpler, however, to study the case of xed
H and C but variable step size, h. This process changes the Point-Jacobi method
to Richardson's method in standard terminology. For the Gauss-Seidel and SOR
methods it leads to processes that can be superior to the stationary methods.
The nonstationary form of Eq. 9.39 is
1
9.5. NONSTATIONARY PROCESSES

183

N
~ N = c ~ Y (1 + hn ) +
x
1

1

n=1

+ cM ~ M
x

+

1

N
Y
n=1

N
Y

+ cm~ m
x

(1 +

n=1

m hn )

M hn ) + ~ 1

(1 +

(9.76)

where the symbol stands for product. Since hn can now be changed at each step,
the error term can theoretically be completely eliminated in M steps by taking hm =
;1= m , for m = 1 2 M . However, the eigenvalues m are generally unknown and
costly to compute. It is therefore unnecessary and impractical to set hm = ;1= m
for m = 1 2 : : : M . We will see that a few well chosen h's can reduce whole clusters
of eigenvectors associated with nearby 's in the m spectrum. This leads to the
concept of selectively annihilating clusters of eigenvectors from the error terms as
part of a total iteration process. This is the basis for the multigrid methods discussed
in Chapter 10.
Let us consider the very important case when all of the m are real and negative (remember that they arise from a conditioned matrix so this constraint is not
unrealistic for quite practical cases). Consider one of the error terms taken from
M
N
~ N ~ N ; ~ 1 = X cm~ m Y (1 +
e
x
m=1

n=1

m hn )

(9.77)

and write it in the form

cm~ m Pe( m ) cm~ m
x
x

N
Y
n=1

(1 +

m hn )

(9.78)

where Pe signi es an Euler polynomial. Now focus attention on the polynomial
(Pe)N ( ) = (1 + h )(1 + h )
1

2

(1 + hN )

(9.79)

treating it as a continuous function of the independent variable . In the annihilation
process mentioned after Eq. 9.76, we considered making the error exactly zero by
taking advantage of some knowledge about the discrete values of m for a particular
case. Now we pose a less demanding problem. Let us choose the hn so that the
maximum value of (Pe)N ( ) is as small as possible for all lying between a and b
such that b
a 0. Mathematically stated, we seek
max a j(Pe)N ( )j = minimum

b

with(Pe)N (0) = 1

(9.80)
CHAPTER 9. RELAXATION METHODS

184

This problem has a well known solution due to Markov. It is
2 ;

a; b
TN
a; b !
;
TN ; a; b
a
b

(Pe)N ( ) =

!

(9.81)

where

TN (y) = cos(N arccos y)

(9.82)

are the Chebyshev polynomials along the interval ;1 y 1 and

q
q
N
N
1
TN (y) = 2 y + y ; 1 + 1 y ; y ; 1
(9.83)
2
are the Chebyshev polynomials for jyj  1. In relaxation terminology this is generally
referred to as Richardson's method, and it leads to the nonstationary step size choice
given by
(

#)
1 = 1 ; ; + ( ; ) cos (2n ; 1)
n = 1 2 :::N
(9.84)
b
a
h 2 b a
2N
2

2

n

Remember that all are negative real numbers representing the magnitudes of m in
an eigenvalue spectrum.
The error in the relaxation process represented by Eq. 9.76 is expressed in terms
of a set of eigenvectors, ~ m , ampli ed by the coe cients cm Q(1 + m hn). With each
x
eigenvector there is a corresponding eigenvalue. Eq. 9.84 gives us the best choice of a
series of hn that will minimize the amplitude of the error carried in the eigenvectors
associated with the eigenvalues between b and a .
As an example for the use of Eq. 9.84, let us consider the following problem:
Minimize the maximum error associated with the eigenvalues in the
interval ;2
;1 using only 3
iterations.
The three values of h which satisfy this problem are



hn = 2= 3 ; cos (2n ; 1)
6

#!

(9.85)

(9.86)
9.5. NONSTATIONARY PROCESSES

185

and the amplitude of the eigenvector is reduced to
(Pe) ( ) = T (2 + 3)=T (3)

(9.87)

n p
p o
T (3) = 3 + 8] + 3 ; 8] =2 99

(9.88)

3

where

3

3

3

3

3

A plot of Eq. 9.87 is given in Fig. 9.6 and we see that the amplitudes of all the
eigenvectors associated with the eigenvalues in the range ;2
;1 have been
reduced to less than about 1% of their initial values. The values of h used in Fig. 9.6
are

p

h = 4=(6 ; 3)
h = 4=(6 ; p
0)
h = 4=(6 + 3)
1

2
3

Return now to Eq. 9.76. This was derived from Eq. 9.37 on the condition that the
explicit Euler method, Eq. 9.41, was used to integrate the basic ODE's. If instead
the implicit trapezoidal rule
n+1

=

n+

is used, the nonstationary formula

1 h( 0 + 0 )
n
2 n
+1

0 1
M
N 1+ h
~ N = X cm~ m Y B 2 n
B
x
@ 1
m
n
1 ; 2 hn
=1

=1

1
mC
C + ~1
A
m

(9.89)

(9.90)

would result. This calls for a study of the rational trapezoidal polynomial, Pt:
0 1 1
N B 1 + hn C
Y
(Pt )N ( ) = B 2 C
(9.91)
@ 1 A
n
1 ; 2 hn
under the same constraints as before, namely that
=1

max a j(Pt)N ( )j = minimum ,
with (Pt)N (0) = 1

b

(9.92)
CHAPTER 9. RELAXATION METHODS

186

1
0.9
0.8
0.7

(Pe )3 (λ)

0.6
0.5
0.4
0.3
0.2
0.1
0
−2

−1.8

−1.6

−1.4

−1.2

−1

−0.8

−0.6

−0.4

−0.2

0

−1

−0.8

−0.6

−0.4

−0.2

0

λ

0.02

0.015

0.01

e 3

(P ) (λ)

0.005

0

−0.005

−0.01

−0.015

−0.02
−2

−1.8

−1.6

−1.4

−1.2

λ

Figure 9.6: Richardson's method for 3 steps, minimization over ;2

;1.
9.6. PROBLEMS

187

The optimum values of h can also be found for this problem, but we settle here for
the approximation suggested by Wachspress

!

n; = N ;
2 =;
a
n=1 2
N
(9.93)
b
hn
b
This process is also applied to problem 9.85. The results for (Pt) ( ) are shown in
Fig. 9.7. The error amplitude is about 1/5 of that found for (Pe) ( ) in the same
interval of . The values of h used in Fig. 9.7 are
h = 1
p
h = 2
h = 2
(

1) (

1)

3

3

1
2

3

9.6 Problems
1. Given a relaxation method in the form
~
H ~n = A~n ; f
show that

~n = Gn ~ + (I ; Gn)A; f
~
1

0

where G = I + H ; A.
2. For a linear system of the form (A + A )x = b, consider the iterative method
1

1

2

(I + A )~ = (I ; A )xn + b
x
(I + A )xn = (I ; A )~ + b
x
where is a parameter. Show that this iterative method can be written in the
form
H (xk ; xk ) = (A + A )xk ; b
1

2

+1

2

+1

1

1

2

Determine the iteration matrix G if = ;1=2.
3. Using Appendix B.2, nd the eigenvalues of H ; A for the SOR method with
A = B (4 : 1 ;2 1) and ! = !opt. (You do not have to nd H ; . Recall that
the eigenvalues of H ; A satisfy A~ m = mH~ m .) Find the numerical values,
x
x
not just the expressions. Then nd the corresponding j m j values.
1

1

1
CHAPTER 9. RELAXATION METHODS

188

1
0.9
0.8
0.7

t 3

(P ) (λ)

0.6
0.5
0.4
0.3
0.2
0.1
0
−2

−1.8

−1.6

−1.4

−1.2

−1

λ

−0.8

−0.6

−0.4

−0.2

0

−0.8

−0.6

−0.4

−0.2

0

−3

2

x 10

1.5

1

(Pt )3 (λ)

0.5

0

−0.5

−1

−1.5

−2
−2

−1.8

−1.6

−1.4

−1.2

−1

λ

Figure 9.7: Wachspress method for 3 steps, minimization over ;2

;1.
9.6. PROBLEMS

189

4. Solve the following equation on the domain 0 x 1 with boundary conditions
u(0) = 0, u(1) = 1:

@ u ; 6x = 0
@x
For the initial condition, use u(x) = 0. Use second-order centered di erences
on a grid with 40 cells (M = 39). Iterate to steady state using
(a) the point-Jacobi method,
(b) the Gauss-Seidel method,
(c) the SOR method with the optimum value of !, and
(d) the 3-step Richardson method derived in Section 9.5.
Plot the solution after the residual is reduced by 2, 3, and 4 orders of magnitude. Plot the logarithm of the L -norm of the residual vs. the number of
iterations. Determine the asymptotic convergence rate. Compare with the theoretical asymptotic convergence rate.
2

2

2
190

CHAPTER 9. RELAXATION METHODS
Chapter 10
MULTIGRID
The idea of systematically using sets of coarser grids to accelerate the convergence of
iterative schemes that arise from the numerical solution to partial di erential equations was made popular by the work of Brandt. There are many variations of the
process and many viewpoints of the underlying theory. The viewpoint presented here
is a natural extension of the concepts discussed in Chapter 9.

10.1 Motivation
10.1.1 Eigenvector and Eigenvalue Identi cation with Space
Frequencies
Consider the eigensystem of the model matrix B (1 ;2 1). The eigenvalues and

eigenvectors are given in Sections 4.3.2 and 4.3.3, respectively. Notice that as the
magnitudes of the eigenvalues increase, the space-frequency (or wavenumber) of the
corresponding eigenvectors also increase. That is, if the eigenvalues are ordered such
that

j j j j
1

j Mj

2

(10.1)

then the corresponding eigenvectors are ordered from low to high space frequencies.
This has a rational explanation from the origin of the banded matrix. Note that
@ sin(mx) = ;m sin(mx)
(10.2)
@x
and recall that
1 B (1 ;2 1)~ = X 1 D(~ ) X ; ~
(10.3)
xx~ =
x
x
191
2

2

2

2

2

1
CHAPTER 10. MULTIGRID

192

where D(~ ) is a diagonal matrix containing the eigenvalues. We have seen that
X ; ~ represents a sine transform, and X ~ , a sine synthesis. Therefore, the operation 1 D(~ ) represents the numerical approximation of the multiplication of the
x
appropriate sine wave by the negative square of its wavenumber, ;m . One nds
that
1
M + 1 ;2 + 2 cos m
;m m  M
(10.4)
m=
M +1
x
Hence, the correlation of large magnitudes of m with high space-frequencies is to be
expected for these particular matrix operators. This is consistent with the physics of
di usion as well. However, this correlation is not necessary in general. In fact, the
complete counterexample of the above association is contained in the eigensystem
1
for B ( 2 1 1 ). For this matrix one nds, from Appendix B, exactly the opposite
2
behavior.
1

2

2

2

2

2

10.1.2 Properties of the Iterative Method
The second key motivation for multigrid is the following:
Many iterative methods reduce error components corresponding to eigenvalues
of large amplitude more e ectively than those corresponding to eigenvalues of
small amplitude.
This is to be expected of an iterative method which is time accurate. It is also
true, for example, of the Gauss-Seidel method and, by design, of the Richardson
method described in Section 9.5. The classical point-Jacobi method does not share
this property. As we saw in Section 9.4.1, this method produces the same value of j j
for min and max . However, the property can be restored by using h  1, as shown
in Fig. 9.2.
When an iterative method with this property is applied to a matrix with the
above correlation between the modulus of the eigenvalues and the space frequency of
the eigenvectors, error components corresponding to high space frequencies will be
reduced more quickly than those corresponding to low space frequencies. This is the
key concept underlying the multigrid process.

10.2 The Basic Process
First of all we assume that the di erence equations representing the basic partial
di erential equations are in a form that can be related to a matrix which has certain
10.2. THE BASIC PROCESS

193

basic properties. This form can be arrived at naturally by simply replacing the
derivatives in the PDE with di erence schemes, as in the example given by Eq. 3.27,
or it can be contrived by further conditioning, as in the examples given by Eq. 9.11.
The basic assumptions required for our description of the multigrid process are:
1. The problem is linear.
2. The eigenvalues, m , of the matrix are all real and negative.
3. The m are fairly evenly distributed between their maximum and minimum
values.
4. The eigenvectors associated with the eigenvalues having largest magnitudes can
be correlated with high frequencies on the di erencing mesh.
5. The iterative procedure used greatly reduces the amplitudes of the eigenvectors
1
associated with eigenvalues in the range between 2 j jmax and j jmax.
These conditions are su cient to ensure the validity of the process described next.
Having preconditioned (if necessary) the basic nite di erencing scheme by a procedure equivalent to the multiplication by a matrix C , we are led to the starting
formulation
C Ab ~ 1 ; ~ b ] = 0
f
(10.5)
where the matrix formed by the product CAb has the properties given above. In Eq.
10.5, the vector ~ b represents the boundary conditions and the forcing function, if
f
~ 1 is a vector representing the desired exact solution. We start with some
any, and
initial guess for ~ 1 and proceed through n iterations making use of some iterative
process that satis es property 5 above. We do not attempt to develop an optimum
procedure here, but for clarity we suppose that the three-step Richardson method
illustrated in Fig. 9.6 is used. At the end of the three steps we nd ~ , the residual,
r
where
~ = C Ab~ ; ~ b]
r
f
(10.6)
Recall that the ~ used to compute ~ is composed of the exact solution ~ 1 and the
r
~ in such a way that
error e
A~ ; ~ = 0
e r
(10.7)
where
A CAb
(10.8)
CHAPTER 10. MULTIGRID

194
If one could solve Eq. 10.7 for ~ then
e
~1 = ~ ;~
e

(10.9)

Thus our goal now is to solve for ~ . We can write the exact solution for ~ in terms of
e
e
the eigenvectors of A, and the eigenvalues of the Richardson process in the form:
M=
M
~ = X cm~ m Y ( m hn)] + X cm~ m Y ( mhn)]
e
x
x
2

3

m=1

3

n=1

n=1

m=M=2+1

|

{z

very low amplitude

(10.10)

}

Combining our basic assumptions, we can be sure that the high frequency content of
~ has been greatly reduced (about 1% or less of its original value in the initial guess).
e
In addition, assumption 4 ensures that the error has been smoothed.
Next we construct a permutation matrix which separates a vector into two parts,
one containing the odd entries, and the other the even entries of the original vector
(or any other appropriate sorting which is consistent with the interpolation approximation to be discussed below). For a 7-point example
2
6
6
6
6
6
6
6
6
6
6
6
4

e
e
e
e
e
e
e

2
4
6
1
3
5

3 2
7 6
7 6
7 6
7 6
7 6
7=6
7 6
7 6
7 6
7 6
7 6
5 4

7

0
0
0
1
0
0
0

1
0
0
0
0
0
0

0
0
0
0
1
0
0

0
1
0
0
0
0
0

0
0
0
0
0
1
0

32

0
0
1
0
0
0
0

0 76
0 76
76
0 76
76
0 76
76
76
0 76
76
0 76
54
1

e
e
e
e
e
e
e

1
2
3
4
5
6

3
7
7
7
7
7
7
7
7
7
7
7
5

~ #

ee
~
~o = P e
e

(10.11)

7

Multiply Eq. 10.7 from the left by P and, since a permutation matrix has an inverse
which is its transpose, we can write
PA P ; P ]~ = P ~
e r
(10.12)
1

The operation PAP ; partitions the A matrix to form
1

2
3
A 1 A2  ~ #  ~ #
6
7 ee = re
4
5 ~
~o
r
A 3 A4 e o

(10.13)

e r
e
A ~e + A ~o = ~e

(10.14)

Notice that
1

2
10.2. THE BASIC PROCESS

195

is an exact expression.
At this point we make our one crucial assumption. It is that there is some connection between ~ e and ~ o brought about by the smoothing property of the Richardson
e
e
relaxation procedure. Since the top half of the frequency spectrum has been removed,
it is reasonable to suppose that the odd points are the average of the even points.
For example
1 (e + e )
e
2 a
1 (e + e )
e
2
1 (e + e )
or ~ o = A0 ~ e
e
e
(10.15)
e
2
1 (e + e )
e
b
2
1

2

3

2

4

5

4

6

7

6

2

It is important to notice that ea and eb represent errors on the boundaries where the
error is zero if the boundary conditions are given. It is also important to notice that we
are dealing with the relation between ~ and ~ so the original boundary conditions and
e r
forcing function (which are contained in ~ in the basic formulation) no longer appear
f
in the problem. Hence, no aliasing of these functions can occur in subsequent steps.
Finally, notice that, in this formulation, the averaging of ~ is our only approximation,
e
no operations on ~ are required or justi ed.
r
If the boundary conditions are Dirichlet, ea and eb are zero, and one can write for
the example case
2
1 0 0
16 1 1 0
A02 = 2 6 0 1 1
6
4

0 0 1

3
7
7
7
5

With this approximation Eq. 10.14 reduces to
A ~ e + A A0 ~ e = ~ e
e
e
r
1

2

2

(10.16)

(10.17)

or

Ac~ e ; ~ e = 0
e r

(10.18)

where

Ac = A + A A0 ]
1

2

2

(10.19)
CHAPTER 10. MULTIGRID

196

The form of Ac, the matrix on the coarse mesh, is completely determined by the
choice of the permutation matrix and the interpolation approximation. If the original
A had been B (7 : 1 ;2 1), our 7-point example would produce
2
;2
6
6
6
6
6
6
;1 = 6
PAP
6 1
6
6
6 1
6
6
4

;2
1
1

1

;2
;2
1
1

1
1

;2

3
7
7
7
17 2A A 3
7
7 6 1 27
7=4
7
5
7
7
A3 A4
7
7
7
5

1
1

;2

(10.20)

;2

and Eq. 10.18 gives
z
}|
2
;2
6
;2
4

;2

A

0

A2

A1

{ z
}|
3 2
1 1
7+6 1 1
5 4

1 1

{
3
7
5

2
z }|
2
1
16 1 1
6
4
26 1 1

1

{
Ac
3 2
}|
z
;1 1=2
7 6
7 = 4 1=2 ;1 1=2
7
5

1=2 ;1

{
3
7 (10.21)
5

If the boundary conditions are mixed Dirichlet-Neumann, A in the 1-D model
equation is B (1 ~ 1) where ~ = ;2 ;2 ::: ;2 ;1]T . The eigensystem is given by
b
b
Eq. B.19. It is easy to show that the high space-frequencies still correspond to the
eigenvalues with high magnitudes, and, in fact, all of the properties given in Section
10.1 are met. However, the eigenvector structure is di erent from that given in
Eq. 9.55 for Dirichlet conditions. In the present case they are given by

!#
(2m ; 1)
xjm = sin j 2M + 1
m=1 2
M
(10.22)
and are illustrated in Fig. 10.1. All of them go through zero on the left (Dirichlet)
side, and all of them re ect on the right (Neumann) side.
For Neumann conditions, the interpolation formula in Eq. 10.15 must be changed.
In the particular case illustrated in Fig. 10.1, eb is equal to eM . If Neumann conditions
are on the left, ea = e . When eb = eM , the example in Eq. 10.16 changes to
2
1 0 03
7
16
A0 = 2 6 1 1 0 7
60 1 17
(10.23)
4
5
0 0 2
1

2
10.2. THE BASIC PROCESS

197

X

Figure 10.1: Eigenvectors for the mixed Dirichlet{Neumann case.
The permutation matrix remains the same and both A and A in the partitioned
matrix PAP ; are unchanged (only A is modi ed by putting ;1 in the lower right
element). Therefore, we can construct the coarse matrix from
1

1

;2

A

0

A2

A1

}|
z
2
;2
6
;2
4

2

4

{ 2
}|
3 z
1 1
7+6 1 1
5 4

1 1

{
3
7
5

2
z }|
2
1
61 1
16
4
26 1 1

2

{
Ac
3 2
}|
z
;1 1=2
7 6
7 = 4 1=2 ;1
7
5

{
3
1=2 7 (10.24)
5

1=2 ;1=2

which gives us what we might have expected.
We will continue with Dirichlet boundary conditions for the remainder of this
Section. At this stage, we have reduced the problem from B (1 ;2 1)~ = ~ on the
e r
1 B (1 ;2 1)~e = ~ e on the next coarser mesh. Recall that our goal is
ne mesh to 2
e r
to solve for ~ , which will provide us with the solution ~ 1 using Eq. 10.9. Given ~ e
e
e
computed on the coarse grid (possibly using even coarser grids), we can compute ~ o
e
using Eq. 10.15, and thus ~ . In order to complete the process, we must now determine
e
~ e and ~ .
the relationship between e
e
In order to examine this relationship, we need to consider the eigensystems of A
and Ac:
A = X X;
Ac = Xc cXc;
(10.25)
For A = B (M : 1 ;2 1) the eigenvalues and eigenvectors are
m
j=1 2
M (10.26)
~ m = sin j m
x
m = ;2 1 ; cos
m=1 2
M
M +1
M +1
1

1
CHAPTER 10. MULTIGRID

198

Based on our assumptions, the most di cult error mode to eliminate is that with
m = 1, corresponding to

~ = sin j
= ;2 1 ; cos M + 1
x
j=1 2
M (10.27)
M +1
For example, with M = 51, = ;0:003649. If we restrict our attention to odd M ,
then Mc = (M ; 1)=2 is the size of Ac. The eigenvalue and eigenvector corresponding
to m = 1 for the matrix Ac = 1 B (Mc 1 ;2 1) are
2
( c) = ; 1 ; cos M2+ 1 (~ c) = sin j M2+ 1 j = 1 2
x
Mc (10.28)
For M = 51 (Mc = 25), we obtain ( c) = ;0:007291 = 1:998 . As M increases,
( c) approaches 2 . In addition, one can easily see that (~ c) coincides with ~ at
x
x
every second point of the latter vector, that is, it contains the even elements of ~ .
x
Now let us consider the case in which all of the error consists of the eigenvector
component ~ , i.e., ~ = ~ . Then the residual is
x
e x
~ = A~ = ~
r x
x
(10.29)
1

1

1

1

1

1

1

1

1

1

1

1

1

1

1

1

1

and the residual on the coarse grid is
~ e = (~ c)
r
x
1

(10.30)

1

since (~ c) contains the even elements of ~ . The exact solution on the coarse grid
x
x
satis es
~ e = A; ~ e = Xc ; Xc; (~ c)
e
x
c r
c
(10.31)
2 3
1
607
6 7
= Xc ; 6 .. 7
c 6 7
4 . 5
0
(10.32)
2
3
1=( c)
6 0 7
6
7
= Xc 6 .. 7
6 . 7
4
5
0
(10.33)
1

1

1

1

1

1

1

1

1

1

1
10.2. THE BASIC PROCESS

199
=

1

( c)

1

(~ c)
x

1

1 (~ )
2 xc

1

(10.34)
(10.35)

Since our goal is to compute ~ = ~ , in addition to interpolating ~ e to the ne grid
e x
e
(using Eq. 10.15), we must multiply the result by 2. This is equivalent to solving
1

1A ~ = ~
e r
2 ce e

or

(10.36)

1 B (M : 1 ;2 1)~ = ~
ee re
(10.37)
c
4
In our case, the matrix A = B (M : 1 ;2 1) comes from a discretization of the
di usion equation, which gives

Ab = x B (M : 1 ;2 1)
and the preconditioning matrix C is simply
2

C= x I
2

(10.38)

(10.39)

Applying the discretization on the coarse grid with the same preconditioning matrix
as used on the ne grid gives, since xc = 2 x,

x
C x B (Mc : 1 ;2 1) = x B (Mc : 1 ;2 1) = 1 B (Mc : 1 ;2 1)
4
c
c
2

2

2

(10.40)

which is precisely the matrix appearing in Eq. 10.37. Thus we see that the process is
recursive. The problem to be solved on the coarse grid is the same as that solved on
the ne grid.
The remaining steps required to complete an entire multigrid process are relatively
straightforward, but they vary depending on the problem and the user. The reduction
can be, and usually is, carried to even coarser grids before returning to the nest level.
However, in each case the appropriate permutation matrix and the interpolation
approximation de ne both the down- and up-going paths. The details of nding
optimum techniques are, obviously, quite important but they are not discussed here.
CHAPTER 10. MULTIGRID

200

10.3 A Two-Grid Process

~
We now describe a two-grid process for the linear problem A ~ = f , which can be easily
generalized to a process with an arbitrary number of grids due to the recursive nature
of multigrid. Extension to nonlinear problems requires that both the solution and the
residual be transferred to the coarse grid in a process known as full approximation
storage multigrid.
1. Perform n iterations of the selected relaxation method on the ne grid, starting
with ~ = ~n. Call the result ~ . This gives
~ = Gn1 ~n + (I ; Gn1 ) A; f
~
(10.41)
1

(1)

(1)

1

1

1

1

where

G = I + H; A
(10.42)
and H is de ned as in Chapter 9 (e.g., Eq. 9.21). Next compute the residual based
on ~ :
~
~ ~
~ = A ~ ; f = AGn1 ~n + A (I ; Gn1 ) A; f ; f
r
~
= AGn1 ~n ; AGn1 A; f
(10.43)
1

1

1

1

1
(1)

(1)

(1)

1

1

1

1

1

1

2. Transfer (or restrict) ~ to the coarse grid:
r
~ =R ~
r
r
(10.44)
In our example in the preceding section, the restriction matrix is
2
3
0 1 0 0 0 0 0
R =6 0 0 0 1 0 0 0 7
(10.45)
4
5
0 0 0 0 0 1 0
that is, the rst three rows of the permutation matrix P in Eq. 10.11. This type of
restriction is known as simple injection. Some form of weighted restriction can also
be used.
(1)

(2)

2 (1)
1

2
1

3. Solve the problem A ~ = ~ on the coarse grid exactly:
e
r
~ = A; ~
e
r
2

(2)

(2)

2

(2)

1
2

2

1 (2)

(10.46)

See problem 1 of Chapter 9.
Note that the coarse grid matrix denoted A2 here was denoted Ac in the preceding section.
10.3. A TWO-GRID PROCESS

201

Here A can be formed by applying the discretization on the coarse grid. In the
1
preceding example (eq. 10.40), A = 4 B (Mc : 1 ;2 1). It is at this stage that the
generalization to a multigrid procedure with more than two grids occurs. If this is the
coarsest grid in the sequence, solve exactly. Otherwise, apply the two-grid process
recursively.
2

2

4. Transfer (or prolong) the error back to the ne grid and update the solution:

~n = ~ ; I ~
e
(1)

+1

In our example, the prolongation matrix is
2
6
6
6
6
6
1
I2 = 6
6
6
6
6
6
4

1=2
1
1=2
0
0
0
0

(10.47)

1 (2)
2

0
0
1=2
1
1=2
0
0

0
0
0
0
1=2
1
1=2

3
7
7
7
7
7
7
7
7
7
7
7
5

(10.48)

which follows from Eq. 10.15.
Combining these steps, one obtains

~n = I ; I A; R A]Gn1 ~ n ; I ; I A; R A]Gn1 A; f + A; f
~
~
1
2

+1

2

1

2
1

1
2

1

2

1

2
1

1

1

(10.49)

1

Thus the basic iteration matrix is

I ; I A; R A]Gn1
1
2

2

1

2
1

(10.50)

1

The eigenvalues of this matrix determine the convergence rate of the two-grid process.
The basic iteration matrix for a three-grid process is found from Eq. 10.50 by
replacing A; with (I ; G )A; , where
2

1

2
3

2

1

G = I ; I A; R A ]Gn2
2
3

2
3

3

1

3
2

2

(10.51)

2

In this expression n is the number of relaxation steps on grid 2, I and R are the
transfer operators between grids 2 and 3, and A is obtained by discretizing on grid
3. Extension to four or more grids proceeds in similar fashion.
2
3

2

3

3
2
202

10.4 Problems

CHAPTER 10. MULTIGRID

1. Derive Eq. 10.51.
2. Repeat problem 4 of Chapter 9 using a four-grid multigrid method together
with
(a) the Gauss-Seidel method,
(b) the 3-step Richardson method derived in Section 9.5.
Solve exactly on the coarsest grid. Plot the solution after the residual is reduced
by 2, 3, and 4 orders of magnitude. Plot the logarithm of the L -norm of the
residual vs. the number of iterations. Determine the asymptotic convergence
rate. Calculate the theoretical asymptotic convergence rate and compare.
2
Chapter 11
NUMERICAL DISSIPATION
Up to this point, we have emphasized the second-order centered-di erence approximations to the spatial derivatives in our model equations. We have seen that a centered
approximation to a rst derivative is nondissipative, i.e., the eigenvalues of the associated circulant matrix (with periodic boundary conditions) are pure imaginary.
In processes governed by nonlinear equations, such as the Euler and Navier-Stokes
equations, there can be a continual production of high-frequency components of the
solution, leading, for example, to the production of shock waves. In a real physical problem, the production of high frequencies is eventually limited by viscosity.
However, when we solve the Euler equations numerically, we have neglected viscous
e ects. Thus the numerical approximation must contain some inherent dissipation to
limit the production of high-frequency modes. Although numerical approximations
to the Navier-Stokes equations contain dissipation through the viscous terms, this
can be insu cient, especially at high Reynolds numbers, due to the limited grid resolution which is practical. Therefore, unless the relevant length scales are resolved,
some form of added numerical dissipation is required in the numerical solution of
the Navier-Stokes equations as well. Since the addition of numerical dissipation is
tantamount to intentionally introducing nonphysical behavior, it must be carefully
controlled such that the error introduced is not excessive. In this Chapter, we discuss
some di erent ways of adding numerical dissipation to the spatial derivatives in the
linear convection equation and hyperbolic systems of PDE's.
203
CHAPTER 11. NUMERICAL DISSIPATION

204

11.1 One-Sided First-Derivative Space Di erencing
We investigate the properties of one-sided spatial di erence operators in the context
of the biconvection model equation given by

@u = ;a @u
@t
@x

(11.1)

with periodic boundary conditions. Consider the following point operator for the
spatial derivative term

;a( x u)j = 2;ax ;(1 + )uj;1 + 2 uj + (1 ; )uj+1]
= ;a (;uj;1 + uj+1) + (;uj;1 + 2uj ; uj+1)]
2 x

(11.2)

The second form shown divides the operator into an antisymmetric component (;uj;1+
uj+1)=2 x and a symmetric component (;uj;1 + 2uj ; uj+1)=2 x. The antisymmetric component is the second-order centered di erence operator. With 6= 0, the
operator is only rst-order accurate. A backward di erence operator is given by = 1
and a forward di erence operator is given by = ;1.
For periodic boundary conditions the corresponding matrix operator is

;a x = 2;ax Bp(;1 ; 2 1 ; )
The eigenvalues of this matrix are
m

= ;a
x

m
1 ; cos 2M

m
+ i sin 2M

for m = 0 1 : : : M ; 1

If a is positive, the forward di erence operator ( = ;1) produces Re( m )  0,
the centered di erence operator ( = 0) produces Re( m ) = 0, and the backward
di erence operator produces Re( m)  0. Hence the forward di erence operator is
inherently unstable while the centered and backward operators are inherently stable.
If a is negative, the roles are reversed. When Re( m) = 0, the solution will either
grow or decay with time. In either case, our choice of di erencing scheme produces
nonphysical behavior. We proceed next to show why this occurs.
11.2. THE MODIFIED PARTIAL DIFFERENTIAL EQUATION

205

11.2 The Modi ed Partial Di erential Equation

First carry out a Taylor series expansion of the terms in Eq. 11.2. We are lead to the
expression

2

!

( xu)j = 2 1 x 42 x @u ;
@x j

3
!
!
!
@ 2 u + x3 @ 3 u ; x4 @ 4 u + : : :5
x2 @x2
3 @x3 j
12 @x4 j
j

We see that the antisymmetric portion of the operator introduces odd derivative
terms in the truncation error while the symmetric portion introduces even derivatives.
Substituting this into Eq. 11.1 gives

@u = ;a @u + a x @ 2 u ; a x2 @ 3 u + a x3 @ 4 u + : : :
(11.3)
@t
@x
2 @x2
6 @x3
24 @x4
This is the partial di erential equation we are really solving when we apply the
approximation given by Eq. 11.2 to Eq. 11.1. Notice that Eq. 11.3 is consistent with
Eq. 11.1, since the two equations are identical when x ! 0. However, when we use
a computer to nd a numerical solution of the problem, x can be small but it is
not zero. This means that each term in the expansion given by Eq. 11.3 is excited to
some degree. We refer to Eq. 11.3 as the modi ed partial di erential equation. We
proceed next to investigate the implications of this concept.
Consider the simple linear partial di erential equation
@u = ;a @u + @ 2 u + @ 3 u + @ 4 u
(11.4)
@t
@x @x2 @x3 @x4
Choose periodic boundary conditions and impose an initial condition u = ei x. Under
these conditions there is a wave-like solution to Eq. 11.4 of the form
u(x t) = ei xe(r+is)t
provided r and s satisfy the condition
r + is = ;ia ; 2 ; i 3 + 4
or
r = ; 2 ( ; 2 ) s = ; (a + 2 )
The solution is composed of both amplitude and phase terms. Thus
a
)
u = e; 2 ({z; 2} ei x;({z+ 2 )t}]
(11.5)
|
|
amplitude phase
206

CHAPTER 11. NUMERICAL DISSIPATION

It is important to notice that the amplitude of the solution depends only upon and
, the coe cients of the even derivatives in Eq. 11.4, and the phase depends only on
a and , the coe cients of the odd derivatives.
If the wave speed a is positive, the choice of a backward di erence scheme ( = 1)
produces a modi ed PDE with ; 2  0 and hence the amplitude of the solution
decays. This is tantamount to deliberately adding dissipation to the PDE. Under the
same condition, the choice of a forward di erence scheme ( = ;1) is equivalent to
deliberately adding a destabilizing term to the PDE.
By examining the term governing the phase of the solution in Eq. 11.5, we see
that the speed of propagation is a + 2 . Referring to the modi ed PDE, Eq. 11.3
we have = ;a x2 =6. Therefore, the phase speed of the numerical solution is less
than the actual phase speed. Furthermore, the numerical phase speed is dependent
upon the wavenumber . This we refer to as dispersion.
Our purpose here is to investigate the properties of one-sided spatial di erencing
operators relative to centered di erence operators. We have seen that the threepoint centered di erence approximation of the spatial derivative produces a modi ed
PDE that has no dissipation (or ampli cation). One can easily show, by using the
antisymmetry of the matrix di erence operators, that the same is true for any centered di erence approximation of a rst derivative. As a corollary, any departure
from antisymmetry in the matrix di erence operator must introduce dissipation (or
ampli cation) into the modi ed PDE.
Note that the use of one-sided di erencing schemes is not the only way to introduce dissipation. Any symmetric component in the spatial operator introduces
dissipation (or ampli cation). Therefore, one could choose = 1=2 in Eq. 11.2. The
resulting spatial operator is not one-sided but it is dissipative. Biased schemes use
more information on one side of the node than the other. For example, a third-order
backward-biased scheme is given by
( xu)j = 6 1 x (uj;2 ; 6uj;1 + 3uj + 2uj+1)
= 1 (uj;2 ; 8uj;1 + 8uj+1 ; uj+2)
12 x
+ (uj;2 ; 4uj;1 + 6uj ; 4uj+1 + uj+2)]

(11.6)

The antisymmetric component of this operator is the fourth-order centered di erence
operator. The symmetric component approximates x3 uxxxx=12. Therefore, this
operator produces fourth-order accuracy in phase with a third-order dissipative term.
11.3. THE LAX-WENDROFF METHOD

207

11.3 The Lax-Wendro Method

In order to introduce numerical dissipation using one-sided di erencing, backward
di erencing must be used if the wave speed is positive, and forward di erencing must
be used if the wave speed is negative. Next we consider a method which introduces
dissipation independent of the sign of the wave speed, known as the Lax-Wendro
method. This explicit method di ers conceptually from the methods considered previously in which spatial di erencing and time-marching are treated separately.
Consider the following Taylor-series expansion in time:
2
u(x t + h) = u + h @u + 1 h2 @ u + O(h3)
@t 2 @t2

(11.7)

First replace the time derivatives with space derivatives according to the PDE (in
this case, the linear convection equation @u + a @u = 0). Thus
@t
@x

@ 2 u = a2 @ 2 u
@u = ;a @u
(11.8)
@t
@x
@t2
@x2
Now replace the space derivatives with three-point centered di erence operators, giving
!2
(n+1) = u(n) ; 1 ah (u(n) ; u(n) ) + 1 ah (u(n) ; 2u(n) + u(n) )
(11.9)
uj
j
j +1
j
j ;1
2 x j+1 j;1 2 x
This is the Lax-Wendro method applied to the linear convection equation. It is a
fully-discrete nite-di erence scheme. There is no intermediate semi-discrete stage.
For periodic boundary conditions, the corresponding fully-discrete matrix operator
is
0 2
!3
! 2
! 31
1 4 ah + ah 25 1 ; ah 2 1 4; ah + ah 2 5A ~
~ n+1 = Bp @ 2 x
u
un
x
x 2
x
x
The eigenvalues of this matrix are

!
ah 2 1 ; cos 2 m ; i ah sin 2 m
m =1;
x
M
x
M

for m = 0 1 : : : M ; 1

For j ah j 1 all of the eigenvalues have modulus less than or equal to unity and hence
x
the method is stable independent of the sign of a. The quantity j ah j is known as the
x
Courant (or CFL) number. It is equal to the ratio of the distance travelled by a wave
in one time step to the mesh spacing.
208

CHAPTER 11. NUMERICAL DISSIPATION

The nature of the dissipative properties of the Lax-Wendro scheme can be seen
by examining the modi ed partial di erential equation, which is given by
@u + a @u = ; a ( x2 ; a2h2 ) @ 3 u ; a2 h ( x2 ; a2 h2) @ 4 u + : : :
@t @x
6
@x3 8
@x4
This is derived by substituting Taylor series expansions for all terms in Eq. 11.9 and
converting the time derivatives to space derivatives using Eq. 11.8. The two leading
error terms appear on the right side of the equation. Recall that the odd derivatives on
the right side lead to unwanted dispersion and the even derivatives lead to dissipation
(or ampli cation, depending on the sign). Therefore, the leading error term in the
Lax-Wendro method is dispersive and proportional to
a ( x2 ; a2h2 ) @ 3 u = ; a x2 (1 ; C 2 ) @ 3 u
;6
n @x3
@x3
6
The dissipative term is proportional to
2
4
2
2
4
2 @
; a8h ( x2 ; a2h2 ) @ u = ; a h8 x (1 ; Cn) @xu
4
@x4
This term has the appropriate sign and hence the scheme is truly dissipative as long
as Cn 1.
A closely related method is that of MacCormack. Recall MacCormack's timemarching method, presented in Chapter 6:

un+1 = un + hu0n
~
1
~
~
(11.10)
un+1 = 2 un + un+1 + hu0n+1]
If we use rst-order backward di erencing in the rst stage and rst-order forward
di erencing in the second stage,1 a dissipative second-order method is obtained. For
the linear convection equation, this approach leads to
u(jn+1) = u(jn) ; ah (u(jn) ; u(jn)1)
~
;
x
u(jn+1) = 1 u(jn) + u(jn+1) ; ah (~(jn+1) ; u(jn+1))]
~
(11.11)
2
x u +1 ~
which can be shown to be identical to the Lax-Wendro method. Hence MacCormack's method has the same dissipative and dispersive properties as the Lax-Wendro
method. The two methods di er when applied to nonlinear hyperbolic systems, however.
1 Or vice-versa for nonlinear problems, these should be applied alternately.
11.4. UPWIND SCHEMES

11.4 Upwind Schemes

209

In Section 11.1, we saw that numerical dissipation can be introduced in the spatial
di erence operator using one-sided di erence schemes or, more generally, by adding
a symmetric component to the spatial operator. With this approach, the direction
of the one-sided operator (i.e., whether it is a forward or a backward di erence)
or the sign of the symmetric component depends on the sign of the wave speed.
When a hyperbolic system of equations is being solved, the wave speeds can be both
positive and negative. For example, the eigenvalues of the ux Jacobian for the onedimensional Euler equations are u u + a u ; a. When the ow is subsonic, these are
of mixed sign. In order to apply one-sided di erencing schemes to such systems, some
form of splitting is required. This is avoided in the Lax-Wendro scheme. However,
as a result of their superior exibility, schemes in which the numerical dissipation
is introduced in the spatial operator are generally preferred over the Lax-Wendro
approach.
Consider again the linear convection equation:
@u + a @u = 0
(11.12)
@t @x
where we do not make any assumptions as to the sign of a. We can rewrite Eq. 11.12
as
@u + (a+ + a; ) @u = 0
a = a 2 jaj
@t
@x
+ = a 0 and a; = 0. Alternatively, if a 0, then a+ = 0 and
If a 0, then a
a; = a 0. Now for the a+ ( 0) term we can safely backward di erence and for the
a; ( 0) term forward di erence. This is the basic concept behind upwind methods,
that is, some decomposition or splitting of the uxes into terms which have positive
and negative characteristic speeds so that appropriate di erencing schemes can be
chosen. In the next two sections, we present two splitting techniques commonly used
with upwind methods. These are by no means unique.
The above approach to obtaining a stable discretization independent of the sign
of a can be written in a di erent, but entirely equivalent, manner. From Eq. 11.2, we
see that a stable discretization is obtained with = 1 if a 0 and with = ;1 if
a 0. This is achieved by the following point operator:
;a( xu)j = 2;1x a(;uj;1 + uj+1) + jaj(;uj;1 + 2uj ; uj+1)]
(11.13)
This approach is extended to systems of equations in Section 11.5.
In this section, we present the basic ideas of ux-vector and ux-di erence splitting.
For more subtle aspects of implementation and application of such techniques to
CHAPTER 11. NUMERICAL DISSIPATION

210

nonlinear hyperbolic systems such as the Euler equations, the reader is referred to
the literature on this subject.

11.4.1 Flux-Vector Splitting
Recall from Section 2.5 that a linear, constant-coe cient, hyperbolic system of partial
di erential equations given by

@u + @f = @u + A @u = 0
(11.14)
@t @x @t
@x
can be decoupled into characteristic equations of the form
@wi + @wi = 0
(11.15)
i
@t
@x
where the wave speeds, i, are the eigenvalues of the Jacobian matrix, A, and the
wi's are the characteristic variables. In order to apply a one-sided (or biased) spatial
di erencing scheme, we need to apply a backward di erence if the wave speed, i, is
positive, and a forward di erence if the wave speed is negative. To accomplish this,
let us split the matrix of eigenvalues, , into two components such that
= ++ ;

(11.16)

where

+j j
; = ;j j
(11.17)
2
2
With these de nitions, + contains the positive eigenvalues and ; contains the negative eigenvalues. We can now rewrite the system in terms of characteristic variables
as
@w + @w = @w + + @w + ; @w = 0
(11.18)
@t
@x @t
@x
@x
The spatial terms have been split into two components according to the sign of the
wave speeds. We can use backward di erencing for the + @w term and forward
@x
di erencing for the ; @w term. Premultiplying by X and inserting the product
@x
X ;1X in the spatial terms gives
+=

@Xw + @X +X ;1Xw + @X ;X ;1Xw = 0
@t
@x
@x

(11.19)
11.4. UPWIND SCHEMES

211

With the de nitions2

A+ = X +X ;1

A; = X ;X ;1

(11.20)

and recalling that u = Xw, we obtain

@u + @A+u + @A; u = 0
@t
@x
@x
Finally the split ux vectors are de ned as
f + = A+u

(11.21)

f ; = A; u

(11.22)

and we can write

@u + @f + + @f ; = 0
(11.23)
@t @x @x
In the linear case, the de nition of the split uxes follows directly from the de nition of the ux, f = Au. For the Euler equations, f is also equal to Au as a result of
their homogeneous property, as discussed in Appendix C. Note that
f = f+ + f;

(11.24)

Thus by applying backward di erences to the f + term and forward di erences to the
f ; term, we are in e ect solving the characteristic equations in the desired manner.
This approach is known as ux-vector splitting.
When an implicit time-marching method is used, the Jacobians of the split ux
vectors are required. In the nonlinear case,

@f + 6= A+
@f ; 6= A;
@u
@u
Therefore, one must nd and use the new Jacobians given by
+

A++ = @f
@u

;

A;; = @f
@u

(11.25)

(11.26)

For the Euler equations, A++ has eigenvalues which are all positive, and A;; has all
negative eigenvalues.
2 With these de nitions A+ has all positive eigenvalues, and A; has all negative eigenvalues.
212

CHAPTER 11. NUMERICAL DISSIPATION

11.4.2 Flux-Di erence Splitting
Another approach, more suited to nite-volume methods, is known as ux-di erence
splitting. In a nite-volume method, the uxes must be evaluated at cell boundaries. We again begin with the diagonalized form of the linear, constant-coe cient,
hyperbolic system of equations
@w + @w = 0
(11.27)
@t
@x
The ux vector associated with this form is g = w. Now, as in Chapter 5, we
consider the numerical ux at the interface between nodes j and j + 1, gj+1=2, as a
^
function of the states to the left and right of the interface, wL and wR, respectively.
The centered approximation to gj+1=2, which is nondissipative, is given by
1
gj+1=2 = 2 (g(wL) + g(wR))
^
(11.28)
In order to obtain a one-sided upwind approximation, we require
(
(w )
(^i)j+1=2 = i(wi)L if i  0
g
(11.29)
i i R if i  0
where the subscript i indicates individual components of w and g. This is achieved
with
1
1
(^i)j+1=2 = 2 i (wi)L + (wi)R ] + 2 j ij (wi)L ; (wi)R]
g
(11.30)
or
1
gj+1=2 = 1 (wL + wR) + 2 j j (wL ; wR )
^
(11.31)
2
Now, as in Eq. 11.19, we premultiply by X to return to the original variables and
insert the product X ;1X after and j j to obtain
1
1
X gj+1=2 = 2 X X ;1X (wL + wR) + 2 X j jX ;1X (wL ; wR )
^
(11.32)
and thus
1
f^j+1=2 = 1 (fL + fR ) + 2 jAj (uL ; uR)
(11.33)
2
where

jAj = X j jX ;1

(11.34)
11.5. ARTIFICIAL DISSIPATION

213

and we have also used the relations f = Xg, u = Xw, and A = X X ;1.
In the linear, constant-coe cient case, this leads to an upwind operator which is
identical to that obtained using ux-vector splitting. However, in the nonlinear case,
there is some ambiguity regarding the de nition of jAj at the cell interface j + 1=2.
In order to resolve this, consider a situation in which the eigenvalues of A are all of
the same sign. In this case, we would like our de nition of f^j+1=2 to satisfy

(

0
f
f^j+1=2 = fL if all i 0s  0
(11.35)
R if all i s  0
giving pure upwinding. If the eigenvalues of A are all positive, jAj = A if they are
all negative, jAj = ;A. Hence satisfaction of Eq. 11.35 is obtained by the de nition
1
f^j+1=2 = 2 (fL + fR ) + 1 jAj+1=2j (uL ; uR)
(11.36)
2
if Aj+1=2 satis es
fL ; fR = Aj+1=2 (uL ; uR)
(11.37)
For the Euler equations for a perfect gas, Eq. 11.37 is satis ed by the ux Jacobian
evaluated at the Roe-average state given by
p LuL + p R uR
(11.38)
uj+1=2 = p + p
L
R
p H +p H
L L
Hj+1=2 =
(11.39)
p L+p R R
R
where u and H = (e + p)= are the velocity and the total enthalpy per unit mass,
respectively.3

11.5 Arti cial Dissipation
We have seen that numerical dissipation can be introduced by using one-sided differencing schemes together with some form of ux splitting. We have also seen that
such dissipation can be introduced by adding a symmetric component to an antisymmetric (dissipation-free) operator. Thus we can generalize the concept of upwinding
to include any scheme in which the symmetric portion of the operator is treated in
such a manner as to be truly dissipative.
3 Note that the ux Jacobian can be written in terms of u and H only see problem 6 at the end

of this chapter.
CHAPTER 11. NUMERICAL DISSIPATION

214
For example, let

s
a
( xu)j = ;uj+1 + 2uj ; uj;1
(11.40)
( x u)j = uj+1 ; uj;1
2 x
2 x
a
s
Applying x = x + x to the spatial derivative in Eq. 11.15 is stable if i 0 and
a
s
unstable if i  0. Similarly, applying x = x ; x is stable if i 0 and unstable if
i  0. The appropriate implementation is thus
a
s
(11.41)
i x = i x + j ij x
Extension to a hyperbolic system by applying the above approach to the characteristic
variables, as in the previous two sections, gives
a
s
(11.42)
x (Au) = x (Au) + x (jAju)
or
a
s
(11.43)
x f = x f + x (jAju)
where jAj is de ned in Eq. 11.34. The second spatial term is known as arti cial
dissipation. It is also sometimes referred to as arti cial di usion or arti cial viscosity.
a
s
With appropriate choices of x and x, this approach can be related to the upwind
approach. This is particularly evident from a comparison of Eqs. 11.36 and 11.43.
s
It is common to use the following operator for x

(11.44)
x (uj;2 ; 4uj;1 + 6uj ; 4uj+1 + uj+2)
where is a problem-dependent coe cient. This symmetric operator approximates
x3 uxxxx and thus introduces a third-order dissipative term. With an appropriate
value of , this often provides su cient damping of high frequency modes without
greatly a ecting the low frequency modes. For details of how this can be implemented
for nonlinear hyperbolic systems, the reader should consult the literature. A more
complicated treatment of the numerical dissipation is also required near shock waves
and other discontinuities, but is beyond the scope of this book.
s
( xu)j =

11.6 Problems
1. A second-order backward di erence approximation to a 1st derivative is given
as a point operator by
( xu)j = 1 (uj;2 ; 4uj;1 + 3uj )
2 x
11.6. PROBLEMS

215

(a) Express this operator in banded matrix form (for periodic boundary conditions), then derive the symmetric and skew-symmetric matrices that have
the matrix operator as their sum. (See Appendix A.3 to see how to construct the symmetric and skew-symmetric components of a matrix.)
(b) Using a Taylor table, nd the derivative which is approximated by the
corresponding symmetric and skew-symmetric operators and the leading
error term for each.
2. Find the modi ed wavenumber for the rst-order backward di erence operator.
Plot the real and imaginary parts of
x vs. x for 0
x . Using
Fourier analysis as in Section 6.6.2, nd j j for the combination of this spatial
operator with 4th-order Runge-Kutta time marching at a Courant number of
unity and plot vs. x for 0
x .
3. Find the modi ed wavenumber for the operator given in Eq. 11.6. Plot the real
and imaginary parts of
x vs. x for 0
x . Using Fourier analysis
as in Section 6.6.2, nd j j for the combination of this spatial operator with
4th-order Runge-Kutta time marching at a Courant number of unity and plot
vs. x for 0
x .
4. Consider the spatial operator obtained by combining second-order centered differences with the symmetric operator given in Eq. 11.44. Find the modi ed
wavenumber for this operator with = 0 1=12 1=24, and 1=48. Plot the real
and imaginary parts of
x vs. x for 0
x . Using Fourier analysis
as in Section 6.6.2, nd j j for the combination of this spatial operator with
4th-order Runge-Kutta time marching at a Courant number of unity and plot
vs. x for 0
x .
5. Consider the hyperbolic system derived in problem 8 of Chapter 2. Find the
matrix jAj. Form the plus-minus split ux vectors as in Section 11.4.1.
6. Show that the ux Jacobian for the 1-D Euler equations can be written in terms
of u and H . Show that the use of the Roe average state given in Eqs. 11.38 and
11.39 leads to satisfaction of Eq. 11.37.
216

CHAPTER 11. NUMERICAL DISSIPATION
Chapter 12
SPLIT AND FACTORED FORMS
In the next two chapters, we present and analyze split and factored algorithms. This
gives the reader a feel for some of the modi cations which can be made to the basic
algorithms in order to obtain e cient solvers for practical multidimensional applications, and a means for analyzing such modi ed forms.

12.1 The Concept
Factored forms of numerical operators are used extensively in constructing and applying numerical methods to problems in uid mechanics. They are the basis for a
wide variety of methods variously known by the labels hybrid, time split, and
fractional step. Factored forms are especially useful for the derivation of practical
algorithms that use implicit methods. When we approach numerical analysis in the
light of matrix derivative operators, the concept of factoring is quite simple to present
and grasp. Let us start with the following observations:
1. Matrices can be split in quite arbitrary ways.
2. Advancing to the next time level always requires some reference to a previous
one.
3. Time marching methods are valid only to some order of accuracy in the step
size, h.
Now recall the generic ODE's produced by the semi-discrete approach

d~ = A~ ; ~
u u f
dt
217

(12.1)
CHAPTER 12. SPLIT AND FACTORED FORMS

218

and consider the above observations. From observation 1 (arbitrary splitting of A) :

d~ = A + A ]~ ; ~
u
u f
dt
1

(12.2)

2

where A = A + A ] but A and A are not unique. For the time march let us choose
the simple, rst-order, explicit Euler method. Then, from observation 2 (new data
~ n in terms of old ~ n):
u
u
1

2

1

1

2

+1

~ n = I + hA + hA ]~ n ; h~ + O(h )
u
u
f
+1

1

(12.3)

2

2

or its equivalent

~ n = h I + hA ] I + hA ] ; h A A i~ n ; h~ + O(h )
u
u
f
+1

1

2

2

1

2

2

Finally, from observation 3 (allowing us to drop higher order terms ;h A A ~ n):
u
2

1

2

~ n = I + hA ] I + hA ]~ n ; h~ + O(h )
u
u
f

(12.4)
Notice that Eqs. 12.3 and 12.4 have the same formal order of accuracy and, in
this sense, neither one is to be preferred over the other. However, their numerical
stability can be quite di erent, and techniques to carry out their numerical evaluation
can have arithmetic operation counts that vary by orders of magnitude. Both of these
considerations are investigated later. Here we seek only to apply to some simple cases
the concept of factoring.
+1

1

2

2

12.2 Factoring Physical Representations | Time
Splitting
Suppose we have a PDE that represents both the processes of convection and dissipation. The semi-discrete approach to its solution might be put in the form

d~ = A ~ + A ~ + (bc)
u
~
cu
du
dt

(12.5)

where Ac and Ad are matrices representing the convection and dissipation terms,
respectively and their sum forms the A matrix we have considered in the previous
sections. Choose again the explicit Euler time march so that

~
~ n = I + hAd + hAc]~ n + h(bc) + O(h )
u
u
+1

1 Second-order time-marching methods are considered later.

2

(12.6)
12.2. FACTORING PHYSICAL REPRESENTATIONS | TIME SPLITTING 219
Now consider the factored form

~n
u

+1

=
=

~
I + hAd ] I + hAc]~ n + h(bc)
u
~
u ~
I + hAd + hAc]~ n + h(bc) + h Ad Ac~ n + (bc) +O(h ) (12.7)
u
{z
}
|
2

2

|

{z

}

Original Unfactored Terms Higher Order Terms
and we see that Eq. 12.7 and the original unfactored form Eq. 12.6 have identical
orders of accuracy in the time approximation. Therefore, on this basis, their selection
is arbitrary. In practical applications equations such as 12.7 are often applied in a
predictor-corrector sequence. In this case one could write
2

un
~
~n
u

+1
+1

~
I + hAc]~ n + h(bc)
u
I + hAd]~n
u

=
=

(12.8)

+1

Factoring can also be useful to form split combinations of implicit and explicit
techniques. For example, another way to approximate Eq. 12.6 with the same order
of accuracy is given by the expression

~n
u

+1

=
=

~
I ; hAd]; I + hAc]~ n + h(bc)
u
~
I + hAd + hAc]~ n + h(bc) +O(h )
u
|
{z
}
1

2

Original Unfactored Terms
where in this approximation we have used the fact that

(12.9)

I ; hAd ]; = I + hAd + h Ad +
1

2

2

if h jjAdjj  1, where jjAd jj is some norm of Ad ]. This time a predictor-corrector
interpretation leads to the sequence

un
~
I ; hAd]~ n
u

+1
+1

~
= I + hAc]~ n + h(bc)
u
= un
~
+1

(12.10)

The convection operator is applied explicitly, as before, but the di usion operator is
now implicit, requiring a tridiagonal solver if the di usion term is central di erenced.
Since numerical sti ness is generally much more severe for the di usion process, this
factored form would appear to be superior to that provided by Eq. 12.8. However,
the important aspect of stability has yet to be discussed.
2 We do not suggest that this particular method is suitable for use. We have yet to determine its

stability, and a rst-order time-march method is usually unsatisfactory.
CHAPTER 12. SPLIT AND FACTORED FORMS

220

We should mention here that Eq. 12.9 can be derived for a di erent point of view
by writing Eq. 12.6 in the form

un ; un = A u + A u + (bc) + O(h )
~
c n
d n
h
+1

Then

2

+1

~
I ; hAd ]un = I + hAc]un + h(bc)

which is identical to Eq. 12.10.

+1

12.3 Factoring Space Matrix Operators in 2{D

12.3.1 Mesh Indexing Convention

Factoring is widely used in codes designed for the numerical solution of equations
governing unsteady two- and three-dimensional ows. Let us study the basic concept
of factoring by inspecting its use on the linear 2-D scalar PDE that models di usion:

@u = @ u + @ u
@t @x @y
2

2

2

(12.11)

2

We begin by reducing this PDE to a coupled set of ODE's by di erencing the space
derivatives and inspecting the resulting matrix operator.
A clear description of a matrix nite-di erence operator in 2- and 3-D requires some
reference to a mesh. We choose the 3 4 point mesh shown in the Sketch 12.12.
In this example Mx , the number of (interior) x points, is 4 and My , the number of
(interior) y points is 3. The numbers 11 12
43 represent the location in the
mesh of the dependent variable bearing that index. Thus u represents the value of
u at j = 3 and k = 2.
3

32

My
k
1

13 23 33 43
12 22 32 42
11 21 31 41
1

j

(12.12)

Mx

Mesh indexing in 2-D.
3 This could also be called a 5

6 point mesh if the boundary points (labeled in the sketch)
were included, but in these notes we describe the size of a mesh by the number of interior points.
12.3. FACTORING SPACE MATRIX OPERATORS IN 2{D

221

12.3.2 Data Bases and Space Vectors

The dimensioned array in a computer code that allots the storage locations of the
dependent variable(s) is referred to as a data-base. There are many ways to lay out
a data-base. Of these, we consider only two: (1), consecutively along rows that are
themselves consecutive from k = 1 to My , and (2), consecutively along columns that
are consecutive from j = 1 to Mx. We refer to each row or column group as a
space vector (they represent data along lines that are continuous in space) and label
their sum with the symbol U . In particular, (1) and (2) above are referred to as xvectors and y-vectors, respectively. The symbol U by itself is not enough to identify
the structure of the data-base and is used only when the structure is immaterial or
understood.
To be speci c about the structure, we label a data{base composed of x-vectors with
U x , and one composed of y-vectors with U y . Examples of the order of indexing
for these space vectors are given in Eq. 12.16 part a and b.
( )

( )

12.3.3 Data Base Permutations

The two vectors (arrays) are related by a permutation matrix P such that

U x = Pxy U y
( )

( )

U y = PyxU x

and

( )

where

(12.13)

( )

Pyx = PT = P;
xy
xy
Now consider the structure of a matrix nite-di erence operator representing 3point central-di erencing schemes for both space derivatives in two dimensions. When
the matrix is multiplying a space vector U , the usual (but ambiguous) representation
is given by Ax y . In this notation the ODE form of Eq. 12.11 can be written
1

4

+

dU = A U + (bc)
~
x y
dt

(12.14)

+

If it is important to be speci c about the data-base structure, we use the notation
Axx y or Axy y , depending on the data{base chosen for the U it multiplies. Examples
are in Eq. 12.16 part a and b. Notice that the matrices are not the same although
they represent the same derivative operation. Their structures are similar, however,
and they are related by the same permutation matrix that relates U x to U y . Thus
( )
+

( )
+

( )

Axx y = Pxy Axy y Pyx
( )
+

4 Notice that

( )
+

( )

(12.15)

Ax+y and U , which are notations used in the special case of space vectors, are
subsets of A and ~ , used in the previous sections.
u
CHAPTER 12. SPLIT AND FACTORED FORMS

222
2
6x
6
6
6
6
6
6
6
6
6
6o
6
6
(x)
(x)
Ax+y U = 6
6
6
6
6
6
6
6
6
6
6
6
6
6
4

j o
x
j
o
x
x j
o
x
j
o

x

j
j
j
j

j
x
j o
o
j x
x
j
o
o
j
x
x j
o
o j
x
j
j o
j
o
j
o
j
o

j
x
j x
x
j
x
j
x

3
7
7
7
7
7
7
7
7
7
7
7
7
7
7
7
7
7
o7
7
7
7
7
7
7
7
7
5
x7

a:Elements in 2-dimensional, central-di erence, matrix
operator, Ax y , for 3 4 mesh shown in Sketch 12.12.
Data base composed of My x{vectors stored in U x .
Entries for x ! x, for y ! o, for both ! .
+

2
6o
6
6
6
6
6
6
6x
6
6
6
6
6
6
(y )
(y )
Ax+y U = 6
6
6
6
6
6
6
6
6
6
6
6
6
6
6
4

;;
12
22
32
42

;;
13
23
33
43

( )

j x
j
o j
x
j
o
j
x j
o

j
j
j

j
o
j x
j
x
j o
o j
x
j
x j
o
j
x j
j x
j
o
j x
j
x
j o
o j
x
j
x j
o
j
j
j
j

j x
j
o
j
x
j o
j
x j
o

3
7
7
7
7
7
7
7
7
7
7
7
7
7
7
7
7
7
7
7
7
7
7
x7
7
7
7
7
7
7
o5

b: Elements in 2-dimensional, central-di erence, matrix
operator, Ax y , for 3 4 mesh shown in Sketch 12.12.
Data base composed of Mx y{vectors stored in U y .
Entries for x ! x, for y ! o, for both ! .
+

11
21
31
41

( )

11
12
13

;;
21
22
23

;;
31
32
33

;;
41
42
43

(12.16)
12.3. FACTORING SPACE MATRIX OPERATORS IN 2{D

223

12.3.4 Space Splitting and Factoring
We are now prepared to discuss splitting in two dimensions. It should be clear that
the matrix Axx y can be split into two matrices such that
( )
+

Axx y = Axx + Ayx
( )
+

( )

(12.17)

( )

where Axx and Ayx are shown in Eq. 12.22. Similarily
( )

( )

Axy y = Axy + Ayy
( )
+

( )

(12.18)

( )

where the split matrices are shown in Eq. 12.23.
The permutation relation also holds for the split matrices so

Ayx = Pxy Ayy Pyx
( )

and

( )

Axx = Pxy Axy Pyx
( )

( )

The splittings in Eqs. 12.17 and 12.18 can be combined with factoring in the
manner described in Section 12.2. As an example ( rst-order in time), applying the
implicit Euler method to Eq. 12.14 gives
h
i
~
Unx = Unx + h Axx + Ayx Unx + h(bc)
( )
+1

( )

( )

( )

( )
+1

or
h

i
~
I ; hAxx ; hAyx Unx = Unx + h(bc) + O(h )
( )

( )
+1

( )

( )

2

(12.19)

As in Section 12.2, we retain the same rst order accuracy with the alternative
h

ih
i
~
I ; hAxx I ; hAyx Unx = Unx + h(bc) + O(h )
( )

( )
+1

( )

( )

2

(12.20)

Write this in predictor-corrector form and permute the data base of the second row.
There results
h

i

~
~
I ; hAxx U x = Unx + h(bc)
h
i y
~
I ; hAyy Un = U y
( )

( )

( )

( )

( )
+1

( )

(12.21)
CHAPTER 12. SPLIT AND FACTORED FORMS

224

Axx

( )

2
x
6x
6
6
6
6
6
6
6
6
6
6
6
6
(x)
U =6
6
6
6
6
6
6
6
6
6
6
6
6
6
4

j
j
j
j

j
j
j
j

j x x
j x x x
j
x x x
j
x x

x
x x
x x x
x x

j
j
j
j

j
j
j
j
2
o
j o
6
o
j
o
6
6
6
o
j
o
6
6
o j
o
6
6

Ayx

( )

6
6
6o
6
6
U (x) = 6
6
6
6
6
6
6
6
6
6
6
6
6
6
4

j o
o
j
o
o
j
o
o j
o
j o
j
o
j
o
j
o
The splitting of Axx y .
( )
+

3
7
7
7
7
7
7
7
7
7
7
7
7
7
7
7
7
7
7
7
7
7
7
7
7
7
7
5
x7

Ux

( )

j x x
j x x x
j
x x
j
x x
3
j
7
j
7
7
7
j
7
7
j
7
7

(12.22)

7

7
7
j o
7
7
j
o
7 Ux
7
j
o 7
7
j
o7
7
7

( )

7

7
7
j o
7
7
j
o
7
5
j
o 7
j
o
12.3. FACTORING SPACE MATRIX OPERATORS IN 2{D

Axy

( )

2
x
6
6
6
6
6
6
6
6x
6
6
6
6
6
6
U (y) = 6
6
6
6
6
6
6
6
6
6
6
6
6
6
6
4

j x
j
x
j
x
j
x j
x j

j x
j x
j
x
j
x
j
x
j
x j
x j
x j
j x
j x
j x
j
x
j
x
j
x
j
x j
x j

j
j
j
2
o o
j
6o o o j
6
6
o o j
6
6

Ayy

( )

6
6
6
6
6
6
6
6
6
(y )
U =6
6
6
6
6
6
6
6
6
6
6
6
6
6
6
4

j
j
j

225

3
7
7
7
7
7
7
7
7
7
7
7
7
7
7
7
7
7
7
7
7
7
7
x7
7
7
7
7
7
7
5

Uy

( )

j x
j x
j
x
j
x
j
x j
x
3
j
j
7
j
j
7
7
j
j
7
7

j o o
j
j o o o j
j
o o j

j
j
j

j
j
j

j o o
j
j o o o j
j
o o j

j
j
j

j
j
j

7
7
7
7
7
7
7
7
7
7
7
7
7
7
7
7
7
7
7
7
7
7
7
7
o5

j o o
j o o
j
o o

The splitting of Axy y .
( )
+

(12.23)

Uy

( )
CHAPTER 12. SPLIT AND FACTORED FORMS

226

12.4 Second-Order Factored Implicit Methods

Second-order accuracy in time can be maintained in a certain factored implicit methods. For example, apply the trapezoidal method to Eq. 12.14 where the derivative
operators have been split as in Eq. 12.17 or 12.18. Let the data base be immaterial
~
and the (bc) be time invariant. There results
1
1
~
I ; 2 hAx ; 1 hAy Un = I + 2 hAx + 1 hAy Un + h(bc) + O(h ) (12.24)
2
2
Factor both sides giving
1
I ; 1 hAx I ; 2 hAy ; 1 h AxAy Un
2
4
1 hA I + 1 hA ; 1 h A A U + h(bc) + O(h ) (12.25)
~
= I+
2 x
2 y 4 x y n
Then notice that the combination 1 h AxAy ](Un ; Un) is proportional to h since
4
the leading term in the expansion of (Un ; Un) is proportional to h. Therefore, we
can write
1
~
I ; 1 hAx I ; 1 hAy Un = I + 2 hAx I + 1 hAy Un + h(bc) + O(h )(12.26)
2
2
2
and both the factored and unfactored form of the trapezoidal method are second-order
accurate in the time march.
An alternative form of this kind of factorization is the classical ADI (alternating
direction implicit) method usually written
1
1
~
I ; 2 hAx U = I + 2 hAy Un + 1 hFn
2
1 hA U + 1 hF + O(h )
1 hA U
(12.27)
I;2 y n = I+2 x ~ 2 n
3

+1

2

+1

2

2

3

3

+1

+1

3

+1

5

+1

+1

3

For idealized commuting systems the methods given by Eqs. 12.26 and 12.27 di er
only in their evaluation of a time-dependent forcing term.

12.5 Importance of Factored Forms in 2 and 3 Dimensions
When the time-march equations are sti and implicit methods are required to permit
reasonably large time steps, the use of factored forms becomes a very valuable tool
5 A form of the Douglas or Peaceman-Rachford methods.
12.5. IMPORTANCE OF FACTORED FORMS IN 2 AND 3 DIMENSIONS 227
for realistic problems. Consider, for example, the problem of computing the time
advance in the unfactored form of the trapezoidal method given by Eq. 12.24
1
~
I ; 2 hAx y Un = I + 1 hAx y Un + h(bc)
2
Forming the right hand side poses no problem, but nding Un requires the solution
of a sparse, but very large, set of coupled simultaneous equations having the matrix
form shown in Eq. 12.16 part a and b. Furthermore, in real cases involving the Euler
or Navier-Stokes equations, each symbol (o x ) represents a 4 4 block matrix with
entries that depend on the pressure, density and velocity eld. Suppose we were to
solve the equations directly. The forward sweep of a simple Gaussian elimination lls
all of the 4 4 blocks between the main and outermost diagonal (e.g. between
and o in Eq. 12.16 part b.). This must be stored in computer memory to be used to
nd the nal solution in the backward sweep. If Ne represents the order of the small
block matrix (4 in the 2-D Euler case), the approximate memory requirement is
(Ne My ) (Ne My ) Mx
oating point words. Here it is assumed that My  Mx. If My  Mx, My and Mx
would be interchanged. A moderate mesh of 60 200 points would require over 11
million words to nd the solution. Actually current computer power is able to cope
rather easily with storage requirements of this order of magnitude. With computing
speeds of over one giga op, direct solvers may become useful for nding steady-state
solutions of practical problems in two dimensions. However, a three-dimensional
solver would require a memory of approximatly
+

+1

+

+1

6

7

8

Ne My Mz Mx
2

2

2

words and, for well resolved ow elds, this probably exceeds memory availability for
some time to come.
On the other hand, consider computing a solution using the factored implicit equation 12.25. Again computing the right hand side poses no problem. Accumulate the
result of such a computation in the array (RHS ). One can then write the remaining
terms in the two-step predictor-corrector form
1
~
I ; 2 hAxx U x = (RHS ) x
~
I ; 1 hAyy Uny = U y
(12.28)
2
( )

( )

( )

( )
+1

( )

( )

6 For matrices as small as those shown there are many gaps in this  ll, but for meshes of

practical size the ll is mostly dense.
7 The lower band is also computed but does not have to be saved unless the solution is to be
repeated for another vector.
8 One billion oating-point operations per second.
CHAPTER 12. SPLIT AND FACTORED FORMS

228

which has the same appearance as Eq. 12.21 but is second-order time accurate. The
rst step would be solved using My uncoupled block tridiagonal solvers . Inspecting
the top of Eq. 12.22, we see that this is equivalent to solving My one-dimensional
~
problems, each with Mx blocks of order Ne . The temporary solution U x would then
y and an inspection of the bottom of Eq. 12.23 shows that the nal
~
be permuted to U
step consists of solving Mx one-dimensional implicit problems each with dimension
My .
9

( )

( )

12.6 The Delta Form
Clearly many ways can be devised to split the matrices and generate factored forms.
One way that is especially useful, for ensuring a correct steady-state solution in a
converged time-march, is referred to as the delta form and we develop it next.
Consider the unfactored form of the trapezoidal method given by Eq. 12.24, and
~
let the (bc) be time invariant:
1
1
1
~
I ; 2 hAx ; 2 hAy Un = I + 2 hAx + 1 hAy Un + h(bc) + O(h )
2
From both sides subtract
1
I ; 2 hAx ; 1 hAy Un
2
leaving the equality unchanged. Then, using the standard de nition of the di erence
operator ,
Un = Un ; Un
one nds
h
1
1
~ i
I ; 2 hAx ; 2 hAy Un = h Ax y Un + (bc) + O(h )
(12.29)
Notice that the right side of this equation is the product of h and a term that is
identical to the right side of Eq. 12.14, our original ODE. Thus, if Eq. 12.29 converges,
it is guaranteed to converge to the correct steady-state solution of the ODE. Now we
can factor Eq. 12.29 and maintain O(h ) accuracy. We arrive at the expression
h
1
~ i
(12.30)
I ; 2 hAx I ; 1 hAy Un = h Ax y Un + (bc) + O(h )
2
This is the delta form of a factored, 2nd-order, 2-D equation.
3

+1

+1

3

+

2

+

3

9 A block tridiagonal solver is similar to a scalar solver except that small block matrix operations

replace the scalar ones, and matrix multiplications do not commute.
12.7. PROBLEMS

229

The point at which the factoring is made may not a ect the order of time-accuracy,
but it can have a profound e ect on the stability and convergence properties of a
method. For example, the unfactored form of a rst-order method derived from the
implicit Euler time march is given by Eq. 12.19, and if it is immediately factored,
the factored form is presented in Eq. 12.20. On the other hand, the delta form of the
unfactored Eq. 12.19 is
h
~ i
I ; hAx ; hAy ] Un = h Ax y Un + (bc)
+

and its factored form becomes

10

h
~ i
I ; hAx] I ; hAy ] Un = h Ax y Un + (bc)
+

(12.31)

In spite of the similarities in derivation, we will see in the next chapter that the
convergence properties of Eq. 12.20 and Eq. 12.31 are vastly di erent.

12.7 Problems
1. Consider the 1-D heat equation:

@u = @ u
@t @x
2

0 x 9

2

Let u(0 t) = 0 and u(9 t) = 0, so that we can simplify the boundary conditions.
Assume that second order central di erencing is used, i.e.,
( u) = 1 (u ; 2u + u )
xx

x

j

2

j ;1

j

j +1

The uniform grid has x = 1 and 8 interior points.
(a) Space vector de nition
i. What is the space vector for the natural ordering (monotonically increasing in index), u ? Only include the interior points.
ii. If we reorder the points with the odd points rst and then the even
points, write the space vector, u ?
iii. Write down the permutation matrices,(P ,P ).
(1)

(2)

12

21

10 Notice that the only di erence between the O(h2 ) method given by Eq. 12.30 and the O(h)
method given by Eq. 12.31 is the appearance of the factor 1 on the left side of the O(h2 ) method.

2
CHAPTER 12. SPLIT AND FACTORED FORMS

230

iv. The generic ODE representing the discrete form of the heat equation
is

du = A u + f
dt
Write down the matrix A . (Note f = 0, due to the boundary conditions) Next nd the matrix A such that
du = A u
dt
Note that A can be written as
2
3
D UT 7
A =6
4
5
U
D
De ne D and U .
(1)

(1)

1

1

2

(2)

2

(2)

2

2

v. Applying implicit Euler time marching, write the delta form of the
implicit algorithm. Comment on the form of the resulting implicit
matrix operator.
(b) System de nition
In problem 1a, we de ned u u A A P , and P which partition
the odd points from the even points. We can put such a partitioning to
use. First de ne extraction operators
21 0 0 0
0 0 0 03
60 1 0 0
0 0 0 07
7
6
60 0 1 0
3
0 0 0 0 7 2I
7
6
7
6
0
7 6
60 0 0 1
0 0 0 07=4
7
Io =60 0 0 0
5
6
0 0 0 07 0
7
6
0
6
7
60 0 0 0
0 0 0 07
7
6
40 0 0 0
0 0 0 05
0 0 0 0
0 0 0 0
20 0 0 0
0 0 0 03
60 0 0 0
0 0 0 07
7
6
60 0 0 0
3
0 0 0 0 7 20
7
6
7
6
0
7 6
60 0 0 0
0 0 0 07=4
7
Ie =60 0 0 0
5
6
1 0 0 07 0
7
6
I
7
6
60 0 0 0
0 1 0 07
7
6
40 0 0 0
0 0 1 05
0 0 0 0
0 0 0 1
(1)

(2)

1

2

12

21

( )

4

4

4

( )

4

4

4

4

4
12.7. PROBLEMS

231

which extract the odd even points from u as follows: u o = I o u and
ue =Ieu .
i. Beginning with the ODE written in terms of u , de ne a splitting
A = Ao + Ae, such that Ao operates only on the odd terms, and Ae
operates only on the even terms. Write out the matrices Ao and Ae.
Also, write them in terms of D and U de ned above.
ii. Apply implicit Euler time marching to the split ODE. Write down the
delta form of the algorithm and the factored delta form. Comment on
the order of the error terms.
iii. Examine the implicit operators for the factored delta form. Comment
on their form. You should be able to argue that these are now trangular matrices (a lower and an upper). Comment on the solution process
this gives us relative to the direct inversion of the original system.
(2)

( )

( )

( )

(2)

(2)

2

( )

(2)
232

CHAPTER 12. SPLIT AND FACTORED FORMS
Chapter 13
LINEAR ANALYSIS OF SPLIT
AND FACTORED FORMS
In Section 4.4 we introduced the concept of the representative equation, and used
it in Chapter 7 to study the stability, accuracy, and convergence properties of timemarching schemes. The question is: Can we nd a similar equation that will allow
us to evaluate the stability and convergence properties of split and factored schemes?
The answer is yes | for certain forms of linear model equations.
The analysis in this chapter is useful for estimating the stability and steady-state
properties of a wide variety of time-marching schemes that are variously referred
to as time-split, fractional-step, hybrid, and (approximately) factored. When these
methods are applied to practical problems, the results found from this analysis are
neither necessary nor su cient to guarantee stability. However, if the results indicate
that a method has an instability, the method is probably not suitable for practical
use.

13.1 The Representative Equation for Circulant
Operators
Consider linear PDE's with coe cients that are xed in both space and time and with
boundary conditions that are periodic. We have seen that under these conditions
a semi-discrete approach can lead to circulant matrix di erence operators, and we
discussed circulant eigensystems1 in Section 4.3. In this and the following section
we assume circulant systems and our analysis depends critically on the fact that all
circulant matrices commute and have a common set of eigenvectors.
1

See also the discussion on Fourier stability analysis in Section 7.7.

233
234 CHAPTER 13. LINEAR ANALYSIS OF SPLIT AND FACTORED FORMS
Suppose, as a result of space di erencing the PDE, we arrive at a set of ODE's
that can be written
d~ = A ~ + A ~ ; ~ (t)
u
(13.1)
apu
b pu f
dt
where the subscript p denotes a circulant matrix. Since both matrices have the same
set of eigenvectors, we can use the arguments made in Section 4.2.3 to uncouple the
set and form the M set of independent equations
0
w1 = ( a + b)1 w1 ; g1 (t)
...
0
wm = ( a + b)m wm ; gm(t)
...
0
wM = ( a + b)M wM ; gM (t)

(13.2)

The analytic solution of the m'th line is

wm(t) = cm e( a+ b)mt + P:S:
Note that each a pairs with one, and only one2 ,
eigenvector. This suggests (see Section 4.4:

b

since they must share a common

The representative equation for split, circulant systems is
du = + + + ]u + ae t
a
b
c
dt
where a + b + c + are the sum of the eigenvalues in Aa Ab Ac
share the same eigenvector.

(13.3)
that

13.2 Example Analysis of Circulant Systems
13.2.1 Stability Comparisons of Time-Split Methods
Consider as an example the linear convection-di usion equation:
@u + a @u = @ 2 u
@t @x @x2
2

(13.4)

This is to be contrasted to the developments found later in the analysis of 2-D equations.
13.2. EXAMPLE ANALYSIS OF CIRCULANT SYSTEMS

235

If the space di erencing takes the form
d~ = ; a B (;1 0 1)~ +
u
u
B (1 ;2 1)~
u
(13.5)
dt
2 x p
x2 p
the convection matrix operator and the di usion matrix operator, can be represented
by the eigenvalues c and d, respectively, where (see Section 4.3.2):
( c)m = ia sin m
x
m
(13.6)
( d)m = ; 4 2 sin2 2
x
In these equations m = 2m =M , m = 0 1
M ; 1 , so that 0 m 2 .
Using these values and the representative equation 13.4, we can analyze the stability
of the two forms of simple time-splitting discussed in Section 12.2. In this section we
refer to these as
1. the explicit-implicit Euler method, Eq. 12.10.
2. the explicit-explicit Euler method, Eq. 12.8.

1. The Explicit-Implicit Method

When applied to Eq. 13.4, the characteristic polynomial of this method is
P (E ) = (1 ; h d )E ; (1 + h c)
This leads to the principal root
1 + i ah sin m
x
=
h sin2 m
1+4 2
2
x
where we have made use of Eq. 13.6 to quantify the eigenvalues. Now introduce the
dimensionless numbers
Cn = ah
Courant number
x
mesh Reynolds number
R = a x
and we can write for the absolute value of
q
2
1 + Cn sin2 m
j j=
C
m
1 + 4 R n sin2 2

0

m

2

(13.7)
236 CHAPTER 13. LINEAR ANALYSIS OF SPLIT AND FACTORED FORMS
1.2

1.2
C = 2/ R ∆
n

C = R /2
n
∆

0.8
C

C

n

0.4

0

C = 2/ R
n
∆

0.8
n

0.4

0

4
R∆
Explicit-Implicit

8

0

0

4
R∆
Explicit-Explicit

8

_
Figure 13.1: Stability regions for two simple time-split methods.
A simple numerical parametric study of Eq. 13.7 shows that the critical range of
m for any combination of Cn and R occurs when m is near 0 (or 2 ). From this
we nd that the condition on Cn and R that make j j 1 is
2
h
i
C
2
1 + Cn sin2 = 1 + 4 R n sin2 2
As ! 0 this gives the stability region
2
Cn  R
which is bounded by a hyperbola and shown in Fig. 13.1.

2. The Explicit-Explicit Method
An analysis similar to the one given above shows that this method produces

#
q
2 m 1 ; 4 Cn sin2 m
2
j j = 1 + Cn sin
0 m 2
R
2
Again a simple numerical parametric study shows that this has two critical ranges
of m , one near 0, which yields the same result as in the previous example, and the
13.2. EXAMPLE ANALYSIS OF CIRCULANT SYSTEMS

237

other near 180o, which produces the constraint that
1
Cn  2 R
for R 2
The resulting stability boundary is also shown in Fig. 13.1. The totaly explicit,
factored method has a much smaller region of stability when R is small, as we
should have expected.

13.2.2 Analysis of a Second-Order Time-Split Method

Next let us analyze a more practical method that has been used in serious computational analysis of turbulent ows. This method applies to a ow in which there is
a combination of di usion and periodic convection. The convection term is treated
explicitly using the second-order Adams-Bashforth method. The di usion term is
integrated implicitly using the trapezoidal method. Our model equation is again the
linear convection-di usion equation 13.4 which we split in the fashion of Eq. 13.5. In
order to evaluate the accuracy, as well as the stability, we include the forcing function in the representative equation and study the e ect of our hybrid, time-marching
method on the equation
u0 = cu + du + ae t
First let us nd expressions for the two polynomials, P (E ) and Q(E ). The characteristic polynomial follows from the application of the method to the homogeneous
equation, thus
1
1
un+1 = un + 2 h c(3un ; un;1) + 2 h d (un+1 + un)
This produces
3
P (E ) = (1 ; 1 h d)E 2 ; (1 + 2 h c + 1 h d)E + 1 h c
2
2
2
The form of the particular polynomial depends upon whether the forcing function is
carried by the AB2 method or by the trapezoidal method. In the former case it is
1
Q(E ) = 2 h(3E ; 1)
(13.8)
and in the latter
(13.9)
Q(E ) = 1 h(E 2 + E )
2
238 CHAPTER 13. LINEAR ANALYSIS OF SPLIT AND FACTORED FORMS

Accuracy
From the characteristic polynomial we see that there are two {roots and they are
given by the equation
3
1 + 2h c + 1h
2
=

s

d

1
1 + 3h c + 2h
2
2 1 ; 1h d
2

d

2

1
; 2h c 1 ; 2 h

d

(13.10)

The principal -root follows from the plus sign and one can show
1
1
1 = 1 + ( c + d )h + 2 ( c + d )2 h2 + 4 3 + c 2 ; 2 d ; 3 h3
d
d
c
c
1
1
From this equation it is clear that 6 3 = 6 ( c + d)3 does not match the coe cient
of h3 in 1 , so
er = O(h3)
Using P (e h) and Q(e h ) to evaluate er in Section 6.6.3, one can show
er = O(h3)
using either Eq. 13.8 or Eq. 13.9. These results show that, for the model equation,
the hybrid method retains the second-order accuracy of its individual components.

Stability

The stability of the method can be found from Eq. 13.10 by a parametric study of cn
and R de ned in Eq. 13.7. This was carried out in a manner similar to that used
to nd the stability boundary of the rst-order explicit-implicit method in Section
13.2.1. The results are plotted in Fig. 13.2. For values of R
2 this second-order
method has a much greater region of stability than the rst-order explicit-implicit
method given by Eq. 12.10 and shown in Fig. 13.1.

13.3 The Representative Equation for Space-Split
Operators
Consider the 2-D model3 equations
@u = @ 2 u + @ 2 u
@t @x2 @y2
3

The extension of the following to 3-D is simple and straightforward.

(13.11)
13.3. THE REPRESENTATIVE EQUATION FOR SPACE-SPLIT OPERATORS239
1.2

0.8

Cn
Stable

0.4

0

8

4

R

∆

_
Figure 13.2: Stability regions for the second-order time-split method.
and

@u + a @u + a @u = 0
(13.12)
@t x @x y @y
Reduce either of these, by means of spatial di erencing approximations, to the coupled
set of ODE's:
dU = A + A ]U + (bc)
~
(13.13)
x
y
dt
for the space vector U . The form of the Ax and Ay matrices for three-point central
di erencing schemes are shown in Eqs. 12.22 and 12.23 for the 3 4 mesh shown
in Sketch 12.12. Let us inspect the structure of these matrices closely to see how we
can diagonalize Ax + Ay ] in terms of the individual eigenvalues of the two matrices
considered separately.
First we write these matrices in the form
2
3
2 ~
3
B
b0 I ~1 I
b
A(xx) = 6 B 7 A(yx) = 6 ~;1 I ~0 I ~1 I 7
b
b 5
4
5
4b
~;1 I ~0 I
B
b
b
where B is a banded matrix of the form B (b;1 b0 b1 ). Now nd the block eigenvector
240 CHAPTER 13. LINEAR ANALYSIS OF SPLIT AND FACTORED FORMS
matrix that diagonalizes B and use it to diagonalize A(xx). Thus
2 ;1
32
32
3 2
X
B
X
6
76
7=6
X ;1
B 76 X
4
54
54
5 4
;1
X
B
X
where
2
3
6
=6
6
4

1

2

3

3
7
5

7
7
7
5

4
(x) is transparent to this transformation. That is, if we
Notice that the matrix Ay

set X

diag(X )

2 ~
b0
X ;1 6 ~;1
4b

3
2 ~
3
~1 I
b
b0 I ~1 I
b
~0 I ~1 I 7 X = 6 ~;1 I ~0 I ~1 I 7
b
b 5
b
b 5
4b
~;1 I ~0 I
~;1 I ~0 I
b
b
b
b
One now permutes the transformed system to the y-vector data-base using the permutation matrix de ned by Eq. 12.13. There results
h
i
Pyx X ;1 A(xx) + A(yx) X Pxy =
3
2
3 2 ~
B
1 I
7
6
7 6
~
7
B
6
7+6
2 I
6
7
6
7 6
(13.14)
~
4
5 4
B 7
3 I
5
~
B
4 I
~
where B is the banded tridiagonal matrix B (~;1 ~0 ~1), see the bottom of Eq. 12.23.
b b b
~ that diagonalize the B blocks. Let B diag(B ) and
~
~
~
Next nd the eigenvectors X
~ diag(X ) and form the second transformation
~
X
2~
3
2~
3
1
6
7
7
~2
~ ~~ 6 ~ ~ 7
~=6
X ;1B X = 6
7
4
5
4
5
~3
~
This time, by the same argument as before, the rst matrix on the right side of
Eq. 13.14 is transparent to the transformation, so the nal result is the complete
diagonalization of the matrix Ax+y :
h
ih
ih
i
~
~
X ;1 Pyx X ;1 A(xx+)y X Pxy X =
2
3
1I + ~
6
7
6
7
2I + ~
6
7
(13.15)
6
7
4
5
3I + ~
4I + ~

I
I
13.3. THE REPRESENTATIVE EQUATION FOR SPACE-SPLIT OPERATORS241
It is important to notice that:
The diagonal matrix on the right side of Eq. 13.15 contains every possible com~
bination of the individual eigenvalues of B and B .
Now we are ready to present the representative equation for two dimensional systems. First reduce the PDE to ODE by some choice4 of space di erencing. This
results in a spatially split A matrix formed from the subsets

A(xx) = diag(B )

~
A(yy) = diag(B )

(13.16)

~
where B and B are any two matrices that have linearly independent eigenvectors (this
puts some constraints on the choice of di erencing schemes).
Although Ax and Ay do commute, this fact, by itself, does not ensure the property of all possible combinations. To obtain the latter property the structure of
~
the matrices is important. The block matrices B and B can be either circulant or
noncirculant in both cases we are led to the nal result:
The 2{D representative equation for model linear systems is
du = + ]u + ae t
x
y
dt
where x and y are any combination of eigenvalues from Ax and Ay , a and are
(possibly complex) constants, and where Ax and Ay satisfy the conditions in 13.16.
Often we are interested in nding the value of, and the convergence rate to, the
steady-state solution of the representative equation. In that case we set = 0 and
use the simpler form
du = + ]u + a
(13.17)
x
y
dt
which has the exact solution
a
u(t) = ce( x+ y )t ; +
(13.18)
x
y
We have used 3-point central di erencing in our example, but this choice was for convenience
only, and its use is not necessary to arrive at Eq. 13.15.
4
242 CHAPTER 13. LINEAR ANALYSIS OF SPLIT AND FACTORED FORMS

13.4 Example Analysis of 2-D Model Equations

In the following we analyze four di erent methods for nding a xed, steady-state
solution to the 2-D representative equation 13.16. In each case we examine
1. The stability.
2. The accuracy of the xed, steady-state solution.
3. The convergence rate to reach the steady-state.

13.4.1 The Unfactored Implicit Euler Method
Consider rst this unfactored, rst-order scheme which can then be used as a reference
case for comparison with the various factored ones. The form of the method is given
by Eq. 12.19, and when it is applied to the representative equation, we nd
(1 ; h

x ; h y )un+1

= un + ha

from which

P (E ) = (1 ; h x ; h y )E ; 1
Q(E ) = h
giving the solution



1

#n

un = c 1 ; h ; h
;
x
y
Like its counterpart in the 1-D case, this method:

a
x+

(13.19)

y

1. Is unconditionally stable.
2. Produces the exact (see Eq. 13.18) steady-state solution (of the ODE) for any
h.
3. Converges very rapidly to the steady-state when h is large.
Unfortunately, however, use of this method for 2-D problems is generally impractical
for reasons discussed in Section 12.5.
13.4. EXAMPLE ANALYSIS OF 2-D MODEL EQUATIONS

243

13.4.2 The Factored Nondelta Form of the Implicit Euler
Method

Now apply the factored Euler method given by Eq. 12.20 to the 2-D representative
equation. There results
(1 ; h x)(1 ; h y )un+1 = un + ha
from which
P (E ) = (1 ; h x)(1 ; h y )E ; 1
Q(E ) = h
(13.20)
giving the solution

#n
1
un = c (1 ; h )(1 ; h ) ; + a h
x
y
x
y; x y
We see that this method:
1. Is unconditionally stable.
2. Produces a steady state solution that depends on the choice of h.
3. Converges rapidly to a steady-state for large h, but the converged solution is
completely wrong.
The method requires far less storage then the unfactored form. However, it is not
very useful since its transient solution is only rst-order accurate and, if one tries to
take advantage of its rapid convergence rate, the converged value is meaningless.

13.4.3 The Factored Delta Form of the Implicit Euler Method

Next apply Eq. 12.31 to the 2-D representative equation. One nds
(1 ; h x)(1 ; h y )(un+1 ; un) = h( xun + y un + a)
which reduces to
(1 ; h x)(1 ; h y )un+1 = 1 + h2 x y un + ha
and this has the solution

#n
1 + h2 x y
a
un = c (1 ; h )(1 ; h ) ; +
x
y
x
y
This method:
244 CHAPTER 13. LINEAR ANALYSIS OF SPLIT AND FACTORED FORMS
1. Is unconditionally stable.
2. Produces the exact steady-state solution for any choice of h.
3. Converges very slowly to the steady{state solution for large values of h, since
j j ! 1 as h ! 1.
Like the factored nondelta form, this method demands far less storage than the unfactored form, as discussed in Section 12.5. The correct steady solution is obtained,
but convergence is not nearly as rapid as that of the unfactored form.

13.4.4 The Factored Delta Form of the Trapezoidal Method

Finally consider the delta form of a second-order time-accurate method. Apply Eq.
12.30 to the representative equation and one nds
1
1 ; 2 h x 1 ; 1 h y (un+1 ; un) = h( xun + y un + a)
2
which reduces to
1 ; 1 h x 1 ; 1 h y un+1 = 1 + 1 h x 1 + 1 h y un + ha
2
2
2
2
and this has the solution
2
3n
1 + 1h x 1 + 1h y 7
6
a
2
2
7 ;
un = c6
4
5
1
x+ y
1 ; 1h x 1 ; 2h y
2
This method:
1. Is unconditionally stable.
2. Produces the exact steady{state solution for any choice of h.
3. Converges very slowly to the steady{state solution for large values of h, since
j j ! 1 as h ! 1.
All of these properties are identical to those found for the factored delta form of the
implicit Euler method. Since it is second order in time, it can be used when time
accuracy is desired, and the factored delta form of the implicit Euler method can be
used when a converged steady-state is all that is required.5 A brief inspection of eqs.
12.26 and 12.27 should be enough to convince the reader that the 's produced by
those methods are identical to the produced by this method.
In practical codes, the value of h on the left side of the implicit equation is literally switched
from h to 1 h.
2
5
13.5. EXAMPLE ANALYSIS OF THE 3-D MODEL EQUATION

245

13.5 Example Analysis of the 3-D Model Equation

The arguments in Section 13.3 generalize to three dimensions and, under the conditions given in 13.16 with an A(zz) included, the model 3-D cases6 have the following
representative equation (with = 0):
du = + + ]u + a
(13.21)
x
y
z
dt
Let us analyze a 2nd-order accurate, factored, delta form using this equation. First
apply the trapezoidal method:
un+1 = un + 1 h ( x + y + z )un+1 + ( x + y + z )un + 2a]
2
Rearrange terms:
1
1
1 ; 2 h( x + y + z ) un+1 = 1 + 2 h( x + y + z ) un + ha
Put this in delta form:
1 ; 1 h( x + y + z ) un = h ( x + y + z )un + a]
2
Now factor the left side:
1
1 ; 2 h x 1 ; 1 h y 1 ; 1 h z un = h ( x + y + z )un + a] (13.22)
2
2
This preserves second order accuracy since the error terms
1 h2(
1 h3
x y + x z + y z ) un and
4
8 x y z
are both O(h3). One can derive the characteristic polynomial for Eq. 13.22, nd the
root, and write the solution either in the form
2
3n
1 h( + + ) + 1 h2 (
1 h3
+
+
);
x
y
z
61 +
4 x y x z y z 8 x y z7
7
un = c6 2
4
5
1 h( + + ) + 1 h2(
1 h3
1 ; 2 x y z 4 x y + x z + y z) ; 8 x y z

; +a+
x
y
6

z

Eqs. 13.11 and 13.12, each with an additional term.

(13.23)
246 CHAPTER 13. LINEAR ANALYSIS OF SPLIT AND FACTORED FORMS
or in the form
2
6
un = c6
4

1
1
1 + 1 h x 1 + 2 h y 1 + 1 h z ; 4 h3
2
2
1h
1h
1 ; 2 x 1 ; 2 y 1 ; 1h z
2

3n
x y z7
7 ;
5

a

(13.24)

x+ y+ z

It is interesting to notice that a Taylor series expansion of Eq. 13.24 results in
1
= 1 + h( x + y + z ) + 2 h2( x + y + z )2
(13.25)
h
i
+ 1 h3 3 + (2 y + 2 x) + 2 2 + 3 x y + 2 2 + 3 + 2 x 2 + 2 2 y + 3 +
y
y
y
y
x
x
4 z
which veri es the second order accuracy of the factored form. Furthermore, clearly,
if the method converges, it converges to the proper steady-state.7
With regards to stability, it follows from Eq. 13.23 that, if all the 's are real and
negative, the method is stable for all h. This makes the method unconditionally stable
for the 3-D di usion model when it is centrally di erenced in space.
Now consider what happens when we apply this method to the biconvection model,
the 3-D form of Eq. 13.12 with periodic boundary conditions. In this case, central
di erencing causes all of the 's to be imaginary with spectrums that include both
positive and negative values. Remember that in our analysis we must consider every
possible combination of these eigenvalues. First write the root in Eq. 13.23 in the
form
1+
= 1;i ; +i
i ; +i

where , and are real numbers that can have any sign. Now we can always nd
one combination of the 's for which , and are both positive. In that case since
the absolute value of the product is the product of the absolute values

j

2
2
2 = (1 ; ) + ( + )
j (1 ; )2 + ( ; )2

1

and the method is unconditionally unstable for the model convection problem.
From the above analysis one would come to the conclusion that the method represented by Eq. 13.22 should not be used for the 3-D Euler equations. In practical
cases, however, some form of dissipation is almost always added to methods that are
used to solve the Euler equations and our experience to date is that, in the presence
of this dissipation, the instability disclosed above is too weak to cause trouble.
7

However, we already knew this because we chose the delta form.
13.6. PROBLEMS

13.6 Problems

247

1. Starting with the generic ODE,
du = Au + f
dt
we can split A as follows: A = A1 + A2 + A3 + A4. Applying implicit Euler time
marching gives
un+1 ; un = A u + A u + A u + A u + f
1 n+1
2 n+1
3 n+1
4 n+1
h
(a) Write the factored delta form. What is the error term?
(b) Instead of making all of the split terms implicit, leave two explicit:
un+1 ; un = A u + A u + A u + A u + f
1 n+1
2 n
3 n+1
4 n
h
Write the resulting factored delta form and de ne the error terms.
(c) The scalar representative equation is
du = ( + + + )u + a
1
2
3
4
dt
For the fully implicit scheme of problem 1a, nd the exact solution to the
resulting scalar di erence equation and comment on the stability, convergence, and accuracy of the converged steady-state solution.
(d) Repeat 1c for the explicit-implicit scheme of problem 1b.
248 CHAPTER 13. LINEAR ANALYSIS OF SPLIT AND FACTORED FORMS
Appendix A
USEFUL RELATIONS AND
DEFINITIONS FROM LINEAR
ALGEBRA
A basic understanding of the fundamentals of linear algebra is crucial to our development of numerical methods and it is assumed that the reader is at least familar with
this subject area. Given below is some notation and some of the important relations
between matrices and vectors.

A.1 Notation
1. In the present context a vector is a vertical column or string. Thus
2 v1 3
6 7
~ = 6 v..2 7
v 6 7
4 . 5
vm
and its transpose ~ is the horizontal row
vT
~ T = v1 v2 v3 : : : vm]
~ = v1 v2 v3 : : : vm ]T
v
v
2. A general m m matrix A can be written
2 a11 a12
a1m 3
6a a
a 7
A = (aij ) = 6 21 22 . . . 2m 7
7
6
5
4
am1 am2
amm
249
250APPENDIX A. USEFUL RELATIONS AND DEFINITIONS FROM LINEAR ALGEBRA
3. An alternative notation for A is
h
i
A = ~1 ~2 : : : ~m
a a
a
and its transpose AT is
2 ~T 3
a
6 ~1 7
6 aT 7
AT = 6 .2 7
6 7
6 .. 7
4 T5
~m
a

4. The inverse of a matrix (if it exists) is written A;1 and has the property that
A;1A = AA;1 = I , where I is the identity matrix.

A.2 De nitions
1. A is symmetric if AT = A.
2. A is skew-symmetric or antisymmetric if AT = ;A.
3. A is diagonally dominant if aii Pj6=i jaij j i = 1 2 : : : m and aii  Pj6=i jaij j
for at least one i.
4. A is orthogonal if aij are real and AT A = AAT = I
5. A is the complex conjugate of A.
6. P is a permutation matrix if P ~ is a simple reordering of ~ .
v
v
7. The trace of a matrix is Pi aii.
8. A is normal if AT A = AAT .
9. det A] is the determinant of A.
10. AH is the conjugate transpose of A, (Hermitian).
11. If
b
A= a d
c
then
det A] = ad ; bc
and
d
A;1 = det1 A] ;c ;b
a
A.3. ALGEBRA

251

A.3 Algebra
We consider only square matrices of the same dimension.
1. A and B are equal if aij = bij for all i j = 1 2 : : : m.
2. A + (B + C ) = (C + A) + B , etc.
3. sA = (saij ) where s is a scalar.
4. In general AB 6= BA.
5. Transpose equalities:
(A + B )T = AT + B T
(AT )T = A
(AB )T = B T AT
6. Inverse equalities (if the inverse exists):
(A;1);1 = A
(AB );1 = B ;1 A;1
(AT );1 = (A;1 )T

7. Any matrix A can be expressed as the sum of a symmetric and a skew-symmetric
matrix. Thus:
1
A = 2 A + AT + 1 A ; AT
2

A.4 Eigensystems
1. The eigenvalue problem for a matrix A is de ned as
A~ = ~ or A ; I ]~ = 0
x x
x
and the generalized eigenvalue problem, including the matrix B , as
A~ = B~ or A ; B ]~ = 0
x
x
x
2. If a square matrix with real elements is symmetric, its eigenvalues are all real.
If it is asymmetric, they are all imaginary.
252APPENDIX A. USEFUL RELATIONS AND DEFINITIONS FROM LINEAR ALGEBRA
3. Gershgorin's theorem: The eigenvalues of a matrix lie in the complex plane in
the union of circles having centers located by the diagonals with radii equal to
the sum of the absolute values of the corresponding o -diagonal row elements.
4. In general, an m m matrix A has n~ linearly independent eigenvectors with
x
n~ m and n distinct eigenvalues ( i) with n n~ m.
x
x
5. A set of eigenvectors is said to be linearly independent if
a ~ m + b ~ n 6= ~ k
x
x x
m 6= n 6= k
for any complex a and b and for all combinations of vectors in the set.
6. If A posseses m linearly independent eigenvectors then A is diagonalizable, i.e.,

X ;1AX =
where X is a matrix whose columns are the eigenvectors,
h
i
X = ~1 ~2 : : : ~m
x x
x
and is the diagonal matrix

2
0
03
1
6
. . . .. 7
6
7
= 6 0 . .2 . . . 7
6 ... . . 0 7
4
5

0
0 m
If A can be diagonalized, its eigenvectors completely span the space, and A is
said to have a complete eigensystem.
7. If A has m distinct eigenvalues, then A is always diagonalizable, and with
each distinct eigenvalue there is one associated eigenvector, and this eigenvector
cannot be formed from a linear combination of any of the other eigenvectors.
8. In general, the eigenvalues of a matrix may not be distinct, in which case the
possibility exists that it cannot be diagonalized. If the eigenvalues of a matrix
are not distinct, but all of the eigenvectors are linearly independent, the matrix
is said to be derogatory, but it can still be diagonalized.
9. If a matrix does not have a complete set of linearly independent eigenvectors,
it cannot be diagonalized. The eigenvectors of such a matrix cannot span the
space and the matrix is said to have a defective eigensystem.
A.4. EIGENSYSTEMS

253

10. Defective matrices cannot be diagonalized but they can still be put into a compact form by a similarity transform, S , such that

2J 0
03
1
.7
6
.
;1 AS = 6 0 J2 . . . 7
6. . . .7
J =S
6 .. . . . . 0 7
4
5
0
0 Jk

where there are k linearly independent eigenvectors and Ji is either a Jordan
subblock or i.
11. A Jordan submatrix has the form

2
0
03
i 1
60
. . . ... 7
6
7
i 1
6
60 0
7
... 0 7
Ji = 6
7
i
6.
6 ..
7
... ... 1 7
4
5
0

0

0

i

12. Use of the transform S is known as putting A into its Jordan Canonical form.
A repeated root in a Jordan block is referred to as a defective eigenvalue. For
each Jordan submatrix with an eigenvalue i of multiplicity r, there exists one
eigenvector. The other r ; 1 vectors associated with this eigenvalue are referred
to as principal vectors. The complete set of principal vectors and eigenvectors
are all linearly independent.
13. Note that if P is the permutation matrix

2
3
0 0 1
P = 60 1 07
4
5
1 0 0

then

P T = P ;1 = P

2
3
2
3
1 0
0 0
P ;1 6 0
17P = 61
07
4
5
4
5
0 0

0 1

14. Some of the Jordan subblocks may have the same eigenvalue. For example, the
254APPENDIX A. USEFUL RELATIONS AND DEFINITIONS FROM LINEAR ALGEBRA
matrix

22
66
64
6
6
6
6
6
6
6
6
6
6
6
4

1

1
1

3
17
5

3
7
7
7
7
7
7
7
7
7
7
7
7
7
5

1
1
1

1
1
2

1
2
3

is both defective and derogatory, having:
9 eigenvalues
3 distinct eigenvalues
3 Jordan blocks
5 linearly independent eigenvectors
3 principal vectors with 1
1 principal vector with 2

A.5 Vector and Matrix Norms
1. The spectral radius of a matrix A is symbolized by (A) such that
(A) = j m jmax
where

m

are the eigenvalues of the matrix A.

2. A p-norm of the vector ~ is de ned as
v

0M
1
X pA1=p
jjvjjp = @ jvj j
j =1

3. A p-norm of a matrix A is de ned as

Av
jjAjjp = max jjjjvjjjjp
x6=0
p
A.5. VECTOR AND MATRIX NORMS

255

4. Let A and B be square matrices of the same order. All matrix norms must have
the properties

jjAjj
0 jjAjj = 0 implies A = 0
jjc Ajj = jcj jjAjj
jjA + B jj
jjAjj + jjB jj
jjA B jj
jjAjj jjB jj
5. Special p-norms are
jjAjj1 = maxj=1

jjAjj2 =

q

M

PM ja j maximum column sum
i=1 ij

(A T A )

jjAjj1 = maxi=1 2 M PM jaij j maximum row sum
j =1
where jjAjjp is referred to as the Lp norm of A.
6. In general (A) does not satisfy the conditions in 4, so in general (A) is not a
true norm.
7. When A is normal, (A) is a true norm, in fact, in this case it is the L2 norm.
8. The spectral radius of A, (A), is the lower bound of all the norms of A.
256APPENDIX A. USEFUL RELATIONS AND DEFINITIONS FROM LINEAR ALGEBRA
Appendix B
SOME PROPERTIES OF
TRIDIAGONAL MATRICES
B.1 Standard Eigensystem for Simple Tridiagonals
In this work tridiagonal banded matrices are prevalent. It is useful to list some of
their properties. Many of these can be derived by solving the simple linear di erence
equations that arise in deriving recursion relations.
Let us consider a simple tridiagonal matrix, i.e., a tridiagonal with constant scalar
elements a,b, and c, see Section 3.4. If we examine the conditions under which the
determinant of this matrix is zero, we nd (by a recursion exercise)
det B (M : a b c)] = 0
if
p
m
b + 2 ac cos M + 1 = 0
m=1 2
M

From this it follows at once that the eigenvalues of B (a b c) are
p
m
m=1 2
M
(B.1)
m = b + 2 ac cos
M +1
The right-hand eigenvector of B (a b c) that is associated with the eigenvalue m
satis es the equation
B (a b c)~ m = m~ m
x
x
(B.2)
and is given by
j;1
~ m = (xj )m = a 2 sin j m
x
m=1 2
M
(B.3)
c
M +1
257
258

APPENDIX B. SOME PROPERTIES OF TRIDIAGONAL MATRICES

These vectors are the columns of the right-hand eigenvector matrix, the elements of
which are
j;1
a 2 sin jm
j=1 2
M
X = (xjm) = c
(B.4)
m=1 2
M
M +1
Notice that if a = ;1 and c = 1,
j;1
a 2 = ei j; 2
(B.5)
c
(

1)

The left-hand eigenvector matrix of B (a b c) can be written
;
c m 2 1 sin mj
m=1 2
; = 2
X
j=1 2
M +1 a
M +1
In this case notice that if a = ;1 and c = 1
;
c m 2 1 = e;i m; 2
a
1

(

M
M
(B.6)

1)

B.2 Generalized Eigensystem for Simple Tridiagonals
This system is de ned as follows
2
32
32
x 3 2e f
x 3
b c
6a b c
76 x 7
6d e f
76 x 7
6
76
7
6
76
7
6
76
7
6
76
6
76 x 7 = 6
76 x 7
7
a b
d e
6
. . . c 7 6 ... 7 6
. . . f 7 6 ... 7
6
76
7
6
76
7
4
54
5
4
54
5
a b xM
d e xM
In this case one can show after some algebra that
det B (a ; d b ; e c ; f ] = 0
if
q
m
b ; m e + 2 (a ; md)(c ; m f ) cos M + 1 = 0
m=1 2
If we de ne
m
m=
M + 1 pm = cos m
1

1

2

2

3

3

(B.7)

M (B.8)
B.3. THE INVERSE OF A SIMPLE TRIDIAGONAL

259

q

eb ; 2(cd + af )pm + 2pm (ec ; fb)(ea ; bd) + (cd ; af )pm ]
m=
e ; 4fdpm
The right-hand eigenvectors are
#j ; 1

a ; m d 2 sin j ]
m =1 2
M
~m =
x
m
j =1 2
M
c; f
2

2

2

2

m

These relations are useful in studying relaxation methods.

B.3 The Inverse of a Simple Tridiagonal
The inverse of B (a b c) can also be written in analytic form. Let DM represent the
determinant of B (M : a b c)

DM det B (M : a b c)]
De ning D to be 1, it is simple to derive the rst few determinants, thus
D = 1
D = b
D = b ; ac
D = b ; 2abc
(B.9)
One can also nd the recursion relation
DM = bDM ; ; acDM ;
(B.10)
Eq. B.10 is a linear O E the solution of which was discussed in Section 4.2. Its
characteristic polynomial P (E ) is P (E ; bE + ac) and the two roots to P ( ) = 0
result in the solution
8
9
p
p

#
 b + b ; 4ac #M
1
b ; b ; 4ac M =
DM = p
;
2
2
b ; 4ac :
M =0 1 2
(B.11)
where we have made use of the initial conditions D = 1 and D = b. In the limiting
case when b ; 4ac = 0, one can show that
0

0
1

2

2

3

3

1

2

2

+1

2

2

2

0

2

b
DM = (M + 1) 2

!M

1

b = 4ac
2

+1
260

APPENDIX B. SOME PROPERTIES OF TRIDIAGONAL MATRICES

Then for M = 4

B; =
1

and for M = 5

B ;1 =

2
16
6
4
D4 6

D
;cD
cD
;c D
;aD D D ;cD D c D
a D ;aD D D D
;cD
;a D a D
;aD
D
3

3

2
D4
6 ;aD3
1 6 a2 D
6
2
6
D5 6 ;a3 D1
4

aD
The general element dmn is
4

0

2

2

2

2

1

1

2

0

2

1

1

1

2

1

;cD

3

1

0

2

1

1

1

2

2

3
7
7
7
5

3

3
7
17
7
2 7
7
5
3

cD
;c D c D
D D ;cD D c D D ;c D
;aD D D D ;cD D c D
a D D ;aD D D D
;cD
;a D
aD
;aD
D
2

3

1

2

3

1

1

1
3

2

2

1

2

2

3

2

0

3

1

2

1

4

1

1

2

2

2

1

3

2

2

1

1

3

4

Upper triangle:

M ;1

m=1 2

n=m+1 m+2

M

dmn = Dm; DM ;n(;c)n;m =DM
1

Diagonal:

n=m=1 2
M
dmm = DM ; DM ;m =DM
1

Lower triangle:

m =n+1 n+2

M

n=1 2

M ;1

dmn = DM ;mDn; (;a)m;n=DM
1

B.4 Eigensystems of Circulant Matrices
B.4.1 Standard Tridiagonals

Consider the circulant (see Section 3.4.4) tridiagonal matrix

Bp(M : a b c )

(B.12)
B.4. EIGENSYSTEMS OF CIRCULANT MATRICES

261

The eigenvalues are
m

= b + (a + c) cos 2 m ; i(a ; c) sin 2 m
M
M

m=0 1 2

M ;1
(B.13)

The right-hand eigenvector that satis es Bp(a b c)~ m = m~ m is
x
x
~ m = (xj )m = ei j m=M
x
j=0 1
M ;1
(B.14)
p
where i
;1, and the right-hand eigenvector matrix has the form
2 m
j =0 1
M ;1
X = (xjm) = eij M
m =0 1
M ;1
The left-hand eigenvector matrix with elements x0 is
2 j
m =0 1
M ;1
; = (x0 ) = 1 e;im M
X
mj
j =0 1
M ;1
M
1
Note that both X and X ; are symmetric and that X ; = M X , where X is the
conjugate transpose of X .
(2

)

1

1

1

B.4.2 General Circulant Systems

Notice the remarkable fact that the elements of the eigenvector matrices X and X ;
for the tridiagonal circulant matrix given by eq. B.12 do not depend on the elements
a b c in the matrix. In fact, all circulant matrices of order M have the same set of
linearly independent eigenvectors, even if they are completely dense. An example of
a dense circulant matrix of order M = 4 is
2
b b b b 3
6 b b b b 7
6
7
6
7
(B.15)
4 b b b b 5
b b b b
The eigenvectors are always given by eq. B.14, and further examination shows that
the elements in these eigenvectors correspond to the elements in a complex harmonic
analysis or complex discrete Fourier series.
Although the eigenvectors of a circulant matrix are independent of its elements,
the eigenvalues are not. For the element indexing shown in eq. B.15 they have the
general form
M;
X
bj ei jm=M
=
m
1

0

1

2

3

3

0

1

2

2

3

0

1

1

2

3

0

1

of which eq. B.13 is a special case.

j =0

(2

)
262

APPENDIX B. SOME PROPERTIES OF TRIDIAGONAL MATRICES

B.5 Special Cases Found From Symmetries

Consider a mesh with an even number of interior points such as that shown in Fig.
B.1. One can seek from the tridiagonal matrix B (2M : a b a ) the eigenvector subset
that has even symmetry when spanning the interval 0 x . For example, we seek
the set of eigenvectors ~ m for which
x
2
b
6a
6
6
6
6
6
6
6
4

a
b a
a ...

32x 3
1
7 6 x2 7
76 7
76 . 7
76 . 7
76 . 7
76 . 7
76 . 7
6 . 7
54 5
a 7 6 x2 7

... a
a b
a b

x

=

2 3
x1
6x 7
6 27
6 . 7
6 . 7
6 . 7
m6 . 7
6 . 7
6 . 7
6 7
4 x2 5

x

1

1

This leads to the subsystem of order M which has the form
2
6
6
6
6
6
6
6
6
6
6
4

3

b a
7
7
a b a
7
7
...
7~
a
~ a)~ m =
7 xm =
B (M : a b x
7
... a
7
7
a b a 7
5
a b+a

x
m~ m

(B.16)

By folding the known eigenvectors of B (2M : a b a) about the center, one can show
from previous results that the eigenvalues of eq. B.16 are
(2m ; 1)
m = b + 2a cos
2M + 1

!

m=1 2

M

(B.17)
B.6. SPECIAL CASES INVOLVING BOUNDARY CONDITIONS

263

and the corresponding eigenvectors are
~ m = sin j (2m ; 1)
x
2M + 1
j =1 2
M

x=

Line of Symmetry

x =0

Imposing symmetry about the same interval
but for a mesh with an odd number of points,
see Fig. B.1, leads to the matrix
2
3
b a
6a b a
7
6
7
6
7
...
6
7
a
a
B (M : ~ b a) = 6
... a 7
6
7
6
7
6
4
5
a b a7
2a b
By folding the known eigenvalues of B (2M ;
1 : a b a) about the center, one can show
from previous results that the eigenvalues of
eq. B.17 are
(2m ; 1)
m = b + 2a cos
2M
and the corresponding eigenvectors are

~ m = sin j (2m ; 1)
x
2M

!

!

j0 = 1 2 3 4 5 6
M0
j= 1 2 3
M
a. An even-numbered mesh
Line of Symmetry
x =0
x=
j0 = 1 2 3 4 5
M0
j= 1 2 3
M
b. An odd{numbered mesh
Figure B.1 { Symmetrical folds for
special cases
m=1 2

j=1 2

M

M

B.6 Special Cases Involving Boundary Conditions
We consider two special cases for the matrix operator representing the 3-point central
di erence approximation for the second derivative @ =@x at all points away from the
boundaries, combined with special conditions imposed at the boundaries.
2

2
APPENDIX B. SOME PROPERTIES OF TRIDIAGONAL MATRICES

264

Note: In both cases

m =1 2
M
j =1 2
M
;2 + 2 cos( ) = ;4 sin ( =2)
2

When the boundary conditions are Dirichlet on both sides,
2
6
6
6
6
6
6
4

;2

1
1 ;2 1
1 ;2 1
1 ;2 1
1 ;2

3
7
7
7
7
7
7
5

m
~m
x

m
= ;2 h+ 2 cos Mi+ 1
m
= sin j M + 1

(B.18)

When one boundary condition is Dirichlet and the other is Neumann (and a diagonal
preconditioner is applied to scale the last equation),
2
6
6
6
6
6
6
4

;2

1
1 ;2 1
1 ;2 1
1 ;2 1
1 ;1

3
7
7
7
7
7
7
5

m

~m
x

= ;2 + 2 cos (2m ; 1)
2M + 1
(2m ; 1)
= sin j 2M + 1

(B.19)
Appendix C
THE HOMOGENEOUS
PROPERTY OF THE EULER
EQUATIONS
The Euler equations have a special property that is sometimes useful in constructing
numerical methods. In order to examine this property, let us rst inspect Euler's
theorem on homogeneous functions. Consider rst the scalar case. If F (u v) satis es
the identity

F ( u v) = nF (u v)
(C.1)
for a xed n, F is called homogeneous of degree n. Di erentiating both sides with
respect to and setting = 1 (since the identity holds for all ), we nd

u @F + v @F = nF (u v)
@u @v

(C.2)

F ( Q) = nF (Q)

(C.3)

Consider next the theorem as it applies to systems of equations. If the vector
F (Q) satis es the identity

for a xed n, F is said to be homogeneous of degree n and we nd


#

@F Q = nF (Q)
@q
265

(C.4)
266APPENDIX C. THE HOMOGENEOUS PROPERTY OF THE EULER EQUATIONS
Now it is easy to show, by direct use of eq. C.3, that both E and F in eqs. 2.11 and
2.12 are homogeneous of degree 1, and their Jacobians, A and B , are homogeneous
of degree 0 (actually the latter is a direct consequence of the former).1 This being
the case, we notice that the expansion of the ux vector in the vicinity of tn which,
according to eq. 6.105 can be written in general as,

E = En + An(Q ; Qn) + O(h2)
F = Fn + Bn(Q ; Qn) + O(h2)

(C.5)

can be written

E = An Q + O(h2)
F = BnQ + O(h2)

(C.6)

since the terms En ; AnQn and Fn ; BnQn are identically zero for homogeneous
vectors of degree 1, see eq. C.4. Notice also that, under this condition, the constant
term drops out of eq. 6.106.
As a nal remark, we notice from the chain rule that for any vectors F and Q


#

@F (Q) = @F @Q = A @Q
@x
@Q @x
@x
We notice also that for a homogeneous F of degree 1, F = AQ and


#

@F = A @Q + @A Q
@x
@x @x

(C.7)

(C.8)

Therefore, if F is homogeneous of degree 1,


#

@A Q = 0
@x
in spite of the fact that individually @A=@x] and Q are not equal to zero.

(C.9)

Note that this depends on the form of the equation of state. The Euler equations are homogeneous if the equation of state can be written in the form p = f ( ), where is the internal energy
per unit mass.
1
Bibliography
1] D. Anderson, J. Tannehill, and R. Pletcher. Computational Fluid Mechanics and
Heat Transfer. McGraw-Hill Book Company, New York, 1984.
2] C. Hirsch. Numerical Computation of Internal and External Flows, volume 1,2.
John Wiley  Sons, New York, 1988.

267

Fundamentals of computational fluid dynamics

  • 1.
    Fundamentals of ComputationalFluid Dynamics Harvard Lomax and Thomas H. Pulliam NASA Ames Research Center David W. Zingg University of Toronto Institute for Aerospace Studies August 26, 1999
  • 3.
    Contents 1 INTRODUCTION 1.1 Motivation. . . . . . . . . . . . . . . . . . . . . . . . . . . . . . . . 1.2 Background . . . . . . . . . . . . . . . . . . . . . . . . . . . . . . . 1.2.1 Problem Speci cation and Geometry Preparation . . . . . . 1.2.2 Selection of Governing Equations and Boundary Conditions 1.2.3 Selection of Gridding Strategy and Numerical Method . . . 1.2.4 Assessment and Interpretation of Results . . . . . . . . . . . 1.3 Overview . . . . . . . . . . . . . . . . . . . . . . . . . . . . . . . . . 1.4 Notation . . . . . . . . . . . . . . . . . . . . . . . . . . . . . . . . . 2 CONSERVATION LAWS AND THE MODEL EQUATIONS 2.1 Conservation Laws . . . . . . . . . . . . 2.2 The Navier-Stokes and Euler Equations . 2.3 The Linear Convection Equation . . . . 2.3.1 Di erential Form . . . . . . . . . 2.3.2 Solution in Wave Space . . . . . . 2.4 The Di usion Equation . . . . . . . . . . 2.4.1 Di erential Form . . . . . . . . . 2.4.2 Solution in Wave Space . . . . . . 2.5 Linear Hyperbolic Systems . . . . . . . . 2.6 Problems . . . . . . . . . . . . . . . . . . . . . . . . . . . . . . . . . . . . . . . . . . . . . . . . . . . . . . . . . . 3 FINITE-DIFFERENCE APPROXIMATIONS 3.1 Meshes and Finite-Di erence Notation 3.2 Space Derivative Approximations . . . 3.3 Finite-Di erence Operators . . . . . . 3.3.1 Point Di erence Operators . . . 3.3.2 Matrix Di erence Operators . . 3.3.3 Periodic Matrices . . . . . . . . 3.3.4 Circulant Matrices . . . . . . . iii . . . . . . . . . . . . . . . . . . . . . . . . . . . . . . . . . . . . . . . . . . . . . . . . . . . . . . . . . . . . . . . . . . . . . . . . . . . . . . . . . . . . . . . . . . . . . . . . . . . . . . . . . . . . . . . . . . . . . . . . . . . . . . . . . . . . . . . . . . . . . . . . . . . . . . . . . . . . . . . . . . . . . . . . . . . . . . . . . . . . . . . . . . . . . . . . . . . . . . . . . . . . . . . . . . . . . . . . . . . . . . . . . . . . . . . . . . . . . . . . . . . . . . . 1 1 2 2 3 3 4 4 5 7 7 8 12 12 13 14 14 15 16 17 21 21 24 25 25 25 29 30
  • 4.
    3.4 Constructing Dierencing Schemes of Any Order . . . . . 3.4.1 Taylor Tables . . . . . . . . . . . . . . . . . . . . 3.4.2 Generalization of Di erence Formulas . . . . . . . 3.4.3 Lagrange and Hermite Interpolation Polynomials 3.4.4 Practical Application of Pade Formulas . . . . . . 3.4.5 Other Higher-Order Schemes . . . . . . . . . . . . 3.5 Fourier Error Analysis . . . . . . . . . . . . . . . . . . . 3.5.1 Application to a Spatial Operator . . . . . . . . . 3.6 Di erence Operators at Boundaries . . . . . . . . . . . . 3.6.1 The Linear Convection Equation . . . . . . . . . 3.6.2 The Di usion Equation . . . . . . . . . . . . . . . 3.7 Problems . . . . . . . . . . . . . . . . . . . . . . . . . . . . . . . . . . . . . . . . . . . . . . . . . . . . . . . . . . . . . . . . . . . . . . . . . . . . . . . . . . . . . . . . . . . . . . . . . . . . . . . . . . . . . . . 31 31 34 35 37 38 39 39 43 44 46 47 4 THE SEMI-DISCRETE APPROACH 51 5 FINITE-VOLUME METHODS 71 4.1 Reduction of PDE's to ODE's . . . . . . . . . . . . . . . . . . . . . . 4.1.1 The Model ODE's . . . . . . . . . . . . . . . . . . . . . . . . 4.1.2 The Generic Matrix Form . . . . . . . . . . . . . . . . . . . . 4.2 Exact Solutions of Linear ODE's . . . . . . . . . . . . . . . . . . . . 4.2.1 Eigensystems of Semi-Discrete Linear Forms . . . . . . . . . . 4.2.2 Single ODE's of First- and Second-Order . . . . . . . . . . . . 4.2.3 Coupled First-Order ODE's . . . . . . . . . . . . . . . . . . . 4.2.4 General Solution of Coupled ODE's with Complete Eigensystems 4.3 Real Space and Eigenspace . . . . . . . . . . . . . . . . . . . . . . . . 4.3.1 De nition . . . . . . . . . . . . . . . . . . . . . . . . . . . . . 4.3.2 Eigenvalue Spectrums for Model ODE's . . . . . . . . . . . . . 4.3.3 Eigenvectors of the Model Equations . . . . . . . . . . . . . . 4.3.4 Solutions of the Model ODE's . . . . . . . . . . . . . . . . . . 4.4 The Representative Equation . . . . . . . . . . . . . . . . . . . . . . 4.5 Problems . . . . . . . . . . . . . . . . . . . . . . . . . . . . . . . . . . 5.1 Basic Concepts . . . . . . . . . . . . . . . . . . . . . . . . . . . . . 5.2 Model Equations in Integral Form . . . . . . . . . . . . . . . . . . . 5.2.1 The Linear Convection Equation . . . . . . . . . . . . . . . 5.2.2 The Di usion Equation . . . . . . . . . . . . . . . . . . . . . 5.3 One-Dimensional Examples . . . . . . . . . . . . . . . . . . . . . . 5.3.1 A Second-Order Approximation to the Convection Equation 5.3.2 A Fourth-Order Approximation to the Convection Equation 5.3.3 A Second-Order Approximation to the Di usion Equation . 5.4 A Two-Dimensional Example . . . . . . . . . . . . . . . . . . . . . . . . . . . . . . 52 52 53 54 54 55 57 59 61 61 62 63 65 67 68 72 73 73 74 74 75 77 78 80
  • 5.
    5.5 Problems .. . . . . . . . . . . . . . . . . . . . . . . . . . . . . . . . . 6 TIME-MARCHING METHODS FOR ODE'S 6.1 Notation . . . . . . . . . . . . . . . . . . . . . . . . . . . . . . . . . 6.2 Converting Time-Marching Methods to O E's . . . . . . . . . . . . 6.3 Solution of Linear O E's With Constant Coe cients . . . . . . . . 6.3.1 First- and Second-Order Di erence Equations . . . . . . . . 6.3.2 Special Cases of Coupled First-Order Equations . . . . . . . 6.4 Solution of the Representative O E's . . . . . . . . . . . . . . . . 6.4.1 The Operational Form and its Solution . . . . . . . . . . . . 6.4.2 Examples of Solutions to Time-Marching O E's . . . . . . . 6.5 The ; Relation . . . . . . . . . . . . . . . . . . . . . . . . . . . 6.5.1 Establishing the Relation . . . . . . . . . . . . . . . . . . . . 6.5.2 The Principal -Root . . . . . . . . . . . . . . . . . . . . . . 6.5.3 Spurious -Roots . . . . . . . . . . . . . . . . . . . . . . . . 6.5.4 One-Root Time-Marching Methods . . . . . . . . . . . . . . 6.6 Accuracy Measures of Time-Marching Methods . . . . . . . . . . . 6.6.1 Local and Global Error Measures . . . . . . . . . . . . . . . 6.6.2 Local Accuracy of the Transient Solution (er j j er! ) . . . 6.6.3 Local Accuracy of the Particular Solution (er ) . . . . . . . 6.6.4 Time Accuracy For Nonlinear Applications . . . . . . . . . . 6.6.5 Global Accuracy . . . . . . . . . . . . . . . . . . . . . . . . 6.7 Linear Multistep Methods . . . . . . . . . . . . . . . . . . . . . . . 6.7.1 The General Formulation . . . . . . . . . . . . . . . . . . . . 6.7.2 Examples . . . . . . . . . . . . . . . . . . . . . . . . . . . . 6.7.3 Two-Step Linear Multistep Methods . . . . . . . . . . . . . 6.8 Predictor-Corrector Methods . . . . . . . . . . . . . . . . . . . . . . 6.9 Runge-Kutta Methods . . . . . . . . . . . . . . . . . . . . . . . . . 6.10 Implementation of Implicit Methods . . . . . . . . . . . . . . . . . . 6.10.1 Application to Systems of Equations . . . . . . . . . . . . . 6.10.2 Application to Nonlinear Equations . . . . . . . . . . . . . . 6.10.3 Local Linearization for Scalar Equations . . . . . . . . . . . 6.10.4 Local Linearization for Coupled Sets of Nonlinear Equations 6.11 Problems . . . . . . . . . . . . . . . . . . . . . . . . . . . . . . . . . 7 STABILITY OF LINEAR SYSTEMS 7.1 Dependence on the Eigensystem 7.2 Inherent Stability of ODE's . . 7.2.1 The Criterion . . . . . . 7.2.2 Complete Eigensystems . . . . . . . . . . . . . . . . . . . . . . . . . . . . . . . . . . . . . . . . . . . . . . . . . . . . . . . . . . . . . . . . . . . . . . . . . . . . . . . . . . . . . . . . . . . . . . . . . . . . . . . . . . . . . . . . . . . . 83 85 86 87 88 89 90 91 91 92 93 93 95 95 96 97 97 98 99 100 101 102 102 103 105 106 107 110 110 111 112 115 117 121 122 123 123 123
  • 6.
    7.3 7.4 7.5 7.6 7.7 7.8 7.9 7.2.3 Defective Eigensystems. . . . . . . . . . . . . . Numerical Stability of O E 's . . . . . . . . . . . . . . 7.3.1 The Criterion . . . . . . . . . . . . . . . . . . . 7.3.2 Complete Eigensystems . . . . . . . . . . . . . . 7.3.3 Defective Eigensystems . . . . . . . . . . . . . . Time-Space Stability and Convergence of O E's . . . . Numerical Stability Concepts in the Complex -Plane . 7.5.1 -Root Traces Relative to the Unit Circle . . . 7.5.2 Stability for Small t . . . . . . . . . . . . . . . Numerical Stability Concepts in the Complex h Plane 7.6.1 Stability for Large h. . . . . . . . . . . . . . . . 7.6.2 Unconditional Stability, A-Stable Methods . . . 7.6.3 Stability Contours in the Complex h Plane. . . Fourier Stability Analysis . . . . . . . . . . . . . . . . 7.7.1 The Basic Procedure . . . . . . . . . . . . . . . 7.7.2 Some Examples . . . . . . . . . . . . . . . . . . 7.7.3 Relation to Circulant Matrices . . . . . . . . . . Consistency . . . . . . . . . . . . . . . . . . . . . . . . Problems . . . . . . . . . . . . . . . . . . . . . . . . . . 8 CHOICE OF TIME-MARCHING METHODS 8.1 Sti ness De nition for ODE's . . . . . . . . . . . . 8.1.1 Relation to -Eigenvalues . . . . . . . . . . 8.1.2 Driving and Parasitic Eigenvalues . . . . . . 8.1.3 Sti ness Classi cations . . . . . . . . . . . . 8.2 Relation of Sti ness to Space Mesh Size . . . . . . 8.3 Practical Considerations for Comparing Methods . 8.4 Comparing the E ciency of Explicit Methods . . . 8.4.1 Imposed Constraints . . . . . . . . . . . . . 8.4.2 An Example Involving Di usion . . . . . . . 8.4.3 An Example Involving Periodic Convection . 8.5 Coping With Sti ness . . . . . . . . . . . . . . . . 8.5.1 Explicit Methods . . . . . . . . . . . . . . . 8.5.2 Implicit Methods . . . . . . . . . . . . . . . 8.5.3 A Perspective . . . . . . . . . . . . . . . . . 8.6 Steady Problems . . . . . . . . . . . . . . . . . . . 8.7 Problems . . . . . . . . . . . . . . . . . . . . . . . . . . . . . . . . . . . . . . . . . . . . . . . . . . . . . . . . . . . . . . . . . . . . . . . . . . . . . . . . . . . . . . . . . . . . . . . . . . . . . . . . . . . . . . . . . . . . . . . . . . . . . . . . . . . . . . . . . . . . . . . . . . . . . . . . . . . . . . . . . . . . . . . . . . . . . . . . . . . . . . . . . . . . . . . . . . . . . . . . . . . . . . . . . . . . . . . . . . . . . . . . . . . . . . . . . . . . . . . . . . . . . . . . . . . . . . . . . . . . . . . . . . . . . . . . . . . . . . . . . . . . . . . . . . . . . . . . . . . . . . . . . . . . . . . . . . . . . . . . . . . . . . . . . . . . . . . . 123 124 124 125 125 125 128 128 132 135 135 136 137 141 141 142 143 143 146 149 149 149 151 151 152 153 154 154 154 155 158 158 159 160 160 161
  • 7.
    9 RELAXATION METHODS 9.1Formulation of the Model Problem . . . . . . . . . . . . . . 9.1.1 Preconditioning the Basic Matrix . . . . . . . . . . . 9.1.2 The Model Equations . . . . . . . . . . . . . . . . . . 9.2 Classical Relaxation . . . . . . . . . . . . . . . . . . . . . . 9.2.1 The Delta Form of an Iterative Scheme . . . . . . . . 9.2.2 The Converged Solution, the Residual, and the Error 9.2.3 The Classical Methods . . . . . . . . . . . . . . . . . 9.3 The ODE Approach to Classical Relaxation . . . . . . . . . 9.3.1 The Ordinary Di erential Equation Formulation . . . 9.3.2 ODE Form of the Classical Methods . . . . . . . . . 9.4 Eigensystems of the Classical Methods . . . . . . . . . . . . 9.4.1 The Point-Jacobi System . . . . . . . . . . . . . . . . 9.4.2 The Gauss-Seidel System . . . . . . . . . . . . . . . . 9.4.3 The SOR System . . . . . . . . . . . . . . . . . . . . 9.5 Nonstationary Processes . . . . . . . . . . . . . . . . . . . . 9.6 Problems . . . . . . . . . . . . . . . . . . . . . . . . . . . . . . . . . . . . . . . . . . . . . . . . . . . . . . . . . . . . . . . . . . . . . . . . . . . . . . . . . . . . . . . . . . . . . . . . . . . . . . . . . . . . . 163 164 164 166 168 168 168 169 170 170 172 173 174 176 180 182 187 10 MULTIGRID 191 11 NUMERICAL DISSIPATION 203 10.1 Motivation . . . . . . . . . . . . . . . . . . . . . . . . . . . . . . . . . 191 10.1.1 Eigenvector and Eigenvalue Identi cation with Space Frequencies191 10.1.2 Properties of the Iterative Method . . . . . . . . . . . . . . . 192 10.2 The Basic Process . . . . . . . . . . . . . . . . . . . . . . . . . . . . . 192 10.3 A Two-Grid Process . . . . . . . . . . . . . . . . . . . . . . . . . . . 200 10.4 Problems . . . . . . . . . . . . . . . . . . . . . . . . . . . . . . . . . . 202 11.1 11.2 11.3 11.4 One-Sided First-Derivative Space Di erencing The Modi ed Partial Di erential Equation . . The Lax-Wendro Method . . . . . . . . . . . Upwind Schemes . . . . . . . . . . . . . . . . 11.4.1 Flux-Vector Splitting . . . . . . . . . . 11.4.2 Flux-Di erence Splitting . . . . . . . . 11.5 Arti cial Dissipation . . . . . . . . . . . . . . 11.6 Problems . . . . . . . . . . . . . . . . . . . . . 12 SPLIT AND FACTORED FORMS . . . . . . . . . . . . . . . . . . . . . . . . . . . . . . . . . . . . . . . . . . . . . . . . . . . . . . . . . . . . . . . . . . . . . . . . . . . . . . . . . . . . . . . . . . . . . . . . . . . . . . . . 204 205 207 209 210 212 213 214 217 12.1 The Concept . . . . . . . . . . . . . . . . . . . . . . . . . . . . . . . 217 12.2 Factoring Physical Representations | Time Splitting . . . . . . . . . 218 12.3 Factoring Space Matrix Operators in 2{D . . . . . . . . . . . . . . . . 220
  • 8.
    12.4 12.5 12.6 12.7 12.3.1 Mesh IndexingConvention . . . . . . . . . . . 12.3.2 Data Bases and Space Vectors . . . . . . . . . 12.3.3 Data Base Permutations . . . . . . . . . . . . 12.3.4 Space Splitting and Factoring . . . . . . . . . Second-Order Factored Implicit Methods . . . . . . . Importance of Factored Forms in 2 and 3 Dimensions The Delta Form . . . . . . . . . . . . . . . . . . . . . Problems . . . . . . . . . . . . . . . . . . . . . . . . . . . . . . . . . . . . . . . . . . . . . . . . . . . . . . . . . . . . . . . . . . . . . . . . . . . . . . . . . 13 LINEAR ANALYSIS OF SPLIT AND FACTORED FORMS 13.1 The Representative Equation for Circulant Operators . . . . . . . 13.2 Example Analysis of Circulant Systems . . . . . . . . . . . . . . . 13.2.1 Stability Comparisons of Time-Split Methods . . . . . . . 13.2.2 Analysis of a Second-Order Time-Split Method . . . . . . 13.3 The Representative Equation for Space-Split Operators . . . . . . 13.4 Example Analysis of 2-D Model Equations . . . . . . . . . . . . . 13.4.1 The Unfactored Implicit Euler Method . . . . . . . . . . . 13.4.2 The Factored Nondelta Form of the Implicit Euler Method 13.4.3 The Factored Delta Form of the Implicit Euler Method . . 13.4.4 The Factored Delta Form of the Trapezoidal Method . . . 13.5 Example Analysis of the 3-D Model Equation . . . . . . . . . . . 13.6 Problems . . . . . . . . . . . . . . . . . . . . . . . . . . . . . . . . . . . . . . . . . . . . . . . . . . . . . . . . . . . . . . . . . . . . . . . . 220 221 221 223 226 226 228 229 233 233 234 234 237 238 242 242 243 243 244 245 247 A USEFUL RELATIONS AND DEFINITIONS FROM LINEAR ALGEBRA 249 A.1 A.2 A.3 A.4 A.5 Notation . . . . . . . . . . De nitions . . . . . . . . . Algebra . . . . . . . . . . Eigensystems . . . . . . . Vector and Matrix Norms . . . . . . . . . . . . . . . . . . . . . . . . . . . . . . . . . . . . . . . . . . . . . . . . . . . . . . . . . . . . . . . . . . . . . . . . . . . . . . . . . . . . . . . . . . B SOME PROPERTIES OF TRIDIAGONAL MATRICES B.1 B.2 B.3 B.4 Standard Eigensystem for Simple Tridiagonals . . Generalized Eigensystem for Simple Tridiagonals . The Inverse of a Simple Tridiagonal . . . . . . . . Eigensystems of Circulant Matrices . . . . . . . . B.4.1 Standard Tridiagonals . . . . . . . . . . . B.4.2 General Circulant Systems . . . . . . . . . B.5 Special Cases Found From Symmetries . . . . . . B.6 Special Cases Involving Boundary Conditions . . . . . . . . . . . . . . . . . . . . . . . . . . . . . . . . . . . . . . . . . . . . . . . . . . . . . . . . . . . . . . . . . . . . . . . . . . . . . . . . . . . . . . . . . . . . . . . . . . . . . . . . . . . . . . . . . . . . . . . . 249 250 251 251 254 257 257 258 259 260 260 261 262 263
  • 9.
    C THE HOMOGENEOUSPROPERTY OF THE EULER EQUATIONS265
  • 10.
    Chapter 1 INTRODUCTION 1.1 Motivation The materialin this book originated from attempts to understand and systemize numerical solution techniques for the partial di erential equations governing the physics of uid ow. As time went on and these attempts began to crystallize, underlying constraints on the nature of the material began to form. The principal such constraint was the demand for uni cation. Was there one mathematical structure which could be used to describe the behavior and results of most numerical methods in common use in the eld of uid dynamics? Perhaps the answer is arguable, but the authors believe the answer is a rmative and present this book as justi cation for that belief. The mathematical structure is the theory of linear algebra and the attendant eigenanalysis of linear systems. The ultimate goal of the eld of computational uid dynamics (CFD) is to understand the physical events that occur in the ow of uids around and within designated objects. These events are related to the action and interaction of phenomena such as dissipation, di usion, convection, shock waves, slip surfaces, boundary layers, and turbulence. In the eld of aerodynamics, all of these phenomena are governed by the compressible Navier-Stokes equations. Many of the most important aspects of these relations are nonlinear and, as a consequence, often have no analytic solution. This, of course, motivates the numerical solution of the associated partial di erential equations. At the same time it would seem to invalidate the use of linear algebra for the classi cation of the numerical methods. Experience has shown that such is not the case. As we shall see in a later chapter, the use of numerical methods to solve partial di erential equations introduces an approximation that, in e ect, can change the form of the basic partial di erential equations themselves. The new equations, which 1
  • 11.
    CHAPTER 1. INTRODUCTION 2 arethe ones actually being solved by the numerical process, are often referred to as the modi ed partial di erential equations. Since they are not precisely the same as the original equations, they can, and probably will, simulate the physical phenomena listed above in ways that are not exactly the same as an exact solution to the basic partial di erential equation. Mathematically, these di erences are usually referred to as truncation errors. However, the theory associated with the numerical analysis of uid mechanics was developed predominantly by scientists deeply interested in the physics of uid ow and, as a consequence, these errors are often identi ed with a particular physical phenomenon on which they have a strong e ect. Thus methods are said to have a lot of arti cial viscosity" or said to be highly dispersive. This means that the errors caused by the numerical approximation result in a modi ed partial di erential equation having additional terms that can be identi ed with the physics of dissipation in the rst case and dispersion in the second. There is nothing wrong, of course, with identifying an error with a physical process, nor with deliberately directing an error to a speci c physical process, as long as the error remains in some engineering sense small". It is safe to say, for example, that most numerical methods in practical use for solving the nondissipative Euler equations create a modi ed partial di erential equation that produces some form of dissipation. However, if used and interpreted properly, these methods give very useful information. Regardless of what the numerical errors are called, if their e ects are not thoroughly understood and controlled, they can lead to serious di culties, producing answers that represent little, if any, physical reality. This motivates studying the concepts of stability, convergence, and consistency. On the other hand, even if the errors are kept small enough that they can be neglected (for engineering purposes), the resulting simulation can still be of little practical use if ine cient or inappropriate algorithms are used. This motivates studying the concepts of sti ness, factorization, and algorithm development in general. All of these concepts we hope to clarify in this book. 1.2 Background The eld of computational uid dynamics has a broad range of applicability. Independent of the speci c application under study, the following sequence of steps generally must be followed in order to obtain a satisfactory solution. 1.2.1 Problem Speci cation and Geometry Preparation The rst step involves the speci cation of the problem, including the geometry, ow conditions, and the requirements of the simulation. The geometry may result from
  • 12.
    1.2. BACKGROUND 3 measurements ofan existing con guration or may be associated with a design study. Alternatively, in a design context, no geometry need be supplied. Instead, a set of objectives and constraints must be speci ed. Flow conditions might include, for example, the Reynolds number and Mach number for the ow over an airfoil. The requirements of the simulation include issues such as the level of accuracy needed, the turnaround time required, and the solution parameters of interest. The rst two of these requirements are often in con ict and compromise is necessary. As an example of solution parameters of interest in computing the ow eld about an airfoil, one may be interested in i) the lift and pitching moment only, ii) the drag as well as the lift and pitching moment, or iii) the details of the ow at some speci c location. 1.2.2 Selection of Governing Equations and Boundary Conditions Once the problem has been speci ed, an appropriate set of governing equations and boundary conditions must be selected. It is generally accepted that the phenomena of importance to the eld of continuum uid dynamics are governed by the conservation of mass, momentum, and energy. The partial di erential equations resulting from these conservation laws are referred to as the Navier-Stokes equations. However, in the interest of e ciency, it is always prudent to consider solving simpli ed forms of the Navier-Stokes equations when the simpli cations retain the physics which are essential to the goals of the simulation. Possible simpli ed governing equations include the potential- ow equations, the Euler equations, and the thin-layer Navier-Stokes equations. These may be steady or unsteady and compressible or incompressible. Boundary types which may be encountered include solid walls, in ow and out ow boundaries, periodic boundaries, symmetry boundaries, etc. The boundary conditions which must be speci ed depend upon the governing equations. For example, at a solid wall, the Euler equations require ow tangency to be enforced, while the Navier-Stokes equations require the no-slip condition. If necessary, physical models must be chosen for processes which cannot be simulated within the speci ed constraints. Turbulence is an example of a physical process which is rarely simulated in a practical context (at the time of writing) and thus is often modelled. The success of a simulation depends greatly on the engineering insight involved in selecting the governing equations and physical models based on the problem speci cation. 1.2.3 Selection of Gridding Strategy and Numerical Method Next a numerical method and a strategy for dividing the ow domain into cells, or elements, must be selected. We concern ourselves here only with numerical methods requiring such a tessellation of the domain, which is known as a grid, or mesh.
  • 13.
    CHAPTER 1. INTRODUCTION 4 Manydi erent gridding strategies exist, including structured, unstructured, hybrid, composite, and overlapping grids. Furthermore, the grid can be altered based on the solution in an approach known as solution-adaptive gridding. The numerical methods generally used in CFD can be classi ed as nite-di erence, nite-volume, nite-element, or spectral methods. The choices of a numerical method and a gridding strategy are strongly interdependent. For example, the use of nite-di erence methods is typically restricted to structured grids. Here again, the success of a simulation can depend on appropriate choices for the problem or class of problems of interest. 1.2.4 Assessment and Interpretation of Results Finally, the results of the simulation must be assessed and interpreted. This step can require post-processing of the data, for example calculation of forces and moments, and can be aided by sophisticated ow visualization tools and error estimation techniques. It is critical that the magnitude of both numerical and physical-model errors be well understood. 1.3 Overview It should be clear that successful simulation of uid ows can involve a wide range of issues from grid generation to turbulence modelling to the applicability of various simpli ed forms of the Navier-Stokes equations. Many of these issues are not addressed in this book. Some of them are presented in the books by Anderson, Tannehill, and Pletcher 1] and Hirsch 2]. Instead we focus on numerical methods, with emphasis on nite-di erence and nite-volume methods for the Euler and Navier-Stokes equations. Rather than presenting the details of the most advanced methods, which are still evolving, we present a foundation for developing, analyzing, and understanding such methods. Fortunately, to develop, analyze, and understand most numerical methods used to nd solutions for the complete compressible Navier-Stokes equations, we can make use of much simpler expressions, the so-called model" equations. These model equations isolate certain aspects of the physics contained in the complete set of equations. Hence their numerical solution can illustrate the properties of a given numerical method when applied to a more complicated system of equations which governs similar physical phenomena. Although the model equations are extremely simple and easy to solve, they have been carefully selected to be representative, when used intelligently, of di culties and complexities that arise in realistic two- and three-dimensional uid ow simulations. We believe that a thorough understanding of what happens when
  • 14.
    1.4. NOTATION 5 numerical approximationsare applied to the model equations is a major rst step in making con dent and competent use of numerical approximations to the Euler and Navier-Stokes equations. As a word of caution, however, it should be noted that, although we can learn a great deal by studying numerical methods as applied to the model equations and can use that information in the design and application of numerical methods to practical problems, there are many aspects of practical problems which can only be understood in the context of the complete physical systems. 1.4 Notation The notation is generally explained as it is introduced. Bold type is reserved for real physical vectors, such as velocity. The vector symbol ~ is used for the vectors (or column matrices) which contain the values of the dependent variable at the nodes of a grid. Otherwise, the use of a vector consisting of a collection of scalars should be apparent from the context and is not identi ed by any special notation. For example, the variable u can denote a scalar Cartesian velocity component in the Euler and Navier-Stokes equations, a scalar quantity in the linear convection and di usion equations, and a vector consisting of a collection of scalars in our presentation of hyperbolic systems. Some of the abbreviations used throughout the text are listed and de ned below. PDE ODE O E RHS P.S. S.S. k-D ~ bc O( ) Partial di erential equation Ordinary di erential equation Ordinary di erence equation Right-hand side Particular solution of an ODE or system of ODE's Fixed (time-invariant) steady-state solution k-dimensional space Boundary conditions, usually a vector A term of order (i.e., proportional to)
  • 15.
  • 16.
    Chapter 2 CONSERVATION LAWSAND THE MODEL EQUATIONS We start out by casting our equations in the most general form, the integral conservation-law form, which is useful in understanding the concepts involved in nite-volume schemes. The equations are then recast into divergence form, which is natural for nite-di erence schemes. The Euler and Navier-Stokes equations are brie y discussed in this Chapter. The main focus, though, will be on representative model equations, in particular, the convection and di usion equations. These equations contain many of the salient mathematical and physical features of the full Navier-Stokes equations. The concepts of convection and di usion are prevalent in our development of numerical methods for computational uid dynamics, and the recurring use of these model equations allows us to develop a consistent framework of analysis for consistency, accuracy, stability, and convergence. The model equations we study have two properties in common. They are linear partial di erential equations (PDE's) with coe cients that are constant in both space and time, and they represent phenomena of importance to the analysis of certain aspects of uid dynamic problems. 2.1 Conservation Laws Conservation laws, such as the Euler and Navier-Stokes equations and our model equations, can be written in the following integral form: Z V (t2 ) QdV ; Z V (t1 ) QdV + Z t2 I t1 S (t) n:FdSdt = Z t2 Z t1 V (t) PdV dt (2.1) In this equation, Q is a vector containing the set of variables which are conserved, e.g., mass, momentum, and energy, per unit volume. The equation is a statement of 7
  • 17.
    8 CHAPTER 2. CONSERVATIONLAWS AND THE MODEL EQUATIONS the conservation of these quantities in a nite region of space with volume V (t) and surface area S (t) over a nite interval of time t2 ; t1 . In two dimensions, the region of space, or cell, is an area A(t) bounded by a closed contour C (t). The vector n is a unit vector normal to the surface pointing outward, F is a set of vectors, or tensor, containing the ux of Q per unit area per unit time, and P is the rate of production of Q per unit volume per unit time. If all variables are continuous in time, then Eq. 2.1 can be rewritten as d Z QdV + I n:FdS = Z PdV (2.2) dt V (t) S (t) V (t) Those methods which make various numerical approximations of the integrals in Eqs. 2.1 and 2.2 and nd a solution for Q on that basis are referred to as nite-volume methods. Many of the advanced codes written for CFD applications are based on the nite-volume concept. On the other hand, a partial derivative form of a conservation law can also be derived. The divergence form of Eq. 2.2 is obtained by applying Gauss's theorem to the ux integral, leading to @Q + r:F = P (2.3) @t where r: is the well-known divergence operator given, in Cartesian coordinates, by ! @ +j @ +k @ : (2.4) r: i @x @y @z and i j, and k are unit vectors in the x y, and z coordinate directions, respectively. Those methods which make various approximations of the derivatives in Eq. 2.3 and nd a solution for Q on that basis are referred to as nite-di erence methods. 2.2 The Navier-Stokes and Euler Equations The Navier-Stokes equations form a coupled system of nonlinear PDE's describing the conservation of mass, momentum and energy for a uid. For a Newtonian uid in one dimension, they can be written as @Q + @E = 0 (2.5) @t @x with 2 3 2 3 u 3 2 0 6 6 Q=6 6 6 4 7 7 u7 7 7 5 e E 6 6 =6 6 6 4 7 6 7 6 2+p 7;6 u 7 6 7 6 5 4 u(e + p) 4 @u 3 @x 4 3 u @u + @x @T @x 7 7 7 7 7 5 (2.6)
  • 18.
    2.2. THE NAVIER-STOKESAND EULER EQUATIONS 9 where is the uid density, u is the velocity, e is the total energy per unit volume, p is the pressure, T is the temperature, is the coe cient of viscosity, and is the thermal conductivity. The total energy e includes internal energy per unit volume (where is the internal energy per unit mass) and kinetic energy per unit volume u2=2. These equations must be supplemented by relations between and and the uid state as well as an equation of state, such as the ideal gas law. Details can be found in Anderson, Tannehill, and Pletcher 1] and Hirsch 2]. Note that the convective uxes lead to rst derivatives in space, while the viscous and heat conduction terms involve second derivatives. This form of the equations is called conservation-law or conservative form. Non-conservative forms can be obtained by expanding derivatives of products using the product rule or by introducing di erent dependent variables, such as u and p. Although non-conservative forms of the equations are analytically the same as the above form, they can lead to quite di erent numerical solutions in terms of shock strength and shock speed, for example. Thus the conservative form is appropriate for solving ows with features such as shock waves. Many ows of engineering interest are steady (time-invariant), or at least may be treated as such. For such ows, we are often interested in the steady-state solution of the Navier-Stokes equations, with no interest in the transient portion of the solution. The steady solution to the one-dimensional Navier-Stokes equations must satisfy @E = 0 (2.7) @x If we neglect viscosity and heat conduction, the Euler equations are obtained. In two-dimensional Cartesian coordinates, these can be written as @Q + @E + @F = 0 (2.8) @t @x @y with 2 3 2 3 2 2 q1 u 3 v 3 6 7 6 7 6 2+ 7 6 7 Q = 6 q2 7 = 6 u 7 E = 6 u uv p 7 F = 6 v2uv p 7 6 7 6 7 6 7 6 (2.9) 4 q3 5 4 v 5 4 5 4 5 + 7 q4 e u(e + p) v ( e + p) where u and v are the Cartesian velocity components. Later on we will make use of the following form of the Euler equations as well: @Q + A @Q + B @Q = 0 (2.10) @t @x @y @E @F The matrices A = @Q and B = @Q are known as the ux Jacobians. The ux vectors given above are written in terms of the primitive variables, , u, v, and p. In order
  • 19.
    10 CHAPTER 2. CONSERVATIONLAWS AND THE MODEL EQUATIONS to derive the ux Jacobian matrices, we must rst write the ux vectors E and F in terms of the conservative variables, q1 , q2, q3 , and q4 , as follows: E F 2 3 6 7 6 7 6 7 6 7 6 7 6 7=6 7 6 7 6 7 6 7 6 7 6 5 6 6 4 2 6 6 6 6 6 =6 6 6 6 6 6 4 E1 2 6 6 6 6 6 =6 6 6 6 6 6 4 3 2 F1 7 6 7 6 7 6 6 F2 7 6 7 6 7=6 7 6 7 6 F3 7 6 7 6 7 6 5 6 4 F4 E2 E3 E4 3 7 7 7 2 2 7 3; q2 ; ;1 q3 7 ; 1)q4 + 2 q1 2 q1 7 7 7 7 q3 q2 7 7 q1 7 7 7 5 3 2q q4 q2 ; ;1 q2 + q3 2 2 2 q1 2 q1 q1 (2.11) 3 7 7 7 7 7 7 7 7 2 7 ;1 q2 7 2 q1 7 7 7 5 3 q3 2 q1 (2.12) q2 ( q3 q3 q2 q1 ( ; 1)q4 + 3; 2 q4 q 3 q1 ; 2 q3 q1 2q ;1 q2 2 3 2 q1 ; + We have assumed that the pressure satis es p = ( ; 1) e ; (u2 + v2)=2] from the ideal gas law, where is the ratio of speci c heats, cp=cv . From this it follows that the ux Jacobian of E can be written in terms of the conservative variables as A= 2 6 6 6 6 6 @Ei = 6 6 6 @qj 6 6 6 6 6 4 0 1 0 0 a21 (1 ; ) q3 q1 q2 q1 ;1 q ; q2 q1 q1 3 (3 ; ) q2 q1 q q3 1 a41 a42 a43 q2 q1 where a21 = ! ; 1 q3 2 ; 3 ; 2 q1 2 q2 q1 !2 0 3 7 7 7 7 7 7 7 7 7 7 7 7 7 5 (2.13)
  • 20.
    2.2. THE NAVIER-STOKESAND EULER EQUATIONS 2 ; 1)4 + q3 q1 !2 q4 ; ; 1 43 q2 a42 = q1 2 q1 ! ! q2 q3 a43 = ;( ; 1) q q 1 1 and in terms of the primitive variables as !2 a41 = ( q2 q1 !3 2 ! 2 6 6 6 6 6 A=6 6 6 6 6 6 4 0 1 q2 q1 !3 5; + q3 q1 !2 3 5 0 0 ;uv v u 0 a41 a42 a43 u a21 = q4 q1 ! q2 q1 ! (2.14) a21 (3 ; )u (1 ; )v ( ; 1) where 11 3 7 7 7 7 7 7 7 7 7 7 7 5 (2.15) ; 1 v2 ; 3 ; u2 2 2 a41 = ( ; 1)u(u2 + v2) ; ue a42 = e ; ; 1 (3u2 + v2 ) 2 a43 = (1 ; )uv (2.16) Derivation of the two forms of B = @F=@Q is similar. The eigenvalues of the ux Jacobian matrices are purely real. This is the de ning feature of hyperbolic systems of PDE's, which are further discussed in Section 2.5. The homogeneous property of the Euler equations is discussed in Appendix C. The Navier-Stokes equations include both convective and di usive uxes. This motivates the choice of our two scalar model equations associated with the physics of convection and di usion. Furthermore, aspects of convective phenomena associated with coupled systems of equations such as the Euler equations are important in developing numerical methods and boundary conditions. Thus we also study linear hyperbolic systems of PDE's.
  • 21.
    12 CHAPTER 2. CONSERVATIONLAWS AND THE MODEL EQUATIONS 2.3 The Linear Convection Equation 2.3.1 Di erential Form The simplest linear model for convection and wave propagation is the linear convection equation given by the following PDE: @u + a @u = 0 (2.17) @t @x Here u(x t) is a scalar quantity propagating with speed a, a real constant which may be positive or negative. The manner in which the boundary conditions are speci ed separates the following two phenomena for which this equation is a model: (1) In one type, the scalar quantity u is given on one boundary, corresponding to a wave entering the domain through this in ow" boundary. No boundary condition is speci ed at the opposite side, the out ow" boundary. This is consistent in terms of the well-posedness of a 1st-order PDE. Hence the wave leaves the domain through the out ow boundary without distortion or re ection. This type of phenomenon is referred to, simply, as the convection problem. It represents most of the usual" situations encountered in convecting systems. Note that the left-hand boundary is the in ow boundary when a is positive, while the right-hand boundary is the in ow boundary when a is negative. (2) In the other type, the ow being simulated is periodic. At any given time, what enters on one side of the domain must be the same as that which is leaving on the other. This is referred to as the biconvection problem. It is the simplest to study and serves to illustrate many of the basic properties of numerical methods applied to problems involving convection, without special consideration of boundaries. Hence, we pay a great deal of attention to it in the initial chapters. Now let us consider a situation in which the initial condition is given by u(x 0) = u0(x), and the domain is in nite. It is easy to show by substitution that the exact solution to the linear convection equation is then u(x t) = u0(x ; at) (2.18) The initial waveform propagates unaltered with speed jaj to the right if a is positive and to the left if a is negative. With periodic boundary conditions, the waveform travels through one boundary and reappears at the other boundary, eventually returning to its initial position. In this case, the process continues forever without any
  • 22.
    2.3. THE LINEARCONVECTION EQUATION 13 change in the shape of the solution. Preserving the shape of the initial condition u0(x) can be a di cult challenge for a numerical method. 2.3.2 Solution in Wave Space We now examine the biconvection problem in more detail. Let the domain be given by 0 x 2 . We restrict our attention to initial conditions in the form u(x 0) = f (0)ei x (2.19) where f (0) is a complex constant, and is the wavenumber. In order to satisfy the periodic boundary conditions, must be an integer. It is a measure of the number of wavelengths within the domain. With such an initial condition, the solution can be written as u(x t) = f (t)ei x (2.20) where the time dependence is contained in the complex function f (t). Substituting this solution into the linear convection equation, Eq. 2.17, we nd that f (t) satis es the following ordinary di erential equation (ODE) df = ;ia f (2.21) dt which has the solution f (t) = f (0)e;ia t (2.22) Substituting f (t) into Eq. 2.20 gives the following solution u(x t) = f (0)ei (x;at) = f (0)ei( x;!t) (2.23) where the frequency, !, the wavenumber, , and the phase speed, a, are related by != a (2.24) The relation between the frequency and the wavenumber is known as the dispersion relation. The linear relation given by Eq. 2.24 is characteristic of wave propagation in a nondispersive medium. This means that the phase speed is the same for all wavenumbers. As we shall see later, most numerical methods introduce some dispersion that is, in a simulation, waves with di erent wavenumbers travel at di erent speeds. An arbitrary initial waveform can be produced by summing initial conditions of the form of Eq. 2.19. For M modes, one obtains u(x 0) = M X m=1 fm (0)ei mx (2.25)
  • 23.
    14 CHAPTER 2. CONSERVATIONLAWS AND THE MODEL EQUATIONS where the wavenumbers are often ordered such that 1 2 M . Since the wave equation is linear, the solution is obtained by summing solutions of the form of Eq. 2.23, giving u(x t) = M X m=1 fm (0)ei m(x;at) (2.26) Dispersion and dissipation resulting from a numerical approximation will cause the shape of the solution to change from that of the original waveform. 2.4 The Di usion Equation 2.4.1 Di erential Form Di usive uxes are associated with molecular motion in a continuum uid. A simple linear model equation for a di usive process is @u = @ 2 u (2.27) @t @x2 where is a positive real constant. For example, with u representing the temperature, this parabolic PDE governs the di usion of heat in one dimension. Boundary conditions can be periodic, Dirichlet (speci ed u), Neumann (speci ed @u=@x), or mixed Dirichlet/Neumann. In contrast to the linear convection equation, the di usion equation has a nontrivial steady-state solution, which is one that satis es the governing PDE with the partial derivative in time equal to zero. In the case of Eq. 2.27, the steady-state solution must satisfy @2u = 0 (2.28) @x2 Therefore, u must vary linearly with x at steady state such that the boundary conditions are satis ed. Other steady-state solutions are obtained if a source term g(x) is added to Eq. 2.27, as follows: @u = @t " 2 @u @x2 ; g(x) # (2.29) giving a steady state-solution which satis es @ 2 u ; g(x) = 0 @x2 (2.30)
  • 24.
    2.4. THE DIFFUSIONEQUATION 15 In two dimensions, the di usion equation becomes " # @u = @ 2 u + @ 2 u ; g(x y) (2.31) @t @x2 @y2 where g(x y) is again a source term. The corresponding steady equation is @ 2 u + @ 2 u ; g(x y) = 0 (2.32) @x2 @y2 While Eq. 2.31 is parabolic, Eq. 2.32 is elliptic. The latter is known as the Poisson equation for nonzero g, and as Laplace's equation for zero g. 2.4.2 Solution in Wave Space We now consider a series solution to Eq. 2.27. Let the domain be given by 0 x with boundary conditions u(0) = ua, u( ) = ub. It is clear that the steady-state solution is given by a linear function which satis es the boundary conditions, i.e., h(x) = ua + (ub ; ua)x= . Let the initial condition be u(x 0) = M X m=1 fm(0) sin m x + h(x) (2.33) where must be an integer in order to satisfy the boundary conditions. A solution of the form M X u(x t) = fm(t) sin mx + h(x) (2.34) m=1 satis es the initial and boundary conditions. Substituting this form into Eq. 2.27 gives the following ODE for fm : dfm = ; 2 f (2.35) m m dt and we nd m fm(t) = fm(0)e; 2 t (2.36) Substituting fm(t) into equation 2.34, we obtain u(x t) = M X m=1 m fm (0)e; 2 t sin m x + h(x) (2.37) The steady-state solution (t ! 1) is simply h(x). Eq. 2.37 shows that high wavenumber components (large m) of the solution decay more rapidly than low wavenumber components, consistent with the physics of di usion.
  • 25.
    CHAPTER 2. CONSERVATIONLAWS AND THE MODEL EQUATIONS 16 2.5 Linear Hyperbolic Systems The Euler equations, Eq. 2.8, form a hyperbolic system of partial di erential equations. Other systems of equations governing convection and wave propagation phenomena, such as the Maxwell equations describing the propagation of electromagnetic waves, are also of hyperbolic type. Many aspects of numerical methods for such systems can be understood by studying a one-dimensional constant-coe cient linear system of the form @u + A @u = 0 (2.38) @t @x where u = u(x t) is a vector of length m and A is a real m m matrix. For conservation laws, this equation can also be written in the form @u + @f = 0 (2.39) @t @x @f where f is the ux vector and A = @u is the ux Jacobian matrix. The entries in the ux Jacobian are @f aij = @ui (2.40) j The ux Jacobian for the Euler equations is derived in Section 2.2. Such a system is hyperbolic if A is diagonalizable with real eigenvalues.1 Thus = X ;1AX (2.41) where is a diagonal matrix containing the eigenvalues of A, and X is the matrix of right eigenvectors. Premultiplying Eq. 2.38 by X ;1 , postmultiplying A by the product XX ;1, and noting that X and X ;1 are constants, we obtain @X ;1u z }| { @ X ;1AX X ;1u =0 (2.42) @t + @x With w = X ;1u, this can be rewritten as @w + @w = 0 (2.43) @t @x When written in this manner, the equations have been decoupled into m scalar equations of the form @wi + @wi = 0 (2.44) i @t @x 1 See Appendix A for a brief review of some basic relations and de nitions from linear algebra.
  • 26.
    2.6. PROBLEMS 17 The elementsof w are known as characteristic variables. Each characteristic variable satis es the linear convection equation with the speed given by the corresponding eigenvalue of A. Based on the above, we see that a hyperbolic system in the form of Eq. 2.38 has a solution given by the superposition of waves which can travel in either the positive or negative directions and at varying speeds. While the scalar linear convection equation is clearly an excellent model equation for hyperbolic systems, we must ensure that our numerical methods are appropriate for wave speeds of arbitrary sign and possibly widely varying magnitudes. The one-dimensional Euler equations can also be diagonalized, leading to three equations in the form of the linear convection equation, although they remain nonlinear, of course. The eigenvalues of the ux Jacobian matrix, or wave speeds, are q u u + c, and u ; c, where u is the local uid velocity, and c = p= is the local speed of sound. The speed u is associated with convection of the uid, while u + c and u ; c are associated with sound waves. Therefore, in a supersonic ow, where juj > c, all of the wave speeds have the same sign. In a subsonic ow, where juj < c, wave speeds of both positive and negative sign are present, corresponding to the fact that sound waves can travel upstream in a subsonic ow. The signs of the eigenvalues of the matrix A are also important in determining suitable boundary conditions. The characteristic variables each satisfy the linear convection equation with the wave speed given by the corresponding eigenvalue. Therefore, the boundary conditions can be speci ed accordingly. That is, characteristic variables associated with positive eigenvalues can be speci ed at the left boundary, which corresponds to in ow for these variables. Characteristic variables associated with negative eigenvalues can be speci ed at the right boundary, which is the inow boundary for these variables. While other boundary condition treatments are possible, they must be consistent with this approach. 2.6 Problems 1. Show that the 1-D Euler equations can be written in terms of the primitive variables R = u p]T as follows: @R + M @R = 0 @t @x where 2 3 u 0 M = 6 0 u ;1 7 4 5 0 p u
  • 27.
    18 CHAPTER 2. CONSERVATIONLAWS AND THE MODEL EQUATIONS Assume an ideal gas, p = ( ; 1)(e ; u2=2). 2. Find the eigenvalues and eigenvectors of the matrix M derived in question 1. 3. Derive the ux Jacobian matrix A = @E=@Q for the 1-D Euler equations resulting from the conservative variable formulation (Eq. 2.5). Find its eigenvalues and compare with those obtained in question 2. 4. Show that the two matrices M and A derived in questions 1 and 3, respectively, are related by a similarity transform. (Hint: make use of the matrix S = @Q=@R.) 5. Write the 2-D di usion equation, Eq. 2.31, in the form of Eq. 2.2. 6. Given the initial condition u(x 0) = sin x de ned on 0 x 2 , write it in the form of Eq. 2.25, that is, nd the necessary values of fm (0). (Hint: use M = 2 with 1 = 1 and 2 = ;1.) Next consider the same initial condition de ned only at x = 2 j=4, j = 0 1 2 3. Find the values of fm(0) required to reproduce the initial condition at these discrete points using M = 4 with m = m ; 1. 7. Plot the rst three basis functions used in constructing the exact solution to the di usion equation in Section 2.4.2. Next consider a solution with boundary conditions ua = ub = 0, and initial conditions from Eq. 2.33 with fm(0) = 1 for 1 m 3, fm (0) = 0 for m > 3. Plot the initial condition on the domain 0 x . Plot the solution at t = 1 with = 1. 8. Write the classical wave equation @ 2 u=@t2 = c2 @ 2 u=@x2 as a rst-order system, i.e., in the form @U + A @U = 0 @t @x where U = @u=@x @u=@t]T . Find the eigenvalues and eigenvectors of A. 9. The Cauchy-Riemann equations are formed from the coupling of the steady compressible continuity (conservation of mass) equation @ u+@ v =0 @x @y and the vorticity de nition @v ! = ; @x + @u = 0 @y
  • 28.
    2.6. PROBLEMS 19 where != 0 for irrotational ow. For isentropic and homenthalpic ow, the system is closed by the relation = 1 ; ; 1 u2 + v2 ; 1 2 1 ;1 Note that the variables have been nondimensionalized. Combining the two PDE's, we have @f (q) + @g(q) = 0 @x @y where v q= u f = ;v u g = ;u v ; One approach to solving these equations is to add a time-dependent term and nd the steady solution of the following equation: @q + @f + @g = 0 @t @x @y (a) Find the ux Jacobians of f and g with respect to q. (b) Determine the eigenvalues of the ux Jacobians. (c) Determine the conditions (in terms of and u) under which the system is hyperbolic, i.e., has real eigenvalues. (d) Are the above uxes homogeneous? (See Appendix C.)
  • 29.
    20 CHAPTER 2. CONSERVATIONLAWS AND THE MODEL EQUATIONS
  • 30.
  • 31.
    ¦   H ‰Bd 4 Y H h 5 D h H h H H 2 2 5B D T D 5 2 h 2 T Y 7 d H D H F D H 2 n H h 5 D Y R Y DB 7 d H  H d R ` n YB F D q 5 2 5B †X‚QW6IkGÆQI6QIÅ8EGVG¢I¬I¢–9W6GeIW‰II6IkG‘IwGE9W6s‚I8U…EIG‘¢Å8EGD r 4 H  Y 2B 2 i ’ ¥ H d R `B ¤ 2B 2 @ 5 F Y YB H 4 T  Y h 2 T H 7B D F D 5 ‰ ` 2B by 5 b 2B F Y H 7 D Y Hy  7B Y H F –Q†WIEe™j’   p™WI8EvX‰CcIWvXuQVUWeIV9XGŽW¢†…IXx„88oX‚Q9Š‚6XI9X‚Iut ¶ à ¹ » ´ » à 9Q”av–Ä ± Á ¶ ± À ± ¿ ¹ ½ ¼ ± » ¹ ¶ ¹ ‘ej)6¾hfv6egº¸ · ¶ ´ ² ± ³ ² ewµ”± ° ¯ ® c­ ’ 2 5B D T 4By   T y T 4B D 4 T d ‹8EGVQXEII¢›VgXW6¢WI ` 2B Y 5y d 5 H bB D 4B d D Y H d iy R h 2 R ` 2B H ‰ D R 5 F DB IX‚8X98‰8EW6EWGfQ‚¬EIIpIrIEQ†9p8IWEC@ QGfx‚«VƒW6Gf¢ŠªQ6¢U‚XISQ©¢‚Iv@ 7 H DY i Y 2 TB Y H Dd T  h H 4 T  YB R P H 2 T H Y R H YB Y iy T 2 T i 4 T d R 4 4 T ` 2B @ 5yy 5q H F D q 5 F 4 R 7 2B t 2 5 Y T H d YB F D d 5 ¤ ’ Y 2 5B D T R P H h H 7 d 5q Y 2 T d XWx„¢U¢6VGI6Q¢IECcXX¢•9IWŠ¢ƒI…AX§‹8WVgWwXpG8UeQp8XWVUSQAQ9W8•fI¢WGD H F D q 5 Y D 2 HB 4 ¨ H 5 4 Hy ‰ TB d T b 5 D 2B h H ‰ d 5 Y ‰ T YB 2 5B D TB d T b 4B d D H 7 5 H ` H F D yy T ’ 7 d 5qB 2 R YB }   œ pGpVvGo6XQ9‡˜6”XIVƒWV¢CGoEwQ†W¢WI¢§E8XWVƒ‚¢V”XWW698Q¢vIW¢XV¢‰W8•„II˜Xhƒxp3ž  ¢†lŸš¢£x†™lƒIu§8E˜”Wp8XvuEwCcI‚›¢s‡ƒxp3V¢†lŸš¢£x†™lƒ#QEX¢Q3V‚uuX‹E¢V‚QWoXB  „ ‡yx x ¢ œ { ‡  H F t ’ ¦’ ¥ H d R `B ¤ 2B 2 @ 5 F Y Y T t }   œž    „ ‡yx x ¢ œ { ‡  h Hyy T 4r 5 Y T 2B Yy T b d H D 2 h H 4 T  YB R P H F DB @ F Y H 7 2 TB Y H D d T  7 d 5qB 2 R T 5 D h H 7 d 5q Y 2 T d D H ‰ 2 T 4 }   œ ž    y ž  ‚ œ 2 Q6¢U‚XISQG„CW6#¢ƒ‚QW‚¢Š¡‚8•EpI††GAQ9W8•fI¢GW9†rVgƒxp3v¢WŸ‡cxUeXB Y H D T 2B h d 5 5 4 d T H 2ByB b d R 4 y T d H 2 H ` 2B h H Y Y H d  — H Y H F Y H 7 q 5 Y H Y Y Ty 4 y T d H 2 H ` H DB R P D T F D D 4 T 6GVIXI‚8˜6Š¢QIXEXx‚I6›¢G6IQ¢‰EeQ‚WQ‚I˜‡‘QI‚Q9vVf6WWVƒQ›VGQpQ8uG„ISCVUW‘‡¢šq H F D H ŒB Y T F  7 H H ™ ’ 7 H D Y i Y 2 TB Y H D d T  T 2B h H D 2 H Y H d  YB @ 5y H ‰ y TB d H D T 7 H F D q 5 yy pG…QEW¢II#6…w‰QW‚x‚e¢XW6G‚VŠeXAQWS6W6WIEsEQ†˜¢ƒ‚QGld‘IWj¢vE™i ’ — d H D  T F  2B h H Y Y R 4 YB h H ‰ yyB @ Y 2 5B D T 7B — 5 d   T H 4 2 H d H gB h r H DB 2 n H Y H F If6GpVU•‰X6W‚IQ‚XIu†hXEC•I8EGV#X˜gWpI¢uQpQW6h„I3–G„IUuWQpGD ` 2B iy   T d 5q Y HB ` H D T d D ” ’ “ d H D  T F  2B h H D T H d D H d T Y H bB D T bB d H h H 7B D ’ Y H bB D T bB d H h y TB D T  pXxEIp¢u8••6X86GVWGx€˜CQG˜¢U•‰Xe6GVQWWW¢u68„GVVE‚QIf#EGp6Q¢EGl¢„W6Ih¢XGVIWY 2 5 YB d H D  T F  YB F D 2B YB Y T F  7 H d R “ ’ Y H bB D T bB d H h H 7B D d 5 Y H bB D T bB d H h y TB D T  Y 5 D d H F DB 8‘X™QG˜¢U•EIG‰XfXWVUI9Q™p™Q68„GVVE‚QIw9XGC8fQ8„GVV„WQpm¢XGVIWdWf6IG„QH h HBy   T H ‰ 2 T 4 H Y H F t ’ h H D 2 H Y H d  YB Y H bB D T bB d H h y TB D d T  5 D Y 2 5B D T 7B — 5 d   T H 4 2 H d H gB 6XEII¢#sr¢gŽ‚QIu†‹QWoQW6WIuEwQ¢EWVVEW6Ij¢XG‚VUWI8XWV#X˜gWIIVŽQpQW6h„Ih r H DB 2 n q 5 D  H 4 2 5 4 H F D t d H D  T F 4 YB F D 2 1 ’ H d H F h H ŒB Y T F  7 H F 4 T 5 d   T H F D YB YB F t ’ h H by 5 ‡G„IUm¢p6QI¢QwIGUQ6GpVUƒfEIG3ŠVWQpQ6X‚¢UI9Q†ƒ¢oWpI¢aIGuXCEIuŠ‹68E¢WY H ‰ 2 T 4 F 4B F @ Y 2 5B D T R P H H 4 2 H d H gB h q 5 D H Y T Y H 4 R h 5 d  F 4B F @ ˆ ‡ ‚x } { … „y ‚  €  { ~ } {yx †rVg)ƒEICwp8XWVUSQ9QI6W6h„IŠ¢w6‚‰wQQpI˜‚IrƒEIC9QU|‡d†x|xƒG¢93‡d|zkT 5 D ` 2B h T Hy t D — H 2 h H D T 7B — 5 d   T H d T Y H bB D T bB d H h H 7B D H F t ’ Y 2 5B D T R P H y TB D 2 H d H gB h i d T 2B WwIEI¢QXpQx‡I#QGldEpg‚II¢™W¢vQ¢EGl¢„W6If9XWfIuj6I8EGVUS6†VƒGo6WQsEp–‚¢UEIh r d 5 q 5 7 H D Y i Y T ` 2B 4 R h 5 d  i ‰ H d H F D t D Y d n Y H bB D T bB d H h y TB D T  Y H F D H D T 7B — 5 d   T 2 T 4 H 2 f8ˆ¢pQGfx‚depXQpI˜‚Io6WQpGhQ‚WI™Q¢EGl¢„W6ImVƒGlUW…pGuGV#X˜gWIp¢k¢gwI85 t8„Q8„GVIWQWEfjQI8EGVIx6QpQW6h„IwpXG„IW6WfIG™¢E8‚eQIWdI¢9„WI¢QI¢GEIwXW™WQpGD iy H bB D T 2 d H Dy i ’ Y 2 5B D T R P H H 4 2 H d H gB h ` 2B Dy R Y H d H F D H by 5 Y 2 H F D h 2 T iy Y R 5 H 2 T Dy R 7B Y H Y H F H D T 7B — 5 d   T 2 T 4 H 2 “ ’ H 7B D h 2 T H 4 T  Y F D 5 ‰ 5 D D 4 H  Y H d F DB @ Y H bB D T bB d H h y TB D d T  2B T D 2 5 GV#X˜gWIp¢–¢g•I”V#EG…I¢C6¢U‚‘G¢†Gˆ‡Q†WQ‚…G„CvQ¢EWVVEW6Ix¢ƒW‚¢UwX¢GS¢Q4 Y 2 5B D T R P H y H h 5 7 d R 5 t @ 5 q hB R q i h T H D Y 2 R ` 2B 2 d H b 5 ` Y 2 5B D T R P H H F D F DB @ 2 5 7 7 5 4 2 p8XWVUSQ€QIx9wI8vusIrXIIpVgGfIIeIEIW68c8aI8XWVUSQ#IGGECA89#86)31 0 ' ) £ % $ ( ' #! $ © ¨ % ¦ §¥ ¤ £
  • 32.
    ’ D 2H 2 5  — H 2 QoQI8†˜‡‰¢T ¢W•Š„‰‚XI¢IXW‚Xp9Wf6WQpGoQ‚¢U 7 5 dq DB F YB R ` 2B D YB h 5 D Y H Y H F D 2 H d T F DB @ h H Y 5y 4 2 H iyy T R Y R YB h 2 T D B d 4 Y d H  R Y T Y i T @y T YB H 7B D t d H F D H ` 5 D h H Y R 2 H F @ D R WECÅQ‚8X6IQEE¢UWp…X¬I¢9˜XW6W‚Q†IW–xgŠ„¢‘EŽ#EGjQ6IG‡88W¬6WIÆQpC‘pI‰ t D B d 4 Y ‰ R Y T Y T d T H   T Y H 4B h 2B H 4 T  Y h 2 T H 7B D H F D F D 5 ‰ t H 2 5y T h H Y R 2 H F @ D T F D H 4B D 5 QpX‚Q‚IIW‘C¢‘¢Qsp¢uQ6XIpXwQ¢U‚I¢9XWupGeG¢†pVI8E¢6WI‰QICulUG6XGVfò ç ’ ¥ 8¥ pšæ   ü ¢í ¡‚£Ý ¤ý ü ¥Icï   ü í Ý ä ç ß îû þ ø ù æ ¡‚xÿˆs‘XŽÆ™ê ‚mÝ ý ü ï Ý ä ç ñ û õ ø ìù æ IgUðˆë|x©9ú‚mÝ ä ç ñ õ ø Þà ß î þ ø ßæ ¡†p«˜‚˜‘¬‘|mÝ ä ç ß î þ ø ßæ ¾s…¬‘|vÝ ä ç ñ õ ø Þæ ¡†p«‹•mÝ Û Y @ 5yy 5q Y T YB ` 2B — H h 2B D B d 4 Y d H  R Y h 2 T D B d 4 Y ‰ R Y d 5q 2 5B D 2 H b 2 5 4 H F QCcXE8•u¢CX–IE˜‡IIE‘pX‚QW‚Q†IW‰I¢fpEW6WII‚u8•†¢XGo68o8QwIut ’ Y R 5B b ‰ 5 ` 2B 2 T H 7 H F D H ÷ T 7 hy R 5 F 6I8E˜o8‘pXI¢Q#uIW¢¢#XI8pWY Dx‡Wo8Qu¢Q˜EC‡p‚¢WW6QQp96#EG‡#8‚#EºƒXpC•e6W8†WpI#6IGV#8•©QWp†‚¢ƒs–8£vì — H D 2 5 4 y T 4 5y t ç i d T Y Y H 4 H 2 Y H 7B D H 7 5 Y YB F 4B F @æ Y H Y 5  d R  d H F D 5 d 5q h H Y R H d T ö à õ à êà 2 H F ™ ’ i T @ d TyB 7B Y T 2B â h 2 T á d 5q h H Y R H d T ö h 2 T õ d H D T ô ’ D R 5 F ` R 5 d F D Þ î ä ñ D T F Qpª•8g•v¢XX9XW–†X#†I¢Ž‘¢•Q‚IuW¢j†I¢6GV˜vgp¢I8I8‚IG•‘óe™VIGD HD 5 ò W¢f‘’   pwWp8Xv†XeCcI‚™¢s–XdpXQVUWaIGu…p¢A†EdIEQ¢U‚wIWuXk…‘W6IC@ ’ ¥ H d R `B ¤ 2B 2 @ 5 F Y Y T t Þ 2B ` 2B 4 T  Y H F D Þ î h 2 T ß 2B ` 2B 4 T  Y H F D YB ß î H d H F ß î ê ä í …S«uxß ç ¦’ ¥ cEpšæ ñ ì ä Þ î ì ä ï ›ª€…‹ða3Þ ç   pšæ ’ ¥ ä ¡Þ ä ß hB d ` h H 4 T  YB R P H 2 T 2 5 2 H F t ’ ì ž   è   YB X‚86Q¢IWXpx6¢¢Qpujv•s¢€é¢wEŠÞ d 5q D T F D h 2 T t ê ž   è   YB ß d 5q — H h 2B F Y H 7 H F t ’ h H 7 R Y Y T YB d H F D 5 H F D 2 5 H 4 2 H h 2 H  H ¢•uVUG‰I¢ëUˆc¢€é¢wXC¢•e‡IpX‚Q9apu•‹6#I‚W¢CEf6IGVwpG8…QpQII6s6Ih t h H D 5 2 H h YB Hy ‰ TB d T b H 2 5 iy 2 5 2 H F ™ ’ ç Þ à ßæ Ý ä Ý H Y T 4 ã r ¦ H F D iyB d T 7B d  d H hB Y 2 5 4 H hQGVIQI™XwXI¢XW¢Vwp8„I8kQpªu–‚W˜•måe‘W¢QÏÔ6eIWd„XWVdEWI6IX‚I8Q‘v@ Y d H D  T F 4 y T d H b H Y D Y d n H F D d 5 ¤ ’ â à á à ß h 2 T t Þ Y Hy ‰ TB d T b D 2 H h 2 H  H h 2B H F D q 5 Y 2 5B D 4 2 Rq H d W6GpVUƒh¢WQ¢6W•‚‚UfIWj8Ujpƒ†G˜dIVp–jQEI¢XW¢VŠoQpIQ†QIpX™pG‹¢vI8EG6pI•‘‚¢T t Hy  7 T — H d 5q t Ý t Y Hy ‰ TB d T b D 2 H h 2 H  H h H F D ty T d H 2 H ` 2 1 ’ Y 2 5B D T 7B — 5 d   T H 4 2 H d H gB h H DB 2 ¢Xp#¢p–Š8•˜˜˜QQEI¢XW¢VCoQII6s6IIW˜ŸVGQpQ83”6I8XWV#X˜gWIIVuQI6WQsEpG„IUn ’ Y H 4 T  Y y T 2 5B D T D R  7 5 4 h 2 T y T 4B Y i F Q6Q¢IWhVU8XWVƒ˜I#¢Q‰I¢˜¢QXWxojÜ Û ¦’ ¥ H d R `B 8„puWI¢Xv¤ x y Ú Ó × Ò Ë É ÙÒ Ø × Í Ê Ê É Ì Ç Ó Ì Í Ì Ñ ÑÒ ÖÕ Ì Ë Ò ÓÒ Ñ Ð Î Í Ì Ë Ê É È u‡§™†fjˆˆ«”w€‘ˆ””Ԑz€mQ‘Ôv«Sψm™‘”Ç   8 
  • 33.
    ç 9’ ¥ ¢%pšæ ’4D ¢W6H ’ 7 d 5qB 2 R YB ` 2B 4 T  Y H F D t ß î d 5 Þ î 2 5 D B d 4 Y ‰ R Y 5 2 YB H d H F D 2 H F †‚8•EpIuX–IEQ¢U‚uIGU˜…C8Š…‰8fpX‚Q‚IIW–IuEa‚QIW‰6Iª™ à ï Ý 6 4 ü ï Ý ä ï Ý ˜UÅ85cUªaë‘î à í ß 6 4 üí ß ä í ß sxr'5‚xªCx…î à ïÞ 6 4 ü ï I3r75c3Þ ä ïÞ a3…î D T F D F 4 R Y h H 2 n H h YB F 4B F @ t î y 5 ‰ 7 i VUW†ƒI‚QpU6IuE†ƒEICIe˜8†…x‚Y H F D YB 2 5B D  H 4 — H H 2 5 H F t ’ ` 2B 2 T H 7 H YB 4 H d  Y DB H 2B 7 d H D H h 5 D h H Y R H d T Y i T @ d H F D “ ’ pGXk8EGp6Q˜‡‘p8‘IuuIIEI¢g9‘WEQ6WIWE…pX9WQW6IWk6WI‘‚¢wxc•QpG™…S( y 5 ‰ 7 i Y H F D 2B h HB d d T 4 D 5 2 YB 2 5B D T 7B — 5 d   T H F D q 5 ç d H h d 5 h 2 Tæ H d R D T 2 H YB 4 H d  H F D D R 8sw˜fuIGŽE‰6X‚W¢QC¢IuXd8XWVdE˜c‚II¢upG§¢•ƒ6IW8‰I¢š9WIWVUuWEQ6WIuIWupI‰ 0 ¥21¥ ( ç ’ ¥ 8“ pšæ à 321 ( 0 t Hy  7 T — H d 5q t D T F D F 4 R Y H bB D T bB d H h T 5 D 2 5B D T 7B — 5 d   T H 4 2 H d H gB h ¢Xp#¢p–u8•pglUG‰ƒIWu8„GVV„WQp–9Wd8XWV#X˜gWIIVw6IQ‚QsEI‘T D 2 H Y H d  H d 5 D h H Y R YB ( y 5 ‰ 7 i Y H F D D T F D 2 T H 7 H @ YB F D i ’ H R PB 2 R D 5 2 YB DB ç 2 5B D  H 4 — H H 2 oQ‚QWpQW‘GaQWp§Eu)¢s…xfvIWmlUGu¢g9•v›XIWv'VISXIpv¢p§E§E›ë8XWpQ6˜‡€I85 F DB @æ D R ‰ i F  5 Y 5yB F  H 7 T Y H F D Y @ 5yy 5q Y 2 5B D T 7B — 5 d   T H 4 2 H d H gB h d 5q 2 5B D T D 5 2 H F WEC•pI…Sp8W8EXIpf9¢G‘IW”CsEX8•”p8XWVdE˜c‚II¢™QI6W6h„Iˆ8•‘8XWVƒ¢p™Iut ’ ß 5 D D 4 H  Y H d F DB @ Ý q 5 H bB D T bB d H h D Y d n H F D D 2 H Y H d  H d 5 D h H Y R H ‰ D 5 2 yyB ˜9W‘‡Q†W6W‰GEC‰vV8EWVVE‚QI‘‚‚UIGfoQW6WI6W–G‰Q‚Is‘¢phXEC@ ‘ISut Ý Y R F ’ Y H bB D T bB d H h Y Y H d  — H 5 D h H Y R d H b H 2 H d T Y Hy ‰ TB d T b D 2 H h 2 H  H h 2 5 Y D B d 4 Y ‰ R Y D — H D YB F D 2 QQ¢EWVVEW6IuW6WI˜‡dGQ‚IQ¢6IaW¢fQEI¢XW¢VoQIpQ†QI¢GpEWQ‚II‚x‡GCXpG31 Þ ç $’ ¥ ¢%pšæ Ý ä #˜!Ý H Y R H @ ã “ q 5 i h R D Y H F D 2B H bB D T bB d H h H 7B D i d T 2B h d 5 H F D d 5 ‚Iu•uY u”¢ppG‚uIWeX8„GVV„WQp#EG#‚¢UEIW¢wpGŠ8U¤ ç ’ ¥ o— pšæ ’ 4D ¢W6H à ß Ý ä eÝ ¥ à Þ ä eÝ Ý à ß Ý ä eÝ iy ‰ T H ` 2 T F 4 d H D 2B H Y R H @ H 7B D d 5 H 4 T  Y 2B Y H bB D T bB d H „I¢Q8I¢Uƒ‚QWSEa‚Iw•™9XWŠ8wQ¢U‚eXCQ¢EWVVEW6Ih y TB D d T  d 5q Y R F t ’ Y 2 5B D 2 H b 2 5 4 y T R Y R H F D 5 D ` 2B h d 5 4 4 ¢ƒW‚¢I‘8•#ISu©QI8EGoQ¢o8QC¢U‚IIGeWAIEIW¢QQVT Q‚WQ‚I˜‡WV#68„GVVE‚Qã h H Y Y H d  — H H d T Y H bB D T bB d H ’ D 2 H 7 H ` 2 T d d T hB d ` H 7B Dr H 4 T  goQ9Q¢I¢G‚¢X‚89XGŸ‡6¢U˜” © j j+1 © j-1 j-2 j+2 x Û   p‚I8Ev¤ ’ ¥ H d R `B © n-1 ∆t n ∆x n+1 Grid or Node Points t ¥   Ó × Ò Ë É Ë × u‡§™IawÓ ¨ Ì Ç Ó Ì Í Ì Ñ Ñ Ò ÖÕ Ì Ë Ò Ó Ò Ñ Ö Ó É Ú Ì È Ú Ì Ù Ð ¦Ð ”…ˆfˆ”vԐŸˆmQfÔv™™‰€™˜v†º8§xÎ
  • 34.
    ç   „pzæ ¦’¥ ç …zd“ø ß îæ ’ ß …î   4 €í Ý 6 4 üí AxÅ‚5‚˜Ý ä í W ß V Ý 7 d 5q H F D 2B h H D 2 H Y H d  Dy R Y H d i d T 7 7 R Y H F ‚8•IGeXQGo6WQ‚ICEpWQ‚Žf¢d9I‚wpGD Y H H Y 2 H Dq 5 H 2 5 h 2 T t 2 5B D T 7B — 5 d   T H 4 2 H d H gB h h H d H D 2 H 4 D 2B 5 r H H d F D H F D Y T 5 D h H d d Hq H d Y Q6W9QW|¢fp8#p¢o‹8EGV#X˜gWpI¢fQI6WQsEpeQW6GoQ6ˆoX8†3–QWpGCIGˆ¢aG#6W‚Q•6‚ˆXB d H D D Ty H F t ’ H bB D T bB d H h D Y d n T 5 D 2 5B D T 7B — 5 d   T d H h d 5 r h 2 5 4 H Y T YB ç ß QG‚Vƒpu”¢¢EGl¢„W6Iu‚‚Uw‘W#8EGV#X˜gWIp¢CQI‚83xI8Q6Ww•Xvs…î   IÔAxk£5‚xšæ æ rç4 € í Ý 6 4 üí Ý u D T F D Y @ 5 F Y ¦ ¦’ ¥ ’ P t iy d TyB 7B ” lUGjCcIWu¢EpSëj‘8„W¢XX9X˜”’ y í x‰Ww8XWV#X˜gWIIVˆQI‚83f‚WI™ˆX#‘V6˜935‚xšæ w u t 5 D 2 5 B D T 7 B — 5 d   T d H h d 5 r D Y d n T Y B ß î r ç í Ý 6 4 ü í Ý 2 5B Y Y H d  — H H F D D T F D H H Y H @ 8EWW6WI˜–uIGmVUGŠ6WuvVt ¡ Ep8†jˆ8‚ëv‹xIG‡#ŠpGë¢v6IW¢uIGv68„8jQvcsjfQvcXy ¦’ ¥ ’ P 7 5 d ¤ ’ h 5 F D H 7 H F D q 5 d H h d 5 H F D Y H bB ` d H @ 5  D Y H @ 5 H F D 5 D ` 2B 4 T  Y hB d ` H F D ` 2B 2B T D 2 5 4 7 d H D d 5 d d H H F t ’ d H h d 5 2B T D d H 4 T 5 D ` 2B 4 T  Y hB d pGWIX6¢U‚rX‚8dpGIXIE¢ƒo86¾‚QWw8‚W6ŽIu6QI‚8rE¢ƒfQ6WIX6¢U‚rX‚8` H F D 2 5 Y h 2 H  H h d 5 d d H H F D D T F D d T Hy 4 5 Yy T YB D1 ’ 2 `B Y y T R P H H F D q 5 H hB Y D F `B d H F D 2 pG¬8#pIQ†QI–8‚W6‰pG‘VUW…¢gEQkWE¢–X9£Å‹¢XWC¢Ix6IG‘¢IX‚‘o8X‚IG¬85 Y d T H   T F 4B F @ d 5 d d H q 5 D 2 R 5 7 T 2B T D d H 4 T F DB @ H bB D T bB d H h D Y d n T D 2 H Y H d  H d 2 5B D T R P H H F ‚¢g†I¢dƒXICj8‚W6‹¢ˆoI89¢#X¢G‚6QudWECu8„GVVE‚QI€fWUuoQ‚Q‚IQ‚#8EGVIx6fpGD q 5 H hB Y Dq Hy H F D 2 5 Y 7 d H D H D H d 4 YB h H F D D T F D d T Hy 4 YB DB t d H 2 2 T 7 YB F D 2B h H Y Y H d  — H 2 H F ¢uIEWC|6EapG8C#‚QGW6W6WEIapGCVUWŠ¢gEQCXC„UQQpI¢#‘EIGeEeQW‚Q‚I˜‡6Iª™ ç ¦ ¦’ ¥ s8„pzæ ‡x‡x‡8í W † ß ¡ V  ¦ V … ß …î Ý ¦ † ø í W „ ß “ V ‘î ß Ý ¦ „ í W ß ß …î   V ƒ6 Ý 4 €í Ý 6 4 üí ¥x)‚5WxÝ ä 2 5B D T R P H ` 2B @ 5yy 5 8XWVUSQwIXCcXE8•q H F pGD ‚8•ÆWeEI‚Q‚ApGªI8W¢QWðI¢«9p8†¢‰8GVWQ9ISkIGD X9W6GeIGðI¢U˜v 7 d 5q 5 D Dy R Y H d H F D  R 5 d ` H d h 2 T ê D R 5 ‰ T d 5 D T d H 7 R 2 H F 2B Y 7 d H D H F D h 2 T  — ’‡s…î   pf¥xÅ75‚xšA8EGV#X˜gWIp¢w6IQ‚QsEIwQVUWuIW‘6IX‚I8Qfx‡‘ˆŸXVd‚uXe…î ç ß æ r ç 4 € í Ý 6 4 ü í Ýæ 2 5B D T 7B — 5 d   T H 4 2 H d H gB h H 4 T  Y H F D d H hB Y 2 5 4 D — H ò ’yy T 7 Y YB ß u y w u t d 5 q 2 5 B D T 7 B — 5 d   T H y ‰ T 2 5 Y T H d T Y B ß î r ç í Ý 6 4 ü í Ý æ 2 5 B Y Y H d  — H H F D Y R F Y T ` 2 5y Y VI8Ev¢T í xv18•w¢XGldEpg‚II¢vXIVU8WVgWfvE#…¢sQxaq5Wxš‰¢XW‚Q‚I˜‡ŠIWvISut ç ¡ „pzæ ¦’ ¥ Y Y Y aa`ø í W ß   V ç ß î ¡s…šæ Ý ¦ ø í Wpß ß ‘î V iä í Ý 6 4 üí x)85‚˜Ý Ý 2B T D ‰ 5 5 D ß î i ‰ H hB bB h h 2 T í Ý D 4 T d D ‰ R X¢Gp89G†‘eSpXxEI‰I¢™˜‘‡¢GWpIWY ç h’ ¥ 8dpšæ d T H 2B ¢gpXXy @ 5 cfò í W í í W b ï ß V s…šæ 8ì saagø W ß V s‘šæ   ø ß ¡s…šæ ”xªj5‚xÝ Y Y Y aa`ø ø Y Y Y V ç ß î ø í Ý ä 4 üí ç ß î ç ß î ¦ ¦ Ý Ý ï Ý ï Û 4 ü í Ý d 5q 2 5B Y 2 T  — H Y HB d H Y d 5y i T t H F D d H hB Y 2 5 4 t Hy  7 T — H d 5 ƒ5‚xu8•‰¢XWp¢U˜‡‘QEWQ‚u8XxgmwpGuQIEWI¢QIVXI9¢p‡u8U¤ ’Y Y Y „aaSà   ¥8–f#‘8•fIWxI¢xm¢ŠI8EGVIXI…¢Q4 e à ¦ e ä õ d 5q ý ü í Ý h 2 T í Ý q 5 Y 2 5B D T 2B ‰ 7 5 7 5 dq h H 7 d 5q H ‰ 2 T 4 H bB D T bB d H h y TB D d T  2 H bB ` T 5 D Y 2 5B D T 7B — 5 d   T H 4 2 H d H gB h y T 4 5 8W•uQ9W8•j†aVgˆ8„GVVE‚QI¢¢ƒW‚¢UwQ¢E8C‘G‹I¢XGldEpg‚II¢€QpQW6h„Io¢Q˜›ô í W í í W b ï ß V s…pŸæ 7ì caa`ø W ß V s…pzæ   ø Xß ¡s…pzæ v˜ðCIWxÝ ç8dpšmaa`ø c’ ¥ æ Y Y Y ç ß î õ ø Y Y Y ç ß î õ V ç ß î õ ø í Ý ä ý üí Ý ï ¦ Ý ¦ Ý ï Y H bB ` ß D R 5 ‰ T 7 d H D d H D D Ty H F D ` 2B h 2 T  — ’ ý ü í Ý ä ç ß î Q¢E8up8†¢µW6G•6G‚VƒuIW9IEII¢IpvUsIWxÿˆs…põ ø ß î êæ #…x„mÝ ™s‘˜ð#|mAp¢)…Sê ‹p¥ p‰G…„p˜QSjTXkQ¢E8A8EGoQ¢S¢Qe8EGVG¢I2 ä ç ß î õ ø ßæ Ý h 2 T ß î ä ß t ’ ¥ 5 D ¦’ ¥ ’ Y P 2B 2 H bB ` 2 5B D 2 H b 2 5 4 2 5B D T D 5 H F D ` 2B @ 5yy 5q t 2 H F t ’ h H — n Þ F DB @ ç Þ à ßæ Ý d H hB Y 2 5 4 t Hy  7 T — H d 5 pGkIXCcXE8•u‹Qpuó‹Q˜p‘©GEC‘‚W˜•m#QIEWI86u¢EI#VI–#¢ë¤ ‹8EWI¢Ip–ŽQEW6WY ’ 2 5B Y 2 T  — H Y HB d H d 5y i T t Hy  7B Y T q 5 Y 2 T H 7 i ‰ h H D T Ry T b H d 5 h H D T d H 2 H ` H ‰ 2 T 4 2 5B D T 7B — 5 d   T H 4 2 H d H gB h ¢XxgvjEI#EW‘ë¢vp¢g9wSaQWVUXV¢‡m¢…QWVG6IQ8€†…¢gu8EGV#X˜gWpI¢Š6IQ‚QsEIÆi ² ¶ à ¹ » e#6ja´ R ¹ P à À C C S†QjeIHG ± E ¹ » ´ E ¹ À 9FjwwFˆ± ½ ± Á ´ C ‘wDB Ú Ó × Ò Ë É ÙÒ Ø × Í Ê Ê É Ì Ç Ó Ì Í Ì Ñ ÑÒ ÖÕ Ì Ë Ò ÓÒ Ñ Ð Î Í Ì Ë Ê É È u‡§™†fjˆˆ«”w€‘ˆ””Ԑz€mQ‘Ôv«Sψm™‘”Ç @® A­ —  
  • 35.
    ° ¯Ÿ §¢ « ¨ © ¢ « § ­ ¢ › ® « › ¥ž § ­ ¥ž ¢ ›     ¬ « ª › © › ¨ § › ¥ž ¢ ›   ŸŸž œ › š ¦d““¦q“£¦“A¤sF'¦d“¥¥d“sa1‘¦£s“q“7¦d¤£a¡ddv‡o™ H ™ ’ F Y H 7 H F D 2B D 2B 5  i d H b H D T $ ¦’ ¥ ’ P i ‰ 2 H bB ` 2 5B D T 7B — 5 d   T H 4 2 H d H gB h h H d H D 2 H •‹‚Q9apGX‘oX8†fQ¢6‘V–qE˜sëj˜oQ¢E8e¢XGldEpg‚II¢aQI6W6h„IeQ‚QGo6Q4 H F D HY R h 2 T — pGeWI¬IVu•Ý 9˜–m‘s•Ý ‘ç ¡ mjQp8XWEII¢QÅf¢UII¢sa6EIƒX‚XŽ‚8†#EB cfò ä ç æ Ý à ” ä æ Ý t Y 2 5B DB h 2 5 4 i d T h 2 R 5 ‰ D Hy F 4B dB ã H Y 5  7 @ 5 ç ¦ sªø Œ  ‘æ r  ä ß î ’ F Y H 7 D 2B 5  d R 5 “I‚’‰…vhWQ9uoX¢suI¢ë¤ — 6 ‘ Y ¥ 6 Y   6 ¦ ¦ 6 ¡ ‹ ä ‘ê ä eß ’ Y HB d T h 2 R 5 ‰ H F 6QEW¢UpI8†wpGD ` 2B h Ry 4 — H Y D 2B 5  € ‡y € }x „y q 5 d H ‰ 7 R 2 H F D 2 T H 7 H @ t Ž F Y H 7 T 2B Y D 2B 5  q 5 d H ‰ 7 R 2 H F IEIIEQ˜‡CGoE8s•lŸ‡‡3U|ŠVf6s…pxwIW‰¢Q#wvëpW6#–ECGoX8†”V‘6swISaIWD  q¢‰¢g†W‘veQICfVUWwQEG¢‘ucXQ†kCcIWuTI¢‰VGoX8††‚¢UpI8†G„CWQ97 5 ÷ T H  Y H @ 2 H F @ D T F D H 4B D 5 ò ’ @ 5y H ‰ 2 @ 5 F Y Œ h 2 T ‹ D T Y D 2B 5  i d T h 2 R 5 ‰ F DB @ F Y H DSE8†‘p8•wpGCQIEWI8•€h8XWVdE˜c‚II¢a9¢GuIWC¢•†8EGVGS6W6WI6WC8GlGQ†8wЇš¢9{ 2B 5  d R 5q H F D d H hB Y 2 5  ’ 2 5B D T 7B — 5 d   T H 7 T Y H F D d 5q 2 5B D T D 2 H Y H d  H d d 5 D T d H  5 ‰y €x  T H bB d H h Y R D Hy @ 5 ò ’ H bB D T bB d H h h 2 5 4 H Y T 5 D 2 5B D T 7B — 5 d   T H 4 2 H d H gB h D 2B 5  T YB F 4B F ¢E‚QIuI•6Eÿc‘j¢¢EGl¢„W6II8Q6W…‘W#8EGV#X˜gWpI¢6IQ‚QsEI•SE8†wuXeƒEIC@ ç $ ¦’ ¥ 8q„pzæ ß…î ¦ ç4 € í Ý ø í fAxÆv˜Ý   85Wxšæ 6 4 üí Ý ä íç ( ŠzsÝ ¥ ˆæ 2 5B D Ty H d H F D d H hB Y 2 5 8XWVƒ6WuIGu6IX‚I8• } r e j | r p y w p t i p r p ng l „g r j U¡7‚‡mxvu‚‚{†f…o!¡7| ƒ ‚— –— o˜– ’ 2 5B D Ty R 7 d 5q h H D T 4B D YB F  5 h8XWVƒIwW8•eQWVgEGfXII¢WY H d 5 7 T Y H dB R P H d 2 5B D T 7 d 5q 2B y T 2 5B DB h h T F 4 R ” ’ h H 4 d 5q 2 H H d T Y 2 5B DB h 2 5 4 i d T h 2 R 5 W89#™QWEISQ‚e8XWVd‚8•pE›¢U8EGEpI¢eƒIx™hQQ‚8•p6a‚¢™p8XWEII¢Q‚VUII8†‰ cIF @ 5 d 5 h H 4 2 H d H gB h H d T F Y H 7 H F D 2B Y D 2B 5  d H F D ¢rQ6IQ‚QsEI9WV)W6#9IWAEwWoX8†a6IGV5 cIapjXQWaI¢XW‚Q‚I˜‡d‚QIW•¢wQpGE6I2 @ 5 F Y R yy H D Y 2 5B Y Y H d  — H H Y H F D q 5 d H F DB H t6Q8‡•c‘QGoE8saIXpII8‚WI‚›¢€#‚QG9XŽ‚Q9a#XvoX8†™W6W6WEI™I¢•Vf8„GVV„WQpaT d H b H @ 5 € ’ Y D 2B 5  ` 2B h 2 R 5 d d R Y q 5 Y 7 d H D 2B F Y H 7 T 2B D 2B 5  H D H d 4 YB h H 2 5 D T H bB D T bB d H h 5 D 2 5B D T 7B — 5 d   T 2 T H bB ` i H F D H 4 2B Y ž € ‡ x  € } œ ‡ }  „ } € } y ˆ x „y ‡ œ d 5q YB Y T ‰ H F D H d T H Y H F W–¢XGldEpg‚II¢d¢¢E896pGf6IX‚ˆGlÔ¢‚‡Uƒƒh‡G‡ ¢ˆU|lUj8•ˆXWVU™IWf‚¢W6Iut ç — ¦’ ¥ Sg„pzæ ç ¥ ¦’ ¥ oc„pzæ í W ß ß…î ç ß…îz排~ø›çf4€¥í˜Ý¬ø”íxÝ   6845ü‚형æ Ý ä V ¦ Ý í W ß V Ý ß…î   ¦ ç …zŽ~›f¥˜r75‚xšæ ß îæ ’ ø ç4 € í Ý 6 4 üí Ý ä Û Y H bB D T bB d H h h 2 5 4 H Y h 2 T D Y d n H F D d 5q Y 2 5B D T 7B — 5 d   T H 4 2 H d H gB hr h H d H D 2 H 4 QQ¢EWVVEW6Ip8Q6WI¢f‚‚UIGŠ¢••I8EGV#X˜gWIp¢…6IQ‚QsEI£˜Q‚QGo6Q4 D 2B 5  r H H d F D H F D H d T Y Ty R 7 d 5q H 4 2 H d H gB hr H DB 2 n q 5 Y Hy  7 T — H 2 5 7 7 5 4 D Y 5 7 H F D Y  T F d H SE8†3‡6WIWaIWw‚¢‘¢ƒp…W8•6IQ‚QsEI£‡G„IU”Vf6XI9¢p‡‰89#86‘‚89apG™IVUW6mÜ } r e j | r p y w p t i p r p ng l j ig e h¡7s{zxvu‚sqo2mkshfd ² À à » ´ À ± C ˆ9”wˆr•” $   ± Á ¶ ± À ± ¿ CejÅ6¹ Ú Í × Ë É Í Ì Ê fu•™‘ˆˆu× ™— –— s˜– ½ ¼ ± » ¹ ¶ ¹ hf”‡egº¸ ­ ® ƒ­ Ì Ç Ó Ì Í Ì Ñ ÑÒ ÖÕ Ì Ë Ò ÓÒ Ñ Ð Ð ”…ˆ‘€v”ԐŸˆmQfÔm«xÎ xÎ
  • 36.
    H d TF Y H 7 D 2B 5 r d R 5q T 2 5 Y 2 5B DB h 2 5 W¢†W6#uoE8s£fI¢•‘‰8up8XWEII¢Q4 i d T h 2 R 5 ‰ D Hy F 4B dB ã F DB @ H bB D T bB d H h h 2 5 4 H Y h 2 T D Y d n T d 5q Y 2 5B D T 7B — 5 d   T H 4 2 H d H gB ‚¢III8†u6EIƒX‚XGEC‘¢EGl¢„W6I)I86Q‚rI¢w‚‚U‰w8•p8XWVdE˜c‚II¢#QpQW6h„Ih ry T d D 2 H 4 D 2B 5  r H H d F D H F D ` 2B D 2 H Y H d  H d Y d 5 D T d H  5 B d D T 7 H F t ’ H 7 T Y H F D YB Y H 2By H F D q „¢WGoQ6oX8†3–QWpG…IW‰IEGoQ‚Q‚IQ‚W8WVG6s¢— WWVd–Iuw¢9¢W‘IG™EQpXX‘pGˆ¢5 H 2 5 2 t h 5 F D H 7 y T d D 4 H  Y T ` 2B D 2 H Y H d  H d d 5 D T d H  5 H 4 2 H d H gB h —B d D T 7 H F D q 5 H Y T 4 H 7 H d D — I¢IU‹xIG‡#§¢GW66s‚#eIEGoQ‚Q‚IQ‚‘¢GVWQ†8w6IQ‚QsEIŽ„WWV#wIWv¢aW¢Qw9QWWx‡H H F D 2 1 ’ h H nB h 5 7 H ‰ —B d D T 7 H F D q 5  5 D d pG3”‹QIEIx#†#„‚GV#uIG˜¢8WŠ85 ¢GWVsuIWŠ¢gIu¢uVu6IXEwpGŠVIGGlƒ6EIh 7 5 D D 5 ‰ H F D d T H 2 d 5 D T Y H 2By H F D D T F D H D T D 4B i T 7 Y 2 5B DB h 2 5 4 i d T h 2 R 5 ‰ t Hy  7 T — H d 5 ¤ ’ H 7 T Y H F D iyB d T Y Y H 4 H 2 D 5 2 H d T H 2By 5 D H 2B 7 5 d gdjI¢XG„II86‘‚VUII8†o¢EI9¢p‡j8UjV#¢WCIG…„X‚¢G‚QQ6I€¢Iu‚¢CIXEuGŠIEXy ¢W•q h H Y R Y d 5 D T d H  5 D 2B 5  H F D D R ‰ t d 5 D T d H  5 H 4 2 H d H gB h D 2B 5  T 2 5 h H Y T ‰ YB d 5 D T d H  5 H 4 2 H d H Q‚I€W8WVG6s8voX8†™pG€pIxQ8WVG6s8fQI6W6h„I€SE8†ae8dQWVUvEˆ8GVWQ†86IQ‚Q•q rqB h B d D T 7 T q 5 H 2By F 4 T ’ d 5 D T d H  5 H 4 2 H d H gB h —B d D T 7 T Y H D T d D Y RyyB Hy  7 T — H YB F ƒEI‰— WGldŽv¢aIXEƒ¢ˆ½Q¢GVWQ†8‘QI6W6h„I†„WWV#Ž™6GVWG‚pXXE…Xp#¢p–XIut ¡ ’ ¥ ç ¢  pzæ y AŒ ¼‘D» e² Ý ¥ ( º² t ø ²Ý ä Y T 9 ¦’ ¥ ’ P H DB d @ H d 2 T 4 H ¢…q„p†ëj‡WE‚C6W¢Qav@ ç h ¦’ ¥ oa„pzæ ç c ¦’ ¥ oa„pzæ ¹ ¦   6 ¦ ¦ · ·· ¶ — !Ý ¹ ¡   6 ¦ ¦ ´µ ß…î ¦ ³´´ ¡ · ·· ” ¸¶ !Ý   6 ¦ ´µ ß…î ¦ ³´´   6 ä y ¦Œ t º² à · ä » h 2 I¢T … Ý ¹ „ ´µ Ý ´ Ý ³´ ä Ž² Ý ·· 4 ¸¶ £Ý ` 2B 4 R h 5 d D 2 1 ’ 7 d 5q y TB 4 H  Y i d H b T Y T F B d D T 7 ` 2B Dy R Y H IEQIp˜‚Go3”‰W8•‹¢XQ6s‚‚Q¢…fVUŽ— WWVd–IEG„IW6Wd H F D D T F D t d H F D d Rq h 2 T t 7 d 5q —B d D T 7 r d 5 D 4 H b T 2 pGwVUG§Q6IGfI•Ap¢§†‚8•e„‚GV#3Ô8G‡Q¢‰XB QpGw‚QWpp–r¢QdvuVUG¢QX6wEwEB 7 H F D Y Y H d  — H 2 T 4 H @ D T F D d T Hy 4 YB D ç 9 ¦’ ¥ 8q„pzæ ß î r …¢sç ß î r …¢sç ß î r …¢sç ß î r …¢sç … — Ý !ø Ý   6 Ý ø … „ Ý „ Ý   6 „ ø Ý æ Ý Ý   ±£Ý 6 4 ø Ý 4 £Ý   6 æ ä ä ä æ ” Ý !µæ ä … ç hÝ ¥ „ ç hÝ ¥ ç hÝ ¥ 4 hÝ ¥ ç (“æ (“æ (“æ ( “æ 7 d 5q H bB D Y H ` ` R Y H d 5 7 H F D 2B Y 2 5B D T R P H H Y H F D ` 2B DB d W8•u8„GfQ88pWW¢#uIWECI8XWVUSQu‚QIW…IXWEW™ …   „ Ý Ý 6 šæ ç— Ý 3!Æø ç “ ¦’ ¥ oc„pzæ … Ý „ ç ÝÆø Ý   6 šæ Ý   8£šæ 6 4 Ý „ ç Æø Ý ¬‹vÝ   Ý ø 4 ç 6 ” Ý k!šæ ß…î ¦ ß…î ¦ ß…î ¦ ß…î ¦ … ä „ ä ç ( sÝ ¥ “æ ç ( sÝ ¥ “æ ç ( sÝ ¥ “æ ä 4 sÝ ¥ “æ ç ( ä Û Y 2 5B D T R P H d R 5q H F D D T H bB d d 6I8XWVUSQup8•IGCVu¢EW‚¢T Ú Ó × Ò Ë É ÙÒ Ø × Í Ê Ê É Ì Ç Ó Ì Í Ì Ñ ÑÒ ÖÕ Ì Ë Ò ÓÒ Ñ Ð Î Í Ì Ë Ê É È u‡§™†fjˆˆ«”w€‘ˆ””Ԑz€mQ‘Ôv«Sψm™‘”Ç “  
  • 37.
    ’y T 25 ` TB h y T d D 2 H z¢U8¢¢ƒI›VGGo6Q4 H F D 5 D Y d Hq H d ž   è   H 2 5 y T d D 2 H 4 H F D h 2 T d H ‰ 7 R 2 2B h h 5 Y i T @y T H d T —B d D T 7 h H h 2 T ‰ pGdW™W6•6W‘c¢€é¢ep8v¢WGoQ6…IWI¢™Q†…ISXI˜fxc•EV‘W¢„WWV#eQIIVUdT d¢••GoQ9I8‚¢uIuj–Q² º c²Œ ë² ‹ Ž¢6W‚QWpp–seVgCII¢IIGaI8XVfWo¢ƒfI8QŠp8IWEC@ 5q Y D 2 H 7 R ` d T H F t ’ ç à à æ Á Y T h H Y Y H d  — H H ‰ 2 T 4 Y h 2 T ‰ H F D ` 2 5y T Y D 2 T D Y 2 5 4 D R 5 F DB —B d D T 7 y T 2 5 ` TB hB d D i ’ i DByB ‰B Y Y 5  T YB Y h 2 T ‰ q 5 d H ‰ 7 R 2 i 2 T F ` R 5 F Dy T —B d D T 7    „ ‡ … y ˆy € „‚GV#¢VU88¢XIX‚GÅ›83„XEIX‚W8†f§X§IIVUI¢§Q†…ISuo¢a8I8pGEVu„‚GV#‡¢†lxcš¢š‡šx Hy  7B Y T d 5q 2 H bB ` YB 2 5B D T d D Y RyyB H F D h 2 T y T 2 5B D  5 YB D 2 H 7 R ` d T H F D 2 XI9X‚w•¢•ŽQ8„8•E–8XWVGW‚IEXXfIGŽp¢†¢U8EGp8vX•S6#p8W¢™IG#XB 8¢‚IW6IC@ ‘ q 5 HY R HdH F ’ ’’ ç ’ ¥ 8$   pzæ ‘ ¹ Œ º · ·· ‹ ’’ ’ ·· Œ ·· ¸¶ ¦ º ÄŒ ‹ º Œ ´´µ ´´ ´´ ‹ ³´ ä ç º à Œ à ‹ jQÃsÃëÂÛ ‘æ ¤eÁ 2 5B D T D 5 2 H F D H 4 R h 5 d D 2B h 2 T ‰y €x  { ˆ } ˆ „  À T B d D T 7 T F 4 R Y yy T 4 H ™ ’y T 2 5 ` TB 8EGVG¢IuIG6IIxWGoE‰p¢wŠ–š¢99Wx†¢ƒ˜e— WGld‘ƒpW‹E¢gumŸVU88¢XIh yVGGo6QpG«Ip8W¢ª6W6G‚pXQ†W¢ªƒEICdIp¢UAI8XVeW8pG#¢•ŽpQ6˜‡Ž8‚Q6‘E¢‚¢T T d D 2 H 4 H F D h 2 R 5 d T h H d H D Y Ry 4 H d T F 4B F @ Y h 2 T ‰ ` 2 5y T H Y 5 F D d 5q D  H 4 — H Y 5 d H Œ yy T H d D T F D Y D 2 H 7 Hy H F DB @ B d D T 7 H d T R P Y T YB Y d 5 D T d H  5 H 4 2 H d H gB h —B d D T 7 H Y H F D q 5 F 4 T lUGGo6#6XQkWEC— WWVd9WVUSWeuXuW¢GVWQ†8–QI6WQsEpe„‚GV#9WQpG€¢rƒ¢ˆ ç ’ ¥ S—   pzæ ¹ ¦ ¥ ¢r   6 ¦ · ·· ¸¶ ¥¢r     6 ¦ ¦   6 ¦ ´µ ß‘î ¦ ³´´   6 ä ¥ ( i ‰ 2 H bB o‰Q8„8` YB D F `B d H F D 2 5 2 5B DB h 2 5 4 2 2 T 7 R H ò T d 5q „ ‡yx  {y ‰ ‡ € œ œ  € } ˆ € ‡ ~ ˆ „ ‡  } ž  h 2 T Y D 2B 5 E–o8X‚‰pG¬8¬8XWEII¢QÆI¢#IQ‘A98•elŸš¢9|8FG†o‡‡x‚lW¢†lƒƒckóp¢9GoX8† d 5B d H D 2B D T H 7 H F 4 Y ` 2B 4 2 H d H gB hry T d D 2 H 4 D 2B 5 r H H d F D T d 5q d 5 D T d H  5 B d D T 7 H F D 2 H F 8X‚QGoEdV#6IƒWIX6IQ‚QsEI£„¢WGoQ6doX¢s£‡Q‚IGAd8•–8WVG6s8Æ— WWVd†IGº6Iut — Wß V Ý ç ’ ¥ o¥   pzæ ¿¡¾¦ Whß V Ý ä YB 2 5B DB h 2 5 4 i d T h 2 R 5 ‰ H F D H d H F Xe¢XG„II86e‚VUII8†uIGuW6IC@   ’ ¥ ç 8  pzæ D 2B 5  ` 2B @ 5yy 5q H F SE8†ÅIXCcXE8•kIGD ç ’ ¥ s¦   pzæ ¹ ¦   6 ¦ ¦ · ·· ¶   6 ç ß ß „ r6 … •æ ‘î ¥ 6 — W ß V …î ¥ Ý Ý ¦   Ý ¦   ä … ç ( sÝ ¥ ˆæ Û‡ç p“ p†8XW6Qxw6˜ŸA¢XG„II86e‚VUII8†‰I¢#IQ‘9C¢•Š8GVWQ†85 ’ ’ ¥ 2 5B D 4 H ” H H ”æ 2 5B DB h 2 5 4 i d T h 2 R 5 ‰ 2 2 T 7 R H ò T d 5q d 5 D T d H  i ‰ “ ¦’ ¥ ’ P 2B H 2By F D d R 5q H F D H 4 Ty  H d t Hy  7 T — H d H F D d Rq T Y o¬cE˜fëj`XeIEXðGfI8•kIGkQ¢XIQ‚™VXI9¢p‡‰QIW‚I•ņ™i ¦ ¦   6 ¦ ´µ ß…î ³´´ ¦   6 9   ¹ ä ¥ ¥à ( ¦ ¡ ¦w6 ¡ ¦w6 ¡ ¦ · ·· ¶ ¦ Ú Í × Ë É Í Ì Ê fu•™‘ˆˆu× ´µ ³´´ ¦w6 ¡ ß…î   ¦ ä ( Ì Ç Ó Ì Í Ì Ñ ÑÒ ÖÕ Ì Ë Ò ÓÒ Ñ Ð Ð ”…ˆ‘€v”ԐŸˆmQfÔm«xÎ xÎ
  • 38.
    ° ¬ «ž§ ­ ª « ÂFÕ¤¥sxdŸ Ÿ ­ ž § ­ ® © ª Ö ž ª › ® © › ¬ « « § ©   ¬ « ® © › ¢ ¢ « ª § ¬ › Ô › Ÿ › ¨ ª ­ › › ª ¬ ž © ¯ Ÿ ¬ « › Ô ž § Ñ « ¬ « ž § ª ¬ Ò Ñ ­ © ÎÐ § ­ ¨ § › § Í ¦d¤¥‘“Xv¸£svˆ1q¦Q¤'q‘F“s¤¤¦†ÉS£É£d£Ï˜FsX£‘dˆqÕ‘¦1kd“v¦Ó¦d“†‘qŠuk%ž Ï¥‘¤p“¦« sÌ ’ iDByB ‰ T D Y q 5 Y 2 5B D T d H hB Y 2 5 4 2B d H D Ty y Rq H Y R H ‰ yyB @ F 4B F @ Y 2 5B D 4 R d D Y 2 5 ¢3EEXI¢G‚m¢CI8EGVWQIEWI86eXu6GVX§p•6Wps‹EXCƒXICuI¢XG‡IWW‚I¢Q4 y¢G6IQ8wGEpxˆV‘WI…pGCGE9W6s™QX‚¢UIp8swIG9IXIpXQpXEQUwpGE™GoE8sfI8EW¢Vb T d H 2 H ` H DB R P q 5 H Y R H F D Y DB 7 d H  Y HB d T h 2 R 5 ‰ H F D ` 2B h Ry 4 2B hy H n H F D 2B Y D 2B 5  Y R 5B d T H F D D T 2 5B D T 7B — 5 d   T H F D q 5 H d R D T 2 D 4 T — H H F D d 5 D T d H  5 H bB D T bB d H h B d D T 7 H F D 2B iqB 4 H  pGjVw8XWVdE˜c‚II¢CpGU¢u‚IGVIˆ6¢p‡upGv8WVG6s¢Š8„GVVE‚QIa— WGlduIWwXw|E6Q†WY 5 D i DByB ‰ T H F t ’ Y HB d T h 2 R 5 ‰ H F D D T D  H 4 — H hy H n H F D 2B D 2B 5  i d H b H D T h HBy   T 2 H H ‰ Y T W#3„XXp¢wpuv6QX‚¢UIp8swIW‘lp6Q˜‡‰X6UIGXCoX¢s‰‚68‡fl†6XEII¢QQ†‘¢UF d 5 D T d H  5 D 2B 5  H 7 T Y H F D D T F D d T Hy 4 YB DB h 2 T h H nB 4 H  Y iy H R PB 2 R 2 H H ‰ H b T F Y 2 5B DB h 2 5 8GVWQ†8oE8sw9¢G…pG™lUGC¢gEQfXfEIVkQU„QQ†W‰„QISXpIeQ6s…¢gUfp8XWEII¢Q4 id T h 2 R 5 ‰ H F D t ’ ¥ h 2 T ‚¢III8†apGpph   p†I¢‘9   p†QSj˜3€xqE˜sëjDo‰Q8„8u8WVG6s8CoE8suIW‰VUGe8EGD ’ ¥ ’ Y P 2 1 ’ $ ¦’ ¥ ’ P i ‰ 2 H bB ` d 5 D T d H  5 D 2B 5  H F D 2 T F D 2 5B r T 7 d 5q 2B H d 5 7 i d d T 4 l#W8•˜X‘W89–‚‚¢gwh   ˜ŽI¢w9   pp6SˆËoŽ68E¢v‚8GVWQ†8‘— WWVdfIG€VUW‘6XW¢fò ’ ¥ h 2 T ’ ¥ ’ Y P i ‰ 2 H bB ` Y d 5 D T d H  5 B d D T 7 H F D D T F D H 4B D 5 Æ Êˆ— W ß V Ý È ß É ‘î ¥ à Y Y Y –aaxà ¡ à ¡ s•Ý à ” ß …î   ¦ ä Æ ûV¢r   6xà6YaYaxà   xà   xà   Šù ¥ Y 6 6 6 Æ V¢r   ‡aax8Q8¦ ù û ¥ à Y Y Y à ¦ à ²Œ ä ä y ¦Œ t º² ²‹ Hd H F W6IC@ y AŒ Çw² Ý sQl²Œ U² ‹ eÁ º² t ø ç ¦ à à æ ç ’ ¥ oh   pzæ ß…î ¦ ä ² Ý ¥ ( h 2 n H @   ’ IUuvpt 8  p¥ h 2 T IVŽ—   psQSjfE™¢†¢pXWfo8X‚apG†¢‘p8XWEII¢Q‰‚¢III8†IVdI6fwsEWQ‚Q‚Iwv”£1 ’ ¥ ’ Y P 2B Y T t H hB Y D F `B d H F D 2 5 Y 2 5B DB h 2 5 4 i d T h 2 R 5 ‰ 2 2 T 7 R H ò H ‰B d 4 Y H d  H @ q ç ’ ¥ oc   pzæ Æû— Ý à Y Y Y à ” §Ÿ!Gà ¡ 6aaSà ¡ s!úÝù ß…î ¦ ä y AŒ t º² Û Y H hB Y D F `B d h 2 T Dq H 6QIEWCo8EWI¢‘|‡Xy H F D 2 5 Y 2 5B DB h 2 5 4 i d T h 2 R 5 ‰ D Hy F 4B dB ã H F D ` 2B hy 5 F d 5 D 4 H b H F D d 5q Y h 2 T D pG)8wI8EGEpI8Q‚VUII8†a6XpƒXWEeIW‰IEIX¢I‘8G‡Q¢dIGw8•wIp¢ƒfY y AŒ ~W6IC@ º² t H d H F y AŒ ¼w² Ý sgà   x8ÔeÁ º² t ø ç ¦ 6 à ¦æ ç ’ ¥ 89   pzæ ß…î ¦ ä e² Ý ¥ ( i ‰ o² Ý ¢¢EGl¢„W6II¢QQ‚uIGWVdE˜c‚II¢‰¢Qav@ q 5 H bB D T bB d H h h 2 5 4 H Y H F D H D T 7B — 5 d   T 2 T 4 H Å ¹ •Ý ´µ ’ ´ ’’ ´ · „ Ý ´´ Ý ³´´ ç ’ ¥ o“   pzæ ä ² Ý ·· ·· 4 ·· ¶ £Ý Y T ` 2B 2 n H ã ’ Y Hy  7 T — H Y R 5B b H d  d R 5 H ŒBy T d H 2 H @ 5 2 2 T 4 H V² Ý IXpU6ˆ6QXp#¢p–‘p8Xx6‚ICI86XXVGQpQ8` sp†¢Qur™ c   Ú Ó × Ò Ë É ÙÒ Ø × Í Ê Ê É Ì Ç Ó Ì Í Ì Ñ ÑÒ ÖÕ Ì Ë Ò ÓÒ Ñ Ð Î Í Ì Ë Ê É È u‡§™†fjˆˆ«”w€‘ˆ””Ԑz€mQ‘Ôv«Sψm™‘”Ç
  • 39.
    ç   ¥pzæ ’ ¥ ·· Ý ¥Œ ¹ Ý Aº ·· † ‹ †Œ †º … … … Œ ‹ „ ‹ „Œ „º º ·· ·· Ý ¸¶ 3‹ 4 xº ´µ ´´ ´´ ‹ ´´ Þ¡‹ ³´ Œ 4 º SŒ 4 ä ç à à Û “æ Ü jQ² º s²Œ †² ‹ –zokÁ i ‰ F Y H 7 D 2B 5 r “ T d 5q 2 H bB ` YB Y HB d D 2 o†‚Q9uoX8†3s#C8•e68E¢uX‘QX‚GoQH W8•„IIS8IWEC@ 7 d 5qB 2 R 2 5 2 F DB d 5 D T d H  5 B d D T 7 y T 2 5 ` TB hB d D 4B h 5B d H  y T 4B  i D i ’ —B d D T 7 y ˆ ‡y € } œ T Y T 5 D h H d d Hq H d YB F Y H 8GVWQ†8— WWVdV¢U8¢¢ƒIEWWvXIxX‚Q†S¢gEIx3¬˜s„‚GV#hŸ¢QŸ‡‡UЧ¢fGa6W‚Q•6‚˜XwWQ97 4B h 5B d H  T 2 5 Y 2 5B D T R P H d Ty T 4 Y d 5q Y H 7 H F 4 Y ` 2B 4 2 H d H gB h Y D 2 H Y H d  H d D T F D B d D T 7 H F XIxX‚Q†w#8ˆI8EGVIx6ˆ¢ƒ¢QWj8•€Q9QIƒ‚uIX6IQ‚QsEIŠWoQW6WI6WˆVIG…— WWVd‘Iut ‘ r xs   e‘€‹‚Q9Xp˜EWQ†Š¢QIXE‘8uWoX8†Co8Xj ä ß î ’ F Y H 7 4B h 5B d H  d T H 2By T 2 5 Y D 2B 5  D F `B Y Y aaY   ‘    6 Y c ¦ Y 6 9 Y 6 “ Y 6 $ 6 Y — 6 Y ¥ 6 ¦   6 ¡ ¡ c ¦ 6 9 6 ä ‘ê ä eß Y Y aaY ’‹8EGVQ˜EuIXW‚¢G‚jG„apXI6QQ‚Iv‚I‚ÚoX¢sCIW€lwsIIQH  Eˆ¢wI8E€V•W‚¢G‚uIX‚Q†…IS2 2 5B D T 4 5y ` 2B D d T D Y Y DB ` 2B h H 4 H d  D Y R Û D 2B 5  H F D D T Ž Y h 2 DB Y T ` 2 5y Y T Y D d T D Y ` 2B d H ‰ 7 R H F D H d H F @ d H D D T 7 iyy T H d 2 Y H 5 h DB t Hy 4 dB 4 T q 5 d H D H 7B d H  H F D 2 5 D R 5 hB Ty YB F Y H 7 H F pG‘W6ICf6GWld‰EE¢g‚uD ÚWQxI™E‹VXQ‚X6Ž•V™QW69X‚Q†‘IG8p8E¢ƒ™XeW6#‘pGD 2 H F ™ ’ ’ ¥ H d R `B ¤ 2B Y T F Y H 7 d Ty R 4 dB 4 T 2 5 iy H bB D Y H ` ` R Y H d 5 7 d 5 t Y HB d D 2 H h H D T H  H d F DB Qpªmp¥ pu‚I8Xm#Ej¢#WQ9”¢XIQ‚X6u98…EQ¢EW‚Q¢8IW•W89j8SQ6XWWoQ9QGlg†QW–WEC@ F Y H 7 d T H 2By T 2 5 h H D 2 H Y H d  H ‰ d H F DB H 2 T 4 YB F t ’ @ 5y H ‰ 2 @ 5 F Y F Y H 7 4B h 5B d H  D 2B 5 r D F `B ‚Q9v¢QIXE™–89QGo6WQ‚IІ”QpGE6‘¢gvXIumusEQ†–CspW–W6#€XIxX‚Q†voE8s£‚o8EQH H F D d H hB Y 2 5  ’ Y H ` 2 T F 4 d 5 D T d H  5 —B d D T 7 H F D q pGuQIEWI8•eQQ¢I¢Uƒu8WVG6s8„‚GV#–IGv¢5 W¢•9IW›‡Ÿ¢QŸ‡‡U…‚¢wI8XWEIp8Qef¢T 7 d 5q H F D t y ˆ ‡y € } œ H d T Y 2 5B DB h 2 5 4 i d r h 2 R 5 ‰ H F D q1 ’ h H — n H d T Y 2 5B DB h 2 5 4 i d T h 2 R 5 ‰ H F D F 4B F @ 2B Y H Y T 4 h H D T d D Y RyyB H b 5 ‰ T H F xII8†CIGs£j‹Q˜puWVˆI8XWEIp8Q‘f¢UIp8s‘IW9ƒEIC‘X€QWVg‘QWVGW‚IEXEf¢s†¢fIut } p tg r j ‚v†!¡7| ƒ tg Ø eg r p Ù†QX†!sfd –— –— ˜˜– ’ í Ý q 5 D 2 HB 4 ¨ H 5 sxm¢‘oQX696xQ4 H F D YB Œ D T F D d T Hy 4 DB Y H ÷ T 7 F 4B F @ D 2 H 7 Hy H F Dq n H F D 2B 5 d H Œ T q 5 2 5B DB h h T H F D H D 5 pGwE9ÓlUGw¢gEQ…„…QV¢#ƃEICwo6#6XQÅW|IŽIWrXe‚QQ†™Vr8EGEpI¢eIWdGVfò 4 üí Ý4 º ø í ÝŒ ø 4 €í Ý4 ‹ 5Wxfx“jxƒ“h¥˜f¡~ø AxÝ ×ušhÝ “æ €í ‹ ä íç ( ç ¡ ¥ pzæ ’ ¥ à 4 º à Œ à 4 ‹ ‹ æ Á ä ²Ý ² Ý ç ¡ ƒa¥c¥‡¡¥à ˆefŽ5 ( ç ¦ ’ ¥ sp¥ pzæ Y XB ¡ ¥ p††j7¢CoQE¢VEISQd„‚GV#uIGCISujQ¢GVWQ†8Ž— WWVduIWeXC|EpWY ’ ¥ ’ P q 5 D 2 Hy T bB R P H —B d D T 7 H F D Y R F t ’ d 5 D T d H  5 B d D T 7 H F D 2B DqB F y¢U8¢¢ƒI‰WwII8†W6W‚8Qw8GlGQ†8aoX8†dIWAEw|„IW£¢ê e6I8XWVgxXwI8EW¢V9IGwVT T 2 5 ` TB h T 5 D Y h 2 5  Y H d d 5 4 d 5 D T d H  5 D 2B 5  H F D 2B DqB F Yr i ’ Y 2 5B D T 4 5y Y R 5B d T b H F D D 2 5B D 4 2 Rq H F D q 5 Y H Ry T b H F D 5 D Y D F `B H @ H F D ` 2B bB ` Y D 2 HB 4 ¨ H 5 4 H F D Y D 2 H 7 R ` d T Y DB d 5q Y T 8EG‡II•IWm¢u6IXV¢pG‘GuGo8EQvIG…pXxE8CWS6X6#‡˜6IGuWS6#p8W¢ŠGEu¢•Š¢UF d 5 D T d H  5 B d D T 7 ` 2B h 2 5  Y H d d 5 4 H F t ’ H bB D T bB d H h D Y d n T d 5q d 5 D T d H  5 D 2B 5  H F D H ‰ D F `B 8GVWQ†8‘— WWVdwIEII8†W6WW¢Q™puv¢¢EWVVEW6Iv‚WIu€8•”8WVG6s¢voE8s‘IWC†ˆo8X97 Hy  7 T — EI9¢p‡H d8Uj‹8EG6pI•™IW‹¢•6IXV¢uIEW8†S8X6I˜¢€#‚QG#X…vSE8†QI6WQ•‡WfIGvV™¢EWVVEW6Ih 5 ¤ ’ 2 5B D 4 2 Rq H F D q 5 Y H Ry T b ` 2B d 5 ‰ F `B H 2 q 5 Y 7 d H D 2B ê D 2B 5  H 4 2 H d Hq H d H F D D T H bB D T bB d H H 7 5 Y d 5q 2 H D DB d @ iyy T d H 2 H ` YB d 5 D T d H  5 D 2B 5 98‚u8•‰6G‚EWC#EE¢G6IQ8CEu8GVWQ†8‘oX8† v‰QIWQ6•3‡se¢XGlƒQ‚9‰‚XXp¢ƒfQ9GD i ’ 7 H F D 2 H H @D H ‰ 2 5B D Ty H d T F YBy ‰ T DY H 5 D 2 T D d 5  7B YB DB t Y d 5 D T d H  5 D 2B 5  h 2 T —B d D T 7 F D 5 ‰ q 5 H Y R Hy ‰ T d H hB Y 2 5 4 H ÷ T 7 H @ H 4 2B o¢ƒf8s9X§X§„¢Q‚8GlGQ†8§oX8†…IVw„‚GV#wW¢sp¢Š‚IvEI¢WQIEWI86vV¢#•vvQpX˜” h   Ú Í × Ë É Í Ì Ê fu•™‘ˆˆu× Ì Ç Ó Ì Í Ì Ñ ÑÒ ÖÕ Ì Ë Ò ÓÒ Ñ Ð Ð ”…ˆ‘€v”ԐŸˆmQfÔm«xÎ xÎ
  • 40.
    h 2 TD Y d n T d 5q Y 2 5B D T 7B — 5 d   T ` 2B 4 2 H d H gB h ry T d D 2 H 4 D 2B 5  r H H d F D h d T h 2 T D Y H F D 2 H F IVu‚‚U•8•”p8XWVdE˜c‚II¢aIEQI6WQsEp3„VGGo6Q€oX8†3–QWpG#‚¢UIVƒ‚fIG#QIª™ ’ ’’ ç — ’ ¥ S¢¥ pzæ ‘ ¹ Œ º · Œ ‹ ‹ ’’ ’ ·· ·· º ·· ¸¶ ‹ ¦ º Œ º Œ ´´µ ´´ ´´ ‹ ³´ ä ç º à Œ à ‹ ˆ6¥c¥UÂÛ ‘æ Ü “xkÁ i ‰ 2 H bB o‰Q8„8` YB —B d D T 7 D 2 Ty R 4 dB 4 y T 2 5 ` TB hB d D T q 5 H Y T 4 y TB 4 H  Y H F t ’ DB H b 5 ‰ T H 2 5 H F D q 5 D F `B d H F Ek„‚GV#…o¢XIQ‚X6”¢U8¢¢ƒIEWW†‘¢Ž‚¢g€¢ƒ6Q†WeIu‰g„Ž8c†¢eI¢dIWu¢wo8EWŽpGD 5 D D 2 H 7 Hy H H 2 5 ç ’ ¥ H d R `B ¤ H H Yæ h H DqB F Y YB B d D T 7 D 2 Ty R 4 dB 4 T q WfoQ9QEQwI8uo¥ pwWI8Ev…6W•ÅQW|EI‚fEe— WGld‘o¢ƒpQWEQ9ˆ¢5 cWƒ¢gfVUWw6XGVfò @ 5 d F 4 T H D T F D H 4B D 5 ä AŒ „ Œ æSŒ Œ 4 ¹ 4 Œ ä x±¥Œ „ Œ Œ ´´µ Œ 4 Œ ä „ Œ ³´ · åS±¥Œ ·· ¸¶ „ Œ åSÄ¥Œ Œ 4 Œ ä ç ¥ ’ ¥ o8¥ pzæ YB — d H h d 5 q 5 —B d D T 7 D 2 Ty R 4 dB 4 y T d H 2 H ` D Y 5 7 H F t ’ d H D T E–‘6IW¢v¢d„‚GV#Co¢ƒpQWEQ›¢WQI68C‚¢#uIuj6QGlƒy 7 H F D D R 5 ‰ T i T Y 5 D H d 5 7 F 4 R 7 H b T F yyB @ H ™ ’ YB Y iy T 2 T d R 5 2B Hy 5 d y T DB b T i Ty  Y H 4B d D T QIW€˜8sVdgWwGu‚8#dƒI…™¢gUUXEC‘vQEWxEVU¢vI89XCX8‚U¢ƒ„xw9gƒIˆ6QX‚GV#7 DSVƒI6WX•Žgo¢G‚I86‘W¢aIIVUI8EW¢V‘IGeI¢X¢wGo6#6XQ–IW6ICeQ9W8•‹s„‚GV#7 2 Ty R 4 dB  ’ D 2 T D Y 2 5 4 H d T Y h 2 T ‰ Y R 5B d T b H F D ` 2 5y T Y D 2 H 7 Hy H H F D 2 H F @ h H 7 d 5q t —B d D T DSVƒI6WX6vpG›X™„‚GV#jXIxX‚Q†‘p¢v6WpIWo¢XQ6s‚‘S6Q8‡•c‘'go¢G‚I¢Q§¢IˆWVu„‚GV#7 2 Ty R 4 dB 4 H F D YB —B d D T 7 4B h 5B d H  T q 5 D H Y ‰ R Y y TB 4 H  Y T t d H b H @ 5 € ’ D 2 T D Y 2 5 4 D 5 2 H d T —B d D T 4B h 5B d H  T q 5 Yy T 2 5 ` TB h H F D ` 2 5y T Y D 2 H 7 Hy H H F D t Hy  7 T — H H F D 2B 2 @ 5 F Y Y T ty T d H 2 H ` 2 XIxX‚Q†Žv¢fE¢U8¢¢ƒI‘pG#p8X¢uWoQ9QX6…IWh¢EI#VI–…IWXACcIWV›Ÿ¢WQI68e31 } p tg r j sv£!¡7| ’ F Y H 7 d Ty R 4 dB 4 T 2 5 Y D 2B 5  D F `B ‹W6#•¢ƒI6WEQ‘¢uGoX8†Co8Xj ƒ j i |ã â t rg mɁ†s†áà ß— –— ˆ˜– Û ’ ¥ H d R `B p¥ pu‚I8Xm¤ 5 6 4 3 7 2 8 1 Ú Ó × Ò Ë É ÙÒ Ø × Í Ê Ê É Ì Ç Ó Ì Í Ì Ñ ÑÒ ÖÕ Ì Ë Ò ÓÒ Ñ Ð Î Í Ì Ë Ê É È u‡§™†fjˆˆ«”w€‘ˆ””Ԑz€mQ‘Ôv«Sψm™‘”Ç ¡ ¥
  • 41.
    ’ h HD T Ry T b ‹QWVUE¢V6H H ‰ 5 D YB H bB D T bB d H h H F D F 4B F @ D T D 2B 5  H F D D R 5 ‰ †«WeXA8EWVVE‚QIAIGðƒXIC‰V†oX8†AIGp8†¢T 6WQWoQQÿ8XW6Ip•AIWw¢‰QpX¢Vb h H d H D 2 H 4 2 5B D 4 2 Rq H F D q 5 Y H Ry T H H d F D ` 2B Y R H bB D T bB d H 6WIWIEWI†8EWVVE‚QIh I¢QQ‚ru¢Æ8EGV#X˜gWIp¢T ¢#8•XI¢G#8ExcmrWS6W6WI6Wd h 2 5 4 H Y T q 5 2 5B D T 7B — 5 d   2 T d 5q Hy ‰ T D d 5y i T t T Y D 2 H Y H d  H F 4B F @ ¦’ ¥ Hy ‰ T t d H hB Y 2 5 4 t Hy  7 T — H 2 T Y i ’ c’ ¥ ’ P i ‰ 2 H bB ` 2 5B Y 2 T  — H H F D q 5 H Y ƒXpC†„pEI¢md6IX‚I8Q•¢Xp#¢p–º¢Žfªpd˜Šëjzoº68„8º8EWI¢Ip–IW¢‚IR H bB Y 2 H D — H Y H ÷ T 7 F 4 B F @ Žt H y ‰ T D d 5 y i T 8„WI6Gx‡€QV¢#ŽƒXICu¸¢Xp¢ƒˆ8Xxgmt  Š6I‚GfI8QwGˆX€p¢vEIG‘fW¢QaW9g•#‚¢Šf8•q T D 4 R d D Y 2 5 4 5 D YB D R 5 YB F D i d d T 4 5 D i T @ h d T @ d 5 D F `B T d D Y h 2 T Hy  7B S¢X¢WG‚ªIVXp#EWY QQpW85 o¢a¢#W8WVG6s¢3‚oE8sQI6WQsEp3‡WEII¬pXG‡IWW‚I¢Q4 i ’ d H hd i 2 T q 5 Y d 5 D T d H  5r D 2B 5  H 4 2 H d H gB hr H DB 2 n ` 2B D 4 R d D Y 2 5 d 5q Y 2 T H 7 T Y H hB b 5 d  D 2B 5  h H — n T D R 5 ‰ T Y 2 5B D 4 2 Rq q 5 2 5B Y 2 T  — H Y HB d H Y d 5y i T t H F ¢•wI¢Q#–6IXxcWI…SE8†Æ6˜p–p8†¢–I¢XG‡II•C¢¬8EWI¢Ip–‘QEWQ‚…8E˜gmeIut } pã ø | ö r eã ÷ | s†ËgU£õvËö ™— ß— sõˆ– À ± · ¼ vÀ ” ó ¶ G ñ à ² ô¾òÓ𐱠R ± ³ Á •B ï ¶ ¹ Á ¶ ± À ± ¿¹ ½ ï ¶ ¹ » Á î À » ² ¶ ðg‘ejÅ6¾¡ðgjuejme9à í ì® £­ ’ Y H by H Y 7 H F D Y H 4B d D T 7 H F D 5 D d 5B d H D 2B yy T YB 2 5B D T 7 d 5q 2B YB F D H 4 2B Y Y d 5 D 4 H b 2 5B DB h 2 5 QQ¢E6W9QIWŠQQEWWVduIW‘GŠ8EWQWoXhE¢CXd8XWVd‚8•pEuXIWu6IX‚f‚8G‡Q¢Ž8XWEII¢Q4 i d T h 2 R 5 ‰ 5 2 H d T H d H F D D T F D H 4B D 5 ò ’ iD d H  5 d  y TB 4 H  Y YB F D q 5 H ` T D 2 T b h T H ÷ T D H @ 2 ‚¢III8†kIŽWVWQpG…VIGd6XGVf83‚6s¢WIv¢ƒ6Q†W…EIGC¢Ž¢¢ƒo¢Vp¢V¢ƒev)85 d H D T ô ’ Y d 5 D T d H  5 D 2 Ty R 4 dB 4 5 Yy T H d T Y d 5 D T d H  5 4B h 5B d H  q 5 Y H Y T 4 y TB 4 H  Y H Y H F D t iy d T Hy 6GV˜aQ‚8GVWQ†8o¢XIQ‚XQe‚X¢…W¢u‚8GVWQ†8wEIxXW6s€¢u6W¢Qv¢XQQ†W–‚QIWh8„W¢QX• ç $ ’ ¥ 83¥ pzæ ß…î çsQà   6Sà8¦fæxÜkÁ ¦ ¦ ä ¹ ¦   6 ¦ ¦ · ·· ¸¶ ¦   6 ¦ ¦ ¦   6 ¦ ´µ ß…î ¦ ³´´   6 ä Ü ç ¥ “æ ( h 2 I¢T ç ¦ à ¦ 6æ Ü sQà ¡ 8w£xkÁ ß…î   ¦ ¹ ä ¦ ¡ ¦w6 ¡ ¦ · ·· ¦ ¸¶ a6 ¦ ¦ ¦w6 ¡ ´µ ³´´ ¦w6 ¡ ß…î   ¦ ä Ü ç “æ ( 7d 5q H F W¢•upGD H ÷ T D i H F D t Y 2 5B DB h 2 5 4 i d T h 2 R 5 ‰ 4B h 5B d H  F DB @ h H Y R H d T t ’ ¥ ’ P H H Y t H bB D T bB d H h h 2 5 4 H V¢ƒa6IW¢QI¢XG„II86…f¢UII¢svXIxX‚Q†‘GEC‘6WIu‚¢o8¦   poëjXQ‚8¢¢EGl¢„W6I#p8Q6WY Í Ì Ö Í ˆfu× ¦ p¥ ê Ó É Ñ × Ú Ì Ù Ì È Ç ë™¬uv†vf”‹Ú qÔvwˆfˆ””ÔÖ {Ô§‘•Ïm˜™uuóx%xÎ é ÓÒ Ç Ó Ì Í Ì Ñ ÑÒ é Ó Ò Ë Ç è Í Ë Ú Ó × Ç Ð çÐ
  • 42.
    ’ YB YT 6X‚¢U‰ ‚QGeo‰ ‚QW‘†8CQEW6WY 7d H D i 7 d H D T 2 5 Y HB d H d 5y i T t q 5 Y 2 5B D T 2B ‰ 7 5 4 d T H 2By ` 2B 7 d 5q q 5 i T @ D 2 HB 2 H b 2 5 4 T iy  7B Y YB Hy ‰ T D d 5y i T ¢Xxgv€¢fI8XWVUEI…86™¢QIXEdIE#‚8•ˆ¢egŠuoQEIQ¢o8QކEp#EWE…XIVƒ™8Excmt i í W … ß ço“8¥ ’p¥zæ«YaYaY`ø ß V Y … …î Ý … í W ß V ‚Y …î ß Ý ¦ í W „ ß —   “ Y … çs¦fæoYɺ“ø ß ç ¦æ Y º V Y „ …î Y „ sfxkø ¦ Ý ¦ „ í Wpß   ¦ V Y ß ‚˜…î hsÔxk“vx‡º Y ç ¦æ Y º ø í Ý Ý ¦ Y cfxk~ø ç ¦æ Y º ä 4 üí Ý 5‚˜–º Ûƒ5Wx–£V9¢XWp¢U˜‡j6XW6Wj8ExcmuIWGˆII8†W6WW¢QŠEI¢ƒŠpG…X©cWjf¢ƒupG8¢EI9¢p‡H 4 ü í Ý º q 5 2 5B Y 2 T  — H Y HB d H Y d 5y i T t H F D 5 D Y h 2 5  Y H d d 5 4 Hy ‰ T D H F D 2B @ 5 d D Y Ty H F D t Hy  7 T — d8Uauc‚eIXIp8s‚Q‚W86…IGjV|6E…IWŽGD WQWwIW€Ve8X‚I¢U˜‡™QX‚Q‚8Xxgm…IG†XB 5 ¤ ’ @ 5 d ` 2B h 2 5  Y H d d 5 4 H F D q 5 Dq Hy H F D 5 7 d H D H F D q 5 2 5B Y 2 T  — H Y HB d H Y d 5y i T t H F D 2 2 7 Ry 5 4 ` 2B h 2 5  Y H d d 5 4 H F D q 5  5 D H F D D 9IE8QIEII8†W6W‚8QuIW뢑8GŠpG”VT W6GŠIW†VˆS6X6#‡˜6uIGmX‘fGoQ–ƒ¢ˆ'VXIVƒD 7 d H D H F D q 5 D 2 HB 4 ¨ H 5 4 H F D YB id D 2 H F 4 T ’ Hy ‰ T d 5y i T t H F D  R H ÷ T 7 t Y ` 2B h T H F H F D d H h 2 R t H 2 5 D Y 5 7 Dq Hy H F D q 5 D F `B d H F D 5 D Y 2 7 Ry 5 4 H F ¢XxgvuIW9p‘V¢#oQ8IEI¢QICIGjQpIIS¢I¢j‚89G|‡XCIWs¢”S¢XWCIWG”I9IX¢QCIut Y Y Y à ¦ aaxà   8gà ¡ #õ ä í W ý ß V ‡Y …î ß ý ý Ý t YB D T F D t ê D 2B 5  H F D D R 5 ‰ 6XCVUWpU€oX8†uIGup¢s¢T WQW†ƒ¢QvV†8EWIVU˜‡H 7 d H D F 4 T H q 5 2 5B Y 2 T  — H F D 2B Y d R 4 4 5 D T F D d 5 D 4 Tq 2 5 7 7 5 4 H F D Y d T H   T H d H F D 2 7 Ry 5 4 F 4 T H q 5 h T H F H F D D T D T F pGŽXC‚IQ6˜ulUGŠ8W6¢š#8#986IGŠ‚¢g†I¢u‚QIWŽ#IE8Q‰ƒ¢QmV‰VgIIWuVCVIGD H 4B D 5 2 2 H F t ’ ’ Hy ‰ T D H F D 5 D 2B D R  H ‰ 5 D Y 7 d H D H F D Y HqBy  7B Y F 4B F 6XW¢Iº6Iu«–ç VXI¢G‰pGkGoX#pI‰sAG–9WQW‰pG…Q•„XI9X‚«ƒEIC@ W6G«ƒ¢QWoXB 7d H D F 4 T H 5D 2 h HBy B Dy R 7 2 H H ‰ Y T QEXIEGEp…Q6sf¢UF …h¢WVg‘XIW†XUh8I8IWE¢šŽEI¢GaIW”¢‘|6EwIWfV†9IX86#XB ß î t H Y T 4 YB F D 2B t F ` R 5 F Dy Tæ Hy ‰ T D H F D q 5 Dq Hy H F D D T 2 7 Ry 5 4 T 2 dVg†I¢#8XWVUSQfIG–Xˆ9WQWfIWh¢UE¢vVUW‘6XGVfe!8EGV#X˜gWIp¢€XIWh¢fWI‘IG–o‰ T H   T 2 5B D T R P H H F D 2B Y 7 d H D H F D q 5 yy T D T F D H 4B D 5 ò ù 2 5B D T 7B — 5 d   T YB F D q 5 H Y R H F D i h H Y R T 4 d 5 d d H y T 4 5y H F D YB D T F @ t iy H 7 T 2 ’ d H @ Y 2 T 2 T 4 Hy ‰ T D YB F D q 5 i h R D Y T D T F D Y 2 5B D Y H R Q‚I¢Qj8W‚QpVgxXuIW”XˆVUCV8E6#VUp6Qv‚I¢9¢QŠXp¢ƒ”EIG뢖ppG‚€lUGjI8EGfQISP HpG€¢–I8wWoQW6WI6WEIu‘ëW¢#¢XGfQISeAG„CA8EW‚QWpp–V#6W9•aXI¢G‘IG€¢5 F D q 5 H 2 5 Y D 2 H Y H d  H d YB F t ’ ÷ d T 7 2 5B D Y H R P T F DB @ 2 5B Y Y H d  — H 2 T H H Y H @ Hy ‰ T D H F D q  5 D H F D D i ’ h H nBy  7B Y YB T d ‰ H `y T H F D q 5 H 7 5 Y D T F D 5 Y h H D 4 R d D Y 2 5 4 YB Hy ‰ T D H F 8WeIG–Š)‹6UEEI9XW–EGI68X¢†IWf¢e98‚#lUGkWº6G‡IWW‚I86‘XeEI¢ƒIut ’ H bB D T bB d H ¢8„GVV„WQph h 2 5 4 H Y T 5 D 2 5B D T 7B — 5 d   T 2 TB ` 2 T d ` T ô D 2B 5  r ¥ h H d H D 2 H 4 d 5q Hy ‰ T D d 5y i T t ’ ¦’ ¥ Hy ‰ T I8Q6WeGr8EGV#X˜gWpI¢¬¢X8I¢W8¢˜–oX8†3sºQ‚QWS6Q‘8•ŽEI¢G…8Xxgv¬8„pEI¢mt … 4 … Y … sfSɺ ç ¦æ Y Y … sW|x‡‹ ç ¦ræ Y 4 4 4 Ý Y „ sfokº ç ¦æ Y Ý Y „ sW|x½‹ ç ¦ræ Y í y ü ˜Aut wüu Y … …î ß 4 4 4 hsfxhº Y ç ¦æ Y Y sfxkº ç ¦æ Y 4 º Œ 4 hsG|S{‹ Y ç ¦ ræ Y Y sƒƒx‡‹ ç ¦ ræ Y ‹ 4 ¦ í y û ¤Auvt w û u Y „ …î ß í y ú ¤¦uvt w ú u Y …î ß í y xuvt w u Y ß …î ß…î ¦ ù ä ç4 üí ݺ ø í ÝŒ ø 4 €í Ý ‹ ׈f5Wx–“jxƒ“h¥xSˆæ ø 4 üí Ý Y 5‚xckº í Ý Y xckŒ 4 €í Ý Y ¥˜Q{‹ í y ú ¤¦uu t Y ‘î w ú ß í xÝ í W ß V Ý Ú Ó × Ò Ë É ÙÒ Ø × Í Ê Ê É Ì Ç Ó Ì Í Ì Ñ ÑÒ ÖÕ Ì Ë Ò ÓÒ Ñ Ð Î Í Ì Ë Ê É È u‡§™†fjˆˆ«”w€‘ˆ””Ԑz€mQ‘Ôv«Sψm™‘”Ç   ¥
  • 43.
    D Y dn T 5 D 2 5B D T 7B — 5 d   T 2 TB ` 2 T d ` T ô D 2B 5 r ‚‚UÅ©W«8EGV#X˜gWIp¢ª¢ƒ¢I¢G¢¢˜oX8†3l¥ … …4 4 Y … sW|x7¡‹ ç ¦ræ Y 4 Y … ç   |xY ‹ ræ Ý Y „ sGƒx'¡‹ ç ¦ ræ Y 4 Y „ ç   ƒxY ‹ ræ 4Ý 4 í y ü u wü ˜Au t Y … …î ß 4 4 í y û u w û ˜Au t Y „ …î ß Y cƒ|x8¡‹ ç ¦ ræ Y 4 Y ç   |xY ‹ ræ h d T @ ÷ 4 T ‰ d 5q Hy ‰ T D d 5y i T W¢•oƒ¢Ue8•EI¢GŽ8Xxgvt 4 UsƒƒS'¡‹ Y ç ¦ ræ Y 4 44 Uç   ƒSY ‹ Y ræ 4 Œ 4‹ ‹ ¦ í y ú u w ú ¤¦u t Y …î ß í y xuu t w Y ß ‘î ’¢8„GVV„WQph H bB D T bB d H ’   pkEI¢mt ’ ¥ Hy ‰ T í Ý Y xckŒ 4 €í Ý Y 4 ¥xc7¡‹ ¥xcY ‹ €í Ý í y xuu t f…î w Y ß í xÝ í W ß ß …î ù ä çí ÝŒ ø 4 €í Ý4 ‹ fˆ6˜ƒ~hAxf¡“ø AxÝ –æ €í ‹ ø V Ý ¦ ’   ˜uXI¢mX†CspWuX¢EWVVEW6Ih ’ ¥ Hy ‰ T t 2B 2 @ 5 F Y YB H bB D T bB d H D Y d n T ` 2B D 2 H Y H d  H d d 5 D T d H  5 ` 2B 4 2 H d H gB h r h d T @ ÷ 4 T ‰ D 2B 5 r ¥ T d 5q Hy ‰ T D d 5y i T t H F fWUa9IEGoQ‚Q‚IQ‚Š8GlGQ†8‘IEQI6W6h„I3˜‚¢•SƒVUŠoX¢s£l…u8•‘XIVƒ•8ExcmIut í W ß …î ß V ço¥ pzæ c ’ ¥ ç …zd׈f5‚˜¬”xÝ   ‚¥˜•æ ß îæ ’ ä ç4 üí Ý ø í 6 4 €í Ý 6 Ý ! ¦ H bB D T bB d H ¢EWVVEW6Ih h 2 5 4 H Y T d 5q d 5 D T d H  5 D 2B 5  ` 2B 4 2 H d H gB h y T d D 2 H 4 D 2B 5 r ¥ d TByB 7 Tq H F D h H bB d H h D Y R Û H b T I86Q‚wŠ8•ˆ8WVG6s8•oX8†wIEQI6W6h„Ih¢WGoQ6•oE8s£lj¢XXE#¢š‘IGŽ68„WQpu‚I‚8gUF H ™ ’ D 2 H D YB Y 2 5 4 7 d H D d 5 d d H H F D H ÷ T 7 5 D F ` R 5 d F D h H hB bB h 2 H H ‰ Y T ugoQW‚EWI86µW6Gu8W‚QaIG¢Vd#G†¢I8WpGQIE˜„I6Q†™¢IF ……IWCVUGuGVfò ß î H FD D T F D H D 5 í W … ß   ¦ V ß Ý … ‘î ç 9 ’ ¥ 83¥ pzæ ä ¢ £— í W … ß V ß 5… …î Ý …   ø º —    ¡ ß…î ¦ ä xþ ÿ ‹ Y h 2 n H 2 5 h 2 T ç i d D H 7 7 i Y i ‰ F YB 2 T b yyB @ Y 2 7 Ry 5 IIIup8I¢up‚G‡#9x‚oWEI¢VsEXCŠI9IX¢Q4 2 H b H yy T Hy  7 T — H YB F D d 5qæ Hy ‰ T D H F D 2B 2 7 Ry 5 4 F Dq n H F D D T Y d R 4 4 Q¢6uXV†EI9¢p‡–XIW9¢••XIVƒIG¬XÆ#pX86«G|p†IW9lŽWpQQx5 xðWVg9XIW©31 ÿ þ H Y T 4 YB F D 2 ’ d 5 d d H Y HB d H Y d 5y i T t H F D Y T D Q8‚W6‘6X‚QWC8ExcmuIGŠV‘EB 7 R Y ` 2B F YB 2 T b 2 5 2 D Y d n H F D H D T 2 `B Y H h H IW9IXpWXp¢VS¢I™fWUuIWuWVU8EW6Ia™ 5D d Hq Hd h 2 T ÿ þ H ‰ 5 W‘6•6W‰I¢†t x½†dWD ’ d 5 d d H H F D H D R DB D Y 2 5 4 5 d H Œ 5 D 7 R Y D 5 2 5 h D T F D Y 2 7 Ry 5 4 H F Q8‚WQuIWGpWEW‚I86#‚Q6#W§IWCVI#pCVUGŠp#IE8QwIut ¹   6 ³´µ ’û ¦ ŸQQà   S8¦ wˆsƒ¥c¥UýS68E¢uXe8EGpE8WwIut 6 à ù 6 ä û º à Œ à ‹ù i ‰ 2 H b B ` Y B 2 5 B D R y 5 Y H F ¡ ¦ ¹ º ³´µ ¹ ¦ ¡ w6 ³´µ ä Œ ¦ ¦ ·¶ ‹ ·¶ ¦ ¦ ¦ ¡ ·¶ ¡ 2 5B D T R P H H F D iq YB D T Y H @ qB 5 d H Œ H d T Y 2 7 Ry 5 8EGVIx6uIGŽ|fXWVGuvm„#‚QQ‚¢CI9IX¢Q4 H H d F D D Y d n H F D q 5 Y 7 R Y H F D D T F D @ 5 F Y iyB Y T H 2 T 4 H 2 “ ’ 5 d H Œ H ‰ 5 D Y 7 R Y H Y H F D t 4 h 2 6WIWwfWU‘IW•¢u9IW–IWVUWÏcIWEX‚¢gA¢Q#I#I‚QQ–†Gu#I‚#‚QIW›¢AI¢T t‹ëpj¢wQE8Iƒ‘Q†8WpaIWSëVQW¢•†I¢fo8EW9GC|6Eµ8W•‰QQ6˜‚IwvU‹xIG‡#wIGm¢5 ‰ t T q 5 H 4B 5 F 4 d H  5 d  H F D i ‰ t H 4 d 5q h 2 T D F `B d 5 D Dq Hy 7 5 dq h H H 4 5 d  H @ t h 5 F D H 7 H F D q i 4 T d R 4 4 T q 5 d H h d 5 H F D H ŒB 7B — T 7 5 t ’ Y 2 7 Ry 5 4 H Y H F D q 5 F 4 T H q 6¢WIQ6¢u¢6IW¢#IWa6X9X˜l#†§‘QI9IE8Q9W6IGv¢ƒVgŠV5 IW–IWw6IX‚I8• 7 R Y H F D d H hB Y 2 5 ê Ó É Ñ × Ú Ì Ù Ì È Ç ë™¬uv†vf”‹Ú qÔvwˆfˆ””ÔÖ {Ô§‘•Ïm˜™uuóx%xÎ é ÓÒ Ç Ó Ì Í Ì Ñ ÑÒ é Ó Ò Ë Ç è Í Ë Ú Ó × Ç Ð çÐ Í Ì Ö Í ˆfu× ¥ 8¥
  • 44.
    ç   —pzæ ’ ¥ ý Ýç ßæ ý †Ôs•8S‹ ä ¾ý ( ä ç ßæ js•mÝ i ‰ 2 H bB ` YB y TB 7 5 2 iy 5  2 5B D Ty 5  d H D 2B 2 TB ` 2 T d ` T ô H F o†68E¢uX†¢ƒ98IxE¢sŽ¢XGlƒ8†W6GoXŽVƒ8IVG8¢˜aIut }ã |g e i ÷ã e d i eg j |ã e y r p j i ' p j £†#¨uõ†hfæh£7£h{!s¡É¡og r p % Ø i | p i | r | £sÙu¼U$h#Ó! –— ß— ˜õˆ– ’ YB Y iy T 2 QEWxEVU¢T y T 4B d H 7 R 2 2 5 Y D — H D i 2 T 7 2B h H Y Y R 4 YB h H d T Y Ty R 7 d 5q H Y H F t ’ Y Ty R 7 d 5q 2 5B D Ty 5  d H D 2 ¢gEWQ9ISº8dGx‡WÆo¢#«EªQW‚IQ‚XI†W¢9¢XI…‚8•W6Iuÿ6¢ƒp…W8•Å8EGVX8†WQWoXB q 5 @ HB b q 5 D 2B 5  H F D 7 5 dq YB D T F D t i T @ D 2 H d H gB h iy D F `By Y T 2B D 4 H Û ‰ R Y H F D F 4 T 5 d   ¢§6Xx‘¢–oX8†IG¾8W•‘X–lUG•¢gŠ–oQ‚QsEIEWS¢XX‚AÆEd‡Q‚¡I‚†pG¬ƒ¢oWpI¢T Y R D Hy t YB F D 5 h 5 D d H h d 5 2 1 ’ h H ŒBy T d H 2 H ` d H F D d Rq H ‰ 2 T 4 DB D T F D D 4 Tq H F D YB t d H b H @ 5 I…6Xj6XIWeIeG…6IW8¬3A‹Q6XE¢G6IQ8‘6IGfI•ކÆVg…„–VUW…6¢šŽpG…XvQ686vcIF tgo¢G‚8†9X•‚8† QI¢XWpQ9XI˜Qp8XIfG‘QpIQW˜–wIVw6GV#8G˜¢v6Gpp#86•†wEI8Qm£1 D 2 T D d 5  7B H d 5 ’ Y 2 5B Y 2 H 7B h d H F `B F 5 D h H h 2 H D — H h 2 T h H D T 7 5 D R T d H D R  7 5 4 H ‰ hy R 5 4 D ’¢8„GVV„WQp‘o¢ˆ8•jQI‚8‘o¢h¢ˆW8WVG6s¢joX8†ë¢GWS6Qj8p‹Qv6VWx‹W¢•oƒ¢US‹‚¢Šf8•q H bB D T bB d H h i 2 T d 5q d H h d 5 i 2 T q 5 Y d 5 D T d H  5 D 2B 5  y T d D 2 H 4 d 5 t h H @ H ÷ Y t h d T @ ÷ 4 T ‰ t h d T @ d 5 h 2 n 5 D h H Y R H ‰ 2 T 4 Y Y H 4 5 d  YB F D iy d T Hy  ’ d H h d 5 2 H bB ` T q 5 Y 2 5B D T 7B — 5 d   T H 4 R h 5 d IU‰GÅQ‚Id†Å¢Q…W6QxWIaXIWA„W¢QX•QQpW8Å68E¢‘¢uI8EGV#X˜gWIp¢eQpI˜‚I 5 D Y Hy ‰ T t d 5y i T t q 5 H Y R H F D F ` R 5 d F D h H 2B 7 d H D H h H ‰ 5 D Y D 2 HB 4 ¨ H 5 4 H d WaQEI¢mw8Excmu¢dWIŽpGr8p8WIWrQpX9WQW6I#sGwWS6X6#‡˜6d‚¢T ‹ IWdW6IC@ H FD Hd H F ç ¦ ’ ¥ sI— pzæ ÿ þ xfä üí ‚xÝ ‹ Ü ‘€ ¾ ø í W ß   V Ý   Y T Y D 2B 5  ` 2B d 5 ‰ F `B H 2 ¦ ø ø q 5 Y 7 d H D 2B D Y T ¢CGoX¢s‘IEW8†S8X6Iuð…C¢u9W6GeX‘‚Vg4 H ‰ 2 T 4 ê D 2B 5  hB d ` D T H bB D T bB d H h F D þ H F D 5 D 2 5B D T 7B — 5 d   T H 4 2 H d H gB h T ty T d H 2 H ` 2 †A¢guSE8†AEW8ul–8EWVVE‚QIAGŽ–IWW8EGV#X˜gWIp¢d6IQ‚QsEIe˜z¢G6IQ8A31 } |ã â r e © p t i p r p ng l § e i eg j | ¥gã | r p i p †Ç£Uuvu‚‚{†fD¨æk†7v¦£su8פ ç ¡ — pzæ ’ ¥ ç …šŽfj‡x¢©h¥x8Å6 ß îæ ’ ä ç í Ý ¥ ø 4 € í Ý — ‚— ß— oõˆ– ß Axšæ …î   6 í W ß V €í Ý ¦ Ý Û H bB D T bB d H ¢¢EWVVEW6Ih D Y d n T q 5 2 5B D T 7B — 5 d   T H 4 2 H d H gB h h d T @ ÷ 4 T ‰ d H h d 5r h 2 5 4 H Y T h H bB d H h H b T F H @ Y R F fWU™¢)8EGV#X˜gWIp¢‰QI6WQsEp«WVŠoƒ¢U–6IW8£˜I86Q‚A©Q¢EW6I‰8gU•–ISut ç h ’ ¥ o¥ pzæ í W „ ß ¥ V Ý …î ß „ í W „ ß ¢ “ ß V „ ‘î Ý 4 ¡‹ „ ä “ 6 6 ‹ c   ß…î ¦ ä xþ ÿ Û ‰7 d H D d 5 d d H 2 5 B D T 4 2 R d D ` 2 B h T H W6GŠ8‚W6‰¢XG lgII‚G…IEI¢QXy H F D Y H hB b 5 d  2 7 Ry 5 4 F D d R 5q H F D H Y T 4 YB F D 21 ’û ¥ à — 6 à pG#6IXxcWp©9IX¢QÆG‚p8•†IW‰‚¢g9XpG©3«ŸVGIfS8¦ ù 6 uƒÃ‡Ãà ¸Q8„8«ƒEIC@ ä û Œ à 4 ‹ ‹ù Y H bB ` F 4B F 4 ¹ ¡ ¹ Œ ¹ ¡ ä ¡‹ ³µ 4 ´ ·¶ ‹ ·¶ ¦ ¡ ´ ¦ ³µ ·¶ ¡ qB 5 d H Œ 5 E9WQ6–GD ¦ ¦ ¦ ¦ —   ³´µ 7 R Y Y 2 7 Ry 5 4 H H d F D D Y d n H F D H 7B D YB F I‚uI#pX86w6WIWC‚WIupG™9XWCEIut Ú Ó × Ò Ë É ÙÒ Ø × Í Ê Ê É Ì Ç Ó Ì Í Ì Ñ ÑÒ ÖÕ Ì Ë Ò ÓÒ Ñ Ð Î Í Ì Ë Ê É È u‡§™†fjˆˆ«”w€‘ˆ””Ԑz€mQ‘Ôv«Sψm™‘”Ç — ¢¥
  • 45.
    DSE8†up8†¢u6XW6˜C8Excm‘IEWIQpI¢U˜‡†ufI……‚X¢‰ƒXpC˜8«C–IVuÆu”GoX8† 2B 5 D R 5 ‰ T Y HB d H ” d 5y i T t ` 2B Y R h H h 2 T  — H H ‰ D Y R 7 5 Yy T F 4B F @ t ¦ ø ê h 2 T ¦ 6 ê Y D 2B 5 DlCQ8„GVV„WQpw‚¢†QIIEQIE‘WE¢fpIhhQGo6WQ‚IQ‚#€oX¢s‘Vu¢EGl¢„W6IuIGŠEŽEp8‘¢I2 T Y H bB D T bB d H h H d T h H h Ry 4 2B 5 Yy T D R ‰ t h H D 2 H Y H d  H d ê D 2B 5  D T H bB D T bB d H h H F D YB iy 2 5 D 5 H d H € ’ ’ ¥ Hy ‰ T t q 5  5 D H F D D T h H D T d D Y RyyB YB Ty R 7 d 5q Hy  7 T — H 2 i ’ — ’ ¥ ’ P 5 D Y R 5 ` 5y T 2 ‚Qf7p¥ puXp¢vëV‘8GŠIW”VwQGlGGfIXEXmX™XI…W¢•vXp#¢p–9fmp8— ˜oëˆQWmI¢88XVU¢T ç $ ’ ¥ 8— pzæ ÿ þ x`ä üí WxÝ ‹ Ü ‘€ ¾ ø ü ‚í W ß 8 9€ ¾   V Œ Ý   7 t’ ’B t Y D 2B 5  ` 2B d 5 ‰ F `B H 2 D T Y H bB D T bB d H h H h Ry 4 2 „¢H ŸpQGoE8s‘pXW¢sS8EQICV‘68EWVVE‚QIIpXQpXB 2 T 4 ¦ ’ ¥ ’ P q 5 2 5B D T ŒBy T d H 2 H ` T t — ’ ¥ ’ P ¢Q–I— ˜mëjk¢8EGVQXXVGQpQ8e˜I8— p§ëj ¢6W¢ŠqpƒIwW8•‰8XWVƒ8†W6GoX‘WE9W6f€ 2 5 h H Y T ’ Ty R 7 d 5q 2 5B D Ty 5  d H D 2B H DB 7 d H T q 5 H Y R H F D 7 5 dq ` 2B YB d T H bB D T bB d H h D Y d n T d 5q H 7 H F 4 Y ` 2B 4 2 H d H gB h H 4 T  Y xy  y  œ {y 2 •¢9WI–IWp8W•ŽpXWEW¢–¢EWVVEW6Iw‚‚Uu¢•99QIƒ‚IX6IQ‚QsEI9Q¢IW”|‡Ÿé†™|Æ¢T d 5q Hy ‰ T D d 5y i T t H F D D — H 2 d H hB Y 2 5  ’ Y Ty R 7 d 5q 2 5B D Ty 5  d H D 2B 2 TB ` 2 T d ` T ô 7 5 dq Y d 5 D T d ¢•wXIVƒ8E˜gm–IGux‡Iu6IX‚I8•–6¢ƒIwW8•¢XGlƒ8†W6GoXVƒ8IVG8¢˜p8W•W¢GVWQH r  5 H 4 2 H d H gB h D 2B 5  xy  y  œ ‰ } h H D 4 R d D Y 2 5 4 Hy ‰ T D d 5y i T t T q 5 Y Hy  7 T — H Y R 5B b H d  H F ˜8w6IQ‚QsEI‘oX¢s˜|‡Ÿé†6s©6G6pWGfI86aEI¢ƒu8Excm#”¢‘QXp#¢p–™I8Ex6WpwIut ’ D  H 4 2 5 4 H F D iy 2 5 h H H 2 H @ H d H F D R ‰ t Y h 5 F D H gp6QI86uIG#EI8†Q6Iu•uW6ICpIU6I˜pG697 y¢gEWQ9IS8u6QI6WQ•‡W†o¢dXeII¢•wseVgCX¢X#¢IxE8†‘W6IGj¢e¢XW‚IQ‚XIwG6EI T 4B d H 7 R 2 2 5 Y H 4 2 H d Hq H d i 2 T 7 2B h 2 R 5q H ‰ 2 T 4 Yy TB 7 5 2 iy 5  H Y H F D q 5 2 5B Y Y R 4 YB h H D Hy r 7 5 i ’ H D T D 4B h Y 7 Hy ‰ 5 d  H F D Y T h H h Ry 4 2B H ‰ hy R 5 4 Y H bB D T bB d H h d H h d 5r d H F `B F iy Y R 5B b ‰ –864 vVGVG6Xp”#6XI¢WIuIW”¢–QpIX6IXu†–XI86”Q¢EWVVEW6I”6IW8£f6I8Xp…E‚I8E˜o“ ç — ’ ¥ S8— pzæ ý W ß ç ßæ ý V s•oƒŒ Ý ø ý Ýç ßæ ý €ëÔs•oo‹ ä ç ßæ js|vÝ 2 5B Y Y H d  — H H F 8EWW6WI˜–wpGD ` 2B 4 R h 5 d  t h H Y R H d T H bB D T bB d H h D Y d n Y DB h 2 T 2 5B D 4 2 Rq H F D q 5 Y H Ry T b H D H d 4 YB h F 4B F @ 2 pXQpI˜‚I”‹6WI9WVd¢EGl¢„W6IwfWUuG„rIV)8EG6pI•9pGŠ¢wQpX¢V–G6‚Q‚XI)ƒEICkXB H Y T 4 H F D d 5q YB 2 5B D T d D Y RyyB d R “ ’ H 4 T  Y 2B Y D 2B 5  2 H bB ` D T 5ž3 } 1yx  1y € } ˆ žxy ˆ „  2 5B D 4 2 R ‚¢gfIGˆ8•ˆX‘8EGVWG‚pXXEvpvVQ¢U‚#E•WSE8†dQ¢E8vVu6z4¢2z¢l2–‡xw||…†¢e8EG‡II•q H F D q 5 Y H Ry T b H Y R Y Ty R 7 d 5q H DB 7 d H € t ç ßæ Ý d 5q y TB 7 5 2 iy 5  T D 4 R d D Y 2 5 4 5 t ’ 2 5B D Ty 5  d H D 2 pGhV€6IXV¢CWpj¢ƒIwW8•ŠWE9WQ‘¡‡s•mˆ8•S¢ƒ98Ix„8su•6I‚G‚p8Qam˜‹8EGVX8†WQWoXB 2 TB DB 7 d H € ` 2B Y R i ‰ D R 5 ‰ T D F ` R 5 d ‰ YB F 4 T 5 d   T 2 TB ` 2 T d ` T ô H F D q 5 2 5B D T ŒBy T d H 2 H ` ¢ƒWE9WQ‘{pXWp–Sˆ˜8sV•o8p8WIˆE#ƒ¢8WIIV#Vƒ8IVG8¢˜‘IWh¢‘8EGVQXE¢G6IQ8ªi ’ Y 2 5B D T 7B — 5 d   QI8EGV#X˜gWpI¢T 2 TB ` 2 T d ` T ô Y T 5 D h H dd Hq H d H d ¢ƒ8p¢G8V§a¢‰GQW‚Q•‡W–W¢T   — p§ëjå8W•AQ¢EW6I9sA¢gwVIGa6#6IƒW9QpQW6h„Ih ’ ¥ ’ P 7 5 dq h H bB d H h H ‰ 2 T 4 D T F D Y H 7 H F 4 Y H 4 2 H d H gB H DB 2B ¤ ’ h H D 2 H Y H d  D Y R Û Y 2 5B D T 7B — 5 d   T H 4 2 H d H gB h H DB 2 n H F D H bB d H h H d H @ t D 2B 5  H D H d G„IXv)‹QWS6W6WI‘fI‚ÉI8XWV#X˜gWIIVQI6WQsEpŽG„IUdIWŽ8„WQpQWvvgoE8seW6‚Q4 r YB h H D TB d  5 d   T H F D D T Y H bB D T bB d H h H Y H F D H D T Ry T b H h 2 T t F Y H 7 h H 4 T  YB R P H 2 T H Y 5  7 fXpdGlƒWp8WIp¢IGwV‘Q¢EWVVEW6IeW6IG#GVUE¢V6ÅIVvhWQ9¬Q6¢UWEISQÅ¢dW8†9XB t‡s•mˆ¢a8„GVVE‚QIep8Q6W8™‚‚UwIWw¢¢G…•j£Q6‚…IG‰XaIX¢VwW6‚QWEI6IG¢†o¢T ç ßæ Ý q 5 H bB D T bB d H h h 2 5 4 H Y d 5 D Y d n H F D H ÷ T D H @ q1 ’ D H Y H F D 2B H Ry T b H D H d 4 YB h d H F D 5 i 2 Y H ÷ T D ß 2 H F @ 5d H Œ h 2 T t ý 6¢¢G©¬QICe‚QQÅp¢€¢ëß ä Æ6ICŽI8…EdëÆƒ¢g‘¢–oQEQ96xQepG…VIGd6XGVfò ß 2 H F @ H 2 5 YB ý Ý F 4 T H q 5 D 2 HB 4 ¨ H 5 4 H F D D T F D H 4B D 5 ç ¥ ’ ¥ oo— pzæ ç )'£|Qç )U!•æ ß 6 4 ßæ ß 6 ä ß Ý ø ç ß 6 4 ßæ ç ß 6 ä ß s)'£|Qs)U!•æ ßæ ç4 ß 6 ä ß ßæ ç ä ß 6 4 ß çW£)6 |Q‚£)U!•æ 4 ß ç ä ß ‡!r6 |Q‡!)7£•æ 4 Ý ä Ý ä ç ßæ ß æ ç ß 6 ä ß £¬ø sr6 |Qsr7£•æ !ª€s|mÝ ç ß s)6 |Qs)U!•æ ç ß ßæ ç ß 6 4 ß Y D 2B 5  h H 4 T  YB R P Hr 2 5 2 F DB @ ç 2 5B GoX¢s‰Q6¢UWEISQ£˜8I‰G„C€ë8EGD rlƒ8†¢WGx‡u8•A8XWVƒ¢s‚QGoEwEGVWI¢USC8•wXI…W¢•Vƒ8IVG8¢˜uEI#EWwIGD 8W•‰Q¢VƒD Ty 5  T d D — H d 5æ 2 5B D Ty 5  d H D 2B 4B D T d h T R P d 5q Ty R 7 d 5q 2 TB ` 2 T d ` T ô Hy  7B Y H F 7 5dq 2 H ÷ T H ‰ 2 T 4 ç ßæ ý ‹ H F D q 5 2 5B D 4 R d D Y 2 5 4 H F t ’ ) H H d ` H h q 5 ß 2B Yy TB 7 5 2 iy 5  H d T ç ßæ ý ‹ H d H F †‰¢gŠs•8o‡pGvV†8EG‡IWW‚I86uIuv)06W86IvVeeX€X¢X#8p˜„8†w‚¢us•8S‡W6IC@ $ 3¥ ê Ó É Ñ × Ú Ì Ù Ì È Ç ë™¬uv†vf”‹Ú qÔvwˆfˆ””ÔÖ {Ô§‘•Ïm˜™uuóx%xÎ é ÓÒ Ç Ó Ì Í Ì Ñ ÑÒ é Ó Ò Ë Ç è Í Ë Ú Ó × Ç Ð çÐ Í Ì Ö Í ˆfu×
  • 46.
    ç 9 ’¥ 8— pzæ í W † ß ¡ V  ¦ V Ý … …î ß † F D B Y H F D Y 2 5B DB h 2 5 4 H Y H F D d H h 2 H ’û ¦ à ¦ à ¥ 6 à W˜— W#IGuI8EGEpI8Q#W6IGw6II‘IŸ6g8gpfxà ¡ p¥ ù ¡ · ¹ ¡ ´µ ´ ¡ ´´ ³´ ¦ ·· w6 ·· ¶ ¡ þ ¹ ´µ ´´ ä · º ´ ³´ ·· Œ ·· ¶ ‹ ¹ ¥ — ·   ·· ¦ ·· ¶ ¡ 4 … — ‘6 ¥   6 ¦ ä xþ ÿ 5 D Y 7 R Y 2 7 Ry 5 Gu9IWe9IX¢Q4 ä û þ à º à Œ à ‹ù 2 5B D Ry 5 Y H F D ` 2 B b T •Q¥à s¥c¥U¸«8EGpE8W#IG‰IXxgUF ¡ ¦ ¡ ¦ ¡ ¦ ¦ ¡ ¦ ¡ ¦ ¦ ¦w6 ¦ ¦w6 ¦ ´µ ´´ ³´´ 2 5B D Ty H d H F D iq YB D T Y DY R 7 H @ t i 4 T d R 4 4 T q 5 d H h d 5 H F D H ŒB 7B — T 7 5 ¢XGlƒQ‚uIG#|‚XWVG‘fI…w•I¢6¢WIQ6¢”V‘6IW¢wpGf6X9X˜l##§t ’ H bB D T bB d H h D Y d n T 5 D 2 5B D T 7B — 5 d   T 2 TB DB 7 d H € D 2B 5  r ¥ y T d D 2 H 4 d 5q Hy ‰ T D d 5y i T t ’ ’ ¥ Hy ‰ T ¢¢EGl¢„W6I‘‚WI‘9WŽ8XWVdE˜c‚II¢Ž¢ƒWE9WQ‘poX8†3s˜¢GWS6Qu8•EI¢GŠ8Xxgvˆp¥ puEI¢mt ä 4 Y † sfxhº ç ¦æ Y 4 ä 4 Y sG|S{‹ ç ¦ ræ Y 4… † Y … sfSXþ ç ¦æ Y … 4 … Y … sfSɺ ç ¦æ Y Y … sW|x‡‹ ç ¦ræ Y Ý Y „ sfxpþ ç ¦æ Y 4 Ý ç ¦æ Y 4 Y „ sÔxkº Ý Y sW|x½‹ ç ¦ræ Y 4 „ Y sÔxXþ ç ¦æ Y 4 4 hsfxhº 4 Y ç ¦æ Y Y sfxkº ç ¦æ Y Y sƒƒx‡‹ ç ¦ ræ Y 4 hcfxpþ Y ç ¦æ Y 4 4 4 4 ç ¦ræ 4 Y sW|xY í y û u w û ¤Au t Y „ …î ß Ý Y cƒ|xY ç ¦ ræ 4 „ í y ü u wü ˜Au t Y … …î ß … …ç ¦ ræ 4 Y cGƒxY í y F u w F ¤Gu t Y † …î ß 4 º Œ 4 hsG|S{‹ Y ç ¦ ræ Y ‹ þ 4 ¦ 4 ç ¦ræ 4 YhsW|xY í y ú u w ú ¤¦u t Y …î ß í xuu t y w Y ß …î ø 4 üí Ý Y 5Wxckº í Ý Y xchŒ 4 €í Ý Y Axc‡‹ 4 ü y w u t þ Y ß 5‚í xuv!q˜…î í !xut ˜‘î y w u Y ß 4 € w Aí y xuu t ˜‘î Y ß í xÝ 45üWí Wß í ß W þ V “ø V Ý Ý ß…î ¦ ù ä ç4 üí ݺ ø í ÝŒ ø 4 €í Ý ‹ 2jf5‚˜–zv˜ƒ~›¥xSˆæ ø 4€Aí Wß V Ý ’ @ 5y H ‰ h H 2By D R 5 Y T F 4 T 5 d   usEQ†eQIEXWp8C¢†ƒ¢oWpI¢T Hy ‰ T t d 5y i T t H F D ` 2B Y R h H 2B 7 d H D H h H ‰ D Y R 7 F 4B F @ ç T d ‰ H `y T H F D iqBy  7B Y 5 D H 2 5 Y EI¢m–8XxgvIWApXWp©6IX9W6G6p‰†#‚I…ƃXpCaoGI68XVIWk|EXp#EWAGI8–¢T 2 H ÷ T D YB D 2B 5  ê H F D 2 5 D 2 HB 4 ¨ H 5 4 H F Dæ Y D 2 HB 4 ¨ H 5 4 H b T F @ 5 2 Y 7 d H D H bB D T bB d H h H F QV¢ƒ…E–oX8†9IWÆ89oQEQ96xQIW•GoQEQ96xQ‰8gU§cI‘#‚QWŽ8EWVVE‚QI‰Iut í Ê DEW b ä ¾B ï   ß V ï ß s‘˜Ÿæ 7ì CÈ ç ß î õ ï ¦ ï ç “ ’ ¥ oo— pzæ   Ý @ Aä ý ü I‚í W ß   V Ý   Û c’ ¥ ’ P ˜dpëëj 2B 2 H bB ` 2 5B Y 2 T  — H Y HB d H Y d 5y i T t H F D q 5 2 5B D T ŒBy T d H 2 H ` ` 2B @ 5yy 5q H F D Y H dB R P H d YB F t ’ EkQ8„8k8X‚I¢U˜–QX‚Q‚8Xxgm‘IGˆ¢¢XGlgXE¢G6IQ¢dIECsEX8•…pGQ‚XIS6WXpuaUê Ú Ó × Ò Ë É ÙÒ Ø × Í Ê Ê É Ì Ç Ó Ì Í Ì Ñ ÑÒ ÖÕ Ì Ë Ò ÓÒ Ñ Ð Î Í Ì Ë Ê É È u‡§™†fjˆˆ«”w€‘ˆ””Ԑz€mQ‘Ôv«Sψm™‘”Ç “ 8¥
  • 47.
    ° © ›ž¢ ­   ¬ Ò « e ¨ § « e § q i ssd“¦q‘qF$“¦sA­ rh pÐ   ¬ ‘¦­ Ð ¤Avg¦sqÕ¦¥Ua‘d†Õu%q¦Úv‘FÕ¤¸q‘¦£1¤Aqq¦vfq¤ÉddqÕ¦¤S¦£‚¦¤o¦q¤“¦£8d‘“¬ ¦a ¨ § « e Ñ « © › ÒŸ ­ ¥ ›   ÒŸ ª ¬ž  Ÿ Ò « œ © ¬ «ž §ž   ¬ « ª ¯ ¢ ­   ¬ Ò « e › ¨ § c ¬ž ¬ž ­ § ¬ « ª ¢ « § ª › ¥ › ¨ § › © ­ ª ©ž ¨ § b h ’ Y d H by 5 Y h H h 2 T ‰ D 2 HB 4 ¨ H q 5 H Y R H F D i ‰ h H D 2 H 7 Hy  7B H ‰ 2 T 4 i H F D 2 H F @ y T 4B D 4 T d  H Q‚Q8„8W†QIp¢U‘oQX696m¢a‚IuIGdSe6GoQ9QEI9Xus‰¢Qe6IW†6ICh¢QXG‡¢Gpw†‰ 2 T 4 Y 2 5 B D T 7 B — 5 d   T `H h T Ü d 5 2 T B D B 7 d H € t y T d H 2 H ` 2 1 ’ h H Y R i y H h B @ h 2 T t 2 R d 5 D D 2 H B 4 ¨ ¢QuI8EGV#X˜gWIp¢w¨¢v‘8¢XGE9W6f!z¢G6IQ8†3Š‹6WIe„QIEC†IVshIW9G‘oQX696H t H h 5 4 5 D Hy  7B Y YB F 4B F @ t Ž d H by 5 ¢IxQkG–Xp#EW…EƃEICjI68„8WY  ¢I88¢XIX‚Gf¢‘I¢Q#roÅII8•wEB y T 2 5 ` TB hB d D T q 5 Y 2 T H 7 i ‰ h 2 R 5q Y ûç ¦ à —à ¦æ Á 3sgIW8feýù 4 € q 5 2 5B D T Ry T b H H F t ’y T 2 5 ` TB hB d D T H Y T 4 YB F D 2B t F D hB @ h 2 T ‰ yy T 7 Y T ` 2B b T F Y H 4B d D T ¢¬8EGVUE¢V6puºŸ¢I88¢XIX‚GAW¢Q#EIGÆXu‹WpXCpp¢UuXVd‚r)IExcI#6QX‚GV#7 h H h 2 T ‰ q 5 7 d 5q H F D 2B d T H   T i H F t ’ Y 2 5B D T 4By   T H 4 2 H d H gB h H DB 2 n 2B 2 5 7 7 5 4 i d H b H d QpI¢Uh¢ÏW¢•CpG–Xˆ¢g†I¢#‡Ium6I8EGVQXXpI¢fQI6WQsEp‘WEII–E–8#986#fQ¢C‚¢T Y d 5 D T d H  5 H Y H F t ’ Y 2 5B D T R P H d T H 2By q 5 D H Y h Hy  R 5 4 T q 5 2 5B D Ry 5 Y H F D Y HBy  7B d 5 D T d H  ‚8GlGQ†8Ž‚QIu‰Qp8XWVUSQu¢QIXEu¢‘‡Wr6XIp8Qu¢¢XG˜X8‚dIWQXEI9Xw8GVWQ†85 —B d D T 7 H Y d H b 2B 2 i ’ 2 5B D T D H d  d H D 2B Hy  7B Y T 2 H bB ` H ‰ 2 T 4 yyB D Y DB D R ‰ t d 5 D T d H  5 H Y d H b 2 „‚GV#wWW68oX†™€‹8EGVG6WpWQWoXXp#EW–Q¢E8u†¢Q‹XEGfCEfpIUQ¢GVWQ†8w‚WQ¢oXB 2 T q 5 2 5B D T Ry T b H H F D ` 2B h 2 T 7 H h YB DB H 4 2B Y t Hy D ‰ R Y H d 5 7 YB @ 5 d h 2 5 4 H Y H F D q 5 ` 2B 2 T H ¢m¢d8XWVUXV¢‡IG…pXIIVd6IŠXŠEQpXWUVXWpIW™W89ŠXÿcW‰I86QWpG§¢…IEI¢g97 H F t ’ Iu™§²W Ý gG‚¢…WVƒpQ9WQWoX…IW†EEI‚Q‚…IGaW8W‚IV‹Qp8XWEII¢Q‰‚¢III8†…IWI¢T i T d d T H D TB h H 7 d H D 2B H F D 2B Dy R Y H d H F D H d 5 D Y h 2 T t Y 2 5B DB h 2 5 4 i d T h 2 R 5 ‰ H F D h h tg„QI6W6h„IC›² Ý gWW¢8W668†pG¢Vƒ¬YxgG¬„I9XWd£1 6¢gEQ†ºXp8IWk6IQIS6WY DB H 4 2 H d H gB h t i T d d T d 5 D 4 H b H F D H ÷ T D X Y i T Y iy  7B Y D ’ d T Hy 4 H ‰ hy R 5 F Y H 4 2 H R P H YB F D 2B d 5 D 4B h H d  H F D q 5 ` 2B 2 T H 7 H F D t 2 5B D T D 2 H 7 Hy  7B y T 4B D 4 T d  5 D D 4 H  Y H d F DB EIGX…8W6EIQ‚IeIGC¢IXIVg9ŽIG§‹8EGVGS6#6XI9Xv¢gEG‡¢GIG–66s‚QWÅWEª™ ç ¦ $’ ¥ s˜dpzæ ûç ¦ à — à ¦æ ù W² Ý € ÔcgIG8ÔeýÁf“ 4 ß   y AŒ Çw² Ý cgà ¡ 8w£ŽÁ …î º² t ø ç ¦ à ¦ 6 æ ¦ ä ä ²Ý ( ²W Ý H 4 2 H R P H Y Ž d 5 D 4 H d d 5 4rd 5 D 4B h H d 6IQIS6W–8W66WW¢Q3Ô8G‡XI6WI  pGeoQ‚W6WI˜‡6Wu††¢Q†ƒEIC@ H F D i ‰ h H Y Y H d  — H H d H ‰ 2 T 4 F 4B F ç ¡ dpzæ $’ ¥ ¢ ß    y AŒ Çw² Ý sQà ¡ 8w£eÁ …î º² t ø ç ¦ à ¦ 6 æ û ç ¦ à — à ¦ æ Áù “ ä ÔsgpG8fޏUð² Ý ( 4 € ¦ 5 D D 2 Hy T bB R P WuS6X¢V„ISQH YB YB F D iyy T 4B D T 7 H F D T EfEIGdEXVgXWV#QIWV „ ‹Q‚8†#EeQQ†…¢cIfI¢XG„II86‰‚¢UpI8†f‡XIƒEWEkƒXIC‰XB ’ h H Y 5  7B 2 H H ‰ H b T F Y 2 5B DB h 2 5 4 i d T h 2 R 5 ‰ D Hy F 4B dB ã F 4B F @ 2 y AŒ t º² ç h ’ ¥ o3— pzæ ø ç ¦ à ¦ 6æ w² Ý cgà ¡ 8w£ŽÁ ß‘î   ¦ ä e² Ý scgIG8ÔeÁ (ç ¦ à —à ¦æ “ ¦ YB c ’ ¥ ’ P d 5q 2 5B D T D 5 2 B d D T 7 h H h 2 T X‘3— p†ëjp8•Ž8XWVƒVIŽ— WWVd‰QpI¢U‰ i ’Q8WVG6s¢9„WWV#…§¢5 W8•™pGdEŽ˜pG69™9¢WIGu‚QWpp–•hEeI6IQ‚I#¢Q…Wd‚VgH d 5 D T d H  5 —B d D T 7 T q 7 d 5q H F D 2B h 5 F D H 7 H 7 T Y H F D Y Y H d  — H H @ qB h 2 H F H d  7 5 4 5 D i Y T H DB R P YB 2 5B D T R DB Y H F D t d H b H @ 5 € ’ h HBy   T H ‰ 2 T 4 c ’ ¥ ’ P @ 5 F D Y R Û D Y d n D T D 2 H hB b H D 5 WEISŠEŽ8EGVUWE‚IGëQ686vcfhQXEII¢u†¢g…— pI†jfcIC‚I‚'fWUŠl‘S6IXx‡C¢I2 iy ‰ T ‰ 5 d  YB DB d 5 D T d H  5 D 2B 5  T q 5 7 d 5q H F D 21 ’ H h 5 4 d H D R  7 5 4 T 2 7 H F D D 2 H 7 Hy  7B 5 EIVU8WpjXˆEj¢GVWQ†8ˆoX8†wh¢Ï‚8•uIG–3”VI˜6ˆQG˜I#¢Qu#EB QIWvoQ9QEI9XwGD d H F D 5 2 T H DB R P h 2 T D  H 4 2 5 4 2 TB DB 7 d H € H F D ` 2B Y R Y h 5 F D H 7 D 4 R d D Y 2 5 4 5 D ` 2B F D H 2 5 YB D 6IGVI¢aGEpx†I¢pQ6I8QeVƒG„#‚Q‘{IW#IEWI‘IxIG‡#f6pWGfI86dG–IEIGuI8CXf£1 } | ã â r e © Up Ø | d § e i e g j | t g ã y y T ã | t g j t | †Ç£UuVfD¨ih†7v†s`Qv†Úr d ß— ß— ˆõˆ– ’ T y R 7 d 5 q R} ˆ  P T Y T 5 D h H d d H q H d 5 Y y T Y B Y B F ˜ƒI…‚8•€SouQ‘¢9G‰Q‚WQ•‡W‘‚X¢CE‘EIut ç c ’ ¥ o3— pzæ ç … ß îæ ’ ä ç4 üí Ý ø 4 € í Ý 6 ‡…zdfˆf5Wx¬›¥xf†æ ß‘î ¥ 6 45ü‚í W ß V Ý í W ß 4 € Aí W ß V — ¬ø V Ý Ý ø Y T h HYY Hd  — H H ‰ 2 T 4 h 5 FD H 7 H F D h 2 ¢k6W‚QWpp–us¢Q‰xIW69wpGI¢T 9 3¥ Í Ì Ö Í ˆfu× ê Ó É Ñ × Ú Ì Ù Ì È Ç ë™¬uv†vf”‹Ú qÔvwˆfˆ””ÔÖ {Ô§‘•Ïm˜™uuóx%xÎ é ÓÒ Ç Ó Ì Í Ì Ñ ÑÒ é Ó Ò Ë Ç è Í Ë Ú Ó × Ç Ð çÐ
  • 48.
    ’ YB Yiy T 2 T d 5 d d H d HB d R 5 ¤ ` 2B Y 6XWx„¢U¢C8‚W6uQX‚I8U9IX‚IR h H 2B T D ‰ 5 H ‰ 2 T 4 H 7 H F 4 Y H 4 2 H d H gB hr H DB 2 n T q 5 d 5B b T F H ‰ d 5 d d H H F D D R 5 ‰ T 2 5B D T 7 d 5q 2 6IX¢Gp8ކ¬¢ge9QpƒWŽ6IQ‚QsEI£‡G„IUf¢…¢XxgUQ†…8‚WQepG…p¢s¢8EGV#W8•˜XB d6IGfIUj‹8EGpEW6WQp96G„#EX‘„WXVšauQpXxcWIvEx¢‚IW¢Q#sI•6‚Iw•X€XIW‘EXIªvVXIVƒD H F D d R ¤ ’ 2 5B D B d 4 Y H h h H DB 7By iy dB Tq T Y H hB b 5 d  DB t H d R Y T H 7 y Rq H Y R T YB YB F D HyB F ™ ’ Hy ‰ T d¢XxgvŽp8W•eQpX9WQW6IpWQW™8‚WQepXI¢QX‘IWvVQI‚8‘IG€¢9W6GXrQW‚Q‚I˜‡H 5y i T t T 7 5 dq h H 2B 7 d H D H h 7 d H D d 5 d d H ` 2B h T Hy H F D q 5 d H h d 5 H F D q 5 Y 7 d H D 2B h H Y Y H d  — 2 H Dq 5 YB d 5 D T d H  5 2 T q 5 i 4 T d R 4 4 T H F t ’ Y H 7 H F 4 Y H D T hB h 2 T 4 H F D q 5 i 4 T d R 4 4 T H F D Y Y H Y Y T 5 6G|¢ˆXj¢GVWQ†8#V›¢–‡¢GI6Q¢fIuˆQ6#6IƒWCWVUXpI¢g‘IWs¢9‡¢GI6Q¢‘IWv‚QW‚¢aGD Hy ‰ T H ‰ D Y R 7 H 2 5 2 5B D T 4By   T 2 H bB ` T d 5q H 7 H F 4 Y H 4 2 H d H gB hr H DB 2 n T D 4 Hy H Y 5 D d H h d 5 2 XI¢wsf‚p…ap88XWVgEXIIVQ¢E89™¢•a9QIƒ‚a6IQ‚QsEI£‡G„IU–66X6W9Gf6IW¢31 ² ¹ ² ó ˆ ´ g”‰¦‰¶ G À à À À † À ±¹ À î à i9ˆˆó‡6€eëe¸ ß   y …Wð×d² Ý swxp¥à ¡ p1S8fxkÁ …î ¦ … ß ît ’ ä ç ¦ 6 à c à c 6 à ¦æ Ü ¦ ç — $’ ¥ SVdpzæ ß y …Wð`޲ Ý saSpcgà ¡ ™x˜cg8w£xkÁ ‘î   ¦ … ß ît ’ ä ç ¦ 6 à “ ¦ ¥ 6 à “ ¦ à ¦ 6æ Ü ¦ ç $ $’ ¥ 8dpzæ 6 6 „® …­ ß ² Ý ß ²Ý Û ç Y H 7 H F 4 Y H Y H F D ` 2B iy   T 2B Y H R Y YB y T B 4 2B d  H F D q 5 H 2 5 YB YB F D F ` R 5 F Dy T t Y 2 5B DB h 2 5 ‡ƒ6#6IƒWu‚QIW–pXxEIp¢‰XCQI‚WE‹¢UEQIEWIuIWm¢uI¢uXuXpGŽ8I¢IG„¢UQp8XWEII¢Q4 id T h 2 R 5 ‰ H FD i ‰ h HD T Hd ‚¢III8†IWdoeQWVg‚Q4 QEI8WpIG‘W8p8Xv™W6Iš…W¢Ž6¢WIQ6¢§¢Š6IW¢™9¢GpGD 7 Hy ‰ 5 d  H F D H d 5 2 `B H @ H d H Fæ H d T i 4 T d R 4 4 T q 5 d H h d 5 H 7 T Y H F F DB @ Y H 7 H F 4 Y 2 TB ` 2 T d ` T ô 5 @D t d Ty R 4B D d T  21 ’ Y H 4B h 2B H 4 T  Y q 5 h T H d  Y d H hB @ T H b T F yyB WECv6#6IƒW‘Vƒ8IVG8¢˜w•386¢ƒI6XW‚¢U#3v6QQEIIE™QVUWh¢d¢QWI‚ˆQIECu™8gUIEXC@ i H FD D R ‰ 6IWvppot   dpŽIVw— p˜QSjËX9Q8„8ˆIxIG‡#‘IGˆ¢9‡¢GI6Q¢‹¢ˆQI‚8‘#¢WCIG‘8gUF $’ ¥ h 2 T c ’ ¥ ’ Y P 2B 2 H bB ` Y h 5 F D H 7 H F D Y T i 4 T d R 4 4 T q 5 d H h d 5 H 7 T Y H F D H b T D T F D h H bB d H h H ‰ 2 T 4 Y 2 5B D T 7B — 5 d   T 2 TB ` 2 T d ` T ô ` 2B Y R Y H 7 H F 4 Y D 2B 5  H b n D T F D t H Y d R 5 lUGŽ68E‚QIfsd¢gˆI8EGV#X˜gWpI¢#¢ƒ8p¢G8V§wIX‚IuQ9QpƒWvSE8†8I€VUWp¢‚WI¢Q4 q 5 t Y R 5B b ‰ 5 YB D1 ’ Y D 2 HB h T d `  H H D Y q 5 i DB 2B 4B b H F D 2B h 2 T Y HB d T h 2 R 5 ‰ D T Y R 5 H ` T D 2 T b h T H ¢SQp8Xxo8ˆXv£”QWoQXp¢G8dQQW‚h¢…3„IX6Xx‘pG–Xdp¢€QX‚¢UIp8s€VvI868¢GSV¢˜¢™†‰ 2 T 4 YB F D t 2 5B D T 4By   T 2 1 ’ h H D T Ry T b H ` 2B H ‰ H d T Y H bB D T bB d H h H F D H d H F @ D 2B 5  H F D 5 D y T 4 5 ¢QCXIWx‹¢XGlgXEII¢†3ˆ‹QWVUE¢V6–IX6su‚¢‘Q8„GVV„WQpwpGuWQpCuSE8†wpG‘GhVgxXy yyB D Y YB D T F D 2 5B D T 7 d 5q 2B ` 2B Y R i 4 T d R 4 4 T 2B H Y T H d 4 2B YB F D D H ` i H F D D T F D YB D 2B 5  Hy D ‰ R XEG‚fX™VUGe8EGV#W¢•pXŽpXWp‡¢GI6Q¢X…‚¢g‚QIE™XpG™‡8†6IW™VUWfE™oX¢s…EGppWY Hd 5 7 T t d H b H @ 5 W89Š6Q8‡•c‘€ 8‡¢GpQQV©6W¢QW6IXaXQpGC¢WIVgQ†–Q9QIƒ‚r¢X8I¢W8¢˜‘oE8s£l¥ ’ i 4 T d R 4 4 T h H Y T H d 4 2B dB H F D q 5 H Y R T 4 H ‰ Y H 7 H F 4 Y 2 TB ` 2 T d ` T ô D 2B 5 r d H b 5 H ` T D 2 T b h T 2 T H b T F i H F D iy d T Hy  ’ Y 2 5B D T 7B — 5 d   T 2 TB DB 7 d H € 2 5 h d 5 @ y T 2 n 68cu8¢ƒo¢VpV¢a8gU‡IGŽ„W¢QX•vQp8XWVdE˜c‚II¢VƒG„#‚Q‘f8†W8v‹¢UIi ’ ¦ $’ ¥ 5 D c ’ 8˜dp9G…3— p¥ ’6Sˆ XwI8X‚W6WI˜‡9IWŠ¢ko¢†Gj¢gEGoQpXuX–8„GVV„WQpwfWUu¢aI‘IXEIW9IWaVIGD Y P 2B Y 2 5B Y Y H d  — H H F D q 5 i 2 T 5 D y T 4B D 2 H hB YB H bB D T bB d H h D Y d n T q 5 D n H 2By  Y H F D D T F H D 5 2 H ™ ’ 2 @ 5 2 ÷ D 5 2 YB D n H 2By  Y T 5 D 2B DyB R ‰ iDB R 2B D 2 5 4 y T ‰ 5y ` h H Y T H d 4 2B H F D i ‰ D H Y g W¢I€hCspxŠ¢IŠEuI™IEXI‚…–GoXvEEIId3EISXWo8Q†¢U8E8Q‚¢g‚QIEIG#SC‡Ws¢5 YB i 4 T d R 4 4 T 2B 2 5B D 4 R h H d YB F D F 4 R EA6¢WIQ6¢)E)8XW6IpQWaXIWrƒI…7 c‘f–ç …zŽ’ „I8wX6¢WIQ6¢C¢aQI‚8aWEwpI‰ @ 5 € ’ ß îæ iy 2 5 YB i 4 T d R 4 4 T q 5 d H h d 5 Y DB D R ß   ¢ y ¦Œ t w² Ý sgà   x¢feÁ …î ç ¥ $’ ¥ o¢dpzæ º² ø ç ¦ 6 à ¦æ û ç ¦ à — à ¦ æ Áù “ ä 3sgIG¢feý‘ÿe² Ý ¥ ( 4 € ¦ i o‰ 2 H b B ` Y B D 1 ’ d 5 D T d H  5 H 4 2 H d H g B h — B d D T 7 `H h T Ü T q 68E¢vE•£mQ8WVG6s8fQI6W6h„I–„‚GV#™¨¢vw˜¢5 ‚8•‘p8ˆX–8XWV#X˜gWIIV™IEXI‚fpGD 7 d 5q H 2 5 YB 2 5B D T 7B — 5 d   T H 2By  Y H F D T F D h H 2 5B D 2 H 7 H ‰ hy R 5 F Y D1 ’ Y 2 5B D T d H  5 y T 2 5 ` TB hB d D iy 2 5 q 5 H Y R Y H ÷ T 7 h 2 T lUG9QI8EGoQ9‘s#XI8pWv£vQp8XWVG6s8p¢U88VƒIEWG‘„I8h¢™‚I•6¢¢#dIV€ç … …šŽhXB ß îæ ’ Y ß   ¢ y AŒ t …² Ý sgà   x8ÔeÁ …î ç   dpzæ $’ ¥ º² ø ç ¦ 6 à ¦æ ûç ¦ ¦ à ¦æ Ôcgà ¡ g¢feÁ ù   厲 Ý ¥ ( ¦ ä 4 € ¦ Hy  7 T — H d 5 ¤ ’ Hy ‰ T D d 5y i T Xp#¢p–u8Uˆ¢Xp¢ƒŠ8Excmt T q 5 Y 2 T H 7 i ‰ h H bB d H h iyB Y T H H ‰ 5 Yy T 2 T 4 H bB D T bB d H h h 2 5 4 H Y H F D q 5 Y 7 d 5q 2 TB DB 7 d H ‘¢wI¢g9)oÅ68E‚QIA„XWVgކWE¢¬¢QŽ8„GVVE‚QI¬I¢QQ‚ŽIWu¢w9W8•A¢ƒWE9W6f€ } p p u t  r p Ø r w y r p u ‚xCuƒX‚s“€su¡xg % r p u wsuvj w t— ß— 6õˆ– c ¥ Ú Ó × Ò Ë É ÙÒ Ø × Í Ê Ê É Ì Ç Ó Ì Í Ì Ñ ÑÒ ÖÕ Ì Ë Ò ÓÒ Ñ Ð Î Í Ì Ë Ê É È u‡§™†fjˆˆ«”w€‘ˆ””Ԑz€mQ‘Ôv«Sψm™‘”Ç
  • 49.
    t H F t’ H 7 H F 4 Y `H h T Ü d H h d 5 r F D d R 5 q H F D h 2 T H 7 H F 4 Y H 4 2 H d H g B h h H d H D 2 H 4 d H h d 5 r F D d R 5 q h d T IuˆV#6IƒW¨¢vvQI‚83xG‚p8•fIWdI¢#6IƒW6IQ‚QsEI6WQWoQQ€QpW8£˜GfI8•d‚¢Uh r 2 T D Y H F D d 5q Y 2 5B D Ty H d d TyB 7B Y F DB @ ` 2 5y T t ’ ¥ H d R `B x¢ƒfApGe8•ŽI8EGVXQ‚#¢XX9X‚ÿWECÅI8E¢I— pk‚I8Xm¤ Eð6G‚¢XIE¬%pÿ8EGVUSj 2B h H D D 5y  YB c $’ ¥ 2 5B D T R P ‡ ‡ xS‡ ø “ ß ‘î „ – 6 – Ókä ß …î ß î – 2B …UfX‚Y H 4 2B Y t h H D 4 H  — H H ‰ 5 D YB Y T t i 4 T d R 4 4 T d H h d 5r h 2 5 4 H Y 5 D – Y H D T 7B — 5 d   QIEW†‹QW66s˜‡†9GŠXC¢ë¢6¢WIQ6¢fQI‚83˜p8Q6W–G‰f6GV#X˜gWpI¢T ß ‘î ß î – 2B …ëfEWY ç c $’ ¥ ovdpzæ h jlUGGVfò – DT FD HD5 ä h vv– i ‰ 2 H bB o‰Q8„8` YE†6swISQ8g•ºQU„Ix#kIWd8GlGQ†8kQpQW6h„Ih 6W6GoQ6†6IW8£˜I86Q‚eIGŽ8U¤ B d H ‰ 7 R 2 H b T @ h H nB h 5 7 H F D d 5 D T d H  5 H 4 2 H d H gB h Hd H D 2 H 4 d H hd 5r h 2 5 4 HY H F D d 5 ’ 2 5B D T 7B — 5 d   T H F D q 5 i 4 T d R 4 4 T H F D q h8XWVdE˜c‚II¢wIWmV6¢WIQ6¢wIG§¢5 H‚IWVg9”Xˆ6s…px68g•˜¢UW6¢ŠIG§QGldEpg‚II¢€Q†…IS68gŠwQU„Ix#ŠpG‘ƒXICfGD d R Y T H 7 T YB d H ‰ 7 R 2 H b T @ y T R D 4 T H F D Y H D T 7B — 5 d   T d H ‰ 7 R 2 H b T @ h H nB h 5 7 H F D F 4B F @ 5 H6W86IvpGmpxuv‹8X‚W6WI˜‡v6¢p–vIWwEm‚¢g†I¢V‹iQ6s…px68g•€IWv‚QIC˜W¢Qsp¢mEB H d ` H h H F D Y R F t ’ 2 5B Y Y H d  — H D 4 T — H H F D 2B Y d T H   T t – t d H ‰ 7 R 2 H b T @ H F D H d H F @ Y d T H   T D H Y R T 4 H ‰ h H 7 T 2 5 Y YB d H ‰ 7 R 2 H b T @ h H nB h 5 7 H F t ’ d H ‰ 7 R 2 H b T @ h H nB h 5 7 H F D Y ‚I¢g6saQ9¢U‚mEjQ†…ISQ¢gŠuQU„Ix#vIujQ6s…px68g•w6UEIx9•IW§EB h SW6IC@ – HdH F ç 9 $’ ¥ 8dpzæ ‘• ‘• þh – ‘• ¥v6˜ ß…î þ ˜ ß…U–fX‚Y î 2B ß…î   ¦ ä ä þ Ôs…UfX‚og6 …Uƒ8Q•ª's…ëfEWoV9…냢Qš„ù ûç ß î – 2B Y ˜ ß î – Y 5 4æ 6 ç ß î – 2B Y ˜ ø ß î – Y 5 4æ —• ¢ ¤4 € “¥í þ sç e …‘• e …‘• ß ‘î   € þ 6 ß ‘î   þ 6 ¢ e G—• ¤“45Wí ü ß …î   ä ä þ “æ e …‘• ä þ ä 4 €í Ý 6 4 üí AxÅ‚5WxÝ d ¦ ‘• íç ( š†Ý ˆæ D H ` H @ t ß î ê ä í ß Hd H F 68w•I˜…S«uxuW6IC@ þ ä í Ý 5 D d 5 D T d H  5 H 4 2 H d H gB h h H d H D 2 H 4 d H h d 5r h 2 5 4 H Y T t Hy  7 T — H d 5q t iy   T H @ q #‘x†Wu¢GVWQ†8d6IQ‚QsEI)6W6GoQ6wQpW8£˜I86QWm¢Xp#¢p–w¢•§¢EIIVdvŠ£1 ç “ $’ ¥ o¢dpzæ ß þ þ –˜ ‘• 6™ä ‘• Y XB • þ q 5 H b B D T b B d H h D Y d n D 4 T — H H F ‘ ¢¢EWVVEW6I‘‚‚UC6¢p‡wIut ’ Y H bB D T bB d H h d H F `B F 5 D Hy ‰ T 4By   6Q8„GVV„WQpuQI8EI–G™EI¢QXXpI¢T iyy T R P H YB YB Y iy T 2 T H F D F ` R 5 F Dy T t Y 2 5B D T 7B — 5 d   T H bB D T bB d H h D Y d n 2 5 t H d H F t H D T d D 2 H 4 2 5 EE¢USQ€X€X‚xE¢UVIW98p8IG„¢SQp8XWVdE˜c‚II¢f8„GVV„WQpŠ‚‚U#¢p¢‚QI˜¢WVGWS6QI¢Q4 yXECwr’ — U¢Q¢EWVVEW6I™6GV#X˜gWpI¢¢GVWQ†8…QpQW6h„I3–G„IUQ¢E8ŽvX6•@ cIF yB @ H ™ þ q 5 Y H bB D T bB d H h Y H D T 7B — 5 d   T d 5 D T d H  5 H 4 2 H d H gB h r H DB 2 n 2 H bB ` T yy H @ 5 • HpX9¢p‡uG€‚6WQWoX‹Vf‚8•6‚QIW”Xv£€6Q†…ISQ¢gŠCIG”Ed$‚QICot ‘ þ W8•uIW9E‘‚¢T 2B 7 T — H 5 D D Y H d H D 2B q 5 H d 5q H d H F D YB D1 ’ d H ‰ 7 R 2 H b T @ H F D YB – H d H F @ • 7 d 5q H F D 2B H d F 4B F @ t Y D 2 H 2 5  7 5 4 d HB d R 5 ¤ Y DB 5 D 2B h H Y 5  7 5 4 H h H ‰ 2 T 4 2 5B D 4 2 Rq 4B h 5B d H  i d T d DB ‰ d T 2 ƒXpC8QGo6I8†#86v6XWp8U”G„GoX‘6W8†98Q6Ius‘Vg‘8EG6pI•€EIxXW6sa‚VGG„IWV–™i r e j | r p y w ã |g j | y  U7s{zD†7uõ”| e j i eg j | tgã y y ¡…k†7v†£×T ™— t— sÉ6– Ú Ò Ú ê ’ É Ó É Í × Í Í Ì Í Ì Ò Í è × Ñ Ð Ð fxˆ‚“f™óCfˆóˆÔCmÓ€«S‘xÎ h ¥
  • 50.
    { …i s u ž §› › {z y s w u Ô « Ñ   › ž ­ § e « ž § ¢ ­ ® ž ¢ § › Ô Ô ¯ ž § ¬ ­ › ¨ § t s ¢ ° « § ¢ ›y ® ~} rq“ § |Ô 5« § Š¢Ñ ¦ § Ÿ ¢ Ò ­ ¤® d¢†ª “¢ ­ †Ñ ÉÔ Ô Ô ¯ ¢ © ¤§ q § b   ¬ Gi gCExvs™¦¤Š¢qd¬A¤qGÚd©£“A‘‚dª¤“£kÉx“d©¤F¦q“xfn¦¤¥˜z­ £v¦pQ¤vs¢ ¥F“S£d­“qA£‘'%ªk¤)¦5Éx¤ˆ£X¤¬¨ pp A­ « ž ­ Ô ¬ ª ž « © › ç h $’ ¥ ovdpzæ ç ß î – ¥ 2B ‹ ø ß î s…ëofEWY „ “‘‘U–   EWY “‘‘UjX‚˜ˆƒ˜   2B ‹ ø ß î – 2B Y 4 ‹æ ß ‘…ën86x4 æ   vä ù ‘î ç ß î – ¥ Y 5 s…Upë8Q4 „ ø ß î ……U–   8Q4 Y 5 ø ß î – Y 5 4 ø ¦ ø h – v6˜ ä YB d H ‰ 7 R 2 H b T @ h H nB h 5 7 ` 2B h 2 5  Y H d d 5 4 H F XfQ†…ISQ¢c•ŽQIEIx#–IEII8†W6W‚8QwIut û € í Ý Ôç „ ¥xÆø „ Wx•æ „ üí Ý ø ›ç ¥xÆø €í Ý ß Wxšæ ›f¥˜¬h5Wxš‡4 jxGä ù …î üí Ý ø ç4 € í Ý ø 4 üí Ýæ ø í Ý ¦ ä íç ( ŠzsÝ 7 ˆæ h 2 I¢T „ û € í Ý 3ç Ax)6 ß „ ‚˜•æ „ “›ç ¥x)6 Wxšæ ~›fAxÅ‚5‚˜•Q¡¸ù …î üí Ý ‹ ø €í Ý üí Ý ‹ ø ç4 € í Ý 6 4 üí Ýæ 4 ‹ ä íç ( ušsÝ “æ ” ¦ 2 H F D t ¥ ø ê 5 D ¥ 6 ê 7 5 dq ` 2B h 2 H D — H Y H 7 H F 4 Y 5 D D Y H d H D 2B d R 5 D 4B d D Y H 6IGI˜©wW‘¬½Ï8‚•9pXII6Gx‡fQ9QIƒ‚–GC‚6WQWoXuI8‘‡XWW‚6Wd H @ q vv£1 … Q¢GVWQ†8…X‚G‡#9x‚ŽuXwzç 7 “©I¢8GVWQ†8wEWW69#x‚EGo¢A¢Eašç “†W6IC@ ’ d 5 D T d H  5 4B d D H 7 7 i Y T YB í (æ h 2 T d 5 D T d H  5 4B d D H 7 7 i YB D 2 T 2 T YB í (æ H d H F ” í (æ ø í ( zç 7 “ÿ”zç “æ ä í ( Cšç ˆæ ” 7 d 5q H F D 2B 2 H D DB d @ H ‰ 2 T 4 Y d 5 D T d H  5 H 4 2 H d H gB hr H DB 2 n ty T d H 2 H ` 2 W¢•upGeXQWW„WCs‰¢QuW8WVG6s8u6IQ‚QsEI£‡G„IUpz¢G6IQ¢†31 l t H ŒB Y 2 H bB ` T q 5 F Y H 7 T 2B Hy ‰ TyB T b ’ j l …ë– m¡ ¢6X‚†68E¢–v¢‰W6#‘‰XfXI¢XX¢VgT ß î H ` 2 T d d H ‰ 7 R 2 H b T @ H dB D 2 H H F D d 5q h H by 5 Y H d YB 2 5B D Ry 5 Y H F D q 5 D 2 H 2 5  7 5 4 d H ‰ 7 R 2 H b T ¢I¢Gu6s…px68g•wWEGoQ…pGf¢•k68„8W6W™E8EGpE8W…pGj¢o6I8†#86uQ†…ISQ¢c•@ 2 H bB ` T F 4B F @ F DB @ i 4 T d R 4 4 T H F D Y H hB b 5 d  d H ‰ 7 R 2 H b T @ h H nB h 5 7 H F D d 5q 2 5B Y Y H d  — 68E¢¬ƒXIC)WECr‡¢GpQQVeIG…6IXxcWp96swISQ8g•rQIEIx#dIGw¢•¬¢XW‚Q‚I˜‡H ’ Y H 7 H F 4 Y Y R 5B d T b d 5q d H ‰ 7 R 2 H b T @ h H nB h 5 6Q9QIƒ‚uI8X‚¢VŠ8•f6swISQ8g•eQU„I˜‰ Û ’ ¥ H d R `B I— ˜uWI8Ev¤ κ∆ x 0 0 0.5 1 1.5 0.5 2 2.5 3 2 Central nd 1 4 Central th 1.5 4 Pade th κ*∆ x 2 2.5 3 Ú Ó × Ò Ë É ÙÒ Ø × Í Ê Ê É Ì Ç Ó Ì Í Ì Ñ ÑÒ ÖÕ Ì Ë Ò ÓÒ Ñ Ð Î Í Ì Ë Ê É È u‡§™†fjˆˆ«”w€‘ˆ””Ԑz€mQ‘Ôv«Sψm™‘”Ç ¡ —
  • 51.
    › ¨ §c ¬ž § ­ ÒŸ ­ ¥ ›   ¬ ‘“udd“A‘Õ¦¥£q‘¦­ ° š ¬ž Ñž ¨ Sds§ ¸q“© —–”•6’42VQÐ “ ‘  ‹ ‰ c ž§§ Ÿ ¯ e   Ÿ   ¬ ­ ¨ ›¢ Ž Œ ‹ ‰u © ­ ¨ª Ò© © Ô¢ ›§ § ­ ¨§ ›§ Í ¦0dd¬““†d›½x‰sd›a‘¦‘¤A­ ™ xz Ð ¦ŠS¦Ï˜‘“U¤£¤¥‘¤“¦« sˆ ‹v˜™Œ ß ‘î   … h i˜fˆ‰… ¢ …ëfEWY ˜fˆä Þ … – ‹˜ 6 ä ‹˜ 6 ß î – 2B Û ç Þæ … d 5q h H 2B T D ‰ 5 YB ã –‚•”f¢•6IXVƒp8uE©“ ` 2B @ 5yy 5q H F D t 7 d H D y TB D T  Y H F D 5 D h HBy   T H d T Y H 4 2 H d H gB h h H d H D 2 H 4 d H h d 5 r h 2 5 4 H Y q IXCcEX8•uIGU‰W6Gh¢XGVIWwIG9GeQEXIIVw‚¢™6QI6W6h„IeQ‚QGo6Q‘QI‚83˜p8Q6Wj£1 ¤ ¡€ ” ¢ —• þ æ … ä çÞà ßæ sç ¡ ”†j‚W˜|vÝ Y T 2 5B D Ry 5 Y D 4 T — H H F D Y H bB V8XWpX8‚™‡¢p‡uIWC68„8` ¡ “ ˜ë†jëGoE9pXG˜GEW‚IpWI¢u‚•vf8•…IXx„8˜” ’ ¥ ’ P 5 D 2B ` 2B D R DB D Y ‰ R Y h 2 T ç Þæ … d 5q ` 2B by 5 … – ‹˜ 6 £i˜f¼ä ç ¡ “ pzæ ’ ¥ ‘• Þ … ã “ H F D Y H n YB D T Y ç Þæ … H d H F aIWC6U‚EGVW•‚•”‡W6IC@ þçÞæ … ä çÞà ßæ s‚|”†j‚W˜|vÝ YB – d H ‰ 7 R 2 H b T @ F DB @ 2 5B D 4 2 Rq 4B 2 5 7 d T F T i ‰ h H D TB DB 2 E†„6swISQ8g•eGECe8EG‡II•™EI89W¢U‘‰oŽ6GVXGEpXB 2 5B D Ry 5 Y T D T F ¢XG˜X8‚–VUWD   p¥ ’   8XW6QxÄ¢W•ˆX¢QQC’ ‚GD $6 8‚•eIXIpQGx–rXVd8p¬85 ’ 2 5B D 4 H ” 7 5 dq yy T 4 H ƒ  5  7 5 dq ` 2B h 2 H D — H 2B T 7 5 h T 2 ß Þ ¡ ä ‹ “ø Ý Ý 7d 5 ‚8•q H F D 2B 2 5B D T R P H 2 5B D 4 H b 2 5 4 d T H 2By H F D 2B T ` T H 4 2 5 d H hB Y 2 5  ’ 2 5B D T D H d  d H D 2B y T 4B Y i F  pGE8EGVUS6e8XW6Q¢o8Q‘¢gpXXaIGXVo¢‘6I8™6IX‚I8•™‹8EGVG6WpWQWoX§¢gEWxoIdT 2 H bB ` H ‰ 2 T 4 Y d 5 d d H H F D t 2 5B D T R P H 2 5B D 4 H b 2 5 4 d T H 2By H F D q 5 D — H D 2 5 4 H F D 21 ’ Y 2 5B D T 7 68E¢#†r¢Qa‚8W‚Q#IG˜‹8EGVUS6)8XW668o8QVgIEX9IGŠV…x‡WS¢Q9IGA3#6I8XWV#XB r — 5 d   T H 4 2 H d H gB h ` 2B Y Y H Y Y T d 5q y 5 5 D y Rq H Y R T Y H hB b 5 d  d H ‰ 7 R 2 H b T @ h H nB h 5 7 H F SgWpI¢–QpQW6h„IeIEWW6W‚¢8•˜8xGvp•6WpduQIExs‚IuQ†…ISQ¢gЉQU„I˜9‘Iut ß…î‚çs…Uƒ8Q¬ø   æ ß î – Y 5 4 ß î – 2B Y ˜ ‘UfEWor¥ ç e …‘• € þ á6 e …‘• þ ˆæ ß…î ¥ ä ä h – •£˜ Y H bB ` F 4B F 68„8†ƒEIC@ e þh –˜ ø h –˜ — …‘• £€mv6o¬ø G—• e € þh – ¥£˜ Y H n YB D T Y H 7 H F 4 Y YB F D d 5q d H ‰ 7 R 2 H b T @ h H nB h 5 7 H F † 6U‚EGVWa9QIƒ‚uXIWŠ8•f6swISQ8g•ŽQU„Ix#wIut ç4 € í Ý 6 4 üí Ý f¥˜Å‚5‚xšæ ß…î ¥ ä 4 üíç (æ ø íç (æ — ø 4 € íç ( ”5WšhÝ “ÿjz†Ý “UÆ‹Aš†Ý ˆæ i ‰ 2 H b B ` Y B H 7 H F 4 Y `H h T Ü d H h d 5 r F D d R 5 oQ8„8CXu9QIƒ‚a¡VvCQpW8£˜GfI8•q H F t ’ d 5 d d H iy H dB D 2 H ` 2B H ‰ D 2 H 2 5  7 5 4 i d T 2B ` T 7B H F D F DB @ t — Hy  7 5 4 YB d H ‰ 7 R 2 H b T Iu¬68W‚QÅ„QWEGoQkIEQ†9S6I8†#¢QA‚¢IX8¢#XIWÆWECjs‡EI#¢Q–X#Q†…ISQ¢c•@ h H nB h 5 7 H F D t D 2 H 2 5  7 5 4 4B d D H 7 7 i Y T Y H h Ry 4 2B d 5 D T d H  5 H F D 2 H F ™ ’y T H d iy H d R  YB d H 6UEp˜9™IWxQoQI8†98Q‘X‚G699˜fa•QIIEQIEv¢GVWQ†8™IWŽQIª§Ÿ¢QW9E6WIpvE•Q†‰ r 7 R 2 H b T @ h H nB h 5 7 H F D t ç h H d H D 2 H 4æ 4B d D H 7 7 i YB D 2 T YB d 5 D T d H  5 H 4 2 H d H gB hr H DB 2 n H F D 2 H F ‘ISQ¢c•™6UEIx9jIGl‡ë6WQWoQQ•uEWG‡#9x‚EGo¢›E‹8GlGQ†8j6IQ‚QsEI£‡G„IU”IWw6Iª™ Ú Ò Ú ê ’ É Ó É Í × Í Í Ì Í Ì Ò Í è × Ñ Ð Ð fxˆ‚“f™óCfˆóˆÔCmÓ€«S‘xÎ ¦ I—
  • 52.
    ’ h HdB R P H d H d T Y d 5 D T d H  5 i d T h 2 R 5 hQWEISQ‚w‚¢CW¢GVWQ†8e‚VUII8†‰ y TB 4 H  Y 5 2 t Y 2 5B DB h 2 5 4 i d T h 2 R 5 ‰ 4B h 5B d H  q 5 H Y T 4 H F D 2 1 ’ 2 5B Y R gB h h 2 T 2 5B D 4 H b 2 5 4 d 5 ¢ƒ6Q†WdpUQI8EG„II86‚¢UpI8†XIxX‚Q†”¢aW¢QaIW†3€‹8EWIsEI†I¢e¢XG‡Q¢S¢QC8•q Y 2 5B D T R P H y H h 5 7 d R 5 d 5q h H h H H 2 Y d 5 D T d H  5 i d T h 2 R 5 ‰ H F D d H hB Y 2 5 4 H @ t 2 5B D 4 H Y YB F D 2 p8XWVUSQ§QIx9™I8‘8•eQpQQp™W¢GVWQ†8f¢UIp8saIGfQIEWI86…vs‹8EG‡QWfXIW31 ’QQEW¢III8†dIWal…VIGrIVE¢#8IdpGŠ¢u8EW6GoX#IGAXk8XWV#X˜gWIIVŽQpQW6h„Ih Y HB d T h 2 R 5 ‰ H F D D T D T F D h 2 T 2B T 7 5 h H F D q 5 d 5B d H D 2B H F D 2B 2 5B D T 7B — 5 d   T H 4 2 H d H gB H F D F D 5 ‰ Y H D T d 5  d 5 4 2B d 5 D T d H  5 H 4 2 H d H gB h —B d D T 7 T pGªG¢†eQWVG8†W¢QIEŽ8GlGQ†8kQpQW6h„I«„WWV#¬™t   p¥ ˜ÿ¢XG‡Q˜ÿEB Q‚WI6WEI™i ’ ’ ¥ 2 5B D 4 H ” 2 h H Y Y R 4 YB h Y ² ± ¹ À ´ · ¶ î 6€weeëà ¤ » ‡w´ ² À à » ´ À ± C ˆ9”aj…” ± Á ¶ ± À ± ¿ CejÅ6¹ ½ ¢® £­ ’   88A8XW66˜†X6W‚IQ‚XICQpG‚p•ŠXCXIum¢IpGEEI9¢‰XB ’ ¦ ¦ 2 5B D 4 H ” 2B h H Y Y R 4 YB h d H F D d Rq YB YB F t ’ H h R DBy  7 T 2 d 5 d d H H F D 2 5B D d 5  4B d D H 7 7 i Y H F D h 2 T h H H  Y 2B d 5 d d H H F D Y H 2B 7 d H D H h d 5 D T d H  5 H 4 2 H d H gB ¢WW6CIG…8EGf8s•XWW69#xf‘pG‘I¢dQQ†W–Ej8W‚QCIG”6IX9W6G‡Ij8GlGQ†8CQpQW6h„Ih y TB D T  Y H F D q 5 2 5B D d 5  4B d D H 7 7 i YB D 2 T H F D Y R F t ’ 2 5B D Ry 5 Y H F D q 5 H h R DBy  7 T H F D 2B d 5 d d ¢ƒWVU‚IG›Vd8EG‚¢s‘X‚G699˜fXWSVIWŠISuv‹8EGpE8W™IG›¢CIpGEEI9¢IWdXv8W‚QH 2 T 5 D Y h T Hy D d T  i d T 2B ` T 7B H F D HyB F @ t h H H  Y 2 5B D T ` T  5 d  H F D 2B d 5 d d 2 T 5 D Y h T H ¢)G#p¢gEe‚¢IÅ‚¢IX8¢#XIGXEIC‘hQQ†W©8XWVo¢I8WIIG«Ed8‚W6H ¢ÅG9I¢QXy d H ‰ 7 R 2 H b T @ h H nB h 5 7 H F D q 5 D d T  y T H d H F D D T F D H H Y H @ t ¦ ’ ¥ ’ P q 5 7 d 5q H F Q†…IS68gŠŽ6UEp˜9IG§¢Cf¢U‹¢QWIWuVUWu6Wuv˜8p“ pëëj8¢§‚8•IGD 8WU¤ 7 5d ’y H b Hy d 5 d d H H 7 T ŸQ¢6E‘¢WW6#VGY H F D H b HB F 4 T 5 D iy H bB D 4 H  Y H pG86EIƒ¢kW)E68EW66s‚QWd ŸŸ ¡ ªIVqeWEISQW9QIƒ‚¨¢v–6IW¢3˜W‚I8•ŽpGD    ¦ h 2 T $ ¦ H d B R P H d H 7 H F 4 Y `H h T Ü d H h d 5 r F D d R 5 q H F h 2 T H 7 H F 4 Y h H d H D 2 H 4 d H h d 5r F D d R 5q D 2B 5 r $ H F t ’ D 2 H 4 d H  ¦ IV‘#6IƒWk6WQWoQQfQI‚83xG‚p8•CSE8†3sÓpugoQ6W6s…„’ ¡ VUG‘WQEˆ¢eQ6s‚…WVUI 2 T F D Y Y Hy q 5 h H H  Y H Y T F 2B d 5 d d 2 T H 4 R h 5 d  5 Ed8‚W6H ¢eQpI˜‚IrWD    ‡0 ¡ ôQWEISQ‚e#6IƒW6IQ‚QsEIª6WQWoQQdQI‚83˜p8Q6WY c Y H dB R P H d H 7 H F 4 Y H 4 2 H d H gB h h H d H D 2 H 4 d H h d 5r h 2 5 4 H H F D t Hy  7 T — H d 5 ¤ ’y H b Hy h H nB 4 H  Y T @ 5y H ‰ Y d 5 d d H H 4 R h 5 d  5 D h H dB R P H pGˆ¢Xp#¢p–‘8UÅŸ686E©6UE6Q†WeµcEQ†‘W8‚WQ6IIxWIAGÅQ‚XIS6Wd     H FD q ‡0¡IG‘¢5 Y 7 d H D 2B h H Y Y H d  — H H ‰ 2 T 4 H 7 H F 4 Y T q 5 i 4 2 HB 4 ¨ H ` 2B by 5 Y H d H F t ’ ß î – r 9W6G)E«Q‚W6WI˜‡ds¬¢Q‰9QpƒW‘¢Å‡IQEQ96epXxE8‚Q‚eIu˜…Uo‚   oÅQ8„8` i ‰ 2 H bB YB H by 5 Y H d YB H b T @ 2 H bB ` T F 4B F @ i ‰ E)hQ¢E8‚Q‚aEe8gŠQ8„8†¬ƒEICkoç ŸŸž|¢x‡X‡¢r€#‡Uu|U|lU•¢w6swISŽIut    æ ‚x … „ }  } 1  è € } œ žx „y ‡ œ q 5 d H ‰ 7 R 2 H F ’ iy Y 5B b H d h H d H hB Y 2 5 4 Y H 7 H F 4 Y H F D d 5q h H H  Y H Y T F  y T 4B d H 7 R 2 H F D Y @ 5 F Y $’ ¥ H d R `B 8E‚IR8E˜‡WI–6WQpXWp8Q€Q9QIƒ‚uIGm8•‘QQ†WC‚¢UI˜¢gEWQ9ISuIWˆCcI‚™%˜uWI¢Xv¤ ’ 7 d 5q y T 2B `B d ‰W8•ë¢UE8X‚85 Y DB Y Y 5y iy T R D H b H Y 2 H 2 5  7 5 4 d H ‰ 7 R 2 H b T @ D 2 H d H gB h i 2 T 7 q 5 ` 2B D YB Y 2 5 4 7 d 5q H b T WEuQH‚8XA„Xy¢UWo2Q8‡aWDoQI8†98Q…6swISQ8g•ao6WQsEpeo¢dŠ¢†pXGfX‚I8Q¡‚8•6¢c•@ T t Dy R H d T uQEI‚YQ‚rŽYfÿ’V8E‚W6Hs‚XII¢5I#EψC¢UX¢XW¢IWÆ8p8IG„¢u‹¢XW‚Q†WEId6QIIxWWoXB i H bB Y d  YB h 2 2 YB ã Ü y T 2B `B d 5 H F D F ` R 5 F Dy T t 2 5B Y d H  YB h Y H 4 R h 5 d D 2 2 5B D T 7 — 5 d  T y T B d H 7 2 H F t d ‰ 7 R 2 H b T @ H F D q 5 2 5B D 4 2 Rq T Y 8XWVdEB˜c‚II¢”¢g4EWQ9IRS‘IWDmQ6HswISQ8g•‘IG€¢e8EG6pI•ŽuXB h ë6IX˜‘8ECcEWexGD ‹ H 4 2B ” ’ iy @ 5y Y 5 5 Y6GV8¢U85‚I«85EGpE85W‘¢QXWd6#px2eHpGDŠ¢EI9¢p‡dEIG98•¦ l r h fQIE˜” ¢EE¢gEWQ9IS2 H D T ` T  d  2 B D Ry Y y T 4B H 7 R F t Hy  7 T — H YB F D d 5q ‹ ‹ H 4 2B ’ iyy T 4B d H 7 R h D T ` T  5  YB 5B D 4 Rq 4B 2 7 d T 6HGVoVU8Wdp›X28EG6p2I•vXp85#‚¢UFuTaFƒXBIC›VaQ6s‚ˆIG‹Ea6Q†W€W¢Up¢¢QXW6#px€Iut 4 F @ D T h H H  Y H F D YB h H H  Y H Y T F  y T 4B d H 7 R 2 H F ß î …U– ‹ ä h‹ ß î – 2B …U“EWY t Hy  7 T — H H b 5 ‰ T H F D d 5 ¢EI#VI–u8csVapGŠ8U¤ – h – ä h ‹ ‹ i ‰ d H ‰ 7 R 2 H b T ofQ†…ISQ¢c•@ h H nB h 5 7 H F D 5 D h H D Ty H d YB F 4B F @ t h H H  Y H Y T F  ç h H nB h 5 7 d 5æ y T 4B d H 7 R 2 H F D Y 6UEp˜9™IWwG#QGlƒQ‚vEeƒXIC˜‹Q6s‚W¢IIˆUQU„I˜9€8šv¢gEW6#ISfIG€XB h W6IC@ ‹ HdH F ç ¦ ’ ¥ sp“ pzæ ¤ œ¡€ ›” r — 5 d   T y TB D T  Y H F SgWpI¢ë¢XGVU‚CIGD ¢ ‘• þ æ … ä ç Þ à ß y T 4B d H 7 R £ç ¡ ”k€‚‚˜•æ ¢QXW6#px2 Ý 2B T D ‰ 5 H @ E¢ƒ˜8u•pt ¡ “ ˜sëjëGoX–IEGpWEW‚II‚I¢ŠpEI¢Ž8XWV#XB ’ ¥ ’ P 5 D 2B ` 2B D R DB D Y ‰ R Y h 2 T ç iy 2 5 2 5B D T 7 7 5 dq d 5 d d H H F D ` 2B d H hB Y 2 5 4 H d T H @ H 4 2B Yæ iy D 4 T — H ã “ YB F D ` 2B by 5 ¢W•j8W‚Q‘IGIEW6IX‚I8QC‚¢vuQIEWš†„G‡¢p‡vXpGIXx„8˜” Ú Ó × Ò Ë É ÙÒ Ø × Í Ê Ê É Ì Ç Ó Ì Í Ì Ñ ÑÒ ÖÕ Ì Ë Ò ÓÒ Ñ Ð Î Í Ì Ë Ê É È u‡§™†fjˆˆ«”w€‘ˆ””Ԑz€mQ‘Ôv«Sψm™‘”Ç   —
  • 53.
    ç — ’¥ S¢“ pzæ ¹ ’ ’’ ¡ ·· ´´µ ³´´ ¡ ä Ý ·· ¶ !‘6 ß…î   ¦ w6 ä y AŒ t º² à ·· ¹ ’’’ ¦ ·· ¶ ¦ ¡ ¦ ¦w6 ¡ ´´µ ³´´ ¦ w6 ¡ ß…î   ¦ w6 ä » F DB WEC@ y ¦Œ t º² ç ¥ ’ ¥ o8“ pzæ ø ²Ý ‘D» ä ²Ý £ ( 2B T D ‰ 5 H @ Y H 4 2 H d H gB h h H d H D 2 H 4 d H h d 5r h 2 5 4 H Y F DB @ t Hy  7 T — H d 5 ¤ ’ i d T h 2 R 5 ‰ YB F D d 5 X¢Gp8w•CQ6IQ‚QsEI†QW6GoQ6f6IW¢3˜I¢QQ‚GEC˜¢Xp#¢p–u8Uv¢‚¢III8†uXIWŠ8•q h H dB R P H d YB D 2 H 7 D T H d D y TB 4 H  Y 5 2 2 H F D t 4 € í Ý h 2 5 i H ‰ h 2 H D — H D 5 2 Y H 5 h 2 5B D T 7B — 5 d   Q‚XIS6WwX…o6#WVg‚Gˆ¢ƒ6Q†WIrQIWvƒ¥˜¬I¢86†ÅI6Gx‡w¢Iw6˜p8EGV#X˜gWpI¢T H 4 2 H d H gB h d 5B d H D 2B H F D Y T ` 2 5y Y T D T F D d T Hy 4 YB D1 ’ i d T h 2 R 5 ‰ @ 5 q 2B H F D D Y d n d H hB Y 2 5 6IQ‚QsEI§8X‚QWSEŠIWv¢I¢X”¢”VUWv¢gEQmXj£m8‚VUII8†ÆcUpX•IG”fWU”6IX‚I8• ’ h H nB 4 H  Y YB ä Ý h 2 ‹6UE6Q†WuXC!‰I¢T Æ a•Cà û Å Ý ç   “ pzæ ’ ¥ ‡ ‡ xS‡ à C–£Ý Ïe² Ý Ý à 4 ù ä YB Y 2 @ 5 2 ÷ 2 R q 5 d 5 D 4 H b H F D Y R F t ’ i d T h 2 R 5 EfICcISIpv¢‘8W6Q¢IGCISuˆ8‚VUII8†‰ @ 5 q D R 5 H F D YB i d T h 2 R 5 ‰ h 2 T Fr D F `B d H F D h 2 T t i d T h 2 R 5 ‰ @ 5 q 2B H F D YB i d T h 2 R 5 ‰ h 2 T cUWp¢‘IGE‚VUII8†eI¢I3‚o8EW–IWkp¢˜8f¢UII¢såcUpX–IW™X‚¢UpI8†Ap¢UF r‚|6E‘IGpxW‹¢¢EG„W8†X‹ QQ†W98g•…IG™VUG…9I‚W¢9v…WQ‘q¢‚¢UpI8†‰ cU‚p85 Dq Hy H F D Y R F D ’ H bB DB Y 5  YB h H H Y H b T @ H F D D T F D H 7 RYY T H @ Hd H € ’ id T h 2 R 5 @ 5 qD R H F D D T h H nB 4 H  Y YB 2 5B DB h 2 5 4 5 2 HyB F @ t i d T h 2 R 5 ‰ @ 5 q 2B H F D D T 2 H bB ` YB 2 5B DB h 2 5 4 i d pGVAQIEQ6s‚X8XWEII¢QeIaXXpC‹8‚VUII8†cUpX‘pGVA68E¢X†8XWEII¢Qf¢T rxII8†j6EIƒX‚XapVW¢Q€6G‚Vƒ‘IG93j¢†x3«cUW˜83ŠcUpE›¢ˆ8uEI˜EW6sˆQpGE6f†dVg4 h 2 R 5 ‰ D Hy F 4B dB ã T t H Y T 4 d H D D Ty H F D 21 ’ H  iD @ 5 q D R 5r @ 5 q 2B q 5 d 5 4B h 5B d H  d H F DB H H ‰ 2 T 2 5B D T R P H 2 5B D 4 H b 2 5 4 d T H 2By H F D d 5q Y 2 5B DB h 2 5 4 i d T h 2 R 5 ‰ H F D t 8EGVIx68EG668o86‘VgIEXwpGC8•‘p8XWEII¢Q‚VUII8†wpGëp¥ ’   8EG66˜eW#IEW‚Q•6Cƒ 2 5B D 4 H ” 5 D ` 2B d d Hq H i eg j | â ¬ « i eg j t p © i h£7uX­k†Ú‚hªke 2susë‚ugö à r | p ig ! p u ’ Y H 7 H F 4 Y Y R 5B d T b d 5q h H H  Y H Y T F  y T 4B d H 7 R 6Q9QIƒ‚uI8EW¢VŠ8•‰QQ†WwWVUIhVgX‚Q9Ifò ™— ¨— s– Û $’ ¥ H d R `B x%pu‚I8Ev¤ κ ∆x 0 0 0.5 1 1.5 2 2.5 3 0.2 4 Pade 0.4 th 4 Central 0.6 a* _ a 0.8 th 2 Central nd 1 1.2 Ú Ì Ò Í É Ö Ó è × § Ë É Ú Í × Ë É Í Ì Ê × Ì Ç Ó Ì Í Ì Ñ Ñ Ò Ö Ð ¥Ð €Ô‘™‘fmӏV™efC•™CˆˆCó”…ˆfˆ”vԐ«o¦xÎ ¥ o—
  • 54.
    H dB RP H ‚XIS6Wd ’ 2 5B D T 4 nB h 5 ‹¢XGlgU„I˜97 q 5 Y @ 5 d 5 @D D Y Ty H F D d 5 D T d H  5 d 5B d H D 2B h H d H D 2 H 4 d H h d 5r F D d R 5q T q 5 H Y T 4 H F D 2 » VŠCcW‘v3vf¢ƒfIG€8GVWQ†8ˆ8X‚QWSEQW6GoQ6•6IW8£˜GfI8•a›¢WVgIWd31 ¹ ç c ’ ¥ o“ pzæ · ’ ¡ ’’ ´µ ´´ ´´ ¡ ·· ·· ³´´ ¡ ä Ý ·· ¶ •‘6 ß…î   ¦ a6 ä y ¦Œ t º² ¹ · ¦     6 ¡ à ·· ·· ¦ w6 ’’ ’ ¦ ·· ·· ¶ ¦ ¡ ¦a6 ¡ ¦ ´µ ´´ ´´ ß…î   ¦ w6 ´´ ³´´ ¦ w6 ¡ ä » F DB @ d 5 D T d H  5 H 4 2 H d H gB h T Y H 4 R h 5 d  YB F G„CŠ8GVWQ†8uQI6W6h„I9‘6QIIxWp‘EIut ç 9 ’ ¥ 83“ pzæ ß…î ¦ ç4 € Å Ý 6 Å Ý ‚‡•)Ù•šæ ä Å sÝ “æ ç ( Û h H Y R H ‰ 2 T 4 Ty R 7 d 5q h d T @ ÷ 4 T ‰ d H h d 5r D Y d n ` 2B @ 5yy 5 hQWpw†¢g…XI…‚8•†‚¢Šoƒ¢I‘6IW¢3‚fWUaIXCcXE8•q HpGjQ85WVG6Hs¢…8X‚dQWSE–QI‚83˜p8Q6WeÆGEª)hQWp‰†–‚p…ƒp…W8•e6IQ‚QsEIÆW¢•@ F D t d D T d  5 d 5B H D 2B d H h d 5r h 2 5 4 H Y T F DB ™ ’ h H Y R H ‰ D Y R 7 Ty R 7 d 5q H 4 2 H d H gB h h d T r ÷ T 8ƒ4¢U‰ i€‘2…ˆlT6WIR†u¢Ip¢gIG5WxuQ‚XIS6WƒXICxQ8WVG6s¢a6IQ‚QsEI£˜Q‚QGo6Q4 ’ ä ê D h H Y H ‰ D 5 2 2 T 4 t 4 ü í Ý Y H dB R P H d F 4B F @ t d 5 D T d H  5 H 4 2 H d H gB hr h H d H D 2 H d H h 5r h 5 4 H Y F D Y R t 4 Å Ý D R 5 ‰ T 2 5B D T 7 d 5q 2B 5 2 F DB 6IWd8£˜I286Q‚eHIG…ISFuk’–5ü•…˜8sVr8EGV#W¢•pXeIrGEC@ Dp˜I…VT ß 5Ý WV#XB ‘ H h 5 2 D r HD T 7 r — 5d  T Y R 7 SgWpI¢wD‚I…–Hd‹6UnE6QH†WYuXBk8EGEpI8Q‚¢UpI8††Im8f¢UII¢s‰ sIWp89IWaŠi ™ ’ h H B 4  Y 2 5B DB h 2 5 4 i d T h 2 R 5 ‰ 5 2 t i d T h 2 R 5 @ 5 qD R 5 H FD D ’ H D T d R 4 4 T d H h d 5 r F D d R 5q iyy T ‰ 5y ` YB 2 5B D T 7B — 5 d   T YB F ¢WVGI6Q¢C6IW¢3˜W‚I8•–„X¢U¢X8uEŽ8XWV#X˜gWIIVfEIut ’ ç “ ’ ¥ o8“ pzæ ¹ ’’ ´´µ …î   ¦ ß ¡ ³´´ w6 ¦ ä •Ý ·· ·· ä Ý — ¸¶ !8‘6 ¹ ä y ¦Œ t º² à ·· ’ ’ ’ c ¦ c õ6 ¡ ¦ a6 ·· ¸¶ c ¡   ¦   6 ¦ ´´µ ß…î   ¦ ¦ w6 ³´´ c õ6 “ f6 » ä F DB @ ¥ ’ ¥ ’ P q 5 7 d 5 WEC…8“ p††j7¢§‚8•q H F D Y T F d 5 D T d H  5 H 4 2 H d H gB h ` 2B Dy R Y H d H F t ’ Hy ‰ T D d 5y i T t T ` 2B Y R h H bB d H h iyB Y T H YB F 4B F pGˆ¢Uˆ8GlGQ†8‘QI6W6h„IuIXWEI‚QW‘Iu”VXIVƒj8XxgmwaIX‚Id68„WQp…EEW¢QˆXdƒEIC@ ç $ ’ ¥ 83“ pzæ ç ß î „ Å6 ¢Æh£¢¬•Ý   †æ …8“ Ý Ý “ ø 4 Ý ¥ 6 ä 6 ä 4 sÝ ˆæ ç ( ¦ Û ¦ ä ê D T d 5 D Td H  8‘€lC8GVWQ†85 d H h d 5 r h dB F D ` 2B @ 5yy 5q H F D H Y R 2 T 4 H @ t Y H 4 2 H d H gB h h H d H D 2 H 4 d H h d 5r F D d R 5q F DB @ t Hy  7 T — QI‚83˜‚XIWaIECcXX¢•IGWp‰Vgu•I6Q6IQ‚QsEI†QW6GoQ6ŠQpW8£˜GfI8•ŽG„Cp¢EI9¢p‡H d8U…¢9QpƒW™¢XW6GoX‘pGj¢lUGvVUSQ§XXC6¢WIQ6¢vVU8X¢…IGeIV˜¢9QIƒ‚™8EWQWoXB 5 ¤ ’ H 7 H F 4 Y d 5B d H D 2B H F D q 5 D T F D y T R P H yyB @ i 4 T d R 4 4 T y T ‰ 5y ` H F D h 2 T t H 7 H F 4 Y d 5B d H D 2 H F D q 5 D T F D 2 T F D € } è ‡  € } ˆ € ‡ } „ ‡ YB F 4B F @ i 4 T d R 4 4 T q 5 d H h d 5 2 T H b T F 2 T 4 t } { } ‚  pG¢9VIG©VUGw‡•lXe‡x‚lehlX©ƒXIC¬‡¢GI6Q¢¢–QI‚8«V8gU©¢g€‡d‡Uƒcž ‡¢o†xl‡5¢WŸ–‡d˜Ud•¢CcIS˜68GlGQ†8#¢ƒI˜v8‡¢GpQQV˜¢•6IW¢fWVƒ‚I8WpI¢pGD €  ˆ „ ¢ ‡ À    y € } { ¢ „ T Y T 2 @ 5 2 ÷ t d 5 D T d H  5 2 T F 4 R ” ’ i 4 T d R 4 4 T q 5 d H h d 5 H D TBd  5 d   T H F ` 2B b T F HyB F @ t ¦ 6 ê 5 D iy 2 5 Y h 2 H D — H F 4B F @ IExcI‘XXpC§8ÿë#GEI8aII6Gx‡ƒXIC–¦ ™l)Q‚XIS6WuXu8WVG6s8woQ‚QsEIT ä ê D T h H dB R P H d YB d 5 D T d H  5 D 2 H d H gB h € í Ý q 5 H Ry T b T Y H dB R P H d ¦ ä ê D T 2 5B D T 7B — 5 d   H 4 2 H € ’ 2B T 7 5 h H F D H hB Y D R 5 YB F 4B F @ 6IQ‘‹XVd8pwpGIEWG˜8uXƒXpCIt Axm¢IE¢V…f6WEISQWuåw€Ve8EGV#X˜gWpI¢T H F D 2 H F D t — $’ ¥ ’ P 2 2 H bB ` d 5 D T d H  5 d 5B d H D 2B d H h d 5 r F D d R 5q H F D H Y R H @ qB t d H b H @ 5 pGªQIWCpV%˜uëˆgEB Q¢E8Ž¢GVWQ†8d8EW6GoXŽ6IW¢3˜W‚I8•pGWpAvE™QQ¢6vcf€ Ú Ó × Ò Ë É ÙÒ Ø × Í Ê Ê É Ì Ç Ó Ì Í Ì Ñ ÑÒ ÖÕ Ì Ë Ò ÓÒ Ñ Ð Î Í Ì Ë Ê É È u‡§™†fjˆˆ«”w€‘ˆ””Ԑz€mQ‘Ôv«Sψm™‘”Ç — 8—
  • 55.
    ç — 9’¥ SVdpzæ — W ß 4 ü 5Å W ß V iä V Ý Ý YB D T F D t ¦ X‘VUWp8ðø ‘ ä ê D T h H nB 4 H  Y YB AV¬6UE6Q†WwX©ß ÚÝ VUWd#pWWVe•˜‹8EG„II86rf¢UII¢s)p¢dpQfw8U¤ r D T F D H 7 R Y Y T H @ t 2 5B DB h 2 5 4 i d T h 2 R 5 ‰ 2 2 T 7 R H ò T d 5 ’ ’ ¥ ’ P 2 ˜9   pëëj‰XB 2 H bB ` d 5 D T d H  5 H 4 2 H d H gB h H F D 5 D ` 2B h T Hy t Y HB d T h 2 R 5 ‰ d T H 2 h H dB R P H d H d T Y 2 5B D T 4 nB h 5 7 5 68E¢§¢GVWQ†8•6IQ‚QsEI€IG‘GuIEI¢gEV6QEW¢UpI8†m¢QI…6WXpx6W€W¢‹I8XWVgIEIx#fI2 ç ¥ 9’ ¥ o¢dpzæ ç4 € í Ý ø í fAxÆv˜Ý   85Wxšæ 6 4 üí Ý ß…î ¦ ä í sÝ ¥ ˆæ ç ( d 5 D T d H  5 d 5B d H D 2B h H d H D 2 H 4 d H h d 5r h 2 5 4 H 8GlGQ†8Š¢XW6GoX†Q‚QGo6Q‘QI‚83˜p8Q6WY HpGG„ª¢8c†¢AQ‚WI6WXpe8XWVUSQk8EG668o86…IG‘8•‰‚¢UpI8†åcU˜X…IW™¢™QIEXy F D F DB ™ ’ H b 5 ‰ T h H Y Y R 4 YB h 2 5B D T R P H 2 5B D 4 H b 2 5 4 H F D d 5q i d T h 2 R 5 ‰ @ 5 q 2B H F D Y T Y H 2B H 7 T Y H F D ` 2 5y T Y h H H 4 5 d  2 5B DB h 2 5 4 i d T h 2 R 5 ‰ D Hy F 4B dB ã T q 5 D 2 H 7 D T H d D H F t ’ Y 2 5B DB h 2 5 9¢WuIGI¢X¢€I6QQxWp…8XWEIp8Q‘f¢UIp8sm6EIƒX‚Xuh¢joQ9GVQWWCpuvQp8XWEII¢Q4 i d T h 2 R 5 ‰ 2 2 T 7 R H ò h 2 T D Hy F 4B dB ã d H hB Y 2 5 4 D Y R 7 H @ 2 5B D T R P H 2 5B Y R gB h H F D ` 2B by 5 Y 2 ‚¢III8†I¢#IQ‘I¢•6XpƒXWEuQpXWp8QCfI…vŽ8XWVUSQŽ¢XWph„IIW…IXxE¢We31 i eg j | â ¬ « i eg } â ng l p u h£7uX­h£¡uÏo2Ùugö ‚— ¨— o– ’ 9 ’ ¥ ’ P 5 D y T 4B D 2 H hB YB F 4B F ˜“ p†ëjëGh¢QXWS6IXuE†ƒEIC@ ç   dpzæ 9’ ¥ ß …î çf4€‡Å•ÝÅ6ÙÅ5Ý•æ ¦ ß‘î   ¦ ä ç4 € Å Ý 6 4 € Å Ý 6 Å Ô‡•Å7‡•)Ù•Ý   æ ä ç4 € Å Ý 6 4 ü Å Ý ¡‚‡•)855•æ ß‘î   ¦ ä Å sÝ “æ ç ( Y H bB Q¢E8` ‘ H h 5 2 D T h HBy   T d 5 D T d H  5 H 4 2 H d H gB h h H d H D 2 H 4 d H h d 5 r h 2 5 4 H Y H F D 5 D 2B YB F D ` 2B D R DB D Y ‰ R p˜IVeQEXIp¢8WVG6s¢‘QI6WQsEp6WQWoQQ6IW¢3˜I¢QQ‚‘IG#GoXEIG#IXWpG„G‚pI˜” ç ¦ 9’ ¥ s˜dpzæ 4 € Å Ý 6 Å ‡•Å2•Ý   j5•Ý ä 4 ü Å Û 4 ü Å Ý 5 D 2 5B D T 7B — 5 d   T d H h d 5 r D Y d n ` 2B @ 5yy 5q H F D Y H bB ` F 4B F –5•9Wd8EGV#X˜gWIp¢‘QI‚83f‚WIwIXCcEX8•IWC68„8†ƒEIC@ ç ¡ dpzæ 9’ ¥ ¡ ä 4 € Å Ý ø Å ”‡•Æð•Ý   85•ÿ”55Ôç 6 4 ü Å Ý ä 4 ü Å Ý € ® €ø 4 € ®   pfæ 6 ¦ 2B T D ‰ 5 H X¢Gp8w•@   d~GEC˜¢Xp#¢p–Š8U€8ºë°X8EGD ä F DB @ t Hy  7 T — H d 5 ¤ ’ ¦ 6 YB 2 5B r T 7B — 5 d   T H F D q 5 d H h d 5 H F D h 2 T 4 ü í Ý ä í Ý ® i ‰ h H 2 n H h d 5 D T d H  5 DqB F Y H F D Y ® H d H F l#X˜gWIIVIG›V•QpW8pGdIV€5WxðŠ˜w¯oQpU6I€8WVG6s8•|EI‚IW€EB „W6IC@ ç h ’ ¥ o“ pzæ ¡ ä 4 ü Å ”5•Ý ç Ü € 4 ® 6 ¦ Vpfæ Û hB d ` h H 4 T  YB R P H 2 T 2 5 d H h d 5 i d T d DB ‰ d T 5 D T D T hXW¢Q6¢U‚XISQ‰¢‰8CQpW8d‚¢WGEpW¢9G…GVUh d8X‚QGoEvIWó8W•uQWVƒ¢s¢WGx‡vs‘Gh5•§CcEX¢Cƒp…W8•ŠpXCcXE8•vIu˜‹¢XGlƒ8†¢GWx‡H 5B d H D 2B H F D 7 5 dq h H D Ty 5  T d D — H H ‰ 5 D 4 ü Å Ý Y @ 5yy T Ty R 7 d 5q ` 2B @ 5yy 5q H F t ’ 2 5B D Ty 5  T d D — H 4 T  Y q 5 Y 7 d H D 2B YB Y H 7 H F 4 Y i d T h 2 R 5 ‰ q 5 D 2 H 7  5y H b H h H F D 5 D F 4 T 5 d   T d H F D 5 2 6¢UWv¢9W6GX™XwQ9QIƒ‚‚VUII8†v¢wS6#p8X686p‘IGeGeƒ¢8WIIVa6IGVI™i Ú Ì Ò Í É Ö Ó è × § Ë É Ú Í × Ë É Í Ì Ê × Ì Ç Ó Ì Í Ì Ñ Ñ Ò Ö Ð ¥Ð €Ô‘™‘fmӏV™efC•™CˆˆCó”…ˆfˆ”vԐ«o¦xÎ $ —
  • 56.
    ç c 9’¥ ovdpzæ ç „ …zd“ø ß îæ ’ ʤ45üÅ W ß V ß ð…î   Ý ø 4 € Å Ý 6 Å Ý ‹‡•)Ù•8— È ¥ ¦ ä 4 ü Å j5•Ý Y H bB ` 4 ü Å Ý d 5q ` 2B by 5 Q8„8v5•u8•…IXx„8˜” ç 9 9’ ¥ 8dpzæ ç …zŽ~›‚5•¢©ª•8Å8‡•šæ ß îæ ’ ø ç4 ü Å Ý ¥ ø Å Ý — 6 4 € Å Ý ß…î   ¦ ä 45üÅ W ß V Ý Û ¦ 8ªø ‡IxICV6XEII¢8EGV#X˜gWpI¢aQI6WQsEp3˜‚¢Šoƒ¢If6IW8£˜I86Q‚–‘6IX‚I8• ‘ H h 5 2 D T h HBy   T 2 5B D T 7B — 5 d   T H 4 2 H d H gB hr h d T @ ÷ 4 T ‰ d H h d 5r h 2 5 4 H Y T d H hB Y 2 5 ’pgIE8EGVX8sVGGx–#6¢UW‘pGIX‚IŽ¢dp§†jTE8GVWQ†8–IGeE¢ƒp¢eWXVr¢Q–r™ T H hB 2 5B D Ty 5  T d D — H H 4 T  Y H F D ` 2B Y R “ 9’ ¥ ’ P 2B d 5 D T d H  5 H F D 2B T D ‰ 5 5 Yy T 2 T 4 H ’ H 7 H F 4 Y d 5B d H D 2B H F D 2 T F D d H @ 5y d H h d 5 H 2 5 H ‰ 2 T 4 F 4B F ¢9QIƒ‚Š8EWQWoXuIG¢UWuQvsEuQI‚8uI8u††¢Q†ƒEIC@ iy Y R 5B b H d  h H ‰B d 4 Y H h Y H 7 H F 4 Y i d T h 2 R 5 ‰ y T 4B d H 7 R 2 H F D F DB @ Y D Y T d D 2 5 4 YB F t ’ 2 5B D Ty R E‚I8Xx‡WI†Q†XW6W6If6#6IƒWŽ‚¢UpI8†‹¢gEW6#ISuIWWECCGf¢GWS¢QCXIum‹8EGVXI…7 rf8•uGVWIQ6¢fQI‚83˜p8Q6W9EE¢U8E89‰E¢ƒp¢#W†f¢G‚QQ6ICXuEIGph8XWEII¢Q‚VUII8†‰ d 5q H D T d R 4 4 T d H h d 5r h 2 5 4 H Y iyy T ‰ 5y ` T 2B T D ‰ 5 5 D i d T Y Y H 4 H 2 YB YB F D t 2 5B DB h 2 5 4 i d T h 2 R 5 2 2 T 7 R H ò T 5 D 2 5B D T 7B — 5 d   T y T 4B d H 7 R 2 T q 5 H Y T 4 H F D 21 ’ H D T d R 4 4 T d H h d 5r h 2 5 4 H Y Y IVdI6fGk8XWVdE˜c‚II¢v¢QXW6#px†‘¢ŽWVgŽIW)3¢WVGpQQV‘QI‚83xI8Q6WaXB d 5 D T d H  5 YB F D D T F D H 4B D 5 ò ’ ’ ¥ ’ P 2B 2 H bB ` d 5 D T d H  5 H 4 2 H d H gB h H F D Y H 4 R h 5 d  F 4B F 8GVWQ†8XpGVIGw6XGVfaph   p›ëjTXkQ¢E8¢GVWQ†8‘QI6W6h„I‘IG6QIIxWpAƒEIC@ ç “ 9’ ¥ o¢dpzæ 45üÅ W ß V Ý ß‘¢¥ î   ø ç Å ›…•Ý   ‚‡•Ý   æ 6 4 € Å ß…8¥ î ¦ Å sÝ ¥ ˆæ ç ( ä Û d 5 D T d H  5 ` 2B @ 5yy 5q H F D 2B T D ‰ 5 H @ t º h 2 T t Œ t ‹ d 5q ` 2B by 5 Q8WVG6s¢…IXCcEX8•IWŽX¢Gp8w•ps˜I¢ëc!Up8•…IXx„8˜” ’ 2 5B DB h 2 5 4 i d T h 2 R 5 ‰ 2 2 T 7 R H ò d 5q Hy ‰ T D d 5y i T t ’ ’ ¥ Hy ‰ T ‹¢XG„II86e‚VUII8†‰I¢#IQ‘C8•XIVƒŠ8E˜gmjI— puXIVvt Ý Y sÔxkº ç ¦æ Y 4 „ … …ç ¦ræ Y 4 Y sW|x‡‹ 4 4 4 hsÔxkº Y ç ¦æ Y 4 ç ¦ ræ Y 4 Y sƒƒx‡‹ Y sfokº ç ¦æ Y Ý Y „ sW|x½‹ ç ¦ræ Y í y ü w ü uu t Y … …î ß ¦ í y û w û uu t Y „ …î ß ù ×ä í y ú w ú uu t Y …î ß 45ü‚í W ß V Ý ß ‘î u º Œ 4 Y ç ¦ ræ Y 4 hsG|S{‹ í y xuu t w Y ß …î 45Wí y ¥u t ÉaY ‘î ü w Y º ß í Ý Y xckŒ 4 €í Ý Y ¥˜Q{‹ í y ú w ú ut Y ‘î ß u ‹ í xÝ ß…î ¦ ø ç í Ý Œ ø 4 € í Ý ‹ ›‡˜ƒ~›¥xSˆæ º ø í W ß V Ý ’ ’ ¥ Hy ‰ T t 2B 2 @ 5 F Y Y I— ˜aEI¢meX†CspWC¢T t Hy ‰ T D d 5y i T t T ` 2B Y R h H 2B 7 d H D H h H ‰ iyB Y T H 2 T 4 F 4B F @ Y D 2 T D Y 2 5 4 H d T º h 2 T t Œ t ‹ H d H F ¢EI¢ƒŠ¢Xxgv–9IX‚IQIE#‚QG‡Ius#EEW¢Q†Vg‰ƒXICuGo¢G‚I¢QuW¢™fIVësë‡W6IC@ 45üÅ W ß V Ý ç $ 9’ ¥ 8dpzæ ß …î ø ç4 € Å Ý Œ ø Å Ý ‹ ›f‡5ƒ~ÿ•o“æ º Û 7 d 5q ` 2B @ 5yy 5q H F D 2B YB F 4B F ‰W8•wpXCcXE8•IGeXuE†ƒEIC@ ß…î ¦ Å hÝ ¥ ˆæ ç ( ä ‘ H h 5 2 D T d 5 D T d H  5 2 T 2 `B Y H h H @ Y R F {p˜IClC8GVWQ†8‰¢‰8X‚QIw•CISut Ú Ó × Ò Ë É ÙÒ Ø × Í Ê Ê É Ì Ç Ó Ì Í Ì Ñ ÑÒ ÖÕ Ì Ë Ò ÓÒ Ñ Ð Î Í Ì Ë Ê É È u‡§™†fjˆˆ«”w€‘ˆ””Ԑz€mQ‘Ôv«Sψm™‘”Ç “ o—
  • 57.
    ç ‚xg“h5WxÝ üí Ýþ ø 4 üí ø í Ý º ø 4 € í Ý Œ vx‡~›¥x–~ø ’ 7 d H D d 5 d d H ` 2B h T Hy H F D h 2B †‚QWŠ8W‚Q‘IEI¢gEuIGeIEv¤ ß Axo“æ „ …î €í Ý ‹ ¦ ä íç ( uš†Ý ¥¥ ˆæ 7 d 5q H F D 2B H bB D T bB d H h h dB F D T 5 D 2 5B D T 7B — 5 d   T H 4 2 H d H gB h r H DB 2 n T H bB d H ã ’ W8•IWeX8„GVV„WQp‰‚XIW…#WŽ8XWV#X˜gWIIVuQI6WQsEp3‡WEII–u¢EW6‘˜$ ’ ¡ ä F DB G„C@   8EG‚6IS‘Vg†QCfI— 2 5B D Y H R P D T H  H ƒ ’ ’ $ ä ê D T 2 H bB ` YB Ý h 2 ˜2‘€l68E¢uXIVT ¡ ‘€V†Q8„8WVkß 5Ý I¢Ý ä ê D T 2 H bB ` H d T r h 2 T FD 5 ‰ 2 H F W¢sk6IC@   8EG‚6ISXk68E‚QI‘9QpƒW…IWdIEWISQ9W8•8W668†¢XG„II864 2 5B D Y H R P 2B h H bB d H h H 7 H F 4 Y H F D ` 2B Y R i ‰ h H 7 d 5q d 5 D 4 H b 2 5B DB h 2 5 r i d T h 2 R 5 ‰ H F D h 2 T Y H 4B d D T 7 — ¸ — H F D D R 5 H DB d @ t F Y H 7 D 2B 5  ç d 5B d H D 2Bæ — T ` 2B Y H ’ of¢UII¢sIWŽI¢•QQEWWVd‘ˆsIWŠp8™GE‚Cp‹‚Q9ŠoX8†€G8X‚QWSEš…–pXW‘fp¥ ’ 7 d H D d 5 d d H ` 2B h T Hy H F D h 2B †‚QWŠ8W‚Q‘IEI¢gEuIGeIEv¤ ç4 üí f5‚˜Ý ø í Ý º ø 4 € í Ý Œ ”x‡~‹Axƒ“æ ß…î ¦ ä íç (æ ø 4 € íç (æ ušhÝ “ÿhAšhÝ “†‹ 7 d 5q H F D 2B H bB D T bB d H h D Y d n T 5 D 2 5B D T 7B — 5 d   T H 4 2 H d H gB hr H DB 2 n T H bB d H ã ‚8•IGeX¢EWVVEW6I‘‚‚U…#WŽ8XWV#X˜gWIIVuQI6WQsEp3‡WEII–u¢EW6‘’   ’ 7 d H D d 5 d d H ` 2B h T Hy H F D h 2B †‚QWŠ8W‚Q‘IEI¢gEuIGeIEv¤ ç4 üí f5WxÝ ø í Ý º ø 4 € í Ý Œ vx‡zh¥x–~ø ß Axo“æ …î €í Ý ‹ ä íç ( ušhÝ “æ ¦ 7d 5 ‚8•q H F D 2B H bB D T bB d H h D Y d n T 5 D 2 5B D T 7B — 5 d   T H 4 2 H d H gB hr H DB 2 n d H h d 5 r h dB F D T H bB d H ã ’ pGXa8„GVVE‚QIufWUdŽG†¢XGldEpg‚II¢‘6IQ‚QsEI£‡WEIU‘QI‚83xWXpGd‘¢EW6‘8¦ ² R ± ˆ ¶ à Q·YjÀ µ ´® G­ ’ “ 9’ ¥ ’ P 5 D y T 4B D 2 H hB YB F 4B F pV%p†ëjëGh¢QXWS6IXuE†ƒEIC@ 45üÅ WUß V Ý ç ¡ Õpzæ c’ ¥ ʤ45üÅ W ß V ß ð…î   Ý ß…8¥ î   ø ç Å ›…5Ý   8‡5Ý   æ 6 4 € Å ß…8¥ î ¦ ÈD …8¥ ß î ø‹4€‡Å•ÝÅ62Å•Ý8—Æøðŕݢ“Å684€‡Å•¢¥ Ý ¦ ß…î ¦ ç h 9’ ¥ ovdpzæ ç4 € Å Ý ø Å ‚‡•ƪ•Ý   ä ä Å sÝ ¥ “æ ç ( 6 4 ü Å Ý 85•šæ ä Y H bB Q¢E8` ½I˜pCV‰QXEII¢u¢EWVVEW6Ih ‘ H h 5 2 D T h HBy   T H bB D T bB d H h 2 5 4 H Y T d 5q d 5 D T d H  5 H 4 2 H d H gB h h H d H D 2 H 4 d H h d 5 r h 2 5 4 H Y H F D 5 D 2B YB F D ` 2B D R DB D Y ‰ R I86Q‚ºe8•†¢GVWQ†8ÅQI6W6h„Iå6W6GoQ6A6IW¢3˜I¢QQ‚)IWºGoXEIG©IXWpG„G‚pI˜” Ú Ù Ì ’ § × Í Ê Ð ±Ð €˜ª³ˆ«c²xÎ 9 —
  • 58.
    ’ H 7H F 4 Y F 4 T H d 5q d 5 d d H 2 5B D T 4 2 R d D H F D 2B Y 7 d H V#6IƒW‰ƒ¢gu¢•C¢WW68XWVgIpWGIWeXu9WQWD l d 5q ß î – ’ Y b ß – q 5 Y D d T  id T 2B ` T 7 `IXIVgXev3dIW#¢EW6j l ‘U– ¹¡ ¢•Æ…U#6xÆ…î h f¢wG‚VUf¢UX¢¢dEB 2B h T Hy 5 @D H F D H bB d H ã ’ ß î h 2 T y T H d H F D D 5y Ü ’ Y H 7 H F 4 Y H Y H F D q 5 F 4 T H d 5q d H ‰ 7 R 2 H b T @ h H nB h 5 7 H F D h 2B IVu¢g‚eIGw¢Xj¬Q6#6IƒW‰W6IGC¢Æƒ¢Q…8•–Q†…ISQ¢c•)QIEIx#epG)IEv¤ €í Ý h ø 4 €í Ý c ¦ 6 í Ý ¦ ¦ ç ß î “æ r s‘¢zIç „ AxÝ   6 Ax¢~hAx¢a«hxg8Ôæ €í ä íç ( ušhÝ “æ €í Ý ø 4 €í Ý — 6 í Ý ¥æ ä íç ( ç ß s‘î   Iç AxÆh¥˜¢)hx¢šÏuz†Ý “æ æ r ß î r ç4 € í Ý 6 í Ýæ ä íç ( …¢f¥˜ÅUxšÏuš†Ý ˆæ Û iy H bB D 4 H  Y H d t d H h d 5 r h dB F D h 2 †„Q8„G‡Q†WQ‚p6QI‚83˜‚XIW‰p¢T t r h 2 5 4 H Y t r D Y d n H d T F 4B F @ t Y H 7 H F 4 Y ` 2B 4 2 H d H gB h h H hB Yr H 2 5 ` 2B @ 5yy 5q H F D d H hB Y 2 5  G˜I86Q‚˜G‚‚‚Uf‚¢eƒEICpQ6#6IƒWaIX6IQ‚QsEI#QIEW£‡I8uIECcXX¢•fIWvQpXWp8•f’ ¡ ¦ ’ H bB D T bB d H h D Y d n T 5 D Y 2 5B D T 7B — 5 d   T h H d H ¢¢EGl¢„W6I™fWU…9GvI8XWV#X˜gWIIV6WQWD r 2 H 4 D 4 T  7 5 4 h 2 T D 4 T  7 5 4 2 5 2 d H hd 5r FD BY d 5q D 2 H 4d H  ¦ xQQC‡¢U98QIVC6¢I#86I8Iu6IW¢3˜W˜— WŠ¢•‘o6QW6su„’ ¡ ¢UWŠW6Xu8‚WQ‰Q6s‚Y 2 T F D Y Y Hy d 5 d d H h H H  H Y T F  T H b HB F 4 T 5 D D 2 H 7 H dB R P H d ç     F D ` 2 Hy H b T @r d H r Y D 2B 5 r hB d ` H F D h 2B ¤ ’ ‚¢UIr86EIƒ¢ÅWŽoQ9Q‚XISQ‚…Ÿ0™æ W¢I6XQ¢gŠŸfQ†3ÔGoX¢s£˜X‚8IW©IEv‘ph l d 5q ß î – ’ Y ’ j l …U– m¡ 8•…UƒQxb ß î ß …î h f¢Xjˆp¢XGfQISeE‰68„WQp•8WVG6s8•QI‚83˜W‚I¢•Š6¢I#86IGŽp¢I–8dp¥ – D 5y Ü ’ “ 2 5B D Y H R P 2B h H bB d H h d 5 D T d H  5 d H h d 5 r F D d R 5 q D 4 T  7 5 4 H F D h 2 T t ç $ $’ ’ëj“†8WVG6s¢96IW¢3˜W‚I8•96VU#¢QI8p†IWvV8EWVVE‚QIºp8Q6Wk#¢•–¢GVWQ†85 P æ d 5 D T d H  5 d H h d 5r F D d R 5q D 4 T  7 5 4 2 5 2 H F D t H bB D T bB d H h h 2 5 4 H Y T d 5q d 5 D T d H  H 4 2 H d H gB h h H d H D 2 H 4 d H h d 5r h 2 5 4 H Y H F D d 5q d H ‰ 7 R 2 H b T @ h H nB h 5 7 H F D h 2B ¤ ’ 2 5B 6IQ‚QsEI¬Q‚QWS6Q…6IW¢3˜I¢QQ‚dIWw¢•–6swISQ8g•A6UEp˜9ŽIWIEv‰‹8XWD r T 7B — 5 d   T H bB D T bB d H h h 2 5 4 H Y T d 5 l#X˜gWIIV–8EWVVE‚QIAI86QWŽu¢•q h ‡Q†…ISQ¢gŠ6UEIx9‘IGeIEIU6pwpxWD – d H ‰ 7 R 2 H b T @ h H nB h 5 7 H F D ` 2B 2 n H h Y R F – 6 ä í ‘• þ h “ˆušç e í —• þ ¥ ˆæ ( Y H bB ` H bB D T bB d H h h 2 5 4 H Y H F D d 5q d 5 D T d H  5 H 4 2 H d H gB h T q 5 2 5B D T 4By   68E¢8EWVVE‚QI†I8Q6WuIWŠ8•Š8GlGQ†8uQpQW6h„I–”¢d8XWVgEXIIfi Y H bB Q¢E8` ‘• ß – • þ $6 ä ‘• þ ‘ þ 2 5B D 4 2 Rq H F D 5 D d 5 D T d H  5 H bB D T bB d H hr h 2 5 4 H Y H F D q 5 2 5B D T 4By   i ’ ˜8XW6Ip•upG‘GŠ8WVG6s¢w¢EWVVEW6I3xI8Q6WuIWm¢d8XWVgEXIIfCpc ’ ç — $’ ¥ ’ P æ d 5 D T d H  5 h H d H D 2 H 4 d H h d 5 r F D d R 5 q H F –SVdpë눈w8GlGQ†86W6GoQ6uQI‚83˜W‚I¢•upGD ¢W•eQIE¢ƒ˜8‘VUGeWECu‚VU 7 5 dq h H 2B T D ‰ 5 D T F D F DB @ D d T l d 5q ß î – ’ Y b ß – q 5 Y D d T  i d T 2B ` T 7B h 2 T y T H y T Hd H F D Hd T  7 5  ’ ¢g‚IG‚¢U98•€j l …U– m¡ 8•…U£6˜†…î h #¢•G‚VU9‚¢UE8¢#XeIV›¢g‚d ß î H F D D 5y Ü ’ ¦ 2 5B D Y H R P 2B h H bB d H h d 5 D T d H  5 H F D d 5q d H ‰ 7 R 2 H b T @ h H nB h 5 7 H F D h 2B ¤ ’ pG•VXjˆ8e8EG‚6ISdE‰68„WQp•8WVG6s8™IGˆ8•uQ†…ISQ¢gŠd6UEp˜9IW#IEv‘˜9 ’ 7 d H D d 5 d d H ` 2B h T Hy H F D h 2B †‚QWŠ8W‚Q‘IEI¢gEuIGeIEv¤ ç4 üí Ý º ø í Ý Œ ø 4 € í Ý ‹ ‚5Wx–“v˜ƒ~›¥xSˆæ ß…î ¦ ä 4 üíç (æ þ ø íç (æ ø 4 € íç ( j5Wz†Ý ¥ “S~jz†Ý ¥ “ÿ‹Az†Ý ¥ “æ 7 d 5q H F D 2B H bB ‚8•IGŽEu8EWD r T b B d H h h 2 5 4 H Y T 5 D 2 5 B D T 7 B — 5 d   T H 4 2 H d H g B h r H D B 2 n ç `H h T Ü d 5 æ D 4 T  7 5 4 T H b B d H ã ’ lVEW6Ip8Q6W‘9Gd8EGV#X˜gWpI¢uQpQW6h„I3–G„IUŠc¨¢mC8ša‡¢U98Q‘u¢EW6‘p“ c 3— Ú Ó × Ò Ë É ÙÒ Ø × Í Ê Ê É Ì Ç Ó Ì Í Ì Ñ ÑÒ ÖÕ Ì Ë Ò ÓÒ Ñ Ð Î Í Ì Ë Ê É È u‡§™†fjˆˆ«”w€‘ˆ””Ԑz€mQ‘Ôv«Sψm™‘”Ç
  • 59.
    Chapter 4 THE SEMI-DISCRETE APPROACH Onestrategy for obtaining nite-di erence approximations to a PDE is to start by di erencing the space derivatives only, without approximating the time derivative. In the following chapters, we proceed with an analysis making considerable use of this concept, which we refer to as the semi-discrete approach. Di erencing the space derivatives converts the basic PDE into a set of coupled ODE's. In the most general notation, these ODE's would be expressed in the form d~ = F (~ t) u ~u (4.1) dt which includes all manner of nonlinear and time-dependent possibilities. On occasion, we use this form, but the rest of this chapter is devoted to a more specialized matrix notation described below. Another strategy for constructing a nite-di erence approximation to a PDE is to approximate all the partial derivatives at once. This generally leads to a point di erence operator (see Section 3.3.1) which, in turn, can be used for the time advance of the solution at any given point in the mesh. As an example let us consider the model equation for di usion @u = @ u @t @x Using three-point central-di erencing schemes for both the time and space derivatives, we nd 2 n 3 ujn ; ujn; uj ; 2ujn + ujn 5 ; = 4 2h x or h i ujn = ujn; + 2h ujn ; 2ujn + ujn (4.2) ; x 51 2 2 ( +1) ( 1) ( ) +1 ( ) ( ) 1 2 ( +1) ( 1) 2 ( ) +1 ( ) ( ) 1
  • 60.
    CHAPTER 4. THESEMI-DISCRETE APPROACH 52 Clearly Eq. 4.2 is a di erence equation which can be used at the space point j to advance the value of u from the previous time levels n and n ; 1 to the level n + 1. It is a full discretization of the PDE. Note, however, that the spatial and temporal discretizations are separable. Thus, this method has an intermediate semi-discrete form and can be analyzed by the methods discussed in the next few chapters. Another possibility is to replace the value of ujn in the right hand side of Eq. 4.2 with the time average of u at that point, namely (ujn + ujn; )=2. This results in the formula ( ) ( +1) ujn ( +1) 2 0 un = ujn; + 2h 4ujn ; 2 @ j x ( 1) 2 ( ) +1 ( +1) ( 1) 1 3 + ujn; A n 5 + uj ; 2 ( 1) ( ) 1 (4.3) which can be solved for u n and time advanced at the point j . In this case, the spatial and temporal discretizations are not separable, and no semi-discrete form exists. Equation 4.2 is sometimes called Richardson's method of overlapping steps and Eq. 4.3 is referred to as the DuFort-Frankel method. As we shall see later on, there are subtle points to be made about using these methods to nd a numerical solution to the di usion equation. There are a number of issues concerning the accuracy, stability, and convergence of Eqs. 4.2 and 4.3 which we cannot comment on until we develop a framework for such investigations. We introduce these methods here only to distinguish between methods in which the temporal and spatial terms are discretized separately and those for which no such separation is possible. For the time being, we shall separate the space di erence approximations from the time di erencing. In this approach, we reduce the governing PDE's to ODE's by discretizing the spatial terms and use the well-developed theory of ODE solutions to aid us in the development of an analysis of accuracy and stability. ( +1) 4.1 Reduction of PDE's to ODE's 4.1.1 The Model ODE's First let us consider the model PDE's for di usion and biconvection described in Chapter 2. In these simple cases, we can approximate the space derivatives with di erence operators and express the resulting ODE's with a matrix formulation. This is a simple and natural formulation when the ODE's are linear.
  • 61.
    4.1. REDUCTION OFPDE'S TO ODE'S 53 Model ODE for Di usion For example, using the 3-point central-di erencing scheme to represent the second derivative in the scalar PDE governing di usion leads to the following ODE di usion model d~ = u B (1 ;2 1)~ + (bc) u ~ (4.4) dt x ~ with Dirichlet boundary conditions folded into the (bc) vector. 2 Model ODE for Biconvection The term biconvection was introduced in Section 2.3. It is used for the scalar convection model when the boundary conditions are periodic. In this case, the 3-point central-di erencing approximation produces the ODE model given by d~ = ; a B (;1 0 1)~ u u (4.5) dt 2 x p where the boundary condition vector is absent because the ow is periodic. Eqs. 4.4 and 4.5 are the model ODE's for di usion and biconvection of a scalar in one dimension. They are linear with coe cient matrices which are independent of x and t. 4.1.2 The Generic Matrix Form The generic matrix form of a semi-discrete approximation is expressed by the equation d~ = A~ ; ~ (t) u u f dt (4.6) Note that the elements in the matrix A depend upon both the PDE and the type of di erencing scheme chosen for the space terms. The vector ~ (t) is usually determined f by the boundary conditions and possibly source terms. In general, even the Euler and Navier-Stokes equations can be expressed in the form of Eq. 4.6. In such cases the equations are nonlinear, that is, the elements of A depend on the solution ~ and u are usually derived by nding the Jacobian of a ux vector. Although the equations are nonlinear, the linear analysis presented in this book leads to diagnostics that are surprisingly accurate when used to evaluate many aspects of numerical methods as they apply to the Euler and Navier-Stokes equations.
  • 62.
    54 CHAPTER 4. THESEMI-DISCRETE APPROACH 4.2 Exact Solutions of Linear ODE's In order to advance Eq. 4.1 in time, the system of ODE's must be integrated using a time-marching method. In order to analyze time-marching methods, we will make use of exact solutions of coupled systems of ODE's, which exist under certain conditions. The ODE's represented by Eq. 4.1 are said to be linear if F is linearly dependent on u (i.e., if @F=@u = A where A is independent of u). As we have already pointed out, when the ODE's are linear they can be expressed in a matrix notation as Eq. 4.6 in which the coe cient matrix, A, is independent of u. If A does depend explicitly on t, the general solution cannot be written whereas, if A does not depend explicitly on t, the general solution to Eq. 4.6 can be written. This holds regardless of whether or ~ not the forcing function, f , depends explicitly on t. As we shall soon see, the exact solution of Eq. 4.6 can be written in terms of the eigenvalues and eigenvectors of A. This will lead us to a representative scalar equation for use in analyzing time-marching methods. These ideas are developed in the following sections. 4.2.1 Eigensystems of Semi-Discrete Linear Forms Complete Systems An M M matrix is represented by a complete eigensystem if it has a complete set of linearly independent eigenvectors (see Appendix A) . An eigenvector, ~ m , and its x corresponding eigenvalue, m, have the property that A~ m = m~ m or x x A ; mI]~ m = 0 x (4.7) The eigenvalues are the roots of the equation det A ; I] = 0 We form the right-hand eigenvector matrix of a complete system by lling its columns with the eigenvectors ~ m: x h i X = ~ ~ : : : ~M x x x The inverse is the left-hand eigenvector matrix, and together they have the property that 1 2 X ; AX = 1 where is a diagonal matrix whose elements are the eigenvalues of A. (4.8)
  • 63.
    4.2. EXACT SOLUTIONSOF LINEAR ODE'S 55 Defective Systems If an M M matrix does not have a complete set of linearly independent eigenvectors, it cannot be transformed to a diagonal matrix of scalars, and it is said to be defective. It can, however, be transformed to a diagonal set of blocks, some of which may be scalars (see Appendix A). In general, there exists some S which transforms any matrix A such that S ; AS = J where 2J 3 6 J 7 6 7 6 7 ... 6 7 J =6 7 6 7 Jm 4 5 ... and 2 3 m 1 6 7 1 ... 6 7 ... m n =6 Jm 6 7 . . . 1 7 ... 4 5 m n The matrix J is said to be in Jordan canonical form, and an eigenvalue with multiplicity n within a Jordan block is said to be a defective eigenvalue. Defective systems play a role in numerical stability analysis. 1 1 2 ( ) 4.2.2 Single ODE's of First- and Second-Order First-Order Equations The simplest nonhomogeneous ODE of interest is given by the single, rst-order equation du = u + ae t (4.9) dt where , a, and are scalars, all of which can be complex numbers. The equation is linear because does not depend on u, and has a general solution because does not depend on t. It has a steady-state solution if the right-hand side is independent of t, i.e., if = 0, and is homogeneous if the forcing function is zero, i.e., if a = 0. Although it is quite simple, the numerical analysis of Eq. 4.9 displays many of the fundamental properties and issues involved in the construction and study of most popular time-marching methods. This theme will be developed as we proceed.
  • 64.
    CHAPTER 4. THESEMI-DISCRETE APPROACH 56 The exact solution of Eq. 4.9 is, for 6= , u(t) = c e 1 t+ ae t ; where c is a constant determined by the initial conditions. In terms of the initial value of u, it can be written 1 t; t u(t) = u(0)e t + a e ; e The interesting question can arise: What happens to the solution of Eq. 4.9 when = ? This is easily found by setting = + , solving, and then taking the limit as ! 0. Using this limiting device, we nd that the solution to du = u + ae t dt (4.10) is given by u(t) = u(0) + at]e t As we shall soon see, this solution is required for the analysis of defective systems. Second-Order Equations The homogeneous form of a second-order equation is given by d u + a du + a u = 0 (4.11) dt dt where a and a are complex constants. Now we introduce the di erential operator D such that d D dt 2 1 2 1 0 0 and factor u(t) out of Eq. 4.11, giving (D + a D + a ) u(t) = 0 2 1 0 The polynomial in D is referred to as a characteristic polynomial and designated P (D). Characteristic polynomials are fundamental to the analysis of both ODE's and O E's, since the roots of these polynomials determine the solutions of the equations. For ODE's, we often label these roots in order of increasing modulus as , , , m , 1 2
  • 65.
    4.2. EXACT SOLUTIONSOF LINEAR ODE'S 57 , M . They are found by solving the equation P ( ) = 0. In our simple example, there would be two roots, and , determined from P( ) = + a + a = 0 (4.12) and the solution to Eq. 4.11 is given by u(t) = c e 1 t + c e 2 t (4.13) where c and c are constants determined from initial conditions. The proof of this is simple and is found by substituting Eq. 4.13 into Eq. 4.11. One nds the result c e 1t( + a + a ) + c e 2t( + a + a ) which is identically zero for all c , c , and t if and only if the 's satisfy Eq. 4.12. 1 2 2 1 0 1 1 2 2 1 2 1 1 1 1 0 2 2 2 1 2 0 2 4.2.3 Coupled First-Order ODE's A Complete System A set of coupled, rst-order, homogeneous equations is given by u0 = a u + a u u0 = a u + a u (4.14) which can be written # 0 a a ~ = A~ ~ = u u ]T u u u A = (aij ) = a a Consider the possibility that a solution is represented by u = c x e 1t + c x e 2t u = c x e 1t + c x e 2t (4.15) By substitution, these are indeed solutions to Eq. 4.14 if and only if # # # # # # a a x = x a a x = x (4.16) a a x x a a x x Notice that a higher-order equation can be reduced to a coupled set of rst-order equations by introducing a new set of dependent variables. Thus, by setting u = u0 u =u we nd Eq. 4.11 can be written u0 = ;a u ; a u u0 = u (4.17) which is a subset of Eq. 4.14. 1 11 1 12 2 2 21 1 22 2 1 11 1 12 11 21 22 21 11 2 1 21 2 22 12 2 11 1 12 21 2 22 11 11 12 12 21 1 21 22 22 1 1 2 2 1 1 1 0 2 2 12 22
  • 66.
    CHAPTER 4. THESEMI-DISCRETE APPROACH 58 A Derogatory System Eq. 4.15 is still a solution to Eq. 4.14 if = = , provided two linearly independent vectors exist to satisfy Eq. 4.16 with A = . In this case 1 0 0 1 = 0 1 0 2 and 0 0 0 = 1 0 1 provide such a solution. This is the case where A has a complete set of eigenvectors and is not defective. A Defective System If A is defective, then it can be represented by the Jordan canonical form # # # u0 = 0 u u0 1 u 1 2 (4.18) 1 2 whose solution is not obvious. However, in this case, one can solve the top equation rst, giving u (t) = u (0)e t . Then, substituting this result into the second equation, one nds du = u + u (0)e t dt which is identical in form to Eq. 4.10 and has the solution 1 1 2 2 1 u (t) = u (0) + u (0)t]e t 2 2 1 From this the reader should be able to verify that u (t) = a + bt + ct e t 2 3 is a solution to 2 03 2 6 u0 7 = 6 1 4u 5 4 u0 1 1 2 3 32 3 76u 7 54u 5 u 1 2 3 if a = u (0) 3 b = u (0) 2 1 c = 2 u (0) 1 The general solution to such defective systems is left as an exercise. (4.19)
  • 67.
    4.2. EXACT SOLUTIONSOF LINEAR ODE'S 59 4.2.4 General Solution of Coupled ODE's with Complete Eigensystems Let us consider a set of coupled, nonhomogeneous, linear, rst-order ODE's with constant coe cients which might have been derived by space di erencing a set of PDE's. Represent them by the equation d~ = A~ ; ~ (t) u u f (4.20) dt Our assumption is that the M M matrix A has a complete eigensystem and can be transformed by the left and right eigenvector matrices, X ; and X , to a diagonal matrix having diagonal elements which are the eigenvalues of A, see Section 4.2.1. Now let us multiply Eq. 4.20 from the left by X ; and insert the identity combination XX ; = I between A and ~ . There results u ~ X ; du = X ; AX X ; ~ ; X ; ~ (t) u f (4.21) dt Since A is independent of both ~ and t, the elements in X ; and X are also indepenu dent of both ~ and t, and Eq. 4.21 can be modi ed to u 1 1 1 1 1 1 1 1 1 d X ; ~ = X ; ~ ; X ; ~ (t) u f dt u ~ Finally, by introducing the new variables w and ~ such that g 1 ~ w = X; ~ u 1 1 1 ~ (t) = X ; ~ (t) g f 1 (4.22) we reduce Eq. 4.20 to a new algebraic form ~ dw = w ; ~ (t) ~ g (4.23) dt It is important at this point to review the results of the previous paragraph. Notice that Eqs. 4.20 and 4.23 are expressing exactly the same equality. The only di erence between them was brought about by algebraic manipulations which regrouped the variables. However, this regrouping is crucial for the solution process because Eqs. In the following, we exclude defective systems, not because they cannot be analyzed (the example at the conclusion of the previous section proves otherwise), but because they are only of limited interest in the general development of our theory. 1
  • 68.
    60 CHAPTER 4. THESEMI-DISCRETE APPROACH 4.23 are no longer coupled. They can be written line by line as a set of independent, single, rst-order equations, thus w0 = ... 0 wm = ... 0 wM = 1 1 w ; g (t) 1 1 m wm ; gm (t) M wM ; gM (t) (4.24) For any given set of gm (t) each of these equations can be solved separately and then recoupled, using the inverse of the relations given in Eqs. 4.22: ~ (t) = X w(t) ~ u M X = m=1 wm(t)~ m x (4.25) where ~ m is the m'th column of X , i.e., the eigenvector corresponding to m . x We next focus on the very important subset of Eq. 4.20 when neither A nor ~ has f any explicit dependence on t. In such a case, the gm in Eqs. 4.23 and 4.24 are also time invariant and the solution to any line in Eq. 4.24 is w (t) = c e m t + 1 g m m m m where the cm are constants that depend on the initial conditions. Transforming back to the u-system gives ~ (t) = X w(t) ~ u = = = = M X m=1 M X m=1 M X m=1 M X m=1 | wm(t)~ m x cm e m t ~ m + x M X 1 ~ gm xm m=1 m cm e m t ~ m + X x ;1 X ;1~ f cm e m t ~ m + A; ~ x f 1 {z Transient } | {z } Steady-state (4.26)
  • 69.
    4.3. REAL SPACEAND EIGENSPACE 61 Note that the steady-state solution is A; ~ , as might be expected. f The rst group of terms on the right side of this equation is referred to classically as the complementary solution or the solution of the homogeneous equations. The second group is referred to classically as the particular solution or the particular integral. In our application to uid dynamics, it is more instructive to refer to these groups as the transient and steady-state solutions, respectively. An alternative, but entirely equivalent, form of the solution is ~ (t) = c e 1 t ~ + + cme m t ~ m + + cM e M t ~ M + A; ~ u x x x f (4.27) 1 1 1 1 4.3 Real Space and Eigenspace 4.3.1 De nition Following the semi-discrete approach discussed in Section 4.1, we reduce the partial di erential equations to a set of ordinary di erential equations represented by the generic form d~ = A~ ; ~ u u f (4.28) dt The dependent variable ~ represents some physical quantity or quantities which relate u to the problem of interest. For the model problems on which we are focusing most of our attention, the elements of A are independent of both u and t. This permits us to say a great deal about such problems and serves as the basis for this section. In particular, we can develop some very important and fundamental concepts that underly the global properties of the numerical solutions to the model problems. How these relate to the numerical solutions of more practical problems depends upon the problem and, to a much greater extent, on the cleverness of the relator. We begin by developing the concept of spaces. That is, we identify di erent mathematical reference frames (spaces) and view our solutions from within each. In this way, we get di erent perspectives of the same solution, and this can add signi cantly to our understanding. The most natural reference frame is the physical one. We say If a solution is expressed in terms of ~ , it is said u to be in real space. There is, however, another very useful frame. We saw in Sections 4.2.1 and 4.2 that pre- and post-multiplication of A by the appropriate similarity matrices transforms A into a diagonal matrix, composed, in the most general case, of Jordan blocks or, in the
  • 70.
    62 CHAPTER 4. THESEMI-DISCRETE APPROACH simplest nondefective case, of scalars. Following Section 4.2 and, for simplicity, using only complete systems for our examples, we found that Eq. 4.28 had the alternative form ~ dw = w ; ~ ~ g dt which is an uncoupled set of rst-order ODE's that can be solved independently for ~ the dependent variable vector w. We say ~ If a solution is expressed in terms of w, it is said to be in eigenspace (often referred to as wave space). The relations that transfer from one space to the other are: ~ w = X; ~ u ~ = X; ~ g f ~ = Xw ~ u ~ = X~ f g 1 1 The elements of ~ relate directly to the local physics of the problem. However, the u ~ are linear combinations of all of the elements of ~ , and individually elements of w u they have no direct local physical interpretation. When the forcing function ~ is independent of t, the solutions in the two spaces f are represented by ~ (t) = X cm e m t ~ m + X ; X ; ~ u x f and wm(t) = cm e m t + 1 gm m=1 2 M 1 1 m for real space and eigenspace, respectively. At this point we make two observations: 1. the transient portion of the solution in real space consists of a linear combination of contributions from each eigenvector, and 2. the transient portion of the solution in eigenspace provides the weighting of each eigenvector component of the transient solution in real space. 4.3.2 Eigenvalue Spectrums for Model ODE's It is instructive to consider the eigenvalue spectrums of the ODE's formulated by central di erencing the model equations for di usion and biconvection. These model ODE's are presented in Section 4.1. Equations for the eigenvalues of the simple
  • 71.
    4.3. REAL SPACEAND EIGENSPACE 63 tridiagonals, B (M : a b c) and Bp(M : a b c), are given in Appendix B. From Section B.1, we nd for the model di usion equation with Dirichlet boundary conditions ;2 + 2 cos Mm+ 1 m = x ! m ;4 sin m=1 2 M (4.29) = 2(M + 1) x and, from Section B.4, for the model biconvection equation ;ia sin 2m m=0 1 M ;1 m = x M 2 2 2 where = ;i m a M ;1 m=0 1 (4.30) = sin m x m=0 1 M ;1 (4.31) x is the modi ed wavenumber from Section 3.5, m = m, and x = 2 =M . Notice that the di usion eigenvalues are real and negative while those representing periodic convection are all pure imaginary. The interpretation of this result plays a very important role later in our stability analysis. m 4.3.3 Eigenvectors of the Model Equations Next we consider the eigenvectors of the two model equations. These follow as special cases from the results given in Appendix B. The Di usion Model Consider Eq. 4.4, the model ODE's for di usion. First, to help visualize the matrix structure, we present results for a simple 4-point mesh and then we give the general case. The right-hand eigenvector matrix X is given by 2 sin (x ) sin (2x ) sin (3x ) sin (4x ) 3 6 sin (x ) sin (2x ) sin (3x ) sin (4x ) 7 6 6 sin (x ) sin (2x ) sin (3x ) sin (4x ) 7 7 4 5 sin (x ) sin (2x ) sin (3x ) sin (4x ) The columns of the matrix are proportional to the eigenvectors. Recall that xj = j x = j =(M + 1), so in general the relation ~ = X w can be written as u ~ 1 1 1 2 2 2 3 3 3 3 4 uj = 1 2 4 4 4 M X m=1 wm sin mxj j=1 2 M (4.32)
  • 72.
    CHAPTER 4. THESEMI-DISCRETE APPROACH 64 For the inverse, or left-hand eigenvector matrix X ; , we nd 1 2 sin (x ) 6 sin (2x ) 6 6 sin (3x ) 4 sin (4x ) sin (x ) sin (2x ) sin (3x ) sin (4x ) 1 2 1 2 1 2 1 2 sin (x ) sin (2x ) sin (3x ) sin (4x ) 3 3 3 3 sin (x ) 3 sin (2x ) 7 7 5 sin (3x ) 7 sin (4x ) 4 4 4 4 The rows of the matrix are proportional to the eigenvectors. In general w = X ; ~ ~ u gives 1 wm = M X j =1 uj sin mxj m=1 2 M (4.33) In the eld of harmonic analysis, Eq. 4.33 represents a sine transform of the function u(x) for an M -point sample between the boundaries x = 0 and x = with the condition u(0) = u( ) = 0. Similarly, Eq. 4.32 represents the sine synthesis that companions the sine transform given by Eq. 4.33. In summary, For the model di usion equation: ~ w = X ; ~ is a sine transform from real space to (sine) wave u space. ~ = Xw ~ u is a sine synthesis from wave space back to real space. 1 The Biconvection Model Next consider the model ODE's for periodic convection, Eq. 4.5. The coe cient matrices for these ODE's are always circulant. For our model ODE, the right-hand eigenvectors are given by ~ m = ei j x With xj = j (2 m=M ) j =0 1 m =0 1 M ;1 M ;1 x = j 2 =M , we can write ~ = X w as u ~ uj = M ;1 X m=0 wmeimxj j=0 1 M ;1 (4.34)
  • 73.
    4.3. REAL SPACEAND EIGENSPACE 65 For a 4-point periodic mesh, we nd the following left-hand eigenvector matrix from Appendix B.4: 2w 6w 6 6w 4 w 1 2 3 4 3 21 1 1 1 7 1 6 1 e; i = e; i = e; i = 7= 6 ;i = ;i = ; i = 7 4 61 e 5 4 e e ; i = e; i = e ; i = 1 e 2 4 4 6 4 4 8 4 12 4 6 In general 4 4 12 18 4 4 4 32u 76u 76 76u 54 u 1 2 3 3 7 7 = X; ~ 7 u 5 1 4 X 1 M ; u e;imxj wm = M m=0 1 M ;1 j j This equation is identical to a discrete Fourier transform of the periodic dependent variable ~ using an M -point sample between and including x = 0 and x = 2 ; x. u For circulant matrices, it is straightforward to establish the fact that the relation ~ = X w represents the Fourier synthesis of the variable w back to ~ . In summary, ~ ~ u u 1 =0 For any circulant system: ~ w = X ; ~ is a complex Fourier transform from real space to u wave space. ~ = Xw ~ u is a complex Fourier synthesis from wave space back to real space. 1 4.3.4 Solutions of the Model ODE's We can now combine the results of the previous sections to write the solutions of our model ODE's. The Di usion Equation For the di usion equation, Eq. 4.27 becomes uj (t) = M X m=1 cme m t sin mxj + (A; f )j 1 where m j=1 2 m = ;4 sin 2(M + 1) x 2 2 ! M (4.35) (4.36)
  • 74.
    CHAPTER 4. THESEMI-DISCRETE APPROACH 66 With the modi ed wavenumber de ned as 2 m x m = x sin 2 and using m = m, we can write the ODE solution as uj (t) = M X m=1 cme; (4.37) + (A; f )j m 2 t sin m xj j=1 2 1 M (4.38) This can be compared with the exact solution to the PDE, Eq. 2.37, evaluated at the nodes of the grid: uj (t) = M X m=1 cm e; m 2 t sin m xj + h(xj ) j=1 2 M (4.39) We see that the solutions are identical except for the steady solution and the modi ed wavenumber in the transient term. The modi ed wavenumber is an approximation to the actual wavenumber. The di erence between the modi ed wavenumber and the actual wavenumber depends on the di erencing scheme and the grid resolution. This di erence causes the various modes (or eigenvector components) to decay at rates which di er from the exact solution. With conventional di erencing schemes, low wavenumber modes are accurately represented, while high wavenumber modes (if they have signi cant amplitudes) can have large errors. The Convection Equation For the biconvection equation, we obtain uj (t) = M ;1 X m=0 cme m t ei mxj j=0 1 M ;1 (4.40) where m = ;i m a (4.41) with the modi ed wavenumber de ned in Eq. 4.31. We can write this ODE solution as uj (t) = M ;1 X m=0 cme;i m at ei mxj j=0 1 M ;1 (4.42)
  • 75.
    4.4. THE REPRESENTATIVEEQUATION 67 and compare it to the exact solution of the PDE, Eq. 2.26, evaluated at the nodes of the grid: M; X uj (t) = fm (0)e;i mat ei m xj j=0 1 M ;1 (4.43) 1 m=0 Once again the di erence appears through the modi ed wavenumber contained in . As discussed in Section 3.5, this leads to an error in the speed with which various m modes are convected, since is real. Since the error in the phase speed depends on the wavenumber, while the actual phase speed is independent of the wavenumber, the result is erroneous numerical dispersion. In the case of non-centered di erencing, discussed in Chapter 11, the modi ed wavenumber is complex. The form of Eq. 4.42 shows that the imaginary portion of the modi ed wavenumber produces nonphysical decay or growth in the numerical solution. 4.4 The Representative Equation In Section 4.3, we pointed out that Eqs. 4.20 and 4.23 express identical results but in terms of di erent groupings of the dependent variables, which are related by algebraic manipulation. This leads to the following important concept: The numerical solution to a set of linear ODE's (in which A is not a function of t) is entirely equivalent to the solution obtained if the equations are transformed to eigenspace, solved there in their uncoupled form, and then returned as a coupled set to real space. The importance of this concept resides in its message that we can analyze timemarching methods by applying them to a single, uncoupled equation and our conclusions will apply in general. This is helpful both in analyzing the accuracy of time-marching methods and in studying their stability, topics which are covered in Chapters 6 and 7. Our next objective is to nd a typical single ODE to analyze. We found the uncoupled solution to a set of ODE's in Section 4.2. A typical member of the family is dwm = w ; g (t) (4.44) m m m dt The goal in our analysis is to study typical behavior of general situations, not particular problems. For such a purpose Eq. 4.44 is not quite satisfactory. The role of m is clear it stands for some representative eigenvalue in the original A matrix. However,
  • 76.
    CHAPTER 4. THESEMI-DISCRETE APPROACH 68 the question is: What should we use for gm(t) when the time dependence cannot be ignored? To answer this question, we note that, in principle, one can express any one of the forcing terms gm(t) as a nite Fourier series. For example X ;g(t) = ak eikt for which Eq. 4.44 has the exact solution: k X ak eikt k ik ; From this we can extract the k'th term and replace ik with . This leads to w(t) = ce t + The Representative ODE dw = w + ae t dt (4.45) which can be used to evaluate all manner of time-marching methods. In such evaluations the parameters and must be allowed to take the worst possible combination of values that might occur in the ODE eigensystem. The exact solution of the representative ODE is (for 6= ): t (4.46) w(t) = ce t + ae ; 4.5 Problems 1. Consider the nite-di erence operator derived in question 1 of Chapter 3. Using this operator to approximate the spatial derivative in the linear convection equation, write the semi-discrete form obtained with periodic boundary conditions on a 5-point grid (M = 5). 2. Consider the application of the operator given in Eq. 3.52 to the 1-D di usion equation with Dirichlet boundary conditions. Write the resulting semi-discrete ODE form. Find the entries in the boundary-condition vector. 3. Write the semi-discrete form resulting from the application of second-order centered di erences to the following equation on the domain 0 x 1 with boundary conditions u(0) = 0, u(1) = 1: @u = @ u ; 6x @t @x 2 2
  • 77.
    4.5. PROBLEMS 69 4. Considera grid with 10 interior points spanning the domain 0 x . For initial conditions u(x 0) = sin(mx) and boundary conditions u(0 t) = u( t) = 0, plot the exact solution of the di usion equation with = 1 at t = 1 with m = 1 and m = 3. (Plot the solution at the grid nodes only.) Calculate the corresponding modi ed wavenumbers for the second-order centered operator from Eq. 4.37. Calculate and plot the corresponding ODE solutions. 5. Consider the matrix A = ;Bp(10 ;1 0 1)=(2 x) corresponding to the ODE form of the biconvection equation resulting from the application of second-order central di erencing on a 10-point grid. Note that the domain is 0 x 2 and x = 2 =10. The grid nodes are given by xj = j x j = 0 1 : : : 9. The eigenvalues of the above matrix A, as well as the matrices X and X ; , can be found from Appendix B.4. Using these, compute and plot the ODE solution at t = 2 for the initial condition u(x 0) = sin x. Compare with the exact solution of the PDE. Calculate the numerical phase speed from the modi ed wavenumber corresponding to this initial condition and show that it is consistent with the ODE solution. Repeat for the initial condition u(x 0) = sin 2x. 1
  • 78.
    70 CHAPTER 4. THESEMI-DISCRETE APPROACH
  • 79.
    Chapter 5 FINITE-VOLUME METHODS InChapter 3, we saw how to derive nite-di erence approximations to arbitrary derivatives. In Chapter 4, we saw that the application of a nite-di erence approximation to the spatial derivatives in our model PDE's produces a coupled set of ODE's. In this Chapter, we will show how similar semi-discrete forms can be derived using nite-volume approximations in space. Finite-volume methods have become popular in CFD as a result, primarily, of two advantages. First, they ensure that the discretization is conservative, i.e., mass, momentum, and energy are conserved in a discrete sense. While this property can usually be obtained using a nite-di erence formulation, it is obtained naturally from a nite-volume formulation. Second, nitevolume methods do not require a coordinate transformation in order to be applied on irregular meshes. As a result, they can be applied on unstructured meshes consisting of arbitrary polyhedra in three dimensions or arbitrary polygons in two dimensions. This increased exibility can be used to great advantage in generating grids about arbitrary geometries. Finite-volume methods are applied to the integral form of the governing equations, either in the form of Eq. 2.1 or Eq. 2.2. Consistent with our emphasis on semi-discrete methods, we will study the latter form, which is d Z QdV + I n:FdS = Z PdV dt V (t) S (t) V (t) (5.1) We will begin by presenting the basic concepts which apply to nite-volume strategies. Next we will give our model equations in the form of Eq. 5.1. This will be followed by several examples which hopefully make these concepts clear. 71
  • 80.
    72 5.1 Basic Concepts CHAPTER5. FINITE-VOLUME METHODS The basic idea of a nite-volume method is to satisfy the integral form of the conservation law to some degree of approximation for each of many contiguous control volumes which cover the domain of interest. Thus the volume V in Eq. 5.1 is that of a control volume whose shape is dependent on the nature of the grid. In our examples, we will consider only control volumes which do not vary with time. Examining Eq. 5.1, we see that several approximations must be made. The ux is required at the boundary of the control volume, which is a closed surface in three dimensions and a closed contour in two dimensions. This ux must then be integrated to nd the net ux through the boundary. Similarly, the source term P must be integrated over the control volume. Next a time-marching method1 can be applied to nd the value of Z V QdV (5.2) at the next time step. Let us consider these approximations in more detail. First, we note that the average value of Q in a cell with volume V is 1 Z QdV V (5.3) I Z d V dt Q + S n:FdS = V PdV (5.4) Q V and Eq. 5.1 can be written as for a control volume which does not vary with time. Thus after applying a timemarching method, we have updated values of the cell-averaged quantities Q. In order to evaluate the uxes, which are a function of Q, at the control-volume boundary, Q can be represented within the cell by some piecewise approximation which produces the correct value of Q. This is a form of interpolation often referred to as reconstruction. As we shall see in our examples, each cell will have a di erent piecewise approximation to Q. When these are used to calculate F(Q), they will generally produce di erent approximations to the ux at the boundary between two control volumes, that is, the ux will be discontinuous. A nondissipative scheme analogous to centered di erencing is obtained by taking the average of these two uxes. Another approach known as ux-di erence splitting is described in Chapter 11. The basic elements of a nite-volume method are thus the following: 1 Time-marching methods will be discussed in the next chapter.
  • 81.
    5.2. MODEL EQUATIONSIN INTEGRAL FORM 73 1. Given the value of Q for each control volume, construct an approximation to Q(x y z) in each control volume. Using this approximation, nd Q at the control-volume boundary. Evaluate F(Q) at the boundary. Since there is a distinct approximation to Q(x y z) in each control volume, two distinct values of the ux will generally be obtained at any point on the boundary between two control volumes. 2. Apply some strategy for resolving the discontinuity in the ux at the controlvolume boundary to produce a single value of F(Q) at any point on the boundary. This issue is discussed in Section 11.4.2. 3. Integrate the ux to nd the net ux through the control-volume boundary using some sort of quadrature. 4. Advance the solution in time to obtain new values of Q. The order of accuracy of the method is dependent on each of the approximations. These ideas should be clari ed by the examples in the remainder of this chapter. In order to include di usive uxes, the following relation between rQ and Q is sometimes used: Z I rQdV = nQdS (5.5) or, in two dimensions, V Z S I A rQdA = C nQdl (5.6) where the unit vector n points outward from the surface or contour. 5.2 Model Equations in Integral Form 5.2.1 The Linear Convection Equation A two-dimensional form of the linear convection equation can be written as @u + a cos @u + a sin @u = 0 @t @x @y (5.7) This PDE governs a simple plane wave convecting the scalar quantity, u(x y t) with speed a along a straight line making an angle with respect to the x-axis. The one-dimensional form is recovered with = 0.
  • 82.
    CHAPTER 5. FINITE-VOLUMEMETHODS 74 For unit speed a, the two-dimensional linear convection equation is obtained from the general divergence form, Eq. 2.3, with Q = u F = iu cos + ju sin P = 0 (5.8) (5.9) (5.10) Since Q is a scalar, F is simply a vector. Substituting these expressions into a twodimensional form of Eq. 2.2 gives the following integral form d Z udA + I n:(iu cos + ju sin )ds = 0 dt A C (5.11) where A is the area of the cell which is bounded by the closed contour C . 5.2.2 The Di usion Equation The integral form of the two-dimensional di usion equation with no source term and unit di usion coe cient is obtained from the general divergence form, Eq. 2.3, with Q = u F = ;ru ! @u + j @u = ; i @x @y P = 0 Using these, we nd (5.12) (5.13) (5.14) (5.15) ! d Z udA = I n: i @u + j @u ds dt A @x @y C (5.16) to be the integral form of the two-dimensional di usion equation. 5.3 One-Dimensional Examples We restrict our attention to a scalar dependent variable u and a scalar ux f , as in the model equations. We consider an equispaced grid with spacing x. The nodes of the grid are located at xj = j x as usual. Control volume j extends from xj ; x=2 to xj + x=2, as shown in Fig. 5.1. We will use the following notation: xj;1=2 = xj ; x=2 xj+1=2 = xj + x=2 (5.17)
  • 83.
    5.3. ONE-DIMENSIONAL EXAMPLES 75 j+1/2 j-1/2 ∆x j-2 j-1 j L R j+1 L j+2 R Figure 5.1: Control volume in one dimension. uj 1=2 = u(xj 1=2) fj 1=2 = f (uj 1=2) With these de nitions, the cell-average value becomes 1 Z xj+1=2 u(x t)dx u (t) j and the integral form becomes x xj;1=2 (5.18) (5.19) Zx d ( xu ) + f ; fj;1=2 = x j+1=2 Pdx (5.20) j j +1=2 dt j ;1=2 Now with = x ; xj , we can expand u(x) in Eq. 5.19 in a Taylor series about xj (with t xed) to get 2 3 ! ! ! 1 Z x=2 4u + @u + 2 @ 2 u + 3 @ 3 u + : : :5 d uj x ; x=2 j @x j 2 @x2 j 6 @x3 j ! ! x2 @ 2 u + x4 @ 4 u + O( x6 ) = uj + 24 @x2 (5.21) 4 j 1920 @x j or uj = uj + O( x2) (5.22) where uj is the value at the center of the cell. Hence the cell-average value and the value at the center of the cell di er by a term of second order. 5.3.1 A Second-Order Approximation to the Convection Equation In one dimension, the integral form of the linear convection equation, Eq. 5.11, becomes u (5.23) x ddtj + fj+1=2 ; fj;1=2 = 0
  • 84.
    76 CHAPTER 5. FINITE-VOLUMEMETHODS with f = u. We choose a piecewise constant approximation to u(x) in each cell such that u(x) = uj xj;1=2 x xj+1=2 (5.24) Evaluating this at j + 1=2 gives fjL+1=2 = f (uL+1=2) = uL+1=2 = uj (5.25) j j where the L indicates that this approximation to fj+1=2 is obtained from the approximation to u(x) in the cell to the left of xj+1=2 , as shown in Fig. 5.1. The cell to the right of xj +1=2, which is cell j + 1, gives fjR =2 = uj+1 (5.26) +1 Similarly, cell j is the cell to the right of xj;1=2 , giving fjR 1=2 = uj (5.27) ; and cell j ; 1 is the cell to the left of xj;1=2, giving fjL;1=2 = uj;1 (5.28) We have now accomplished the rst step from the list in Section 5.1 we have de ned the uxes at the cell boundaries in terms of the cell-average data. In this example, the discontinuity in the ux at the cell boundary is resolved by taking the average of the uxes on either side of the boundary. Thus 1 f^j+1=2 = 2 (fjL+1=2 + fjR =2) = 1 (uj + uj+1) (5.29) +1 2 and 1 f^j;1=2 = 2 (fjL;1=2 + fjR 1=2) = 1 (uj;1 + uj ) (5.30) ; 2 where f^ denotes a numerical ux which is an approximation to the exact ux. Substituting Eqs. 5.29 and 5.30 into the integral form, Eq. 5.23, we obtain u 1 u x ddtj + 2 (uj + uj+1) ; 1 (uj;1 + uj ) = x ddtj + 1 (uj+1 ; uj;1) = 0 (5.31) 2 2 With periodic boundary conditions, this point operator produces the following semidiscrete form: d~ = ; 1 B (;1 0 1)~ u u (5.32) dt 2 x p
  • 85.
    5.3. ONE-DIMENSIONAL EXAMPLES 77 Thisis identical to the expression obtained using second-order centered di erences, except it is written in terms of the cell average ~ , rather than the nodal values, ~ . u u Hence our analysis and understanding of the eigensystem of the matrix Bp(;1 0 1) is relevant to nite-volume methods as well as nite-di erence methods. Since the eigenvalues of Bp(;1 0 1) are pure imaginary, we can conclude that the use of the average of the uxes on either side of the cell boundary, as in Eqs. 5.29 and 5.30, can lead to a nondissipative nite-volume method. 5.3.2 A Fourth-Order Approximation to the Convection Equation Let us replace the piecewise constant approximation in Section 5.3.1 with a piecewise quadratic approximation as follows u( ) = a 2 + b + c (5.33) where is again equal to x ; xj . The three parameters a, b, and c are chosen to satisfy the following constraints: 1 Z ; x=2 u( )d = u j ;1 x ;3 x=2 1 x 1 These constraints lead to x Z x=2 ; x=2 Z 3 x=2 x=2 u( )d = uj (5.34) u( )d = uj+1 j a = uj+1 ;22ux2+ uj;1 u b = uj+12 ;x j;1 (5.35) c = ;uj;1 + 26uj ; uj+1 24 With these values of a, b, and c, the piecewise quadratic approximation produces the following values at the cell boundaries: uL+1=2 = 1 (2uj+1 + 5uj ; uj;1) j 6 (5.36)
  • 86.
    78 CHAPTER 5. FINITE-VOLUMEMETHODS uR;1=2 = 1 (;uj+1 + 5uj + 2uj;1) j 6 (5.37) uR+1=2 = 1 (;uj+2 + 5uj+1 + 2uj ) j 6 (5.38) 1 uL;1=2 = 6 (2uj + 5uj;1 ; uj;2) j (5.39) using the notation de ned in Section 5.3.1. Recalling that f = u, we again use the average of the uxes on either side of the boundary to obtain f^j+1=2 = 1 f (uL+1=2) + f (uR+1=2)] j 2 j 1 (5.40) = 12 (;uj+2 + 7uj+1 + 7uj ; uj;1) and 1 f^j;1=2 = 2 f (uL;1=2) + f (uR;1=2)] j j = 1 (;uj+1 + 7uj + 7uj;1 ; uj;2) 12 (5.41) Substituting these expressions into the integral form, Eq. 5.23, gives u 1 x ddtj + 12 (;uj+2 + 8uj+1 ; 8uj;1 + uj;2) = 0 (5.42) This is a fourth-order approximation to the integral form of the equation, as can be veri ed using Taylor series expansions (see question 1 at the end of this chapter). With periodic boundary conditions, the following semi-discrete form is obtained: d~ = ; 1 B (1 ;8 0 8 ;1)~ u u (5.43) dt 12 x p This is a system of ODE's governing the evolution of the cell-average data. 5.3.3 A Second-Order Approximation to the Di usion Equation In this section, we describe two approaches to deriving a nite-volume approximation to the di usion equation. The rst approach is simpler to extend to multidimensions, while the second approach is more suited to extension to higher order accuracy.
  • 87.
    5.3. ONE-DIMENSIONAL EXAMPLES 79 Inone dimension, the integral form of the di usion equation, Eq. 5.16, becomes u x ddtj + fj+1=2 ; fj;1=2 = 0 (5.44) with f = ;ru = ;@u=@x. Also, Eq. 5.6 becomes Zb a @u dx = u(b) ; u(a) @x (5.45) We can thus write the following expression for the average value of the gradient of u over the interval xj x xj+1: 1 Z xj+1 @u dx = 1 (u ; u ) (5.46) x xj x j+1 @x j From Eq. 5.22, we know that the value of a continuous function at the center of a given interval is equal to the average value of the function over the interval to second-order accuracy. Hence, to second-order, we can write ! @u f^ = ; = ; 1 (u ; u ) (5.47) j +1=2 @x j+1=2 x j+1 j Similarly, f^j;1=2 = ; 1x (uj ; uj;1) (5.48) Substituting these into the integral form, Eq. 5.44, we obtain x duj = 1 (u ; 2u + u ) (5.49) or, with Dirichlet boundary conditions, d~ = 1 B (1 ;2 1)~ + bc u u ~ 2 (5.50) dt dt x j ;1 j x j +1 This provides a semi-discrete nite-volume approximation to the di usion equation, and we see that the properties of the matrix B (1 ;2 1) are relevant to the study of nite-volume methods as well as nite-di erence methods. For our second approach, we use a piecewise quadratic approximation as in Section 5.3.2. From Eq. 5.33 we have @u = @u = 2a + b @x @ (5.51)
  • 88.
    CHAPTER 5. FINITE-VOLUMEMETHODS 80 with a and b given in Eq. 5.35. With f = ;@u=@x, this gives f R = f L = ; 1 (u ; u ) j +1=2 x j+1 j +1=2 j fjR 1=2 = fjL;1=2 = ; 1x (uj ; uj;1) ; (5.52) (5.53) Notice that there is no discontinuity in the ux at the cell boundary. This produces duj = 1 (u ; 2u + u ) (5.54) x2 dt j ;1 j j +1 which is identical to Eq. 5.49. The resulting semi-discrete form with periodic boundary conditions is d~ = 1 B (1 ;2 1)~ u u (5.55) dt x2 p which is written entirely in terms of cell-average data. 5.4 A Two-Dimensional Example The above one-dimensional examples of nite-volume approximations obscure some of the practical aspects of such methods. Thus our nal example is a nite-volume approximation to the two-dimensional linear convection equation on a grid consisting of regular triangles, as shown in Figure 5.2. As in Section 5.3.1, we use a piecewise constant approximation in each control volume and the ux at the control volume boundary is the average of the uxes obtained on either side of the boundary. The nodal data are stored at the vertices of the triangles formed by the grid. The control volumes are regular hexagons with area A, is the length of the sides of the triangles, and ` is the length of the sides of the hexagons. The following relations hold between `, , and A. 1 ` = p 3 p A = 3 2 3 `2 ` = 2 (5.56) A 3 The two-dimensional form of the conservation law is d Z QdA + I n:Fdl = 0 dt A C (5.57)
  • 89.
    5.4. A TWO-DIMENSIONALEXAMPLE 81 c b 2 3 p 1 l d a ∆ 4 0 5 e f Figure 5.2: Triangular grid. where we have ignored the source term. The contour in the line integral is composed of the sides of the hexagon. Since these sides are all straight, the unit normals can be taken outside the integral and the ux balance is given by 5 d Z Q dA + X n dt A =0 Z Fdl = 0 where indexes a side of the hexagon, as shown in Figure 5.2. A list of the normals for the mesh orientation shown is given in Table 5.1. Side 0 1 2 3 4 5 Outward Normal n p (i ; 3 j)=2 pi (i + p j)=2 3 (;i + 3 j)=2 ;i p (;i ; 3 j)=2 Table 5.1. Outward normals, see Fig. 5.2. i and j are unit normals along x and y, respectively.
  • 90.
    CHAPTER 5. FINITE-VOLUMEMETHODS 82 For Eq. 5.11, the two-dimensional linear convection equation, we have for side n Z Fdl = n (i cos + j sin ) Z `=2 ;`=2 u ( )d (5.58) where is a length measured from the middle of a side . Making the change of variable z = =`, one has the expression Z `=2 Z 1=2 u( )d = ` ;1=2 u(z)dz (5.59) Then, in terms of u and the hexagon area A, we have # 5 d Z u dA + X n (i cos + j sin ) ` Z 1=2 u(z)dz = 0 (5.60) dt A ;1=2 =0 The values of n (i cos + j sin ) are given by the expressions in Table 5.2. There ;`=2 are no numerical approximations in Eq. 5.60. That is, if the integrals in the equation are evaluated exactly, the integrated time rate of change of the integral of u over the area of the hexagon is known exactly. Side n (i cos + j sin ) 0 1 2 3 4 5 (cos ; 3 sin )=2 cos p (cos + p sin )=2 3 (; cos + 3 sin )=2 ; cos p (; cos ; 3 sin )=2 p Table 5.2. Weights of ux integrals, see Eq. 5.60. Introducing the cell average, Z A u dA = Aup (5.61) and the piecewise-constant approximation u = up over the entire hexagon, the approximation to the ux integral becomes trivial. Taking the average of the ux on either side of each edge of the hexagon gives for edge 1: Z up + ua Z 1=2 dz = up + ua u(z)dz = 2 ;1=2 (5.62) 2 1
  • 91.
    5.5. PROBLEMS 83 Similarly, wehave for the other ve edges: Z u(z)dz = up + ub 2 2 Z (5.63) u(z)dz = up + uc 2 3 Z (5.64) u(z)dz = up + ud 2 4 (5.65) Z u(z)dz = up + ue 2 5 (5.66) u(z)dz = up + uf 2 0 (5.67) p u ` A ddtp + 2 (2 cos )(ua ; ud) + (cos + 3 sin )(ub ; ue) p +(; cos + 3 sin )(uc ; uf )] = 0 (5.68) dup + 1 (2 cos )(u ; u ) + (cos + p3 sin )(u ; u ) a d b e dt 3 p +(; cos + 3 sin )(uc ; uf )] = 0 (5.69) Z Substituting these into Eq. 5.60, along with the expressions in Table 5.2, we obtain or The reader can verify, using Taylor series expansions, that this is a second-order approximation to the integral form of the two-dimensional linear convection equation. 5.5 Problems 1. Use Taylor series to verify that Eq. 5.42 is a fourth-order approximation to Eq. 5.23. 2. Find the semi-discrete ODE form governing the cell-average data resulting from the use of a linear approximation in developing a nite-volume method for the linear convection equation. Use the following linear approximation: u( ) = a + b
  • 92.
    CHAPTER 5. FINITE-VOLUMEMETHODS 84 where b = uj and u a = uj+12 ;x j;1 and use the average ux at the cell interface. 3. Using the rst approach given in Section 5.3.3, derive a nite-volume approximation to the spatial terms in the two-dimensional di usion equation on a square grid. 4. Repeat question 3 for a grid consisting of equilateral triangles.
  • 93.
    Chapter 6 TIME-MARCHING METHODS FORODE'S After discretizing the spatial derivatives in the governing PDE's (such as the NavierStokes equations), we obtain a coupled system of nonlinear ODE's in the form d~ = F (~ t) u ~u dt (6.1) These can be integrated in time using a time-marching method to obtain a timeaccurate solution to an unsteady ow problem. For a steady ow problem, spatial discretization leads to a coupled system of nonlinear algebraic equations in the form ~u F (~ ) = 0 (6.2) As a result of the nonlinearity of these equations, some sort of iterative method is required to obtain a solution. For example, one can consider the use of Newton's method, which is widely used for nonlinear algebraic equations (See Section 6.10.3.). This produces an iterative method in which a coupled system of linear algebraic equations must be solved at each iteration. These can be solved iteratively using relaxation methods, which will be discussed in Chapter 9, or directly using Gaussian elimination or some variation thereof. Alternatively, one can consider a time-dependent path to the steady state and use a time-marching method to integrate the unsteady form of the equations until the solution is su ciently close to the steady solution. The subject of the present chapter, time-marching methods for ODE's, is thus relevant to both steady and unsteady ow problems. When using a time-marching method to compute steady ows, the goal is simply to remove the transient portion of the solution as quickly as possible timeaccuracy is not required. This motivates the study of stability and sti ness, topics which are covered in the next two chapters. 85
  • 94.
    86 CHAPTER 6. TIME-MARCHINGMETHODS FOR ODE'S Application of a spatial discretization to a PDE produces a coupled system of ODE's. Application of a time-marching method to an ODE produces an ordinary di erence equation (O E ). In earlier chapters, we developed exact solutions to our model PDE's and ODE's. In this chapter we will present some basic theory of linear O E's which closely parallels that for linear ODE's, and, using this theory, we will develop exact solutions for the model O E's arising from the application of timemarching methods to the model ODE's. 6.1 Notation Using the semi-discrete approach, we reduce our PDE to a set of coupled ODE's represented in general by Eq. 4.1. However, for the purpose of this chapter, we need only consider the scalar case du = u0 = F (u t) dt (6.3) Although we use u to represent the dependent variable, rather than w, the reader should recall the arguments made in Chapter 4 to justify the study of a scalar ODE. Our rst task is to nd numerical approximations that can be used to carry out the time integration of Eq. 6.3 to some given accuracy, where accuracy can be measured either in a local or a global sense. We then face a further task concerning the numerical stability of the resulting methods, but we postpone such considerations to the next chapter. In Chapter 2, we introduced the convention that the n subscript, or the (n) superscript, always points to a discrete time value, and h represents the time interval t. Combining this notation with Eq. 6.3 gives u0n = Fn = F (un tn) tn = nh Often we need a more sophisticated notation for intermediate time steps involving temporary calculations denoted by u, u, etc. For these we use the notation ~ ~ u0n+ = Fn+ = F (~n+ tn + h) ~ u The choice of u0 or F to express the derivative in a scheme is arbitrary. They are both commonly used in the literature on ODE's. The methods we study are to be applied to linear or nonlinear ODE's, but the methods themselves are formed by linear combinations of the dependent variable and its derivative at various time intervals. They are represented conceptually by (6.4) un+1 = f 1 u0n+1 0u0n ;1u0n;1 0 un ;1 un;1
  • 95.
    6.2. CONVERTING TIME-MARCHINGMETHODS TO O E'S 87 With an appropriate choice of the 0s and 0s, these methods can be constructed to give a local Taylor series accuracy of any order. The methods are said to be explicit if 1 = 0 and implicit otherwise. An explicit method is one in which the new predicted solution is only a function of known data, for example, u0n, u0n;1, un and un;1 for a method using two previous time levels, and therefore the time advance is simple. For an implicit method, the new predicted solution is also a function of the time derivative at the new time level, that is, u0n+1. As we shall see, for systems of ODE's and nonlinear problems, implicit methods require more complicated strategies to solve for un+1 than explicit methods. 6.2 Converting Time-Marching Methods to O E's Examples of some very common forms of methods used for time-marching general ODE's are: un+1 = un + hu0n (6.5) un+1 = un + hu0n+1 (6.6) and un+1 = un + hu0n ~ 1 ~ ~ un+1 = 2 un + un+1 + hu0n+1] (6.7) According to the conditions presented under Eq. 6.4, the rst and third of these are examples of explicit methods. We refer to them as the explicit Euler method and the MacCormack predictor-corrector method,1 respectively. The second is implicit and referred to as the implicit (or backward) Euler method. These methods are simple recipes for the time advance of a function in terms of its value and the value of its derivative, at given time intervals. The material presented in Chapter 4 develops a basis for evaluating such methods by introducing the concept of the representative equation du = u0 = u + ae t (6.8) dt written here in terms of the dependent variable, u. The value of this equation arises from the fact that, by applying a time-marching method, we can analytically convert 1 Here we give only MacCormack's time-marching method. The method commonly referred to as MacCormack's method, which is a fully-discrete method, will be presented in Section 11.3
  • 96.
    88 CHAPTER 6. TIME-MARCHINGMETHODS FOR ODE'S such a linear ODE into a linear O E . The latter are subject to a whole body of analysis that is similar in many respects to, and just as powerful as, the theory of ODE's. We next consider examples of this conversion process and then go into the general theory on solving O E's. Apply the simple explicit Euler scheme, Eq. 6.5, to Eq. 6.8. There results un+1 = un + h( un + ae hn) or un+1 ; (1 + h)un = hae hn (6.9) Eq. 6.9 is a linear O E , with constant coe cients, expressed in terms of the dependent variable un and the independent variable n. As another example, applying the implicit Euler method, Eq. 6.6, to Eq. 6.8, we nd un+1 = un + h un+1 + ae h(n+1) or (1 ; h)un+1 ; un = he h ae hn (6.10) As a nal example, the predictor-corrector sequence, Eq. 6.7, gives un+1 ; (1 + h)un = ahe hn ~ 1 u (6.11) ; 2 (1 + h)~n+1 + un+1 ; 1 un = 1 ahe h(n+1) 2 2 which is a coupled set of linear O E's with constant coe cients. Note that the rst line in Eq. 6.11 is identical to Eq. 6.9, since the predictor step in Eq. 6.7 is simply the explicit Euler method. The second line in Eq. 6.11 is obtained by noting that u0n+1 = F (~n+1 tn + h) ~ u = un+1 + ae h(n+1) ~ (6.12) Now we need to develop techniques for analyzing these di erence equations so that we can compare the merits of the time-marching methods that generated them. 6.3 Solution of Linear O E's With Constant Coe cients The techniques for solving linear di erence equations with constant coe cients is as well developed as that for ODE's and the theory follows a remarkably parallel path. This is demonstrated by repeating some of the developments in Section 4.2, but for di erence rather than di erential equations.
  • 97.
    6.3. SOLUTION OFLINEAR O E'S WITH CONSTANT COEFFICIENTS 89 6.3.1 First- and Second-Order Di erence Equations First-Order Equations The simplest nonhomogeneous O E of interest is given by the single rst-order equation un+1 = un + abn (6.13) where , a, and b are, in general, complex parameters. The independent variable is now n rather than t, and since the equations are linear and have constant coe cients, is not a function of either n or u. The exact solution of Eq. 6.13 is n un = c1 n + bab ; where c1 is a constant determined by the initial conditions. In terms of the initial value of u it can be written n; un = u0 n + a b b ; n Just as in the development of Eq. 4.10, one can readily show that the solution of the defective case, (b = ), un+1 = un + a n is h i un = u0 + an ;1 n This can all be easily veri ed by substitution. Second-Order Equations The homogeneous form of a second-order di erence equation is given by un+2 + a1 un+1 + a0un = 0 (6.14) d Instead of the di erential operator D dt used for ODE's, we use for O E's the di erence operator E (commonly referred to as the displacement or shift operator) and de ned formally by the relations un+1 = Eun un+k = E k un Further notice that the displacement operator also applies to exponents, thus b bn = bn+ = E bn
  • 98.
    90 CHAPTER 6. TIME-MARCHINGMETHODS FOR ODE'S where can be any fraction or irrational number. The roles of D and E are the same insofar as once they have been introduced to the basic equations the value of u(t) or un can be factored out. Thus Eq. 6.14 can now be re-expressed in an operational notion as (E 2 + a1E + a0)un = 0 (6.15) which must be zero for all un. Eq. 6.15 is known as the operational form of Eq. 6.14. The operational form contains a characteristic polynomial P (E ) which plays the same role for di erence equations that P (D) played for di erential equations that is, its roots determine the solution to the O E. In the analysis of O E's, we label these roots 1 , 2 , , etc, and refer to them as the -roots. They are found by solving the equation P ( ) = 0. In the simple example given above, there are just two roots and in terms of them the solution can be written un = c1( 1 )n + c2( 2 )n (6.16) where c1 and c2 depend upon the initial conditions. The fact that Eq. 6.16 is a solution to Eq. 6.14 for all c1 c2 and n should be veri ed by substitution. 6.3.2 Special Cases of Coupled First-Order Equations A Complete System Coupled, rst-order, linear homogeneous di erence equations have the form u(1n+1) = c11u(1n) + c12 u(2n) u(2n+1) = c21u(1n) + c22 u(2n) which can also be written ~ n+1 = C~ n u u ~ n = hu(1n) u(2n)iT u (6.17) C = c11 c12 c21 c22 The operational form of Eq. 6.17 can be written u1 (n) = C ; E I ]~ = 0 un c21 (c22 ; E ) u2 which must be zero for all u1 and u2. Again we are led to a characteristic polynomial, this time having the form P (E ) = det C ; E I ]. The -roots are found from P ( ) = det (c11c ; ) (c c12 ) = 0 21 22 ; (c11 ; E ) c12
  • 99.
    6.4. SOLUTION OFTHE REPRESENTATIVE O E'S 91 Obviously the k are the eigenvalues of C and, following the logic of Section 4.2, ~ are its eigenvectors, the solution of Eq. 6.17 is if x 2 ~ n = X ck ( k )n~ k u x k=1 where ck are constants determined by the initial conditions. A Defective System The solution of O E's with defective eigensystems follows closely the logic in Section 4.2.2 for defective ODE's. For example, one can show that the solution to 2 3 2 un+1 7 6 6 un+1 5 = 4 1 4^ un+1 1 32 3 7 6 un 7 ^ 5 4 un 5 un is un = u0 n h i un = u0 + u0n ;1 n ^ ^ # ;1 + u n(n ; 1) ;2 un = u0 + u0n ^ 0 2 n (6.18) 6.4 Solution of the Representative O E's 6.4.1 The Operational Form and its Solution Examples of the nonhomogeneous, linear, rst-order ordinary di erence equations, produced by applying a time-marching method to the representative equation, are given by Eqs. 6.9 to 6.11. Using the displacement operator, E , these equations can be written E ; (1 + h)]un = h ae hn (1 ; h)E ; 1]un = h E ae (6.19) hn ;(1 + h) # u # = h 1 # ae hn ~ 1E 1 (1 + h)E E ; 1 u n ;2 2 2 E (6.20) (6.21)
  • 100.
    92 CHAPTER 6. TIME-MARCHINGMETHODS FOR ODE'S All three of these equations are subsets of the operational form of the representative O E P (E )un = Q(E ) ae hn (6.22) which is produced by applying time-marching methods to the representative ODE, Eq. 4.45. We can express in terms of Eq. 6.22 all manner of standard time-marching methods having multiple time steps and various types of intermediate predictor-corrector families. The terms P (E ) and Q(E ) are polynomials in E referred to as the characteristic polynomial and the particular polynomial, respectively. The general solution of Eq. 6.22 can be expressed as K h X un = ck ( k )n + ae hn Q(e h) (6.23) P (e ) k=1 where k are the K roots of the characteristic polynomial, P ( ) = 0. When determinants are involved in the construction of P (E ) and Q(E ), as would be the case for Eq. 6.21, the ratio Q(E )=P (E ) can be found by Kramer's rule. Keep in mind that for methods such as in Eq. 6.21 there are multiple (two in this case) solutions, one for un and un and we are usually only interested in the nal solution un. Notice also, ~ the important subset of this solution which occurs when = 0, representing a time invariant particular solution, or a steady state. In such a case K X Q(1) un = ck ( k )n + a P (1) k=1 6.4.2 Examples of Solutions to Time-Marching O E's As examples of the use of Eqs. 6.22 and 6.23, we derive the solutions of Eqs. 6.19 to 6.21. For the explicit Euler method, Eq. 6.19, we have P (E ) = E ; 1 ; h Q(E ) = h (6.24) and the solution of its representative O E follows immediately from Eq. 6.23: un = c1(1 + h)n + ae hn e h h;1; For the implicit Euler method, Eq. 6.20, we have P (E ) = (1 ; h)E ; 1 Q(E ) = hE h (6.25)
  • 101.
    6.5. THE ;RELATION so 93 he h 1 n un = c1 1 ; h + ae hn (1 ; h)e h ; 1 In the case of the coupled predictor-corrector equations, Eq. 6.21, one solves for the nal family un (one can also nd a solution for the intermediate family u), and there ~ results # E ;(1 + h) = E E ; 1 ; h ; 1 2h2 P (E ) = det ; 1 (1 + h)E E ; 1 2 2 2 h Q(E ) = det ; 1 (1 E h)E 1 hE = 1 hE (E + 1 + h) 2 2 + 2 The -root is found from 1 P( ) = ; 1 ; h ; 2 2 h2 = 0 which has only one nontrivial root ( = 0 is simply a shift in the reference index). The complete solution can therefore be written 1 h 1 2h2 n + ae hn 2 h e + 1 + h un = c1 1 + h + 2 (6.26) e h ; 1 ; h ; 1 2h2 2 6.5 The ; Relation 6.5.1 Establishing the Relation We have now been introduced to two basic kinds of roots, the -roots and the -roots. The former are the eigenvalues of the A matrix in the ODE's found by space di erencing the original PDE, and the latter are the roots of the characteristic polynomial in a representative O E found by applying a time-marching method to the representative ODE. There is a fundamental relation between the two which can be used to identify many of the essential properties of a time-march method. This relation is rst demonstrated by developing it for the explicit Euler method. First we make use of the semi-discrete approach to nd a system of ODE's and then express its solution in the form of Eq. 4.27. Remembering that t = nh, one can write n u(t) = c1 e 1 h ~ 1 + x + cm e mh n ~m + x + cM e Mh n ~ M + P:S: (6.27) x
  • 102.
    CHAPTER 6. TIME-MARCHINGMETHODS FOR ODE'S 94 where for the present we are not interested in the form of the particular solution (P:S:). Now the explicit Euler method produces for each -root, one -root, which is given by = 1 + h. So if we use the Euler method for the time advance of the ODE's, the solution2 of the resulting O E is un = c1( 1 )n ~ 1 + x + cm ( m )n ~ m + x + cM ( M )n ~ M + P:S: x (6.28) where the cm and the ~ m in the two equations are identical and m = (1 + m h). x Comparing Eq. 6.27 and Eq. 6.28, we see a correspondence between m and e m h. Since the value of e h can be expressed in terms of the series 1 e h = 1 + h + 2 2h2 + 1 3h3 + 6 1 + n! nhn + the truncated expansion = 1 + h is a reasonable3 approximation for small enough h. Suppose, instead of the Euler method, we use the leapfrog method for the time advance, which is de ned by un+1 = un;1 + 2hu0n (6.29) Applying Eq. 6.8 to Eq. 6.29, we have the characteristic polynomial P (E ) = E 2 ; 2 hE ; 1, so that for every the must satisfy the relation 2 m ; 2 mh m ; 1 = 0 (6.30) Now we notice that each produces two -roots. For one of these we nd m q h+ 1+ m 1 = 1 + mh + 2 = 2 h2 m 2 h2 ; 1 4 h4 + m 8 m This is an approximation to e m h with an error O( 3h3). The other root, q 1 + 2 h2 , will be discussed in Section 6.5.3. m 2 Based on Section 4.4. 3 The error is O( 2 h2 ). (6.31) (6.32) mh ;
  • 103.
    6.5. THE ;RELATION 95 6.5.2 The Principal -Root Based on the above we make the following observation: Application of the same time-marching method to all of the equations in a coupled system linear ODE's in the form of Eq. 4.6, always produces one -root for every -root that satis es the relation (6.33) 1 2h2 + + 1 k hk + O hk+1 =1+ h+ 2 k! where k is the order of the time-marching method. We refer to the root that has the above property as the principal -root, and designate it ( m )1 . The above property can be stated regardless of the details of the timemarching method, knowing only that its leading error is O hk+1 . Thus the principal root is an approximation to e h up to O hk . Note that a second-order approximation to a derivative written in the form ( t u)n = 1 (un+1 ; un;1) (6.34) 2h has a leading truncation error which is O(h2), while the second-order time-marching method which results from this approximation, which is the leapfrog method: un+1 = un;1 + 2hu0n (6.35) has a leading truncation error O(h3). This arises simply because of our notation for the time-marching method in which we have multiplied through by h to get an approximation for the function un+1 rather than the derivative as in Eq. 6.34. The following example makes this clear. Consider a solution obtained at a given time T using a second-order time-marching method with a time step h. Now consider the solution obtained using the same method with a time step h=2. Since the error per time step is O(h3), this is reduced by a factor of eight (considering the leading term only). However, twice as many time steps are required to reach the time T . Therefore the error at the end of the simulation is reduced by a factor of four, consistent with a second-order approximation. 6.5.3 Spurious -Roots We saw from Eq. 6.30 that the ; relation for the leapfrog method produces two -roots for each . One of these we identi ed as the principal root which always
  • 104.
    96 CHAPTER 6. TIME-MARCHINGMETHODS FOR ODE'S has the property given in 6.33. The other is referred to as a spurious -root and designated ( m )2 . In general, the ; relation produced by a time-marching scheme can result in multiple -roots all of which, except for the principal one, are spurious. All spurious roots are designated ( m )k where k = 2 3 . No matter whether a -root is principal or spurious, it is always some algebraic function of the product h. To express this fact we use the notation = ( h). If a time-marching method produces spurious -roots, the solution for the O E in the form shown in Eq. 6.28 must be modi ed. Following again the message of Section 4.4, we have un = c11 ( 1 )n ~ 1 + + cm1( m )n ~ m + + cM 1 ( M )n ~ M + P:S: 1x 1x 1x n~ + n~ + +c12 ( 1)2 x1 + cm2 ( m )2 xm + cM 2 ( M )n ~ M 2x n~ + n~ + +c13 ( 1)3 x1 + cm3 ( m )3 xm + cM 3 ( M )n ~ M 3x +etc., if there are more spurious roots (6.36) Spurious roots arise if a method uses data from time level n ; 1 or earlier to advance the solution from time level n to n + 1. Such roots originate entirely from the numerical approximation of the time-marching method and have nothing to do with the ODE being solved. However, generation of spurious roots does not, in itself, make a method inferior. In fact, many very accurate methods in practical use for integrating some forms of ODE's have spurious roots. It should be mentioned that methods with spurious roots are not self starting. For example, if there is one spurious root to a method, all of the coe cients (cm )2 in Eq. 6.36 must be initialized by some starting procedure. The initial vector ~ 0 u does not provide enough data to initialize all of the coe cients. This results because methods which produce spurious roots require data from time level n ; 1 or earlier. For example, the leapfrog method requires ~ n;1 and thus cannot be started using u only ~ n. u Presumably (i.e., if one starts the method properly) the spurious coe cients are all initialized with very small magnitudes, and presumably the magnitudes of the spurious roots themselves are all less than one (see Chapter 7). Then the presence of spurious roots does not contaminate the answer. That is, after some nite time the amplitude of the error associated with the spurious roots is even smaller then when it was initialized. Thus while spurious roots must be considered in stability analysis, they play virtually no role in accuracy analysis. 6.5.4 One-Root Time-Marching Methods There are a number of time-marching methods that produce only one -root for each -root. We refer to them as one-root methods. They are also called one-step methods.
  • 105.
    6.6. ACCURACY MEASURESOF TIME-MARCHING METHODS 97 They have the signi cant advantage of being self-starting which carries with it the very useful property that the time-step interval can be changed at will throughout the marching process. Three one-root methods were analyzed in Section 6.4.2. A popular method having this property, the so-called -method, is given by the formula h i un+1 = un + h (1 ; )u0n + u0n+1 1 The -method represents the explicit Euler ( = 0), the trapezoidal ( = 2 ), and the implicit Euler methods ( = 1), respectively. Its ; relation is ) = 1 +1(1 ; h h ; It is instructive to compare the exact solution to a set of ODE's (with a complete eigensystem) having time-invariant forcing terms with the exact solution to the O E's for one-root methods. These are ~ (t) = c1 e 1 h n ~ 1 + + cm e m h n ~ m + + cM e M h n ~ M + A;1~ u x x x f ~ n = c1( 1 )n ~ 1 + + cm( m )n ~ m + + cM ( M )n ~ M + A;1~ u x x x f (6.37) respectively. Notice that when t and n = 0, these equations are identical, so that all the constants, vectors, and matrices are identical except the ~ and the terms inside u the parentheses on the right hand sides. The only error made by introducing the time marching is the error that makes in approximating e h. 6.6 Accuracy Measures of Time-Marching Methods 6.6.1 Local and Global Error Measures There are two broad categories of errors that can be used to derive and evaluate timemarching methods. One is the error made in each time step. This is a local error such as that found from a Taylor table analysis, see Section 3.4. It is usually used as the basis for establishing the order of a method. The other is the error determined at the end of a given event which has covered a speci c interval of time composed of many time steps. This is a global error. It is useful for comparing methods, as we shall see in Chapter 8. It is quite common to judge a time-marching method on the basis of results found from a Taylor table. However, a Taylor series analysis is a very limited tool for nding the more subtle properties of a numerical time-marching method. For example, it is of no use in:
  • 106.
    CHAPTER 6. TIME-MARCHINGMETHODS FOR ODE'S 98 nding spurious roots. evaluating numerical stability and separating the errors in phase and amplitude. analyzing the particular solution of predictor-corrector combinations. nding the global error. The latter three of these are of concern to us here, and to study them we make use of the material developed in the previous sections of this chapter. Our error measures are based on the di erence between the exact solution to the representative ODE, given by t u(t) = ce t + ae ; (6.38) and the solution to the representative O E's, including only the contribution from the principal root, which can be written as h un = c1 ( 1)n + ae hn Q(e h ) P (e ) 6.6.2 Local Accuracy of the Transient Solution (er Transient error (6.39) j j er! ) The particular choice of an error measure, either local or global, is to some extent arbitrary. However, a necessary condition for the choice should be that the measure can be used consistently for all methods. In the discussion of the - relation we saw that all time-marching methods produce a principal -root for every -root that exists in a set of linear ODE's. Therefore, a very natural local error measure for the transient solution is the value of the di erence between solutions based on these two roots. We designate this by er and make the following de nition er e h; 1 The leading error term can be found by expanding in a Taylor series and choosing the rst nonvanishing term. This is similar to the error found from a Taylor table. The order of the method is the last power of h matched exactly.
  • 107.
    6.6. ACCURACY MEASURESOF TIME-MARCHING METHODS 99 Amplitude and Phase Error Suppose a eigenvalue is imaginary. Such can indeed be the case when we study the equations governing periodic convection which produces harmonic motion. For such cases it is more meaningful to express the error in terms of amplitude and phase. Let = i! where ! is a real number representing a frequency. Then the numerical method must produce a principal -root that is complex and expressible in the form (6.40) 1 = r + i i ei!h From this it follows that the local error in amplitude is measured by the deviation of j 1 j from unity, that is q era = 1 ; j 1 j = 1 ; ( 1)2 + ( 1 )2 i r and the local error in phase can be de ned as er! !h ; tan;1 ( 1 )i=( 1 )r )] (6.41) Amplitude and phase errors are important measures of the suitability of time-marching methods for convection and wave propagation phenomena. The approach to error analysis described in Section 3.5 can be extended to the combination of a spatial discretization and a time-marching method applied to the linear convection equation. The principal root, 1( h), is found using = ;ia , where is the modi ed wavenumber of the spatial discretization. Introducing the Courant number, Cn = ah= x, we have h = ;iCn x. Thus one can obtain values of the principal root over the range 0 x for a given value of the Courant number. The above expression for er! can be normalized to give the error in the phase speed, as follows ;1 (6.42) er = er! = 1 + tan ( 1)i =( 1)r )] p !h Cn x where ! = ;a . A positive value of erp corresponds to phase lag (the numerical phase speed is too small), while a negative value corresponds to phase lead (the numerical phase speed is too large). 6.6.3 Local Accuracy of the Particular Solution (er ) The numerical error in the particular solution is found by comparing the particular solution of the ODE with that for the O E. We have found these to be given by 1 P:S:(ODE) = ae t ( ; )
  • 108.
    100 and CHAPTER 6. TIME-MARCHINGMETHODS FOR ODE'S h P:S:(O E) = ae t Q(e h) P (e ) respectively. For a measure of the local error in the particular solution we introduce the de nition er ( ) P:S: h P:S:(O E) ; 1 (ODE ) (6.43) The multiplication by h converts the error from a global measure to a local one, so that the order of er and er are consistent. In order to determine the leading error term, Eq. 6.43 can be written in terms of the characteristic and particular polynomials as er = co ; where n ( ; )Q e h ;P e h o (6.44) co = h!0 h( ;h ) lim P e The value of co is a method-dependent constant that is often equal to one. If the forcing function is independent of time, is equal to zero, and for this case, many numerical methods generate an er that is also zero. The algebra involved in nding the order of er can be quite tedious. However, this order is quite important in determining the true order of a time-marching method by the process that has been outlined. An illustration of this is given in the section on Runge-Kutta methods. 6.6.4 Time Accuracy For Nonlinear Applications In practice, time-marching methods are usually applied to nonlinear ODE's, and it is necessary that the advertised order of accuracy be valid for the nonlinear cases as well as for the linear ones. A necessary condition for this to occur is that the local accuracies of both the transient and the particular solutions be of the same order. More precisely, a time-marching method is said to be of order k if er = c1 ( h)k1+1 er = c2 ( h)k2+1 where k = smallest of(k1 k2) (6.45) (6.46) (6.47)
  • 109.
    6.6. ACCURACY MEASURESOF TIME-MARCHING METHODS 101 The reader should be aware that this is not su cient. For example, to derive all of the necessary conditions for the fourth-order Runge-Kutta method presented later in this chapter the derivation must be performed for a nonlinear ODE. However, the analysis based on a linear nonhomogeneous ODE produces the appropriate conditions for the majority of time-marching methods used in CFD. 6.6.5 Global Accuracy In contrast to the local error measures which have just been discussed, we can also de ne global error measures. These are useful when we come to the evaluation of time-marching methods for speci c purposes. This subject is covered in Chapter 8 after our introduction to stability in Chapter 7. Suppose we wish to compute some time-accurate phenomenon over a xed interval of time using a constant time step. We refer to such a computation as an event. Let T be the xed time of the event and h be the chosen step size. Then the required number of time steps, is N, given by the relation T = Nh Global error in the transient A natural extension of er to cover the error in an entire event is given by Er e T ; ( 1 ( h))N (6.48) Global error in amplitude and phase If the event is periodic, we are more concerned with the global error in amplitude and phase. These are given by q Era = 1 ; and ( 1 )2 + ( 1)2 i r N (6.49) !# ( ) Er! N !h ; tan;1 ( 1) i 1r ;1 ( ) =( ) ] = !T ; N tan 1i 1r (6.50)
  • 110.
    CHAPTER 6. TIME-MARCHINGMETHODS FOR ODE'S 102 Global error in the particular solution Finally, the global error in the particular solution follows naturally by comparing the solutions to the ODE and the O E. It can be measured by Er ( ; ) Qeh ;1 P eh 6.7 Linear Multistep Methods In the previous sections, we have developed the framework of error analysis for time advance methods and have randomly introduced a few methods without addressing motivational, developmental or design issues. In the subsequent sections, we introduce classes of methods along with their associated error analysis. We shall not spend much time on development or design of these methods, since most of them have historic origins from a wide variety of disciplines and applications. The Linear Multistep Methods (LMM's) are probably the most natural extension to time marching of the space di erencing schemes introduced in Chapter 3 and can be analyzed for accuracy or designed using the Taylor table approach of Section 3.4. 6.7.1 The General Formulation When applied to the nonlinear ODE du = u0 = F(u t) dt all linear multistep methods can be expressed in the general form 1 X k=1;K k un+k = h 1 X k=1;K k Fn+k (6.51) where the notation for F is de ned in Section 6.1. The methods are said to be linear because the 's and 's are independent of u and n, and they are said to be K -step because K time-levels of data are required to marching the solution one time-step, h. They are explicit if 1 = 0 and implicit otherwise. When Eq. 6.51 is applied to the representative equation, Eq. 6.8, and the result is expressed in operational form, one nds 0 1 @ X k=1;K 1 0 1 X k k E Aun = h@ k=1;K 1 k hn k E A( un + ae ) (6.52)
  • 111.
    6.7. LINEAR MULTISTEPMETHODS 103 We recall from Section 6.5.2 that a time-marching method when applied to the representative equation must provide a -root, labeled 1, that approximates e h through the order of the method. The condition referred to as consistency simply means that ! 1 as h ! 0, and it is certainly a necessary condition for the accuracy of any time marching method. We can also agree that, to be of any value in time accuracy, a method should at least be rst-order accurate, that is ! (1 + h) as h ! 0. One can show that these conditions are met by any method represented by Eq. 6.51 if X X X k = 0 and k = (K + k ; 1) k k k k Since both sides of Eq. 6.51 can be multiplied by an arbitrary constant, these methods are often normalized by requiring X k=1 k Under this condition co = 1 in Eq. 6.44. 6.7.2 Examples There are many special explicit and implicit forms of linear multistep methods. Two well-known families of them, referred to as Adams-Bashforth (explicit) and AdamsMoulton (implicit), can be designed using the Taylor table approach of Section 3.4. The Adams-Moulton family is obtained from Eq. 6.51 with k = ;1 ;2 (6.53) 1=1 0 = ;1 k=0 The Adams-Bashforth family has the same 's with the additional constraint that 1 = 0. The three-step Adams-Moulton method can be written in the following form un+1 = un + h( 1u0n+1 + 0 u0n + ;1 u0n;1 + ;2u0n;2) (6.54) A Taylor table for Eq. 6.54 can be generated as un h u0n h2 u00 n h3 u000 n h4 u0000 n 1 1 1 un+1 1 1 2 6 24 ;un ;1 1 ;h 1 u0n+1 ;1 ;1 ; 12 ; 11 6 ;h 0 u0n ;0 1 1 ;h ;1 u0n;1 ; ;1 ; ;1 2 ;1 6 ;1 1 ;h ;2 u0n;2 ;(;2)0 ;2 ;(;2)1 ;2 ;(;2)2 ;2 2 ;(;2)3 ;2 1 6 Table 6.1. Taylor table for the Adams-Moulton three-step linear multistep method.
  • 112.
    CHAPTER 6. TIME-MARCHINGMETHODS FOR ODE'S 104 This leads to the linear system 2 1 1 1 1 32 3 213 1 6 2 0 ;2 ;4 7 6 0 7 6 1 7 6 7 6 7 6 3 0 3 12 7 6 76 (6.55) 4 5 4 ;1 7 = 6 1 7 5 4 5 4 0 ;4 ;32 1 ;2 to solve for the 's, resulting in (6.56) 1 = 9=24 0 = 19=24 ;1 = ;5=24 ;2 = 1=24 which produces a method which is fourth-order accurate.4 With 1 = 0 one obtains 2 32 3 2 3 1 1 1 0 7 617 6 0 ;2 ;4 7 6 ;1 5 = 4 1 5 (6.57) 4 54 0 3 12 1 ;2 giving (6.58) 0 = 23=12 ;1 = ;16=12 ;2 = 5=12 This is the third-order Adams-Bashforth method. A list of simple methods, some of which are very common in CFD applications, is given below together with identifying names that are sometimes associated with them. In the following material AB(n) and AM(n) are used as abbreviations for the (n)th order Adams-Bashforth and (n)th order Adams-Moulton methods. One can verify that the Adams type schemes given below satisfy Eqs. 6.55 and 6.57 up to the order of the method. Explicit Methods un+1 un+1 un+1 un+1 = un + hu0n Euler 0 = un;1 + 2hhun Leapfrog 1 h 3u0n ; u0n;1i = un + 2 h 0 i AB2 h = un + 12 23un ; 16u0n;1 + 5u0n;2 AB3 Implicit Methods un+1 un+1 un+1 un+1 = un + hu0n+1 Implicit Euler 1 hhu0n + u0n+1i = un + 2 Trapezoidal (AM2) 1 h4un ; un;1 + 2hu0n+1i =3 2nd-order Backward h h5u0n+1 + 8u0n ; u0n;1i = un + 12 AM3 4 Recall from Section 6.5.2 that a kth-order time-marching method has a leading truncation error term which is O(hk+1 ).
  • 113.
    6.7. LINEAR MULTISTEPMETHODS 105 6.7.3 Two-Step Linear Multistep Methods High resolution CFD problems usually require very large data sets to store the spatial information from which the time derivative is calculated. This limits the interest in multistep methods to about two time levels. The most general two-step linear multistep method (i.e., K=2 in Eq. 6.51), that is at least rst-order accurate, can be written as h i (1 + )un+1 = (1 + 2 )un ; un;1] + h u0n+1 + (1 ; + ')u0n ; 'u0n;1 (6.59) Clearly the methods are explicit if = 0 and implicit otherwise. A list of methods contained in Eq. 6.59 is given in Table 6.2. Notice that the Adams methods have = 0, which corresponds to ;1 = 0 in Eq. 6.51. Methods with = ;1=2, which corresponds to 0 = 0 in Eq. 6.51, are known as Milne methods. ' 0 1 1=2 1 3=4 1=3 1=2 5=9 0 0 0 1=3 5=12 1=6 0 0 0 1=2 0 ;1=2 ;1=2 ;1=6 ;1=2 0 ;5=6 ;1=6 0 ;1=2 0 0 0 0 ;1=4 ;1=3 ;1=2 ;2=9 0 1=2 ;1=3 0 1=12 ;1=6 Method Euler Implicit Euler Trapezoidal or AM2 2nd Order Backward Adams type Lees Type Two{step trapezoidal A{contractive Leapfrog AB2 Most accurate explicit Third{order implicit AM3 Milne Order 1 1 2 2 2 2 2 2 2 2 3 3 3 4 Table 6.2. Some linear one- and two-step methods, see Eq. 6.59. One can show after a little algebra that both er and er are reduced to 0(h3) (i.e., the methods are 2nd-order accurate) if 1 '= ; +2 The class of all 3rd-order methods is determined by imposing the additional constraint =2 ;5 6 1 Finally a unique fourth-order method is found by setting = ;' = ; =3 = 6 .
  • 114.
    106 CHAPTER 6. TIME-MARCHINGMETHODS FOR ODE'S 6.8 Predictor-Corrector Methods There are a wide variety of predictor-corrector schemes created and used for a variety of purposes. Their use in solving ODE's is relatively easy to illustrate and understand. Their use in solving PDE's can be much more subtle and demands concepts5 which have no counterpart in the analysis of ODE's. Predictor-corrector methods constructed to time-march linear or nonlinear ODE's are composed of sequences of linear multistep methods, each of which is referred to as a family in the solution process. There may be many families in the sequence, and usually the nal family has a higher Taylor-series order of accuracy than the intermediate ones. Their use is motivated by ease of application and increased e ciency, where measures of e ciency are discussed in the next two chapters. A simple one-predictor, one-corrector example is given by un+ = un + h 0n ~ hu i un+1 = un + h u0n+ + u0n ~ (6.60) where the parameters and are arbitrary parameters to be determined. One can analyze this sequence by applying it to the representative equation and using the operational techniques outlined in Section 6.4. It is easy to show, following the example leading to Eq. 6.26, that h P (E ) = E E ; 1 ; ( + ) h ; Q(E ) = E h E + + h] 2 h2 i (6.61) (6.62) Considering only local accuracy, one is led, by following the discussion in Section 6.6, to the following observations. For the method to be second-order accurate both er and er must be O(h3). For this to hold for er , it is obvious from Eq. 6.61 that + =1 =1 2 which provides two equations for three unknowns. The situation for er requires some algebra, but it is not di cult to show using Eq. 6.44 that the same conditions also make it O(h3). One concludes, therefore, that the predictor-corrector sequence un+ = un + hu0n ~ 1 un+1 = un + 2 h 1 u0n+ + 2 ; 1 u0n ~ is a second-order accurate method for any . 5 Such as alternating direction, fractional-step, and hybrid methods. (6.63)
  • 115.
    6.9. RUNGE-KUTTA METHODS 107 Aclassical predictor-corrector sequence is formed by following an Adams-Bashforth predictor of any order with an Adams-Moulton corrector having an order one higher. The order of the combination is then equal to the order of the corrector. If the order of the corrector is (k), we refer to these as ABM(k) methods. The Adams-BashforthMoulton sequence for k = 3 is i 1 h un+1 = un + 2 h 3u0n ; u0n;1 ~ i hh u un+1 = un + 12 5~0n+1 + 8u0n ; u0n;1 (6.64) Some simple, speci c, second-order accurate methods are given below. The Gazdag method, which we discuss in Chapter 8, is 1 hu ~ i un+1 = un + 2 h 3~0n ; u0n;1 ~ h i un+1 = un + 1 h u0n + u0n+1 ~ ~ (6.65) 2 The Burstein method, obtained from Eq. 6.63 with = 1=2 is 1 un+1=2 = un + 2 hu0n ~ un+1 = un + hu0n+1=2 ~ and, nally, MacCormack's method, presented earlier in this chapter, is un+1 = un + hu0n ~ 1 un+1 = 2 un + un+1 + hu0n+1] ~ ~ Note that MacCormack's method can also be written as un+1 = un + hu0n ~ un+1 = un + 1 h u0n + u0n+1] ~ 2 (6.66) (6.67) (6.68) from which it is clear that it is obtained from Eq. 6.63 with = 1. 6.9 Runge-Kutta Methods There is a special subset of predictor-corrector methods, referred to as Runge-Kutta methods,6 that produce just one -root for each -root such that ( h) corresponds 6 Although implicit and multi-step Runge-Kutta methods exist, we will consider only single-step, explicit Runge-Kutta methods here.
  • 116.
    108 CHAPTER 6. TIME-MARCHINGMETHODS FOR ODE'S to the Taylor series expansion of e h out through the order of the method and then truncates. Thus for a Runge-Kutta method of order k (up to 4th order), the principal (and only) -root is given by (6.69) = 1 + h + 1 2h2 + + 1 k hk 2 k! It is not particularly di cult to build this property into a method, but, as we pointed out in Section 6.6.4, it is not su cient to guarantee k'th order accuracy for the solution of u0 = F (u t) or for the representative equation. To ensure k'th order accuracy, the method must further satisfy the constraint that er = O(hk+1) (6.70) and this is much more di cult. The most widely publicized Runge-Kutta process is the one that leads to the fourth-order method. We present it below in some detail. It is usually introduced in the form k1 = hF (un tn) k2 = hF (un + k1 tn + h) k3 = hF (un + 1k1 + 1k2 tn + 1 h) k4 = hF (un + 2k1 + 2k2 + 2 k3 tn + 2h) followed by u(tn + h) ; u(tn) = 1 k1 + 2k2 + 3k3 + 4k4 (6.71) However, we prefer to present it using predictor-corrector notation. Thus, a scheme entirely equivalent to 6.71 is b un+ = un + hu0n b un+ 1 = un + 1 hu0n + 1hu0n+ ~ b un+ 2 = un + 2 hu0n + 2hu0n+ + 2hu0n+ 1 ~ 0 + hu0 + hu0 (6.72) un+1 = un + 1hun 2 bn+ 3 ~n+ 1 + 4 hu0n+ 2 Appearing in Eqs. 6.71 and 6.72 are a total of 13 parameters which are to be determined such that the method is fourth-order according to the requirements in Eqs. 6.69 and 6.70. First of all, the choices for the time samplings, , 1, and 2 , are not arbitrary. They must satisfy the relations = 1 = 1+ 1 (6.73) 2 = 2+ 2+ 2
  • 117.
    6.9. RUNGE-KUTTA METHODS 109 Thealgebra involved in nding algebraic equations for the remaining 10 parameters is not trivial, but the equations follow directly from nding P (E ) and Q(E ) and then satisfying the conditions in Eqs. 6.69 and 6.70. Using Eq. 6.73 to eliminate the 's we nd from Eq. 6.69 the four conditions 1+ 2 + 3 1+ = 1 2+ 3+ 4 = 1=2 3 1+ 4 2 ( 2 + 1 2 ) = 1=6 4 = 1=24 4 12 (1) (2) (3) (4) (6.74) These four relations guarantee that the ve terms in exactly match the rst 5 terms in the expansion of e h . To satisfy the condition that er = O(k5), we have to ful ll four more conditions 2 2 = 1=3 (3) 2 2+ 3 1+ 4 2 3+ 3 3+ 4 3 = 1=4 (4) 2 1 2 (6.75) 2 1 + 4 ( 2 2 + 2 2 ) = 1=12 (4) 3 1 (4) 3 1 1 + 4 2 ( 2 + 1 2 ) = 1=8 The number in parentheses at the end of each equation indicates the order that is the basis for the equation. Thus if the rst 3 equations in 6.74 and the rst equation in 6.75 are all satis ed, the resulting method would be third-order accurate. As discussed in Section 6.6.4, the fourth condition in Eq. 6.75 cannot be derived using the methodology presented here, which is based on a linear nonhomogenous representative ODE. A more general derivation based on a nonlinear ODE can be found in several books.7 There are eight equations in 6.74 and 6.75 which must be satis ed by the 10 unknowns. Since the equations are overdetermined, two parameters can be set arbitrarily. Several choices for the parameters have been proposed, but the most popular one is due to Runge. It results in the standard fourth-order Runge-Kutta method expressed in predictor-corrector form as 1 b un+1=2 = un + 2 hu0n b un+1=2 = un + 1 hu0n+1=2 ~ 2 un+1 = un + hu0n+1=2 ~ h i b un+1 = un + 1 h u0n + 2 u0n+1=2 + u0n+1=2 + u0n+1 ~ (6.76) 6 7 The present approach based on a linear inhomogeneous equation provides all of the necessary conditions for Runge-Kutta methods of up to third order.
  • 118.
    110 CHAPTER 6. TIME-MARCHINGMETHODS FOR ODE'S Notice that this represents the simple sequence of conventional linear multistep methods referred to, respectively, as Euler Predictor Euler Corrector Leapfrog Predictor Milne Corrector 9 = RK 4 One can easily show that both the Burstein and the MacCormack methods given by Eqs. 6.66 and 6.67 are second-order Runge-Kutta methods, and third-order methods can be derived from Eqs. 6.72 by setting 4 = 0 and satisfying only Eqs. 6.74 and the rst equation in 6.75. It is clear that for orders one through four, RK methods of order k require k evaluations of the derivative function to advance the solution one time step. We shall discuss the consequences of this in Chapter 8. Higher-order RungeKutta methods can be developed, but they require more derivative evaluations than their order. For example, a fth-order method requires six evaluations to advance the solution one step. In any event, storage requirements reduce the usefulness of Runge-Kutta methods of order higher than four for CFD applications. 6.10 Implementation of Implicit Methods We have presented a wide variety of time-marching methods and shown how to derive their ; relations. In the next chapter, we will see that these methods can have widely di erent properties with respect to stability. This leads to various tradeo s which must be considered in selecting a method for a speci c application. Our presentation of the time-marching methods in the context of a linear scalar equation obscures some of the issues involved in implementing an implicit method for systems of equations and nonlinear equations. These are covered in this Section. 6.10.1 Application to Systems of Equations Consider rst the numerical solution of our representative ODE u0 = u + ae t (6.77) using the implicit Euler method. Following the steps outlined in Section 6.2, we obtained (1 ; h)un+1 ; un = he h ae hn (6.78)
  • 119.
    6.10. IMPLEMENTATION OFIMPLICIT METHODS 111 Solving for un+1 gives 1 un+1 = 1 ; h (un + he h ae hn ) (6.79) ~ 0 = A~ ; f (t) u u ~ (6.80) This calculation does not seem particularly onerous in comparison with the application of an explicit method to this ODE, requiring only an additional division. Now let us apply the implicit Euler method to our generic system of equations given by ~ where ~ and f are vectors and we still assume that A is not a function of ~ or t. Now u u the equivalent to Eq. 6.78 is ~ (I ; hA)~ n+1 ; ~ n = ;hf (t + h) u u (6.81) ~ ~ n+1 = (I ; hA);1 ~ n ; hf (t + h)] u u (6.82) or The inverse is not actually performed, but rather we solve Eq. 6.81 as a linear system of equations. For our one-dimensional examples, the system of equations which must be solved is tridiagonal (e.g., for biconvection, A = ;aBp (;1 0 1)=2 x), and hence its solution is inexpensive, but in multidimensions the bandwidth can be very large. In general, the cost per time step of an implicit method is larger than that of an explicit method. The primary area of application of implicit methods is in the solution of sti ODE's, as we shall see in Chapter 8. 6.10.2 Application to Nonlinear Equations Now consider the general nonlinear scalar ODE given by du = F (u t) dt (6.83) un+1 = un + hF (un+1 tn+1) (6.84) Application of the implicit Euler method gives This is a nonlinear di erence equation. As an example, consider the nonlinear ODE du + 1 u2 = 0 (6.85) dt 2
  • 120.
    112 CHAPTER 6. TIME-MARCHINGMETHODS FOR ODE'S solved using implicit Euler time marching, which gives 1 un+1 + h 2 u2 +1 = un (6.86) n which requires a nontrivial method to solve for un+1. There are several di erent approaches one can take to solving this nonlinear di erence equation. An iterative method, such as Newton's method (see below), can be used. In practice, the initial guess for this nonlinear problem can be quite close to the solution, since the initial guess is simply the solution at the previous time step, which implies that a linearization approach may be quite successful. Such an approach is described in the next Section. 6.10.3 Local Linearization for Scalar Equations General Development Let us start the process of local linearization by considering Eq. 6.83. In order to implement the linearization, we expand F (u t) about some reference point in time. Designate the reference value by tn and the corresponding value of the dependent variable by un. A Taylor series expansion about these reference quantities gives ! ! @F (u ; u ) + @F (t ; t ) F (u t) = F (un tn) + @u n n @t n n ! ! 1 @ 2 F (u ; u )2 + @ 2 F (u ; u )(t ; t ) + 2 @u2 n n n @u@t n !n 1 2 + 2 @ F (t ; tn)2 + @t2 n (6.87) On the other hand, the expansion of u(t) in terms of the independent variable t is ! ! @u + 1 (t ; t )2 @ 2 u + u(t) = un + (t ; tn) @t n @t2 n n 2 (6.88) If t is within h of tn , both (t ; tn)k and (u ; un)k are O(hk ), and Eq. 6.87 can be written ! ! @F (u ; u ) + @F (t ; t ) + O(h2) F (u t) = Fn + @u n n @t n n (6.89)
  • 121.
    6.10. IMPLEMENTATION OFIMPLICIT METHODS 113 Notice that this is an expansion of the derivative of the function. Thus, relative to the order of expansion of the function, it represents a second-order-accurate, locally-linear approximation to F (u t) that is valid in the vicinity of the reference station tn and the corresponding un = u(tn). With this we obtain the locally (in the neighborhood of tn) time-linear representation of Eq. 6.83, namely ! ! ! ! du = @F u + F ; @F u + @F (t ; t ) + O(h2) n n dt @u n @u n n @t n (6.90) Implementation of the Trapezoidal Method As an example of how such an expansion can be used, consider the mechanics of applying the trapezoidal method for the time integration of Eq. 6.83. The trapezoidal method is given by 1 un+1 = un + 2 h Fn+1 + Fn] + hO(h2) (6.91) where we write hO(h2) to emphasize that the method is second order accurate. Using Eq. 6.89 to evaluate Fn+1 = F (un+1 tn+1), one nds ! ! # un+1 = un + 1 h Fn + @F (un+1 ; un) + h @F + O(h2) + Fn 2 @u n @t n 2) +hO(h (6.92) Note that the O(h2) term within the brackets (which is due to the local linearization) is multiplied by h and therefore is the same order as the hO(h2) error from the Trapezoidal Method. The use of local time linearization updated at the end of each time step, and the trapezoidal time march, combine to make a second-order-accurate numerical integration process. There are, of course, other second-order implicit timemarching methods that can be used. The important point to be made here is that local linearization updated at each time step has not reduced the order of accuracy of a second-order time-marching process. A very useful reordering of the terms in Eq. 6.92 results in the expression !# ! 1 un = hFn + 1 h2 @F (6.93) 1 ; 2 h @F @u n 2 @t n which is now in the delta form which will be formally introduced in Section 12.6. In many uid mechanic applications the nonlinear function F is not an explicit function
  • 122.
    114 CHAPTER 6. TIME-MARCHINGMETHODS FOR ODE'S of t. In such cases the partial derivative of F (u) with respect to t is zero and Eq. 6.93 simpli es to the second-order accurate expression 1 1 ; 2 h @F @u !# n un = hFn (6.94) Notice that the RHS is extremely simple. It is the product of h and the RHS of the basic equation evaluated at the previous time step. In this example, the basic equation was the simple scalar equation 6.83, but for our applications, it is generally the space-di erenced form of the steady-state equation of some uid ow problem. A numerical time-marching procedure using Eq. 6.94 is usually implemented as follows: ~ ~ 1. Solve for the elements of hFn, store them in an array say R, and save ~ n. u 2. Solve for the elements of the matrix multiplying ~ n and store in some approu priate manner making use of sparseness or bandedness of the matrix if possible. Let this storage area be referred to as B . 3. Solve the coupled set of linear equations B ~n = R u ~ for ~ n. (Very seldom does one nd B ;1 in carrying out this step). u 4. Find ~ n+1 by adding ~ n to ~ n, thus u u u ~ n+1 = ~ n + ~ n u u u The solution for ~ n+1 is generally stored such that it overwrites the value of ~ n u u and the process is repeated. Implementation of the Implicit Euler Method We have seen that the rst-order implicit Euler method can be written un+1 = un + hFn+1 (6.95) if we introduce Eq. 6.90 into this method, rearrange terms, and remove the explicit dependence on time, we arrive at the form 1 ; h @F @u !# n un = hFn (6.96)
  • 123.
    6.10. IMPLEMENTATION OFIMPLICIT METHODS 115 We see that the only di erence between the implementation of the trapezoidal method 1 and the implicit Euler method is the factor of 2 in the brackets of the left side of Eqs. 6.94 and 6.96. Omission of this factor degrades the method in time accuracy by one order of h. We shall see later that this method is an excellent choice for steady problems. Newton's Method Consider the limit h ! 1 of Eq. 6.96 obtained by dividing both sides by h and setting 1=h = 0. There results or ; @F @u ! un+1 = un ; n un = Fn @F @u ! #;1 n (6.97) Fn (6.98) This is the well-known Newton method for nding the roots of a nonlinear equation F (u) = 0. The fact that it has quadratic convergence is veri ed by a glance at Eqs. 6.87 and 6.88 (remember the dependence on t has been eliminated for this case). By quadratic convergence, we mean that the error after a given iteration is proportional to the square of the error at the previous iteration, where the error is the di erence between the current solution and the converged solution. Quadratic convergence is thus a very powerful property. Use of a nite value of h in Eq. 6.96 leads to linear convergence, i.e., the error at a given iteration is some multiple of the error at the previous iteration. The reader should ponder the meaning of letting h ! 1 for the trapezoidal method, given by Eq. 6.94. 6.10.4 Local Linearization for Coupled Sets of Nonlinear Equations In order to present this concept, let us consider an example involving some simple boundary-layer equations. We choose the Falkner-Skan equations from classical boundary-layer theory. Our task is to apply the implicit trapezoidal method to the equations d3f + f d2f + dt3 dt2 0 !21 @1 ; df A = 0 dt Here f represents a dimensionless stream function, and is a scaling factor. (6.99)
  • 124.
    116 CHAPTER 6. TIME-MARCHINGMETHODS FOR ODE'S First of all we reduce Eq. 6.99 to a set of rst-order nonlinear equations by the transformations 2 u1 = d f dt2 u2 = df dt u3 = f This gives the coupled set of three nonlinear equations u01 = F1 = ;u1 u3 ; 1 ; u2 2 0 = F =u u2 2 1 0 = F =u u3 3 2 and these can be represented in vector notation as (6.100) (6.101) d~ = F (~ ) u ~ u dt (6.102) A = (aij ) = @Fi =@uj (6.103) Now we seek to make the same local expansion that derived Eq. 6.90, except that this time we are faced with a nonlinear vector function, rather than a simple nonlinear scalar function. The required extension requires the evaluation of a matrix, called the Jacobian matrix.8 Let us refer to this matrix as A. It is derived from Eq. 6.102 by the following process For the general case involving a third order matrix this is 2 6 6 6 6 A=6 6 6 6 6 4 @F1 @u1 @F2 @u1 @F3 @u1 @F1 @u2 @F2 @u2 @F3 @u2 @F1 @u3 @F2 @u3 @F3 @u3 3 7 7 7 7 7 7 7 7 7 5 (6.104) ~ u The expansion of F (~ ) about some reference state ~ n can be expressed in a way u similar to the scalar expansion given by eq 6.87. Omitting the explicit dependency ~ ~ u on the independent variable t, and de ning F n as F (~ n), one has 9 2.2 8 Recall that we derived the Jacobian matrices for the two-dimensional Euler equations in Section 9 The Taylor series expansion of a vector contains a vector for the rst term, a matrix times a vector for the second term, and tensor products for the terms of higher order.
  • 125.
    6.11. PROBLEMS 117 ~ u~ F (~ ) = F n + An ~ ; ~ n + O(h2) u u (6.105) where t ; tn and the argument for O(h2) is the same as in the derivation of Eq. 6.88. Using this we can write the local linearization of Eq. 6.102 as d~ = A ~ + F ; A ~ +O(h2) u ~ n n un nu dt | {z } (6.106) constant which is a locally-linear, second-order-accurate approximation to a set of coupled nonlinear ordinary di erential equations that is valid for t tn + h. Any rst- or second-order time-marching method, explicit or implicit, could be used to integrate the equations without loss in accuracy with respect to order. The number of times, and the manner in which, the terms in the Jacobian matrix are updated as the solution proceeds depends, of course, on the nature of the problem. Returning to our simple boundary-layer example, which is given by Eq. 6.101, we nd the Jacobian matrix to be 2 ; u3 2 u2 ;u1 3 0 0 7 A=6 1 (6.107) 4 5 0 1 0 The student should be able to derive results for this example that are equivalent to those given for the scalar case in Eq. 6.93. Thus for the Falkner-Skan equations the trapezoidal method results in 2 3 1 + h (u3)n ; h(u2)n h (u1)n 72 ( u1)n 3 2 ; (u1u3)n ; (1 ; u2)n 3 2 2 6 2 7 6 ;h (u1)n 74 6 5 4 5 1 0 76 ( u2)n 7 = h 6 2 4 5 ( u) (u2)n h 3n 0 ;2 1 We nd ~ n+1 from ~ n + ~ n, and the solution is now advanced one step. Re-evaluate u u u the elements using ~ n+1 and continue. Without any iterating within a step advance, u the solution will be second-order-accurate in time. 6.11 Problems 1. Find an expression for the nth term in the Fibonacci series, which is given by 1 1 2 3 5 8 : : : Note that the series can be expressed as the solution to a di erence equation of the form un+1 = un + un;1. What is u25 ? (Let the rst term given above be u0.)
  • 126.
    118 CHAPTER 6. TIME-MARCHINGMETHODS FOR ODE'S 1 2. The trapezoidal method un+1 = un + 2 h(u0n+1 + u0n) is used to solve the representative ODE. (a) What is the resulting O E? (b) What is its exact solution? (c) How does the exact steady-state solution of the O E compare with the exact steady-state solution of the ODE if = 0? 3. The 2nd-order backward method is given by i 1h un+1 = 3 4un ; un;1 + 2hu0n+1 (a) Write the O E for the representative equation. Identify the polynomials P (E ) and Q(E ). (b) Derive the - relation. Solve for the -roots and identify them as principal or spurious. (c) Find er and the rst two nonvanishing terms in a Taylor series expansion of the spurious root. (d) Perform a -root trace relative to the unit circle for both di usion and convection. 4. Consider the time-marching scheme given by un+1 = un;1 + 23h (u0n+1 + u0n + u0n;1) (a) Write the O E for the representative equation. Identify the polynomials P (E ) and Q(E ). (b) Derive the ; relation. (c) Find er . 5. Find the di erence equation which results from applying the Gazdag predictorcorrector method (Eq. 6.65) to the representative equation. Find the - relation. 6. Consider the following time-marching method: un+1=3 = un + hu0n=3 ~ un+1=2 = un + hu0n+1=3 =2 ~ un+1 = un + hu0n+1=2
  • 127.
    6.11. PROBLEMS 119 Find thedi erence equation which results from applying this method to the representative equation. Find the - relation. Find the solution to the di erence equation, including the homogeneous and particular solutions. Find er and er . What order is the homogeneous solution? What order is the particular solution? Find the particular solution if the forcing term is xed. 7. Write a computer program to solve the one-dimensional linear convection equation with periodic boundary conditions and a = 1 on the domain 0 x 1. Use 2nd-order centered di erences in space and a grid of 50 points. For the initial condition, use u(x 0) = e;0:5 (x;0:5)= ]2 with = 0:08. Use the explicit Euler, 2nd-order Adams-Bashforth (AB2), implicit Euler, trapezoidal, and 4th-order Runge-Kutta methods. For the explicit Euler and AB2 methods, use a Courant number, ah= x, of 0.1 for the other methods, use a Courant number of unity. Plot the solutions obtained at t = 1 compared to the exact solution (which is identical to the initial condition). 8. Repeat problem 7 using 4th-order (noncompact) di erences in space. Use only 4th-order Runge-Kutta time marching at a Courant number of unity. Show solutions at t = 1 and t = 10 compared to the exact solution. 9. Using the computer program written for problem 7, compute the solution at t = 1 using 2nd-order centered di erences in space coupled with the 4th-order Runge-Kutta method for grids of 100, 200, and 400 nodes. On a log-log scale, plot the error given by v uX u M (uj ; uexact)2 u j t M j =1 where M is the number of grid nodes and uexact is the exact solution. Find the global order of accuracy from the plot. 10. Using the computer program written for problem 8, repeat problem 9 using 4th-order (noncompact) di erences in space. 11. Write a computer program to solve the one-dimensional linear convection equation with in ow-out ow boundary conditions and a = 1 on the domain 0 x 1. Let u(0 t) = sin !t with ! = 10 . Run until a periodic steady state is reached which is independent of the initial condition and plot your solution
  • 128.
    120 CHAPTER 6. TIME-MARCHINGMETHODS FOR ODE'S compared with the exact solution. Use 2nd-order centered di erences in space with a 1st-order backward di erence at the out ow boundary (as in Eq. 3.69) together with 4th-order Runge-Kutta time marching. Use grids with 100, 200, and 400 nodes and plot the error vs. the number of grid nodes, as described in problem 9. Find the global order of accuracy. 12. Repeat problem 11 using 4th-order (noncompact) centered di erences. Use a third-order forward-biased operator at the in ow boundary (as in Eq. 3.67). At the last grid node, derive and use a 3rd-order backward operator (using nodes j ; 3, j ; 2, j ; 1, and j ) and at the second last node, use a 3rd-order backwardbiased operator (using nodes j ; 2, j ; 1, j , and j +1 see problem 1 in Chapter 3). 13. Using the approach described in Section 6.6.2, nd the phase speed error, erp, and the amplitude error, era , for the combination of second-order centered differences and 1st, 2nd, 3rd, and 4th-order Runge-Kutta time-marching at a Courant number of unity. Also plot the phase speed error obtained using exact integration in time, i.e., that obtained using the spatial discretization alone. Note that the required -roots for the various Runge-Kutta methods can be deduced from Eq. 6.69, without actually deriving the methods. Explain your results.
  • 129.
    ͏ @̰ 34—48bDG˜£P9@h8ImP04@37PwXF44@aV0@PTVFjHY@E@o4@c1PIeFXG4EDC4A TAI 0 f97 G 9W 9gg7 57 T 9727 A27 T2 F2 0 `YHGPFP9c@d7vGh3Ae0Sº76FjVIeT@xc8bs4S· ¯ sy’…ef1tI”80DGe035VwPT4¹A“XYP9ctpq4}…1X° ¯ syi@€db4VpËVf1tIR FW T G w T7 0 G A27 ¥ ˆ ™ 5 R F „ 9 R 0b {  ¥ ˆ T7 w T 5 806GV035VwPT4¹AH„h3fe0m80SP743Ahef6580“P2u q@xP2q3280VGXGVF5 u txSz7˜XY39e0S87SE3gV0x3A80œz7e0e5mV0@U4@PI8Fœz7PÊeF6GV035ewu XT4A F F T G F 0 G F 27 F 0W 2 w G 57 T G G 57 T2 G F 60@Eeg4@w˜Xf8Fwc8bdbXw4b X2”4—48bDG˜…HY41mSE8bheIXT@ee0@m~36TP04Sº7eFS@‡“624432l3gcA 42 w7 T A27 0 G 0 G F F TAI 0 f 92I G7 G 97 GI É 9W 57q G 0A 0 0 0 ( wpA G F YW ¥ ˆRI 5 R 0 G F cP23Fc4jVI85“P2v€} ¯ lyc@ÀVf1tIy48b‡P2d32e0eGHGeF5 u tÇ—zY7 u @w@z7È43ge0VGyV01˜Ç1~I u cP2—Xq1@“P2F 0WT 97 2 wT T 5I f5I G ( F 9Iq TAI 0 Æ 4—4eb6Go~…®  ½Åħ­ ¬ ¨ ² § ¶ 4@l™ EÃaÀ¨ q8I}4@37P0—4eb6Gh~65P04ymXG6FPwXF4jDid48bE@X04h@cDi0 A27 ªÂ Á ¿ ¾ G TA 9 AI 0 f 9p ˆ 9g 0 0 G™ 9g f7 5I¸ 0227 f 5 5 Gb F T F R 7 F 5 R ˆ † „ 0 0( 0 G G AI 0 f ( F 57 1Eu63544Sq©VA@7 u 1tIeR“1X(@87e5VG’HYe9P5S½7x#P2¼ef1tI»‡aiPweF65432@i48bpeI#j4eb6Ghp4X24dbew@˜f D„hPfeF”˜4P2—HY44@…“…3A4X2@d7c@~XTxef1tIU6580VGSº7d48b4£j4eb6Gh#3ge0VG¹TD„41”~1E}1HY39@Xq8FDG3wleg6Te05 0 G 7 ( F 9gg7 YW 0 F GWI F 5 R G 9 0 G™AI 0 f 02I 7 5I¸  0 0 ² § ¶ ‡E§² ‰ y¨ tz³E§² ‰ ® @· ™¯­ « µ ´ A2 4@7 ­ « ª ¨ ±®X° ™¯­ V®Š |§ ¬ ˜§ ‰ y©y¦‰§Š ¦ YW G 5 5 57 T2 G7p 0 0b { TAI 0 “#6A80“32V03TV043gV0‡e0@~41XI8FS4—6¥uV03T4}y64jc8b6Ghf ( F 57 0 GRI 2 G 9gg7 YW ‰ ˆ † „ 0 G G 5 5 0 G f R G 0 0( ‰ ˆ ‡ „ 0 4P2cdbew@˜`f…„˜Xf8F£Si1PIeFSz7XwPF44Sq“r†T}‡‡‡@XqeFSd7“32V03TV043gV0m4eb¤1eIt5h3Ae0S87654321†T}”‡vc8bG 32c8bh4@B£db@“eIc4@xe06Ge065ewXT4PAh3fV0x48b§€u†T}‡BxPwVF@Ex4eb¡1eIt5–3Ae0S8765432@e†T}‡‡”@I 0 G A27 ™ w7 5gg7 F F T 0 G YW ‰ ˆ † ¢ T7W 0 G f R G 0 0( ‰ ˆ † „ R T 5 R 0 G G 5 5 0 G 0g 0 0A   A27 Ž Gg7b Ÿ  –› • “ T7 G7 f w T ˜Vf1tIw@Xq8Fœd7“32V03Te0c3ge0a4eb…6At@PI39@6q4io4@h~eT35e0c@Eœ…ž@lœ—š™˜@—–D•”@3T60PwVF85S˜db4Vp”8IG 65t06RV0’P9X9F u §ij4‹1PIeF6G3w—p60e0|…Œ‹4@s§eb@l@w“324c32l3g44X2”e0@a6T30PwVF85S˜d“32P06Fh6ˆ—3Iw 5 0 ‘  Ž 2 0 T Š A27 ‰ GIW RI G 0A 0 0A F 57 G7 f G w 0 0 G F F ‰ u ˆ ‡ „ A 2 7 ‰u ˆ † „ G 0 A 0 0 0 G F w 2 w T 7 W 5 p „  5 F c8b”dbPw4b u P2B‘Tg”‡pc@B†T}‡‡“324462t6g4`A…„˜Xf8Fi8bHGF u PThe26530416I}PwVF@Ey4vrseƒ1I u PTc8bG X2‚3f4ebq1lP9390 @4w4v0 c4j3™eTc3g60413Iu4P2eFVG3TV035e0€X2q4S“@87VG1lhPf~e0@‡V03T4}|z“P21lg F 0 G 2I A GI2 IA GpW G w2 w ( G F A27 G2 5Ig F 57 0b { G FI 3Ajcd˜S87uc8b˜eIo6A806GS8785VGS‡—zY7 u @mPT…1PIeFcPp1VImeTXGySxef14w˜@eIE‚X2@q@4vS48b’P24ebXGF u 0iC 0 f T 0 G G w G7 T 97 F 2 G 9 T F RI 5I2 0 f T™ F7 fIA G7 G F f R F F7 fIA F w 7 F 9W T 0W G F T F T T 7 T G 0 G ƒ 5 w G 1eIt5sr™XR…P2Sq1c#P2@87VG6530qP2uX04@87VGelp8IoPA@e7mXTn3fe0VG—VY˜‡˜Vf35e0ue06T48b#`2m3eT@8I6GS8785VGS7 A27 G FIg 0iC RI T G F T FA RI F FW T F f72YA Fp• F G 4S”8T“P21lk3Ajc@ihef35e0hP2g3Ae0VT43pVwPT4€6280fG@eXTs`YHGPFX94@d7vGB3™3TXw˜SE—c–PA44€X2”VG6Te035e0“P2F RI ‰ ˆ † „ 5 0 92I2 0 G RI T w 0 G ƒ  0 T2 w ( 0W 2I 0 fI 0bg 5 9 57 @’‘T‡‡…@374P2XF414Q4ebu@Qe0@37§c8by`2¤‚3AV0354XAeF416I€4P26Fty1432h146244x@P743pXw8FvG@Eg 0 G 2I TA 0 0A A27 9 0 F2p 5I2 9g T 0 02 F FW T RI 2 F2 0A 9 0 0( c8b§@u4462t6g4sc@r@87VT351Hq44a14iX04hPfeFd35c8bXG6F4aPT`YXGPFX94@87VGUSQ@PI8FHG4EDC4B@87654321)' % $ # ! $ ©§¥ ¤¢ ¡   ¨ ¦ £
  • 130.
    8YR8©71¨QQ1W10T'7R8VUTRQ©P'7I'H©GED¨CBA6§9871#'¨6'54¥3%©¦210)#('%©¦!©§¥¤£ B # X¨ ¨ ¨ # # S 73 F # #F @ $ # $ # ¨ $ # ¨ ¨¦ 36T4@P74§¢DiX04˜@3Iw 02 9g   9g f A27 ý 9g f w 0 G GIW F TAI 0 f Tp 57q RI FW T 0 G 0 F f7 0 G G F 0q2 4S€s…iP04h16Iq4eb§8bSt§P2d4jc8b6Ghd41PIVF@SU@©`YHGPFX94@d7vGq4ebhcP2h@cDieIe“32X0432@€@3Iw GXF cEvP9X9F u 0 u 4Sw@XY691XqeF6G6wtVg3Te0‡—· ¯ 4@§X° ¯ 6—y…1tIR 4¡c@¼E@o3T4Xp@S“321X(3F0 A2C A27 ™ 0 0 5 ™ A27 T¥ ˆ 5 ÿ  A27 ÿý T7 0 97q 0 V03T4ebh3A80œE1P(VF3T4x0 u 3™VT3580j@Edbe4@PI—6qV04–`2@`YXGPFX94@87VGp4eb˜4X2˜Vf35e06G4©eIe“32P06FhceppV0@7 0 G G72 0A Gg7 w Tp F 5g ƒ  FW T 0 G 0 F 0A G G w ˆ T 5  ¯ 4S©X° ¯ 3€yþP2h3T60PwVF85S˜#4eb‡@q6T4Pp@S“32@P(3F48b3™6Te0@37–4P2eFVG3TV035e0€X2k€Sqþ`2ƒ A27 T¥ ˆ F G7 f 0 G RI 0 97q 0 0 0 G T w ( G F Y27 f 3PTjœ˜vY@EP2@@qXfF Fi7 57 F(7 0 G (2 97 9 G A G 0 97q 0 „ý 0 G I• G7 F fI „2 0q2 w FA 0g 5I c8bwc1PI@mP0XFueIp432e0r6T4Pp@S“32@P(3F¹04‡48bT u Eh3Ae0SEP2h14¹Aj1XI8F6G6w1“16ImXw4jXIeF65tr1E¸ ü 3XTjœÇ@z7V05 Fi7 9 0 G7 02 0 G (2 97 9 G A G 0 97q 0 „ý 0 G I• G7 F fIA 2 Tp FA 5I @XqeFS“3(chc8bq4@PI@iX0PF’8I‹46280”6T4Pp@S“32@P(3F¹04˜4eb‡T u 4#3A80œEP2h14©1XIeF4tXøcv1E¸ ü û( 9 R 0 G YW 57 f f T 0W G b(pI 0 G2 5Ig F 57 0b 4cP2F u PIX91tI‡48bp“’3A60PÊVF@qh4Vpdl”8I’141c32U“@87VG1lhPfae0@…DY4}{ 33TX08FvG35l1eI4u`YXGXFP94@87VGÛSrXTeF—XYSE@d4P2F u XIP91tI48b”P2r3ThPfeFi“@qd8I˜3Ae0V535t0DRe0~e0@41XI8FS876G3wlg 0g 5g FW TRI T 9727 ( 9 R 0 G F 0 G Y27 f G 5 57 T2 G 0 „ 0 0b {  Ž F¸ T™7 0 fI 0bg 0 G ( F F G2 w T 9W 5g 9 TYbg9 w 5g R €…iqe06T4}i1H°4‚4X(|h30V0Äc432h1432c4˜V03T4ebp4P2cP2@87€@3I‡h3fP0c1eI4B@37PwVFj“4|@z7Xw8F6GS874@I T f 0 T 0 97q 0 0 0 G 5 R 0g 0 0W 9p w G7 2 0q2 w FA 0g A27 2 T h4epe56G6wtVgdcPp@S“321X(3Fd48b1tI6A80DG3wlc…iwlXA416I”S4b u 1PIeF6G6w1“13I‡Xw4—PIeF65to4@o1PIVF4tpR º„XR4d1tIw‘T}‡‡U694jhd41è1eIt5§441tIq0 u c†Í4h1XI8F6G6wj–X2|SP04h@cDid1E#63TP0eFVG65t1VI4g FA 5 R ‰ ˆ † „ 0AI f 5pI f R A2p R  Ž 2 0 F ™ 9g f7 0 5I¸ 0g 5 9@d7“32h@Ec4tp}P53Fc8b‡80S˜PfeFVG6TEz™VGSz7P0~S…vY13Ic8bxP2s‚@37u0 u 1vY@E1XI8FS87VGae0@7 µ 4@7 ª ¹Rƒ G 0 f7A2 R 0 G G7 0 T 9 G7 5 0 G F™2 w ™ 572 G T 5 A2  G7 F fIA G 5 0gg7 G 9 0 GRI 0g 5g 0 G 0ƒ7 @e0SEX2˜1c˜eIU@z7l4@6580eGœº7a48bÈ@}6TP08FvG35l1eIcdc8b‡@@˜f 2 w T2 G 9gg7 9 w 5g T w F F ™02I 0 0A 7 G T w 5 F 57 0W 2 @37‡41XI8FS37PwPFc4@r@z7Xw8FDG@874˜e0@37hdbPwcb u X2|@c1q@Xq8FDG3wt0DR4o8I”e01XI39oXYP9VF@87e5XG4VW@plsSz7w 6f80vGjvYU80DGP04h16IvrSE8bÈ354cP2h3fe0‡”ebXGF u c†Íj4”1PIeF6G6wj~30V0j6™˜6f80VG—vY4321X(3F}@Xq8FDG3wt0DR4”4@7 T T 9g f w 7 G7 G 0A F 5 7 ™  Ž 2 0 T T T T 0 0 0 0A A2 806GX04h13Iheb@lx1zqEeœE8ba3T60PweFe5S˜#8Is621Hq1plrX9u P9F u 1PIeFS87654PAVF41©SP04Sd7VGwPTú3f80vG—VYT 9g f w GIW 0 7b G7 G G7 f G 0 F( 0W 2 G 0 T2I Ÿ  9W T F T 7 F G „YA T 7 0 w7 5gg7 2 G 9 T 7 F G7 •  0 G RI G7 0 27 0 F( mXR’e0Sd7vG`T“c@3780VG‹h3T4dbS“eI4c@€1PIeFcPp@eI©ÃdbXw4b Serù@V–‹4ebm@xe0S˜Pf8FvG3T€@h3T@Xq1eXGF G7 G 0( G27qA7 0AA7 G2 5Ig F 0 G T7b T T T 0 0 0 G RI T 972 '  2 0 œE8b‡1@87“@Sc@o3A44S“@d7vG1thPfa4eb~SEmh3fe0VG—VYc321X(3Fde03Tc8bÈ@PTeF—HY@E”yc†Ž ¯ 1XI8F6G6wj X2§6Ae0VT43pVwPT4vXTvPTc}dc4P26F432V035tXø4”30SEeg©4SehPf8Fec8b#8bSt©1‹462t6g4‹@z71PIeFXG4EDC4A F T FA F Fb { ( w 0 FA w7 T A27 0 G 0 G GIW 2I A 0 0A 2 w 2 F2 0 `YHGPFP9c@d7vGpÇD™d®6T41eXwPF1leW65t—“…XYX9@º76F3wleg3T ­0 41XI8FSE€6¥Ä@P78F“32V035tXø4È@P78FVGSEx8I41XI8FS37PwPFc4@7 FW T 7 02I 9I 0gYb 9 0 T2 G7p 0 9 G 0 FA9 57g G T2 G 9gg 5pI F ™ w T 9g T T Fp¥ GI2 F 2 G7 T 0 G T w F G F 0 I ÷  G7 f c1hP2yS304X2eFhP04hPfVF©eI˜80XGc—e@4uXTs1XI8FS48pXGVFp4ebpe0@37uPTc8bsX26™351Dq0 u ~#tHiVF85S˜ueTXGF R@¡6f80VG—vY4321X(3Fh48b’8I©6A80SP739e0hl…VIPT@§32e0fG@Q@z7x· ¯ sy}S`YHGPFP9c@d7vG˜4}h ª @I 6f80G I T T 0 0 0 G G G 5 0W 97 RI 2 w ¥ ˆ RI FW T 0b { R „rjvY432@P(3Fw48bo1…XY39V0P5eF€62‡4462t6g4eH° ¯ syr@x`YHGPFP9c@d7vGe4}”—· ¯ c@eH° ¯ 6—yr@m8T´ vG@Eg T T 0 0 0 G 2I G 0 TA 0 0A ¥ ˆ RI FW T 0b {  A27 T¥ ˆ RI 57 Tc13I46211h14x4eb@e1XIjzqE6btxc8bh1§XY69e0P5eF“32€3AV0@EpV0@§`YXGPFX94@87VG~@e4@PI8FHG4EDC4e4v„ p 0 0(I fIb 0 G RI 5 F 7 0W 0 G 2I G 0 T7W 57 FW T RI T2 F2 0A 5p öçïô õô êç ò ç ð ê í çì êç ë êç éç ‡’È…Ä©‡”3óÀñ #’ï h‡#©‡s‡èæ ±åpã ä × âÓÒ×Ü× Ô ÐÓ ÙÚ ßÝ Ü Ù ÙØ ÐÒ× Õ ÔÓÒ Ñ Ð Ï #rÄÇBÇávy”ràÛ€}ސ3ÒÛrÚ”4ÇñÖxBÄv”m’Î Ž S̰
  • 131.
    › ‰  ‰ ý° ‰ š   ý ° š ¨   ´ œ› ‰ š ´œ ý ˜™ EŸž ‰ ˜™ › EŸž ‚‰ ˜™ EŸž 0W Gb F f 57g Tp 0 0(I fIb 0 l}“1X(˜vG@E416I4321@˜1cdc8bG R@)ef1tIl@z7Xw4—`Yue‘Ž44sy|S…Sz780vG4P2j@X04˜S4…i1EBsdƒ—PI4x@4eA1@—”8Ip@PI8FœE€3¥”X014X2eFT I 5 R9 Fg G 7 d Ž¥ ˆ RI A T F™ 9g f7 0 5I¸  w 9W 27 5I– 7 G 2 G7p 0 9( 7 1eIt5‡6T14@Edb©@PI8FœE€3¥h1XqeFSd7“62e03TV043gV0i48bB@¼ef@tIe48b‡h3f80vG—VY”1Hq8F6G6wt06R4xeI#3Ae0Sº769e05 f R 0(27 w 2 G7p 0 0 G G 5 5 0 G RI 5 R 0 G T T T 0 0A G G 60@Eegc321X(3FQ@s`2”‚@PI8FDG3wV0wœE8b©P2x”•H°4…8Ip”“H°4Ç3€ys@#XYX9@º76F3wleg6T§4S…†Íj4a41XI8F6G6wj w7 T 0 0 27 ƒ 2 T G7 G F Ž G Ž T¥ ˆ 2I 9 0 0 A27  Ž T2 0 X2U8THG4ep6Te0m48bq@I u e74v0 u PTc8bB1EB@30SEeg4621P(6FpP2r41XI8FcXp1eIrP56F48bÛS”e0c8pSE”48b6G3wlegcP2F F 9 5 0 G 2 5A F G 5I¸  w7 T 0 0 F T2 G 9 T 0 GRI 5 G72 0 G 0 T 0 u 6™˜6f80vGjvY432@P(3Fh1Hq8FDG3wt06Rc˜@±q4wœE8b‡‘T‡‡U@o`YXGPFX94@87VGh48bQ4@d7vGeT65444’8I‡654eA1Q`2ƒ T T T 0 0 0 0A 0 7b G7 G ‰ ˆ † „ RI FW T 0 G A2 0A2p G 0 5I s i–s ts ˜ ” m  ”–Œ ‹ ’r‘Gvhr™¥pny…Ž‚QAQ¡Š ‰ˆƒ…„ƒ ‚ ‚ 2 ‚1XIeF35e0XGVF35w `YHGPFP9c@d7vGp“32V03544X2oc8bgX2’P01VIs4€zYº7cqeT@8I6G6w1“32@P(3Fo48bh˜6f80vGjvY432@P(3F’e06GP0c˜16IÃebXGF u FW T G 0b F 0 G F 9 5 I2 9g 5 0q 0 0 0 G T T T 0 0 9g f w ‘T}‡‡v1tI~SEebwe0@4u0 u HYP9@4P2|36GhmXTo1XI8FHG4416Iu1±ql@ec8b˜VI£™ u eI@mHG”6Tj4~35c8bXG6F42 ‰ ˆ † „ 5 R G7 G GI2 97 F ¸ 0 f F 2 FA2 w 0 IW7 0 G T 5( F 0IA 0 0 GpW g Š T7 0A GI2 0IA G7 G 0 G F F T w F G ƒ  FW TRI F7 fIA 0 G j4j™ h ‡r@xzY373w4@43T—4x§ ‰ S48bmcep85BPTXG”e0@37XT48bq`2Ä1`YHGPFP9c@d7vGÛ@hP2@˜14m48bhP2F †…—W„ƒR‚f›aPTF l¨ ©dbPwcb u 1tIae0SzÇ@º763legd48b~SEeb8®˜680VG—vYo680SEX2˜@4`Aj@PI8FD3@€@3…P2F ù… e ˜ € ~ ý F 5 R T7w 9 Fw0 T 0 G G7 G T f T T A G7 F fI „2 Gw0q2Iw 2 G 0 T2 w9 w 5g G2 5Ig F 27 F F T T7bg 0 0W 9pI T ƒ 2 0q2 F @PI8Fœ8735cPAeFc13IÇ@37Pw8FDG@87c€Sd7VG@thPf…@mPT~XG~@ ­7 3A60PÊeFSE4h3fdtoPA41cebm¹G}‚1PIeF6G6w1“13IXw4W A27 2 Tp FA GIW ( G 5 5 ‰ ˆ † „ 0AI f 0 G 5 R 0 G T F 2 w F G G7 4Ss1XIeF4tXøch8b@l#4X28F“32V03TV043gV0u‘T‡‡r694jhqc8ba1tIs3A4VCPTeFS87dPTQ1XIeF35e0XGVF35dPT4ebwS48bG 60e0p0 u 1H°4Û4X(|©4X28FDG3wleg4`2’@c@º74–sDiX04h13I˜48bQP2dPTjœ©vY@EX21@˜Pfqc8bÄr™SufGDRP0qc8bG T ™ Ž F ¸ ( 0 T ƒ 02 9g ý 9g f w 0 G F Fi7 57 F(7 F 0 G RI 9 0 eIh1‚1xP0XFpvG4eh3T4Xp@S€621P(6F0 #4ebv@}X9@@`YXGXFP94@87VGq€62e06544P2h1tI3™SEeb˜3Te0Sd7vG˜XT4}{ G 5I ™2I 9 Tp f 0 97q 0 ý 0 G RI 97 ™ FW T G 0b F 5 R G7 G G T Fb | 97 5 z x ® ÿ }X9@1tIR {y}4 ­ý w ® “†Ž ™¯­ HRpHY41…4@7 F 92I A2 HRhX04@87VG©HY89“32V03544X2˜V0@d†T}‡‡q48baSEebÛ@P0c˜@c…id@tIÇ™ ¯ ·jÄsy¡1VIt5h6041dSaT u PIX91tIR F 9W T G 0b F 57 ‰ ˆ † „ 0 G G7 G™ 9g f7 0 5 R   ¥ ˆ f R w2I G7 9 XGde0@37hdb4epo`2’‚1XI8FS˜ef1tIvR4@e785”`YXGVF@º7X9˜XfeF”…€q3A30XÊPF@411@P74wl…@z7qHiVF85S˜wc8b’4@7 F T w 7 w T ƒ 2 G7 5 T2 G 5 F T 7 YW 972I( FA 0W 2 w G7 f 0 G A2 3™“324462t6g44X2vXYV9@z7cP2PFBV0@’VT18IDG3w1“621P(6FÈeTXGc@1P9S1…3f80vG—VY4621P(6Fre06GX04˜@3I|@4‡HiVF85S˜E¹Rƒ G 0A 0 0A F 5 0 9 57 5 0q 0 0 FRI 97™ T T 0 0 9g f w 7 T7b G7 f 7 s i–s ts ˜ ” m – k j i — €rWvu2hrq'ponW§'l€™‰‘ …„ƒ…„ƒ ‚ ‚ 3‘T}‡aw4ebÄS…@PI8FjPp1VI€62P0VF4@87e5‡48b’1pHY41~4462t6g4q`YHGPFX94@d7vG~€62e06544P2œE8b‡80SmÉ ‰ ˆ † „ 0 G RI 2 G 9 T G T2 G 0 G 2I 92I TA 0 0A FW T G 0b F G7 G GI  Š T # 0 2 I W 4X2@ 7 TF G@ 2 ® 1Í ™¯­ PTF § ¬ 32cb u r™HR”Pù9e!¹–D•©ž )eED›dùDEWf›’XThoH° %¯g UlSy}3Aˆ ™ c4ªA 4i1eFp lœUq’q@6f…ž7 le0– œo™˜—š5› § ‰ @3™• —–D•“hd7˜4@1s3II25T7vG ¸w 0 F f “ • ùd ˜ F ¥ 85G 7 f “ 641XI8FG T2 „7p 0 9 G 0 FA 57 F 5I 5 T 2 w FW T 57A2 T 0 G G T 0 ÌE€3¥v@P78F“32V035tXø4gVYSEP24VA1p1tIR 3AV04p 1XIeF35e0XGVF35g`YXGPFX94@87VG»eA@44@d7vG‹48b#e0Sd7vGQ0 u e065m÷ ˜ ”’ ”’ ‘  ˆ ™'—•QW…–•“xh‰‡ 8†ƒ…„ƒ ‚ ‚ d Ḭ Vôy€ñænwxví ‚6ïzò9t©sppxvBh#©Çf Aepã u õ ò rqï i ï êçgç ð ê ä × c‡6y}À3ÒÛrÚvcÇgir~B”mràgc1`±ÖÕ b Ó a Ý ß Ý Ü Ù ÙØ ÐÒ× Ò àÓ ÔÓ Ï Ù Ö
  • 132.
     2 0FqRI G FIg F G T FA 0 ‘  G 5 G2 T2 w 0 f T G7 4‘ށ ¯ 1PIeF6G6wjoP2F u P0—È@“P21l}PT4eb~VT43pVwPT4a§|4XI8FSe7m“@87VG4@3Ia˜@eIS˜eI6530Ê eIw1(PT@SVq6580“P2qeb3Thv4eb@˜P2@˜14PT4eb˜X248bHGF u 1XI8FcXp1eIvc8b‚@)ef@4”h1eIu8I462tc@Eb G I 97 G F 0 f 0 G T7 F7 fIA F G F 2 G 9 T 0 GRI 5I2 0 f T G T 0gg7 G7 I T G F 02 0A F FW T A27 0iC F F7 fIA w7 0 G ' T2 G7 F 5 œEb u RS}˜Vf3580xX2o6A4E6Cc}PT˜`YXGPFX94@87VG’4@o3AjcUXTxP2@˜14v60@EVg`TD„hPfeFÀ’3c1PIeFSqXfj±iVI4g „g7 w T A27 0 0 G GIW RI 0 0 0 G Tp 02 9p T 0 T2 w G G 5g 5gg j@#60@7EVgÃ4@’hPfeFG…c8b€8b@lv@˜8TDG3wt6ø…48b§XYe9c13I4Sd7XGcePfVF˜654PAVF413IQ8Ixe0Sº7VF41eIc4@7 XT’XG…3TV0@7zÀdbcepT `2ƒ S80c1VI‹806GV035VwPT4XA˜6fe0Q48bG u PIX91tIR XYX9eF@e7eT6T303wcoS4gcoœE8bp4@PI8FjPp9 F F T w w  Gp 5 F F T 0 9 5 02 GI2 IA G7 G T2 G „ T ˆ † ¢ R G 0 fg 0 0A 0 G f R T T 5 G † ¸ Ÿ F Tp RI 2 F2 0A œeIÞ‡B~@Ii“32h41XI931Dq4p4eb¡1eIt5uh3fe0VGhe04epS876580HGPF9 ’UhP2€3AV04h32e0fG@h1XI8FHG4E6Cc¤' 0p F2p GI2 57 T2 F 0A F T Gg7 w F GRI ( F2 F 0W 0 G G7 G T T S4€P¥4c@c”0eSc1PIeFXG42EDC4i`YHGPFP9cW@d7vG43™6580c@4dbXT48b‚Sw4X244X213(l”4ebœx3Ae0Sd7vGv0 u ”'  FW T 0 G 5I G G f T7 T G @`YXGXFP94@87VG‡hPfFeU1‡PweF@8Icgh—VY@S7qeI…6Ae0e565t06RV0}3ThPf8FDG˜@eI}PT˜`YXGXFP94Sd7VGÄ@x1XI8FHG4E6Cc~XT4}{ 5 0 0 f T F FW TRI 2 F2 0A Fb 6†T‰gh‡m4eb£@i21XI8FcXp1eIr“32X0eFT4S878504eb”@IiXY4@4c32l3g4u`YXGPFX94@87VG4@37PwVF35h4€œE8b30V0~§‘ ˆ ‡ „ 0 GRI G 9 T G 2 G G 2 92I TA 0 0A FW T9 0 fp2 G7 G T 0  h g T # 4A p W T P2F ˜ ” @ 7 0 7 5 2 ® ¯ ™¯­ PTF § ¶ 324b u r™XR‡Pù9e!¹–D•xž ÁeIe–…˜Dùq2›”PTF’·Å ¯ @sy6A¥ ’™44µ2 @teFI i UScq@”…ž3f@V0 lœ4—š²› §½˜‰ @3™• ¹–“D•G ©d7vGw4@1s3II25T7 ¸w 0 F f “ e Àƒ  ˆ e5G 7 f – “ PTiÍ ¯ “62˜6f80S87—˜8Ip1XI4@Eh13Igh‡u4}{ F G 0 G G G 2 F27g f w ˆ ‡ „ 0b ˜ ”’ ”’ ‘  ˆ ™'—•QW…–•“xh‰‡ 8†6‰ˆƒ ‚ ‚ Vôy ñ ¿nví ‚6ïzò4t©cp½s·zìBlç ©«» ºpã ¾ w u õ ò rqï i tq òg ö ¼ ä 3€62e06Te04e0S˜@PI8FœEPgVFeTPTc‚@B8T“4@˜@“@37EXC4@P(eF£XR}604@d7vG1l˜XfE@z7Xw8F6GS874d4B1UX089eGHGPF£@BPTF G 5g 57 2 G7 FARI G2pI f7 G2 w F2 T F w2 5Ig F9 w 5g I2 5I 9RI †  ¯ 1XI8FXGc413Ij3™6516q0 u m|3h3fP0c1eI4h1XI8F6G6w1“16IPw4a8Ii6A80SP739e0B6T4Pp@S“32@P(3F4ebe“˜6AP04c3p3w—I 2 FA2 w 0 I ÷ T 9W 5g 2 0q2 FW G G 5 0 97q 0 0 0 G YW Fg w 0l‡8IÄ4432e0idbPw4b u PTjœavY@EP2@@qXf}48b‚d“—‘„ƒRe28¹˜†  ¯ @PI8FHG4416Ia`YXGXFP94@87VGUc8b’S48be0@mÉ W G TA G F Fi7 57 F(7 F 0 G ù…  ù 2 FA2 w FW T 0 G G7 G GI  G7 F G 0W 9p w F 5 0W w 5 ‚6A80SEX2˜Vf35e0al’PA4@3IXG‡V01tI6Rl~eT3T60jVI4g 2 G 9 T 0 G 0A Gb F f 5( 7 w T Gpg f w 7 2I ™ 5I 0 5p¸  0A 0 @PI8FjPp1VIx48bhY±VI85VG6T4i“1X(˜€8bG u VI1©Ãdb4Vpi35e0c4h13I©k1B@V01˜Vf354ebVG4E€@±Y373w4xc8bG G IW7 T( 5W 27 0 I 0ƒ ¶ 9 G 2Ig 0 0 G 5 0W9 F fI2 9Ig 0 GRI 5( 0 5 jp1tSU14X2eF4xAc@h†¸35@±q}3T@Sd7vG·Sº78F“624u0 1lc…iv4eb”e01tIDRts@P7˜@4—XY1lv4ebÈSx8bG u eI1m1e(Sº79 vY35@q’t§zYqf’e06548bp604P2VFieTT6P04ebVG1I tszYqh@PIeF6580HGeF35xc8bwc1PIeFSz7XwPF44SU@37Pw8FDG@87c–P2F 0 7 0W 7 0 G w T 9 5 0W 7 f 2 w 0 G T2 G 9gg7 9 w 5g 6™351Dq0 u ~B3µeI6530¹Êj214sP9SU1tIR h ‡y@dz g £ ‰±³ ²°4¡¥®m604P2VFu¨†Í ¯ “32h3fe0Sd7€Ä@ve0c32e0”48bhP2F 0 I ÷ ´ „ I 2 9 7 5 g Š T 7 ± ¯ Š w T G 0 G G ¨ R I T T 0 G `YHGPFP9c@7dvG1tI}“32X03FhcVpTPT˜1PIeFXG4Ac13IPT4ebiXYP9Sz7PweF6GV013I4}yjz l“z ­ ‚U1uz ­1z ­ ÛHRycHYP9@37PwF FW T 5 R G w ˆ F 2 F 2 w F G 9 5 0b {  ¬ ® ´‰ 5I ¬ ® ‰ F ® 9 v„S87c@E€¥’1aHYe9@374P2XF ­9 4241l’j14b8HGF gu VI1iPA4@I u  i4@7 œ “ÛdVY@4P21@˜Pf}V04œ4’@tIU304X2eFT G 5A7p 5I 5 0 A pIW GpI u 5( 9p ‰ A2 ‰™ý 57 F(7 F 5pg 5 R w |«P9S1tIR ªƒUÿ4 ­ý w 97 5 z © ® ® 1  ™¯­ ef1tI‡4ebi8IG 5R0 G 6AEXCcjhtWrVGcew‘ށ ¯ 1XI8FGXc413Ir3TV0@z7qbd4epy1tIBGS48bm600e~0 u ‚1PIeFcPp@eIBPT4ebw4X28FDG3wleg4`2ƒ 0 FAI f 0 Tp f 2 FA2 w T w w T5 R 7 G T ™2 G 9 T F G ( 0 T ® @d ™¯­ £4¡ 8¨œ Š`“z ­ ‚‰ ° Á `Š“z ­ œ ‰ Á “z ­  ‰ § ¨ ®V ­Š  ‰ ¢ ® ´ ® ® A£4¦¡…¥rŠ1z ­ ´‚‰ Á 1z ­ œ ‰ ¤ ¨ ®V ­Š œ ‰ ¢ ® ® £48¡“z ­ ‚‰ ¨ V® ­Š ‚‰ ¢® ´ ´ 2 1PIeFGcPp91VITa048bG4A4EC‡04@IodbXw4b u 1tIR T 2 2 F 5   @̰ × âÓÒ×Ü× Ô ÐÓ ÙÚ ßÝ Ü Ù ÙØ ÐÒ× Õ ÔÓÒ Ñ Ð Ï #rÄÇBÇávy”ràÛ€}ސ3ÒÛrÚ”4ÇñÖxBÄv”m’Î
  • 133.
     FW T90 fp2 5 R 2 FA2 w 0 G 0W G 0ƒ G 1`YXGXFP94Sd7VG£@z7XweF35h4€}1tIp1XI8FHG4416Idc8b‡t”eIo32S@d7UXTF XT48bx4SwÞx Æ ®  ­ý   Æ S48bv30e0“@87@41odbXw4b u 3Al1PI6916qc‡e0@4—4eb6Ghpdbew@˜`f…„˜Xf}cÍ F G A27 ° G7 G G2 57p( F 0g 0 0A 57 TAI 0 f 57 0 F {  z x ® w G7 G ( G2 57p( YW 0 9W 0 F ‰ ˆ † „ 0 GRI FW T G 0b ƒ  c{yl ­ý GSEeb”cP23F6080“@e7@E1x“…3A4VbPTXF4@d7vG3T}XT~‘T}‡‡uc8bÈ@q`YHGPFX94@d7vG”“62e035c4`2j  0 f F2C ‚Vb3Th‡80HG4Ee7 2I 0 G7 0A w7 T 0 G ( G7 F 5gg7 YW ‰ ˆ † „ G 0q2 w 57 ‰ ˆ † ¢ 0b {  16T1XqeFSSXqVF354w30@EVgwc8be4X28FS˜PfjzieI4c@…“m‘T}‡aq8Io3A80vG35@€@3Ide0@m†T}‡Bw4}1° û w7 5gg7 ( 9 R 0 G F 0A 0 f T F 0 T2 w 2 T F ‚db@“VI44@e4P2F u PIX91tI‡48btP9@876G4‡h1eI’X23AV0354XAeF4@3Ia0 u 1XIeFeTc3pewXT4A Tp F 5g 0 G ƒ  G 0 FA 4@PI—6qV04‹48b»`2¤@±Y7 u “32e065£Hø4–7 P2F `YHGPFX94@d7vGuSc6g304@3I‹48b©4X2˜S4…i0 u 4…4…6G0 Õ FW T RI G w2 w 0 G 0 F f7 I2 Tp Vô€ñ ¿o—ᐩ‡”ylhÔh)Ò ©eÑ‚6ïzò4t©cpАe’Gç zöò Î 'Ípã y ¾ w u í çì êç ógç Ó ê í ë ê q õ ò r qï i çì q é iÏ ä  5 ( G 5 A 7 p ¥ 5 I 5 0 9 0 ( ¬¨ ® ´ ‰ 5 I ® ‰ 0 0 A 2 7 ‚ebG u eI1aPweFS87c@E€}1U@374P2XF6G1d0 u z h“z ­ ‚}1U“z ­ 354ebXG6Fo4Sw° ¨ Æ   Æ XRed ¯ F syxX2mX04˜S4…i1tI—1° ¨ Æ   Æ @tIVT3T4c3A44c1t”3080“@e7@E1@4eœ2 c}˜6f80VG—vYv1Hq8F6G6wt06R4”304X2eFT ¥ ˆ F 9g f7 0 5 R™ 5 R 02 0A2pIW G2 57p( GI IA T T T 0 0A w ®1• ™¯­ Ç A27 | 97 5 4S‚X9@1tIR ° © Æ ® U4  ­ Æ ®ÿ XTi“ ¯ eIq1PIeFSz74XC4—˜…3AV0P54€6¥e05 F G 2 G w FAI f Fp 0c8bw‘T}”aq1Hq8FDG3wt06Rcd@tIdœE8bh30e0h§hjd ¯ sysebXGF u `YXGVF@º7X9˜XfeFa8THG˜e0@4Q4@…”“X°jÄsyˆ G ‰ ˆ ‡ „ 0 0A 5 R G7 G T 0 ‘  ¥ ˆ 5 F T F GI2 A27  ¥ 0 F f7i ˆ ‰ ˆ † „ 0 0A5 R 2 T FA 0 G 9 57gT T T 0 G5 R 2 T FA 0b cP2h@c’Ä3‘T}‡‡@XqeF6G3wt0DR4Û1tIa1PIVFeT46pewXT4y48blPT69P0P9S87@EÈh3f80vG—VYre03Tc8b£1tIa1XIeFeTc3pewXT4B4}{ s i–s ts ˜ ” m  ”–Œ ‹ ’r‘Gvhr™¥pny…Ž‚QAQ¡Š ‰ˆ6‰ˆƒ ‚ ‚ z“32hefVT3Te0VT@q`YXGPFX94@87VG‚@37PwVF35h4€dc8bpP2‡X01eIh4q±YP74g G 0 T7 FW T9 0 fp2 0 G F 9 5 I2 9 eT@8I6G6w1“32@P(3Fr4ebS…3f80vG—VY4621P(6Fre06GX04˜@3ImÈ1tIœ3™6548bvG4E|SP04@87VG‡HYP9@e785c6p4‡HY41ÈPTa1PIeFcPp@eIT 5 0q 0 0 0 G™ T T 0 0 9g f w 75 R 0 5p¸  9W T 9 G 02 92I F 2 G 9 0 G 0 c8b”e035cb u P069ewP56F‡XGc4i48b©1XY69e0PT6F3wV04‡@—eI—•Ë@EXg3F4X2eF4ic8bB@#1XI8FS37jXI’ʸ6G6we0V513IVwÉc8bG w F2p 0 G 2I 5g GI 5Ì  97 w 5g 0 G RI 2 G w 9 5 ¶ 0 6T30@P74udbXw4b u 694jha1PIeF6G6w1“13I¹wD„Xw4jXIeF65tB4ebÇ@tIÈVT43p6wjBe0Sz7r1XqeFXGVF432V04ebvP2@1”|6†T}‡‡„ w 9g F 0AI f 2 0q2 FA 0g 0 G5 R 5 wI T w 0 T T 0 G F7( ' ‰ ˆ † 5 R 2 F2 0A FW T 0 G G T2 w F ‰ ˆ ‡ „ 5 R FW TRI 2 F2 0A Fb @tIe1PIeFXG4EDC4d`YXGXFP94@87VG4eb”ebXGF u “32e0VGPTVF416IyPTB†Tgh‡r1tIa`YHGPFP9c@d7vG£@i@PI8FHG4EDC4BPT4}{ 02 9 „  9g f S4@P74`gt¢DiX04˜@3Iw 0 G F w F2p 0 G 0 T F 5I 2I 9 Tp f ®Y27 57 0 G F Tp 5p T A27 97 w 5 c8b‹P2iP069ewX53FaXGc4”48be4XAeF4X2a1§@eP0XFwvG4e‡c€S”e0@˜e06548brXRÇ3™c1PIVF44egQ4@’@EPg6F4P2VF4g eb@t ­W 3T4Xp@S€621P(6F0 È4ebwSvP9@m1`YHGPFX94@d7vG‡@z7XweF65˜4€x1tImz™SEebx3T80œd7VG»1XI8FHG4416I…XT4}{ GI 0 97q 0   0 G RI 97 ™ FW T 9 0 fp2 5 R G7 G G T 2 FA2 w Fb Ç A27 | 97 5 ° ® ÿ oc@§X9@1tIR Þx Æ ® }4  ­ Æ ® 1“ ™¯­ XRpHY41…4@ÄXRaX04@d7vGqHYP9@37PwVF35h4€}PT’jc8b6Ghi4X24dbew@˜f F 92I A27 F 9W T 9 0 fp2 F AI 0 f ( F 57 D„hPfeFxwh3f80vG—VYQdb4ep‡1tIt1XYV9@z7X0”c1u  †ÍcÇsyÛ3™eT@—eI`5lcP0cPg8FHG4ev@tI#1PI4SE˜@3I‡8THG‹4@7 0 G 7 T T T w T 5 R™ 5 9 Ÿ   ¥ ˆ GI „  9 9p f 5 R 2 F27g f w F A2 “    ¥ ˆ RI YA T 7 f R 0w2I G7 9 R  ¥ ˆ F G T 2 FA2Iw 0 G G ( F 5Iww °·c|sB}@sj48pvGoè1VIt5q34@uSdT PIX91tIÄ™ ¯ ¯ sB§P2e6e0Q1XI8FXGc413˜48b…8I…4P24VA136@7 ™2 w FW T 0b {  T T 0 0 9g f w 7 YW 0 0qI( ‰ ˆ ‡ „RI T 7 0 T2I ‚1XIeF35e0XGVF35a`YXGXFP94Sd7VG4}’…3f80vG—VY4621P(6F80DGP04h16I”e“h3A4V235@Ì@’†T€”‡t@y6GV0”y654PAVF41Ÿ ¯ ̰  s i–s ts ˜ ” m – k j i — €rWvu2hrq'ponW§'l€™‰‘ …„6‰ˆƒ ‚ ‚ × c”}Ý ©’urlB’—}}¤Gvg3ÒÇrځvcÇ× ’dtc—×qovâÈá—±ÖÕ b Ó ‡ ß Ý ÓÎ àÓ Å ÔÓÄ à Ý Î a à Ð Ü Ù ÙØ ÐÒ ÓÎ ÐÑ ÃÓ ÙÒ Ö
  • 134.
    7 X ë F û þ ¤ ù 7 # @ï # # # @ ¨F 0 3 vXY R3 C¨”ïRC3‡C#‰ÿGû”âR†C#)y·3Ëù 9„çþ'ýÊü°Xû ‰µR3C¨”# ‘ïõ R@X C3ï 7 #AX8$¨'Bƒ©47 #P ø y Q ø †# ‚øQ 8B# Y ”¨· 87# R3 ‚7 ¨ ( ø ‚C¦ËC#C38B‚'B£ê#¢ '0'YC#9!¡X B 7X©A7¨¨ ây§'B9C#87AC#vI1îQ©²'Xõ ë §1B#¦ ©#¨ (¦v™uÿøRTC¨3©C¦11ï)3u†F…)#(°”§§©9C¦ü#¨#'Dï$ çþyÊü'ýC3°4‰þ „ú¦þ¥¤ù ‰F¥ýB ü‚Aø #sR÷7 3C¨”B ïRC3!AX8$X ¨'Bƒ©4™©ƒ3‚'Bê#¥0#B 3P R§©C¦4(C#PCï‰'B#E¨ö ™ ‚$ô qó §C¦T7 'òñ B $1¨(°RRP§Rê3u8F”†F'#©‡I6Êë6™3C¨A9'7#'B148í6'@#©R©RËC¨H7B3Yì 3 A$1¨P(9°8ð3ïX ìhIR43H7##'B 9)ë¨ °I(1îBï ê3”rv#F0¨ 8X”# C¨”©y(‡PP©C¦H#B@H3BF C3 AH‚R h‰¦3C¨PACï6©'@¨ §#¦ ©Ré¤X ì 3©H X3ì BH B 0 # #7 #ì @ B # ¨F X ¦ ¨ B ®° Ì1H° —¯­ Ý Æ Ý Æè Ý ² ¦ÆÆ ²§ ‰ ¦Æ‘è ² ¦ÆÆ µ çÆÆ x ¦ÆÆ ²§ ‰ ¦Æ‘”çÆÆ ² µ çÆÆ x ¦ÆÆ •§ ‰ ² µ ¦ÆÆ ¨ ¦ÆÆ E§ ‰ ¦ÆÆ 0 7b @zqEw0 u ™34@PI8Fœº739V0d`YXGPFSE€3¥4X2’P56F48bi4@’vii 4432l4m~60e0 ­T hef14¹2cuHiVF85S˜”4@r18IDG3w@v4P2VF4”4@7 T2 G 5 97p 0 F 0 G A27 ® ' FA 0gg ' T 5I „æ G7 f A27 5 0q ( Tp A2 Ý µ •§ ‰ ² À¨ E§² ‰ A2C ™ ¥ˆ G 2 5 5 9g T ( F 9gg cE‡0 u j”zX° ¯ syh8I’1PIVFeT46p3wV0vP04hPfVF”4P2—XYc4”'  0g 5g G2 5Ig F 27 F F G™ 5 9 0227 f F 1`YvG35l1eI4U€Sd7VG@thPf’@XT}PT4ebc1HYe9@37P0Ÿ 36544@˜}PTc8bG X2peI6530h8Ih16g80VGahPfeFo4@q4P26F@EVgeb6T˜d4eb~@o1XI8FcXp1eIm6G@c…iu4ebheI”3T 1V(35@€@3I~XG|XRF F Ê G I( T 0 G A27 ( w7 T 0 f 0 G T7 2 G 9 T w7 0 0 G G 0 0q2 w F •ED›—CåD@œdšTPT”jc8b6Gh»’c1“ ¯ 1PIeF6G6wj˜P2p6Ae0eTc3pewXT4B354ebVG4tp’XTBPT4}y…±®e0Sz7}PwXF1leW35l—“~c8bG ù ùä›  F AI 0 f '  2 0 F T FA 0 5 R F Fb { T w 9I 0gYb 0 X24‚6Acjd² Ü ebXGF u ­ eI6530ueIw1q3g80vG˜Xf8Fmc8bq4Se4X23F@EVgpeb6T˜m48bB@BHG˜XfPFm48bhP2z®e0462e0T F™ 0iC Ê G I( T 0 G 0 G A27 ( w7 T 0 f 0 G T7 F 9 0 G F T 6TP0eF65e0m1PI—zY|u48bX2 ­F 1eIV535x4‡6T3044—eIc”HGBXRÈED›rùD•P“D˜cœdšvPT#—48bDG˜f ”½ED›—åD@œdšvPT”XGF T 5 9 7 { 0 G 5 0 I2 wpA 5g F F• “›  F AI 0 ' • ù ùä›  F 32c8b£ED›`ùD•P“D˜cœdš‰4@}4œ7 Õ @we0462e0a4eb’X2 ­F Pù9e!¹–D•”XT’j4eb6Gh‚@37PweF65˜c—i|XR43™SEeb~6T80S87VGT 0 G• “›  A27 ®i RI T T 0 G f “ F AI 0 f9 0 fp2 7 F G7 G G dbPwcb u iRÀ8ùœdšE§v“ â4¹Û¢1c1eI4eby3Te0XTeF@w`YHGPFP9c@d7vG£@”1XI8FHG4E6CcyPT4ebt@}604@37EXC4@P(eF~4}{ F ™  ùdã á –à b(p 5 G 57 FW TRI 2 F2 0A F GRI w2 w F2 T 0b 2 w FW T F G5 ‚1PIVF35e0XGeF65q`YHGPFX94@d7vG}PT4ebU1tIR 2 FA2 w 5 02 7 @PI8FHG4416IpvY@87VT3T306w4uPTF ¯ ¯ X2q1XIeF35e0XGVF35”c8beeI€‚X2@˜14’3Ajc~e0P5eF“32v4ebU35@Ì6Ie8Ir354VA1I F 2 w 0 G T™ F7 fIA 0iC G 0 0 G 0q w G 0 5 X2x`YXGcEcP2”eI”@mvG4es§²6™43ge0VG‡hPf8FÈ@35le4€a4ebsceI3560”8I”1}PT@Svq3580“X2oVb3Thdc8b}@7 F F2C F G I( Tp f™ ß T T 0 GRI 0W fp2 0 G™ Ê G I( 97 G F 0 f 0 G T XYV9@z7X0Ä1`YXGXFP94Sd7VGÄ35@u8f“dbPw¥Þ€œ7 Õ 1dœ7 Õ S”eIe3Ae0V535t0DRe0u6280fG@ÈPTĹGÇ1`YHGPFP9c@d7vGE@d1PIeFXG4EDC4A 5 9 Ÿ  FW T 0Y G F „i 5I i T7 G 5 RI F ƒ FW TRI 2 F2 0 9@z7XweFeTSº739”4ebvPTaPTc}hj² §Ü 6Acj’a1tI’eI6530…8I‡€4P2VF4ebQeb6T˜”4eb‡@ÈcE§² ‰ 3™1eI6G3w@#1PIeFcPp@eIT T w 0 G F Fb {  0iC 7 5 R Ê G Tƒ 5 T 0 f 0 G T7™ 5 0q 2 G 9 3Ac441l…u3T6044—eI4Äz™•‰ 3™1eI6G6w1ÄSº78FHG4P2§3A4c41l§“@UXR”P0c@d7vGqloeI§PAS87aPT’”zH° ¯ syˆ 0A2pIW 7 wpA 5g Ý 5 0q9 F F 0A2pIW Y27 F 9W T 0W G F T F ¥ ® “”zH° —¯­ E§² ‰ µ ¨ tz³E§² ‰ ´ PTeP74eef@tIUPT4ebÄ@vG@E416I432@1˜@4wc}yj· ¯ ly|@I Vf1tI‡48bpX2eº74eVf1tIR F 9p 5 R F GRI 57g Tp 0 0(I fIb 0b {  ¥ ˆ R 5 R 0 G F 9p 5 d®6T4@º7c`gD„hPfeF‡I u @H™@‘0— ­F 6916qX0`9SI u ”a8I©‡B}4ebE@u1XI8FS˜PfjzieIc4@Qh‡Bc1}304c3Ae0B—…imÉ 02 9 0 G G  0 „ G 7 G ˆ † ¢ 0 GRI 2 G7 F 5gg7 ˆ ‡ „ 5pI wp 5 G 0 Ø µ‡ ¨ Š i‡ ² Ü 2 G7p 0 0 G YW •  0 f 0 G iC A27 w7 T A27 0 G GIW F w7 Fp 0 F G7 1PIeFSE€3¥a4ebx“v—š½˜@V–§Vb3Thdc8bxc’4@w30SEeg’4@v˜Xf8F’8b@l’P26A30@4egPTc—6¥}PTS48bG XAeF1œ5 ”…8bHGF u X2@˜14}PTc8bm651±qd{yþ—Ú4@þ½ªv×P24ebXGF u 4P2—HYxP2@˜14d30@4egT ( 7 F7 fIA F G 0 I Ÿ  Û x Š x z A27 Ù x Ø x z F ( F 9 F7 fIA w7 „DhPfeFw80HG4E”a6G4Vp85vG413ImVGVTP5|”@V0432V0w60@Eeg¹TD„hPfeFw4eboP2p`YXGPFX94@87VGe446C4m4”DGP09 u mÉ 0 G F2C 7 w T2 w F ¸  T T w7 0 G 0 G F FW T 02 0A Tp I  Ê w7 5gg7 97 G F 0 f w7 T A27 0 G 0 G GIW T 4eI6530…db@“VI44@XT@SVq35e0“P2’eb6T˜d30@4eg…4@‡hPfeFac8bx8b@l@7 VT3T30—eIc#dbew@˜d˜Xf8Fwc8bX2#3Ae0S87654321ue0@m41XI8FcXp1eIdP04S87P5VF3T4”SEebu30e0€S87@E@Äœ£wd“±ù—… w 5g 57 f 0 G 0 G F G 0 0( 57 T2 G 9 T 9W 0A G7 G G2 57p( •š› š TX4}p h g  Š¨ a@s3A44c1tdPTdS48b‹1PIeFcPp1VIy@z7XweF65˜4€…p1zqE|P9P9F u ‚eb6T˜˜30@4egT Fb{ Š T7 0A2pIW F G7 G 2 G 9 T 9 0 fp2 7 0 7b ™ 0 f w7 †…jrTh1VI©1I ‡Bx7 1eIt5©680Se73461Ûo680vGjvY…VY@E@PI8Fœd7VGp‡SE8bw380“@e7@E1md“±—vXT4}{ ù¹ Ö 0 f T 2 ˆ † ¢ f R A G 5020( ™ f T T 572 G T 7 G7 G 0 G2 57p( ùš… Fb × âÓÒ×Ü× Ô ÐÓ ÙÚ ßÝ Ü Ù ÙØ ÐÒ× Õ ÔÓÒ Ñ Ð Ï #rÄÇBÇávy”ràÛ€}ސ3ÒÛrÚ”4ÇñÖxBÄv”m’Î “ Ḭ
  • 135.
    4 3 BIï)H #Pï R ¨ C¨ $C¨ ¨ F©7 $h ¨6 ¨ ¦ R©ì 7653 37 ¨ 3‘AXP98ð(úRPC¦â8#yIì 0A0ËPRïY #”'B¨ (©#F §‘†B¦ AX)#‰9CB °¥8$H©©6©¦R‡RPêB 3 ¦0 â'$c1C¨R'B7 3Q1”AP(¥3lCëRRB7 3 C¨C¥P'#$8 17¨8$ÿ©# ”QP#F C¦©l1Xë”PCïP¥¥÷rS98$ (' ï # B3 7 X # ) 3 # HB 3 X 7 Xï 2 1 0  FW T 5 R G w ˆ T GI2 GpW $ 5 02 F 2 FA2 1`YXGXFP94Sd7VG}@tI~“62P03FhcVp~@4~c4‡%vY@87VT3T306w4}PTx@PI8FHG4416Iw T FA 5 9 0 T 0 G G7 f 9 0 0( 5 R Tpb { 2 w Y27 YW 9W T2p cPp4@e7”@e785DG3wleg#4eb}3™3T60PwVF85S˜”@e7354621q@tIp4€}À‚1XIeF35e0XGVF35g€Sþ“#P0c@d7vG44qXTF AI 0 f 0 G™02I 27 G G 5( F G7 f ( F 0 I( ž›– RI T FA 59 0 T 0 G —4eb6Ghu4eblS41#@48b3580œz7e0@mXT’HiVF85S˜p4X24e2651±q1aE@~@~4Ppc@87È@87e56G6wtVgu4eb’¹Rƒ ü 63T30XweFe5Sqa4ebG G7 f 0 RI 0 97q 0 0 0 G 2Igp 9 T A 0 0A A27 G7 f w T G 0 0( G7 G TAI 0 @B3TcPp@S“321X(3F~48bh1l4eHY39P0@eIp462t6g4qc@B3T60PweFe5S˜pdb4ep~80œ8735c321SEebBcj4eb6Ghf 5 R G w ˆ T A27 5 02 GIW 57 @tI…“62P03FhcVp»4@yVY@e7eT6T303wcþ8b@l‹e0@hP7eF6580XGVF35Qe06T4}¤36T30XweF85œqx“@P743pVwP56Fw c@7 w 0b{ G7 f G2 9 A2 ™ 0 f f T7 ™ 0 f f T 0A w F Fb { 97 5I2 F G7 f ( F 0qI( 0 G 0 @XweF85DG˜h—VY@’@PwVF85DG˜h—VYe6T44Pp694P2wPT4}o—@˜ef@4uXTQHieFe5S˜©4P24V235@Ì@p48b–624b u T T T 572 G T 5 R 9 G 0 F 57  A27 T¥ ˆ F h3f80vG—VYoVY@E@PI8Fœd7VG‡@tI|@z7Xw8F“32cPA”e0@xÌH° ¯ 4@’1“ ¯ 3€yQP2pº7VF35e0XGeF65`YHGPFX94@d7vG”4}{ ü w FW T 0b 6†T}‡Bd1Xq@eI”8I…3Ae0c}4jc8b6Ghf ‰ ˆ †¢ 0 9 T G Tp TAI 0 RI FW T 9 0 fp2 0 G GpIW7 T2 T w2 w G2 5Ig F @o`YXGXFP94@87VGy@37PwVF35h4€hc8bac1l@d41XIeF4Xp39416I‡“@d7vG1l˜XfI u G u 874h0 u c1PIeFSº769e0he03Tc8bG 5A T2 G 5 0 f 5¸  FW T 5 R G w ˆ T A27 5 02 GIW 0 f 0W  ¥ ˆ™ T w F G ƒ  1eIE~1`YHGPFX94@d7vG”1tI”€62P06F˜jep©4@#VY@e7eT6T303wc©8b@l”6T˜16I3wl˜ÌH° ¯ syÛ@V0@z7mPT4eb#`2”@`YXGF H„@E€6¥p@U6T˜@3I3wl”@X° ¯ sypX2i`YXGXF@E€3¥cP2x416I3wV0”4eb1—™@˜ef1cXT©x624b u @e0@˜Vf354ebVG4E¸ 97p 0 27 0 f 0W ° ¥ ˆ F 97p 0 F A2 T 0 G 97 5I2 F ¾ 0 ™ 5I 0 5p 6˜Vf14tP9@’@a²—PDšf D#Pšv48bUXT}4Ppc@87Ç@e7856G6wtVga4}j T 5I2 97 RI …›ƒ ù e 0 G F T FA 59 0 T 0b {   TI T2 G F Se01legc@87e5U8TXG’ebXGF u 3Te0ceh13I}HGF Gp f f w ™XS†0™c—™SqVf14PTpHieFe5S˜w4ebo624b u ef1c2 œ u8TXGXTxHiVF85S˜”y@4Xp4@87Ç@e785DG3wlegd4}1°  F 97 5I2 F G7 f 0 G 0 5I Ù F F G7 f 7 RI T FA 59 0 T 0b {  û I2 ‚2 u 4€ƒ 9P390 u V0@ihef14Qi eFe5Sq–c@XF4@e7U@87e56G6wtVgg62300 u 6Gls1XI8FSP739e0q48bej1tSi8TDG@½7©I u { 57 T 5I2 G7 f A27 FA 5 9 0 T 0W 2 G 5 0 G GpIW7 w R ! À  š › ù ƒ  Aœ£` ER½• – ˜ “ ˜… e ù “ ù • ùd ù À “ ù • – hP“e€Áƒ@!V–ÄIe–½D•EuEÁdsD›EËqI3–uEÁdi8ù@½–…˜D`ùf•…˜D¢EÿdeSE8bm@z7X039vXT‡¹Gw µ @¼ef14¹2cµ æ  ù • G7 G 5 w F ƒ RI 5I „ 7 G G 5 F FW T ™ ¥ ˆ ƒ 0A F2(7 f fp Fi7 f RI 0 97q 0 0 F  F …8I‹3Ae0Sº769e0aPTo`YXGXFP94Sd7VGÇj±X° ¯ sys`2”S448pHG41@˜ncePfjœ˜ShcPp@S“321X(3F‡eTXGÈX™S†0™È™ R@Ia“Áƒ@!V–IV–½D•E…4eb8IQ3Ae0Sº769e0uXT©`YXGXFP94Sd7VGÄc1• ¯ 4@o“ ¯ 3€y€`2o—ÌX° ¯ syhP2s321Hq1( “ ˜…  e ù “ 0 G G G 5 F FW T™ A27 T¥ ˆ ƒ  ¥ ˆ F 0 F G7 œE8bGh8bXGF u • ¯ 4@e1“ ¯ 6€BqP2p621Hq14@PI8FHG4EDC4i`YXGXFP94Sd7VGm48b~80SP739V0u8Ip6A304”0 »u mÉ A27 T¥ ˆ F 0 F( T2 F2 0A FW T 0 G G 5 G 02 u I  FW T5 1`YHGPFX94@d7vG}1tIR 2 F 2 w  “ 7 T7 Tp RI F Fb { RI 5I „ Y27 G 5 @PI8FHG4A41I6|•ED›—ùD˜ª¥Rƒoa@s6Ae04‹6280fG@vXT‡PT4}w µ @¼ef@4`2cæ €SueT€62e06Te046ge05 çÆÆ µ ¦ÆÆ e0654b u 0 ® 1ÌH° —¯­ ° Þx ¦ÆÆ µ ¦ÆÆ HRFo6A0444@t}XTm1eI6G6w1p1XI8FcXp1eIa4ebs£3A44c1t}XT18IDG3w1e87SEl@º7eFXG4X2dc8b‡304X2j A2pIW F 5 0q 2 G 9 T 0 G™ 0A2pIW F 5 0q G7A9 F F 0 G w F × c”}Ý ©’urlB’—}}¤Gvg3ÒÇrځvcÇ× ’dtc—×qovâÈá—±ÖÕ b Ó ‡ ß Ý ÓÎ àÓ Å ÔÓÄ à Ý Î a à Ð Ü Ù ÙØ ÐÒ ÓÎ ÐÑ ÃÓ ÙÒ Ö • °Ì°
  • 136.
    $ï 7 #V 7 ¨ F 7 7 ï ¨ F # B 0 o F 7 l X ï # j 0 3 # X V # D i B 0 g @# # PRvR31¨C¨PEî©G©¦%Rê3âPR·n1m3•RP98ð—kR%†©1ïRs8F”©e(ê3sh8BC#'(y8X1ë#Y RRVB C¨¥ 8$H I#)H†C#”÷B 8÷# 8C#RX 8GR3C¨7 ¥¨ 8$(9(¥3$©ì RPuPC¦2RR˜f¨¨ µRRì3 3Cïë 10 R‘8÷B ed™ ¨ 'B©¦)©êï1ƒR•X1Xy‚ú(Éø©{(C3P™!†F)#8#”©(µ'7'#IËRP68@C#)4CëP87R˜ '¨RƒC##Y RV8C¨v¥AX8$ê#¥¨¥0†$©°‚CHF## A0Q‡3 ©¥8$C¦2A0—ÿ# ©T·3©#)¨ §P¤¦ 'ï– C$”F # B 0 ¨ @ 3 ¨ ø # ø 7 3 3 7 @ B ô Y B F F # ì ¦ # #R $  w F2p 0 G ›š › š 0 G SP069ewP56FXG4cdc8b”œ§œ—š™˜f•D˜±“E•4ebi8IG 6T80SP739V0m1VIe565ee0@44u4}…Ì4‘Žc‚sye60e0 ­T 1eIV535U±ùœc”4eb’@qcP24eb@4”cmXTP939e0XG£3™6G6we0e5@3Iw G 5 5 0 T7bg 0b { ®°  ¥ ˆ 5 0 “–d 0 G RI ( F GI2 Tp G F 5 XT#1XI8FS87€62e06Te046ge0uc8b’@}—‘)ƒf•˜ ²“Ix4eb”S48bxXYc1”4Sz7hdX039VwP53FmXGc4u4ebpœ”d“—ù˜ cHG”S48bG F 2 G G 5 5 0 G RI ù… e À– 0 G G7 G 92I T2 0 f w F2p 0 G ›š e F G7 GD@½7i4}” ˆ ’‘Xu o4X28F“32V03TV043gV0‡PTaXG§324b u   4X28F6GV04eg6580“P2‹X2y4tp6RV0@z7”lwvG4e”§h63T1zq37P09 w R 0b{ ¡ ( G 5 5 F F 0 ( 5 G F F9 5 w 0W Tp f 0 ‘ 0 35@6q4BHGqdbXw4b @P069ewX53FrXG4cm4eb£@~30c R 0 02 F F ™ w F2p 0 GRI w Ât065e032h w 40 G A 2 5 7 0T G 0 A I f 2 0 q F ‰ cRf 3pIewX53F0 ~48b”474@fp eI@GPT691zq' 87e5 4395 4—˜˜1e6GeFFPI 6w1“1@3I92 7 Xw4W 0 A 8bÂc 9‰©4peFP2¨(  “324e0ý —™6T69e044j6gA50 hp601@PIw2 87eFe56G˜14“ebq006wG 1y3IG2 3™Xw43TF V0a@4V0z70TW 8b3541X25wG tIF 4‚4@@4h44eb8p@HGG 4a14@8b(02IF ˜p4reb„0 u”’@VYg @EpX2¨7 1ÂF @”˜SPfT7ý( pP2—@zYFT P(eF7 @u5 du8bPTFG €G { G I e05 ’ f R ™ A 2 7 }350 xv h« b G2 h 7 Ic 0 T4VA@7 u eI|4@374€394—hw1XI8FS4PgeFVTPT448bm4P2eF€62e06Te046ge060@87e54eb13™6Te0@37e035cP2F  t@B448pHG41@˜f 5 G TA 0b 0AI f 2 G7 FA 0 G ( G 5 5 w G 0 G T w ýRI 0A F2(7 0 G T ' 0 G7 02 A27 9 5 ý 0AI f 2 Tp FA 0 G 5I¸    A27 ¨ 0 c8bwmoS1Hq8FS“6(4sc@Sz7e0dPTF  |—™39cjh§@PIeFc£Hø4q4ebd@s’@° ¨ “4S#z – e0654b u 04Pp@S‹4P2eFVG@87VG…48b˜8T“32V03Te0c3ge05 ü 4eb˜6Te0@37geb@tg`2ƒ ‚1XI8FDG3w1“16IPw4”1k1XIeF4tXø4”6548bHG3F0 97q ( 5 T 0 G G 5 0 G T w GIW 2 0q2 FW 5I 2 Tp FA 0 ( G 5 ¡ YW G 0 0( F F F GI „  0 G RI w G w7 0 0 G I T 5p F 4X28F“32V03Te0c3ge05 ¥ˆ¢ ö“Q3A80œ8735c321vXTvHGHRv@—eI¹5tµ4ebrSi30@e785‡6GS4…ii48b‡T u 4VbiX° ¯ e041X(|¸ x f ‚ … u u f ‚  x x w u s d p h f d ‡b#†„ƒ£0%€yvtrqigec a2 0q2 Ìb@PI8FDG3w@€@3Iw Pw4—PIVF35l#4@1PIVF4tXø4”4X2PF39cjh”4@PI8FœE€3¥uc8b1tIR  ”35e06Gh@87@4u4eb’@#1XI8FDG44tph”@7 FA 0g A27 2 Tp FA ( 0AI f T2 G7p 0 0 G 5 ý 0 f 57g 0 G RI 2 w2 R 7 T 8T@—eI¹5t  4ebU@d43p—PIh4eb˜30S8785…8Is6A3060jVI4yP9X9F u 0 u 1eISz7e0dPTc8b‡1E’@4Sº74u9 ¹gtÉDiX04˜@3Iw GI „ 0 G RI T w 9 0 G w G G w 5g 2 T 5 F G 5I¸ 02 „  9g f 0 G F w F2p 0 G G 0 G 5 9 G GI „  0 G 0g 0 Gb F f 0 G T7 0 Fp c8bxP2vX039VwP53FUXG44‡c8be8Iv@XqeFSº769e0”X0PFieI8T@—eI¹5t­48bDG3wlc…iU“1X(˜a0 u V0354b eIU@‡4XA41( G F 0q2 w 0q 7 T7 0 T Fb { 0 97q 0 0 ý 0 G A27   0 G 0W 2 G 5 7 A2 “32X0432@€@3IpvY35@w}@6T1Vq65e0UXT4}y36T4PpS@“621P(6F’ac8bq4S‹h48bx62300 u 6Glq1XI8FSP739e0w’4EC 2 w ™ Tp ˜ w7 5gg7 F F T 0 G ƒ RI 0 97q 0 0 0 G 57 ÿ  0 G 0 @37w0 u ‚3AV04P“§db@1eI44S‡80DGe035VwPT4¹AH„h3fV0dc8b|¹Ry µ @3T4Xp@S€621P(6F‡48b‡V0@»4­48bae0654b u Y § Ø Y   `Ü Á ””è Á E§ Ø ÿ qÿ Ü Á ””è Á ‚§ Ø ´ ¥´ Ü ¨ E§ ‰ ² Y èè ÿ ²  èè ´ ²  ² T7 5g 0 0W T 97 2 @©6Ae0VT3Te0cc…iat—zY7 u @Sz7w vG@E413Ic3211h14m48bd8Ih1PIeFcPp1VI”4ebj…3fe0VG—VY4621P(6FUXWe06GX04˜@3Iw@Eb µ XR~e0@˜Vf354ebVG4E¸ 57g Tp 0 0(I fIb 0 G G 2 G 9 T 0 G™ T T 0 0 9g f w 7 T7 F 5I 0 5p ² § ¶ ‡E§² ‰ µ ¨ tz³E§² ‰ « ´ YW G 5 5 0W 2 w T2 G7p 0 w 0 FA972C 0 G ‰ ˆ † ¢ RI T 7 RI 2 G7 “#3Ae0€62e06Te046ge0‡lo@3741PIeFSE€3¥a60432V035tXø4Û@4E‡48bE3™‘T}‡B’@~DGe0i’Sp1PIeFS˜PfF „ 5gg7 ( w 0 FA 0 G A2C G 0ƒ G T w7 5gg7 F F T 0 G GI2 5I 0 0b €zieIc4@w4P26F432V035tXø4~48bh4Ea8Iq62@@87rS7 u db@“eIc4@~80DGe035VwPT4¹AH„h3fV0m4ebB@4B16548bDG4»‘ 'Q¥’” ‘ …–l¡Vh– ‘– y…ŽËTRrªSQ‡£’ ‡ ‡uªQIG 8†ƒFƒ kŒ ” ˜ U  ˆ —  ”– k P sŒ R – — — PH ‚ ‚ çê t D #e9qxEÏ C A ç t B6öé ˜)Ò #yï ö í ç ð zêx’‡~©h)Ò ‚6ïzò4t©cp½s·zìBlç ©«» ò ôï éçì êí õ ò rqï i tq òg ö ¼ × âÓÒ×Ü× Ô ÐÓ ÙÚ ßÝ Ü Ù ÙØ ÐÒ× Õ ÔÓÒ Ñ Ð Ï #rÄÇBÇávy”ràÛ€}ސ3ÒÛrÚ”4ÇñÖxBÄv”m’Î ä pã @ ¥ zÍ ±°
  • 137.
    9 7 w5 g 0 G G 7 G  F f R T T 9 W 5 g G 7 F f I A 2 G 7 F Au G 9 g g @EXg3F4X2eF4x4ebeSEeb· ¯ 4X(|¸ @eIt5x30V0…u 0 u h3fX041eIch3Ae0SEP2h14s1PIeFSEPgVFeTXT4©8Ih6AP0PFc4@7 32c»‘ ÛyVY35@6qþ“W 3A6044—eI4x‘T’  I #V0@‹e06548b©30cP2eF~‚—48bDG˜p@jVI`5SI s’PTxXT4}{ 0b ý 0 0 Y wpA 5g ‰ G 57 0 G w T ™AI 0 f GI „ G 7 F Fb  d w u x Œ gk¡i“’ ¡‘yb%e‡  d …s x ‚ x c  T w F G F FW TR @e0Sz7}PTc8bxP2˜`YXGXFP94@87VGÄ@I 0(2 5 I2 T7b AI 0 f 0 G A27 F2C 97 5 R w F2p 0 G 0 GpI 9 R w G „  0 @4@87”4}SE’j4eb6Gh‡48bx4Ss™  80XGcEtX9@1tI”X039ewX53F}HG44a4ebv4PAVF8Tc1PTX9@½7v30@e785Btlc8bG 2 0q2 FW 5 R Tp 0b ‘ 5 0 A279 G YW A2p R F F RI A27 G7 0 0W 1XI8FDG3w1“16IPw41tIp3AV04x32c»|D8®1eIV535p4StSº7eFe5˜“pc41tIBPTXGp6280fG@pc@p6A80S˜PfeFVG3Tmtu8IG T7b ýRI 0A F2(7 f 0 G 97 z ý x „ 0(2 5 0 G5 R 9W T F F T w G7 F fI SEht@r44epXG4@@q48b‡HYP9@EVpT 9Ž­ cGx  þ2vB14@e7U48bÈ1tIX04@d7vGÄXT’HGy3Te0Sz7u6A80S4P2h14A „2 G7 FA 5 R Tp 0b ‘ AI 0 f 9p ˆ 9g 0 0 G 5 R 9 5 I T 5p F j1XI8FSEXgeFVTPT4a1tIs6Ae04§324»h‚—48bDG˜d35X04ydXG3FXwPF4j…i˜4eb‡1tIdeTXG4Vp3TV0uT u 4ebx ¯ e041X(|¸  d w u x Œ … xz h v u‰ f‰z x  v ‡ gy%„%9ym}‹iŠ9qg“ˆ0‚ T2 G 0 Þ « ý 0 fI  9W7 c1PIeFSº769~É  ˜dh1jr1H° ¯ X04@Ä{ eb@‡4P2X9oÆ GŽ 0 F z ¨ ®  ý  Á ­° ‹   ý $ |®   ý ´ ~ ­° œ   « « « ކ ‡vÞ z ¨ $  bý $ ´  a  $ ý «° « ´ œ « ý ´ ¨«  ý ´œ «  €þ©  † dvÞ ý «° « ¨  «  z œ œ ý œ « ý €þ©  (7 Ê7 @E6A@d… z  ý œ ©   ý œ œ Á œ Á ¥ ´ ®  @ Á ­° «   ÍÆ€ }•' z ¨ ®  ý Wœ Á  ´ Á  $ ˜Â Á ¨ ­° ý œ ´ ' ® ƒ œ ´  ý W œ œ « ý œ ´ ­° « «    ÍÆ ‡' z  ý œ ´ ´ ´ Á ' ®  œ ý œ „Á ´ ­° ’®   ´ ý œ W ´ ~ ­° œ   eA5S7 u dƒ@U‚#cS w7 € „ A2 z ¨  Á   $ |®  ý  ~ ­° œ   « « 97 F 0g 5 @EXA13I6ÊtS87È{ z ¨ ® ´ Á |  « œ « ´ý œ z ¨­° þ®|® ýœ ´œ k~ ™°­° q   65P04yUXG3FXwPF4h`fƒ 9pˆ 9g ° « ý  « ¨ « Í€ U•' z o ý œ W ´ ©   ¨ ý aœ ´ Á ¥ ®  ý œ ´ Á ­° «   € }•' z  ´ ý ´œ œÁ ¥ ®  ý …œœ Á ­° «    ( Rg 1VIt5c@z70 Õ z ¨ þ     1k« œœ   ° © ý « 35P0cB~HG3FXwPF4j|ˆ 9pˆ 9gi z ¨ €þ©  ý «° « ±Í°  ̰ ° 1° z”° • “ d ¯   Í  ° Ž 341XI8FSe785vG4PpX9P9a48bq€3Ae0651±q3I‡V0@U6TP0eFXGPFX94PWVFeT1lg T2 G T F 0 G YW 0 w 57 F TI G2 5Ig F 0 G RI TI Æ T w 0AI f 0 G F 0gg7b 0IA G7 T7 T7 T 9W 5 “@d7vG1thPfq48b}@eVG1o§63Te0Sz7r394—˜q48bsX2–32l4@Eu3T—4iSEb u @X9390 u @u˜6fP041VI4g 6A80S4P2h14`A—1PIeF6G3w@“13IrPw4—PIVF35lÄ@w6A80SEX2˜@4‚v®j1XI8FS4PgeFVTPT4È1 ­I —1PIVF4£Hø4veId6AP0PFc4@UV0@7 G7 F fI „2 0q2 w FA 0g 5I G7 F fIA „2 G7 FA5 „2 Tp FA G 9gg7 5 TAI 0 f 0 G F 0gg7b G7 RI 9 Fg G F I T 5 F 7 0W 0 G G7 G 9g F F cj4eb6Ghi48byHR‹32l4@EÈP9X9F u SEb u @’Sz7Pwcj`YmPT‹2 u 4ebv@PI—zqE3bli48b”SE8b…3AX0PF4hPfvXT‡¹Gƒ jdc©4@x‘Ž4‚6—y£‚1PIeF6G6w1“13I¹wD„Xw4jXIeF65t©4S#1XIeF4tXø4”1tI”‘T‡‡|394—he48b˜8I6AP0PFc4@7 Ž A27 Ž T¥ ˆ™2 0q2 FA 0g A27 2 Tp FA 5 R ‰ ˆ † „ 0AI f 0 G G 9gg V0@q6Y4ebp324b u 4jc8b6Ghr41PIVF@S˜“x6A3044—eIcU8THG4ep6Te0”c8b}80Se785vG4PpX9P9u†Í ¯ 4Su· ¯ 6Te041X(|¸ 57 0 G 0 TAI 0 f Tp 57q YW wpA 5g 9 5 0 G G T F A27 5p F 34—48bDG˜|@’`Y6GX0eF@S”m@tIc1PIeFSº769e0Q… ce4eb”T u 4ebdH° ¯ X04@ÄU3cj4eb6Ghi4P2cdbew@˜`f…„˜Xf8FG TAI 0 f RI 57q 7 5 R T2 G 5 „ý 0 G I T 9W7 { TAI 0 f ( F 57 0 97 w7 YW wpA 5g 57 G7 G 0 f T @E8pDG@©“‹3A6044—eI4iV0@aS48buh1eI©ebXGF u 6T30@e785”SjVI`5t­DG@cDii4ebue0@4˜16I‡4vDGP09 u mÉ w G GI „  w7 0 0 G 57g f w Tp I p  d w u x w x q0y¡iy~yw Xvs }|{©ybg“v d p d p xz x w ‚  ° Ó à ÐÚ Ã  tÓÚÑ â Ý Î Ó Ï Ù ×Ò ÑÓÎ à Ý Î Ü Ù ÙØ ÐÒ× Ú Ð Ù ÔÓ âr à Ö j±Í° ”vÛB—ѧxuÇB}á”ÄÒ rào|”B’e}}À3ÒÇrځvcÇ€v|DΐB|sÀqp±ÖÕ
  • 138.
    2 0q2 FW0 G 5 R A27 ™    97 5 R w F2p 0 G 0 GpI 9 R GI 5 97 w 5 1XI8FDG3w1“16IPw4xc8bw@tIh4@ycz ž‰ X9@i1tIhP039VwP56FeXGc4p4ebq4PAVF8Tc@wXTP9@½7d@—eIr@EPg6F4P2VF4g 0 G 0 I ÷  RI 0(2 5 7 5 R 9W T T F7 5 A27 w 0 G 0 T F T F7 5 GI c8b6™35@6q0 u ~Q ‰ Sx14@e7i1tIqX04@87VGucP2@˜3fV0–4@xX039ewX53Fpc8bq4XAeF4X2u4X2@˜3fe0u@—eI5 Tp 5p T 0 G Ê f R 7 T w  T7 T w G7 G ƒ  57 F(7 F 5pg F GI „ c1PIVF44eg”4ebxeI3560n1VIt5©zY7 u d3TV0@z7V0354X2F ‰ @hV0@z7aS48b‹`2d@VY@4P21@˜Pf”V044vXT‡@—eI`5cý 0 G 0 G 0 FA Fp¥ F 2 G7 T 0b { 02I 27 G G 5( 0 f 0 A27 c8bs624b u €62e065£Hø4”80XGc—aXT©1PIeFSE8pHGeFh4}qS41Q@Eeba6580S37e01a6T˜16I3wlW Æ   Æ 4@”P069ewX53Fw 0 G 0 9 GI 5 Tp 5p T 0 G G FIg G7 G G7 w T Ÿ° ý 0 TA 0 (2 5 0 G G7 c8b3T1zq37P0}@—eI4@PIeFc4ega4ebU“P21lSEeb}Sd304X2eF”z‡d« ©  324b u 4462‡1œ0 4@e7a48b}S48bG T u 4ebhe0c1Eq4}xSP04Sd7VG˜tyX9P9F u jc8b6Ghqc8bsdbXw4b u @tIR  q1Hq8FS“6(4r@z7V0}@h14@e7o7 I T 5p(C 0b {  9W T 0W AI 0 f 0 G F 5 ý 0 G7 02 9 5 RI 0(2 5 XT”e035c8bÇ@e0@tI6Re0654}ij ¯ 4X(|h30V0ÈSP069ewP56FaXG4chc8b©1Q@E8b‡6548bSe7£‚X21P(VF1h48b‡SdeTVG@87VGT F 0 G™ 5 0b {   F ¸ T™ w F2p 0 G 2I 27 G 0 G 5™ F 5I 0 G G7 5 GI 5 Tp 5p T 0 G ™0 0 T ( Rg 9 0 G 0 92p GpW AI 0 f GI „ G 7 97 F Fb @jVI”41PIVF44Vgx48br@h3f4dbVw©1eIt5cSz7P0’4ebp@XƒPF44rz™j4€j4eb6Ghi@—eI¹5SI u #QeIXT@”PTiXT4}{  d w u x Œ w u … ds w p ‚ œ — p w ‚  ™ … x  … ˜ —  d f x • ‡ 0y¡iž¡t‘yX£¥›£kšš%y#rgy– ‡|0bf “ Gg7b Ÿ F F G GpIW cu6580c@4X2}PT4eb}c1l@7 XA@87yXT~V01o’D±ùœc”P2B1eIV5354ebyc1l@d4P24eb@4r—±Ye7BXGS@44epXGXF4˜S˜X2B1eIV535a4r3T30c4jVI4g F T F 5I Æ “–d F 5 0 0 G GpIW7 ( F GI2 T T F™0A 9g f7 F 5 0 I2 wpA 5 A—4eb6Gh˜1VIt5c@37P0uc8bdbXw4b u X2F ‰ @d14@e7˜mPTwe035c8b~SE8bmT u cebuV041Ea4ebo14@48bHG”' I 0 f ( Rg 9 0 G F  RI 0(2 5 7 F 0 G G7 G I T 5p(C 0 G b(pI 9 351VIe535”j148bHGF u PT–—48bDG˜’4ebiSEebB£@z7h”@4”3T—4iXT48bB@@Ìl@hc@k6A80“P2@t”@7 u ”' 0 GpI F AI 0 f 0 G G7 G ™2 0 f GI2 0IA F G ™0qIW7 GpI G FIg T T   1°¡x ‰ x z 14@e7x48bhX2qX039ewX53FiHG44x4ebh1hHY39V0PT3F6we04wPTX9@½7eSEebþ”3T30c4jVI4©eIXT@7 0(2 5 0 G F w F2p 0 G 2I 5g 9 R G7 G   7 wpA 5g 9 XGacp4£@P0cu9 W@d7vGHY41a@4”PT©—48bDG˜i4ebtœ…ž@lf›@”åhÁÀ”8ùj²BXTQs324b u 6™3Te0Sz7‹1PIeF6G6w1“13IXw4W F G W™ T 92I GI2 F AI 0 f 0 G™ – ˜ – ˜ ƒ F ý 0 T w 2 0q2 F 5R @tIÇ6™350@6q0 I~ecl®  ­ý UÁeI”1tImXGr@i4XAeFeTc1”XTP9@½7#c@iP069ewX53F‡HG44i4eb#1‡8TvG@d7vG‡@—eI5 ÷ z © w e– 5 R F RI 0 GpI 9 R A27 w F2p 0 G 2I 5 T GI Tp 5p 0 G w R ƒ GI2 F GI 5 Tp 5p T 0 G GpW ý RI 0(2 5 7 5 R 9W T F GI c1PIVF44egTh4beÈ™36G@½7Q`2pz@cdXTd@jVIwc1PIVF44egh4ebdj4|™  @”14S87od1tIiX04@d7vGaPTd@—eI5 3c1PIeFSE€3¥‚694—˜}1tI8T@—eI¹5tËSm6T30@e7856G@c|B1H° ¯ e0c1P(|¸ T2 G7p 0 0AI f 5 R GI „  RI w G w7i ˆ û 5p F a) Diffusion σ = e λ h , λh - oo λ h= οο b) Convection σ=e i ωh , ωh oo R (σ) R (σ) ωh= 0 λ h= 0 Ι(σ) Ι(σ) × âÓÒ×Ü× Ô ÐÓ ÙÚ ßÝ Ü Ù ÙØ ÐÒ× Õ ÔÓÒ Ñ Ð Ï #rÄÇBÇávy”ràÛ€}ސ3ÒÛrÚ”4ÇñÖxBÄv”m’Î  “±Í°
  • 139.
    °  xz 0W 0(2 5 F 9 7 T ¥ GI ¦  ž›– 5 1Þx ‰ v32300 u 6Gl‡14S87p6A80XGhPfXFi”vG4Vp©@42 s‰ E@d1tIR 5 0 0A 9g f7 I2 wpA 5g AI 0 f97 F 0g G 0 G w T G 0 G 0W w 0 F @eIe565U44epXGXF4˜Se4r3T6044—eI4hjc8b6GhE@EXA13I6ÊtS87854eb604P2VFeI u c8bp32600 u DGt~30c32e065£Hø4A 5 ¥7 f 7 F 0 G GpW ™ T w ( 0q2 w FA 0g 0 G 5 R 5 0 T7bg 92I ( wpA 5 1VI¡˜§˜PTV0354eb˜j4}@V0@z7–4X28FDG3w1“16IxPw4—PIVF35l4ebi1tI˜1VIe565e0SE4–HY41scP23Fc4jVI4g RI FW7g w 0 G T7b F AI 0 f ( Rg 9 0 G 0 9 Tp f “ • ùd ˜ ˜ ˜ @Q`YXGXFP94SE@z7’4ebe@EiHG€j4eb6Gh©1eIt5j@z7X0…c8bqSPƒPFhvG4@– DPù9e!—–D•ž CeED›8ùDEWf›’P“q¤ Re±ùt“f•Àý d—Ëœz¤  uT¤xd“s„ƒIœ%ÁeI˜œzvPù9!¹–D”P“mf•zD@½7‹P2|£4@xV0@z#cP28FD3@€@3iPwcjXIeF3lqc8bG ˜d š ý š ù e–ä e– š¤ ef •“ ˜ ˜ ™Gw R F ™ A 27 T7w ( Gw0q2Iw FA 50 g 0 A27 ( G7 FA 0 G GIW 5 R w F2p 0 G 0 T F 5I 2I 9 R GI „  ƒ   F ¸ 4S’4P2eFSEPgVFeTXT4”48b©8bSt‡1tIeX039VwP53FaHG44”4ebe4PAVF4P2‡1Q1ÄP9@½7veT@jVI`5t­eT¹GicÍ ¯ 4X(|QP2F 3A80œ8785vG4PpX9P9‡HYP9@P78FvG@EUV0@BSEeb’41VI@z7V0|1tIc1|@P7441levY35@”’PTuj4eb6GhjSEPA16I3Êl@87e5U4}{ G T F 9 57g 57 G7 G T2 T 5 5 R 02I 5 9pgIg 0q 7 F AI 0 f97 F 0g G 0b  d w u x Œ z ‚  d £ x x ‚ … ¡ ‡ gy%5by9‰ i|§¢#he   X9@1tI‡P04Sd7VGc4}PT’—48bDG˜a4eb’@PI8FœE€3¥‚694jhf 97 5 R 9W T2p F AI 0 f 0 G 2 G7p 0 0AI 34—48bDG˜}c1PIVF@SU1tIU8T@—eI¹5tâ@3T30S87Èyj· ¯ e041X(|¸ TAI 0 f Tp 57q 5 R GI „  RI w 5{ û 5p F Diffusion Convection c) AB2 λ h=-1 σ2 σ1 σ2 σ1 b) Leapfrog σ1 σ2 σ1 σ2 ωh = 1 a) Euler Explicit λ h=-2 σ1 σ1 Í Ó à ÐÚ Ã  tÓÚÑ â Ý Î Ó Ï Ù ×Ò ÑÓÎ à Ý Î Ü Ù ÙØ ÐÒ× Ú Ð Ù ÔÓ âr à Ö @±Í° ”vÛB—ѧxuÇB}á”ÄÒ rào|”B’e}}À3ÒÇrځvcÇ€v|DΐB|sÀqp±ÖÕ
  • 140.
     T FAw2 T f w 0 G 0A2p 9W 5g Tp ‚3AV0eT46pewXT43T30c@d7vG˜46pewX53Fa48b35c44¤6fP04@eI441XIeF65e0T 7 GI2 F A27 FW T F F f T7 G ˜@4”XTÃ4@s`YXGXFP94Sd7VGcP2€PAX9˜h@§8Ig6Ae0V535t06RV0”PTh`YHGPFX94@d7vG4P2”@k4P2€hPT4}þ‚@PI8FDG3w@€@3Iw 5 F FW T F RI A Fƒ Fb { 2 0q2 Pw4—PIVF35l”4P2—Xq@1“P23TX044epVGa1Hq8FS87XG8F“@4—4@PIeF65e0’P2o3AV046230l…eb@lw@±q4~cj4eb6GhewvÞ FA 0g ( F 9Iq F FA T 0 G G27p¥ Tp T F Tp 0W GIW 0 7b TAI 0 f  † 0 G A27  € ' 0 G 2 T 5 F G 5I¸ 2 FA TIggI 0 G F T ™ F f f w 0W 0 7 c8b”4@a}•4eb˜1VI@z7V0yPT4eb’1E’‚1XI8FDG3we0X54}80HGeF1l414ebiP2rVG4Vp¥¥‚3Ae0eGXGhh13I˜3230l~1zqEb XA41I u —‘)ƒf•E@”åhÀ h@87u48by@”1eIV535#@‡c4eX04@d7vG#3AV0@º7693w4‹6230li1zqE#XA41I u jc8b6Ghf 9p ù… ˜› – 0 f T 0 G RI 5 0 27 GpW 9W T 5 0A 0W 0 7b 9p AI 0 0 G w 0 G 0 T F 9 R A7b GI 5 0 G ƒ G2 5Ig F2p 0 G 5 0W 7 f FW T c8bvP069ewX53Fa48bvcPAeFcP2x32X0P9@½7’@EU@jVIwc8bȹR’z“@87VG1l˜Xf44qXY39@XqeFSº769e0‡lxzYqh`YXGXFP94Sd7VGcP2F TX48bu€˜3AV04@z7y@eIe56548b“@V041E}4ebtSmV0432V0~c8biP2jP9@˜ef}V0@rSEebr46g80vGU˜Xf8Fl@B35le4€2 F G YW Tp w 5 0 0 G™ 5p(C 0 GRI T T 0 G F 97 T 57 G7 G T T 0 GRI 0W fp 3Ae0XGhPfPFhX2©3A@Xq1VI3Te0dl@37vVG6Te06580“P2yS…@PI8FjPp1VIv“32X0eF4@e785a48bÄXR‚6™35@6q0 u ~ ‰ P9@m1tIR F 9 7 F 0 9 5 0W 2 w G F RI 2 G 9 T G T2 G 0 G F 0 I ÷  97 5 X04@87VG44~PTo4@dP069ewX53F~XG4cw4ebdcPAeFeTc1}XTP9@½7@—eI‚SEPg6F4P2VF4u4eb}4jc8b6Gheb@luI ~@tImS48bG 9u W T 2 p F A 2 7 w F 2 p 0 G 0 G p I 9 R G I 5 9 7 w 5 g 0 G T A I 0 f G W 5 R G 7 I T R A27 w T F ¸  9W 5g 2 0q2 FW 7 G 9gg7 57 0 G 0 TAI 0 4ebyœÍ ¯ 4@wS ¯ 31X(|}…3fP0c1eI41PIeF6G3w@“13IXw4˜q8I’3AP0XF44@we0SDY48b#624b 4jc8b6Ghf  † Þ A27  € ' 0 G YW 0 Fg G 57 T w wp 0 F GII f 7 0W 7 f 27 T 0 G 5I dvö4@˜}•ec8b’“©3AEHC4—`Ywe0S‡3TV0@z7©db4—‡@cepeTXT~@jhqut…zYq@EegdhPf8FmVG1cebT XY691Hq8FSP739e0im35@Ìx@PI8FjPp1VI€62P0VF4@87e5eu@Xq1VI3Te0”eI…6Ae0P5c—6¥e0}XTSE8bx—48bDG˜i|@˜`YXGPFX94@87VGT 0 G 5 7 0qI 2 G 9 T G T2 G 7 0 9 5 G Fp 5 F G7 G AI 0 f 7 RI FW 0 G GI 5 97 w 5g 0 G RI T7W 0 G 2I ™ 5 0b ý RI 0 97q 97 T 5 c8bm3™@—eI”SEPg6F4P2VF4‹48bd@xPTVF@E‹4eb»@v@V01tI6RV0354}{   i@’6T4Pp@S~P9@˜efp@tIR ¥ˆ¢ ¡ 8IG V01PI69©VY651”XT‡SEebv@—eIÈ@EXg3F4X2eF4x”30c4jVI4v4—4eb6Ghq4X24dbew@˜`f…„˜Xf8F|SE1PIeF“321“16I|X9”' T w 0q F G7 G GI 597 w 5g 7 wpA 5g TAI 0 f ( F 57 0 G 972 G 0q2 w 9 ¼ u‰z ‹9Љ  `y9S9ŠVŒ ‚ u p –‰ z‰ “ Gg7b Ÿ F 0 T2 w 57 T w 0 jT6580c@4…P26Ae0654PAVF413IaV0@de0@37dc8bG GI2 F F G F 5 R T2 G7 F  w2 5Ig F RI F GI „ý 0 G 97 RI w 5 w7 G7 G S4mXTmXT48b#dbXw4b u 1tI}41PIeFSEepXGjm@604@87VG1l˜Xfy@~PT~8T@—eI¹54e48bÛX9@B@o6Y@e743p6w@”SE8b˜eIT P9@˜efBXT—™  @60PÊeF˜3ge0VG}hPf8F4eb˜32cb u `YXGXFP94Sd7VG£@q@PI8FvG3T4€~48b~4epVT44d8Ia4P2eFVG6Te035e0“P2BPTr¹Gƒ 97 T F ™ T T 0 G 0 G 0 FW TRI 2 0p¥ 0 G 0 5pg G ( G F F 'k%¸G·™A—pI…–'”'kleb6µ …„ƒFƒ kR i µ ’ ‹ t ” ¶R– ‚ ‚ º ¹ »„ z x® w F 5 ý 9g f w 9 c{ƒt ­ý ÚdbPw4b u @tIR  oDiX04˜@3I£X9@7 5 R Ÿ @tId1“´»© Æ Â ý Æ j1tSXTBXGhPfPFe`YXGPFX94@87VGu‡vl4ebS48bG u 4ebpSz7v4vB— % x ‰ —™1tIR GpIW7 F F 9 FW T Ž † Þ 0 G G7 I T 2 w 02 „  ³  x z 5 P039VwP56F”HG44d48ba4PAVF4P24X2@˜3fe0˜‡BlSz7e0654b u ™ ‰ P9@m1tIaP04@87VG4cmXT”dvö1PIeF6G6w1“13IXw4W w F2p 0 G 0 T F T F7 5 Ž † Þ T 0  97 5 R 9W T2p F  † Þ 2 0q2 F 5 R A27b 0 GI 0 G 2 „  „ G F 9 F  † Þ T 0 ™  „ G 0 G 97 TI 97 ( FI @tI˜4@46548b@m48bhvyjrd8Ie6A80HG˜XfPFrPTddvƒ@37e0654b u c“—vdeI”±Y7 u c8b4P9SrVG1hPf@w4X211( ™335e0Sz7V01”XTp‡BT1tIx`YXGXFP94Sd7VGBSe14@e7e4eb”SEebvc4£@1Hq8FS13(4#c@’@37e0mPTF  Q624b u  ý G 5( F Ž † Þ 5 R FW T RI 0(2 5 0 G G7 G GpW™0 G7 02 A27 9 5 ý 0 RI 0(2 5 7 5 R 9W T 57 TAI 0 f GIW G7 I T 5p(C 0b   F ¸ F I @’14S87§h1tIxX04@d7vGoV0@˜4jc8b6Ghk8b@lqœE8bG u 4Vb˜6Te0414o4}{ jÍ ¯ 4P(|gP2Ã2 u cebT V0@’4—48bDG˜h87eGc‡†D„14c~Ô654eA@`IjebVG41tIþ4S˜j416I3we0‹4ebq1tIqeT@—eI`5lö48ba@’3T60@87È{ 57 TAI 0 f Gp 0(2p Þ 0 5 „ 5p R A27 „A2 T 0 G 5 R GI „  0 G RI w 5 ² ® ­  – ‚ ¯ ® ­ © p  d w u x Œ ‚ u u h ® — x ’ – h ­ … x  … ˜ — w u … d «  – ‚ —  d f x • ‡ ’© €š±y£°~šuQqgk¡iy††k€‡tkqšs|k#rg¡kh k¬y£0q– ‡|0kªes  ý 0 F 5I 0 G G7 G w 9 57 GI 5 Tp 5p T GIW G7 G GI É    0 cz ¨ #324b u P21X(eF1a4eb}S…3A80œz7—PIae0@eT@—eI41XIeF44Vg’8b@lSEebae0@mB  ¨‰ 624b u ™Se0@37x4P2eF6G6w1“13IXw4i4ebm1tI#4SÛ™ ´œ ¤©  §32cb u P069ewX53F‡HG44e4ebv3T@±q37P0”@jœVIv41XIeF4cegp7 T w ( 0q2 FW 0 G 5 R A27 « ý 0 w F2p 0 G 0 9 GI 5 Tp 5p T ™Se0@37”4P2eFSEPgVFeTXT4u4eb}1EU1`YHGPFX94@d7vGwc8beTXGhPfPF~@—eI~41XIeF4ceg˜£3™6Te0@371XI8F6G6w1“16IPw4o4@7 T w ( G7 FA 0 G 5I¸  FW T 0 G F 9 GI 5 Tp 5p T 7 T w 2 0q2 FW A2 2 G 7 F A 0 G G I Wu ƒ   F ¸ F I T 5 7 0 b {  0 2 I 9 7 w 5 g 0 G G 2 F A A 1PIeFSEPgVFeTXT4”48b#eb@tQ`2ujÍ ¯ 4P(Ä‹P2Q2 u cebie0SqV03T4}eS41Ä@EPg6F4P2VF4i4eb’eI1XI8FXGc4@7 X2weT@—eIuc1PIVF44egI h1zqEevG4edXGÈD™1”zc4Ä@X° ¯ P0c@| ­{ Xw443p…dPTF ­1tI|Sº7h14—XY1lg F GI 5 Tp 5p T G 0 7b Tp f F ® ° I2™ 9W7 FW w 7   5 R 9 F fI2 9I Xw8FvGPTeF6580DG@87@4db’8THG}304X2jB3@eIe565e0@Ecg u XI~6044—eI4‡eIh6A41X(eF3TcrS7 u —48bDG˜‡SE3A@aB4}{ w 57 w F w F 5 0 T7b 9 wpA 5g G 02 0A T AI 0 f (7 Ê7 … 0b  d w u x Œ ’ ‚  £ ‚ § ‡ 0y¡i“bk%bštx × âÓÒ×Ü× Ô ÐÓ ÙÚ ßÝ Ü Ù ÙØ ÐÒ× Õ ÔÓÒ Ñ Ð Ï #rÄÇBÇávy”ràÛ€}ސ3ÒÛrÚ”4ÇñÖxBÄv”m’Î Ž @±Í°
  • 141.
    Ds‘Az‰“16I ­w 4—48bDG˜Uc1PIVF@S@tI8T@—eI¹5tâ@m6T30@e7ÄyjÍ¯ V041X(|¸ ® G2 TAI 0 f Tp 57q 5 R GI „  RI w 5 { û 5p F Diffusion λ h=-2.8 Convection ωh= 2 2 g) RK4 σ1 σ1 λ h=-2 f) RK2 σ1 σ1 e) Gazdag σ2 σ3 σ3 σ1 σ1 λ h=- οο d) Trapezoidal σ2 σ1 ω h = 2/3 σ1 dÍ Ó à Ð Ú Ã   t Ó Ú Ñ â Ý Î Ó Ï Ù × Ò Ñ Ó Î à Ý Î Ü ÒÙ Ù Ø ÐÒ × Ú Ð ÎÙ Ô Ó â r à Ö Ö ±° ”vÛB—ѧxuÇB}á”ÄÒ rào|”B’e}}À3ÇrځvcÇ€v|DB|sÀqp±Õ
  • 142.
    R@e@4@87Q3A6080“@e7@E1ph1zqE#6Y4eb£cz ©Â 1tIX21P(VF1i4ebvSdVGSd7VG”4jc8b6Gh‡41XIeF4ceg|X9@7 I0(2 5 G2 57p( 7 0 7b 0 G™ ¨ 5 R F 5I 0 G G7 5 T TAI 0 f Tp 5p T 9 TAI 0 f 0 G 5 R w F  š ù È “ À–… É 27 T7 cj4eb6Gh‹e03Tc8bp1tI©30cP2j‚@9…EÁdD•QËuI“uÊ@’SgeIG 6Ae0V535t06RV0xPT‹lj`Y˜3580VGSº7Q4}{ 5 F 0g G G 9 0b  £ †À·1tI¤ef6580e4X24@37P0a48bxX2£ED›—ùD˜ª{±ùdšµEÿdw30XʘXf4P2hx6Yc8bG ¡ 5 R G ( FA 9 0 G F•   ù • F F F f 0 T7 5 R T F G 5 w7 TI f 0 G 9 0 0( 57 TAI 0 f 0 G 0 Ib™2 T27g 0 Sv@½7@VI4P2u80Se743p6w@‡vG1˜u48b’XYX9@8765432@ee0@”4—48bDG˜iV03T4ebÇ6™35@6q0 u c‚‚1XIeF4@4c…iv3TX0eF65e0T 5 9 7 { 7RI T7W 0 G 2 „  Ê f R 7 T w 5 T7 ý 9g f w 0 f T 5 R 9W T2 @PI—zY|eÄ@UXTeF@4‡48bxvr4eI6530)1eIt5q±Y7 u ~43A6030—eI4g  @oxDiX04h13Ivh1VIU1tIvP0c@d7vG44p 0 f 0W G 0 9 F AI 0 f 0 G™ w F2p 0 G 2I 5 T T 97 AI 0 f 0 F Æ 7 5 h16I3wlx8IxXY69@XƒPFvXT#jc8b6Ghe4ebtSP039VwP56F‡XG4ce48b#@v8TvG@d7vG‡jzY7 u @#j4eb6Ghu4X2P9o’”1tIR GI 5 Tp 5p T 02I T 9 G7 w F  š ù È ù ˜ È 7 T7 G @jVIc1PIVF44eg~41rvG@z7X0S~604P2jr@9…EÁdD•Qv£› Áe@w8I˜3Ae0V535t0DRe0BPT~t—`Yy35hef@tIm4}{ 5 F 0g G 0 5 R 0b  cz g  324b u f›@å …˜œiEÿd©œBP9@½7UeT@—eI5 0 ˜ š ù • ›š 9 R GI Tc1PIVF44egBX9@pV0@z7dPT4ebs`2…34—48bDG˜o@E6A@d›4@s8bVG@tIceb@T€v„h@Emu654eA1¹Ij4Sp48b‹“W p 5p T 97 T w F G ƒ TAI 0 f (7 Ê7 … A27 5 R T7 T f7A ' 0 5 „A2 0 G Y 6AEXCXF4˜6fjDi’XT}t—`Y|6548b@4}Äcz g  624b u PùReʁfD˜%f•E—·EÁdpœ}PTP9S½7’@—eIy41XIeF4cegve0Sz7w 0 9g 0 0 F 0g G 0 GI 0b { 0  ˜›ƒ ù • ›š 9 R GI 5 Tp 5p T 7 T TX48b©`2w‚jc8b6Ghx1VIt5c@z7X0”48b#“‹3A4XC4—`YvPT”l—`Ye4vh33Tl—`Y…I u r@it’eIG 3fc8b‹4EC F G ƒ AI 0 f ( Rg 9 0 G YW 0 Fg G F 0g G 02 „ 0g G G RI 0W 0 G A2 0 u cÍ ¯ 4S˜ ¯ 3@P(|oP2~4—48bDG˜~@—eIvX04PgeFXG4uw4eb|@~3T60@87e5@jVI`5t  4ebmDG3wleg4X2w0 u ¹Rƒ ™ A27 T F ¸ F TAI 0 f GI 5 9 9p f 0 G RI w G GI „ 0 G 0 T F p  d w u x w x x ¼ u p w ‚  ™  – ‚ x –z‰ qgk¡iyǧ0›byšžy£€k9ŠVŒ 641PIeFSd7j4˜@3Ic™™P9@~S4ÈXR43™VG1h}1tIeT3TX048bvG1I u V0@…4@dP0c@d7vG44p T2 G Gpg f w 97 GI2 F TI f 5 R 9 5 57 A27 9W T2 HYP9@37Pw44@eI85vG@d7œz7q6AP0X9@z7vV0@Ucj4eb6Gh’db4jr‚6A˜Xf394b u 351±q˜XY€dƒPwc—PTF ® ÿ Ü @mcPp@S4@P78FXGcP2F 9 Fbg T G w 9 w 57 TAI 0 f wp  0 0 0 I 9 Fp¥ RI 0 97q9 F P9@˜efoVY651”§621’m3‡”z° 1d ­ e04@373wl~€624P2hhPf~PT”6580vG@87XT4e30V0#@37u41lj¢8IÄSE€3¥0 97 T 0q 7 0q ˆ Æ ® Tp 0W G 0 F f F F T FA T 2 w 02I™d G 97p XTF —41XIeF44Vgoc8bv@…41”v@)ÝRÅI ’44epXG41Sq…48bmXR3™651Dq0 u m» Å cP2eFSz7e0654P2g8bHGF u 35P0X9@˜efT   T p 5 p T 0 G R I 0 2 I´ 0 A F 2 ( 7 f 0 G F 0 I ÷ ( T w F 97 DG1Q6Y4ebÈSP04Sd7VGaXT§—48bDG˜˜48brXR§4@Ç™™P9@˜ef§VY651”t…8IQ3A30Vw1tI”e0@u8T“32X03Fh6ˆ—3I˜e03Tc8bG 0( 0 G™ 9W T F AI 0 f 0 G F A27 97 T 0q 0W G 5 R 57 G w 0 w 0 3Ac1P(VF3T4ÛX9390 u XTmVT3T60jVI4˜cP28FvG@d7vGa48bĹRc@ÍclsyX2w°   G1tIR ® ÿ Ü 48bE6™8T@—eI41XIeF4cegT 02 0A F w 5g ( 5 T 0 G ƒ    ¥ ˆ F Ç 5 0 G GI 5 Tp 5p 0 G RI G w 0 w 0 G 9 F F 0 G 5 T G TI w 5p w 5g9 0 T 0 G A27™( c8by@m8T“32X03Fh6ˆ—3Iw48b”60PÊXF@º7eFXG4X2¼6f48bmVG@87VG˜8I#32V014dbv6Te04c3A30—eIcÈSº73F6wtVgu4eb4@l4cP2F v„VG@87VGÄXR69e0@4‡V0@…6Yc8b}SEebG u 4€‡syS30PweF6G@e74’P2pVƒ1I u 8T@—eI41XIeF4ceg’8bHGF u 4jc8b6Ghf 5 T T GI2 57 0 G G7 I2ƒ 0 ‘  w 5g F 5 GI 5 Tp 5p T TAI 0 Iu b A 2 0 A 2 p T p f 0 2 I 9 5 F G R I w 0 p T 2 w 0 G G 7 9 7 0 G 0 5 I 4gc@d7vGeT35c44hVG4ux41rz™XGcep3TV0ePTc8b~@p3T60432c—6¥e04@3Ix4ebp80SEXp@S6q‹8Ie654eA@g`2ƒ ÄÄ d „ I G 9 7 p ¥ 0 ™ 0 2 I T p IF 5 p g T 7 7´¥e8Û@E€3ES41}4@Pec4e”E™ ×4@E1…8‚SE€30   A 27 ™° IG 97 p¥ ™@41B@4Pg3FcP2eFcq4eb|D™£‡3ŒeT@jVI`5toI u he0@xV0354}…cz ¨ @d Á   ­ ÌÀ‹  œ­ ¨ Û  ­ »4Eq0 u 02I 97 w 5g 0 G ´  GI „  G 57 0b {  ® ®° « ®  A2C z ¨ Ç  ­ scP2eF@8I6SlUjd « Ã Ž Á à ¨ ® 9í  cz ’ v1tIS48b}T u PIP9@tI~HG˜±H° ¯ sBˆ 1eIE¸ ®  ( 5 Gw7 ¸  ™ ¨ ý 5 R G7 G 9 R F Í ¥ f 5 cz g  s624b u @º7h14—HY1tuPw8FvGPTVFœ3580DG@87SEdbv8THG’4P2—c4epVG€3A4VbPTPFc˜16I3w@”l…XYX9eF@37QSz7w ý 0 9 F fI2 9Ig w 57 w F ( FYA T YW 0 9g f w7 0W T 0 2 XT4}y  Ç@6T4Pp@S4X9@qVfpvY351B1tIx32@6qi`YHGPFX94@d7vGeTXG6G3wlegcP2U46GX0E3™6516q0 u myS1Hq8F6GS8785VGS7 Fb { ýRI 0 97q 97 T 0q 5 R 0 0 FW T F 0 T F Tp 9 0 I ÷ 0 w G XT~XGF u X0—’@m€X21loDY@87c3p3wS©@7 1VIt5qeIl—XÁ†Àö4@7 ¢ †À%@~˜Vf3580…P2o8b@lue0S8746p3w@”354VA1I F Fq RI G FIg w 5 w7 2 f R T™ ¡ A2 ¡ RI T G F GIW G 5 w7 0 5 „ F G F AI 0 f F G G7 G ™   2 0 F 0 F( TAI 0 f 0 G ( Tp I T 2 w 02 jeAX548buXT€j4eb6GhiPT4ebeSEebyc jg@PI8FDG3wjgX2k621Hq1i4—48bDG˜x4eb©4P2VF4™ u 4VbgSz7x4v„ ¯ Á ›² S e  Á ´ ¯ sœd Á E1~« ¨ t±E‰ ¿ T´ ›² ‰ ® “±ÍH° —¯­ ‰¾ ²‰ ²‰Ž ´³² DûÌH° ¯ X04@Äw60e0 ­T —48bDG˜x6g80vGPT8FHG4eUSz74X2PF9 ® 9W7{ AI 0 f 9p f 5 0 ™£3g80vG`TSI u 4z™HG3FXwPF4jDit@e0S8746p3w@mvG1˜w48bÄ@oc48pvG‚@37Pw8FHGeF65˜7 1VIt5mh3f80vGT 3fX041VI4y@o4P2€ƒ „ G 9g 0™ G 5 w7 TI f 0 GRI YA T9 w f R T 9W 5g RI A F TX48bESÈc1PIeFS87e5VG4XpP9P9BvG3TlU4ebE@}4vy68T@—eI’c1PIVF44egsSy3Tlj`YeX2@d7vG3560s@3046280VGXTjDiU4ebu“W F GRIT2 G T F 0W 0 GRI 02 „ GI 5 Tp 5p TRI 0g G F wRI w F 0 0 G Y GpIW7 Gb(p 5W 0W 2 w G7 97 T 5 R 9W 5g FW T Tp T 5I f wp f 7 F 0b j1tSr€@41eIc~lh@z7rSEebG  X9@˜efy1tI©3fP0c1eI4w`YXGXFP94Sd7VGB4@PIeF65e0}V01˜˜db4e‡BPT~e0654}{ ¼ u‰z ¥‹Š9‰  `yЍŠyqx ¡£¢‚ ½ ‚ u p –‰ f‰ w d … u p ‚ u × âÓÒ×Ü× Ô ÐÓ ÙÚ ßÝ Ü Ù ÙØ ÐÒ× Õ ÔÓÒ Ñ Ð Ï #rÄÇBÇávy”ràÛ€}ސ3ÒÛrÚ”4ÇñÖxBÄv”m’Î   1±Í°
  • 143.
    36580c@4dbm—…i4a48bxP23Ae0VT43pVwPT4VT3T4tXøeFVGT Gg7 w G02 0 G F T FA 02 R@aDG3wV0|4Vpe4ebq8I”c@z7X0v¹G”@`YXGXFP94@87VGÈ@z7XweF65˜4€B@c4epVGe4ebm1tIx1XI8FSSHq8F@h”1VI¥qec8bG I ¥W T 0 G G TA 9 ƒ  FW T9 0 fp2 RI YA T 0 G 5 R 2 G7 GI f 5 7 f 0 XTÃ1XI8FS48pXGVFxPT4}{ @60@Eegc321X(3FþP2F 6Y@e743p6w@”SE4PA—Hq44P2˜P56F48bq@tI»VA@“6(e05 “@xc14ebXGF u F 2 G7 T Fb  w7 T 0 0 w 5 w7 97p F FA F 0 G 5 R 57 Y27 GpI VT3T30—eIc…@PI8FjPp1VIu4eb…1c1eI4ebd@XqVF4qeI…VbPTF u 0 u SE8b~eT1eI6G6w1“321X(3F…8bHGF u 3Ae0Sº76FjVIeT@7 Æ Â ý Æ w 5g 2 G 9 T 0 G b(p 5 G 0 5A G G7 G 5 0q 0 0 G w T R@e6T4PpS@˜1e(@P7sHY39@Xq8Fœº739V0”˜6f80VG—vY4321X(3F’4ebhP2”VGXTjDi’e06548bi3TV0@z7’V03T4ebm@–eb@lg`2ƒ I 0 97q 0 5 9 0 G 5 T T T 0 0 0 G F F 0 0 G T w 0 G RI GIW z“32X0eF4@e7856A80“@7 u 4p G T2 G G2 2 0 G 0A w F G7 G7g 7 ( T 2 G 9 T G „YA T 7 A2C G 92I T 0 c8bq6T44Pp694P2qSEebG 8bSE§–4P2VF4p 1XI8FcXp1eI80S87VG`T“cSz780vGh»4EseI€XY41g3ƒ60e0#§‘ ü  œš 63T4c8pXGc1@˜o6A80Se7@E3gV0T 0A F2(7 f G 57 XY694PAF u 4P2—zqEu6T4PpS@“621P(6F—Wh8bHGF u ˜6f80vGjvYh3AX04416I|SP04@87VGQXYe9“32e06544X2u@E˜4v„ ü 0 ( F 7b 0 97q 0 0Ìý T T T 9gp w ™ 9W T G 0b F T7b 02 û 0 ‚624b u T2 FA2 w 0A2p 5 wI FW T9 0 fp2 RI 0 T7 G2 5Ig F TI f 0 G 5 R Y 41PIeFXG4c13Iv65444‡VT43p6wj’`YHGPFX94@d7vGÄSz7PwVF35h4€B@‡DG3wleg@”“@d7vG1thPf”VG1he4ebm@½7…€ 641PIeFS87654PAVF416Iq`YHGPFP9c@d7vG…X2‡P01VI1cP2h~6548bœ87i”6T80cepXGeFVG416Io6A1Hq1eI6Te05 T2 G 0 T2 w FW T F 9 5 5I F f 0 G 5 7 G T2 w 0 9 V0@…˜Vf35e0…“62P0eFc@87e5Q4ebwSvP9@7 dbPw4b u X2F @PI8FœE8pHGeF‹48ba3™651Dq0 u 4v6™4—48bDG˜‹P0c@d7vG44p 57 T G G T2 G 0 G RI 9 F 2 G7 T 0 G 0 Ib TAI 0 f 9W T2 HYP9@37Pw44@eI85vG@d7œz7mc1”4P2XF4ep¤1eIt5a4PAVF”U3VG@4h’zYP74@37p`YHGPFP9c@d7vGE@e0XT˜@eI4h13Id4ebo`2ƒ 9 Fbg T G w GpI ( 9 5 f R 0 T ' 57g 7 9g 2 w FW T™ F f 5g f w 0 G  9 TIg T7 0 5 9 T7 T T 0 G 0ƒ7 f G @X04PWVFeT1l‡@i1V(@º7‡S”30PÊVF‹3g80vG”48buS@˜…eI©ebPTF u 0 u PTc8b‡30XʘXf4P2hx8I©4@‚‚1PIeFcPp@eIp7 F G F F F f G A27™2 G 9 T e0c4h13I”eI…62@@87~46g80vG|@65tec—‡c8b’1mc432l3g4˜XYX9@8765432@x1PIeFSd7cc˜16I‡48bÈ@~VG@3Iw Gpg f w G 0ƒ G T T RI 0W fp2 0 G 2I TA 0 0A 9 0 0( 2 G Gpg f w 0 GRI T 0 G ™A27b 0 GI 0 G 2 „  9 TIg T7 97 T T7 T F G RI T 0 G 0ƒ7 f G T c8bÄ£4@Ed354eb@qc8b§vp@P0cPWeFVT1lw@BX9@˜efd@–3ge0VGaPTc8bU@h30XÊeFh48b”@Sqo8I©3ƒ60e0q0 u ™‚3ge0VG¹TD„hPf8Fec8by@vVT3T4X2P9@˜efu48b#1a4c32l3g4vcj4eb6Ghv41r@ÈP9Sv1tI@PI8FjPp1VI‡“32P0VF4@e785G 0 G 0 G RI 0 97 T 0 G 2I TA 0 0A TAI 0 f 5pI RI 97 5 R 2 G 9 T G T2 0 G RI w 5 w7 0 G w T™A27 G T2 G 0 f T 0 9 5 G ( F T 57 9W7 f 5 c8bB@©DY@8746p3w@”c8be30cP2eF£‚4@d“32X0eF4S8785w˜1VIi1Hq1eI6Te0x8I’4X2—6ƒ30V0ee0@”0 u HY4@˜4ep6Te0y¢ A 0 5g f w T 0 F R RI 0 97q 97 T 5 R FW T YA T 2 T 5 0b £43246be04h16IkeIG VYSz7kXYV9P5@½7pXTF  @x3T4Xp@SmX9@qVfx1tI€`YXGXFP94@87VGþj48pvGkeIG @eI@37e0‹4}{ ‚Ô p’R Ó ’ ‹ t ” ¶R– ‚ ‚ 6Õq‡r¬™A—pI…–'”'kleb6µ 8†6‘Òƒ çê t Ñ #u9qxD Ð 6çöé ˜)Ò #yï zêx’‡~©h)Ò ‚6ïzò4t©cp½s·zìBlç ©«» t öí ç ð ò ôï éçì êí õ ò rqï i tq òg ö ¼ A B ä pã Ï  0A F2(7 S448pHG41@˜f 650 u XI…ebXGF u “32X03Fh6ˆ—3Ii’“’3AcPA—±qeI4xDY@87c3p3wS’P2ae0@37e0654P2yf®X9@qVfqHYP9@4ep4 ­p 48b‡4XAeFe5651±qI 9 G w 0 w 7 YW 0 F 5g w 5 w7 F T w F 97 T 97 T 0 G 0 0 XYX9@8765432@‚41XI8FS37PwPFc4@Ã|UeX2ÄeT€62˜6fe0X54€3¥e0”`YXGXFP94@87VGd4@Sz™“32X0@SXq4€6¥vXYX9@8765432@ÈXT|6Tt—`YG 9 0 0(T2 G 9gg7 † ¸ Ÿ F G 0 Fp 5 FW T A27 G 97 Fp 0 9 0 0( F 0g I u ‹c8bd@þ6YS8746p3w@u@’354VA1‹48bmlVƒ1I u @E@PI8Fœd7c4h16Iu@’“4@˜@y32@Xq1–’1E¸ G 0 G RI w 5 w7 RI 0 5I 0 G ™ 5 972 G Gpg f w RI G2pI f7 0 F( 7 5I @6Y@e743p6w@¤@eIt5@4cP2€@z7legwXY691Hq8FSP739e0€6™35tcepu6Y4eb@oVf35e0’1eIV535y3TX0eF65e0’1XI—±YÄv4X24@37P0}4ebeP2F w 5 w7 f R™( Fƒ 0 T 0 G 5 0ø T 0 G™ G 5 0 T 5 9 7{ ( FA 9 0 G G“32X03Fh6ˆ—3I}c8bl@4c8pXGc1@˜~c8bs@yPTVF@E4eb”@j6™351Dq0 u ~y  @41462cP9SqVfy1tIa`YXGPFX94@87VGT w 0 w 0 GRI 0A F2(7 f 0 GRI T7W 0 G 2I 0 I ÷ b(pI 0 97 T 5 R FW ¯ z͐mvÛBèÎ ¤uÈB}ÞmĤrà…|”B’e}}ސ3ÒÛrÚ”4Û€v|Dΐro|Ík“ªÌ±ÖÕ ° Ó à ÐÚÑ ý tÓÚÑ â ÝÎ Ó ÏÒ Ù ×Ò ÑÓÎ àÝÎ Ü Ù ÙØ ÐÒ× Ú Ð Ù ÔÓ âr à Ö
  • 144.
    31VIe535’1XI8FS3744Vp85G 5 0 2G w2 VG3TX0P9@7˜ef‹4eb…SE»j4eb6Ghv@EXA13I6ÊtS8785‹4eb’cj4eb6Gh©P04Sd7VG¹T~v6™354VA1`I—4SaX9@i@…S48bG 9 T 0 G T7b AI 0 f 97 F 0g G 0 G TAI 0 f 9W „ ' 0 5 „A2 97 RI G7 0V1hef53c8bVGctpÇ£4@ÈœŠ…†…dùdù28¹‡œ£E@e– #Æ Õ P0c@d7vG`T~Q@@a354VA1”48baS48b§6A1±qeIchlW 5I 0 5 R ™A27 ™š •  ù •š›› Æ 9W „ ' 27 RI 0 5I 0 G G7 G 0 5g 0 2 @37w~¹Gƒr6534VA1`I—413I6we0’@EebU354@P(4’DY@8746p3w@…@~@4}4jc8b6Ghae06T48bÈ@a414œE8bv60Pw8FSmÉ 0 5 „A2 T 27 G 0b Fb w 5 w7 27 T7b TAI 0 f 0 G RI 02I2 G7 G GI 64jc8b6GhXG3FXwPF4hPfr±®P0c@d7vG`T~ ­' P04@87VGhXYX9@E1XI8FHG4416I44‡h1jrj ¯ P0c@|{ TAI 0 f 9g F 9W „ 9W T 972 FA2 w2p 0 fI  9W7  9 7 F 1Hq8F0 6Gg S8785“16I`w' u I‡”« @ãw« I‡d 0 w G2 „ •㏠  ° “ã 㠏 @EXA13I6Êt@3Te78560…Õ 3g80vG`TSI { 1ã¡°d« 1ãw« 1ã¡° 0G „ ÍŽ ° @ã °d  ° ÍSã¡ S¡zã¡d«« 11㏏ ¡zã w°° « @i°Í Ž  eA@7t—ug `Ydƒ}UäE„7 ”A' 2 5 0 G @7 h€ @ A wT f 5o4S z z 1¡°  °ã ° 35@X9 0 4Ey@U3IˆFp79 PA 3ÊHG3FlPw0 XF@4e79g h{ `fƒ gÄ z z ° â à Þ 354VAv„ 0 5 AI 0 —48bDGoÆ  9W7 { F I T F TAI 0 f 9g F 9W „ ' RI T j ¯ P04S|’P2o2 u 4eb}XT}4jc8b6GhXG3FXwPF4hPf‡X04@87VG`T|SmDGe0á'  «à ÁÞ xâ ® “± H° —¯­ ° « ß â ®d 1©H° —¯­ ° Á à ß ® €zŽH° —¯­ ° á}Þ HRpXYc1’4@|XR‡P0c@d7vG`T~al”8IU4—48bDG˜de06T48b444ac14cIdc…1XI8F6G6wj F 92I A27 F 9W „ ' 0W G TAI 0 f 0 G TA2C 02I™•   2 0 X2p32@Xq1†TQ#Æ Õ 3g80vG`TSI u ‚@reTSº739m48bd8Ir41PIeF6G4ctpsSz7e0~1Hq8FHGeF1lÛ@r˜Vf35e0˜P2u`YXGXFP94@87VG¹T~' F 0 F( ‰ Æ „ GRI T w 0 G G T2 w2 R9 5 0 TIgRI T G F FW „ 5 R G 9g T F R 7 ( F 9gg7 Y € Fi7 57 F(7 F G 0 0 G T F G2 w F F f @tIvVG6T80wX04hPfeF’HYe9X5@½7˜x4X2—XY44S©ˆ6PTjœ…VYSEP21SqXfee0X58F“32ec8b”4X2@d7“16IvHGBXR~Pù9e!—–D•—“ Ý A27 ™02 ý 9g f w 0 G F Fi7 9 5 0 G7 02 0 G T F G2 w FW T RI 2 F 5 0 4SÄS4@P74Ü9 g  Q…iP04h13I”4eb©P2‡PTjœBSz7e0”@Xq8Fœ“3(4”4ebv4P2Sd7“13Io`YXGXFP94Sd7VG@‹1XI13(V0hc8bG HR”Pù9e!¹–D•—“ “ª PTkjc8b6Gh¼' DPù9e!—–D•—“m~lseIgPAS87”PTk`YVG65t@eI4hPT4ebgebXGF u j4eb6Ghn' F f F AI 0 f f É 0W G F T F 0g 5g F G AI 0 f  9W T G 0b F 57 G7 @X04@87VGxHY89“32V03544X2ae0@~S48bG ‘T}‡‡cX9@Ä1tIrX04@87VG|XTÈXGEHRÇPù9e!¹–D•~ž ÁeIlœ—š™˜f•@²œdš‚—™XTu—48bDG˜€@37PwVF35h4€Ã' ‰ ˆ † „ 975 R 9W T F F F f “ e–› ˜…› ›ƒ F AI 0 f9 0 fp2 û2 F2 0A 0 G 5 T ™ 9g f7 0 5I¸ TAI 0 f ( F 57 0 GRI 5 G ‚1XI8FHG4E6Ccdc8bx8bHGF u vG@d7vGw0 u SP04h@cDi}1EB64jc8b6Ghe4X24dbewSq¹fD„hPf8FÈ@3TV048pœz7t0R `YHGPFP9c@d7vG‚@8765432@‡48b‡4EDC4’4@VT43pVwPT4”8I~˜S87t5‡30462e065t06Re0“62P0P96930jDi’@U@”6T1vq35e0}XT4}{ FW T9 0 0( 0 G 02 0A A27 T FA G 0 f R w 5 G w 0 27 T7 0 T Fb @4@P74qh…iP04h16I~c8b”P2yPTjœuVYSEP21SqXf~c8b“r™@BfG6RX048ba8Iy1€‚1P0PFrvG4eB3T4Xp@S“321X(3Fqýu 02 9g ý 9g f w 0 G F Fi7 57 F(7 F 0 G RI 9 0 G G 5I™2I 9 Tp f 0 97q 0 0 9P@lS’8TvG@EcSz7e048b’œE8b’“62˜6fe0P5c—6¥e0Uc8b”eIe3A80“4@˜@|XG“…3fe0VG—VYc321X(3Fe06GX04˜@3IviebXGF 97RI 57g9 5 0 G G7 G G 0 Fp 5 0 G G G2pI f7 F™ T T 0 0 9g f w 7 eT6Ge0©6AP04c13I~1tI£‚c@q ¯ 1XI8F6G6wj©X2‹3A4EDC4v@7 u ‘T}‡aS‡6GV0qB@’`YHGPFP9c@d7vGa€62e06544`2ƒ T 9gp w 5 R™A27 2 0 F 02 0A T ‰ ˆ † „ RI T 7 RI FW T G 0b s Ö — ˆ– lÛh‘ 'le¢6%±”؉–8”'kleb6š%•y¥—‘…–­•™h˜ k ¶R– µH Ù × t ” ¶R– µ kR ˜ ” ” Ö ˜ —Œ Ú V × âÓÒ×Ü× Ô ÐÓ ÙÚ ßÝ Ü Ù ÙØ ÐÒ× Õ ÔÓÒ Ñ Ð Ï #rÄÇBÇávy”ràÛ€}ސ3ÒÛrÚ”4ÇñÖxBÄv”m’Î U …„‚6‘Òƒ ‚ “Í ±°
  • 145.
    3 BR ¨ 3 $ ï F B H 0 0 3 B 7 ¨ ì 3 R ” ¨ ¨ ¥3$ R3ƒ 4 ï @ ¨ $ °8Y Rrë93ì‰0 E!XAXï A0§‰…P””3©2WR§Pì ©R3C¨AP7¤©q8 (g@ ¥3$ $ A0°‚39C¨'7R”Ê#B P87VF R°Q8H3#0 6P©7@F Cï²%9C#A7R‰B vPAX ÿ (7 ƒ%©44ëë7 R6IR6)¨3H73ìX l‰¦1V©PF$¨ )ï4 •RRQC¨370 3 A98˜ì871¨1#R'¨X ƒ@'5R4P¥33#B PqAX$7 ©# 4¨ ¦ Q¨1VCBËC¦64¥y ÿ뇩PPC¦7#¨E %C3PRAX@ 3êBP§9Qr13ø#8ðï0 ”# X RRê3FX 6r4I3#3A0@ 6%8A7H ©U§B¦$# Qd ¥Yë Qƒj # 6 5@tI@@º7h14—HY1tPweFVGPTVF35e06G@e7@Edbc8b”eIÄ@—eI~’XT’SEebS6™41PIVF44Vg|1€@EXg3F4X2eF4S’ú€Sl@cPp@Sq R9 F fI2 9Ig w 57 w 0 G G GI 5 7 F G7 G Tp 5p T 5I97 w 5g™   Y27RI 0 97 0ecPp@eI4@ècePfjœ˜p4eb8IeVT35¨ t06RV05 Æ   Æ e065u m©jz  k i€X21lp48b§141VI48bu6Tj@e41eI€@3Iw G 9 TW7 fp Fi7 f 0 G G 0 ÷  ¨ ý G FIg 0 G b(p 5 G 0I( 5p G2 (cP28FHG4ep6Te0…48bhSEebÃdb4VpU1° Æ   Æ dbPw4b 1tIR gDiX04h13I…48b”@”43p—PI…48b”@XI4seIiPTF 9 5 0 G G7 G w T ™ F 5 ý 9g f w 0 G RI T w 9 0 G G 9g G AI 0 f ( F 57 0 G 7RI 0g 5g FW T 0 G G 5g G G F 0q2 w 0q —4eb6Ghw4X24dbewSq¹fD„hPf8FdÈ@6TP08FvG35l1eIc”`YXGPFX94@87VG”c8b}“32V03Te0ce8I˜±Y7 u “32X0432@€@3IpvY35@y' ‚˜ ™h%TRk ¥lj ™‰‘ h‘¿8˜” hIWyy“ÑI…–'”'kleb6µ ‰ˆ6‘Òƒ k i—  ˆ– s’ æ—–˜— ‘ t ” ¶R– ‚ ‚ ê Ô è ç ÕIé0 64—48bDG˜Pù9e!¹–D•iž ÁeI– TAI 0 f f “ e › š˜•˜ … › š  T 7 ™ 0 5 IR 0 5 0 b G ™ I G A 0 5 5 0R 0 5 0 5 7 T A I b G 0 f b w p   T 0 w 2 0 p ¥ 0 T GF wF9 g i 0 R I g p 0 A 7 £œ—½f@²œdú@ESe1tDe648—48x3Ve6t6e”e@}cj4e6h’d4j}636434€6eUH3XP4jDÇSx4v4@˜f TAI 0 f 5 5 5 F 5g A27 TAI 0 f 9g 0 97 0A w F Fb {  9W T 972 cj4eb6Ghw@8I6G6we0V513I¹wv„1eI6GPwc3Ae0cs4@u4—48bDG˜dXG6FPwXF4jDiyP9Su6T44Pp694P2wPT4}xSP04Sd7VGXYX9@E1XI8FG „ 4416I44el‡35@6q4©Sz7‡´`YXG44mPT»©P2¼ef6580”654eA@‡VG6T41P(ce48bB@v€62P06F˜Dˆj6Ii48b#dbXw4b u FA2 w2p 0W 0 02 2 w Æ F2p F ˆ F G 0 5I 0b Fb 0 G RI G w 0 w 0 G F 5 R 9 F fI2 9Ig @tIBSº7h14—XY1lxPweFVGXTeF35e06G@e7@Edb©Q4P2—zqEi4—4eb6Gh˜œE8bx1±qVI4‹8IeHG43phXˆc˜S4ePTh¹Gƒ w 57 w 7 ( F 7b TAI 0 f G7 G 0 5g G 9 w FA GI2 F  FW ƒRI T w9 0 T 0 G 5 R 5 02 F 2 T FA 0 5 R I2™ 5 0b 1`YHGPFX94@d7vG`T—„Ä@ae0@37Û@º76F3wlega4ebU1tI’VY@e7eT3T603w4}XTo@PIeFVT43pVwPT46548bvG4tpi4s@e0@tI6Re0654}{ @P0c@d7vG`T~thVIPT@pVG4upXGP04@87VG¹T—„#ts8I×48bDG˜hq1tIpS48bþ2 u 4eb»3260tq@Ex¹Gƒ 9W „ ' 0W 97 Tp f F 9W ƒ 0W G AI 0 f 7 5 R G7 G I T 0W T7b 335ceA1’1X(4hXYP9VF@87e5XG4VW@7 0 5I b Fb 5 F 5 R@h6YS8746p3w@q@v@±q4qdbPwcb u VGXTjDir4jc8b6Gh¼Æ Õ P0c@d7vG`T„ Bª cI u p6A3030j…iU@4c@z7hjc8b6Ghf I w 5 w7 27 0 7b F F 0 TAI 0 f Æ 9W Ü ™ G w 0 GI22 w AI 0 P04@87VG¹T~h@}@sDY@87c3p3wS@d354VA1q4eb§1c148bHG”…@60@Eegd35e06Gh@87SEa® Þå â hnà­ ˜S87qc8bG 9W „ ' 27 RI w 5 w7 RI 0 5I 0 G b(pI 9 '  w7 T 0 f 57g å 0 f T 0 V0@EebX04@d7vG`T„ Bª 4SmX04@87VG`TmV0@SE8b†T§Æ Õ 80Se743p6w@U654eA@`Ij4@3I3wV0c‚6g80vG`TSI u jS30462m÷ 57 T 9W Ü A27 9W „ ' 57 G7 G ‰ Æ G 5 w7 0 5 „A2 T™ „ G™ w 0  ®Ìj —¯­ ° °« ßâ ®“I —¯­ z ° þ« Þ  x â XTodbXw4b u 6Ge0‡h@e7dc8b”8Ia30446Ae03TP0eFXGXF@E€3¥4X2|SmeT6Ge0hI u ac8b’4@7 F F T 0 f T 0 G G wp 5 97p 0 F RI T G 0 G A2 ¨  Á ° Þ «â à 2 FA2 1PIeFXG44@3Iw 0 G YW G 5 57 å 0 f 57g 0 G 0 Ib™ w 5 w7 0 5 „A2 T 5I¸  c8bx“’3A80œº739V0ae0@® ¥àå â |ŠÞ­ eT6580DG˜@e7@Ea4ebl6™351Dq0 u 4s@6Y@e743p6w@”654eA@`Ij4@3I3wV0}1EBc± H° ¯ eIpzŽX° ¯ @48b‡“321cP2eFe5VGaeT6TP0iV0@’”•X° ¯ eIG ¯ H° ¯ 3TX08FHGPF@E€6¥4P2i4ebÈ@6Y@e743p6w@d354VA1`Iv„VGVTE”1E¸ G 27 G G 0( T 9 57 97p 0 F 0 G™ w 5 w7 0 5 5C 5I ®“”•H° —¯­ x à « « Þ ß âvz ®“”“H° —¯­ ° Á à ß ® ¯ H° —¯­ ° á}Þ XRpHY41’4@|XR‡X04@87VG`T„ “ª XTè#Æ Õ 3g80vG`TSI u G F 92I A27 F 9W Ü F Æ „ 7 G7 I T 2 w 02I T2 w2 R 9 5 0 TIg ( Tp G FW T 0 G G ( F 5 0 aœE8bG u 4eb‹@37e41‡4@PI8FDG44tpÈ@z7V0e1Hq8FXGVF1lx4P2VF4aVG6T80x`YXGXFP94Sd7VGic8bp8IpcP24V248pDG~Þ •Ͱ Ó à Ð Ú Ñ ý t Ó Ú Ñ â Ý Î Ó Ï Ò Ù × Ò Ñ Ó Î à Ý Î Ü ÒÙ Ù Ø Ð Ò × Ú Ð ÎÙ Ô Ó â r à Ö Ö zmvÛBèÎ ¤uÈB}ÞmĤrà…|”B’e}}ސ3ÛrÚ”4Û€v|Dro|Ík“ªÌ±Õ
  • 146.
    û © ø¢ 2 ÷ ¤ ù $ ‰ ˆi ¥¤  ¦¦ ¢   ¢ $   8 6  ù¦ … ) E ù õ ¢ ø ù øô   ù ù $   ø ù¦ ¤ ¢   ô 2 $   ù ‡XQH11‡‰xb£  ¡vd¡yw ¨¥vIHc‰£–ö1‘TS¥x‡bI£}(7eTrb‹‡WöV¥a‡§°3V£0) ù $     ¢ $   ù Eô   ˜ û 2 $   ù )  ô Eô¦ … )ô ù¦ ¤ ¢   ©¦¦ ¢ ô  ô 2 E ÷ ø ø ÷   E ©  ô¦ô ¤ ¢   © ¢ ¢£“IH‹X¨e¥—S`1¡1£d„„¨`§71~¨mö1IaXx5§¥1§(¨b1¥T11ƒ!Xb‡ˆ¥T~¨ö¨b¥£XP¥~) ¥A¥T§b¡‹¨Bx0¡10`ö1§Q¨`§öV~¨„b‹‡b‡ˆ¥T¢5ö¨b¥a‡xb£!{Vgý´kb7©ó ¦ ¢ E ô … ©   ô   @ û 2 $   ù ) ø ù ¦ ÷   ô E ô ¦ … )ô ù $   ø ø ÷   E ©  ô ¦ô ¤ ¢   ù $   C $ E üû ú û õô m } g z i o w it utr q wt or ¡ ž i m Ÿrr ž h gt it } h g u h j k gn m k j g i h g sR|{yevvfyv¢s1(0 qvHl‰{qsl‰slv†Bgyl‰(9‰f û ©¦ ù 4ô   E … ù ø œ  ™ 2 œ ›š ™     ÷ ƒ¨Tƒ¨(0Tù 0(£` y‡ ˆ‡ ™1¥¢ ¥—„ P“V‡ ô  ¢ © ø ¢ ô õ ¢ )ô ù $   ô   ø … ¢ ù 2 ÷¦ E ô ` ˜û ú û õô ó ` 2 $   ù ) ¢     ÷ ” ' ù õ ÷ “ ø ù 2 ø ' $   ø ÷ ¨´y‘Xƒ1§‡ƒ~§m¢£|¥P¨e‡‡9W‹b1ö01§¢VG|bb7©£013V£0WaXVm€–‡b1Û“X¢‡B3£‡b‡ 2 ¢ ' 2 øô $   ù $     ¢ $   ø ¢¦ ÷ Eô   ø ¢ … ô ù Eô   ˜ û ˜û ú 2 ¢ dû ú û õô ó ù ù ` Ž ü ” “ ` F ” “ ` õ ¢ 2 – 1I!3Xöbeb£€IH—ƒ§1X¨e‡ƒH‚¨X¨e¥—¢—´°1Ie|0`ö©r`(‰dˆm—ƒV•—ƒ1QHT¥¢ • `1‡X{V¥U715b’Q9¥V‘V—XXb¥R¥X‡d(1–Ž ‡ €1` ‡ ‹V¨býƒ{‘010ö`H0b§b•ù ƒHX“13V£0) õ ø … ¢ ù¦ `û õû ù Œ   2 ø ù $   ¦ ¢ ø ù 4 ù ` ” “ ’  `û õû ù Œ © E ù ô E … ù 2 ô $   ø ¢ $ 2 $   ù  ô Eô¦ …  ù ¦ ¢ ø ù 4 $ õ ÷ $  ¦  û ) ù¦ ¤ ø … ô   E ù 4 Eô ¤ ¦ ù 2 ) ù $   ø ù¦ ¤ ¢   ÷ ô  ô 2 ¨X¨ö13–§¥£`‡0ù b‡V£¨€•€0ö1Xbc§(00‡T¨bf0b¡~gbQ‡W71¥a‡11•¨m¨šXc1¥¢ Ž ô õô ø ù $   ø   … ù E  ùŒ ô  ¢ © ø ¢ ô õ ¢ )ô ù $     ø ¢ … ù 2 ÷¦ E ô 2 $   ù ) ô $   ` ø ù 4 ù C †§ƒö(ƒeb€‡V0X3d{g¨¢{7Xƒ1§‡ƒ~§b£AI‹XQHP1€Tb17T1¨~¡1£d„€§bƒTXƒ0h(€Š “ c û¦ ¢ ô  ô 2 E ô  ô ` ø ø ù $   2 ¢ ` © ø ¢ 2 ÷ ¤ ù $ ‰ ˆi x ô ©  ô¦ô ¤ ¢   ô õ ø ù $ ƒ n¥1§(¨b1¥T“§5¨t¥ù ‡0ù Xb7V¥†‡ƒH11ƒ9•b  ¡vd qi ¨s5ö§¢¥a‡f¥7¨‡Xù ˆb“!û ‡ û ù ¢¦ … ' 8 6  ù¦ … ) E ¦ ¢ $ '   ù¦ ù $   ô   ø … ù  ô … ¢ ù ¦ E ù ø ÷   E ù $ ƒ Qb¥§13‰†d71‘T|5¥H‡q07¢£l¥v§(X‡‰•e5bHWQ0(¨T10Ûb‡£0•b“!û „ þ 2 $   ù )  ô Eô¦ …  ù ø ø ÷   E ©  ô¦ô ¤ ¢   ¦¦ ¢ ¦ ¢ Eô … ©   ô  ô © ¢ C C XV310“¨`§713d‡!bƒ£T‘5ö§¢¥a‡ƒ§¥f¥R¥T§b¡#¨¨B3U‘S  õ ô C ¦ ¦ ù $   @ 2 $   ù ) ø ù ¦ ÷   ô E ô¦ …  ù ù $   ø ø ÷   E ©  ô ¦ô ¤ ¢   ù $   C $ ¢ üû û õô b§Û(¨§b£‚“û 310€`ö1§€¨`§713d”¢£!‡€bƒ£TP¨ö¨b¥£Xb£Q!(1X~ý´ú b7©ó m } g z i o w it utr q p o k gn m k j g i h g sR|{yxqvtsRP†Bgyl‰(9‰f û üû dû ˜ ô   E ù ÿ ô ù 4ô 2 $   ù ) ' %   ø ' ù ù $   ) ø 2 ù 4 ø ù 2 ô $ E ô $ C ` üû ú û õô bý´e´™¥§edT´€¨¨0‡5‡õ 310(—¥3X–b•b£”{7Tƒ¨ô Xb“¨Ëa§¢!V1ý´£b7©ó ô 2 ù   ¢ ø   ÷¦¦ô ù ø ¢ 2 $   ù )  ô Eô¦ … )ô 2 ¢  ô Eô¦ …  ù $   ¤ ø ø ÷   E ©  ô¦ô ¤ ¢   ¦ ¢ Eô … © ¨rTey£e‡1ö¨§Û(QSV310’5X§71‘§1¥„¨`§713d£¥‰D‡„Xb‡ˆ¥TW5ö¨b¥a‡†¥U¨b¡„ƒ û ¡y€ yavt rqT ‚  w x w u s ipi h ¢ ¢ ` ù ø ù ø ù $   `  ô   ø ù ù ø gISI(‡d(`b£fT¨ÇeX{d(šù cQö1IaXV1”¨¨e0Xb¥PbY7§b!71¥£XW¨›3V£0) b û ù¦ ¤ ¢   ÷ ô  ô ` ø ù $   ù $   ù¦ô $ C ù¦ ¤ ¢   ô 2 $   ù ¦ ¢ Eô ø ù ) ÷ ù $   ø ÷   E ô $   ù 2ô ù   ¢ $   Fû ô   E ù ¥U¨(X1%Q¢£bƒ£TS§bR¥Q¢§(QbPIHG|ú §(00´ÿ {D!(§§¥#BA0970‡5‡”¢ ) ø C ¦¦  @ û 8 6 ù 4ô õ • E f• —–D•“ û 310(¢£#‡!bƒ£¨7§b¥£¡hbý´ˆ(¢‡ö©ó 2 $   ù ) ' % ù $   ø ø ÷   ©  ô¦ ô ¤ ¢   ÿ þ üû ú ù ø ÷ õ ô ð b) Trapezoid Implicit òñ θ=0 θ = 1/2 c) Euler Implicit Unstable î ï Unstable θ=1 í a) Euler Explicit R(λ h) R(λ h) Stable Stable 1 R( λ h) 1 Unstable Stable î I λ h) ( í ï I( λ h) I λ h) ( × âÓÒ×Ü× Ô ÐÓ ÙÚ ßÝ Ü Ù ÙØ ÐÒ× Õ ÔÓÒ Ñ Ð Ï #rÄÇBÇávy”ràÛ€}ސ3ÒÛrÚ”4ÇñÖxBÄv”m’Î zŽ !z°
  • 147.
    û 2 $   ù ) ¢     ÷ ” ' ù õ ÷ “ ø ø ÷   ©  ô¦ô ¤ ¢   ÿ þ ˜û ú ù ø ÷ õô `1¡1£d„gaXVm€–‡b1Û!‡!b‡¨ö¨b¥£¡Ø¢—´”(bƒö©ó -2.0 -1.0 RK1 RK4 3.0 „ ü „ €‹RDº ® ª ² ³ -3.0 R(λ h) 1.0 RK2 2.0 RK3 Stable Regions I( λh) û 2 $   ù )  ô Eô¦ …  ù ù ) ø ø ÷   ©  ô¦ô ¤ ¢   ÿ þ dû ú ø ÷ õô XV310“¨`§713dm“‡!¢‡£P¨7§b¥£¡Ø´G´ˆù b‡öqó ¾ ‰6 ½ ® ³ º ­ ¹ ± ® ¼ µ ª ° ´ µ º ® ± ª ¹ ± · µ ° ³ ° ¶ ² µ ´ ³ ² ± ° ¯ ® ­ ¬ ª § ¨§ ’lD‚!“¸€s»€†fQD’W““¸!TR€Q1R ‹fd!„™fP«©(¦
  • 148.
    û Ž ¤dû ú û õô ó ù ù Œ 2 $   ù ) õ ø … ¢ ù¦ ù $   ø   ¢ $     ø ¢¦ô )ô © ø ù 4 ô © ø ¢ 2 ÷ ¤ ©  ô¦ô ¤ ¢     †IG´¢böq”`(v£¡10g‡{VIUö¢£#‡#yH£g£Dƒ§§§(PXXƒ#§sXƒHV1‡‰~5ö¨b¥a‡!£B@ è ™ Ö 6 ø sp x ù¦ ¤ ¢   ô   @ û û ¢F  ê è 7cTb!C vœ 炍‡ rHyw 71¥a‡Q¨mBQ¢F „ b1€¥¢ „ ´}71¥s¢§°!(1‚1¥¢ ê é ù $ û û ú ù¦ ¤ ¢ ƒ ô C $ 2 á × Ý yàÛ Ú Þ àÛ Ú ü Þ × UàÛ Ú ß 8 F Ü „ Þ Ý Û ƒ× IHÚ × Ü Û Ö (HÚ ø   ¢ ø ù …   ô … ù $   © ‡I£`E¥!ˆ¨‡‰¢£P¤ ù 4ô õ 2 $   ù ) ù ¦ô ã ø ù 2 ø ' $   ü ù $   ô ø ù $    û û ú ù¦ ¤ ¢ ƒ ` æ û Œ 2 $   ù ) ø ù 2 ø ' 2 ø 0‡¨ƒÇ310Wb¨§€`b‡B3£I}b£Q¨mXb¥1€eŽ „ ´71¥sƒVeb1vÅ¡1£d„QXbX‡3XƒF  ¦ ÷ ã ' ) ¢ 2  ù $   ô ù ù $   ù Î û æû û õô ó ô C $ ù ø ¢ ô $   ô   ¢ ø   ÷¦¦ô C ¥£¨V‡™‡€~IHQW¢£Q¨}(T¢£A¥W¢´G´ú b7©Ç§°!(1XW(ƒ‹§bA¥!1§(I£(X17§¨¨S#ƒ û ù¦ ¤ ¢   ©¦¦ ¢ ô  ô 2 E ÷ ô  ô   ¢ $   ¢ ù )   ù 2  ô Eô¦ … )ô ô 2 $   ù ) ¢ ù ÷ ¢ E ù ¤   ÷ ƒöV¥a‡¨¨¥H¨e¨¢1TV1”¨¨”IHY¥UW¥VWT|1•¨`§71~¨”¨›3V£0¢7(VƒU0Eg‡1ƒå m } g z i o w it utr q wt or ¡ ž i m Ÿrr ž h gt it } h g u k gn m k j g i h g sƒl{yeqtvf‘t‚vs1(0ävH|9{qsl‰v†Bgyl‰(9‰f û … ©  ù ¦ô ã ù $   ù ø ¢ 2 $   ù ) ù $   $   ¤   ¢ $   ù Eô   ƒù ¡‹b§¨€b£l¥•(ƒ!V310ù TbsI†¥‰€yH£‹`§eI€˜ á €× Þ Ý Û Ý yàÛ Ú Þ Ûà Ú Þ × UÛà Ú ß 8 F ƒ× IHÚ Ö × (HÚ Ü Ü Û ‡ á Ý àÛ €× IHÚ Þ × (HÚ Þ Ý Û Ü àÛ D8 ƒ× IHÚ Ö × (HÚ Ü Û ß ù ù â   ù ÷ 2 2 $  ù ) ¢ 2 0Xg‘£bb7¡1£d„g™1¥¢ 2 $   ù ) ¦ ¢ 2ô – … ¢ ø   … ù   ' C  ù $   ù ø ¢ ©  ø … ø … ô $   ù 4 ¢ $   ¢ $   2 $   ù ) ø ù $   C ¡1£d„ƒIH§‡0Tù ¥£(™0eXBIS•¢£(ƒvXXù Xb“§bƒUH!IH!V310!Xb¥~S#ƒ û ô  ¢ ô $     ù¦ ù $     ø õ ô ©¦ 8 6 ø ù¦ ¤ ¢   ô 2 $   ù ) ¦ ¢ Eô ø ù ) ÷ ù $   2 ¢ ô  X§´y§¢£#¥q07b™‡y™¢§|¨Y‰W‡xöV¥a‡¨y¡1£d„D¥T§(`„V|~b£‘1¥§´y¢ © ø ¢ ô õ ¢ )ô ù $   ô © ø ¢ 2 ÷ ¤ ù $ ƒ û ¤ üû ú û õô ó ô C $ ô ù ¢ E ô $   ø © ø ¢ 2 ÷ ¤ ©  ô¦ô ¤ ¢   ‡ƒH¨‡ƒ~§“¢£A§r‡ƒH11ƒ9—b“’0¥’´|¢ö©„§Í!(1XD§v(¥TS¨b£A‡g‡ƒH11ƒ9e¨ö¨b¥£X Ø ù $ ƒ b“Ùû × «Õa§b!x‡«310(¢b‹¥¢ù ¥U—¥Ô`Tù ™b£#5ƒýn5Ó310!¥H§ƒTTù ¥e  Ö % $ E ô $ C ø 2 $   ù ) ' % ù $   ¢ E ¦ ¢ ô E … ù $   `û ùû ô ` 2 $   ù ) ¦ ¢ 2 ô – … ¢ ø ù $   ô ù ¦ ¤ ¢   ©¦   ù ø ù $ ô ù 4¦ ù ) ù $   ù ø ¢ Ð  Ï Î õ ô   ¢ ø ù ù õ ù $   ù $ ¢£P§Ëö1¥£XÀ¨£0(X¢1§š0‡¨0(‘Tb¢(ƒ7Ñ“«b§(I£`bT‡Ç¢£ÒTb!C rHyw ö1IaX§ô sp x ù¦ ¤ ¢     ¢ $   2 $   ù ) ¢ ù¦ … ) ¢  ù E ¢¦ E ù $ ƒ û ù¦ ¤ ¢   ÷ ©¦   ù ø ù $ ô ù ø ¢ õ ô   ¢ ø õ ù   ô ø ¢ © ù $ yH£¢¡1£d„v¥W71~I1–}§ô ¥§Txb“WQö1¥£X1V~¨T(`b1¨}(ƒv¢§ey£‡`e§}ù ƒc0¢£  Ð  Ï Î ù $   ø ù $ C ô õ ø ù ) ô ù¦ ¤ ¢   ù ø ¢ 2 $   ù ) ù ¦ ¤ ¢   ©¦ ¦ ¢ ô  ô 2 E ÷ ¦¦ ¢   Ñ“#bSù Xb!R1¨‡Xù hX¨Ø71¥£X„(ƒl1¡1£d„„öV¥a‡Q5§¥H¥§e5b1011‡¨¥f¥€˜ û ô õ ù ‰p h ˤ ù $     ø ¢ … ô ô  ¢ © ø ¢ ô õ ¢ )ô ù $ 0§ƒX(ø §TÍd¥ ¢£l¥—XƒH“¨§´y~XQH§‡Q¨”¢£  ù ¢ E ù ù $   ¦¦ ¢ @ û úû ú û õô 0(¥T(0b£„¥’¨¥Y‘´˜´g¢ö©ó §ô !{Vx(ƒ£‡Xù ¢‘¥‘¢£c£¨Û1¡10‘71¥£X C $ ù ø ¢ ©  ø … ø … ù ) ¢ ù $   $  ô C 2 $   ù ) ù¦ ¤ ¢   ©¦¦ ¢ ô  ô 2 E ÷  ô Eô¦ … )ô ø ù $   ù ) ÿ ‰p h Ë ¤ ¥ x  sp¤ x ‰ ‚ ‰ Æ xi ‰ ‚ Ë ‰ ¤ Ë ‚ Ì ‰ ¤ xi w ¤ ˆ ‰ ¥  Ì xi ‰ 5§¥1§(¨b1¥T11B¨`§71~¨mXb¥g3}û §TÍdV¡†rvHd£dHVqx£¥~¥¥ÍHq7™(†¡qddh ¥i ¤i ¤ Ë Æ¤ Ê É È Ç ‰ Ƥ x ‰ Æ Ä x ‰ à ù¦ ¤ ¢   ©¦¦ ¢ Eô ø ù ) ÷ ô 2 $   ù ) ù $     ¢ $   ¢ ù ) ô $ §q¥VqP¥ x‹SH«dHfÅd¥d‰ ö1¥£X£¨¨¥U¨(`„1%W¨›¡1£d„vbWIHW1¥T„W¨b“ƒ û 2 $   ù )  ô Eô¦ … )ô ù¦ ¤ ¢   ©¦¦ ¢ ô  ô 2 E `13V£0S¨X¨ö1‘§m71¥£X‘¨¨¥H¨e¨¢1TV1÷ ‡ ¢£#‡!bƒ£¨7§b¥£¡h´˜´ˆ(¢‡ö©ó ù $   ø ø ÷   ©  ô¦ô ¤ ¢   ÿ þ úû ú ù ø ÷ õô a) 2nd Order Backward Implicit 1.0 2.0 3.0 4.0 R(λ h) Unstable 1.0 1.0 b) Adams Type 1.0 2.0 R( λh) Unstable 2.0 2.0 Stable Outside I(λh) I(λh) Stable Outside ‡ ü „ ´ ­ ® µ ´ · ´ ¯ ² ® ª° ³ Á ¹ · µ ° ³° ¶ ² µ ´ § ¦ ¯ ® µ º ² ¼ ¢„s|D|‹AQ€R “¸!TR€Q1|À(¿Ds‹Q€’±
  • 149.
    Œ ft †g }n {a| j z n „ x j ht f ‰ ft f n f g † j … g k „ j ƒ n r  nt ht ft f n x n ht k j |t x f g z g h xt xt i h w ft l jt r q g o n l k j i h g f e v¡’‹€rŠa}„ˆ‡#}¡€rCru‚u€¡}„~~}y#au’¡{7H’yumu¡’§ruDvuhsp©ˆm#r’rF#d ‘ hÛ ‡ u e ‡ e ” ‡“ •Ü ˆÚ ‡“ ˆÚ p w – u e ™” vs rp i —‰ g ‚Ö ‘ w ˜•Ü w vs rp ‘ i —Ü i g fÖ ’UÛ – e – ” –‰ ‘‰ Ü ` ) ø ù   ¦ ¢ ø ù ù õ ù $   ø ` ù E ô ÿ û … ê b ¦ y ê ™XXeƒI£X¢T‡ˆb!ƒV¥`1§´h§†‚„ƒ‚gé ù õ ¢ ø ù $   ô ùô¦ b ¦ y 2 ¢ ¦ ¢ ø ô y ù ø ù $ C ` ô   ¢ ÷ X ‰ u x ‰ ‚ ‰ i ƒb¥£š¢£Y§T7öŁB€1¥#¥Uù §»V(X¢!DÓ§(IH%tù aÓd£d‹x ¥ˆ b¢£y¨eV7¢W§ô ù $     ô   ÷¦ ¢ w us e p i g e Ö Ž d c b vtrqhhfAXWFŒ Ú ‡ û ú Ž ‡ ´nŒ $ Eô $ C ø ù 2 ÷ ô  ô 2 a§¢!!`b11V§(¨b1¥TE ù $   õ ô 2 … © ¤ 2 ù ô ) ø ù   ù 2 ô ø ù C ¢ ù $ ƒ ` ù )ô   ô © ¢ E ù 2 ø C ø õ ù 2 ÷  ô¦ … ) ¢  ô ¦¦ô ¢£b¨b1H™¢Tb¨„XX(0b—§m`I‡1¥gb“äa§(™¨~UU0bQ‡Â(X‡¢1e5ö1‘¥€£¨k¨§žb þ §(XT¢|Yb£WˆWI 1¥ 0„b£Ybö¥I’¥§e5b§›Ix¥¨b‘ƒ1S¥§eI1¢W0(‰‘§ô ô   ù ÷ X ù $   I ¢ 2 ¢ $ ù ) ù $   ù ÷¦ ¢ 4 ¦ ¢ô  ô ô ¢ ¢ Eô ) ø ¢ $ ¦ ¢ô   ¢ … ¢ ù … ) ù ù $ ƒ û ù 4 ¤ ¢ ù 4ô õ ô   … ) ÷ ¢ ù $     õ ô 2 ø E E ¢ ù E ¢ … 2 ¢ ù )ô     ÷ $ õ ÷ ø $ ¢ÕTb“¸Q‡(9IÒTƒ¨‡ÍV§(V~V(Ib£‘£yb¨bƒTTIX¥1Ò1¥™§e~V‡1¥b‡¢£    ¢   E ¢ ô $   ù 2 ¢ 2¦ ù … C U ù $   ô   ô … S¦ ¢ Eô … ©  Q ¥£X10~I¨b£0(1÷ 1¥À§Tb¿{1Vb«¨„¨‡9£TIU§¢3€R¢ X{£ayH0ƒP£™b‹Î ) ø ¢  ¢ 2 ù I ¢  ù ' 9 G E ' 6 A 9 8 64 2 0 ( ' % B¥HFDCB@)7531)¥$ # ! û ù ¤ x ‰i u  ¢ ¢ ù ) © ¤ ô  ô   ÷ ¤ ` ô  ô 2 ƒb¥ HdÍdÒd¥ !1¥T„‘1v“§Û5vVbVÓ§(¨b1¥TE ©  ô¦ô ¤ ¢   s ‚ Ë ¥ ¥ ‰ u ‰ ù¦ ¤ ¢ô¦ ø ©¦ øô ¢ ¢ ¢ ù 4 ø ù  @ û ) ù¦ ¤ ø … ¦ ¢ ø ù ù õ ù ø ) ø 2 $   ù ) 5ö§¢¥a‡ d¥TaaaaÓx 71¥§öTù Í5öQvx€¥0‡X`(—B`~0ö1¥bl¥£`bTƒm(‡‘€ƒ†¡1£d„x¢ ¥T¢§bX‡S~bvb§(I¨e‡Tˆ‡xb§bƒ€WIäTù 1y0eq¥§”¨°¨eIT§711¥D¥T§(0¥bY@ ù ô $   ø C ù $   õ ô   ¢ )ô   ù ø ù 2ô ÷ õ ¢ ¢ 2 ÷ ù   ô  ô ô   ¢ Eô¦ … … ¢ ¦ ¢ Eô   E ¢ ø … ¥ x wi¤i ˆ x w u s ‚ Ë ˆ x  w h ui ˆ wi ‚ ‰ ‰ Ã Ë Æ ˆ x Ë ¨ ¥¤ x ‰i u ‰ w u Ì xi s ‚ Ë Ã ‰ i¤ ‚ w ‰ u Ë ¥ w x ‰ Ã Ë û VyÍvq¥‰ya£–¥‰3ydÍ¥TÍ–dHm¥¥V†‰¥‹qHdÍdÕ(a£¡qy–¥y‘t‘yva¡VvÓ‘¥¥VÆ ¨©¥Óqr7£¥ÅaÍ¡fÄ —“x§™X1b¡¢~yH£gÑ!D¥¥W1¨eI~§´U¢1¥†X10(`ù £b‘y51 ‚ Ë ‰ x ip ‰ ‚ Ë Æ u i Æ Ð  ¦ Î ù E ÷ 2 ø …   ¢ $   Ð  Ï ¤ ô   ¢ ) ô  ø … … ¢ ù E ù ø ¢ô 2   ©¦ ù ô¦ … … ¢   Ì x i   Ë ‰ ¥ sp ¤ u i ‚ ÿ û Ð  Ï Î ù õ ¢   ù   ¢ ô 2 ù ) ø ù   ô ¢ 2 … ù 2   ù 2   Tö711¥e¨ô ¡qy¡H™rvdÍdv¤ cXÑ!—I‡ƒ£XxeyÔb0„XXe¨›¥Y¥ä1Tù Tb¥1T|1¨ô 2 ¢ ø   ¢ ø …   ô …   ÷ 2 ù ø ø ¢ E ©¦¦ ¢ ÷ ÷ ô ô ©¦ ¢ ¢ ô $ ƒ $ E ¢ ø … … ¢ ¢ ) ÷ ù ˜ 4 ø 1IfX‡£IXù sˆ¨‡‰esV‡Töô (ƒT•¨¨¥H(Vy¨q¨(¡¨IH¥s§b“’û a¥¢1¥WV¥VXBW|‡ ø ù ø ÷ ó ù $   ô ù ) ù $ E ¦ ¢ Eô ø ù ) ÷ ø ô ©¦ ¢ ¢ © ô¦ô ¤ ¢   ) ø ø ¢¦ ÷ … …   ) ù $   ø ¢ © Xöô b‡Hbs¨§TTbaXV¥T§(`„V|s‡s¨(¡¨IH¥¨7§bIaX†IþX‡sQÔ1b¥9fX‘#bsƒvS’ ý ñ ý ù ø ö û U’†0e¢üú ù õ ñ ø ñ ÷ ö õ ó ð ò ñ ð ï î Ó0UUe’Pô0„‘ví ë ì dPë û 2 $   ù )  ô Eô¦ … )ô ù¦ ¤ ¢   ©¦¦ ¢ ô  ô 2 `1¡1£d„S¨`§öV~¨mö1¥£X‘¨¨¥H¨e5b10E ‡ b#‡!b‡¨ö¨b¥£¡Ø¢—´”(bƒö©ó ù $   ø ø ÷   ©  ô¦ô ¤ ¢   ÿ þ æû ú ù ø ÷ õô a) AM3 -3.0 -2.0 b) Milne 4th Order R(λ h) -1.0 R(λ h) 1.0 Stable 1.0 2.0 Stable only on Imag Axis 2.0 3.0 3.0 I(λh) I(λh) F ü „ ´° ´ · ³ ² ª ² · µ ° ³° ¶ ² µ ´ ¯ ®° ¯ ¬ ¹ Á § ¦§ ‡3Al‹—‹Å!TR€‹V|¸D€!sx„À((¦
  • 150.
    ÉÈ Ç ÅÄ Œ —~¢Æ ¶qà  À À x n | j h f j x j k „ f j hq g xt f gt ht | f g z j i h ½ ft n † g | qƒÁ W’tv’#€r¿#’vm´ˆu’}a¡{7r’5¾u¼{a‹j u’y²vŠƒ˜¶}„W’urt#€m´~’Wra#r¡rP³²v° †t h »º¹ ¸ · n ft | j kt ƒ µ j k xt x x j f | j | f ƒ g … q± û d ¦ 2 ¢ ¥„VV¥‚y £ ` §I!‡ö1¥£X1Vv¨BVTe‡xb§bV¥ÔXX‡(s¥73V£0——ƒ¥1XƒHa§Û†U‡T(~5ö§¢¥a‡“Xöô b‡Hó ¦¦ ¢ ø ù¦ ¤ ¢   ÷ ô … ù   õ ô … … ¢¦ ø ù 4 2 $   ù ) Ð 2 ø ¢ $ Eô “ `   ù   ©  ô¦ô ¤ ¢   ø ù ø ÷ ù $   © ¤   ¢ $   ` ù ø ù ø ù $   ` 2 … ù b ¢£YxIHA¥(ƒ0(`b£Dƒ11Py£û „ ¡U¨¥x¨g“ ¢gIHeƒTöTg¨5ô a¨b!C ¥{ ¯ © ¢ C¦ ¢ ô ’ ’ ù   ¢ $   ø ¢ ù¦ E ô   $ Eô $ ) ø ® ® ‹¥ ­ !× „ Þ Ø  ™ Ö Ø  ù ø ¢ (ƒgd ‡ ´ú û ¥¥3X€Sxb“x´d ‡ ´yty#¥¥¡ø •§ô ~¨ô ü ‡ ´yty#¥¨eV77•§ô ‡ ´qty1%“ƒ   ø C  ù $ ƒ û û ú û X    ¢  û ú û X  ô   ÷¦ ¢ ‡ û ú û X  ÷ $ Ž û ú d ‡ ´nŒ é Ö „ ¥ ¬ ¤ ‡ « 7ª  79„B‚0E ¨Ž b ¦ y ¥ „Œ © b ¦ Ø ¦ §Þ d „¦ £ ü Ø  ø ‡ á w – vs Ý e u b Ø „¦ €Þ £ Þ ‡ ¥  Ö w – vs e ß u × Ý ‡‚ d „¦ ‡ ô   ¢¦ ù ø ù $   ù 4ô õ û ú X    ‡ û û X  ô   ÷  ô   ¤ ÷ §(IÔ0(ˆb!0‡5‡}ü ‡ ´Eû 3‘£¨ô ¥‡ ´ú t3f¥7§(Ve5eXV1´ÿ Ž û ú ˆü ‡ ´nŒ á × Ý ‡“ Ú Þ ‘ hÛ ‘ aÛ b ¥™× £ Ü ‡ “ Ú ß Ø „¦ ¤Þ × ‡ “ Ú Ö × ‡ “ Ú ‘ yÛ Ý ‘ (Û Ü d „¦ ‡ ‡“ Ú ‡ ‘ aÛ þ „ bü û ût3g¥ 0‡5‡»1¥¢ „ b›¥§edT´»§»T¢§(ˆ0„e¥#§b“£X10e‡¢b§¢1¥ÔXXƒ{!IY3V£0) X  ¢ ù 4ô õ 2 û ü ô   E ù ÿ ô 2 ù ô   ù ) ¢ C ô $ ƒ û … ù   õ ô … … ¢¦ ø ù 4 2 $   ù Ð 2 ø ¢ $ E ô “ ¢ C I ô   ¢ ÷ X ù ô ÷ ¢ô 2 ¦ ù 2 ) ù $     ô   ¢ )ô  ø … … ¢ ù E ø ù ¢ô 2 ù  ô уX1ƒ1a§Û’¥x!(1ˆ„¨eI1|{”¨(1E¢¢¡0b¡~#¢£Q•¥§ey¨¢UXb1¥“`1Tù XE¢bSe5bH… ù $   ù¦ … ) ¢  ù   ø … ¢ ¢ ø ù 2 û ù¦ … ) ¢  ù © ¤ 2 ù ô ¢¦ …  ù ¤   ù ¤ ¢ E ø ÷ 2 ù E ø … ù $ ¢£WöV~¥V–‡£P•¥`b§ô 1x`TöV~¥V–Ç£0b§QÔ13d}ù X0E£¥Uxù bbT`3Xbxb“ƒ 2 '¡ Ÿ ™ 0  › ' ™ A Fv§ y‹žœš“˜— – ! ! û • 2 ù … ô   ¢ ô •T£‡§ey£“§}F ‡ ´¨¨e5b10HT`ed„¥ƒHs¥ û ú ô  ô 2 E ` ø ù   ù ) ¢ ø ¢ … ô   ¢ ô ¤ ) E ù¦ ¤ …   ø C ù $   ô `   ¢ $   ù ø ù I ¢ ) ` ©  ô¦ô ¤ ¢   ø ô  ô 2 E © ø ¢ ù E ù §(IH§¢WTg71§ô ‰XX‡gb§kUI1£g(b÷ xƒP~ƒ5ö¨b¥a‡‡¢¨e¨¢1T£‡ƒ£XTX0b ¢ ¢ ` 2 2 $   ù ) ù 4ô © © 2 ù E ÷ 2 ø … Ð  ù $   ø ù 4¦   ) ù ¦ ¤ ø … ù $   2 ~¥!ƒ1I¢ ¡1£d„ÅT‡5‡õ ¥¢ ¤ 0X1¢3XbÑ’”¢£x‡†ƒ¨XY£g¨ô 0ö1¥b†b£Å1¥¢ „ Ž û ú F ‡ ´nŒ ê ’ ’ ©  ô¦ô ¤ ¢   ¦ ¢ Eô ø ù ) ÷ ø ˆ“ @5ö¨b¥a‡ƒ¥T§(`„V|“ƒ†ó á i g e ß   ¢ $   ø ¢ ù¦ E ô  ô IH#ƒU7T“§Û5b` Û ‚Ö  Û – i e ù E ô ` ù $ Ö hg pXV§(†ƒ0b“ƒ i – hRV g e ‘ þ ÷ $   `  © ¤   ù ø … ø ù C $ Eô $ XV|1’‹0(Tù bTù ˆI7a§b!C i – g ŽXXeb†VHhHT1¥§(XTù b3dù e ) ø ù   ù $   2 … ù C ` ô ø …  õ ô ô ¢ ) ù ø ù $   @ û   ÷ 2 ù ø   E ¢ ù ¤ ¢ E 2 b§b¨ƒ~T(vb’†3‡0(‡0¥v—E~¥UPV¥¢ `e‘XXƒ0£x~‘0S¨ô aÛ DÚ 5e¥H%¢£  ) ø ù   © ø ù 4 ù   ) ) E ‘ ‡“ ©   ô   ¢ ÷ X ù $ ü ‡ü „ ´ ­ ® µ ´ · ´ ¯ ² ® ª° ³ Á ¹ · µ ° ³° ¶ ² µ ´ § ¦ ¯ ® µ º ² ¼ ¢„s|D|‹AQ€R “¸!TR€Q1|À(¿Ds‹Q€’±
  • 151.
    Ž û ú ú‡ ´nŒ Ø b â £ ÚØ â d â Ö Ú â ô ©¦ ¢ ¢ ô ÷ ¢ô 2 ø ô   ¢ ÷ X ù ¦ ù 2 ) ù $   ø ù 2 §(¡5¥H¥†¨(1E¢b“ƒ7¥§eyH%t00b3‘•b£“`b§ô 1 ù à û ò õ ý ñ ý û î “áfsU’‘”ß Þ ì Pë û ô  ô 2 E $ E ø ù¦ ¤ ¢   ÷ © ¢ C¦ ¢ ô 2 $   ù ) ô $   ` üû ú û õô ó X1¨e5b10‚a1÷ “‡ö1¥£X1Vv¡U¨¥!¨¨¡10“§b11’|£b7©£  õ ô 2 ø E E ¢ ` 2 ¢ $ E ø ¢ )' ù )ô   ù $   ø 2 ù ÷ õ ô ¤ ô 2 $   ù ) ø ù¦ ÷   ô Eô¦ …  ù ù $   ¢ E ô $   ¢§bX‡T0¥¡ƒ1¥eaƒ~–„¨e#b’‡‘0(1m¢§Xù ’¨}310AX71§A¨`§713db!ù ¥Uf§bW§ô ` ø ù 4 ù C Š û ù ÷¦ ¢ 4 ù õô ù © ø ¢ ô õ ¢ )ô ù ø ÷ … ¢ $  ø   ¢ ) ô $   ` ’ ô 2 … …    õ ô 2 ø E E ¢ 2 0X‡dI(—DXT¢ö¥IT‡7Xr‡ƒH§ƒƒ¨m(b¢#¥H~5ô eI~¨b£3Q7©b1Tù 1€W£Wb¨bƒTTI71¥¢ ¥ `dŽ „ •ac „ ¡“˜¨˜ ‡ ´Et3™¨š©(eyX¥HX•b£Hƒ1IH€`b£Ib†‹#X£‡ƒHR¥T(”‡5eI`b c é Œ Ü Û ô û ú û X  ô ô ø   ¢ ) ù E ¢ … ù $   ` 2 ¢ $ ø ù $   ù $   Î û   ø ¢ … ¦ ¢ ù ø ù 4ô   ¢ õ ù $  ô C ù ÷¦ ¢ 4 ù õô pp ø ù¦ ¤ ¢   ÷ ô 2 $   ù ) ô $   ` dû ú û õô ó ) ø ` 2 ¢ 2 $   ù ) õ ø … ¢ ù¦ ù $ ¨ÛƒT¢ö¥IT‡7Xù q¥Ë ‡’öV¥a‡11g§ˆ¡1£d„R¨b£(3G´†bö©·{(ƒV¥310“‡{3¥U7„¢£  © ¤   ÷ 2 ùô ø ¢ E õ ô ù ¤ ô õ ô $ E ø ¢ )' ù )ô   ù $   ` ©¦ ø ¢ ù¦ û ø ¤ ) ÷ ù 4ô   ¢ õ ù ¦ ¢ ù ø ø ¢  ø   ¢ ˆV‡v0ö(ø ƒUeb§`ES§”b§baXƒ~d§(Qb¡¥¨QUöS`Xù W1%€‡¨(I`bÓ¥T(•ù ƒ~5ô eI~) ô $   ù ÷¦ ¢ 4 ù õô ù ù $     ¢ $   2 … ù C ’ ô 2 … …  ) ø ó û   ùô E Ý ù E ø ¢¦ ¢ E ù 4ô  ô … ¢ ô ¨b£†¥fTb7¥Iˆ0‡ö`Ûb£’yH£g1H“hYx5¢1Tù 1QþXtu†T7X‘{|T’QÔ¥T#ƒ¨e5(‰‹A¨vÚ ¥ ù Xb!AŽ „ c ‡ c „ ¡““Y5((I~b£#0X1b¡¢P3V£0“уVƒHa¨vP§b¨X10(`ù £bX¥1 ø ù $ C Œ Ü Û p Ú ô ø   ¢ ) ù $   ù E ÷ 2 ø … 2 $   ù ) Ð 2 ø ¢ $ Eô “ ô õ ô E ù ø ¢ô 2 ù E ¢ … ù $ ƒ û ô ÷¦ E E ÷ ô 4 ¤ ø ù $   ¢ ø   ù ù ø …  ¦ ÷ ø ù $   ` $ E ¢ ø … … ¢ ù   ù ø E ô 2'ô ) ù $   2 b“QX1¨(17T1¥T‹1ƒ§|Q`b£IˆT(0(bQ£¨V(Tù bÓƒa¥Xb1¥eed(XX§bB5Tù eb¢1¥¢ ù Eô ø   ¢ )   ¢¦ ÷ E øô E   ô … C ùô 4 ù $ TX¨((Ie¥Ô1`7X“¥e§‡‰!07´~b£  X{T71‘¥VdÇb¨bT`T(¢b~b¨„¥V–ÍI!B@ ) ø ù¦ … ) ¢  ù õ ô 2 ù E ù ø … ù $   ù ô ) ¢  ù ù C û ù 4ô   E … ø ù …   ù ø ù ¢ô 2 ¢ ) ø   ¢ 2 ù 4 ø ø ¢   ÷ ¤ ` ô ÷ E ô ƒ‡5edTù `E!0(XE¢¢‘»{“I™Tƒ¨ô (ƒ€VbH01¨(VX¨b2 ÷ ô 4 ø … ø ÷ ¦¦ ¢ ô õ ù ¤ ù 4 ¢ $ ù C  ù ) ¢ ù $   ©¦   E ¢  ù ô  @ û   ù 2ô E E ¢ ¢   1ƒ§|0ù b#b‡l¥9§¥7¨rb§ô 1÷ TXù •‡UH•hc„¥b£¨£d¥Vd5¨ÛBA†T¢§X0¥†¥—¥1§ô `I(‡d(`b£Ó0§ô 35¥H¥‹Xöô b‡Hrb¢§mX(0¥£QH†¨ö¨b¥£Xgb‹‡ä~IgX§ƒ1axb“e`~0ö¦ ù ø ù ø ù $   ` ©¦ ¢ ¢ ø ù ø ÷ ó ù $   ô ø ù   ù ) ¢ ø ¢ … ©  ô¦ô ¤ ¢   ù $   ø  ù Eô $ E ù $ ƒ û ) ù ' ¤ ø … ¦ ù 2 ) ù $     2 $   ù ) C  ù $   ô   ¢ Eô¦ … … ¢ © ¤ 2 ù ) ø ù Eô ø   ¢ )   ¢¦ ÷ E øô E ù $ ¡bÓTb¡~b‘!V310Sb£s¥v§(IU¨ö1V¥†™0„X‡#T`§((I~!ˆIÔ1`ö`¢£  ¥ aHr¥yHd¡5d‰ ¢£eb¨b1H„‡Qù bbT`3Xb—ö1‘§ô eQ¢§öV‡†T(ˆ0(0(b“‡1÷ F0ö1‘¥Vd}S  ¥ ‰ p Ë Ã x ‰ Ìi ù $   õ ô 2 … ø ø ÷ 2 ù E ø … ù¦ … ) ¢ ù ô¦   ÷ 2 ù   ù ù ø …   Ù ù¦ … ) ¢  ù C ù $   2 ¢ ` ) ù   © ù $   ¢£‚1Iƒ†Te‡¡Xe¢£’¥ yda¥Hd¡5d‰ I•£Tù T(¢T(ø ‡ ´0t3¢¨ô vs Øb£‰¥(IUe¢£~¢§Xù ¤ ‚ w ¤ u ‰ à x ‰ Ìi ¢   ù ø … ù ‡ û ú û X  w u e ù $   ` ù ¢ E ù $   õ ô $ E ÷ ÿ û   ¢¦ ÷ E øô E ô û û X  ) ø ù $   ô   ÷ … ô ù ) ù $ E õ ô E ù ø ¢ô 2 ù $   ù $ C 2 ù ô a1´†¥ÔVX7X!§t` ‡ ´ú ty’¥¿ƒb™¨“V¢—¨”TbaXb¨X10(`ù £b¢£‚0b!†0b§) 'ø ù  ù 2 `  ø  ¢ €X(0b95ô eI~) ‹b£AyH£’¨Ø¨(¡¨IH¥e¨ö¨b¥£X’`ö(¢‡H‘§r¨eV‘1÷ ¥b¨´5`b11vb“ƒ × ù $     ¢ $   ô ô ©¦ ¢ ¢ ©  ô¦ô ¤ ¢   ø ùô ø ÷ ó ¢ ô ô   … ) ¢ õ ô ©¦ ø ù 2 ÷ ù $ 2 ' 64 9 Ò FDvƒ•˜0 Ö †Ò y7§FB7ÍŽ5Ô~v5˜v³ÑÐ Ó 0¡ G 6 94 Õ A Ò Ó A4 Ò 0¡ ' Î Ï ! û ø ù   ù ) ¢ ø ¢ … ù ø ù $   ù Eô $ X`ed„¥ƒH•Xù {b£l¥•X¨‡1aE © ¢ ø ù ¦ ¤ ¢   ÷ ô `   ù   ©   ô ¦ ô ¤ ¢   Ë ø ù ô ø ÷ ó ù $   © ¤ `   ¢ $   ô   ¢ ) ô  ø … … ¢ ù E ù ø ¢ ô 2 ' ù   ô ˆI!‡‹ö1IaXV1§£TXT(~5ö¨b¥a‡#X7(bƒ†”bP1UyH£P¨eI~§´U¢1¥•XVT(`ù £b–e5bH… ø ù $   ¢ ù 4 ¢ $ ù C ÷ $ ƒ û y 2 `b£I1¥PƒUHhe1%“P0ÍV¥¢ ø ù – ¦¦ ¢ ø `X1¥1A§¥‡ „ ³“ ÌI1£•ƒU7T•§”¨ô a§b!C ¥{ ¯ ’ ’   ¢ $   ø ¢ ù¦ E ô   $ Eô $ ) ø b „¦ Ë b„¦By‹§ô (p œ p d „¦ Ž û ú ˜ ‡ ´nŒ ¥ „ Ö ™ ù ¥U“¨b£7@ ¢ E ô $   b ˇ á× ¥ Ý ‡ “ Ú ³× Ü ‡ “ Ú ß „¦ §¥ ‡ “ Ú Ö × ‡ “ Ú ‘ hÛ ‘ hÛ ‘ (Û Ü d „¦ ‘ hÛ ô   ¢ ÷ X ù ô   E ù 4 Eô §(IH%t¨§(00‡T¨b¤ ¦ ù 2 ) ù $   ø ô   ¢ )ô  ø … … ¢ ù E ù ø ¢ô 2 ' ù  ô … ù $   ø ù 2 E ù¦ … ) ¢  ù ø ù $   ¢ Tb¡‘¢b£x‡ §(I~§´Ub1I¢XVT(`ù £b–e5bH™¢£`b§ô 1T†öV~¥V–sX¢£¥1IvQ d ü „ · ± ª ® µ ´° ´ ª ¹ €WDs|‡3Q““± § ʧ ¡´(¦
  • 152.
    û   ø'  ù $ X¥¡‰p¢£   ~5Tùey¢Ôb0ù„‘)§•VTX`3XbWb¥¢¥U(X1€†dTù 1¨s£(b(01÷ eX—¥¡‘1eeyÔb0„XXe¨Í1—§ô ©¦   ô 2 ) ô 2 ù ù E ø … ù 2 ¢ ù   @ û   E … ô   ù ø ÷   E ø     ø' 6 ù   ¢ô 2 ù ) ø ù   ô ù Xb$Ó`¥`E1TvŠƒx¦HÎ’¥HH—§b‚1¥ÙD„¨(¥Heb£T`IdEՍ1ƒ§|P1€§}(`b“ƒ ø ù   ù ù û ¦ ¢ … ô $   2 ¢  Ï ¤ Eô ¢ ¤ ù $   ù ù C  ù ¤  Ï Î ÷ ô 4 ¤ ô ù ø ù $ ò €× Ü ‡ “ Ú Þ × Ý ‡ “ epð Þ × ‡ “ Ú Ž ð ¥ „ çÖ × ‡ “ Ú Ž ð Þ „ Œ Úñ Œ ‘ hÛ ‘ yÛ Ý ‘ (Û Ü ‘ aÛ )ø ù  ù õ ¢øø ¢ ùø 2 ~XX(‹‡b¥(ƒT(¨1¥¢ Ø b¦ £ › û ú Ž ¥‡ ´nŒ d „¦ ‡ ‘ ð   ù C ˜ û ¦ ù 4 ù¦ ù )ô     ù ø ¢ô 2 C     ¢ ù ÷¦ ¢ 4 ù õ ¢ ø ù 4 07¦ (€„X¨Tƒ0öQ„¨e!T(`ù £b‘“I•¢ö¥I•‡ƒ£`‡U¢   © ¤ 2 ù E ¢¦ … ø ù ¤ ¢ ¨ô ‚0X¥§1Tù Ë0Xù €¥1$ ‡ btû 3™§ˆ‡5eII5(X¢eXIHb£7§ô XX(l¥eT`¢£™a¨b!7§ô û ü X  ô ù 4ô   ¢ 4ô ø ù 2 ù E ¢ … ù $   ) ø ù   ¦ ¢ ø   ù E ù $   $ Eô $ C îï ‡ “ —× Ü ˆÚ Þ ìí ‘ aÛ ‘ × IÛ Ý ‡“ ˆÚ ‡ Þ ‘ × UÛ Ü ‡“ ˆÚ b ¥ × Ý ˆÚ ÍØ ¦ ‡ “ èé £ 듇 ê ‘ hÛ d „¦ ‡ Þ ‡“ ˆÚ ‘ × IÛ Ý ‡“ Ö ‘ × (Û ˆÚ Ü þ ü ø ù   … ¢ $ ô 2 $   ù ) ¦ ù I ¢ ø ó'   ø ó ÷ Ï ù $   2 ù E ÷ 2 ø   ô ù C ` ù¦ … ) ¢  ù ø ó û 2 ø ù 2ô bÛX(V¥H™¨¨¡10ÓTQ5¥tX‡‡H£•b£7T`1b¡e¨hV¥71‘¥Vd‡HØ0Tù Xb¨(1¥TE   ù ©   ù 4 ¢ $ ù C ©  ô¦ô ¤ô … ¢ ` õ ô E ù ø ¢ô 2 ù E ¢ … 2 ¢ ù )ô   2 ù ô ) ù E ÷ 2 ø   ô   ) ù $ d‡I1‡UH‹hg¨7§b¨(X9V1¢§XVT(`ù £b‹`¥HvV¥Q§(T´©„€X1b¡(§S§ô T¢£  ¥€b‹f`~V£¨ô ‡7¥l¥g5ö§¢¥a‡‰IU§ô X1%Qb“eI§1b§¢¥£¡U‘¥~Qù ƒù Xb“ƒ ù Î û ) $   ø õ¦ ¢ ©  ô¦ô ¤ ¢   ¦ ¢ E ø ù ) ÷ ù $   ù   ¢¦ ÷ …ô ¢ )   © ¢ C © ¢ ) ø ¢ ø ù $ £ û Ž ‡ Œ {Ø „æ#„¦ ç b ¦ ê d   ù ) ù øô ÷ X ù ø ù $   © ¤ ù –ô … ù   ù )ô   ô 2 ù  ô )ô¦ ©¦ ù ø ù 4 ø ù $   ¢ ø ø ¢ ù C ù ¢ E ô $   ø 2 0„0(ö¢|{(b£†`§(0e‡§(™¨šTe5„¨ö™¨0(Xƒ0ù QX¢£Iù ƒgh(IU—§b—‡™1¥¢ ù¦ ¤ ¢   ©¦¦ ¢ ô  ô 2 E ` ø ù 4 ù C $ ` ô   @ û Ð 6 ù 4ô   ¢ õ ù ¦ ¢ ù ø ø ù¦ ¤ ¢   ô  ô ù E 71¥£X¢5§¥1§(¨b1¥TDT`‡0h(1f0§”B™`—Rvƒ¨eyXb„¥T(”‡~71¥a‡¨”5s`1§ô ™æ ‡ ´§t3 û ú û X ù   ¢ ø õ ù   ô   2 $   ù ) ¢     ÷ ” ' ù õ ÷ “ ø ù 2 ø ' 2 (I£ƒXe¨•£e¡10QaXVm€dƒb1ÛAXbX‡¡1 ‡ b(V|I(Xb‡T†I¥ƒ¨1‡T“ù s´HT10b1… ù $   ù ÷ ` ù ø ÷ E ` 2¦ ÷ E b û ¢ ù ) ù $ ù õ ¢ ø    ô ¤ô $    $ õ ÷ ù ø ¢ 2 ù ø ø ¢ E   ù ø ù C Ž ù )ô   ù $     ¢ ù¦ ¤ ¢¦ô ¢ 4 ¢ $ E ¢ ø … … ¢ ©¦ ƒb¥£(X5b§¢V–ù £b‡VT•ƒv¢0öô (ƒT¥1x(`I“(§(x¢£‹IöV¥Ô¨ƒI(£a¥b1I¢51 ù $  Œ ô   ¢¦ ÷ E¦ ¢ E 2 ¢ $ ù $   ` ø ù 4 ù C $ ` ©  ô¦ô ¤ ¢ ¤ ø … ¦¦ ¢ @ û ©  ô 4 ù¦ ù ) ù E ø ÷ ¢ ¢£“1§(IÔVX§IU‘1¥H!bVT`‡0h(1¥¥¨7§b¥1bV§¥~’‡5|0ö“XÓ¥—XXb‡X—ù ¤ (1 C ¢ E   E ¢ ô $   2 ¢ ` ô   Eô 2 ù ø … ø ù $   ¢ ù C ø 2 ø ¢ $ Eô “ © ¤ 2 ÷ ¢ C 2 $   ù ) ù $ ¥T‘0¥vW¨b£ 1¥„ƒ¨ed§b0(b‘XbIUhW‡äX1ƒ1a§Û«ˆÅTù 1r¥#ä¡1£d„†b“ƒ û ¤ dû ú û õô ó ù ù ` ù ¢ 0IG´£b7©X(†0T(IUE $ E ÷ ¦¦ ¢ ø ù¦ ¤ ¢   ÷ 2 $   ù ) õ ø … ¢ ù¦ ù $   ô   ø '  ÷ ô ø ÷ … ù $   2 ¢ ù 4ô   ¢ õ ù 2 a1(Ó§¥—‡•ö1IaXV1Û§ô 3V£0‘‡{VIUöb7¨Û¥¡‰‹1ƒ§(¢bb£†1¥‡5eIXb™1¥¢ ¦ ¢ ø ¦¦ ¢ ù ø ¢ ¥Uù §§¥~(ƒŽ „ ` ‡ ' ` „ !¥•¥3XVP¢£~`1§ô ~71¥£X11˨¨¥U¨(X1%§ˆ§byH£y0ö¥T‡d(ø Œ ’   ø' 6 ù $   ù E ù¦ ¤ ¢   ÷ ©¦¦ ¢ Eô ø ù ) ÷ ô ô $     ¢ $   2 ù¦ ¢ ù 4 ù ø ù   … ¢ $ ô $   ô ©¦ ¢ ¢ ø ÷ Î `eV¥1¨b£«§r§ô ¡¨¥HIb•Õû aƒ~v„¨e†b£g‡À0(1÷ 3V£0c‡{3¥U7™bŨÛC $ E ø ¢ ) ù )ô   ù $   ø 2 ù 2 $   ù ) õ ø … ¢ ù¦ ù $   $  ô Ž û ú æ ‡ ´nŒ å ® Ž Œ b Ø „¦ Þ Ú „ ‡ ¥ „ Ž c c vÛ £ Œ d Ö Ú ä ä ã ä ã þ Ð  Ï Î ) ù   © ù $   3áXÑ“•’¥¿0eX¡‡¢£“¥¢ ô   ¢    ø   ¢ ) ô 2 ù ù ø …  ù ¤ ¢ E  ô 2 $   ù ) ù   ø E ô 2'ô ) ù ¢  û ù¦ ¤ ¢   ÷ ù ¤ 2¦ ÷ ¥§eya¥1W5ô eI~¨¨0(XT(¢V–Bù IU„¨„310!e0ù XX§bB5T(#€AƒöV¥a‡11vE~§1‡SC $ E ¢ ø … … ¢ ô $   ¢ $   ©¦ ù   ¢ô 2 ù ) ) C I C ù C 2 ¢ © ¢ 2   ø ¢ ù¦ E ù  ô ÷ X ô   … ù E E ù $   ` ø ù 4 a¥b1I’§¢fI1£Q5T(IÔb0„‘§ô (1ˆ1(1#he1¥UH¡£|ƒU7TSe¨¢|³§uVT`1TSb£0Xƒ0ù '#(—•0!(1ˆ¥V¥#~¨7§b¥£X1¨qIU§ô X1%A¥•V0X1¥Te¢£†¥§e——Ó1XƒHa¨vc@ C Š û C I   ¢ C ©  ô¦ô ¤ ¢   ô ¦ ¢ E ø ù ) ÷   … ù E E ù $   ` ù )ô   Ð 2 ø ¢ $ Eô “ û úû ú ô   E ù ÿ 2 $   ù ) ø ùô ø ÷ ó ù $   © ¤ ©  ô¦ô ¤ ¢    ô 2 ù – ©¦ ¢ ¢ 2 ´˜´~¥§edT´¨¨ô 310“X7(b‡H”bP5ö§¢¥a‡“£¨¨T`¡¨¥HI‚1I¢ ‡ b£t3†§ô û ü û X  2¡10Q§¢£0eTù Tù beù —QE¡!§bA¥—1§(IH%tb¨eI‡X(ˆ¨Bƒ™¡1£d„¢T(¥9Xb… $   ù ) ô $ 2 ù   ø … b û ù … ©  ô $   ô   ¢ ÷ X ù õ ô   ¢ ø õ ù   ô ø 2 $   ù ) ¢ 2 ù … ø 2 ø ¢ $ Eô “ û ó ô C ù â ` Ž   E ¢ ô ` „ › Œ ù¦ ¤ ¢¦ô ¢ 4 ¢ ù ) ¢ E ù ¤ ø ù   ÷ … ) E ù ø ¤ ø ¢ ù © © ¢ X1QHa§ÛÓh•§ÛdgÓ––0Iv™§tVé V(„ ‘71¥§§ƒIUW¥U0E€`eVb‘0e(ƒ0ù ‹ƒT‡†¥‚ã ˜ ü „ ´ ­ ® µ ´ · ´ ¯ ² ® ª° ³ Á ¹ · µ ° ³° ¶ ² µ ´ § ¦ ¯ ® µ º ² ¼ ¢„s|D|‹AQ€R “¸!TR€Q1|À(¿Ds‹Q€’±
  • 153.
    Ž „ —´nŒ Fûú ¢  ô )ô¦ ù $   ù I ¢ I†¨§öyb£YQPa  Ž é Fû ú —´nŒ Ød â ÚØ â Ø b „¦ d „¦ þ ÿ£ ‘ þ ù ø ù $ (`b!C ¥ Ø b â £ ÚØ â d â Ö Ú â 2 … ù b û VHy’¢é Ì„~c „¦ ý b ¦ d › û ú û X  ô ) ø ù   ù $   ù E ¢¦ … ù $  ô £5ÛC ¥‡ ´mt3¸¨~~XX(yb££X¥§1TÛ“ 2 ¢ ô ¢ …  ù ù 4 ¤ ¢ ù $ V¥c1¨(1¥1V–›‡(‰¥äb  ‡ ü b iii Þ ‡ “ Ú vvvi â Œ 3„¦ û Ø „¦ („ paap p d ‘ aÛ Ž „ d Ø „¦ ‡ („ ¥ ‡ “ Ú w w w w b â Œ Ø „¦ ‘ aÛ Ž „ ü b û i w Þ ‡ “ Ú vi â Œ y„¦ ö¥ ‡ “ Ž Ú w â Œ ‘ aÛ Ž ‘ aÛ d Ø „¦ b Ø ¦ × Ü ˆÚ Þ ¥ ‡“ ‡“ DÚ ¥ × DÚ ˜× Ý ˆÚ ‡“ ‡“ ‘ aÛ ‘ × IÛ Ý ‘ (Û Ü ‘ aÛ Ö ù E ù ø ¢ô 2 ù E ¢ … 2 ¢ ù )ô   2 ù ô ) ù $   ø 2 0X10(`ù £b•X¥HX™V¥§ev0¢©„•b#‡71¥¢ p p aap Þ ii ‡ “ Ú vvi â Œ Ø „¦ ˜ d ‘ aÛ Ž „ Þ ò ‡“ Ú i Œ ‡“ Ú ‘ aÛ Ž â çÖ ‘ × IÛ Ý ¥ ‘ × (Û Ü d ‡ “ Ú ñ „¦ ‡ „ ù 4 ¢ $ ù C ù 4ô   ¢ 4ô ø ù 2 ù )ô   ù $   ø ó û¦¦ ¢ ) ƒUHh‹‡5eII5(X¢‹„¨eb#‡Hun¨¥~ © ø ù 4 ù ) E ù ¤ ù –ô $ ù ) ù $   ¢ õ ô 4¦ ©¦¦ ¢ ÷   E ¢ ù ø ¢ ù C ô   ¢ ÷ X ù ¦ ¢ô   ø ù ¢ô 2 ¦ ¢ô   ø ¢ … ù $ ‡Xƒ’TT0E!X¨(‘0„!bDI•b§|¨¥¨§IHed¥!(ƒ€hx¥§eyH%tb¥§eTù XE¢b3¥Ô(Xƒ1—¢£    E ÷ ø   E ø 2 ¢ ùô ø ø ¦ © ¢ ƒ ¢ › û ú X  ô ) ø ù   ù $   2 ¢ …  ù ù C ` ô $   ù 4 ø … d1((X10Tù ¨V¥!T7(Xù #‡¨3UsWv§ô I‡ ´£û 37¨5~XX(‹b£v1¥1V–mI3T§¢£‹‡(Xbxsƒ û  Ï ¤ ¦ ¢ ô õô ø ù $   $  ô Dˆ¥1§‡7(‡•b7¨ÛC dÓdd§d¥ s u x ‰¤ ¥i ¦ ù $   ô ô $   ø 2ô ¢ … ù 4 ¢ $ ù C ù E ø … ù $ ú x w Byau ¥“¥§b#§§¢£‡P¨ƒH‡UH•h‹X§ô b•b“ƒ û`§¥§„)V35‰…e¨e I§9XøX(ˆ¨ô”¥¢§‡b¥‡ƒ|9¥e¥§eyH§beTE qdÍr‰{#‰ ¥•b§ô 1}¡1£d„#71¥£X ¦ ¢ô ©¦ ô ¢¦ … ù   ô õ ¢ ø õ ¢ â ô   ¢ ô ¤ ) ¤i u ip ù ø ¢ õ ÷ 2 $   ù ) ù¦ ¤ ¢   © ¦ ¢  ô E ÷ 2 ÷ ù ¢ ù C ù ô ` ù ø   ¤   2 õ   ) ù  ¦ ø ù 4 ¤ ¢ ù $ 5¦§¥1§ô(¨b21¥T11”¥¢11ƒ„ƒ4(1$„hAXE1¨(y¥b÷ e’ù !£‹¡3Û¡£R‘TXù |¨1÷ Tù ؃(9¥Sb“ƒ ÷§TͤdWsrq¥‰yÍtq¥‰yaÓ¡ §ô ¡1£d„•b—yH£#1IU—¨b“ƒ ‰p h Ë ¥ pp Ë x wi¤i ˆ x w u x 2 $   ù ) ù $     ¢ $   ¢ ù ) ô $ û ·õöê ð ê†x‡õb¥}ùb£¢¨ô ð ¥T(øÇ¥¢øƒ „ Pù ƒya¨b!D¥f¨¥‹¥¡‰ôã ‡ (ƒ‘(`b“ƒ é ù ¢ø $  ¦ ¢ ù © ê ø ¢ $ Eô $ C ¦¦ ¢   ø'  ù ø ¢ ù ø ù $ ð Þ „ Ö ‚ „  gBq0E ð ™ b ¦ y ¥ b ¦ „By Ø §( Ø ð ô ô Eô   ¢ ø 2 ¢ ÷ X ù $   ô   ÷¦ ù $ §m§(I£¢¥H%Hb£l¥v¨eV7b“ƒ ¥ ¥ ¥ Þ „ „Œ é ÖAŽ ð Ž9b„¦•ó’Œ{0E ð ‡  Œ Ø 7Ž ð ø ‡ á w – vs Ý e u Þ Þ w – vs Wß ð u e ¥ „ ç‚7Ž ð Þ „ Œ  Œ Ö  × Ý 7Ž ð   ù E   ¢ 2 ¢ ù¦ ô $ ƒ û û ú ô   E ù ÿ ô 2 ù E ÷ 2 ø   £•XV!I!1¥Tö!§¢“A´ú |Ë¥§edT´€¨€0X1b¡(§ô ô ©¦ ¢ ¢ ©  ô¦ô ¤ ¢   ø ùô ø ÷ ó ù $   ¢ ù ) © ¤ ô   ÷ ô $   © ø ¢ E   © ¢ C   ù¦ … )ô ù $ §(¡5¥H¥¢¨ö¨b¥£XX7(bƒ†b¥•1IUcˆ¨”V‡•§bXø ƒU7£cUXT71‘§(‘b“ƒ ú iü „ · ± ª ® µ ´° ´ ª ¹ €WDs|‡3Q““± § ʧ ¡´(¦
  • 154.
    ï é B Cî é „ é èA ¥ Ö 9 c ï„ B Cî „ ¥ „ 5š é „ „ ¥ d 9 @Þ Ú 7 8Ö Ú ¥ „ 5š é ¥ „ é „ é „ é èA ¥ Ö Ù7 $  ô £5ÛC à Ö HÚ ã  Ï Î ù $   ø ù 2ô b£“X¢§(V€û „ ã ý 5 ò ø ÷ î ð 6T‘Aç4 2 ì 3Pë û 11‡‰“‡ø XsXƒe¨¢ƒ†¥çÖ XV310ƒTQ5¥tX‡‡H€•Ï 2 ÷ ¤ ø ø ù © ø ¢ ø  ô ¤ ø ¢ ¢ û 2 $   ù ) ¦ ù I ¢ ø ó'   ø ó ÷ ' 2 1I¢ ‡ —!‡1¥§e5b107010e‡§(VT†1¥†d¥£b`T¥f¥Xƒ~~V´Ø¢—´”ö1Ifƒ ” “ ø ô  ô 2 E © E ù   ô E 2 ¢ © E ¢ ø ÷ E E ¢ © ø ¢ ) ) ÷ ÿ þ Fû ú ù¦ ¤ ¢ 1 w ! £ # ! ) b 0¦ d „¦ % ù ø ù ø ù $ (‡d(X¢“ƒ á w – £ i – ß ' % (Ø ¨s¨1 ô ©¦ i ! Ö $0eI~§´UbVQ # ! ù   ¢ )ô  ø … … w ! £ i ! # ! # Ö $! $  ô £5ÛC `   ù   ô ©¦¦ ¢ ô  ô 2 Tˆ0e‡§(V~¨¨¥H¨e¨¢1   ù   ©¦ ) ø ô T(X§ô 1¨‘ƒ¨b— © E ù  ø d1T(X§ô 1—‡Hó ù¦ ¤ ¢   ÿ ©¦¦ ¢ ô  ô 2 E 71¥£¡„¨¨¥H¨e¨¢1TV€ ù¦ ¤ ¢   ÿ ©¦¦ ¢ ô  ô 2 ö1Ia¡s¨¨¥H¨e5b1 Ø w – õ ê d ‡„¦ © ô¦ô ¤ ¢   ÿ ø ¨ö¨b¥£¡v‡Hó ¦ ù I ¢ø ó  ø ó ÷ Tƒ•¥££´X‡H£•Ï ê d #¦ ¢   ÷ ”' ù õ ÷ “ ø ù 2ø ' 2 £Vmd‡bVv!`b‡B31 ‡ û ù¦ ¤ ¢   ù $   ƒ71¥abv§ô C $ 2 $   ù ) ¢     ÷ ” ' ù õ ÷ “ ø ù 2 ø ' 2 E ù ù $   ô  ô 2 E © ô¦ô ¤ ¢   ù $   © ¤ 2 ù … ) !(1c¡1£d„v£Vm€–‡b1ÛXbX‡¡1T0(xb„I§(¨b1¥T™¨ö¨b¥£Xxb£‚ˆ0(‰‘§ô   ¢ $   ¢ ù ø ù 4 ¢   Ù $ Eô $ C … ù   ù )ô   ù $     ô ¢ ø   E ¢   2 ¢ ù yH£‹¥(`‡0ù •¥X1÷ ~¨ô a¨b!cTe‡W§egbˆ¨ƒ£(X1¥Tv†£‹1¥Tö¦  ô $   ` ø ù 4 ù C w ¨b£lTXƒ0h(€Š þ û   ù   E ô 2 $   ù ) ù $   2 ¢ ` Ž d ¦Œ XTe‡§ô 1T§›¡10Pb£‘1¥A–X—P§ô Ø ù $   `   ¢   E ô ¢ ) ù Tb’U¥£X10e1¨ƒ~T(ø i – – I1£yU™¢   ¢ $  © ¢ C $ E ÷ ô a1(v¨é ž1I‘é y„˜BA¢—´”ö1Ifv¨šTX¨(ƒ~‘1(“¨Í§(IH(¨(•b“D`TX¨(†T(X ý b ¦ 2 ¢ ý d ¦ @ û Fû ú ù¦ ¤ ¢ ƒ ô 2 ù –ô ø ¢ ) ) ÷ ô ô   ¢ ÷  ô ù $ ƒ û ù –ô … ù   ¦§¥~¨¢§bX§b¥I“‡¢0‡0ù ¥ry(x€#¡y—d(•cyÍv¥1 ¡ xHq‚qqA„Hd€d§dVya7rgyU H¡ ¦ ¢ ) ©¦ õ ô $ ô ¢ 4 ø ù 4 ‰ Ãp w ¥ w ¤ ¤  w ¤ ‰ ¥ ‰ Ä x w i¤ Ë ‰ ‰ Ƥ Ƥi Ä ¤ x ‰ ¤ ¥i ¥ x w u sp ‚ w i x › û ú û X ¢ E ¢ $ E ÷ @ û ô   ¢ ÷ X ù ô ÷ ¢ô 2 ¢   ` ô   ¢ ÷ X ù ù 4 ¢ ¤yÓe§i ¨¦¥£¡ É ù ¥U‘ca1(™“0¨eIH%{€¨(1E¢¢‘Q¥1†ƒ¨eI1|{‡UC ¢ ¥‡ ´0t3 w x ¥ © §¢ ¤ ¢ w ‘€§ô   ¢ $  © ¢ C ¨›¡1£d„P¢£yPƒ¨Xc¨¨¥Hed¥7hy§(IH%tsb£AU¥£X1¥T1§ƒ~Tù ø i – – I1£yU™¢ ô 2 $   ù ) ù $   © ¤ ù 4¦ ©¦¦ ¢ ÷   E ¢ ù C ô   ¢ ÷ X ù ù $   `   ¢   E ô ¢ ) $ E ÷ ô a1(7¨ré ž„”V¥~é m„¦ 5BV|“Dû Íryd0dH¡Æ §ô „ G|ú t3Dû ÍrydX¥Vù §ú ‡ ´Eû 3 ý b ¦ 2 ¢ ý d ô ÷ $ ƒ u ip w h ‚ ‰ ù s Fû û X  u ip w h Ë ‚ Ë ô û ú X æ ü „ ´ ­ ® µ ´ · ´ ¯ ² ® ª° ³ Á ¹ · µ ° ³° ¶ ² µ ´ § ¦ ¯ ® µ º ² ¼ ¢„s|D|‹AQ€R “¸!TR€Q1|À(¿Ds‹Q€’±
  • 155.
    ` ù¦ ¤¢   '@ ø hö1¥£XBÍ“‡ ` ù¦ ¤ ¢   ' f 7 ` ù¦ ¤ ¢   '   ô @ û 2 $   ù ) ù $   ø ô   ¢¦ ø ' 6 ù $   ù 4 ø ù Ï ` 2 … ø ø ¥71¥a‡XgeIö1IaXB—€¨•€0¡1£d„b£—‡†¥§eyÔTù yÏ1x¢£ƒ¨ô X•ÅB1‰Tù (‡0E  ô ù 2 ¨ÛT|1Ž › G¢†t3†§9äd1¥†¡H1F¥!T¢ö¥I“IH!x£1VsB` ¢l¢0e‡ISW—¨Û@ dû ˜ û X  ô Œ c 2 ¢ ` % ` b ù ÷¦ ¢ 4   ¢ $ C   ` @ ã ã â … ù   ' C  ¢  ô `¨`§71~¨©‡s¨`§713dq¨uvƒ¡1£d„#¢£|§u`b‡fIHÕR¢§1ƒs§¢£Qb¨(1”310)  ô Eô¦ … )ô ø  ô Eô¦ …  ù  ô @ ` 2 $   ù ) ù $   ô ø ù 2 ø   ¢ $ b û ¢¦ ÷ ) ø ô $   õ ô ÷ 2 $   ù õ ô $ E ø ¢ )' ù )ô   ¢ ô ¢   ¤ ` `  ù 2 ô ¦ ¢ ø … ) ù   ù $   © ¤ X  ù 2 ô ¦ ¢ô   ¢ … ù $   õ ô E ¢¦ … ù ø © b§¢aƒ~–„¨e#§QaVyfadbV§ƒI£‡‰~0e’b‹€Ydb1¨ƒ¥§eI1Ab#b§`¥Ô10(“S’ b ¥ × × Ü “ Ú Œ ¦ Ž Ý“ Ú F Ö × Ü“ Ú w Þ “ Ú w Þ Ó× Ý “ Ú w Ž WŒ V Ž W†ü VŒ Ž WŒ V þ ù 4ô   ¢ 4 ø ù 2   ø … ¢ ø ô   ¢ )ô  ø … … ¢   ô …' F 2 ø ù   ù E   E ¢ … ) E ù $   ¦¦ ¢ E ù “ û Q‡¨(II¨ô Xb—XX£W!‡¨eI~§´U¢1¥!§ƒ9ByTù X(ˆ0X!d¥H‘T•bÓ§¥TTÛ—´d û bü $ õ ÷ ø $ ¢‡b  „ X¢‡RI„V310£Vmd‡bVv€b£‘£5Û!ù ƒH‘Db„b‡Xb£  „ XbX‡ ø ù 2 ø 2 $   ù ) ¢     ÷ ” ' ù õ ÷ “ ù $   $  ô C ø ¢ … ) û ü $ õ ÷ ø $ ø ù 2 ø ¥S13V£0PX‡VX¥#‡‘¥HQQb£„‡#bƒ£TW¨ö¨b¥£X‹b¥¨1v1¥€b¨„XXed•—bü 2 $   ù ) $   ø $ ¢ ’' ) ¢ 2  ù $   ø ø ÷   E © ô¦ô ¤ ¢   ù $     ¦ … 2 ¢ ù ô ) ø ù   ù Ï û û ù¦ ¤ ¢   ô 2 $   ù ) ù $   $ Eô $ C ø Qö1¥£X“¨¨¡1Ë 0¢£7a§b!#‡ Û 3¥‡¢¥£ˆb†11VT¨(¡¨¥1¥P5ö¨b¥a‡ × ù õ ¢ ø ù $   2 … ` ô ©¦ ¢ ¢ ©  ô¦ô ¤ ¢   ø ù ø ÷ ó õ Xöô b‡H¨b§ô €Uk„¦ ç 8 ¨kTXù W1%‹l’5‡P¥b‡b£‹IY!(1ˆF` Û ¶(`b!C û b ô ` ø ¤ ) ÷ Ž â ó ø Œ   ¢ ø ÷ ù $   ¢ C I × ù ø ù $ × Þ “ Ú ¥ × Ü “ Ú Œ ØÛ × ‡ Ž Ý Û“ Ú Û ‡ Û „ ¥ × Þ × Ü“ ÚŒ Û × ‡ Ž Ý Û“ Ú Û „ ¥ “ Ú Û Ö × (Û “ Ú Ü þ ù 4ô 2 $   ù X0‡5‡õ 310) ¢ ø 2 b  ¢ â C I ©¦ ù 2ô C ù $   ` ô   ¢ ÷ X ù ô   E ù 4 E ø ¢ ù ô¦ ù $     2 ùô¦ … … ¢ ù $ b û PXb1Tù ˆTy|!{V¡¨0b§Û’bUƒ¨eIH%{¨edT‡0ÓƒTb§7Db£#QT7ö11Ie0bÕ“¢F û 2 $   ù 0¡10) ‡ —b£#ƒƒ{‰¥b—yUù TÛ†UvŒ ” “ ù $  ø ù 4 ¤ ¢ ù $    ¢ … ù “ Ž E ù¦ E øô E  ô ÷ ù $ öTXö`S5b1Bb£  û   ¦ … ù ) ¢ ù $   †I§1¥£•b†¥ C ¢ ø 2 2 ¢ ù ¢¦ …'   ù¦ … ) E ù $   ô   ø ù $   ù E ¢ ø   ù $     ¦ ¤ Ž ¤ Ub1I€¢¥Ô1B9¿d71‘T—b£x§e¥3X“bÓ¥—XI£e—b£D¥¨AÌHvŒ û ù E ¢¦ … ˜   ¢ ù¦   ¢     ø ù $   ù ÷¦ ¢ 4 ù   ÷¦ ¤ ¢ ù $   ù   ÷ … ) E 2 ¢ é æû é `T`¥Ô1g€XIUö!y~#£¥¡ˆbsI—0böI¥‹(Vö¥1¥beVb‘0†V¥xG´  é X{x—¢„¥!¨¥IXX(§Ë¨~xƒPs—û œ ‚£T¢!™¡1£d„¢X‡3¥#‡‘¥H€ ) ø d éû é ¦ ¢ 4 ø ù   ô ô 8 ù I ¢ ƒ Ö 6 ù $ C 2 $  ù ) $ ø $ ¢ ’' ) ¢ 2 ø ù 2 ø ' 2 `bƒ31 ‡ bSI¥¡‰¿¢£I0böI¥’IU§ô X1%~¢£Igö1¥£7~e3b~¥†tŒ ù $     ø'  ù $   ù ÷¦ ¢ 4 ¦ ¢ E ø ù ) ÷ ù $   ù¦ ¤ ¢   ¢ ù   ÷ … ) Ž ¢ û ‡ ` 2 ÷ ¤ ù $   $  ô C   ù   E  ¦ ÷ ø ø ÷ © ø  ` ©  ô¦ô ¤ ¢   ø 8 2 ÷ 11V‡9•ù Tb7¨Û!T(X§ô 10“£¨V(Tù Ûb‡‹ù “755ö¨b¥a‡“‡7™!1V1‡‰¤ 2 ù   E …  ù ù $   ù ø ¢   ¢ $ C ` 2 $   ù ) ù ù ø $   ù $   ø ô   ¢¦ ù ø ' 6 ù $   õ ô T(0Tù 3dšbP(ƒ‘yH!„01¡1£d„v`(b7ù TbW‡V§(IÔ0(ž!V†b£b¨(—SUvŒ Ž E û ô   ÷¦ © 2 ¢ ù     E ¢  ù ù $   $  ô C ô   ÷¦ 2 ù   ÷ … ) E ù $   ù ø ¢ … ) 0¨eV773¥U(X—0¥V–”¢£v£5ÛP§(VöX™0eV¢~0•b£(QH~¥ š û … ù   ù )ô   é `1T(X§(¢é „ ‡‚é „ ÕÅ1¥~1T(X§(¢¥d ‡ ‡¢ü š é Õ“01T(XP§(  ø Ö 8 2 ¢ … ù   ù )ô   é ø Ö 8 ` … ù   ù )ô é é d ø ‡ é Ö 8 ` … ù   ù )ô   é é ¥¥‡ Gš ”yA01T(Xg§(v¥é „ ‡ ¨š é Y(1qT0(¥T~`(bf§¥‘`1¡ ø „ Ö 8 ù ÷ ` ù ¢ E ù ù ø $   ¦¦ ¢ @ û 2 '3£d„¥X‡(I‚‘1¥ˆ0XöVel5X¨ö1‘§‡0X71§A¨`§713d5b‹b§ô 1“é A~§(  $   ù ) I E ¢ ) ø E ¢ ã 2 ¢ ` ø ù¦ ÷   ô Eô¦ … )ô ` ø ù¦ ÷   ô Eô¦ …  ù ù $   õ ÷ Ö d ù )ô ) ø QI { RP„ c „ c „ H“tŒ Ú §(¨b1¥TR¥§e¨¢§b  ¥{(I£ƒXe¨š£eb¡T~ge5(ø PHvŒ G Ö Ž é ô  ô 2 E ¦ ¢ô  ô ô ù $ ) ø ù   ¢ ø õ ù   ô   ù 2 E ¢ ù  ô b Ž ¤ ` ù )ô   ô ù 4 ¢ $ ù ¤ ô   ÷¦  Ï Î ù $   ù 2 C Š ` ô   ÷¦ ù   ¢   h„¨ev§”‡UH0Ev¥§e3öXōb£“T|1¸(—™ƒ¨eV7•(Ia‡ ' © 2 ¢ ù   ù $   ô   ¢ $ b û ù õ ¢ I E ¢ … ¦ ¢ E ø ù ) ÷ ¢ õ ÷ 7 ù ÷¦ ¢ 4 ù õô ù ù $   2 ô Ž ¢ V¥Te‡b£¨ÛIHÕ’Q‡ƒy¥HƒIU§ô X1%Wxb§ô 1F¥“T¢ö¥IT‡7XmbP1§qó tŒ › ü „ ´ ­ ® ³ ¶ ¹ ¯ º § D§ ¢„|#“DÀˆE(¦
  • 156.
    `¦ ¢ ) ¥~øƒ1çט§§þXˆ¨BD¢»T71¢‘—`I‡1¥b»{#XXE¢b“¨b£v!v§QÔ13f ô   ô Š û æ ) ù¦ ¤ ø …   ø ù C ¢ ù $   ) ø ø ù ¢ô 2 ô $   © $ C ô ¢¦ …  ` © ô¦ ¤ ¢   ô     ) © ¢ 2 ù C ¦¦ ¢ ø ¤ ) ÷   ¢ ø ÷ •¨7§ôbIaXQE§eI£V…‘¡X¥ø‡PTh(§§I“Xù W1%!¥£¢‡ 1§´y~‹b§5IH!1¥ù Tb  ) ÷ )ô  ¢ ) ù $   ô   ¢ $ C ` ù $ T(I#¿ûX0böI¢¥0ù‡ö`'9 ùb£ Ù1H‹ƒ¡10†`ö1§™¨`§713dù b£v‡Ò¨eI§T(ø  2 ù ¢ ’ ù ÷¦ 4 õô ù $ 2 … ` 2 $   ù ) ø ù¦ ÷   ô Eô¦ …  ù $   ø ô   ¢¦ ù ' ù $  16¢b£cõb§ô €(û q ¥~0öô eT¨ùb£ 7‡5‡SV¥«§(Ia¥V 5ô eI~À0b1¥H«§ô že5(ø b ù ø   ù $ ù 4ô õ 2 ¢ ô   ¢    ø   ¢ ) 2 ù 2 ¢ ¤ × ù  ô Û yq ¥ HÚ ‚Ö × (HÚ Û × Ü Û ä ` û ù û ô ` ) ø ø   Eä ù 4 '  ô ø   ¢ ) ô õ ô $ E ø ¢ ) ù ) ô   ø ù ¦ ÷    ô E ô ¦ …  ù ¨Q’Š¢†‡#ƒ£00‡Í¡©(ä (I7¨}bä §baXƒ~‹„¨e“X71§!¨`§713dq¥ ô   ¢ Eô¦ … … ¢ ù $ ) ø  ¦ ÷ ù ø $ Eô $ C  ¦ Î ù $   ù  ô b û ù ÷¦ ¢ 4 ù õô ù' 6 ù $   2 … û §(IU¨ö1V¥e¢£  ¥{“£51(0(Ëa¨b!Åx§b£‹(¨(ø AX0bö¥ITƒöX‘1b†VH1` „ “’ ô 2 ù … …  õ ô û ) ø ø   E ù 4 ' ô ø   ¢ ) ô õ ô E ù ø ¢ô 2 ¦ ¢ô   ¢ … 2 ø ¢ C I E ¢ ¤ ø ù 2 ø '   ø 5b10EVQQ¢§(—p¨ƒl‡00‡Bˆ©(eyW¨“b¨X10(`ù £b3IÔeyHxQ#¥HsXbX‡‡XX£… ) ø  ¦ ø $ Eô $ C Ð  Ï Î {’¨1÷ Tù „a¨b!’—“Ó¥ T(X¡X!be5(ø f‡‡ƒH1V‡9’ˆ¥ö(Ûb’Ix0e5„XXù … ) ù   © ù $   ù  ô b û © ø ¢ 2 ÷ ¤   $ õô ø ù $     ¢ 2 ù    ô ) ø ¨Í¨e¨¢1TXƒ111‡‰x€D‡‡ƒH1V‡9#q0ö¢£“Iv¥§e5b10P‡ƒH11ƒ90öVa§(7•g¢ ô ô  ô 2 E © ø ¢ 2 ÷ ¤ ˜ û © ø ¢ 2 ÷ ¤   ù¦ ù $     ¢ ô  ô 2 E © ø ¢ 2 ÷ ¤   ù¦ $ Eô øô Ï ©¦ … …  û ¨1VQl¢æ 0ö1¥b¨g¥e0Xù „‡Uf‡5e¨ô ‰#¨Û•§(00‡T9ƒU¢§öA¢£ƒX¢§(V€û › ) ù¦ ¤ ø … ô ¢ 2 ù … ù 4 ¢ C ù 4ô   … ¢ $  ô C ô   E ù 4 E ø ¢ ù ô¦ ù $   ø ù 2ô Ë û ©  ô¦ô ¤ ¢   ø ø ¤ ) ÷   ¢ ø ÷ ) ÷ )ô  ¢ ) ù $   2 ô ó ‡5ö§¢¥a‡“‡“Xù W1%—ˆI£b‡»1¨´y•bv1§©Øû ‡5e5(‰7£¨Ûv¨eI1|{ù ù 4ô  ô … $  ô C ô   ¢ ÷ X ô   E ù 4 E ø ¢ ù ô¦ ù $     2 ùô¦ … … ¢ õ ô $ E ø ¢ ) ù )ô   ø ù¦ ÷   ô Eô¦ …  ù $  ô C 2 ù¦ … ÷ E õ ¨e00‡0“ƒUb¨öb£x£7T7ö11I~¢§baXƒ•§(—`ö1§—¨`§713d¨£¨Û†T711‡0~b¨ô ' E ø ù ¢ô 2 2 ø ¢ C I E ¢ ¤ ø ù 2 ø '   ø … ©  ô¦ô ¤ ¢   ù $   ù – ©¦ ¢ ¢ ` ©¦ ¢ ¢ ø ù ø ÷ ó õ ô û –1Tù XE¢byƒ¥HXbX‡‡Xb#¥¢5ö¨b¥a‡~¢£xX¡¨¥1¥lT§ô ¡¨¥HI`öô b‡HË¢§(—¢æ û 2 $   ù ) ù ù $   ù ø ô  ô 2 `1¡1£d„(0b£l¥•b“‡P¥§e5b10E ©  ô¦ô ¤ ¢   ù $   2 ô 5ö§¢¥a‡vb£yV§©ó h§b¡§ô Xù v(ƒe1¨e¨¢1TyXƒ111‡‰Pb V¥xT`1Tù XE¢b„¥Ô(  ` Eô 2 ø … ù ø ¢ ô  ô 2 E © ø ¢ 2 ÷ ¤ ù $   2 ¢ ù E ø ù ¢ô 2 ¦ ¢ô ' ¢ … ù $   ø 2 ù ÷ ô õ ô E ù ø ù ¢ô {H¢¢£‡Ò0(1„§»b¨X10(XE¢¢2 0(X(TX~XbX‡¡1 ‡ ¨h“„¤ §b‘b¨eI‡X(ˆ¨ô 2 ùø ù  ù E ø ù 2ø ' 2 ô `  Ï ô $   õ ô   ¢ ø õ ù   ¥  Ö œ (`b!C ø ù¦ ¤ ¢  ô ÷ ù ¤ 2¦ ÷ C 2 $   ù ) õ ô $ E ø ¢ )' ù )ô    ô Eô¦ …  ù $ Eô $ b ƒ71¥a5b(E‚§1‡SQ1¡10‘¢§baXƒBd§(€5X§713d~a¨bÕQû „ ù ø ù $ Ø b â d â Ú Ø â œ Ö Ú â þ  Ï ¤ õ ô C ¦¦ ù $   ø ù 2ô û ۍD¢§Û(§¨b£“X¢§(V€´ú û ô ©¦ ¢ ¢ ø ùô ø ÷ ó õ ô ÷   ¢ ù … ù “ û ô X¨(¡¨IH¥!X7(bƒ†b¨(1vITE0v’0§(  ' ¢ ÷ X ù ô ¢ô 2 ¦ ù 2 ) ù $     2 ùô¦ … … ¢ 2 $   ù ) $   ø $ ¢ ’ ' ) ¢ 2  ø ù 2 ø ' 2 {H%ty¥§(V÷ £bDTb¡~b£†£‘0ö711¥ä¡10y£‡‡VX¥#€€~IHQXbX‡3V ‡ b  ù $ 2 ¢ ù E ù ø ù ¢ô 2 2 ù ø ù   ù E ø ù 2 ø ' 2 1I0X10(XE¢¢vT(`eT`AXbX‡¡1 ‡ Ig§(IH§¢WT—b’‡~0eX“§(“ö1¥£X V) ô   ¢ ô ¤ ) E ù $   ø … ù   ù )ô   ù¦ ¤ ¢   ) ÷ ¥ '5´y~eb‚1HH95ô eI~—‡£IXù |¥Ô(IHXeb’¥—Tb7¥Iˆ0‡ö`”b~b¨(—iû „ ô  ¢ ) ù $   2 … `  ø   ¢ ) ø   ¢ ø … ¦ ¢ô   ¢ … ù $   ù ÷¦ ¢ 4 ù õô ù ù $   õ ô Ö 8 ™‰6 $  ô C 2 ù ô ¢   ¤ ô ` ô  ¢ ¦ ¢ ù ø ù 4ô   ¢ õ ù ù $     E ù ø ù   ô ø ÷   E ©  ô¦ô ¤ ¢   ù $   ù ø ù $ ¨Û‘0b§QaV§qT§´yS¥T(sƒ¨(IX¢Pb££00(XXe¨”b‡Tc5ö§¢¥a‡b(`b!C   ô … ù $   `û ùû ô ` 6 ù 4ô   ¢ õ ù ¦ ¢ ù ø ø ’ 8 ’ ù ÷¦ ¢ 4 ù¦ ¤ ¢   ) ÷ )ô  ¢ ) ù $     ¢ $   C $ ˆ¨‡‰eb1¨Q’ŠERWƒ¨(IX¢lIU(Û‡ˆ˜‰6 ¥¥•b7¥I71¥£X»V§´y~¢£—IH£¸(1X é ÙÖ ‡ ç ‰6 8 Þ  7Ž ‡ ç ‰F 8 6 Þ „Œ ¥ Ø  2 $  ù ) $ ø $ ¢ §ô ¡1£d„†£‡‡VI#’ ' ) ¢ 2  ø ù 2ø ' 2 ‡‘¥HQ!`b‡B31 ‡ b“‡¨eI§T(ø !Vb£“yH£7Tƒ¨ô • û ©((I“ƒ£IXù ƒ¥§eIHX ù $   ø ô   ¢¦ ù ' 6 ù $     ¢ $   ù 4 ô ø   ¢ ) ø   ¢ ø … ¦ ¢ô   ¢ … ù¢£l¥!Tb7¥Iˆ0‡ö`ˆb£71HVV’“75b10EVQxb§ô €h`1§(¨bVTXƒHV1‡‰‹§b¡§ô Xù … $   ù ÷¦ ¢ 4 ù õô ù ù $   2 … ` üû ’ ô 2 ù … …  õ û ô  ô 2 E © ø ¢ 2 ÷ ¤ Eô 2 ø $  ô C ô   ¢ ÷ X ù ô ÷ ¢ô 2 ¦ ù 2 ) ù $   ô ù 4ô   ¢ 4ô ø ù 2 ¦ ¢ô   ¢ … ù $     ô   ¢ )ô  ø … … ¨Ûä§(IH%t“¨(1E¢¢#Tb¡‘™bä§š‡5eII5(X¢“¥Ô(IH7b£Y¨eI~§´UbV¥¢ ù E ø ù ¢ô 2 2 ù ø ù   ù E ø ù 2 ø ' 2 `1Tù XE¢b¢0(`eT`—`bƒ31 ‡ ¢£gb§|511¥††Tb¨ƒaV¥ 0e‡3‡ÀW¢£‹e5(ø “¢˜ ù $   õ ô ©¦ … … ¢ © ¤ 2 ù ô ¢   ¤ ) ù   ©  Ï Î ù $   ù  ô b û é ¥d „ ´ ­ ® µ ´ · ´ ¯ ² ® ª° ³ Á ¹ · µ ° ³° ¶ ² µ ´ § ¦ ¯ ® µ º ² ¼ ¢„s|D|‹AQ€R “¸!TR€Q1|À(¿Ds‹Q€’±
  • 157.
    Chapter 8 CHOICE OFTIME-MARCHING METHODS In this chapter we discuss considerations involved in selecting a time-marching method for a speci c application. Examples are given showing how time-marching methods can be compared in a given context. An important concept underlying much of this discussion is sti ness, which is de ned in the next section. 8.1 Sti ness De nition for ODE's 8.1.1 Relation to -Eigenvalues The introduction of the concept referred to as sti ness comes about from the numerical analysis of mathematical models constructed to simulate dynamic phenomena containing widely di erent time scales. De nitions given in the literature are not unique, but fortunately we now have the background material to construct a de nition which is entirely su cient for our purposes. We start with the assumption that our CFD problem is modeled with su cient accuracy by a coupled set of ODE's producing an A matrix typi ed by Eq. 7.1. Any de nition of sti ness requires a coupled system with at least two eigenvalues, and the decision to use some numerical time-marching or iterative method to solve it. The di erence between the dynamic scales in physical space is represented by the di erence in the magnitude of the eigenvalues in eigenspace. In the following discussion we concentrate on the transient part of the solution. The forcing function may also be time varying in which case it would also have a time scale. However, we assume that this scale would be adequately resolved by the chosen time-marching method, and, since this part of the ODE has no e ect on the numerical stability of 149
  • 158.
    150 CHAPTER 8. CHOICEOF TIME-MARCHING METHODS I(λ h) Stable Region λh R(λ h) 1 Accurate Region Figure 8.1: Stable and accurate regions for the explicit Euler method. the homogeneous part, we exclude the forcing function from further discussion in this section. Consider now the form of the exact solution of a system of ODE's with a complete eigensystem. This is given by Eq. 6.27 and its solution using a one-root, timemarching method is represented by Eq. 6.28. For a given time step, the time integration is an approximation in eigenspace that is di erent for every eigenvector ~ m . In x many numerical applications the eigenvectors associated with the small j mj are well resolved and those associated with the large j mj are resolved much less accurately, if at all. The situation is represented in the complex h plane in Fig. 8.1. In this gure the time step has been chosen so that time accuracy is given to the eigenvectors associated with the eigenvalues lying in the small circle and stability without time accuracy is given to those associated with the eigenvalues lying outside of the small circle but still inside the large circle. The whole concept of sti ness in CFD arises from the fact that we often do not need the time resolution of eigenvectors associated with the large j m j in the transient solution, although these eigenvectors must remain coupled into the system to maintain a high accuracy of the spatial resolution.
  • 159.
    8.1. STIFFNESS DEFINITIONFOR ODE'S 151 8.1.2 Driving and Parasitic Eigenvalues For the above reason it is convenient to subdivide the transient solution into two parts. First we order the eigenvalues by their magnitudes, thus j 1j j 2j j Mj (8.1) Then we write p M Transient = X c e m t ~ + X c e m t ~ (8.2) xm xm m m Solution m=1 {z m=p+1 | } {z } | Driving Parasitic This concept is crucial to our discussion. Rephrased, it states that we can separate our eigenvalue spectrum into two groups one 1 ! p] called the driving eigenvalues (our choice of a time-step and marching method must accurately approximate the time variation of the eigenvectors associated with these), and the other, p+1 ! M ], called the parasitic eigenvalues (no time accuracy whatsoever is required for the eigenvectors associated with these, but their presence must not contaminate the accuracy of the complete solution). Unfortunately, we nd that, although time accuracy requirements are dictated by the driving eigenvalues, numerical stability requirements are dictated by the parasitic ones. 8.1.3 Sti ness Classi cations The following de nitions are somewhat useful. An inherently stable set of ODE's is sti if In particular we de ne the ratio j pj j Mj Cr = j M j = j pj and form the categories Mildly-sti Cr 102 Strongly-sti 103 Cr 105 Extremely-sti 106 Cr 108 Pathologically-sti 109 Cr It should be mentioned that the gaps in the sti category de nitions are intentional because the bounds are arbitrary. It is important to notice that these de nitions make no distinction between real, complex, and imaginary eigenvalues.
  • 160.
    152 CHAPTER 8. CHOICEOF TIME-MARCHING METHODS 8.2 Relation of Sti ness to Space Mesh Size Many ow elds are characterized by a few regions having high spatial gradients of the dependent variables and other domains having relatively low gradient phenomena. As a result it is quite common to cluster mesh points in certain regions of space and spread them out otherwise. Examples of where this clustering might occur are at a shock wave, near an airfoil leading or trailing edge, and in a boundary layer. One quickly nds that this grid clustering can strongly a ect the eigensystem of the resulting A matrix. In order to demonstrate this, let us examine the eigensystems of the model problems given in Section 4.3.2. The simplest example to discuss relates to the model di usion equation. In this case the eigenvalues are all real, negative numbers that automatically obey the ordering given in Eq. 8.1. Consider the case when all of the eigenvalues are parasitic, i.e., we are interested only in the converged steady-state solution. Under these conditions, the sti ness is determined by the ratio M = 1 . A simple calculation shows that 4 2 1 = ; 2 sin 2(M + 1) x M and the ratio is ! ; 4x2 x 2=; 2 ; 4x2 sin2 2 = ; 4x2 4 =4 M +1 2 2 M= 1 x The most important information found from this example is the fact that the sti ness of the transient solution is directly related to the grid spacing. Furthermore, in di usion problems this sti ness is proportional to the reciprocal of the space mesh size squared. For a mesh size M = 40, this ratio is about 680. Even for a mesh of this moderate size the problem is already approaching the category of strongly sti . For the biconvection model a similar analysis shows that j j=j j 1 M 1 x Here the sti ness parameter is still space-mesh dependent, but much less so than for di usion-dominated problems. We see that in both cases we are faced with the rather annoying fact that the more we try to increase the resolution of our spatial gradients, the sti er our equations tend to become. Typical CFD problems without chemistry vary between the mildly and strongly sti categories, and are greatly a ected by the resolution of a boundary layer since it is a di usion process. Our brief analysis has been limited to equispaced
  • 161.
    8.3. PRACTICAL CONSIDERATIONSFOR COMPARING METHODS 153 problems, but in general the sti ness of CFD problems is proportional to the mesh intervals in the manner shown above where the critical interval is the smallest one in the physical domain. 8.3 Practical Considerations for Comparing Methods We have presented relatively simple and reliable measures of stability and both the local and global accuracy of time-marching methods. Since there are an endless number of these methods to choose from, one can wonder how this information is to be used to pick a best choice for a particular problem. There is no unique answer to such a question. For example, it is, among other things, highly dependent upon the speed, capacity, and architecture of the available computer, and technology in uencing this is undergoing rapid and dramatic changes as this is being written. Nevertheless, if certain ground rules are agreed upon, relevant conclusions can be reached. Let us now examine some ground rules that might be appropriate. It should then be clear how the analysis can be extended to other cases. Let us consider the problem of measuring the e ciency of a time{marching method for computing, over a xed interval of time, an accurate transient solution of a coupled set of ODE's. The length of the time interval, T , and the accuracy required of the solution are dictated by the physics of the particular problem involved. For example, in calculating the amount of turbulence in a homogeneous ow, the time interval would be that required to extract a reliable statistical sample, and the accuracy would be related to how much the energy of certain harmonics would be permitted to distort from a given level. Such a computation we refer to as an event. The appropriate error measures to be used in comparing methods for calculating an event are the global ones, Era , Er and Er! , discussed in Section 6.6.5, rather than the local ones er , era , and erp discussed earlier. The actual form of the coupled ODE's that are produced by the semi-discrete approach is d~ = F (~ t) u ~ u dt ~ u At every time step we must evaluate the function F (~ t) at least once. This function is usually nonlinear, and its computation usually consumes the major portion of the computer time required to make the simulation. We refer to a single calculation of the ~ u vector F (~ t) as a function evaluation and denote the total number of such evaluations by Fev .
  • 162.
    154 CHAPTER 8. CHOICEOF TIME-MARCHING METHODS 8.4 Comparing the E ciency of Explicit Methods 8.4.1 Imposed Constraints As mentioned above, the e ciency of methods can be compared only if one accepts a set of limiting constraints within which the comparisons are carried out. The follow assumptions bound the considerations made in this Section: 1. The time-march method is explicit. 2. Implications of computer storage capacity and access time are ignored. In some contexts, this can be an important consideration. 3. The calculation is to be time-accurate, must simulate an entire event which takes a total time T , and must use a constant time step size, h, so that T = Nh where N is the total number of time steps. 8.4.2 An Example Involving Di usion Let the event be the numerical solution of du = ;u dt (8.3) from t = 0 to T = ; ln(0:25) with u(0) = 1. Eq. 8.3 is obtained from our representative ODE with = ;1, a = 0. Since the exact solution is u(t) = u(0)e;t, this makes the exact value of u at the end of the event equal to 0.25, i.e., u(T ) = 0:25. To the constraints imposed above, let us set the additional requirement The error in u at the end of the event, i.e., the global error, must be 0:5%. We judge the most e cient method as the one that satis es these conditions and has the fewest number of evaluations, Fev . Three methods are compared | explicit Euler, AB2, and RK4. First of all, the allowable error constraint means that the global error in the amplitude, see Eq. 6.48, must have the property: Er 0:005 eT
  • 163.
    8.4. COMPARING THEEFFICIENCY OF EXPLICIT METHODS 155 Then, since h = T=N = ; ln(0:25)=N , it follows that 1 ; ( 1 (ln(:25)=N ))N =:25 0:005 where 1 is found from the characteristic polynomials given in Table 7.1. The results shown in Table 8.1 were computed using a simple iterative procedure. Method N h Fev Er 1 Euler 193 :00718 :99282 193 :001248 worst AB2 16 :0866 :9172 16 :001137 RK4 2 :6931 :5012 8 :001195 best Table 8.1: Comparison of time-marching methods for a simple dissipation problem. In this example we see that, for a given global accuracy, the method with the highest local accuracy is the most e cient on the basis of the expense in evaluating Fev . Thus the second-order Adams-Bashforth method is much better than the rstorder Euler method, and the fourth-order Runge-Kutta method is the best of all. The main purpose of this exercise is to show the (usually) great superiority of second-order over rst-order time-marching methods. 8.4.3 An Example Involving Periodic Convection Let us use as a basis for this example the study of homogeneous turbulence simulated by the numerical solution of the incompressible Navier-Stokes equations inside a cube with periodic boundary conditions on all sides. In this numerical experiment the function evaluations contribute overwhelmingly to the CPU time, and the number of these evaluations must be kept to an absolute minimum because of the magnitude of the problem. On the other hand, a complete event must be established in order to obtain meaningful statistical samples which are the essence of the solution. In this case, in addition to the constraints given in Section 8.4.1, we add the following: ~u The number of evaluations of F (~ t) is xed. Under these conditions a method is judged as best when it has the highest global accuracy for resolving eigenvectors with imaginary eigenvalues. The above constraint has led to the invention of schemes that omit the function evaluation in the corrector step of a predictor-corrector combination, leading to the so-called incomplete
  • 164.
    CHAPTER 8. CHOICEOF TIME-MARCHING METHODS 156 predictor-corrector methods. The presumption is, of course, that more e cient methods will result from the omission of the second function evaluation. An example is the method of Gazdag, given in Section 6.8. Basically this is composed of an AB2 predictor and a trapezoidal corrector. However, the derivative of the fundamental family is never found so there is only one evaluation required to complete each cycle. The - relation for the method is shown as entry 10 in Table 7.1. In order to discuss our comparisions we introduce the following de nitions: Let a k-evaluation method be de ned as one that requires k evaluations of ~u F (~ t) to advance one step using that method's time interval, h. Let K represent the total number of allowable Fev . Let h1 be the time interval advanced in one step of a one-evaluation method. The Gazdag, leapfrog, and AB2 schemes are all 1-evaluation methods. The second and fourth order RK methods are 2- and 4-evaluation methods, respectively. For a 1evaluation method the total number of time steps, N , and the number of evaluations, K , are the same, one evaluation being used for each step, so that for these methods h = h1 . For a 2-evaluation method N = K=2 since two evaluations are used for each step. However, in this case, in order to arrive at the same time T after K evaluations, the time step must be twice that of a one{evaluation method so h = 2h1. For a 4-evaluation method the time interval must be h = 4h1 , etc. Notice that as k increases, the time span required for one application of the method increases. However, notice also that as k increases, the power to which 1 is raised to arrive at the nal destination decreases see the Figure below. This is the key to the true comparison of time-march methods for this type of problem. 0 k=1 j k = 2 j 2h1 k=4 j 4h1 T j j j uN ( h1 )]8 (2 h1)]4 (4 h1)]2 Step sizes and powers of for k-evaluation methods used to get to the same value of T if 8 evaluations are allowed. In general, after K evaluations, the global amplitude and phase error for kevaluation methods applied to systems with pure imaginary -roots can be written1 Era = 1 ; j 1(ik!h1 )jK=k (8.4) 1 See Eqs. 6.38 and 6.39.
  • 165.
    8.4. COMPARING THEEFFICIENCY OF EXPLICIT METHODS Er! = !T ; K tan;1 k 1 (ik!h1 )]imaginary 1 (ik!h1 )]real # 157 (8.5) Consider a convection-dominated event for which the function evaluation is very time consuming. We idealize to the case where = i! and set ! equal to one. The event must proceed to the time t = T = 10. We consider two maximum evaluation limits K = 50 and K = 100 and choose from four possible methods, leapfrog, AB2, Gazdag, and RK4. The rst three of these are one-evaluation methods and the last one is a four-evaluation method. It is not di cult to show that on the basis of local error (made in a single step) the Gazdag method is superior to the RK4 method in both amplitude and phase. For example, for !h = 0:2 the Gazdag method produces a j 1 j = 0:9992276 whereas for !h = 0:8 (which must be used to keep the number of evaluations the same) the RK4 method produces a j 1 j = 0:998324. However, we are making our comparisons on the basis of global error for a xed number of evaluations. First of all we see that for a one-evaluation method h1 = T=K . Using this, and the fact that ! = 1, we nd, by some rather simple calculations2 made using Eqs. 8.4 and 8.5, the results shown in Table 8.2. Notice that to nd global error the Gazdag root must be raised to the power of 50 while the RK4 root is raised only to the power of 50/4. On the basis of global error the Gazdag method is not superior to RK4 in either amplitude or phase, although, in terms of phase error (for which it was designed) it is superior to the other two methods shown. K leapfrog AB2 Gazdag RK4 !h1 = :1 100 1:0 1:003 :995 :999 !h1 = :2 50 1:0 1:022 :962 :979 a. Amplitude, exact = 1.0. K leapfrog AB2 Gazdag RK4 !h1 = :1 100 ;:96 ;2:4 :45 :12 !h1 = :2 50 ;3:8 ;9:8 1:5 1:5 b. Phase error in degrees. Table 8.2: Comparison of global amplitude and phase errors for four methods. The 1 root for the Gazdag method can be found using a numerical root nding routine to trace the three roots in the -plane, see Fig. 7.3e. 2
  • 166.
    158 CHAPTER 8. CHOICEOF TIME-MARCHING METHODS Using analysis such as this (and also considering the stability boundaries) the RK4 method is recommended as a basic rst choice for any explicit time-accurate calculation of a convection-dominated problem. 8.5 Coping With Sti ness 8.5.1 Explicit Methods The ability of a numerical method to cope with sti ness can be illustrated quite nicely in the complex h plane. A good example of the concept is produced by studying the Euler method applied to the representative equation. The transient solution is un = (1 + h)n and the trace of the complex value of h which makes j1 + hj = 1 gives the whole story. In this case the trace forms a circle of unit radius centered at (;1 0) as shown in Fig. 8.1. If h is chosen so that all h in the ODE eigensystem fall inside this circle the integration will be numerically stable. Also shown by the small circle centered at the origin is the region of Taylor series accuracy. If some h fall outside the small circle but stay within the stable region, these h are sti , but stable. We have de ned these h as parasitic eigenvalues. Stability boundaries for some explicit methods are shown in Figs. 7.5 and 7.6. For a speci c example, consider the mildly sti system composed of a coupled two-equation set having the two eigenvalues 1 = ;100 and 2 = ;1. If uncoupled and evaluated in wave space, the time histories of the two solutions would appear as a rapidly decaying function in one case, and a relatively slowly decaying function in the other. Analytical evaluation of the time histories poses no problem since e;100t quickly becomes very small and can be neglected in the expressions when time becomes large. Numerical evaluation is altogether di erent. Numerical solutions, of course, depend upon ( m h)]n and no j m j can exceed one for any m in the coupled system or else the process is numerically unstable. Let us choose the simple explicit Euler method for the time march. The coupled equations in real space are represented by u1(n) = c1 (1 ; 100h)nx11 + c2(1 ; h)nx12 + (PS )1 u2(n) = c1 (1 ; 100h)nx21 + c2(1 ; h)nx22 + (PS )2 (8.6) We will assume that our accuracy requirements are such that su cient accuracy is obtained as long as j hj 0:1. This de nes a time step limit based on accuracy considerations of h = 0:001 for 1 and h = 0:1 for 2 . The time step limit based on stability, which is determined from 1, is h = 0:02. We will also assume that c1 = c2 = 1 and that an amplitude less than 0.001 is negligible. We rst run 66 time steps with h = 0:001 in order to resolve the 1 term. With this time step the
  • 167.
    8.5. COPING WITHSTIFFNESS 159 term is resolved exceedingly well. After 66 steps, the amplitude of the 1 term (i.e., (1 ; 100h)n) is less than 0.001 and that of the 2 term (i.e., (1 ; h)n) is 0.9361. Hence the 1 term can now be considered negligible. To drive the (1 ; h)n term to zero (i.e., below 0.001), we would like to change the step size to h = 0:1 and continue. We would then have a well resolved answer to the problem throughout the entire relevant time interval. However, this is not possible because of the coupled presence of (1 ; 100h)n, which in just 10 steps at h = 0:1 ampli es those terms by 109, far outweighing the initial decrease obtained with the smaller time step. In fact, with h = 0:02, the maximum step size that can be taken in order to maintain stability, about 339 time steps have to be computed in order to drive e;t to below 0.001. Thus the total simulation requires 405 time steps. 2 8.5.2 Implicit Methods Now let us re-examine the problem that produced Eq. 8.6 but this time using an unconditionally stable implicit method for the time march. We choose the trapezoidal method. Its behavior in the h plane is shown in Fig. 7.4b. Since this is also a oneroot method, we simply replace the Euler with the trapezoidal one and analyze the result. It follows that the nal numerical solution to the ODE is now represented in real space by 1 ; 50h nx + c u1(n) = c1 1 + 50h 11 2 ! 1 ; 50h nx + c u2(n) = c1 1 + 50h 21 2 ! 1 ; 0:5h nx + (PS ) 1 1 + 0:5h 12 ! 1 ; 0:5h nx + (PS ) 2 1 + 0:5h 22 ! (8.7) In order to resolve the initial transient of the term e;100t , we need to use a step size of about h = 0:001. This is the same step size used in applying the explicit Euler method because here accuracy is the only consideration and a very small step size must be chosen to get the desired resolution. (It is true that for the same accuracy we could in this case use a larger step size because this is a second-order method, but that is not the point of this exercise). After 70 time steps the 1 term has amplitude less than 0.001 and can be neglected. Now with the implicit method we can proceed to calculate the remaining part of the event using our desired step size h = 0:1 without any problem of instability, with 69 steps required to reduce the amplitude of the second term to below 0.001. In both intervals the desired solution is second-order accurate and well resolved. It is true that in the nal 69 steps one -root is 1 ; 50(0:1)]= 1 + 50(0:1)] = 0:666 , and this has no physical meaning whatsoever. However, its in uence on the coupled solution is negligible at the end of the rst 70 steps, and, since (0:666 )n 1, its in uence in the remaining 70
  • 168.
    160 CHAPTER 8. CHOICEOF TIME-MARCHING METHODS steps is even less. Actually, although this root is one of the principal roots in the system, its behavior for t 0:07 is identical to that of a stable spurious root. The total simulation requires 139 time steps. 8.5.3 A Perspective It is important to retain a proper perspective on a problem represented by the above example. It is clear that an unconditionally stable method can always be called upon to solve sti problems with a minimum number of time steps. In the example, the conditionally stable Euler method required 405 time steps, as compared to about 139 for the trapezoidal method, about three times as many. However, the Euler method is extremely easy to program and requires very little arithmetic per step. For preliminary investigations it is often the best method to use for mildly-sti di usion dominated problems. For re ned investigations of such problems an explicit method of second order or higher, such as Adams-Bashforth or Runge-Kutta methods, is recommended. These explicit methods can be considered as e ective mildly sti stable methods. However, it should be clear that as the degree of sti ness of the problem increases, the advantage begins to tilt towards implicit methods, as the reduced number of time steps begins to outweigh the increased cost per time step. The reader can repeat the above example with 1 = ;10 000, 2 = ;1, which is in the strongly-sti category. There is yet another technique for coping with certain sti systems in uid dynamic applications. This is known as the multigrid method. It has enjoyed remarkable success in many practical problems however, we need an introduction to the theory of relaxation before it can be presented. 8.6 Steady Problems In Chapter 6 we wrote the O E solution in terms of the principal and spurious roots as follows: un = c11 ( 1 )n ~ 1 + + cm1( m )n ~ m + + cM 1 ( M )n ~ M + P:S: 1x 1x 1x n~ + n~ + +c12 ( 1)2 x1 + cm2 ( m )2 xm + cM 2 ( M )n ~ M 2x n~ + n~ + +c13 ( 1)3 x1 + cm3 ( m )3 xm + cM 3 ( M )n ~ M 3x +etc., if there are more spurious roots (8.8) When solving a steady problem, we have no interest whatsoever in the transient portion of the solution. Our sole goal is to eliminate it as quickly as possible. Therefore,
  • 169.
    8.7. PROBLEMS 161 the choiceof a time-marching method for a steady problem is similar to that for a sti problem, the di erence being that the order of accuracy is irrelevant. Hence the explicit Euler method is a candidate for steady di usion dominated problems, and the fourth-order Runge-Kutta method is a candidate for steady convection dominated problems, because of their stability properties. Among implicit methods, the implicit Euler method is the obvious choice for steady problems. When we seek only the steady solution, all of the eigenvalues can be considered to be parasitic. Referring to Fig. 8.1, none of the eigenvalues are required to fall in the accurate region of the time-marching method. Therefore the time step can be chosen to eliminate the transient as quickly as possible with no regard for time accuracy. For example, when using the implicit Euler method with local time linearization, Eq. 6.96, one would like to take the limit h ! 1, which leads to Newton's method, Eq. 6.98. However, a nite time step may be required until the solution is somewhat close to the steady solution. 8.7 Problems 1. Repeat the time-march comparisons for di usion (Section 8.4.2) and periodic convection (Section 8.4.3) using 2nd- and 3rd-order Runge-Kutta methods. 2. Repeat the time-march comparisons for di usion (Section 8.4.2) and periodic convection (Section 8.4.3) using the 3rd- and 4th-order Adams-Bashforth methods. Considering the stability bounds for these methods (see problem 4 in Chapter 7) as well as their memory requirements, compare and contrast them with the 3rd- and 4th-order Runge-Kutta methods. 3. Consider the di usion equation (with = 1) discretized using 2nd-order central di erences on a grid with 10 (interior) points. Find and plot the eigenvalues and the corresponding modi ed wavenumbers. If we use the explicit Euler timemarching method what is the maximum allowable time step if all but the rst two eigenvectors are considered parasitic? Assume that su cient accuracy is obtained as long as j hj 0:1. What is the maximum allowable time step if all but the rst eigenvector are considered parasitic?
  • 170.
    162 CHAPTER 8. CHOICEOF TIME-MARCHING METHODS
  • 171.
    Chapter 9 RELAXATION METHODS Inthe past three chapters, we developed a methodology for designing, analyzing, and choosing time-marching methods. These methods can be used to compute the time-accurate solution to linear and nonlinear systems of ODE's in the general form d~ = F (~ t) u ~u (9.1) dt which arise after spatial discretization of a PDE. Alternatively, they can be used to solve for the steady solution of Eq. 9.1, which satis es the following coupled system of nonlinear algebraic equations: ~u F (~ ) = 0 (9.2) In the latter case, the unsteady equations are integrated until the solution converges to a steady solution. The same approach permits a time-marching method to be used to solve a linear system of algebraic equations in the form A~ = ~ x b (9.3) To solve this system using a time-marching method, a time derivative is introduced as follows d~ = A~ ; ~ x x b (9.4) dt and the system is integrated in time until the transient has decayed to a su ciently low level. Following a time-dependent path to steady state is possible only if all of the eigenvalues of the matrix A (or ;A) have real parts lying in the left half-plane. Although the solution ~ = A; ~ exists as long as A is nonsingular, the ODE given by x b Eq. 9.4 has a stable steady solution only if A meets the above condition. 1 163
  • 172.
    CHAPTER 9. RELAXATIONMETHODS 164 The common feature of all time-marching methods is that they are at least rstorder accurate. In this chapter, we consider iterative methods which are not time accurate at all. Such methods are known as relaxation methods. While they are applicable to coupled systems of nonlinear algebraic equations in the form of Eq. 9.2, our analysis will focus on their application to large sparse linear systems of equations in the form Ab~ ; ~ b = 0 u f (9.5) where Ab is nonsingular, and the use of the subscript b will become clear shortly. Such systems of equations arise, for example, at each time step of an implicit time-marching method or at each iteration of Newton's method. Using an iterative method, we seek to obtain rapidly a solution which is arbitrarily close to the exact solution of Eq. 9.5, which is given by ~ 1 = A; ~ b u (9.6) b f 1 9.1 Formulation of the Model Problem 9.1.1 Preconditioning the Basic Matrix It is standard practice in applying relaxation procedures to precondition the basic equation. This preconditioning has the e ect of multiplying Eq. 9.5 from the left by some nonsingular matrix. In the simplest possible case the conditioning matrix is a diagonal matrix composed of a constant D(b). If we designate the conditioning matrix by C , the problem becomes one of solving for ~ in u CAb~ ; C~ b = 0 u f (9.7) Notice that the solution of Eq. 9.7 is ~ = CAb ]; C~ b = A; C ; C~ b = A; ~ b u f f b b f 1 1 1 1 (9.8) which is identical to the solution of Eq. 9.5, provided C ; exists. In the following we will see that our approach to the iterative solution of Eq. 9.7 depends crucially on the eigenvalue and eigenvector structure of the matrix CAb, and, equally important, does not depend at all on the eigensystem of the basic matrix Ab . For example, there are well-known techniques for accelerating relaxation schemes if the eigenvalues of CAb are all real and of the same sign. To use these schemes, the 1
  • 173.
    9.1. FORMULATION OFTHE MODEL PROBLEM 165 conditioning matrix C must be chosen such that this requirement is satis ed. A choice of C which ensures this condition is the negative transpose of Ab. For example, consider a spatial discretization of the linear convection equation using centered di erences with a Dirichlet condition on the left side and no constraint on the right side. Using a rst-order backward di erence on the right side (as in Section 3.6), this leads to the approximation 82 0 1 6 0 6 1 6 ;1 ;1 1 1 ~= 0 u 2 x 6 x 6 6 ;1 0 4 : ;2 3 2 u 7 6 ;0 a 7 6 7~ 6 7u+6 0 7 6 17 6 0 5 4 2 0 39 7 7 7= 7 7 7 5 (9.9) The matrix in Eq. 9.9 has eigenvalues whose imaginary parts are much larger than their real parts. It can rst be conditioned so that the modulus of each element is 1. This is accomplished using a diagonal preconditioning matrix 2 61 60 6 D = 2 x6 0 6 60 4 0 1 0 0 0 0 0 0 1 0 0 0 0 0 1 0 0 0 0 0 1 2 3 7 7 7 7 7 7 5 (9.10) which scales each row. We then further condition with multiplication by the negative transpose. The result is A = ;AT A = 2 2 0 6 ;1 1 1 6 0 6 6 ;1 0 6 6 ;1 4 1 1 32 0 7 6 ;1 1 1 76 0 76 76 ;1 0 76 176 ;1 54 1 0 ;1 ;1 2 0 6 ;1 ;2 1 1 6 0 0 6 = 6 1 0 ;2 0 6 6 1 0 ;2 4 1 3 7 7 7 17 7 17 5 1 ;2 1 0 ;1 3 7 7 7 7 7 17 5 1 (9.11)
  • 174.
    CHAPTER 9. RELAXATIONMETHODS 166 If we de ne a permutation matrix P and carry out the process P T ;AT A ]P (which just reorders the elements of A and doesn't change the eigenvalues) we nd 1 1 1 1 2 60 60 6 60 6 60 4 0 0 0 1 0 0 1 0 0 0 32 32 2 1 6 ;2 ;2 1 6 1 6 1 ;2 1 =6 6 6 1 ;2 4 1 0 0 0 1 0 3 7 7 7 7 7 17 5 0 7 6 ;1 0 1 76 76 0 7 6 0 ;2 0 1 76 7 6 1 0 ;2 0 1 7 6 76 176 76 76 054 1 0 ;2 1 7 6 54 0 1 1 ;2 0 1 0 0 0 0 0 0 1 0 0 0 0 0 1 0 0 1 0 0 3 17 07 7 07 7 07 5 0 (9.12) 1 ;1 which has all negative real eigenvalues, as given in Appendix B. Thus even when the basic matrix Ab has nearly imaginary eigenvalues, the conditioned matrix ;AT Ab b is nevertheless symmetric negative de nite (i.e., symmetric with negative real eigenvalues), and the classical relaxation methods can be applied. We do not necessarily recommend the use of ;AT as a preconditioner we simply wish to show that a broad b range of matrices can be preconditioned into a form suitable for our analysis. 9.1.2 The Model Equations Preconditioning processes such as those described in the last section allow us to prepare our algebraic equations in advance so that certain eigenstructures are guaranteed. In the remainder of this chapter, we will thoroughly investigate some simple equations which model these structures. We will consider the preconditioned system of equations having the form A~ ; ~ = 0 f (9.13) where A is symmetric negative de nite. The symbol for the dependent variable has been changed to as a reminder that the physics being modeled is no longer time 2 A permutation matrix (de ned as a matrix with exactly one 1 in each row and column and has the property that P T = P ;1 ) just rearranges the rows and columns of a matrix. 2 We use a symmetric negative de nite matrix to simplify certain aspects of our analysis. Relaxation methods are applicable to more general matrices. The classical methods will usually converge if Ab is diagonally dominant, as de ned in Appendix A. 1
  • 175.
    9.1. FORMULATION OFTHE MODEL PROBLEM 167 accurate when we later deal with ODE formulations. Note that the solution of Eq. 9.13, ~ = A; ~ , is guaranteed to exist because A is nonsingular. In the notation of f Eqs. 9.5 and 9.7, 1 A = CAb and ~ = C~ b f f (9.14) The above was written to treat the general case. It is instructive in formulating the concepts to consider the special case given by the di usion equation in one dimension with unit di usion coe cient : @u = @ u ; g(x) @t @x This has the steady-state solution 2 2 (9.15) @ u = g(x) (9.16) @x which is the one-dimensional form of the Poisson equation. Introducing the threepoint central di erencing scheme for the second derivative with Dirichlet boundary conditions, we nd 2 2 d~ = 1 B (1 ;2 1)~ + (bc) ; ~ u u ~ g (9.17) dt x ~ where (bc) contains the boundary conditions and ~ contains the values of the source g term at the grid nodes. In this case 2 Ab = 1 B (1 ;2 1) x ~ fb = ~ ; (bc) g ~ (9.18) Choosing C = x I , we obtain B (1 ;2 1)~ = ~ f (9.19) ~ where ~ = x fb. If we consider a Dirichlet boundary condition on the left side and f either a Dirichlet or a Neumann condition on the right side, then A has the form A=B 1~ 1 b 2 2 2
  • 176.
    CHAPTER 9. RELAXATIONMETHODS 168 ~ = ;2 ;2 b ;2 s]T s = ;2 or ;1 (9.20) Note that s = ;1 is easily obtained from the matrix resulting from the Neumann boundary condition given in Eq. 3.24 using a diagonal conditioning matrix. A tremendous amount of insight to the basic features of relaxation is gained by an appropriate study of the one-dimensional case, and much of the remaining material is devoted to this case. We attempt to do this in such a way, however, that it is directly applicable to two- and three-dimensional problems. 9.2 Classical Relaxation 9.2.1 The Delta Form of an Iterative Scheme We will consider relaxation methods which can be expressed in the following delta form: h i H ~ n ; ~ n = A~ n ; ~ f (9.21) where H is some nonsingular matrix which depends upon the iterative method. The matrix H is independent of n for stationary methods and is a function of n for nonstationary ones. The iteration count is designated by the subscript n or the superscript (n). The converged solution is designated ~ 1 so that +1 ~ 1 = A; ~ f (9.22) 1 9.2.2 The Converged Solution, the Residual, and the Error Solving Eq. 9.21 for ~ n gives ~ n = I + H ; A]~ n ; H ; ~ = G~ n ; H ; ~ f f (9.23) where G I + H; A (9.24) Hence it is clear that H should lead to a system of equations which is easy to solve, or at least easier to solve than the original system. The error at the nth iteration is de ned as ~ n ~ n ; ~ 1 = ~ n ; A; ~ e f (9.25) +1 +1 1 1 1 1 1
  • 177.
    9.2. CLASSICAL RELAXATION 169 where~ 1 was de ned in Eq. 9.22. The residual at the nth iteration is de ned as ~ n A~ n ; ~ r f (9.26) Multiply Eq. 9.25 by A from the left, and use the de nition in Eq. 9.26. There results the relation between the error and the residual A~ n ; ~ n = 0 e r (9.27) Finally, it is not di cult to show that ~ n = G~ n e e (9.28) +1 Consequently, G is referred to as the basic iteration matrix, and its eigenvalues, which we designate as m , determine the convergence rate of a method. In all of the above, we have considered only what are usually referred to as stationary processes in which H is constant throughout the iterations. Nonstationary processes in which H (and possibly C ) is varied at each iteration are discussed in Section 9.5. 9.2.3 The Classical Methods Point Operator Schemes in One Dimension Let us consider three classical relaxation procedures for our model equation B (1 ;2 1)~ = ~ f (9.29) as given in Section 9.1.2. The Point-Jacobi method is expressed in point operator form for the one-dimensional case as n = 1 h n + n ;f i (9.30) j j j 2 j; This operator comes about by choosing the value of jn such that together with the old values of j; and j , the j th row of Eq. 9.29 is satis ed. The Gauss-Seidel method is n = 1h n + n ; f i (9.31) j j j 2 j; This operator is a simple extension of the point-Jacobi method which uses the most recent update of j; . Hence the j th row of Eq. 9.29 is satis ed using the new values of j and j ; and the old value of j . The method of successive overrelaxation (SOR) ( +1) ( ) 1 ( ) +1 ( +1) 1 +1 ( +1) ( +1) 1 1 1 +1 ( ) +1
  • 178.
    CHAPTER 9. RELAXATIONMETHODS 170 is based on the idea that if the correction produced by the Gauss-Seidel method tends to move the solution toward ~ 1, then perhaps it would be better to move further in this direction. It is usually expressed in two steps as h i ~j = 1 jn + jn ; fj 2 ; h i n = jn + ! ~j ; jn (9.32) j ( +1) 1 ( +1) ( ) +1 ( ) ( ) where ! generally lies between 1 and 2, but it can also be written in the single line n = ! n + (1 ; ! ) n + ! n ; ! f (9.33) j j 2 j; 2 j 2 j ( +1) ( +1) 1 ( ) ( ) +1 The General Form The general form of the classical methods is obtained by splitting the matrix A in Eq. 9.13 into its diagonal, D, the portion of the matrix below the diagonal, L, and the portion above the diagonal, U , such that A=L+D+U (9.34) Then the point-Jacobi method is obtained with H = ;D, which certainly meets the criterion that it is easy to solve. The Gauss-Seidel method is obtained with H = ;(L + D), which is also easy to solve, being lower triangular. 9.3 The ODE Approach to Classical Relaxation 9.3.1 The Ordinary Di erential Equation Formulation The particular type of delta form given by Eq. 9.21 leads to an interpretation of relaxation methods in terms of solution techniques for coupled rst-order ODE's, about which we have already learned a great deal. One can easily see that Eq. 9.21 results from the application of the explicit Euler time-marching method (with h = 1) to the following system of ODE's: ~ H d = A~ ; ~ f (9.35) dt This is equivalent to d~ = H ; C A ~ ; ~ = H ; A~ ; ~ ] fb f (9.36) b dt 1 1
  • 179.
    9.3. THE ODEAPPROACH TO CLASSICAL RELAXATION 171 In the special case where H ; A depends on neither ~ nor t, H ; ~ is also independent u f ; A are linearly independent, the solution can be of t, and the eigenvectors of H written as 1 1 1 ~ = c e 1 t~ + + cM e M t~ M +~ 1 x} (9.37) | x {z error where what is referred to in time-accurate analysis as the transient solution, is now referred to in relaxation analysis as the error. It is clear that, if all of the eigenvalues of H ; A have negative real parts (which implies that H ; A is nonsingular), then the system of ODE's has a steady-state solution which is approached as t ! 1, given by 1 1 1 1 ~ 1 = A; ~ f (9.38) 1 which is the solution of Eq. 9.13. We see that the goal of a relaxation method is to remove the transient solution from the general solution in the most e cient way possible. The eigenvalues are xed by the basic matrix in Eq. 9.36, the preconditioning matrix in 9.7, and the secondary conditioning matrix in 9.35. The eigenvalues are xed for a given h by the choice of time-marching method. Throughout the remaining discussion we will refer to the independent variable t as time, even though no true time accuracy is involved. In a stationary method, H and C in Eq. 9.36 are independent of t, that is, they are not changed throughout the iteration process. The generalization of this in our approach is to make h, the time step, a constant for the entire iteration. Suppose the explicit Euler method is used for the time integration. For this method m = 1 + m h. Hence the numerical solution after n steps of a stationary relaxation method can be expressed as (see Eq. 6.28) ~ n = c ~ (1 + h)n + |x 1 1 1 + cm~ m (1 + mh)n + x {z error + cM ~ M (1 + x n M h) } +~ 1 (9.39) The initial amplitudes of the eigenvectors are given by the magnitudes of the cm . These are xed by the initial guess. In general it is assumed that any or all of the eigenvectors could have been given an equally bad excitation by the initial guess, so that we must devise a way to remove them all from the general solution on an equal basis. Assuming that H ; A has been chosen (that is, an iteration process has been decided upon), the only free choice remaining to accelerate the removal of the error terms is the choice of h. As we shall see, the three classical methods have all been conditioned by the choice of H to have an optimum h equal to 1 for a stationary iteration process. 1
  • 180.
    CHAPTER 9. RELAXATIONMETHODS 172 9.3.2 ODE Form of the Classical Methods The three iterative procedures de ned by Eqs. 9.30, 9.31 and 9.32 obey no apparent pattern except that they are easy to implement in a computer code since all of the data required to update the value of one point are explicitly available at the time of the update. Now let us study these methods as subsets of ODE as formulated in Section 9.3.1. Insert the model equation 9.29 into the ODE form 9.35. Then ~ H d = B (1 ;2 1)~ ; ~ f (9.40) dt As a start, let us use for the numerical integration the explicit Euler method 0 (9.41) n = n+h n with a step size, h, equal to 1. We arrive at H (~ n ; ~ n) = B (1 ;2 1)~ n ; ~ f (9.42) +1 +1 It is clear that the best choice of H from the point of view of matrix algebra is ;B (1 ;2 1) since then multiplication from the left by ;B ; (1 ;2 1) gives the correct answer in one step. However, this is not in the spirit of our study, since multiplication by the inverse amounts to solving the problem by a direct method without iteration. The constraint on H that is in keeping with the formulation of the three methods described in Section 9.2.3 is that all the elements above the diagonal (or below the diagonal if the sweeps are from right to left) are zero. If we impose this constraint and further restrict ourselves to banded tridiagonals with a single constant in each band, we are led to 2 B (; ! 0)(~ n ; ~ n) = B (1 ;2 1)~ n ; ~ f (9.43) where and ! are arbitrary. With this choice of notation the three methods presented in Section 9.2.3 can be identi ed using the entries in Table 9.1. 1 +1 TABLE 9.1: VALUES OF and ! IN EQ. 9.43 THAT LEAD TO CLASSICAL RELAXATION METHODS ! 0 1 1 Method 1 Point-Jacobi 1 h i Gauss-Seidel 2= 1 + sin M + 1 Optimum SOR Equation 6:2:3 6:2:4 6:2:5
  • 181.
    9.4. EIGENSYSTEMS OFTHE CLASSICAL METHODS 173 The fact that the values in the tables lead to the methods indicated can be veri ed by simple algebraic manipulation. However, our purpose is to examine the whole procedure as a special subset of the theory of ordinary di erential equations. In this light, the three methods are all contained in the following set of ODE's d~ = B ; (; 2 0) B (1 ;2 1)~ ; ~ f (9.44) dt ! and appear from it in the special case when the explicit Euler method is used for its numerical integration. The point operator that results from the use of the explicit Euler scheme is ! ! n = ! n + ! (h ; ) n ; (!h ; 1) n + !h n ; !h f (9.45) j j; j 2 j; 2 2 j 2 j 1 ( +1) ( +1) 1 ( ) 1 ( ) ( ) +1 This represents a generalization of the classical relaxation techniques. 9.4 Eigensystems of the Classical Methods The ODE approach to relaxation can be summarized as follows. The basic equation to be solved came from some time-accurate derivation Ab~ ; ~ b = 0 u f (9.46) This equation is preconditioned in some manner which has the e ect of multiplication by a conditioning matrix C giving A~ ; ~ = 0 f (9.47) An iterative scheme is developed to nd the converged, or steady-state, solution of the set of ODE's ~ H d = A~ ; ~ f (9.48) dt This solution has the analytical form ~ n = ~n + ~ 1 e (9.49) where ~ n is the transient, or error, and ~ 1 A; ~ is the steady-state solution. The e f three classical methods, Point-Jacobi, Gauss-Seidel, and SOR, are identi ed for the one-dimensional case by Eq. 9.44 and Table 9.1. 1
  • 182.
    CHAPTER 9. RELAXATIONMETHODS 174 Given our assumption that the component of the error associated with each eigenvector is equally likely to be excited, the asymptotic convergence rate is determined by the eigenvalue m of G ( I + H ; A) having maximum absolute value. Thus 1 Convergence rate j mjmax m=1 2 M (9.50) In this section, we use the ODE analysis to nd the convergence rates of the three classical methods represented by Eqs. 9.30, 9.31, and 9.32. It is also instructive to inspect the eigenvectors and eigenvalues in the H ; A matrix for the three methods. This amounts to solving the generalized eigenvalue problem A~ m = m H~ m x x (9.51) 1 for the special case 2 0)~ (9.52) ! xm The generalized eigensystem for simple tridigonals is given in Appendix B.2. The three special cases considered below are obtained with a = 1, b = ;2, c = 1, d = ; , e = 2=!, and f = 0. To illustrate the behavior, we take M = 5 for the matrix order. This special case makes the general result quite clear. B (1 ;2 1)~ m = x m B (; 9.4.1 The Point-Jacobi System 1 If = 0 and ! = 1 in Eq. 9.44, the ODE matrix H ; A reduces to simply B ( 1 ;1 2 ). 2 The eigensystem can be determined from Appendix B.1 since both d and f are zero. The eigenvalues are given by the equation m (9.53) m = ;1 + cos M +1 m = 1 2 ::: M The - relation for the explicit Euler method is m = 1 + m h. This relation can be plotted for any h. The plot for h = 1, the optimum stationary case, is shown in Fig. 9.1. For h 1, the maximum j mj is obtained with m = 1, Fig. 9.2 and for h 1, the maximum j m j is obtained with m = M , Fig. 9.3. Note that for h 1:0 (depending on M ) there is the possibility of instability, i.e. j m j 1:0. To obtain the optimal scheme we wish to minimize the maximum j m j which occurs when h = 1, j j = j M j and the best possible convergence rate is achieved: 1 1 j m jmax = cos M + 1 (9.54)
  • 183.
    9.4. EIGENSYSTEMS OFTHE CLASSICAL METHODS 175 For M = 40, we obtain j mjmax = 0:9971. Thus after 500 iterations the error content associated with each eigenvector is reduced to no more than 0.23 times its initial level. Again from Appendix B.1, the eigenvectors of H ; A are given by ~ j = (xj )m = sin j m x j = 1 2 ::: M (9.55) M +1 This is a very well-behaved eigensystem with linearly independent eigenvectors and distinct eigenvalues. The rst 5 eigenvectors are simple sine waves. For M = 5, the eigenvectors can be written as 1 2 1=2 3 2 3 2 p3=2 3 p 7 p 7 6 3=2 7 6 1 7 6 3=2 7 6 6 0 7 6 ~ = 6 p 1 7 ~ = 6 p 7 ~ = 6 ;1 7 6 7 x 6 0 7 x 6 7 x 6 6 7 6 6 3=2 7 6 0 7 7 6 ; 3=2 7 4 5 4 5 5 4 p 7 1 1=2 ; 3=2 3 2 p 3 2 3 1= p =2 7 p2 7 6 ; 3=2 7 6 6 6 7 ~ 6 ; 3=2 7 ~ = 6 p0 7 x = 6 p 7 6 1 7 x 6 6 7 6 3=2 7 7 6 ; 3=2 7 5 4 p 5 4 1=2 ; 3=2 1 3 2 4 5 (9.56) The corresponding eigenvalues are, from Eq. 9.53 p 1 2 3 4 = ;1 + 23 = ;0:134 = ;1 + 1 = ;0:5 2 = ;1 = ;1:0 (9.57) = ;1 ; 1 = ;1:5 2 p = ;1 ; 23 = ;1:866 From Eq. 9.39, the numerical solution written in full is 5 p ~ n ; ~ 1 = c 1 ; (1 ; 3 )h]n~ x 2 1 x + c 1 ; (1 ; 2 )h]n~ 1 2 1 2
  • 184.
    CHAPTER 9. RELAXATIONMETHODS 176 1.0 h = 1.0 m=1 m=5 Values are equal σm m=4 m=2 Μ=5 m=3 0.0 -2.0 Figure 9.1: The 0.0 -1.0 relation for Point-Jacobi, h = 1 M = 5. + c 1 ; (1 3 )h]n~ x 3 + c 1 ; (1 + 1 )h]n~ 2 x p + c 1 ; (1 + 23 )h]n~ x 4 4 5 5 (9.58) 9.4.2 The Gauss-Seidel System If and ! are equal to 1 in Eq. 9.44, the matrix eigensystem evolves from the relation B (1 ;2 1)~ m = x m B (;1 2 0)~ m x (9.59) which can be studied using the results in Appendix B.2. One can show that the H ; A matrix for the Gauss-Seidel method, AGS , is 1 AGS B ; (;1 2 0)B (1 ;2 1) = 1
  • 185.
    9.4. EIGENSYSTEMS OFTHE CLASSICAL METHODS Approaches 1.0 1.0 h h 1.0 De ng cr si ea ea si cr ng De σm h 0.0 -2.0 0.0 -1.0 λ mh Figure 9.2: The relation for Point-Jacobi, h = 0:9 M = 5. Exceeds 1.0 at h ∼ ∼ 1.072 / Ustable h 1.072 1.0 h 1.0 In cr h ea si ng h ng si ea cr In σm M = 5 0.0 -2.0 -1.0 0.0 λmh Figure 9.3: The relation for Point-Jacobi, h = 1:1 M = 5. 177
  • 186.
    CHAPTER 9. RELAXATIONMETHODS 2 ;1 1=2 3 1 6 0 ;3=4 1=2 7 2 6 7 6 0 1=8 ;3=4 1=2 7 3 6 7 6 7 6 0 1=16 1=8 ;3=4 1=2 7 4 6 7 (9.60) 6 0 1=32 1=16 1=8 ;3=4 1=2 7 5 6 7 6 . ... 6 .. 7 . . . . . . . . . . . . . . . 7 ... 4 5 0 1=2M M The eigenvector structure of the Gauss-Seidel ODE matrix is quite interesting. If M is odd there are (M + 1)=2 distinct eigenvalues with corresponding linearly independent eigenvectors, and there are (M ; 1)=2 defective eigenvalues with corresponding 178 principal vectors. The equation for the nondefective eigenvalues in the ODE matrix is (for odd M ) + m ) m = 1 2 ::: M2 1 (9.61) m = ;1 + cos ( M +1 and the corresponding eigenvectors are given by j; m + ~ m = cos m x sin j M + 1 m = 1 2 ::: M2 1 (9.62) M +1 The - relation for h = 1, the optimum stationary case, is shown in Fig. 9.4. The m with the largest amplitude is obtained with m = 1. Hence the convergence rate is 2 1 j m jmax = cos M + 1 2 (9.63) Since this is the square of that obtained for the Point-Jacobi method, the error associated with the worst eigenvector is removed in half as many iterations. For M = 40, j m jmax = 0:9942. 250 iterations are required to reduce the error component of the worst eigenvector by a factor of roughly 0.23. The eigenvectors are quite unlike the Point-Jacobi set. They are no longer symmetrical, producing waves that are higher in amplitude on one side (the updated side) than they are on the other. Furthermore, they do not represent a common family for di erent values of M . The Jordan canonical form for M = 5 is 3 2 h~ i 7 6 h~ i 7 6 6 7 2~ 37 ; A X =J = 6 7 6 X GS GS 1 6 7 6 6 ~ 77 6 6 1 77 4 4 55 ~ 1 1 2 3 3 3 (9.64)
  • 187.
    9.4. EIGENSYSTEMS OFTHE CLASSICAL METHODS 1.0 179 h = 1.0 σm Μ=5 2 defective λ m 0.0 -2.0 0.0 -1.0 λmh relation for Gauss-Seidel, h = 1:0 M = 5. Figure 9.4: The The eigenvectors and principal vectors are all real. For M = 5 they can be written 2 3 2 p 3 2 3 2 3 2 3 3=2 1=2 7 17 0 7 6 3=4 7 6 p3=4 7 607 6 2 7 6 0 7 6 6 7 6 6 6 0 7 ~ = 6 3=4 7 ~ = 6 p0 7 ~ = 6 0 7 ~ = 6 ;1 7 ~ = 6 4 7 (9.65) 6 7 x 6 7 x 6 7 x 6 7 x 6 7 x 6 6 6 7 6 7 6 7 6 9=16 7 7 6 ; 3=16 7 7 607 6 0 7 6 ;4 7 4 5 4 p 5 4 5 4 5 4 5 9=32 0 0 1 ; 3=32 1 2 3 4 5 The corresponding eigenvalues are = ;1=4 = ;3=4 ) = ;1 (4) Defective, linked to (5) Jordan block The numerical solution written in full is thus ~ n ; ~ 1 = c (1 ; h )n~ 4 x h x + c (1 ; 34 )n~ 1 2 3 3 1 2 1 2 (9.66)
  • 188.
    CHAPTER 9. RELAXATIONMETHODS # n + c h n (1 ; h)n; + c h n(n ; 1) (1 ; h)n; ~ + c (1 ; h) x 1! 2! + c (1 ; h)n + c h n (1 ; h)n; ~ x 180 3 4 5 1 4 + c (1 ; h)n~ x 5 5 1 1! 2 2 3 4 (9.67) 5 9.4.3 The SOR System If = 1 and 2=! = x in Eq. 9.44, the ODE matrix is B ; (;1 x 0)B (1 ;2 1). One can show that this can be written in the form given below for M = 5. The generalization to any M is fairly clear. The H ; A matrix for the SOR method, ASOR B ; (;1 x 0)B (1 ;2 1), is 1 1 1 2 x 0 0 6 ;2;2x x ; x 0 6 1 6 ;2x + x x x 2x2x x 6 x + ; + x ; 2x x x 6 ;2x + x x ; 2x + x x ; 2x + x 6 x ; 2x 4 ;2 + x 1 ; 2x + x x ; 2x + x x ; 2x + x x 4 4 3 5 4 2 3 2 3 2 4 4 3 2 4 3 3 4 2 3 2 2 4 4 3 3 2 4 3 4 0 0 0 x 4 3 ; 2x 4 3 7 7 7 7 (9.68) 7 7 5 Eigenvalues of the system are given by m + = ;1 + !pm 2 zm 2 m = 1 2 :::M (9.69) where zm = 4(1 ; !) + ! pm] = pm = cos m =(M + 1)] 2 2 1 2 If ! = 1, the system is Gauss-Seidel. If 4(1 ; !) + ! pm 0 zm and m are complex. If ! is chosen such that 4(1 ; !) + ! p = 0 ! is optimum for the stationary case, and the following conditions hold: 2 2 2 1 1. Two eigenvalues are real, equal and defective. 2. If M is even, the remaining eigenvalues are complex and occur in conjugate pairs. 3. If M is odd, one of the remaining eigenvalues is real and the others are complex occurring in conjugate pairs.
  • 189.
    9.4. EIGENSYSTEMS OFTHE CLASSICAL METHODS 181 One can easily show that the optimum ! for the stationary case is !opt = 2= 1 + sin M + 1 and for ! = !opt m ~m x where m;1 j ;1 m sin = = (9.70) 2 m j M +1 q (9.71) !opt p + i p ; p m= m 2 m 2 1 2 Using the explicit Euler method to integrate the ODE's, m = 1 ; h + h m , and if h = 1, the optimum value for the stationary case, the - relation reduces to that shown in Fig. 9.5. This illustrates the fact that for optimum stationary SOR all the j m j are identical and equal to !opt ; 1. Hence the convergence rate is j m jmax = !opt ; 1 (9.72) !opt = 2= 1 + sin M + 1 For M = 40, j mjmax = 0:8578. Hence the worst error component is reduced to less than 0.23 times its initial value in only 10 iterations, much faster than both GaussSeidel and Point-Jacobi. In practical applications, the optimum value of ! may have to be determined by trial and error, and the bene t may not be as great. For odd M , there are two real eigenvectors and one real principal vector. The remaining linearly independent eigenvectors are all complex. For M = 5 they can be written 2 3 2 3 2 p3(1 3 2 3 1=2 7 ;6 7 1 7 p p )=2 7 6 1=2 7 6 6 3(1 i 2)=6 7 6 6 6 6 7~ 6 9 7~ 6 7 6 7~ 6 0 7 ~ = 6 1=3 7 x = 6 16 7 x = 6 p 7 x = 6 1=3 7 (9.73) 6 7 0p x 6 7 6 7 6 6 6 1=6 7 6 13 7 6 3(5 i 2)=54 7 7 6 0 7 7 4 5 4 5 4p 5 4 5 p 1=18 6 1=9 3(7 4i 2)=162 The corresponding eigenvalues are = ;2=3 (2) Defectivep linked to = ;(10 ; 2p2i)=9 = ;(10 + 2 2i)=9 = ;4=3 (9.74) 2 1 2 34 5 1 1 3 4 5
  • 190.
    CHAPTER 9. RELAXATIONMETHODS 182 1.0 h = 1.0 2 real defective λ m σm 2 complex λ m 1 real λ m Μ=5 0.0 -2.0 0.0 -1.0 λmh Figure 9.5: The relation for optimum stationary SOR, M = 5, h = 1. The numerical solution written in full is ~n ; ~1 = + + + + c (1 ; 2h=3)n + c nh(1 ; 2h=3)n; ]~ x c (1 ; 2h=3)n~ x p c 1 ; (10 ; 2p2i)h=9]n~ x n~ c 1 ; (10 + 2 2i)h=9] x c (1 ; 4h=3)n~ x 1 2 1 2 1 2 3 3 4 4 5 5 (9.75) 9.5 Nonstationary Processes In classical terminology a method is said to be nonstationary if the conditioning matrices, H and C , are varied at each time step. This does not change the steadystate solution A; ~ b , but it can greatly a ect the convergence rate. In our ODE b f approach this could also be considered and would lead to a study of equations with nonconstant coe cients. It is much simpler, however, to study the case of xed H and C but variable step size, h. This process changes the Point-Jacobi method to Richardson's method in standard terminology. For the Gauss-Seidel and SOR methods it leads to processes that can be superior to the stationary methods. The nonstationary form of Eq. 9.39 is 1
  • 191.
    9.5. NONSTATIONARY PROCESSES 183 N ~N = c ~ Y (1 + hn ) + x 1 1 n=1 + cM ~ M x + 1 N Y n=1 N Y + cm~ m x (1 + n=1 m hn ) M hn ) + ~ 1 (1 + (9.76) where the symbol stands for product. Since hn can now be changed at each step, the error term can theoretically be completely eliminated in M steps by taking hm = ;1= m , for m = 1 2 M . However, the eigenvalues m are generally unknown and costly to compute. It is therefore unnecessary and impractical to set hm = ;1= m for m = 1 2 : : : M . We will see that a few well chosen h's can reduce whole clusters of eigenvectors associated with nearby 's in the m spectrum. This leads to the concept of selectively annihilating clusters of eigenvectors from the error terms as part of a total iteration process. This is the basis for the multigrid methods discussed in Chapter 10. Let us consider the very important case when all of the m are real and negative (remember that they arise from a conditioned matrix so this constraint is not unrealistic for quite practical cases). Consider one of the error terms taken from M N ~ N ~ N ; ~ 1 = X cm~ m Y (1 + e x m=1 n=1 m hn ) (9.77) and write it in the form cm~ m Pe( m ) cm~ m x x N Y n=1 (1 + m hn ) (9.78) where Pe signi es an Euler polynomial. Now focus attention on the polynomial (Pe)N ( ) = (1 + h )(1 + h ) 1 2 (1 + hN ) (9.79) treating it as a continuous function of the independent variable . In the annihilation process mentioned after Eq. 9.76, we considered making the error exactly zero by taking advantage of some knowledge about the discrete values of m for a particular case. Now we pose a less demanding problem. Let us choose the hn so that the maximum value of (Pe)N ( ) is as small as possible for all lying between a and b such that b a 0. Mathematically stated, we seek max a j(Pe)N ( )j = minimum b with(Pe)N (0) = 1 (9.80)
  • 192.
    CHAPTER 9. RELAXATIONMETHODS 184 This problem has a well known solution due to Markov. It is 2 ; a; b TN a; b ! ; TN ; a; b a b (Pe)N ( ) = ! (9.81) where TN (y) = cos(N arccos y) (9.82) are the Chebyshev polynomials along the interval ;1 y 1 and q q N N 1 TN (y) = 2 y + y ; 1 + 1 y ; y ; 1 (9.83) 2 are the Chebyshev polynomials for jyj 1. In relaxation terminology this is generally referred to as Richardson's method, and it leads to the nonstationary step size choice given by ( #) 1 = 1 ; ; + ( ; ) cos (2n ; 1) n = 1 2 :::N (9.84) b a h 2 b a 2N 2 2 n Remember that all are negative real numbers representing the magnitudes of m in an eigenvalue spectrum. The error in the relaxation process represented by Eq. 9.76 is expressed in terms of a set of eigenvectors, ~ m , ampli ed by the coe cients cm Q(1 + m hn). With each x eigenvector there is a corresponding eigenvalue. Eq. 9.84 gives us the best choice of a series of hn that will minimize the amplitude of the error carried in the eigenvectors associated with the eigenvalues between b and a . As an example for the use of Eq. 9.84, let us consider the following problem: Minimize the maximum error associated with the eigenvalues in the interval ;2 ;1 using only 3 iterations. The three values of h which satisfy this problem are hn = 2= 3 ; cos (2n ; 1) 6 #! (9.85) (9.86)
  • 193.
    9.5. NONSTATIONARY PROCESSES 185 andthe amplitude of the eigenvector is reduced to (Pe) ( ) = T (2 + 3)=T (3) (9.87) n p p o T (3) = 3 + 8] + 3 ; 8] =2 99 (9.88) 3 where 3 3 3 3 3 A plot of Eq. 9.87 is given in Fig. 9.6 and we see that the amplitudes of all the eigenvectors associated with the eigenvalues in the range ;2 ;1 have been reduced to less than about 1% of their initial values. The values of h used in Fig. 9.6 are p h = 4=(6 ; 3) h = 4=(6 ; p 0) h = 4=(6 + 3) 1 2 3 Return now to Eq. 9.76. This was derived from Eq. 9.37 on the condition that the explicit Euler method, Eq. 9.41, was used to integrate the basic ODE's. If instead the implicit trapezoidal rule n+1 = n+ is used, the nonstationary formula 1 h( 0 + 0 ) n 2 n +1 0 1 M N 1+ h ~ N = X cm~ m Y B 2 n B x @ 1 m n 1 ; 2 hn =1 =1 1 mC C + ~1 A m (9.89) (9.90) would result. This calls for a study of the rational trapezoidal polynomial, Pt: 0 1 1 N B 1 + hn C Y (Pt )N ( ) = B 2 C (9.91) @ 1 A n 1 ; 2 hn under the same constraints as before, namely that =1 max a j(Pt)N ( )j = minimum , with (Pt)N (0) = 1 b (9.92)
  • 194.
    CHAPTER 9. RELAXATIONMETHODS 186 1 0.9 0.8 0.7 (Pe )3 (λ) 0.6 0.5 0.4 0.3 0.2 0.1 0 −2 −1.8 −1.6 −1.4 −1.2 −1 −0.8 −0.6 −0.4 −0.2 0 −1 −0.8 −0.6 −0.4 −0.2 0 λ 0.02 0.015 0.01 e 3 (P ) (λ) 0.005 0 −0.005 −0.01 −0.015 −0.02 −2 −1.8 −1.6 −1.4 −1.2 λ Figure 9.6: Richardson's method for 3 steps, minimization over ;2 ;1.
  • 195.
    9.6. PROBLEMS 187 The optimumvalues of h can also be found for this problem, but we settle here for the approximation suggested by Wachspress ! n; = N ; 2 =; a n=1 2 N (9.93) b hn b This process is also applied to problem 9.85. The results for (Pt) ( ) are shown in Fig. 9.7. The error amplitude is about 1/5 of that found for (Pe) ( ) in the same interval of . The values of h used in Fig. 9.7 are h = 1 p h = 2 h = 2 ( 1) ( 1) 3 3 1 2 3 9.6 Problems 1. Given a relaxation method in the form ~ H ~n = A~n ; f show that ~n = Gn ~ + (I ; Gn)A; f ~ 1 0 where G = I + H ; A. 2. For a linear system of the form (A + A )x = b, consider the iterative method 1 1 2 (I + A )~ = (I ; A )xn + b x (I + A )xn = (I ; A )~ + b x where is a parameter. Show that this iterative method can be written in the form H (xk ; xk ) = (A + A )xk ; b 1 2 +1 2 +1 1 1 2 Determine the iteration matrix G if = ;1=2. 3. Using Appendix B.2, nd the eigenvalues of H ; A for the SOR method with A = B (4 : 1 ;2 1) and ! = !opt. (You do not have to nd H ; . Recall that the eigenvalues of H ; A satisfy A~ m = mH~ m .) Find the numerical values, x x not just the expressions. Then nd the corresponding j m j values. 1 1 1
  • 196.
    CHAPTER 9. RELAXATIONMETHODS 188 1 0.9 0.8 0.7 t 3 (P ) (λ) 0.6 0.5 0.4 0.3 0.2 0.1 0 −2 −1.8 −1.6 −1.4 −1.2 −1 λ −0.8 −0.6 −0.4 −0.2 0 −0.8 −0.6 −0.4 −0.2 0 −3 2 x 10 1.5 1 (Pt )3 (λ) 0.5 0 −0.5 −1 −1.5 −2 −2 −1.8 −1.6 −1.4 −1.2 −1 λ Figure 9.7: Wachspress method for 3 steps, minimization over ;2 ;1.
  • 197.
    9.6. PROBLEMS 189 4. Solvethe following equation on the domain 0 x 1 with boundary conditions u(0) = 0, u(1) = 1: @ u ; 6x = 0 @x For the initial condition, use u(x) = 0. Use second-order centered di erences on a grid with 40 cells (M = 39). Iterate to steady state using (a) the point-Jacobi method, (b) the Gauss-Seidel method, (c) the SOR method with the optimum value of !, and (d) the 3-step Richardson method derived in Section 9.5. Plot the solution after the residual is reduced by 2, 3, and 4 orders of magnitude. Plot the logarithm of the L -norm of the residual vs. the number of iterations. Determine the asymptotic convergence rate. Compare with the theoretical asymptotic convergence rate. 2 2 2
  • 198.
  • 199.
    Chapter 10 MULTIGRID The ideaof systematically using sets of coarser grids to accelerate the convergence of iterative schemes that arise from the numerical solution to partial di erential equations was made popular by the work of Brandt. There are many variations of the process and many viewpoints of the underlying theory. The viewpoint presented here is a natural extension of the concepts discussed in Chapter 9. 10.1 Motivation 10.1.1 Eigenvector and Eigenvalue Identi cation with Space Frequencies Consider the eigensystem of the model matrix B (1 ;2 1). The eigenvalues and eigenvectors are given in Sections 4.3.2 and 4.3.3, respectively. Notice that as the magnitudes of the eigenvalues increase, the space-frequency (or wavenumber) of the corresponding eigenvectors also increase. That is, if the eigenvalues are ordered such that j j j j 1 j Mj 2 (10.1) then the corresponding eigenvectors are ordered from low to high space frequencies. This has a rational explanation from the origin of the banded matrix. Note that @ sin(mx) = ;m sin(mx) (10.2) @x and recall that 1 B (1 ;2 1)~ = X 1 D(~ ) X ; ~ (10.3) xx~ = x x 191 2 2 2 2 2 1
  • 200.
    CHAPTER 10. MULTIGRID 192 whereD(~ ) is a diagonal matrix containing the eigenvalues. We have seen that X ; ~ represents a sine transform, and X ~ , a sine synthesis. Therefore, the operation 1 D(~ ) represents the numerical approximation of the multiplication of the x appropriate sine wave by the negative square of its wavenumber, ;m . One nds that 1 M + 1 ;2 + 2 cos m ;m m M (10.4) m= M +1 x Hence, the correlation of large magnitudes of m with high space-frequencies is to be expected for these particular matrix operators. This is consistent with the physics of di usion as well. However, this correlation is not necessary in general. In fact, the complete counterexample of the above association is contained in the eigensystem 1 for B ( 2 1 1 ). For this matrix one nds, from Appendix B, exactly the opposite 2 behavior. 1 2 2 2 2 2 10.1.2 Properties of the Iterative Method The second key motivation for multigrid is the following: Many iterative methods reduce error components corresponding to eigenvalues of large amplitude more e ectively than those corresponding to eigenvalues of small amplitude. This is to be expected of an iterative method which is time accurate. It is also true, for example, of the Gauss-Seidel method and, by design, of the Richardson method described in Section 9.5. The classical point-Jacobi method does not share this property. As we saw in Section 9.4.1, this method produces the same value of j j for min and max . However, the property can be restored by using h 1, as shown in Fig. 9.2. When an iterative method with this property is applied to a matrix with the above correlation between the modulus of the eigenvalues and the space frequency of the eigenvectors, error components corresponding to high space frequencies will be reduced more quickly than those corresponding to low space frequencies. This is the key concept underlying the multigrid process. 10.2 The Basic Process First of all we assume that the di erence equations representing the basic partial di erential equations are in a form that can be related to a matrix which has certain
  • 201.
    10.2. THE BASICPROCESS 193 basic properties. This form can be arrived at naturally by simply replacing the derivatives in the PDE with di erence schemes, as in the example given by Eq. 3.27, or it can be contrived by further conditioning, as in the examples given by Eq. 9.11. The basic assumptions required for our description of the multigrid process are: 1. The problem is linear. 2. The eigenvalues, m , of the matrix are all real and negative. 3. The m are fairly evenly distributed between their maximum and minimum values. 4. The eigenvectors associated with the eigenvalues having largest magnitudes can be correlated with high frequencies on the di erencing mesh. 5. The iterative procedure used greatly reduces the amplitudes of the eigenvectors 1 associated with eigenvalues in the range between 2 j jmax and j jmax. These conditions are su cient to ensure the validity of the process described next. Having preconditioned (if necessary) the basic nite di erencing scheme by a procedure equivalent to the multiplication by a matrix C , we are led to the starting formulation C Ab ~ 1 ; ~ b ] = 0 f (10.5) where the matrix formed by the product CAb has the properties given above. In Eq. 10.5, the vector ~ b represents the boundary conditions and the forcing function, if f ~ 1 is a vector representing the desired exact solution. We start with some any, and initial guess for ~ 1 and proceed through n iterations making use of some iterative process that satis es property 5 above. We do not attempt to develop an optimum procedure here, but for clarity we suppose that the three-step Richardson method illustrated in Fig. 9.6 is used. At the end of the three steps we nd ~ , the residual, r where ~ = C Ab~ ; ~ b] r f (10.6) Recall that the ~ used to compute ~ is composed of the exact solution ~ 1 and the r ~ in such a way that error e A~ ; ~ = 0 e r (10.7) where A CAb (10.8)
  • 202.
    CHAPTER 10. MULTIGRID 194 Ifone could solve Eq. 10.7 for ~ then e ~1 = ~ ;~ e (10.9) Thus our goal now is to solve for ~ . We can write the exact solution for ~ in terms of e e the eigenvectors of A, and the eigenvalues of the Richardson process in the form: M= M ~ = X cm~ m Y ( m hn)] + X cm~ m Y ( mhn)] e x x 2 3 m=1 3 n=1 n=1 m=M=2+1 | {z very low amplitude (10.10) } Combining our basic assumptions, we can be sure that the high frequency content of ~ has been greatly reduced (about 1% or less of its original value in the initial guess). e In addition, assumption 4 ensures that the error has been smoothed. Next we construct a permutation matrix which separates a vector into two parts, one containing the odd entries, and the other the even entries of the original vector (or any other appropriate sorting which is consistent with the interpolation approximation to be discussed below). For a 7-point example 2 6 6 6 6 6 6 6 6 6 6 6 4 e e e e e e e 2 4 6 1 3 5 3 2 7 6 7 6 7 6 7 6 7 6 7=6 7 6 7 6 7 6 7 6 7 6 5 4 7 0 0 0 1 0 0 0 1 0 0 0 0 0 0 0 0 0 0 1 0 0 0 1 0 0 0 0 0 0 0 0 0 0 1 0 32 0 0 1 0 0 0 0 0 76 0 76 76 0 76 76 0 76 76 76 0 76 76 0 76 54 1 e e e e e e e 1 2 3 4 5 6 3 7 7 7 7 7 7 7 7 7 7 7 5 ~ # ee ~ ~o = P e e (10.11) 7 Multiply Eq. 10.7 from the left by P and, since a permutation matrix has an inverse which is its transpose, we can write PA P ; P ]~ = P ~ e r (10.12) 1 The operation PAP ; partitions the A matrix to form 1 2 3 A 1 A2 ~ # ~ # 6 7 ee = re 4 5 ~ ~o r A 3 A4 e o (10.13) e r e A ~e + A ~o = ~e (10.14) Notice that 1 2
  • 203.
    10.2. THE BASICPROCESS 195 is an exact expression. At this point we make our one crucial assumption. It is that there is some connection between ~ e and ~ o brought about by the smoothing property of the Richardson e e relaxation procedure. Since the top half of the frequency spectrum has been removed, it is reasonable to suppose that the odd points are the average of the even points. For example 1 (e + e ) e 2 a 1 (e + e ) e 2 1 (e + e ) or ~ o = A0 ~ e e e (10.15) e 2 1 (e + e ) e b 2 1 2 3 2 4 5 4 6 7 6 2 It is important to notice that ea and eb represent errors on the boundaries where the error is zero if the boundary conditions are given. It is also important to notice that we are dealing with the relation between ~ and ~ so the original boundary conditions and e r forcing function (which are contained in ~ in the basic formulation) no longer appear f in the problem. Hence, no aliasing of these functions can occur in subsequent steps. Finally, notice that, in this formulation, the averaging of ~ is our only approximation, e no operations on ~ are required or justi ed. r If the boundary conditions are Dirichlet, ea and eb are zero, and one can write for the example case 2 1 0 0 16 1 1 0 A02 = 2 6 0 1 1 6 4 0 0 1 3 7 7 7 5 With this approximation Eq. 10.14 reduces to A ~ e + A A0 ~ e = ~ e e e r 1 2 2 (10.16) (10.17) or Ac~ e ; ~ e = 0 e r (10.18) where Ac = A + A A0 ] 1 2 2 (10.19)
  • 204.
    CHAPTER 10. MULTIGRID 196 Theform of Ac, the matrix on the coarse mesh, is completely determined by the choice of the permutation matrix and the interpolation approximation. If the original A had been B (7 : 1 ;2 1), our 7-point example would produce 2 ;2 6 6 6 6 6 6 ;1 = 6 PAP 6 1 6 6 6 1 6 6 4 ;2 1 1 1 ;2 ;2 1 1 1 1 ;2 3 7 7 7 17 2A A 3 7 7 6 1 27 7=4 7 5 7 7 A3 A4 7 7 7 5 1 1 ;2 (10.20) ;2 and Eq. 10.18 gives z }| 2 ;2 6 ;2 4 ;2 A 0 A2 A1 { z }| 3 2 1 1 7+6 1 1 5 4 1 1 { 3 7 5 2 z }| 2 1 16 1 1 6 4 26 1 1 1 { Ac 3 2 }| z ;1 1=2 7 6 7 = 4 1=2 ;1 1=2 7 5 1=2 ;1 { 3 7 (10.21) 5 If the boundary conditions are mixed Dirichlet-Neumann, A in the 1-D model equation is B (1 ~ 1) where ~ = ;2 ;2 ::: ;2 ;1]T . The eigensystem is given by b b Eq. B.19. It is easy to show that the high space-frequencies still correspond to the eigenvalues with high magnitudes, and, in fact, all of the properties given in Section 10.1 are met. However, the eigenvector structure is di erent from that given in Eq. 9.55 for Dirichlet conditions. In the present case they are given by !# (2m ; 1) xjm = sin j 2M + 1 m=1 2 M (10.22) and are illustrated in Fig. 10.1. All of them go through zero on the left (Dirichlet) side, and all of them re ect on the right (Neumann) side. For Neumann conditions, the interpolation formula in Eq. 10.15 must be changed. In the particular case illustrated in Fig. 10.1, eb is equal to eM . If Neumann conditions are on the left, ea = e . When eb = eM , the example in Eq. 10.16 changes to 2 1 0 03 7 16 A0 = 2 6 1 1 0 7 60 1 17 (10.23) 4 5 0 0 2 1 2
  • 205.
    10.2. THE BASICPROCESS 197 X Figure 10.1: Eigenvectors for the mixed Dirichlet{Neumann case. The permutation matrix remains the same and both A and A in the partitioned matrix PAP ; are unchanged (only A is modi ed by putting ;1 in the lower right element). Therefore, we can construct the coarse matrix from 1 1 ;2 A 0 A2 A1 }| z 2 ;2 6 ;2 4 2 4 { 2 }| 3 z 1 1 7+6 1 1 5 4 1 1 { 3 7 5 2 z }| 2 1 61 1 16 4 26 1 1 2 { Ac 3 2 }| z ;1 1=2 7 6 7 = 4 1=2 ;1 7 5 { 3 1=2 7 (10.24) 5 1=2 ;1=2 which gives us what we might have expected. We will continue with Dirichlet boundary conditions for the remainder of this Section. At this stage, we have reduced the problem from B (1 ;2 1)~ = ~ on the e r 1 B (1 ;2 1)~e = ~ e on the next coarser mesh. Recall that our goal is ne mesh to 2 e r to solve for ~ , which will provide us with the solution ~ 1 using Eq. 10.9. Given ~ e e e computed on the coarse grid (possibly using even coarser grids), we can compute ~ o e using Eq. 10.15, and thus ~ . In order to complete the process, we must now determine e ~ e and ~ . the relationship between e e In order to examine this relationship, we need to consider the eigensystems of A and Ac: A = X X; Ac = Xc cXc; (10.25) For A = B (M : 1 ;2 1) the eigenvalues and eigenvectors are m j=1 2 M (10.26) ~ m = sin j m x m = ;2 1 ; cos m=1 2 M M +1 M +1 1 1
  • 206.
    CHAPTER 10. MULTIGRID 198 Basedon our assumptions, the most di cult error mode to eliminate is that with m = 1, corresponding to ~ = sin j = ;2 1 ; cos M + 1 x j=1 2 M (10.27) M +1 For example, with M = 51, = ;0:003649. If we restrict our attention to odd M , then Mc = (M ; 1)=2 is the size of Ac. The eigenvalue and eigenvector corresponding to m = 1 for the matrix Ac = 1 B (Mc 1 ;2 1) are 2 ( c) = ; 1 ; cos M2+ 1 (~ c) = sin j M2+ 1 j = 1 2 x Mc (10.28) For M = 51 (Mc = 25), we obtain ( c) = ;0:007291 = 1:998 . As M increases, ( c) approaches 2 . In addition, one can easily see that (~ c) coincides with ~ at x x every second point of the latter vector, that is, it contains the even elements of ~ . x Now let us consider the case in which all of the error consists of the eigenvector component ~ , i.e., ~ = ~ . Then the residual is x e x ~ = A~ = ~ r x x (10.29) 1 1 1 1 1 1 1 1 1 1 1 1 1 1 1 1 1 and the residual on the coarse grid is ~ e = (~ c) r x 1 (10.30) 1 since (~ c) contains the even elements of ~ . The exact solution on the coarse grid x x satis es ~ e = A; ~ e = Xc ; Xc; (~ c) e x c r c (10.31) 2 3 1 607 6 7 = Xc ; 6 .. 7 c 6 7 4 . 5 0 (10.32) 2 3 1=( c) 6 0 7 6 7 = Xc 6 .. 7 6 . 7 4 5 0 (10.33) 1 1 1 1 1 1 1 1 1 1 1
  • 207.
    10.2. THE BASICPROCESS 199 = 1 ( c) 1 (~ c) x 1 1 (~ ) 2 xc 1 (10.34) (10.35) Since our goal is to compute ~ = ~ , in addition to interpolating ~ e to the ne grid e x e (using Eq. 10.15), we must multiply the result by 2. This is equivalent to solving 1 1A ~ = ~ e r 2 ce e or (10.36) 1 B (M : 1 ;2 1)~ = ~ ee re (10.37) c 4 In our case, the matrix A = B (M : 1 ;2 1) comes from a discretization of the di usion equation, which gives Ab = x B (M : 1 ;2 1) and the preconditioning matrix C is simply 2 C= x I 2 (10.38) (10.39) Applying the discretization on the coarse grid with the same preconditioning matrix as used on the ne grid gives, since xc = 2 x, x C x B (Mc : 1 ;2 1) = x B (Mc : 1 ;2 1) = 1 B (Mc : 1 ;2 1) 4 c c 2 2 2 (10.40) which is precisely the matrix appearing in Eq. 10.37. Thus we see that the process is recursive. The problem to be solved on the coarse grid is the same as that solved on the ne grid. The remaining steps required to complete an entire multigrid process are relatively straightforward, but they vary depending on the problem and the user. The reduction can be, and usually is, carried to even coarser grids before returning to the nest level. However, in each case the appropriate permutation matrix and the interpolation approximation de ne both the down- and up-going paths. The details of nding optimum techniques are, obviously, quite important but they are not discussed here.
  • 208.
    CHAPTER 10. MULTIGRID 200 10.3A Two-Grid Process ~ We now describe a two-grid process for the linear problem A ~ = f , which can be easily generalized to a process with an arbitrary number of grids due to the recursive nature of multigrid. Extension to nonlinear problems requires that both the solution and the residual be transferred to the coarse grid in a process known as full approximation storage multigrid. 1. Perform n iterations of the selected relaxation method on the ne grid, starting with ~ = ~n. Call the result ~ . This gives ~ = Gn1 ~n + (I ; Gn1 ) A; f ~ (10.41) 1 (1) (1) 1 1 1 1 where G = I + H; A (10.42) and H is de ned as in Chapter 9 (e.g., Eq. 9.21). Next compute the residual based on ~ : ~ ~ ~ ~ = A ~ ; f = AGn1 ~n + A (I ; Gn1 ) A; f ; f r ~ = AGn1 ~n ; AGn1 A; f (10.43) 1 1 1 1 1 (1) (1) (1) 1 1 1 1 1 1 2. Transfer (or restrict) ~ to the coarse grid: r ~ =R ~ r r (10.44) In our example in the preceding section, the restriction matrix is 2 3 0 1 0 0 0 0 0 R =6 0 0 0 1 0 0 0 7 (10.45) 4 5 0 0 0 0 0 1 0 that is, the rst three rows of the permutation matrix P in Eq. 10.11. This type of restriction is known as simple injection. Some form of weighted restriction can also be used. (1) (2) 2 (1) 1 2 1 3. Solve the problem A ~ = ~ on the coarse grid exactly: e r ~ = A; ~ e r 2 (2) (2) 2 (2) 1 2 2 1 (2) (10.46) See problem 1 of Chapter 9. Note that the coarse grid matrix denoted A2 here was denoted Ac in the preceding section.
  • 209.
    10.3. A TWO-GRIDPROCESS 201 Here A can be formed by applying the discretization on the coarse grid. In the 1 preceding example (eq. 10.40), A = 4 B (Mc : 1 ;2 1). It is at this stage that the generalization to a multigrid procedure with more than two grids occurs. If this is the coarsest grid in the sequence, solve exactly. Otherwise, apply the two-grid process recursively. 2 2 4. Transfer (or prolong) the error back to the ne grid and update the solution: ~n = ~ ; I ~ e (1) +1 In our example, the prolongation matrix is 2 6 6 6 6 6 1 I2 = 6 6 6 6 6 6 4 1=2 1 1=2 0 0 0 0 (10.47) 1 (2) 2 0 0 1=2 1 1=2 0 0 0 0 0 0 1=2 1 1=2 3 7 7 7 7 7 7 7 7 7 7 7 5 (10.48) which follows from Eq. 10.15. Combining these steps, one obtains ~n = I ; I A; R A]Gn1 ~ n ; I ; I A; R A]Gn1 A; f + A; f ~ ~ 1 2 +1 2 1 2 1 1 2 1 2 1 2 1 1 1 (10.49) 1 Thus the basic iteration matrix is I ; I A; R A]Gn1 1 2 2 1 2 1 (10.50) 1 The eigenvalues of this matrix determine the convergence rate of the two-grid process. The basic iteration matrix for a three-grid process is found from Eq. 10.50 by replacing A; with (I ; G )A; , where 2 1 2 3 2 1 G = I ; I A; R A ]Gn2 2 3 2 3 3 1 3 2 2 (10.51) 2 In this expression n is the number of relaxation steps on grid 2, I and R are the transfer operators between grids 2 and 3, and A is obtained by discretizing on grid 3. Extension to four or more grids proceeds in similar fashion. 2 3 2 3 3 2
  • 210.
    202 10.4 Problems CHAPTER 10.MULTIGRID 1. Derive Eq. 10.51. 2. Repeat problem 4 of Chapter 9 using a four-grid multigrid method together with (a) the Gauss-Seidel method, (b) the 3-step Richardson method derived in Section 9.5. Solve exactly on the coarsest grid. Plot the solution after the residual is reduced by 2, 3, and 4 orders of magnitude. Plot the logarithm of the L -norm of the residual vs. the number of iterations. Determine the asymptotic convergence rate. Calculate the theoretical asymptotic convergence rate and compare. 2
  • 211.
    Chapter 11 NUMERICAL DISSIPATION Upto this point, we have emphasized the second-order centered-di erence approximations to the spatial derivatives in our model equations. We have seen that a centered approximation to a rst derivative is nondissipative, i.e., the eigenvalues of the associated circulant matrix (with periodic boundary conditions) are pure imaginary. In processes governed by nonlinear equations, such as the Euler and Navier-Stokes equations, there can be a continual production of high-frequency components of the solution, leading, for example, to the production of shock waves. In a real physical problem, the production of high frequencies is eventually limited by viscosity. However, when we solve the Euler equations numerically, we have neglected viscous e ects. Thus the numerical approximation must contain some inherent dissipation to limit the production of high-frequency modes. Although numerical approximations to the Navier-Stokes equations contain dissipation through the viscous terms, this can be insu cient, especially at high Reynolds numbers, due to the limited grid resolution which is practical. Therefore, unless the relevant length scales are resolved, some form of added numerical dissipation is required in the numerical solution of the Navier-Stokes equations as well. Since the addition of numerical dissipation is tantamount to intentionally introducing nonphysical behavior, it must be carefully controlled such that the error introduced is not excessive. In this Chapter, we discuss some di erent ways of adding numerical dissipation to the spatial derivatives in the linear convection equation and hyperbolic systems of PDE's. 203
  • 212.
    CHAPTER 11. NUMERICALDISSIPATION 204 11.1 One-Sided First-Derivative Space Di erencing We investigate the properties of one-sided spatial di erence operators in the context of the biconvection model equation given by @u = ;a @u @t @x (11.1) with periodic boundary conditions. Consider the following point operator for the spatial derivative term ;a( x u)j = 2;ax ;(1 + )uj;1 + 2 uj + (1 ; )uj+1] = ;a (;uj;1 + uj+1) + (;uj;1 + 2uj ; uj+1)] 2 x (11.2) The second form shown divides the operator into an antisymmetric component (;uj;1+ uj+1)=2 x and a symmetric component (;uj;1 + 2uj ; uj+1)=2 x. The antisymmetric component is the second-order centered di erence operator. With 6= 0, the operator is only rst-order accurate. A backward di erence operator is given by = 1 and a forward di erence operator is given by = ;1. For periodic boundary conditions the corresponding matrix operator is ;a x = 2;ax Bp(;1 ; 2 1 ; ) The eigenvalues of this matrix are m = ;a x m 1 ; cos 2M m + i sin 2M for m = 0 1 : : : M ; 1 If a is positive, the forward di erence operator ( = ;1) produces Re( m ) 0, the centered di erence operator ( = 0) produces Re( m ) = 0, and the backward di erence operator produces Re( m) 0. Hence the forward di erence operator is inherently unstable while the centered and backward operators are inherently stable. If a is negative, the roles are reversed. When Re( m) = 0, the solution will either grow or decay with time. In either case, our choice of di erencing scheme produces nonphysical behavior. We proceed next to show why this occurs.
  • 213.
    11.2. THE MODIFIEDPARTIAL DIFFERENTIAL EQUATION 205 11.2 The Modi ed Partial Di erential Equation First carry out a Taylor series expansion of the terms in Eq. 11.2. We are lead to the expression 2 ! ( xu)j = 2 1 x 42 x @u ; @x j 3 ! ! ! @ 2 u + x3 @ 3 u ; x4 @ 4 u + : : :5 x2 @x2 3 @x3 j 12 @x4 j j We see that the antisymmetric portion of the operator introduces odd derivative terms in the truncation error while the symmetric portion introduces even derivatives. Substituting this into Eq. 11.1 gives @u = ;a @u + a x @ 2 u ; a x2 @ 3 u + a x3 @ 4 u + : : : (11.3) @t @x 2 @x2 6 @x3 24 @x4 This is the partial di erential equation we are really solving when we apply the approximation given by Eq. 11.2 to Eq. 11.1. Notice that Eq. 11.3 is consistent with Eq. 11.1, since the two equations are identical when x ! 0. However, when we use a computer to nd a numerical solution of the problem, x can be small but it is not zero. This means that each term in the expansion given by Eq. 11.3 is excited to some degree. We refer to Eq. 11.3 as the modi ed partial di erential equation. We proceed next to investigate the implications of this concept. Consider the simple linear partial di erential equation @u = ;a @u + @ 2 u + @ 3 u + @ 4 u (11.4) @t @x @x2 @x3 @x4 Choose periodic boundary conditions and impose an initial condition u = ei x. Under these conditions there is a wave-like solution to Eq. 11.4 of the form u(x t) = ei xe(r+is)t provided r and s satisfy the condition r + is = ;ia ; 2 ; i 3 + 4 or r = ; 2 ( ; 2 ) s = ; (a + 2 ) The solution is composed of both amplitude and phase terms. Thus a ) u = e; 2 ({z; 2} ei x;({z+ 2 )t}] (11.5) | | amplitude phase
  • 214.
    206 CHAPTER 11. NUMERICALDISSIPATION It is important to notice that the amplitude of the solution depends only upon and , the coe cients of the even derivatives in Eq. 11.4, and the phase depends only on a and , the coe cients of the odd derivatives. If the wave speed a is positive, the choice of a backward di erence scheme ( = 1) produces a modi ed PDE with ; 2 0 and hence the amplitude of the solution decays. This is tantamount to deliberately adding dissipation to the PDE. Under the same condition, the choice of a forward di erence scheme ( = ;1) is equivalent to deliberately adding a destabilizing term to the PDE. By examining the term governing the phase of the solution in Eq. 11.5, we see that the speed of propagation is a + 2 . Referring to the modi ed PDE, Eq. 11.3 we have = ;a x2 =6. Therefore, the phase speed of the numerical solution is less than the actual phase speed. Furthermore, the numerical phase speed is dependent upon the wavenumber . This we refer to as dispersion. Our purpose here is to investigate the properties of one-sided spatial di erencing operators relative to centered di erence operators. We have seen that the threepoint centered di erence approximation of the spatial derivative produces a modi ed PDE that has no dissipation (or ampli cation). One can easily show, by using the antisymmetry of the matrix di erence operators, that the same is true for any centered di erence approximation of a rst derivative. As a corollary, any departure from antisymmetry in the matrix di erence operator must introduce dissipation (or ampli cation) into the modi ed PDE. Note that the use of one-sided di erencing schemes is not the only way to introduce dissipation. Any symmetric component in the spatial operator introduces dissipation (or ampli cation). Therefore, one could choose = 1=2 in Eq. 11.2. The resulting spatial operator is not one-sided but it is dissipative. Biased schemes use more information on one side of the node than the other. For example, a third-order backward-biased scheme is given by ( xu)j = 6 1 x (uj;2 ; 6uj;1 + 3uj + 2uj+1) = 1 (uj;2 ; 8uj;1 + 8uj+1 ; uj+2) 12 x + (uj;2 ; 4uj;1 + 6uj ; 4uj+1 + uj+2)] (11.6) The antisymmetric component of this operator is the fourth-order centered di erence operator. The symmetric component approximates x3 uxxxx=12. Therefore, this operator produces fourth-order accuracy in phase with a third-order dissipative term.
  • 215.
    11.3. THE LAX-WENDROFFMETHOD 207 11.3 The Lax-Wendro Method In order to introduce numerical dissipation using one-sided di erencing, backward di erencing must be used if the wave speed is positive, and forward di erencing must be used if the wave speed is negative. Next we consider a method which introduces dissipation independent of the sign of the wave speed, known as the Lax-Wendro method. This explicit method di ers conceptually from the methods considered previously in which spatial di erencing and time-marching are treated separately. Consider the following Taylor-series expansion in time: 2 u(x t + h) = u + h @u + 1 h2 @ u + O(h3) @t 2 @t2 (11.7) First replace the time derivatives with space derivatives according to the PDE (in this case, the linear convection equation @u + a @u = 0). Thus @t @x @ 2 u = a2 @ 2 u @u = ;a @u (11.8) @t @x @t2 @x2 Now replace the space derivatives with three-point centered di erence operators, giving !2 (n+1) = u(n) ; 1 ah (u(n) ; u(n) ) + 1 ah (u(n) ; 2u(n) + u(n) ) (11.9) uj j j +1 j j ;1 2 x j+1 j;1 2 x This is the Lax-Wendro method applied to the linear convection equation. It is a fully-discrete nite-di erence scheme. There is no intermediate semi-discrete stage. For periodic boundary conditions, the corresponding fully-discrete matrix operator is 0 2 !3 ! 2 ! 31 1 4 ah + ah 25 1 ; ah 2 1 4; ah + ah 2 5A ~ ~ n+1 = Bp @ 2 x u un x x 2 x x The eigenvalues of this matrix are ! ah 2 1 ; cos 2 m ; i ah sin 2 m m =1; x M x M for m = 0 1 : : : M ; 1 For j ah j 1 all of the eigenvalues have modulus less than or equal to unity and hence x the method is stable independent of the sign of a. The quantity j ah j is known as the x Courant (or CFL) number. It is equal to the ratio of the distance travelled by a wave in one time step to the mesh spacing.
  • 216.
    208 CHAPTER 11. NUMERICALDISSIPATION The nature of the dissipative properties of the Lax-Wendro scheme can be seen by examining the modi ed partial di erential equation, which is given by @u + a @u = ; a ( x2 ; a2h2 ) @ 3 u ; a2 h ( x2 ; a2 h2) @ 4 u + : : : @t @x 6 @x3 8 @x4 This is derived by substituting Taylor series expansions for all terms in Eq. 11.9 and converting the time derivatives to space derivatives using Eq. 11.8. The two leading error terms appear on the right side of the equation. Recall that the odd derivatives on the right side lead to unwanted dispersion and the even derivatives lead to dissipation (or ampli cation, depending on the sign). Therefore, the leading error term in the Lax-Wendro method is dispersive and proportional to a ( x2 ; a2h2 ) @ 3 u = ; a x2 (1 ; C 2 ) @ 3 u ;6 n @x3 @x3 6 The dissipative term is proportional to 2 4 2 2 4 2 @ ; a8h ( x2 ; a2h2 ) @ u = ; a h8 x (1 ; Cn) @xu 4 @x4 This term has the appropriate sign and hence the scheme is truly dissipative as long as Cn 1. A closely related method is that of MacCormack. Recall MacCormack's timemarching method, presented in Chapter 6: un+1 = un + hu0n ~ 1 ~ ~ (11.10) un+1 = 2 un + un+1 + hu0n+1] If we use rst-order backward di erencing in the rst stage and rst-order forward di erencing in the second stage,1 a dissipative second-order method is obtained. For the linear convection equation, this approach leads to u(jn+1) = u(jn) ; ah (u(jn) ; u(jn)1) ~ ; x u(jn+1) = 1 u(jn) + u(jn+1) ; ah (~(jn+1) ; u(jn+1))] ~ (11.11) 2 x u +1 ~ which can be shown to be identical to the Lax-Wendro method. Hence MacCormack's method has the same dissipative and dispersive properties as the Lax-Wendro method. The two methods di er when applied to nonlinear hyperbolic systems, however. 1 Or vice-versa for nonlinear problems, these should be applied alternately.
  • 217.
    11.4. UPWIND SCHEMES 11.4Upwind Schemes 209 In Section 11.1, we saw that numerical dissipation can be introduced in the spatial di erence operator using one-sided di erence schemes or, more generally, by adding a symmetric component to the spatial operator. With this approach, the direction of the one-sided operator (i.e., whether it is a forward or a backward di erence) or the sign of the symmetric component depends on the sign of the wave speed. When a hyperbolic system of equations is being solved, the wave speeds can be both positive and negative. For example, the eigenvalues of the ux Jacobian for the onedimensional Euler equations are u u + a u ; a. When the ow is subsonic, these are of mixed sign. In order to apply one-sided di erencing schemes to such systems, some form of splitting is required. This is avoided in the Lax-Wendro scheme. However, as a result of their superior exibility, schemes in which the numerical dissipation is introduced in the spatial operator are generally preferred over the Lax-Wendro approach. Consider again the linear convection equation: @u + a @u = 0 (11.12) @t @x where we do not make any assumptions as to the sign of a. We can rewrite Eq. 11.12 as @u + (a+ + a; ) @u = 0 a = a 2 jaj @t @x + = a 0 and a; = 0. Alternatively, if a 0, then a+ = 0 and If a 0, then a a; = a 0. Now for the a+ ( 0) term we can safely backward di erence and for the a; ( 0) term forward di erence. This is the basic concept behind upwind methods, that is, some decomposition or splitting of the uxes into terms which have positive and negative characteristic speeds so that appropriate di erencing schemes can be chosen. In the next two sections, we present two splitting techniques commonly used with upwind methods. These are by no means unique. The above approach to obtaining a stable discretization independent of the sign of a can be written in a di erent, but entirely equivalent, manner. From Eq. 11.2, we see that a stable discretization is obtained with = 1 if a 0 and with = ;1 if a 0. This is achieved by the following point operator: ;a( xu)j = 2;1x a(;uj;1 + uj+1) + jaj(;uj;1 + 2uj ; uj+1)] (11.13) This approach is extended to systems of equations in Section 11.5. In this section, we present the basic ideas of ux-vector and ux-di erence splitting. For more subtle aspects of implementation and application of such techniques to
  • 218.
    CHAPTER 11. NUMERICALDISSIPATION 210 nonlinear hyperbolic systems such as the Euler equations, the reader is referred to the literature on this subject. 11.4.1 Flux-Vector Splitting Recall from Section 2.5 that a linear, constant-coe cient, hyperbolic system of partial di erential equations given by @u + @f = @u + A @u = 0 (11.14) @t @x @t @x can be decoupled into characteristic equations of the form @wi + @wi = 0 (11.15) i @t @x where the wave speeds, i, are the eigenvalues of the Jacobian matrix, A, and the wi's are the characteristic variables. In order to apply a one-sided (or biased) spatial di erencing scheme, we need to apply a backward di erence if the wave speed, i, is positive, and a forward di erence if the wave speed is negative. To accomplish this, let us split the matrix of eigenvalues, , into two components such that = ++ ; (11.16) where +j j ; = ;j j (11.17) 2 2 With these de nitions, + contains the positive eigenvalues and ; contains the negative eigenvalues. We can now rewrite the system in terms of characteristic variables as @w + @w = @w + + @w + ; @w = 0 (11.18) @t @x @t @x @x The spatial terms have been split into two components according to the sign of the wave speeds. We can use backward di erencing for the + @w term and forward @x di erencing for the ; @w term. Premultiplying by X and inserting the product @x X ;1X in the spatial terms gives += @Xw + @X +X ;1Xw + @X ;X ;1Xw = 0 @t @x @x (11.19)
  • 219.
    11.4. UPWIND SCHEMES 211 Withthe de nitions2 A+ = X +X ;1 A; = X ;X ;1 (11.20) and recalling that u = Xw, we obtain @u + @A+u + @A; u = 0 @t @x @x Finally the split ux vectors are de ned as f + = A+u (11.21) f ; = A; u (11.22) and we can write @u + @f + + @f ; = 0 (11.23) @t @x @x In the linear case, the de nition of the split uxes follows directly from the de nition of the ux, f = Au. For the Euler equations, f is also equal to Au as a result of their homogeneous property, as discussed in Appendix C. Note that f = f+ + f; (11.24) Thus by applying backward di erences to the f + term and forward di erences to the f ; term, we are in e ect solving the characteristic equations in the desired manner. This approach is known as ux-vector splitting. When an implicit time-marching method is used, the Jacobians of the split ux vectors are required. In the nonlinear case, @f + 6= A+ @f ; 6= A; @u @u Therefore, one must nd and use the new Jacobians given by + A++ = @f @u ; A;; = @f @u (11.25) (11.26) For the Euler equations, A++ has eigenvalues which are all positive, and A;; has all negative eigenvalues. 2 With these de nitions A+ has all positive eigenvalues, and A; has all negative eigenvalues.
  • 220.
    212 CHAPTER 11. NUMERICALDISSIPATION 11.4.2 Flux-Di erence Splitting Another approach, more suited to nite-volume methods, is known as ux-di erence splitting. In a nite-volume method, the uxes must be evaluated at cell boundaries. We again begin with the diagonalized form of the linear, constant-coe cient, hyperbolic system of equations @w + @w = 0 (11.27) @t @x The ux vector associated with this form is g = w. Now, as in Chapter 5, we consider the numerical ux at the interface between nodes j and j + 1, gj+1=2, as a ^ function of the states to the left and right of the interface, wL and wR, respectively. The centered approximation to gj+1=2, which is nondissipative, is given by 1 gj+1=2 = 2 (g(wL) + g(wR)) ^ (11.28) In order to obtain a one-sided upwind approximation, we require ( (w ) (^i)j+1=2 = i(wi)L if i 0 g (11.29) i i R if i 0 where the subscript i indicates individual components of w and g. This is achieved with 1 1 (^i)j+1=2 = 2 i (wi)L + (wi)R ] + 2 j ij (wi)L ; (wi)R] g (11.30) or 1 gj+1=2 = 1 (wL + wR) + 2 j j (wL ; wR ) ^ (11.31) 2 Now, as in Eq. 11.19, we premultiply by X to return to the original variables and insert the product X ;1X after and j j to obtain 1 1 X gj+1=2 = 2 X X ;1X (wL + wR) + 2 X j jX ;1X (wL ; wR ) ^ (11.32) and thus 1 f^j+1=2 = 1 (fL + fR ) + 2 jAj (uL ; uR) (11.33) 2 where jAj = X j jX ;1 (11.34)
  • 221.
    11.5. ARTIFICIAL DISSIPATION 213 andwe have also used the relations f = Xg, u = Xw, and A = X X ;1. In the linear, constant-coe cient case, this leads to an upwind operator which is identical to that obtained using ux-vector splitting. However, in the nonlinear case, there is some ambiguity regarding the de nition of jAj at the cell interface j + 1=2. In order to resolve this, consider a situation in which the eigenvalues of A are all of the same sign. In this case, we would like our de nition of f^j+1=2 to satisfy ( 0 f f^j+1=2 = fL if all i 0s 0 (11.35) R if all i s 0 giving pure upwinding. If the eigenvalues of A are all positive, jAj = A if they are all negative, jAj = ;A. Hence satisfaction of Eq. 11.35 is obtained by the de nition 1 f^j+1=2 = 2 (fL + fR ) + 1 jAj+1=2j (uL ; uR) (11.36) 2 if Aj+1=2 satis es fL ; fR = Aj+1=2 (uL ; uR) (11.37) For the Euler equations for a perfect gas, Eq. 11.37 is satis ed by the ux Jacobian evaluated at the Roe-average state given by p LuL + p R uR (11.38) uj+1=2 = p + p L R p H +p H L L Hj+1=2 = (11.39) p L+p R R R where u and H = (e + p)= are the velocity and the total enthalpy per unit mass, respectively.3 11.5 Arti cial Dissipation We have seen that numerical dissipation can be introduced by using one-sided differencing schemes together with some form of ux splitting. We have also seen that such dissipation can be introduced by adding a symmetric component to an antisymmetric (dissipation-free) operator. Thus we can generalize the concept of upwinding to include any scheme in which the symmetric portion of the operator is treated in such a manner as to be truly dissipative. 3 Note that the ux Jacobian can be written in terms of u and H only see problem 6 at the end of this chapter.
  • 222.
    CHAPTER 11. NUMERICALDISSIPATION 214 For example, let s a ( xu)j = ;uj+1 + 2uj ; uj;1 (11.40) ( x u)j = uj+1 ; uj;1 2 x 2 x a s Applying x = x + x to the spatial derivative in Eq. 11.15 is stable if i 0 and a s unstable if i 0. Similarly, applying x = x ; x is stable if i 0 and unstable if i 0. The appropriate implementation is thus a s (11.41) i x = i x + j ij x Extension to a hyperbolic system by applying the above approach to the characteristic variables, as in the previous two sections, gives a s (11.42) x (Au) = x (Au) + x (jAju) or a s (11.43) x f = x f + x (jAju) where jAj is de ned in Eq. 11.34. The second spatial term is known as arti cial dissipation. It is also sometimes referred to as arti cial di usion or arti cial viscosity. a s With appropriate choices of x and x, this approach can be related to the upwind approach. This is particularly evident from a comparison of Eqs. 11.36 and 11.43. s It is common to use the following operator for x (11.44) x (uj;2 ; 4uj;1 + 6uj ; 4uj+1 + uj+2) where is a problem-dependent coe cient. This symmetric operator approximates x3 uxxxx and thus introduces a third-order dissipative term. With an appropriate value of , this often provides su cient damping of high frequency modes without greatly a ecting the low frequency modes. For details of how this can be implemented for nonlinear hyperbolic systems, the reader should consult the literature. A more complicated treatment of the numerical dissipation is also required near shock waves and other discontinuities, but is beyond the scope of this book. s ( xu)j = 11.6 Problems 1. A second-order backward di erence approximation to a 1st derivative is given as a point operator by ( xu)j = 1 (uj;2 ; 4uj;1 + 3uj ) 2 x
  • 223.
    11.6. PROBLEMS 215 (a) Expressthis operator in banded matrix form (for periodic boundary conditions), then derive the symmetric and skew-symmetric matrices that have the matrix operator as their sum. (See Appendix A.3 to see how to construct the symmetric and skew-symmetric components of a matrix.) (b) Using a Taylor table, nd the derivative which is approximated by the corresponding symmetric and skew-symmetric operators and the leading error term for each. 2. Find the modi ed wavenumber for the rst-order backward di erence operator. Plot the real and imaginary parts of x vs. x for 0 x . Using Fourier analysis as in Section 6.6.2, nd j j for the combination of this spatial operator with 4th-order Runge-Kutta time marching at a Courant number of unity and plot vs. x for 0 x . 3. Find the modi ed wavenumber for the operator given in Eq. 11.6. Plot the real and imaginary parts of x vs. x for 0 x . Using Fourier analysis as in Section 6.6.2, nd j j for the combination of this spatial operator with 4th-order Runge-Kutta time marching at a Courant number of unity and plot vs. x for 0 x . 4. Consider the spatial operator obtained by combining second-order centered differences with the symmetric operator given in Eq. 11.44. Find the modi ed wavenumber for this operator with = 0 1=12 1=24, and 1=48. Plot the real and imaginary parts of x vs. x for 0 x . Using Fourier analysis as in Section 6.6.2, nd j j for the combination of this spatial operator with 4th-order Runge-Kutta time marching at a Courant number of unity and plot vs. x for 0 x . 5. Consider the hyperbolic system derived in problem 8 of Chapter 2. Find the matrix jAj. Form the plus-minus split ux vectors as in Section 11.4.1. 6. Show that the ux Jacobian for the 1-D Euler equations can be written in terms of u and H . Show that the use of the Roe average state given in Eqs. 11.38 and 11.39 leads to satisfaction of Eq. 11.37.
  • 224.
  • 225.
    Chapter 12 SPLIT ANDFACTORED FORMS In the next two chapters, we present and analyze split and factored algorithms. This gives the reader a feel for some of the modi cations which can be made to the basic algorithms in order to obtain e cient solvers for practical multidimensional applications, and a means for analyzing such modi ed forms. 12.1 The Concept Factored forms of numerical operators are used extensively in constructing and applying numerical methods to problems in uid mechanics. They are the basis for a wide variety of methods variously known by the labels hybrid, time split, and fractional step. Factored forms are especially useful for the derivation of practical algorithms that use implicit methods. When we approach numerical analysis in the light of matrix derivative operators, the concept of factoring is quite simple to present and grasp. Let us start with the following observations: 1. Matrices can be split in quite arbitrary ways. 2. Advancing to the next time level always requires some reference to a previous one. 3. Time marching methods are valid only to some order of accuracy in the step size, h. Now recall the generic ODE's produced by the semi-discrete approach d~ = A~ ; ~ u u f dt 217 (12.1)
  • 226.
    CHAPTER 12. SPLITAND FACTORED FORMS 218 and consider the above observations. From observation 1 (arbitrary splitting of A) : d~ = A + A ]~ ; ~ u u f dt 1 (12.2) 2 where A = A + A ] but A and A are not unique. For the time march let us choose the simple, rst-order, explicit Euler method. Then, from observation 2 (new data ~ n in terms of old ~ n): u u 1 2 1 1 2 +1 ~ n = I + hA + hA ]~ n ; h~ + O(h ) u u f +1 1 (12.3) 2 2 or its equivalent ~ n = h I + hA ] I + hA ] ; h A A i~ n ; h~ + O(h ) u u f +1 1 2 2 1 2 2 Finally, from observation 3 (allowing us to drop higher order terms ;h A A ~ n): u 2 1 2 ~ n = I + hA ] I + hA ]~ n ; h~ + O(h ) u u f (12.4) Notice that Eqs. 12.3 and 12.4 have the same formal order of accuracy and, in this sense, neither one is to be preferred over the other. However, their numerical stability can be quite di erent, and techniques to carry out their numerical evaluation can have arithmetic operation counts that vary by orders of magnitude. Both of these considerations are investigated later. Here we seek only to apply to some simple cases the concept of factoring. +1 1 2 2 12.2 Factoring Physical Representations | Time Splitting Suppose we have a PDE that represents both the processes of convection and dissipation. The semi-discrete approach to its solution might be put in the form d~ = A ~ + A ~ + (bc) u ~ cu du dt (12.5) where Ac and Ad are matrices representing the convection and dissipation terms, respectively and their sum forms the A matrix we have considered in the previous sections. Choose again the explicit Euler time march so that ~ ~ n = I + hAd + hAc]~ n + h(bc) + O(h ) u u +1 1 Second-order time-marching methods are considered later. 2 (12.6)
  • 227.
    12.2. FACTORING PHYSICALREPRESENTATIONS | TIME SPLITTING 219 Now consider the factored form ~n u +1 = = ~ I + hAd ] I + hAc]~ n + h(bc) u ~ u ~ I + hAd + hAc]~ n + h(bc) + h Ad Ac~ n + (bc) +O(h ) (12.7) u {z } | 2 2 | {z } Original Unfactored Terms Higher Order Terms and we see that Eq. 12.7 and the original unfactored form Eq. 12.6 have identical orders of accuracy in the time approximation. Therefore, on this basis, their selection is arbitrary. In practical applications equations such as 12.7 are often applied in a predictor-corrector sequence. In this case one could write 2 un ~ ~n u +1 +1 ~ I + hAc]~ n + h(bc) u I + hAd]~n u = = (12.8) +1 Factoring can also be useful to form split combinations of implicit and explicit techniques. For example, another way to approximate Eq. 12.6 with the same order of accuracy is given by the expression ~n u +1 = = ~ I ; hAd]; I + hAc]~ n + h(bc) u ~ I + hAd + hAc]~ n + h(bc) +O(h ) u | {z } 1 2 Original Unfactored Terms where in this approximation we have used the fact that (12.9) I ; hAd ]; = I + hAd + h Ad + 1 2 2 if h jjAdjj 1, where jjAd jj is some norm of Ad ]. This time a predictor-corrector interpretation leads to the sequence un ~ I ; hAd]~ n u +1 +1 ~ = I + hAc]~ n + h(bc) u = un ~ +1 (12.10) The convection operator is applied explicitly, as before, but the di usion operator is now implicit, requiring a tridiagonal solver if the di usion term is central di erenced. Since numerical sti ness is generally much more severe for the di usion process, this factored form would appear to be superior to that provided by Eq. 12.8. However, the important aspect of stability has yet to be discussed. 2 We do not suggest that this particular method is suitable for use. We have yet to determine its stability, and a rst-order time-march method is usually unsatisfactory.
  • 228.
    CHAPTER 12. SPLITAND FACTORED FORMS 220 We should mention here that Eq. 12.9 can be derived for a di erent point of view by writing Eq. 12.6 in the form un ; un = A u + A u + (bc) + O(h ) ~ c n d n h +1 Then 2 +1 ~ I ; hAd ]un = I + hAc]un + h(bc) which is identical to Eq. 12.10. +1 12.3 Factoring Space Matrix Operators in 2{D 12.3.1 Mesh Indexing Convention Factoring is widely used in codes designed for the numerical solution of equations governing unsteady two- and three-dimensional ows. Let us study the basic concept of factoring by inspecting its use on the linear 2-D scalar PDE that models di usion: @u = @ u + @ u @t @x @y 2 2 2 (12.11) 2 We begin by reducing this PDE to a coupled set of ODE's by di erencing the space derivatives and inspecting the resulting matrix operator. A clear description of a matrix nite-di erence operator in 2- and 3-D requires some reference to a mesh. We choose the 3 4 point mesh shown in the Sketch 12.12. In this example Mx , the number of (interior) x points, is 4 and My , the number of (interior) y points is 3. The numbers 11 12 43 represent the location in the mesh of the dependent variable bearing that index. Thus u represents the value of u at j = 3 and k = 2. 3 32 My k 1 13 23 33 43 12 22 32 42 11 21 31 41 1 j (12.12) Mx Mesh indexing in 2-D. 3 This could also be called a 5 6 point mesh if the boundary points (labeled in the sketch) were included, but in these notes we describe the size of a mesh by the number of interior points.
  • 229.
    12.3. FACTORING SPACEMATRIX OPERATORS IN 2{D 221 12.3.2 Data Bases and Space Vectors The dimensioned array in a computer code that allots the storage locations of the dependent variable(s) is referred to as a data-base. There are many ways to lay out a data-base. Of these, we consider only two: (1), consecutively along rows that are themselves consecutive from k = 1 to My , and (2), consecutively along columns that are consecutive from j = 1 to Mx. We refer to each row or column group as a space vector (they represent data along lines that are continuous in space) and label their sum with the symbol U . In particular, (1) and (2) above are referred to as xvectors and y-vectors, respectively. The symbol U by itself is not enough to identify the structure of the data-base and is used only when the structure is immaterial or understood. To be speci c about the structure, we label a data{base composed of x-vectors with U x , and one composed of y-vectors with U y . Examples of the order of indexing for these space vectors are given in Eq. 12.16 part a and b. ( ) ( ) 12.3.3 Data Base Permutations The two vectors (arrays) are related by a permutation matrix P such that U x = Pxy U y ( ) ( ) U y = PyxU x and ( ) where (12.13) ( ) Pyx = PT = P; xy xy Now consider the structure of a matrix nite-di erence operator representing 3point central-di erencing schemes for both space derivatives in two dimensions. When the matrix is multiplying a space vector U , the usual (but ambiguous) representation is given by Ax y . In this notation the ODE form of Eq. 12.11 can be written 1 4 + dU = A U + (bc) ~ x y dt (12.14) + If it is important to be speci c about the data-base structure, we use the notation Axx y or Axy y , depending on the data{base chosen for the U it multiplies. Examples are in Eq. 12.16 part a and b. Notice that the matrices are not the same although they represent the same derivative operation. Their structures are similar, however, and they are related by the same permutation matrix that relates U x to U y . Thus ( ) + ( ) + ( ) Axx y = Pxy Axy y Pyx ( ) + 4 Notice that ( ) + ( ) (12.15) Ax+y and U , which are notations used in the special case of space vectors, are subsets of A and ~ , used in the previous sections. u
  • 230.
    CHAPTER 12. SPLITAND FACTORED FORMS 222 2 6x 6 6 6 6 6 6 6 6 6 6o 6 6 (x) (x) Ax+y U = 6 6 6 6 6 6 6 6 6 6 6 6 6 6 4 j o x j o x x j o x j o x j j j j j x j o o j x x j o o j x x j o o j x j j o j o j o j o j x j x x j x j x 3 7 7 7 7 7 7 7 7 7 7 7 7 7 7 7 7 7 o7 7 7 7 7 7 7 7 7 5 x7 a:Elements in 2-dimensional, central-di erence, matrix operator, Ax y , for 3 4 mesh shown in Sketch 12.12. Data base composed of My x{vectors stored in U x . Entries for x ! x, for y ! o, for both ! . + 2 6o 6 6 6 6 6 6 6x 6 6 6 6 6 6 (y ) (y ) Ax+y U = 6 6 6 6 6 6 6 6 6 6 6 6 6 6 6 4 ;; 12 22 32 42 ;; 13 23 33 43 ( ) j x j o j x j o j x j o j j j j o j x j x j o o j x j x j o j x j j x j o j x j x j o o j x j x j o j j j j j x j o j x j o j x j o 3 7 7 7 7 7 7 7 7 7 7 7 7 7 7 7 7 7 7 7 7 7 7 x7 7 7 7 7 7 7 o5 b: Elements in 2-dimensional, central-di erence, matrix operator, Ax y , for 3 4 mesh shown in Sketch 12.12. Data base composed of Mx y{vectors stored in U y . Entries for x ! x, for y ! o, for both ! . + 11 21 31 41 ( ) 11 12 13 ;; 21 22 23 ;; 31 32 33 ;; 41 42 43 (12.16)
  • 231.
    12.3. FACTORING SPACEMATRIX OPERATORS IN 2{D 223 12.3.4 Space Splitting and Factoring We are now prepared to discuss splitting in two dimensions. It should be clear that the matrix Axx y can be split into two matrices such that ( ) + Axx y = Axx + Ayx ( ) + ( ) (12.17) ( ) where Axx and Ayx are shown in Eq. 12.22. Similarily ( ) ( ) Axy y = Axy + Ayy ( ) + ( ) (12.18) ( ) where the split matrices are shown in Eq. 12.23. The permutation relation also holds for the split matrices so Ayx = Pxy Ayy Pyx ( ) and ( ) Axx = Pxy Axy Pyx ( ) ( ) The splittings in Eqs. 12.17 and 12.18 can be combined with factoring in the manner described in Section 12.2. As an example ( rst-order in time), applying the implicit Euler method to Eq. 12.14 gives h i ~ Unx = Unx + h Axx + Ayx Unx + h(bc) ( ) +1 ( ) ( ) ( ) ( ) +1 or h i ~ I ; hAxx ; hAyx Unx = Unx + h(bc) + O(h ) ( ) ( ) +1 ( ) ( ) 2 (12.19) As in Section 12.2, we retain the same rst order accuracy with the alternative h ih i ~ I ; hAxx I ; hAyx Unx = Unx + h(bc) + O(h ) ( ) ( ) +1 ( ) ( ) 2 (12.20) Write this in predictor-corrector form and permute the data base of the second row. There results h i ~ ~ I ; hAxx U x = Unx + h(bc) h i y ~ I ; hAyy Un = U y ( ) ( ) ( ) ( ) ( ) +1 ( ) (12.21)
  • 232.
    CHAPTER 12. SPLITAND FACTORED FORMS 224 Axx ( ) 2 x 6x 6 6 6 6 6 6 6 6 6 6 6 6 (x) U =6 6 6 6 6 6 6 6 6 6 6 6 6 6 4 j j j j j j j j j x x j x x x j x x x j x x x x x x x x x x j j j j j j j j 2 o j o 6 o j o 6 6 6 o j o 6 6 o j o 6 6 Ayx ( ) 6 6 6o 6 6 U (x) = 6 6 6 6 6 6 6 6 6 6 6 6 6 6 4 j o o j o o j o o j o j o j o j o j o The splitting of Axx y . ( ) + 3 7 7 7 7 7 7 7 7 7 7 7 7 7 7 7 7 7 7 7 7 7 7 7 7 7 7 5 x7 Ux ( ) j x x j x x x j x x j x x 3 j 7 j 7 7 7 j 7 7 j 7 7 (12.22) 7 7 7 j o 7 7 j o 7 Ux 7 j o 7 7 j o7 7 7 ( ) 7 7 7 j o 7 7 j o 7 5 j o 7 j o
  • 233.
    12.3. FACTORING SPACEMATRIX OPERATORS IN 2{D Axy ( ) 2 x 6 6 6 6 6 6 6 6x 6 6 6 6 6 6 U (y) = 6 6 6 6 6 6 6 6 6 6 6 6 6 6 6 4 j x j x j x j x j x j j x j x j x j x j x j x j x j x j j x j x j x j x j x j x j x j x j j j j 2 o o j 6o o o j 6 6 o o j 6 6 Ayy ( ) 6 6 6 6 6 6 6 6 6 (y ) U =6 6 6 6 6 6 6 6 6 6 6 6 6 6 6 4 j j j 225 3 7 7 7 7 7 7 7 7 7 7 7 7 7 7 7 7 7 7 7 7 7 7 x7 7 7 7 7 7 7 5 Uy ( ) j x j x j x j x j x j x 3 j j 7 j j 7 7 j j 7 7 j o o j j o o o j j o o j j j j j j j j o o j j o o o j j o o j j j j j j j 7 7 7 7 7 7 7 7 7 7 7 7 7 7 7 7 7 7 7 7 7 7 7 7 o5 j o o j o o j o o The splitting of Axy y . ( ) + (12.23) Uy ( )
  • 234.
    CHAPTER 12. SPLITAND FACTORED FORMS 226 12.4 Second-Order Factored Implicit Methods Second-order accuracy in time can be maintained in a certain factored implicit methods. For example, apply the trapezoidal method to Eq. 12.14 where the derivative operators have been split as in Eq. 12.17 or 12.18. Let the data base be immaterial ~ and the (bc) be time invariant. There results 1 1 ~ I ; 2 hAx ; 1 hAy Un = I + 2 hAx + 1 hAy Un + h(bc) + O(h ) (12.24) 2 2 Factor both sides giving 1 I ; 1 hAx I ; 2 hAy ; 1 h AxAy Un 2 4 1 hA I + 1 hA ; 1 h A A U + h(bc) + O(h ) (12.25) ~ = I+ 2 x 2 y 4 x y n Then notice that the combination 1 h AxAy ](Un ; Un) is proportional to h since 4 the leading term in the expansion of (Un ; Un) is proportional to h. Therefore, we can write 1 ~ I ; 1 hAx I ; 1 hAy Un = I + 2 hAx I + 1 hAy Un + h(bc) + O(h )(12.26) 2 2 2 and both the factored and unfactored form of the trapezoidal method are second-order accurate in the time march. An alternative form of this kind of factorization is the classical ADI (alternating direction implicit) method usually written 1 1 ~ I ; 2 hAx U = I + 2 hAy Un + 1 hFn 2 1 hA U + 1 hF + O(h ) 1 hA U (12.27) I;2 y n = I+2 x ~ 2 n 3 +1 2 +1 2 2 3 3 +1 +1 3 +1 5 +1 +1 3 For idealized commuting systems the methods given by Eqs. 12.26 and 12.27 di er only in their evaluation of a time-dependent forcing term. 12.5 Importance of Factored Forms in 2 and 3 Dimensions When the time-march equations are sti and implicit methods are required to permit reasonably large time steps, the use of factored forms becomes a very valuable tool 5 A form of the Douglas or Peaceman-Rachford methods.
  • 235.
    12.5. IMPORTANCE OFFACTORED FORMS IN 2 AND 3 DIMENSIONS 227 for realistic problems. Consider, for example, the problem of computing the time advance in the unfactored form of the trapezoidal method given by Eq. 12.24 1 ~ I ; 2 hAx y Un = I + 1 hAx y Un + h(bc) 2 Forming the right hand side poses no problem, but nding Un requires the solution of a sparse, but very large, set of coupled simultaneous equations having the matrix form shown in Eq. 12.16 part a and b. Furthermore, in real cases involving the Euler or Navier-Stokes equations, each symbol (o x ) represents a 4 4 block matrix with entries that depend on the pressure, density and velocity eld. Suppose we were to solve the equations directly. The forward sweep of a simple Gaussian elimination lls all of the 4 4 blocks between the main and outermost diagonal (e.g. between and o in Eq. 12.16 part b.). This must be stored in computer memory to be used to nd the nal solution in the backward sweep. If Ne represents the order of the small block matrix (4 in the 2-D Euler case), the approximate memory requirement is (Ne My ) (Ne My ) Mx oating point words. Here it is assumed that My Mx. If My Mx, My and Mx would be interchanged. A moderate mesh of 60 200 points would require over 11 million words to nd the solution. Actually current computer power is able to cope rather easily with storage requirements of this order of magnitude. With computing speeds of over one giga op, direct solvers may become useful for nding steady-state solutions of practical problems in two dimensions. However, a three-dimensional solver would require a memory of approximatly + +1 + +1 6 7 8 Ne My Mz Mx 2 2 2 words and, for well resolved ow elds, this probably exceeds memory availability for some time to come. On the other hand, consider computing a solution using the factored implicit equation 12.25. Again computing the right hand side poses no problem. Accumulate the result of such a computation in the array (RHS ). One can then write the remaining terms in the two-step predictor-corrector form 1 ~ I ; 2 hAxx U x = (RHS ) x ~ I ; 1 hAyy Uny = U y (12.28) 2 ( ) ( ) ( ) ( ) +1 ( ) ( ) 6 For matrices as small as those shown there are many gaps in this ll, but for meshes of practical size the ll is mostly dense. 7 The lower band is also computed but does not have to be saved unless the solution is to be repeated for another vector. 8 One billion oating-point operations per second.
  • 236.
    CHAPTER 12. SPLITAND FACTORED FORMS 228 which has the same appearance as Eq. 12.21 but is second-order time accurate. The rst step would be solved using My uncoupled block tridiagonal solvers . Inspecting the top of Eq. 12.22, we see that this is equivalent to solving My one-dimensional ~ problems, each with Mx blocks of order Ne . The temporary solution U x would then y and an inspection of the bottom of Eq. 12.23 shows that the nal ~ be permuted to U step consists of solving Mx one-dimensional implicit problems each with dimension My . 9 ( ) ( ) 12.6 The Delta Form Clearly many ways can be devised to split the matrices and generate factored forms. One way that is especially useful, for ensuring a correct steady-state solution in a converged time-march, is referred to as the delta form and we develop it next. Consider the unfactored form of the trapezoidal method given by Eq. 12.24, and ~ let the (bc) be time invariant: 1 1 1 ~ I ; 2 hAx ; 2 hAy Un = I + 2 hAx + 1 hAy Un + h(bc) + O(h ) 2 From both sides subtract 1 I ; 2 hAx ; 1 hAy Un 2 leaving the equality unchanged. Then, using the standard de nition of the di erence operator , Un = Un ; Un one nds h 1 1 ~ i I ; 2 hAx ; 2 hAy Un = h Ax y Un + (bc) + O(h ) (12.29) Notice that the right side of this equation is the product of h and a term that is identical to the right side of Eq. 12.14, our original ODE. Thus, if Eq. 12.29 converges, it is guaranteed to converge to the correct steady-state solution of the ODE. Now we can factor Eq. 12.29 and maintain O(h ) accuracy. We arrive at the expression h 1 ~ i (12.30) I ; 2 hAx I ; 1 hAy Un = h Ax y Un + (bc) + O(h ) 2 This is the delta form of a factored, 2nd-order, 2-D equation. 3 +1 +1 3 + 2 + 3 9 A block tridiagonal solver is similar to a scalar solver except that small block matrix operations replace the scalar ones, and matrix multiplications do not commute.
  • 237.
    12.7. PROBLEMS 229 The pointat which the factoring is made may not a ect the order of time-accuracy, but it can have a profound e ect on the stability and convergence properties of a method. For example, the unfactored form of a rst-order method derived from the implicit Euler time march is given by Eq. 12.19, and if it is immediately factored, the factored form is presented in Eq. 12.20. On the other hand, the delta form of the unfactored Eq. 12.19 is h ~ i I ; hAx ; hAy ] Un = h Ax y Un + (bc) + and its factored form becomes 10 h ~ i I ; hAx] I ; hAy ] Un = h Ax y Un + (bc) + (12.31) In spite of the similarities in derivation, we will see in the next chapter that the convergence properties of Eq. 12.20 and Eq. 12.31 are vastly di erent. 12.7 Problems 1. Consider the 1-D heat equation: @u = @ u @t @x 2 0 x 9 2 Let u(0 t) = 0 and u(9 t) = 0, so that we can simplify the boundary conditions. Assume that second order central di erencing is used, i.e., ( u) = 1 (u ; 2u + u ) xx x j 2 j ;1 j j +1 The uniform grid has x = 1 and 8 interior points. (a) Space vector de nition i. What is the space vector for the natural ordering (monotonically increasing in index), u ? Only include the interior points. ii. If we reorder the points with the odd points rst and then the even points, write the space vector, u ? iii. Write down the permutation matrices,(P ,P ). (1) (2) 12 21 10 Notice that the only di erence between the O(h2 ) method given by Eq. 12.30 and the O(h) method given by Eq. 12.31 is the appearance of the factor 1 on the left side of the O(h2 ) method. 2
  • 238.
    CHAPTER 12. SPLITAND FACTORED FORMS 230 iv. The generic ODE representing the discrete form of the heat equation is du = A u + f dt Write down the matrix A . (Note f = 0, due to the boundary conditions) Next nd the matrix A such that du = A u dt Note that A can be written as 2 3 D UT 7 A =6 4 5 U D De ne D and U . (1) (1) 1 1 2 (2) 2 (2) 2 2 v. Applying implicit Euler time marching, write the delta form of the implicit algorithm. Comment on the form of the resulting implicit matrix operator. (b) System de nition In problem 1a, we de ned u u A A P , and P which partition the odd points from the even points. We can put such a partitioning to use. First de ne extraction operators 21 0 0 0 0 0 0 03 60 1 0 0 0 0 0 07 7 6 60 0 1 0 3 0 0 0 0 7 2I 7 6 7 6 0 7 6 60 0 0 1 0 0 0 07=4 7 Io =60 0 0 0 5 6 0 0 0 07 0 7 6 0 6 7 60 0 0 0 0 0 0 07 7 6 40 0 0 0 0 0 0 05 0 0 0 0 0 0 0 0 20 0 0 0 0 0 0 03 60 0 0 0 0 0 0 07 7 6 60 0 0 0 3 0 0 0 0 7 20 7 6 7 6 0 7 6 60 0 0 0 0 0 0 07=4 7 Ie =60 0 0 0 5 6 1 0 0 07 0 7 6 I 7 6 60 0 0 0 0 1 0 07 7 6 40 0 0 0 0 0 1 05 0 0 0 0 0 0 0 1 (1) (2) 1 2 12 21 ( ) 4 4 4 ( ) 4 4 4 4 4
  • 239.
    12.7. PROBLEMS 231 which extractthe odd even points from u as follows: u o = I o u and ue =Ieu . i. Beginning with the ODE written in terms of u , de ne a splitting A = Ao + Ae, such that Ao operates only on the odd terms, and Ae operates only on the even terms. Write out the matrices Ao and Ae. Also, write them in terms of D and U de ned above. ii. Apply implicit Euler time marching to the split ODE. Write down the delta form of the algorithm and the factored delta form. Comment on the order of the error terms. iii. Examine the implicit operators for the factored delta form. Comment on their form. You should be able to argue that these are now trangular matrices (a lower and an upper). Comment on the solution process this gives us relative to the direct inversion of the original system. (2) ( ) ( ) ( ) (2) (2) 2 ( ) (2)
  • 240.
    232 CHAPTER 12. SPLITAND FACTORED FORMS
  • 241.
    Chapter 13 LINEAR ANALYSISOF SPLIT AND FACTORED FORMS In Section 4.4 we introduced the concept of the representative equation, and used it in Chapter 7 to study the stability, accuracy, and convergence properties of timemarching schemes. The question is: Can we nd a similar equation that will allow us to evaluate the stability and convergence properties of split and factored schemes? The answer is yes | for certain forms of linear model equations. The analysis in this chapter is useful for estimating the stability and steady-state properties of a wide variety of time-marching schemes that are variously referred to as time-split, fractional-step, hybrid, and (approximately) factored. When these methods are applied to practical problems, the results found from this analysis are neither necessary nor su cient to guarantee stability. However, if the results indicate that a method has an instability, the method is probably not suitable for practical use. 13.1 The Representative Equation for Circulant Operators Consider linear PDE's with coe cients that are xed in both space and time and with boundary conditions that are periodic. We have seen that under these conditions a semi-discrete approach can lead to circulant matrix di erence operators, and we discussed circulant eigensystems1 in Section 4.3. In this and the following section we assume circulant systems and our analysis depends critically on the fact that all circulant matrices commute and have a common set of eigenvectors. 1 See also the discussion on Fourier stability analysis in Section 7.7. 233
  • 242.
    234 CHAPTER 13.LINEAR ANALYSIS OF SPLIT AND FACTORED FORMS Suppose, as a result of space di erencing the PDE, we arrive at a set of ODE's that can be written d~ = A ~ + A ~ ; ~ (t) u (13.1) apu b pu f dt where the subscript p denotes a circulant matrix. Since both matrices have the same set of eigenvectors, we can use the arguments made in Section 4.2.3 to uncouple the set and form the M set of independent equations 0 w1 = ( a + b)1 w1 ; g1 (t) ... 0 wm = ( a + b)m wm ; gm(t) ... 0 wM = ( a + b)M wM ; gM (t) (13.2) The analytic solution of the m'th line is wm(t) = cm e( a+ b)mt + P:S: Note that each a pairs with one, and only one2 , eigenvector. This suggests (see Section 4.4: b since they must share a common The representative equation for split, circulant systems is du = + + + ]u + ae t a b c dt where a + b + c + are the sum of the eigenvalues in Aa Ab Ac share the same eigenvector. (13.3) that 13.2 Example Analysis of Circulant Systems 13.2.1 Stability Comparisons of Time-Split Methods Consider as an example the linear convection-di usion equation: @u + a @u = @ 2 u @t @x @x2 2 (13.4) This is to be contrasted to the developments found later in the analysis of 2-D equations.
  • 243.
    13.2. EXAMPLE ANALYSISOF CIRCULANT SYSTEMS 235 If the space di erencing takes the form d~ = ; a B (;1 0 1)~ + u u B (1 ;2 1)~ u (13.5) dt 2 x p x2 p the convection matrix operator and the di usion matrix operator, can be represented by the eigenvalues c and d, respectively, where (see Section 4.3.2): ( c)m = ia sin m x m (13.6) ( d)m = ; 4 2 sin2 2 x In these equations m = 2m =M , m = 0 1 M ; 1 , so that 0 m 2 . Using these values and the representative equation 13.4, we can analyze the stability of the two forms of simple time-splitting discussed in Section 12.2. In this section we refer to these as 1. the explicit-implicit Euler method, Eq. 12.10. 2. the explicit-explicit Euler method, Eq. 12.8. 1. The Explicit-Implicit Method When applied to Eq. 13.4, the characteristic polynomial of this method is P (E ) = (1 ; h d )E ; (1 + h c) This leads to the principal root 1 + i ah sin m x = h sin2 m 1+4 2 2 x where we have made use of Eq. 13.6 to quantify the eigenvalues. Now introduce the dimensionless numbers Cn = ah Courant number x mesh Reynolds number R = a x and we can write for the absolute value of q 2 1 + Cn sin2 m j j= C m 1 + 4 R n sin2 2 0 m 2 (13.7)
  • 244.
    236 CHAPTER 13.LINEAR ANALYSIS OF SPLIT AND FACTORED FORMS 1.2 1.2 C = 2/ R ∆ n C = R /2 n ∆ 0.8 C C n 0.4 0 C = 2/ R n ∆ 0.8 n 0.4 0 4 R∆ Explicit-Implicit 8 0 0 4 R∆ Explicit-Explicit 8 _ Figure 13.1: Stability regions for two simple time-split methods. A simple numerical parametric study of Eq. 13.7 shows that the critical range of m for any combination of Cn and R occurs when m is near 0 (or 2 ). From this we nd that the condition on Cn and R that make j j 1 is 2 h i C 2 1 + Cn sin2 = 1 + 4 R n sin2 2 As ! 0 this gives the stability region 2 Cn R which is bounded by a hyperbola and shown in Fig. 13.1. 2. The Explicit-Explicit Method An analysis similar to the one given above shows that this method produces # q 2 m 1 ; 4 Cn sin2 m 2 j j = 1 + Cn sin 0 m 2 R 2 Again a simple numerical parametric study shows that this has two critical ranges of m , one near 0, which yields the same result as in the previous example, and the
  • 245.
    13.2. EXAMPLE ANALYSISOF CIRCULANT SYSTEMS 237 other near 180o, which produces the constraint that 1 Cn 2 R for R 2 The resulting stability boundary is also shown in Fig. 13.1. The totaly explicit, factored method has a much smaller region of stability when R is small, as we should have expected. 13.2.2 Analysis of a Second-Order Time-Split Method Next let us analyze a more practical method that has been used in serious computational analysis of turbulent ows. This method applies to a ow in which there is a combination of di usion and periodic convection. The convection term is treated explicitly using the second-order Adams-Bashforth method. The di usion term is integrated implicitly using the trapezoidal method. Our model equation is again the linear convection-di usion equation 13.4 which we split in the fashion of Eq. 13.5. In order to evaluate the accuracy, as well as the stability, we include the forcing function in the representative equation and study the e ect of our hybrid, time-marching method on the equation u0 = cu + du + ae t First let us nd expressions for the two polynomials, P (E ) and Q(E ). The characteristic polynomial follows from the application of the method to the homogeneous equation, thus 1 1 un+1 = un + 2 h c(3un ; un;1) + 2 h d (un+1 + un) This produces 3 P (E ) = (1 ; 1 h d)E 2 ; (1 + 2 h c + 1 h d)E + 1 h c 2 2 2 The form of the particular polynomial depends upon whether the forcing function is carried by the AB2 method or by the trapezoidal method. In the former case it is 1 Q(E ) = 2 h(3E ; 1) (13.8) and in the latter (13.9) Q(E ) = 1 h(E 2 + E ) 2
  • 246.
    238 CHAPTER 13.LINEAR ANALYSIS OF SPLIT AND FACTORED FORMS Accuracy From the characteristic polynomial we see that there are two {roots and they are given by the equation 3 1 + 2h c + 1h 2 = s d 1 1 + 3h c + 2h 2 2 1 ; 1h d 2 d 2 1 ; 2h c 1 ; 2 h d (13.10) The principal -root follows from the plus sign and one can show 1 1 1 = 1 + ( c + d )h + 2 ( c + d )2 h2 + 4 3 + c 2 ; 2 d ; 3 h3 d d c c 1 1 From this equation it is clear that 6 3 = 6 ( c + d)3 does not match the coe cient of h3 in 1 , so er = O(h3) Using P (e h) and Q(e h ) to evaluate er in Section 6.6.3, one can show er = O(h3) using either Eq. 13.8 or Eq. 13.9. These results show that, for the model equation, the hybrid method retains the second-order accuracy of its individual components. Stability The stability of the method can be found from Eq. 13.10 by a parametric study of cn and R de ned in Eq. 13.7. This was carried out in a manner similar to that used to nd the stability boundary of the rst-order explicit-implicit method in Section 13.2.1. The results are plotted in Fig. 13.2. For values of R 2 this second-order method has a much greater region of stability than the rst-order explicit-implicit method given by Eq. 12.10 and shown in Fig. 13.1. 13.3 The Representative Equation for Space-Split Operators Consider the 2-D model3 equations @u = @ 2 u + @ 2 u @t @x2 @y2 3 The extension of the following to 3-D is simple and straightforward. (13.11)
  • 247.
    13.3. THE REPRESENTATIVEEQUATION FOR SPACE-SPLIT OPERATORS239 1.2 0.8 Cn Stable 0.4 0 8 4 R ∆ _ Figure 13.2: Stability regions for the second-order time-split method. and @u + a @u + a @u = 0 (13.12) @t x @x y @y Reduce either of these, by means of spatial di erencing approximations, to the coupled set of ODE's: dU = A + A ]U + (bc) ~ (13.13) x y dt for the space vector U . The form of the Ax and Ay matrices for three-point central di erencing schemes are shown in Eqs. 12.22 and 12.23 for the 3 4 mesh shown in Sketch 12.12. Let us inspect the structure of these matrices closely to see how we can diagonalize Ax + Ay ] in terms of the individual eigenvalues of the two matrices considered separately. First we write these matrices in the form 2 3 2 ~ 3 B b0 I ~1 I b A(xx) = 6 B 7 A(yx) = 6 ~;1 I ~0 I ~1 I 7 b b 5 4 5 4b ~;1 I ~0 I B b b where B is a banded matrix of the form B (b;1 b0 b1 ). Now nd the block eigenvector
  • 248.
    240 CHAPTER 13.LINEAR ANALYSIS OF SPLIT AND FACTORED FORMS matrix that diagonalizes B and use it to diagonalize A(xx). Thus 2 ;1 32 32 3 2 X B X 6 76 7=6 X ;1 B 76 X 4 54 54 5 4 ;1 X B X where 2 3 6 =6 6 4 1 2 3 3 7 5 7 7 7 5 4 (x) is transparent to this transformation. That is, if we Notice that the matrix Ay set X diag(X ) 2 ~ b0 X ;1 6 ~;1 4b 3 2 ~ 3 ~1 I b b0 I ~1 I b ~0 I ~1 I 7 X = 6 ~;1 I ~0 I ~1 I 7 b b 5 b b 5 4b ~;1 I ~0 I ~;1 I ~0 I b b b b One now permutes the transformed system to the y-vector data-base using the permutation matrix de ned by Eq. 12.13. There results h i Pyx X ;1 A(xx) + A(yx) X Pxy = 3 2 3 2 ~ B 1 I 7 6 7 6 ~ 7 B 6 7+6 2 I 6 7 6 7 6 (13.14) ~ 4 5 4 B 7 3 I 5 ~ B 4 I ~ where B is the banded tridiagonal matrix B (~;1 ~0 ~1), see the bottom of Eq. 12.23. b b b ~ that diagonalize the B blocks. Let B diag(B ) and ~ ~ ~ Next nd the eigenvectors X ~ diag(X ) and form the second transformation ~ X 2~ 3 2~ 3 1 6 7 7 ~2 ~ ~~ 6 ~ ~ 7 ~=6 X ;1B X = 6 7 4 5 4 5 ~3 ~ This time, by the same argument as before, the rst matrix on the right side of Eq. 13.14 is transparent to the transformation, so the nal result is the complete diagonalization of the matrix Ax+y : h ih ih i ~ ~ X ;1 Pyx X ;1 A(xx+)y X Pxy X = 2 3 1I + ~ 6 7 6 7 2I + ~ 6 7 (13.15) 6 7 4 5 3I + ~ 4I + ~ I I
  • 249.
    13.3. THE REPRESENTATIVEEQUATION FOR SPACE-SPLIT OPERATORS241 It is important to notice that: The diagonal matrix on the right side of Eq. 13.15 contains every possible com~ bination of the individual eigenvalues of B and B . Now we are ready to present the representative equation for two dimensional systems. First reduce the PDE to ODE by some choice4 of space di erencing. This results in a spatially split A matrix formed from the subsets A(xx) = diag(B ) ~ A(yy) = diag(B ) (13.16) ~ where B and B are any two matrices that have linearly independent eigenvectors (this puts some constraints on the choice of di erencing schemes). Although Ax and Ay do commute, this fact, by itself, does not ensure the property of all possible combinations. To obtain the latter property the structure of ~ the matrices is important. The block matrices B and B can be either circulant or noncirculant in both cases we are led to the nal result: The 2{D representative equation for model linear systems is du = + ]u + ae t x y dt where x and y are any combination of eigenvalues from Ax and Ay , a and are (possibly complex) constants, and where Ax and Ay satisfy the conditions in 13.16. Often we are interested in nding the value of, and the convergence rate to, the steady-state solution of the representative equation. In that case we set = 0 and use the simpler form du = + ]u + a (13.17) x y dt which has the exact solution a u(t) = ce( x+ y )t ; + (13.18) x y We have used 3-point central di erencing in our example, but this choice was for convenience only, and its use is not necessary to arrive at Eq. 13.15. 4
  • 250.
    242 CHAPTER 13.LINEAR ANALYSIS OF SPLIT AND FACTORED FORMS 13.4 Example Analysis of 2-D Model Equations In the following we analyze four di erent methods for nding a xed, steady-state solution to the 2-D representative equation 13.16. In each case we examine 1. The stability. 2. The accuracy of the xed, steady-state solution. 3. The convergence rate to reach the steady-state. 13.4.1 The Unfactored Implicit Euler Method Consider rst this unfactored, rst-order scheme which can then be used as a reference case for comparison with the various factored ones. The form of the method is given by Eq. 12.19, and when it is applied to the representative equation, we nd (1 ; h x ; h y )un+1 = un + ha from which P (E ) = (1 ; h x ; h y )E ; 1 Q(E ) = h giving the solution 1 #n un = c 1 ; h ; h ; x y Like its counterpart in the 1-D case, this method: a x+ (13.19) y 1. Is unconditionally stable. 2. Produces the exact (see Eq. 13.18) steady-state solution (of the ODE) for any h. 3. Converges very rapidly to the steady-state when h is large. Unfortunately, however, use of this method for 2-D problems is generally impractical for reasons discussed in Section 12.5.
  • 251.
    13.4. EXAMPLE ANALYSISOF 2-D MODEL EQUATIONS 243 13.4.2 The Factored Nondelta Form of the Implicit Euler Method Now apply the factored Euler method given by Eq. 12.20 to the 2-D representative equation. There results (1 ; h x)(1 ; h y )un+1 = un + ha from which P (E ) = (1 ; h x)(1 ; h y )E ; 1 Q(E ) = h (13.20) giving the solution #n 1 un = c (1 ; h )(1 ; h ) ; + a h x y x y; x y We see that this method: 1. Is unconditionally stable. 2. Produces a steady state solution that depends on the choice of h. 3. Converges rapidly to a steady-state for large h, but the converged solution is completely wrong. The method requires far less storage then the unfactored form. However, it is not very useful since its transient solution is only rst-order accurate and, if one tries to take advantage of its rapid convergence rate, the converged value is meaningless. 13.4.3 The Factored Delta Form of the Implicit Euler Method Next apply Eq. 12.31 to the 2-D representative equation. One nds (1 ; h x)(1 ; h y )(un+1 ; un) = h( xun + y un + a) which reduces to (1 ; h x)(1 ; h y )un+1 = 1 + h2 x y un + ha and this has the solution #n 1 + h2 x y a un = c (1 ; h )(1 ; h ) ; + x y x y This method:
  • 252.
    244 CHAPTER 13.LINEAR ANALYSIS OF SPLIT AND FACTORED FORMS 1. Is unconditionally stable. 2. Produces the exact steady-state solution for any choice of h. 3. Converges very slowly to the steady{state solution for large values of h, since j j ! 1 as h ! 1. Like the factored nondelta form, this method demands far less storage than the unfactored form, as discussed in Section 12.5. The correct steady solution is obtained, but convergence is not nearly as rapid as that of the unfactored form. 13.4.4 The Factored Delta Form of the Trapezoidal Method Finally consider the delta form of a second-order time-accurate method. Apply Eq. 12.30 to the representative equation and one nds 1 1 ; 2 h x 1 ; 1 h y (un+1 ; un) = h( xun + y un + a) 2 which reduces to 1 ; 1 h x 1 ; 1 h y un+1 = 1 + 1 h x 1 + 1 h y un + ha 2 2 2 2 and this has the solution 2 3n 1 + 1h x 1 + 1h y 7 6 a 2 2 7 ; un = c6 4 5 1 x+ y 1 ; 1h x 1 ; 2h y 2 This method: 1. Is unconditionally stable. 2. Produces the exact steady{state solution for any choice of h. 3. Converges very slowly to the steady{state solution for large values of h, since j j ! 1 as h ! 1. All of these properties are identical to those found for the factored delta form of the implicit Euler method. Since it is second order in time, it can be used when time accuracy is desired, and the factored delta form of the implicit Euler method can be used when a converged steady-state is all that is required.5 A brief inspection of eqs. 12.26 and 12.27 should be enough to convince the reader that the 's produced by those methods are identical to the produced by this method. In practical codes, the value of h on the left side of the implicit equation is literally switched from h to 1 h. 2 5
  • 253.
    13.5. EXAMPLE ANALYSISOF THE 3-D MODEL EQUATION 245 13.5 Example Analysis of the 3-D Model Equation The arguments in Section 13.3 generalize to three dimensions and, under the conditions given in 13.16 with an A(zz) included, the model 3-D cases6 have the following representative equation (with = 0): du = + + ]u + a (13.21) x y z dt Let us analyze a 2nd-order accurate, factored, delta form using this equation. First apply the trapezoidal method: un+1 = un + 1 h ( x + y + z )un+1 + ( x + y + z )un + 2a] 2 Rearrange terms: 1 1 1 ; 2 h( x + y + z ) un+1 = 1 + 2 h( x + y + z ) un + ha Put this in delta form: 1 ; 1 h( x + y + z ) un = h ( x + y + z )un + a] 2 Now factor the left side: 1 1 ; 2 h x 1 ; 1 h y 1 ; 1 h z un = h ( x + y + z )un + a] (13.22) 2 2 This preserves second order accuracy since the error terms 1 h2( 1 h3 x y + x z + y z ) un and 4 8 x y z are both O(h3). One can derive the characteristic polynomial for Eq. 13.22, nd the root, and write the solution either in the form 2 3n 1 h( + + ) + 1 h2 ( 1 h3 + + ); x y z 61 + 4 x y x z y z 8 x y z7 7 un = c6 2 4 5 1 h( + + ) + 1 h2( 1 h3 1 ; 2 x y z 4 x y + x z + y z) ; 8 x y z ; +a+ x y 6 z Eqs. 13.11 and 13.12, each with an additional term. (13.23)
  • 254.
    246 CHAPTER 13.LINEAR ANALYSIS OF SPLIT AND FACTORED FORMS or in the form 2 6 un = c6 4 1 1 1 + 1 h x 1 + 2 h y 1 + 1 h z ; 4 h3 2 2 1h 1h 1 ; 2 x 1 ; 2 y 1 ; 1h z 2 3n x y z7 7 ; 5 a (13.24) x+ y+ z It is interesting to notice that a Taylor series expansion of Eq. 13.24 results in 1 = 1 + h( x + y + z ) + 2 h2( x + y + z )2 (13.25) h i + 1 h3 3 + (2 y + 2 x) + 2 2 + 3 x y + 2 2 + 3 + 2 x 2 + 2 2 y + 3 + y y y y x x 4 z which veri es the second order accuracy of the factored form. Furthermore, clearly, if the method converges, it converges to the proper steady-state.7 With regards to stability, it follows from Eq. 13.23 that, if all the 's are real and negative, the method is stable for all h. This makes the method unconditionally stable for the 3-D di usion model when it is centrally di erenced in space. Now consider what happens when we apply this method to the biconvection model, the 3-D form of Eq. 13.12 with periodic boundary conditions. In this case, central di erencing causes all of the 's to be imaginary with spectrums that include both positive and negative values. Remember that in our analysis we must consider every possible combination of these eigenvalues. First write the root in Eq. 13.23 in the form 1+ = 1;i ; +i i ; +i where , and are real numbers that can have any sign. Now we can always nd one combination of the 's for which , and are both positive. In that case since the absolute value of the product is the product of the absolute values j 2 2 2 = (1 ; ) + ( + ) j (1 ; )2 + ( ; )2 1 and the method is unconditionally unstable for the model convection problem. From the above analysis one would come to the conclusion that the method represented by Eq. 13.22 should not be used for the 3-D Euler equations. In practical cases, however, some form of dissipation is almost always added to methods that are used to solve the Euler equations and our experience to date is that, in the presence of this dissipation, the instability disclosed above is too weak to cause trouble. 7 However, we already knew this because we chose the delta form.
  • 255.
    13.6. PROBLEMS 13.6 Problems 247 1.Starting with the generic ODE, du = Au + f dt we can split A as follows: A = A1 + A2 + A3 + A4. Applying implicit Euler time marching gives un+1 ; un = A u + A u + A u + A u + f 1 n+1 2 n+1 3 n+1 4 n+1 h (a) Write the factored delta form. What is the error term? (b) Instead of making all of the split terms implicit, leave two explicit: un+1 ; un = A u + A u + A u + A u + f 1 n+1 2 n 3 n+1 4 n h Write the resulting factored delta form and de ne the error terms. (c) The scalar representative equation is du = ( + + + )u + a 1 2 3 4 dt For the fully implicit scheme of problem 1a, nd the exact solution to the resulting scalar di erence equation and comment on the stability, convergence, and accuracy of the converged steady-state solution. (d) Repeat 1c for the explicit-implicit scheme of problem 1b.
  • 256.
    248 CHAPTER 13.LINEAR ANALYSIS OF SPLIT AND FACTORED FORMS
  • 257.
    Appendix A USEFUL RELATIONSAND DEFINITIONS FROM LINEAR ALGEBRA A basic understanding of the fundamentals of linear algebra is crucial to our development of numerical methods and it is assumed that the reader is at least familar with this subject area. Given below is some notation and some of the important relations between matrices and vectors. A.1 Notation 1. In the present context a vector is a vertical column or string. Thus 2 v1 3 6 7 ~ = 6 v..2 7 v 6 7 4 . 5 vm and its transpose ~ is the horizontal row vT ~ T = v1 v2 v3 : : : vm] ~ = v1 v2 v3 : : : vm ]T v v 2. A general m m matrix A can be written 2 a11 a12 a1m 3 6a a a 7 A = (aij ) = 6 21 22 . . . 2m 7 7 6 5 4 am1 am2 amm 249
  • 258.
    250APPENDIX A. USEFULRELATIONS AND DEFINITIONS FROM LINEAR ALGEBRA 3. An alternative notation for A is h i A = ~1 ~2 : : : ~m a a a and its transpose AT is 2 ~T 3 a 6 ~1 7 6 aT 7 AT = 6 .2 7 6 7 6 .. 7 4 T5 ~m a 4. The inverse of a matrix (if it exists) is written A;1 and has the property that A;1A = AA;1 = I , where I is the identity matrix. A.2 De nitions 1. A is symmetric if AT = A. 2. A is skew-symmetric or antisymmetric if AT = ;A. 3. A is diagonally dominant if aii Pj6=i jaij j i = 1 2 : : : m and aii Pj6=i jaij j for at least one i. 4. A is orthogonal if aij are real and AT A = AAT = I 5. A is the complex conjugate of A. 6. P is a permutation matrix if P ~ is a simple reordering of ~ . v v 7. The trace of a matrix is Pi aii. 8. A is normal if AT A = AAT . 9. det A] is the determinant of A. 10. AH is the conjugate transpose of A, (Hermitian). 11. If b A= a d c then det A] = ad ; bc and d A;1 = det1 A] ;c ;b a
  • 259.
    A.3. ALGEBRA 251 A.3 Algebra Weconsider only square matrices of the same dimension. 1. A and B are equal if aij = bij for all i j = 1 2 : : : m. 2. A + (B + C ) = (C + A) + B , etc. 3. sA = (saij ) where s is a scalar. 4. In general AB 6= BA. 5. Transpose equalities: (A + B )T = AT + B T (AT )T = A (AB )T = B T AT 6. Inverse equalities (if the inverse exists): (A;1);1 = A (AB );1 = B ;1 A;1 (AT );1 = (A;1 )T 7. Any matrix A can be expressed as the sum of a symmetric and a skew-symmetric matrix. Thus: 1 A = 2 A + AT + 1 A ; AT 2 A.4 Eigensystems 1. The eigenvalue problem for a matrix A is de ned as A~ = ~ or A ; I ]~ = 0 x x x and the generalized eigenvalue problem, including the matrix B , as A~ = B~ or A ; B ]~ = 0 x x x 2. If a square matrix with real elements is symmetric, its eigenvalues are all real. If it is asymmetric, they are all imaginary.
  • 260.
    252APPENDIX A. USEFULRELATIONS AND DEFINITIONS FROM LINEAR ALGEBRA 3. Gershgorin's theorem: The eigenvalues of a matrix lie in the complex plane in the union of circles having centers located by the diagonals with radii equal to the sum of the absolute values of the corresponding o -diagonal row elements. 4. In general, an m m matrix A has n~ linearly independent eigenvectors with x n~ m and n distinct eigenvalues ( i) with n n~ m. x x 5. A set of eigenvectors is said to be linearly independent if a ~ m + b ~ n 6= ~ k x x x m 6= n 6= k for any complex a and b and for all combinations of vectors in the set. 6. If A posseses m linearly independent eigenvectors then A is diagonalizable, i.e., X ;1AX = where X is a matrix whose columns are the eigenvectors, h i X = ~1 ~2 : : : ~m x x x and is the diagonal matrix 2 0 03 1 6 . . . .. 7 6 7 = 6 0 . .2 . . . 7 6 ... . . 0 7 4 5 0 0 m If A can be diagonalized, its eigenvectors completely span the space, and A is said to have a complete eigensystem. 7. If A has m distinct eigenvalues, then A is always diagonalizable, and with each distinct eigenvalue there is one associated eigenvector, and this eigenvector cannot be formed from a linear combination of any of the other eigenvectors. 8. In general, the eigenvalues of a matrix may not be distinct, in which case the possibility exists that it cannot be diagonalized. If the eigenvalues of a matrix are not distinct, but all of the eigenvectors are linearly independent, the matrix is said to be derogatory, but it can still be diagonalized. 9. If a matrix does not have a complete set of linearly independent eigenvectors, it cannot be diagonalized. The eigenvectors of such a matrix cannot span the space and the matrix is said to have a defective eigensystem.
  • 261.
    A.4. EIGENSYSTEMS 253 10. Defectivematrices cannot be diagonalized but they can still be put into a compact form by a similarity transform, S , such that 2J 0 03 1 .7 6 . ;1 AS = 6 0 J2 . . . 7 6. . . .7 J =S 6 .. . . . . 0 7 4 5 0 0 Jk where there are k linearly independent eigenvectors and Ji is either a Jordan subblock or i. 11. A Jordan submatrix has the form 2 0 03 i 1 60 . . . ... 7 6 7 i 1 6 60 0 7 ... 0 7 Ji = 6 7 i 6. 6 .. 7 ... ... 1 7 4 5 0 0 0 i 12. Use of the transform S is known as putting A into its Jordan Canonical form. A repeated root in a Jordan block is referred to as a defective eigenvalue. For each Jordan submatrix with an eigenvalue i of multiplicity r, there exists one eigenvector. The other r ; 1 vectors associated with this eigenvalue are referred to as principal vectors. The complete set of principal vectors and eigenvectors are all linearly independent. 13. Note that if P is the permutation matrix 2 3 0 0 1 P = 60 1 07 4 5 1 0 0 then P T = P ;1 = P 2 3 2 3 1 0 0 0 P ;1 6 0 17P = 61 07 4 5 4 5 0 0 0 1 14. Some of the Jordan subblocks may have the same eigenvalue. For example, the
  • 262.
    254APPENDIX A. USEFULRELATIONS AND DEFINITIONS FROM LINEAR ALGEBRA matrix 22 66 64 6 6 6 6 6 6 6 6 6 6 6 4 1 1 1 3 17 5 3 7 7 7 7 7 7 7 7 7 7 7 7 7 5 1 1 1 1 1 2 1 2 3 is both defective and derogatory, having: 9 eigenvalues 3 distinct eigenvalues 3 Jordan blocks 5 linearly independent eigenvectors 3 principal vectors with 1 1 principal vector with 2 A.5 Vector and Matrix Norms 1. The spectral radius of a matrix A is symbolized by (A) such that (A) = j m jmax where m are the eigenvalues of the matrix A. 2. A p-norm of the vector ~ is de ned as v 0M 1 X pA1=p jjvjjp = @ jvj j j =1 3. A p-norm of a matrix A is de ned as Av jjAjjp = max jjjjvjjjjp x6=0 p
  • 263.
    A.5. VECTOR ANDMATRIX NORMS 255 4. Let A and B be square matrices of the same order. All matrix norms must have the properties jjAjj 0 jjAjj = 0 implies A = 0 jjc Ajj = jcj jjAjj jjA + B jj jjAjj + jjB jj jjA B jj jjAjj jjB jj 5. Special p-norms are jjAjj1 = maxj=1 jjAjj2 = q M PM ja j maximum column sum i=1 ij (A T A ) jjAjj1 = maxi=1 2 M PM jaij j maximum row sum j =1 where jjAjjp is referred to as the Lp norm of A. 6. In general (A) does not satisfy the conditions in 4, so in general (A) is not a true norm. 7. When A is normal, (A) is a true norm, in fact, in this case it is the L2 norm. 8. The spectral radius of A, (A), is the lower bound of all the norms of A.
  • 264.
    256APPENDIX A. USEFULRELATIONS AND DEFINITIONS FROM LINEAR ALGEBRA
  • 265.
    Appendix B SOME PROPERTIESOF TRIDIAGONAL MATRICES B.1 Standard Eigensystem for Simple Tridiagonals In this work tridiagonal banded matrices are prevalent. It is useful to list some of their properties. Many of these can be derived by solving the simple linear di erence equations that arise in deriving recursion relations. Let us consider a simple tridiagonal matrix, i.e., a tridiagonal with constant scalar elements a,b, and c, see Section 3.4. If we examine the conditions under which the determinant of this matrix is zero, we nd (by a recursion exercise) det B (M : a b c)] = 0 if p m b + 2 ac cos M + 1 = 0 m=1 2 M From this it follows at once that the eigenvalues of B (a b c) are p m m=1 2 M (B.1) m = b + 2 ac cos M +1 The right-hand eigenvector of B (a b c) that is associated with the eigenvalue m satis es the equation B (a b c)~ m = m~ m x x (B.2) and is given by j;1 ~ m = (xj )m = a 2 sin j m x m=1 2 M (B.3) c M +1 257
  • 266.
    258 APPENDIX B. SOMEPROPERTIES OF TRIDIAGONAL MATRICES These vectors are the columns of the right-hand eigenvector matrix, the elements of which are j;1 a 2 sin jm j=1 2 M X = (xjm) = c (B.4) m=1 2 M M +1 Notice that if a = ;1 and c = 1, j;1 a 2 = ei j; 2 (B.5) c ( 1) The left-hand eigenvector matrix of B (a b c) can be written ; c m 2 1 sin mj m=1 2 ; = 2 X j=1 2 M +1 a M +1 In this case notice that if a = ;1 and c = 1 ; c m 2 1 = e;i m; 2 a 1 ( M M (B.6) 1) B.2 Generalized Eigensystem for Simple Tridiagonals This system is de ned as follows 2 32 32 x 3 2e f x 3 b c 6a b c 76 x 7 6d e f 76 x 7 6 76 7 6 76 7 6 76 7 6 76 6 76 x 7 = 6 76 x 7 7 a b d e 6 . . . c 7 6 ... 7 6 . . . f 7 6 ... 7 6 76 7 6 76 7 4 54 5 4 54 5 a b xM d e xM In this case one can show after some algebra that det B (a ; d b ; e c ; f ] = 0 if q m b ; m e + 2 (a ; md)(c ; m f ) cos M + 1 = 0 m=1 2 If we de ne m m= M + 1 pm = cos m 1 1 2 2 3 3 (B.7) M (B.8)
  • 267.
    B.3. THE INVERSEOF A SIMPLE TRIDIAGONAL 259 q eb ; 2(cd + af )pm + 2pm (ec ; fb)(ea ; bd) + (cd ; af )pm ] m= e ; 4fdpm The right-hand eigenvectors are #j ; 1 a ; m d 2 sin j ] m =1 2 M ~m = x m j =1 2 M c; f 2 2 2 2 m These relations are useful in studying relaxation methods. B.3 The Inverse of a Simple Tridiagonal The inverse of B (a b c) can also be written in analytic form. Let DM represent the determinant of B (M : a b c) DM det B (M : a b c)] De ning D to be 1, it is simple to derive the rst few determinants, thus D = 1 D = b D = b ; ac D = b ; 2abc (B.9) One can also nd the recursion relation DM = bDM ; ; acDM ; (B.10) Eq. B.10 is a linear O E the solution of which was discussed in Section 4.2. Its characteristic polynomial P (E ) is P (E ; bE + ac) and the two roots to P ( ) = 0 result in the solution 8 9 p p # b + b ; 4ac #M 1 b ; b ; 4ac M = DM = p ; 2 2 b ; 4ac : M =0 1 2 (B.11) where we have made use of the initial conditions D = 1 and D = b. In the limiting case when b ; 4ac = 0, one can show that 0 0 1 2 2 3 3 1 2 2 +1 2 2 2 0 2 b DM = (M + 1) 2 !M 1 b = 4ac 2 +1
  • 268.
    260 APPENDIX B. SOMEPROPERTIES OF TRIDIAGONAL MATRICES Then for M = 4 B; = 1 and for M = 5 B ;1 = 2 16 6 4 D4 6 D ;cD cD ;c D ;aD D D ;cD D c D a D ;aD D D D ;cD ;a D a D ;aD D 3 3 2 D4 6 ;aD3 1 6 a2 D 6 2 6 D5 6 ;a3 D1 4 aD The general element dmn is 4 0 2 2 2 2 1 1 2 0 2 1 1 1 2 1 ;cD 3 1 0 2 1 1 1 2 2 3 7 7 7 5 3 3 7 17 7 2 7 7 5 3 cD ;c D c D D D ;cD D c D D ;c D ;aD D D D ;cD D c D a D D ;aD D D D ;cD ;a D aD ;aD D 2 3 1 2 3 1 1 1 3 2 2 1 2 2 3 2 0 3 1 2 1 4 1 1 2 2 2 1 3 2 2 1 1 3 4 Upper triangle: M ;1 m=1 2 n=m+1 m+2 M dmn = Dm; DM ;n(;c)n;m =DM 1 Diagonal: n=m=1 2 M dmm = DM ; DM ;m =DM 1 Lower triangle: m =n+1 n+2 M n=1 2 M ;1 dmn = DM ;mDn; (;a)m;n=DM 1 B.4 Eigensystems of Circulant Matrices B.4.1 Standard Tridiagonals Consider the circulant (see Section 3.4.4) tridiagonal matrix Bp(M : a b c ) (B.12)
  • 269.
    B.4. EIGENSYSTEMS OFCIRCULANT MATRICES 261 The eigenvalues are m = b + (a + c) cos 2 m ; i(a ; c) sin 2 m M M m=0 1 2 M ;1 (B.13) The right-hand eigenvector that satis es Bp(a b c)~ m = m~ m is x x ~ m = (xj )m = ei j m=M x j=0 1 M ;1 (B.14) p where i ;1, and the right-hand eigenvector matrix has the form 2 m j =0 1 M ;1 X = (xjm) = eij M m =0 1 M ;1 The left-hand eigenvector matrix with elements x0 is 2 j m =0 1 M ;1 ; = (x0 ) = 1 e;im M X mj j =0 1 M ;1 M 1 Note that both X and X ; are symmetric and that X ; = M X , where X is the conjugate transpose of X . (2 ) 1 1 1 B.4.2 General Circulant Systems Notice the remarkable fact that the elements of the eigenvector matrices X and X ; for the tridiagonal circulant matrix given by eq. B.12 do not depend on the elements a b c in the matrix. In fact, all circulant matrices of order M have the same set of linearly independent eigenvectors, even if they are completely dense. An example of a dense circulant matrix of order M = 4 is 2 b b b b 3 6 b b b b 7 6 7 6 7 (B.15) 4 b b b b 5 b b b b The eigenvectors are always given by eq. B.14, and further examination shows that the elements in these eigenvectors correspond to the elements in a complex harmonic analysis or complex discrete Fourier series. Although the eigenvectors of a circulant matrix are independent of its elements, the eigenvalues are not. For the element indexing shown in eq. B.15 they have the general form M; X bj ei jm=M = m 1 0 1 2 3 3 0 1 2 2 3 0 1 1 2 3 0 1 of which eq. B.13 is a special case. j =0 (2 )
  • 270.
    262 APPENDIX B. SOMEPROPERTIES OF TRIDIAGONAL MATRICES B.5 Special Cases Found From Symmetries Consider a mesh with an even number of interior points such as that shown in Fig. B.1. One can seek from the tridiagonal matrix B (2M : a b a ) the eigenvector subset that has even symmetry when spanning the interval 0 x . For example, we seek the set of eigenvectors ~ m for which x 2 b 6a 6 6 6 6 6 6 6 4 a b a a ... 32x 3 1 7 6 x2 7 76 7 76 . 7 76 . 7 76 . 7 76 . 7 76 . 7 6 . 7 54 5 a 7 6 x2 7 ... a a b a b x = 2 3 x1 6x 7 6 27 6 . 7 6 . 7 6 . 7 m6 . 7 6 . 7 6 . 7 6 7 4 x2 5 x 1 1 This leads to the subsystem of order M which has the form 2 6 6 6 6 6 6 6 6 6 6 4 3 b a 7 7 a b a 7 7 ... 7~ a ~ a)~ m = 7 xm = B (M : a b x 7 ... a 7 7 a b a 7 5 a b+a x m~ m (B.16) By folding the known eigenvectors of B (2M : a b a) about the center, one can show from previous results that the eigenvalues of eq. B.16 are (2m ; 1) m = b + 2a cos 2M + 1 ! m=1 2 M (B.17)
  • 271.
    B.6. SPECIAL CASESINVOLVING BOUNDARY CONDITIONS 263 and the corresponding eigenvectors are ~ m = sin j (2m ; 1) x 2M + 1 j =1 2 M x= Line of Symmetry x =0 Imposing symmetry about the same interval but for a mesh with an odd number of points, see Fig. B.1, leads to the matrix 2 3 b a 6a b a 7 6 7 6 7 ... 6 7 a a B (M : ~ b a) = 6 ... a 7 6 7 6 7 6 4 5 a b a7 2a b By folding the known eigenvalues of B (2M ; 1 : a b a) about the center, one can show from previous results that the eigenvalues of eq. B.17 are (2m ; 1) m = b + 2a cos 2M and the corresponding eigenvectors are ~ m = sin j (2m ; 1) x 2M ! ! j0 = 1 2 3 4 5 6 M0 j= 1 2 3 M a. An even-numbered mesh Line of Symmetry x =0 x= j0 = 1 2 3 4 5 M0 j= 1 2 3 M b. An odd{numbered mesh Figure B.1 { Symmetrical folds for special cases m=1 2 j=1 2 M M B.6 Special Cases Involving Boundary Conditions We consider two special cases for the matrix operator representing the 3-point central di erence approximation for the second derivative @ =@x at all points away from the boundaries, combined with special conditions imposed at the boundaries. 2 2
  • 272.
    APPENDIX B. SOMEPROPERTIES OF TRIDIAGONAL MATRICES 264 Note: In both cases m =1 2 M j =1 2 M ;2 + 2 cos( ) = ;4 sin ( =2) 2 When the boundary conditions are Dirichlet on both sides, 2 6 6 6 6 6 6 4 ;2 1 1 ;2 1 1 ;2 1 1 ;2 1 1 ;2 3 7 7 7 7 7 7 5 m ~m x m = ;2 h+ 2 cos Mi+ 1 m = sin j M + 1 (B.18) When one boundary condition is Dirichlet and the other is Neumann (and a diagonal preconditioner is applied to scale the last equation), 2 6 6 6 6 6 6 4 ;2 1 1 ;2 1 1 ;2 1 1 ;2 1 1 ;1 3 7 7 7 7 7 7 5 m ~m x = ;2 + 2 cos (2m ; 1) 2M + 1 (2m ; 1) = sin j 2M + 1 (B.19)
  • 273.
    Appendix C THE HOMOGENEOUS PROPERTYOF THE EULER EQUATIONS The Euler equations have a special property that is sometimes useful in constructing numerical methods. In order to examine this property, let us rst inspect Euler's theorem on homogeneous functions. Consider rst the scalar case. If F (u v) satis es the identity F ( u v) = nF (u v) (C.1) for a xed n, F is called homogeneous of degree n. Di erentiating both sides with respect to and setting = 1 (since the identity holds for all ), we nd u @F + v @F = nF (u v) @u @v (C.2) F ( Q) = nF (Q) (C.3) Consider next the theorem as it applies to systems of equations. If the vector F (Q) satis es the identity for a xed n, F is said to be homogeneous of degree n and we nd # @F Q = nF (Q) @q 265 (C.4)
  • 274.
    266APPENDIX C. THEHOMOGENEOUS PROPERTY OF THE EULER EQUATIONS Now it is easy to show, by direct use of eq. C.3, that both E and F in eqs. 2.11 and 2.12 are homogeneous of degree 1, and their Jacobians, A and B , are homogeneous of degree 0 (actually the latter is a direct consequence of the former).1 This being the case, we notice that the expansion of the ux vector in the vicinity of tn which, according to eq. 6.105 can be written in general as, E = En + An(Q ; Qn) + O(h2) F = Fn + Bn(Q ; Qn) + O(h2) (C.5) can be written E = An Q + O(h2) F = BnQ + O(h2) (C.6) since the terms En ; AnQn and Fn ; BnQn are identically zero for homogeneous vectors of degree 1, see eq. C.4. Notice also that, under this condition, the constant term drops out of eq. 6.106. As a nal remark, we notice from the chain rule that for any vectors F and Q # @F (Q) = @F @Q = A @Q @x @Q @x @x We notice also that for a homogeneous F of degree 1, F = AQ and # @F = A @Q + @A Q @x @x @x (C.7) (C.8) Therefore, if F is homogeneous of degree 1, # @A Q = 0 @x in spite of the fact that individually @A=@x] and Q are not equal to zero. (C.9) Note that this depends on the form of the equation of state. The Euler equations are homogeneous if the equation of state can be written in the form p = f ( ), where is the internal energy per unit mass. 1
  • 275.
    Bibliography 1] D. Anderson,J. Tannehill, and R. Pletcher. Computational Fluid Mechanics and Heat Transfer. McGraw-Hill Book Company, New York, 1984. 2] C. Hirsch. Numerical Computation of Internal and External Flows, volume 1,2. John Wiley Sons, New York, 1988. 267