Integral Calculus and Sage
            (preliminary version)



Dale Hoffman, William Stein, David Joyner

                 2009-4-4
Contents




   vi
Contents

0 Preface                                                                                xi

1 The Integral                                                                            1
  1.1 Area . . . . . . . . . . . . . . . . . . . . . . . . . . . . . .   .   .   .   .    1
  1.2 Some applications of area . . . . . . . . . . . . . . . . . .      .   .   .   .    6
      1.2.1 Total accumulation as “area” . . . . . . . . . . . .         .   .   .   .    8
      1.2.2 Problems . . . . . . . . . . . . . . . . . . . . . . .       .   .   .   .    9
  1.3 Sigma notation and Riemann sums . . . . . . . . . . . . .          .   .   .   .   10
      1.3.1 Sums of areas of rectangles . . . . . . . . . . . . .        .   .   .   .   14
      1.3.2 Area under a curve: Riemann sums . . . . . . . .             .   .   .   .   15
      1.3.3 Two special Riemann sums: lower and upper sums               .   .   .   .   20
      1.3.4 Problems . . . . . . . . . . . . . . . . . . . . . . .       .   .   .   .   22
      1.3.5 The trapezoidal rule . . . . . . . . . . . . . . . . .       .   .   .   .   23
      1.3.6 Simpson’s rule and Sage . . . . . . . . . . . . . .          .   .   .   .   26
      1.3.7 Trapezoidal vs. Simpson: Which Method Is Best?               .   .   .   .   29
  1.4 The definite integral . . . . . . . . . . . . . . . . . . . . .     .   .   .   .   30
      1.4.1 The Fundamental Theorem of Calculus . . . . . .              .   .   .   .   33
      1.4.2 Problems . . . . . . . . . . . . . . . . . . . . . . .       .   .   .   .   36
      1.4.3 Properties of the definite integral . . . . . . . . . .       .   .   .   .   37
      1.4.4 Problems . . . . . . . . . . . . . . . . . . . . . . .       .   .   .   .   39
  1.5 Areas, integrals, and antiderivatives . . . . . . . . . . . .      .   .   .   .   41
      1.5.1 Integrals, Antiderivatives, and Applications . . . .         .   .   .   .   43
      1.5.2 Indefinite Integrals and net change . . . . . . . . .         .   .   .   .   44
      1.5.3 Physical Intuition . . . . . . . . . . . . . . . . . .       .   .   .   .   46
      1.5.4 Problems . . . . . . . . . . . . . . . . . . . . . . .       .   .   .   .   47
  1.6 Substitution and Symmetry . . . . . . . . . . . . . . . . .        .   .   .   .   48
      1.6.1 The Substitution Rule . . . . . . . . . . . . . . . .        .   .   .   .   49
      1.6.2 Substitution and definite integrals . . . . . . . . .         .   .   .   .   51
      1.6.3 Symmetry . . . . . . . . . . . . . . . . . . . . . . .       .   .   .   .   52
      1.6.4 Problems . . . . . . . . . . . . . . . . . . . . . . .       .   .   .   .   53

                                       vii
CONTENTS


2 Applications                                                                                                 55
  2.1 Applications of the integral to area . . . . . .             .   .   .   .   .   .   .   .   .   .   .   55
      2.1.1 Using integration to determine areas .                 .   .   .   .   .   .   .   .   .   .   .   55
  2.2 Computing Volumes of Surfaces of Revolution                  .   .   .   .   .   .   .   .   .   .   .   60
      2.2.1 Disc method . . . . . . . . . . . . . .                .   .   .   .   .   .   .   .   .   .   .   62
      2.2.2 Shell method . . . . . . . . . . . . . .               .   .   .   .   .   .   .   .   .   .   .   65
      2.2.3 Problems . . . . . . . . . . . . . . . .               .   .   .   .   .   .   .   .   .   .   .   67
  2.3 Average Values . . . . . . . . . . . . . . . . .             .   .   .   .   .   .   .   .   .   .   .   70
      2.3.1 Problems . . . . . . . . . . . . . . . .               .   .   .   .   .   .   .   .   .   .   .   71
  2.4 Moments and centers of mass . . . . . . . . .                .   .   .   .   .   .   .   .   .   .   .   72
      2.4.1 Point Masses . . . . . . . . . . . . . .               .   .   .   .   .   .   .   .   .   .   .   73
      2.4.2 Center of mass of a region in the plane                .   .   .   .   .   .   .   .   .   .   .   75
      2.4.3 x For A Region . . . . . . . . . . . . .               .   .   .   .   .   .   .   .   .   .   .   76
      2.4.4 y For a Region . . . . . . . . . . . . .               .   .   .   .   .   .   .   .   .   .   .   77
      2.4.5 Theorems of Pappus . . . . . . . . . .                 .   .   .   .   .   .   .   .   .   .   .   78
  2.5 Arc lengths . . . . . . . . . . . . . . . . . . .            .   .   .   .   .   .   .   .   .   .   .   80
      2.5.1 2-D Arc length . . . . . . . . . . . . .               .   .   .   .   .   .   .   .   .   .   .   80
      2.5.2 3-D Arc length . . . . . . . . . . . . .               .   .   .   .   .   .   .   .   .   .   .   83

3 Polar coordinates and trigonometric integrals                                                               85
  3.1 Polar Coordinates . . . . . . . . . . . . . . . . . . . . . . .                              .   .   . 87
  3.2 Areas in Polar Coordinates . . . . . . . . . . . . . . . . . .                               .   .   . 90
  3.3 Complex Numbers . . . . . . . . . . . . . . . . . . . . . . .                                .   .   . 93
      3.3.1 Polar Form . . . . . . . . . . . . . . . . . . . . . . .                               .   .   . 94
  3.4 Complex Exponentials and Trigonometric Identities . . . .                                    .   .   . 97
      3.4.1 Trigonometry and Complex Exponentials . . . . . .                                      .   .   . 99
  3.5 Integrals of Trigonometric Functions . . . . . . . . . . . . .                               .   .   . 101
      3.5.1 Some Remarks on Using Complex-Valued Functions                                         .   .   . 106

4 Integration techniques                                                                                       109
  4.1 Trigonometric Substitutions . . . . . . . . . . . . . . . . .                            .   .   .   .   109
  4.2 Integration by Parts . . . . . . . . . . . . . . . . . . . . .                           .   .   .   .   113
      4.2.1 More General Uses of Integration By Parts . . . .                                  .   .   .   .   116
  4.3 Factoring Polynomials . . . . . . . . . . . . . . . . . . . .                            .   .   .   .   117
  4.4 Partial Fractions . . . . . . . . . . . . . . . . . . . . . . .                          .   .   .   .   118
  4.5 Integration of Rational Functions Using Partial Fractions                                .   .   .   .   122
  4.6 Improper Integrals . . . . . . . . . . . . . . . . . . . . . .                           .   .   .   .   126
      4.6.1 Convergence, Divergence, and Comparison . . . . .                                  .   .   .   .   128

5 Sequences and Series                                                                                         131
  5.1 Sequences . . . . . . . . . . . . . . . .    .   .   .   .   .   .   .   .   .   .   .   .   .   .   .   131
  5.2 Series . . . . . . . . . . . . . . . . . .   .   .   .   .   .   .   .   .   .   .   .   .   .   .   .   132
  5.3 The Integral and Comparison Tests . .        .   .   .   .   .   .   .   .   .   .   .   .   .   .   .   134
      5.3.1 Estimating the Sum of a Series         .   .   .   .   .   .   .   .   .   .   .   .   .   .   .   138
  5.4 Tests for Convergence . . . . . . . . .      .   .   .   .   .   .   .   .   .   .   .   .   .   .   .   139
      5.4.1 The Comparison Test . . . . .          .   .   .   .   .   .   .   .   .   .   .   .   .   .   .   139

                                       viii
CONTENTS


         5.4.2 Absolute and Conditional Convergence .           .   .   .   .   .   .   .   .   .   .   139
         5.4.3 The Ratio Test . . . . . . . . . . . . . .       .   .   .   .   .   .   .   .   .   .   140
         5.4.4 The Root Test . . . . . . . . . . . . . .        .   .   .   .   .   .   .   .   .   .   141
   5.5   Power Series . . . . . . . . . . . . . . . . . . . .   .   .   .   .   .   .   .   .   .   .   143
         5.5.1 Shift the Origin . . . . . . . . . . . . . .     .   .   .   .   .   .   .   .   .   .   144
         5.5.2 Convergence of Power Series . . . . . .          .   .   .   .   .   .   .   .   .   .   145
   5.6   Taylor Series . . . . . . . . . . . . . . . . . . .    .   .   .   .   .   .   .   .   .   .   146
   5.7   Applications of Taylor Series . . . . . . . . . .      .   .   .   .   .   .   .   .   .   .   150
         5.7.1 Estimation of Taylor Series . . . . . . .        .   .   .   .   .   .   .   .   .   .   151

6 Some Differential Equations                                                  153
  6.1 Separable Equations . . . . . . . . . . . . . . . . . . . . . . . . . 154
  6.2 Logistic Equation . . . . . . . . . . . . . . . . . . . . . . . . . . . 154

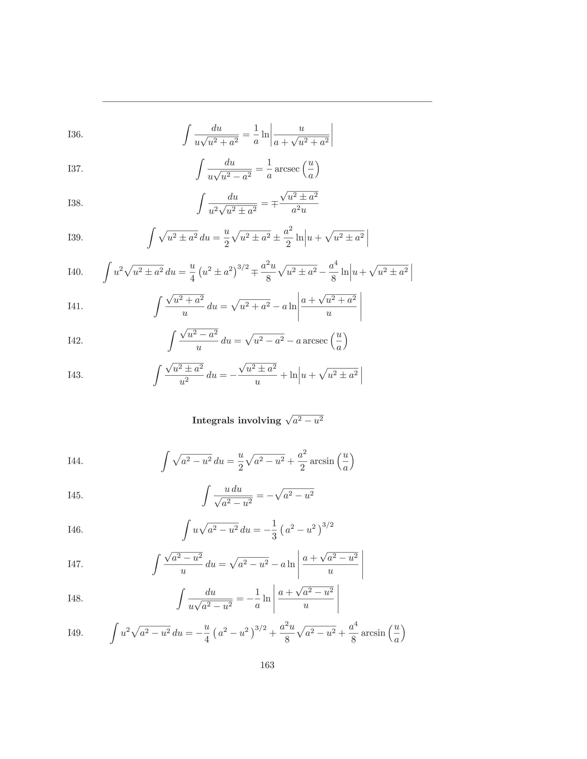
7 Appendix: Integral tables                                                                             157




                                         ix
Chapter 0

Preface

Who cares about calculus? Well, calculus is used in virtually every branch
of science where a problem can be mathematically modeled and an optimal
solution is desired. In applications, quite often you “know” or strongly suspect
something based on your understanding of the general principles in that field.
Calculus allows you to quantify your expectations.
  For example, you know if you drop a car from a helicopter it will fall to
the ground in a short length of time, possibly causing a lot of damage to the
vehicle. Now suppose you are directing a truck commercial for television. You
really want to know exactly how much damage is caused by dropping the car
from a specific height so you can prepare precise instructions for the chopper
pilot and cameramen. This quantitative precision is where mathematics, namely
calculus, can help.
  Image a football quarterback throwing a football to a receiver during game.
Now suppose you want to design a program for a computer game that allows
players to play football on their computer or game console (or cell-phone). You
need to know exact equations for the football’s trajectory in its path to the
receiver. Again, this is where calculus plays a role.
  Hopefully this book will help provide a bit of foundation for you to go on to
design the best video game or commercial or whatever your future brings to
you!
Acknowledgements: We thank Minh Van Nguyen for his careful proofreading
and many excellent suggestions for revisions.




                                       xi
Chapter 1

The Integral

Differential calculus starts with a “simple” geometric problem: given a curve
and a line tangent to that curve, find the slope of the line. The subject then
develops techniques used in solving this problem into a combination of theory
about derivatives and their properties, techniques for calculating derivatives,
and applications of derivatives. This book begins the development of integral
calculus and starts with the “simple” geometric idea of area. This idea will
be developed into another combination of theory, techniques, and applications.
The integral will be introduced in two (completely different) ways: as a limit
of “Riemann sums” and as an “inverse” of differentiation (also known as “an-
tiderivative”). Conceptually, the limit approach to the integral is geometric or
numerical, while the antiderivative approach is somewhat more algebraic.
  One of the most important results in mathematics, The Fundamental Theo-
rem of Calculus, appears in this chapter. It connects these two notions of the
integral and also provides a relationship between differential and integral calcu-
lus. Historically, this theorem marked the beginning of modern mathematics,
and it provided important tools for the growth and development of the sciences.
The chapter begins with a look at area, some geometric properties of areas, and
some applications. First, we will see ways of approximating the areas of regions
such as tree leaves that are bounded by curved edges, and the areas of regions
bounded by graphs of functions. Then we will find ways to calculate exactly the
areas of some of these regions. Finally, we will explore more of the rich variety
of uses of “areas”. The primary purpose of this introductory section is to help
develop your intuition about areas and your ability to reason using geometric
arguments about area. This type of reasoning will appear often in the rest of
this book and is very helpful for applying the ideas of calculus.


1.1     Area
We know from previous experience how to compute the areas of simple geo-
metrical shapes like triangles, circles and rectangles. Formulas for these have

                                       1
1.1. AREA


been known since the days of the ancient Greeks. But how do you find the area
under a “more complicated” curve such as y = x2 where −1 < x < 1? First,
let’s graph the function using Sage as follows1 :

sage:      a = -1; b = 1
sage:      f = lambda x: x^2
sage:      Lb = [[b,f(b)], [b,0], [a,0], [a,f(a)]]
sage:      Lf = [[i/20, f(i/20)] for i in xrange(20*a, 20*b+1)]
sage:      P = polygon(Lf+Lb, rgbcolor=(0.2,0.8,0))
sage:      Q = plot(f(x), x, a-0.5, b+0.5)
sage:      show(P+Q)

This results in the plot shown in Figure 1.1:




                Figure 1.1: Using Sage to plot y = x2 for −1 ≤ x ≤ 1.

The rough, general idea introduced in this section is the following. To compute
the area of the “complicated” shaded region in Figure 1.1, we break it up into
lots of “simpler” subregions, whose areas are easy to compute, then add up the
areas of the subregions to get the total area. We shall return to this example
later.
  The basic shape we will use is the rectangle, whose area is given by the formula

                                     area = base × height

If the units for each side of the rectangle are “meters,” then the area will have
the units (“meters”)×(“meters”) = “square meters” = m2 . Other area formulas
needed for this section are: the area formula for triangles

                                           area = bh/2                                      (1.1)
  1 Feel   free to try this yourself, changing a, b and x2 to something else if you like.


                                                 2
1.1. AREA


where b is the length of the base and h is the height; and the corresponding
formula for circles
                                 area = πr2
with r being the radius. We also assume the following familiar properties of
area:

   • Addition Property: The total area of a region is the sum of the areas of
     the non-overlapping pieces which comprise the region (see Figure 1.2).

   • Inclusion Property: If region B is on or inside region A, then the area of
     region B is less than or equal to the area of region A (see Figure 1.3).

   • Location-Independence Property: The area of a region does not depend
     on its location (see Figure 1.4).




              Figure 1.2: Adding areas of non-overlapping regions.




                 Figure 1.3: Estimating areas using rectangles.


Example 1.1.1. Determine the area of the region in Figure 1.5(a).

Solution. The region can easily be broken into two rectangles, Figure 1.5(b),
with areas 35 square inches and 3 square inches respectively. So the total area
of the original region is 38 square inches.

  Using the above three properties of area, we can get information about areas
that are difficult to calculate exactly. For instance, let A be the region bounded
by the graph of f (x) = 1/x, the x-axis, and vertical lines at x = 1 and x =
3 (refer to Figure 1.6). Since the two rectangles in Figure 1.6 are inside the region
A and do not overlap each other, the area of the rectangles is 1/2 + 1/3 = 5/6,
which is less than the area of region A.

                                         3
1.1. AREA




      Figure 1.4: Independence of area under translations and rotations.




          Figure 1.5: Calculating areas using the addition property.


Practice 1.1.1. Build two rectangles, each with base 1 unit, outside the shaded
region in Figure 1.6. Then use their areas to make a valid statement about the
area of region A.
  (Ans: Outside rectangular area = 1.5.)

Practice 1.1.2. Now use both inside and outside rectangles with base 1/2 unit.
What can be said about the area of region A in Figure 1.6?
 (Ans: The area of the region is between 0.95 and 1.2.)

Example 1.1.2. In Figure 1.7, there are 32 dark squares, each having a side
length of 1 centimeter, and 31 lighter squares of the same side length. We can
be sure that the area of the leaf is smaller than what number?

Solution. The area of the leaf is smaller than 32 + 31 = 63 cm2 .

Practice 1.1.3. We can be sure that the area of the leaf is at least how large?


                                       4
1.1. AREA




           Figure 1.6: The area under of y = 1/x, where 1 ≤ x ≤ 3.




                Figure 1.7: Approximating the area of a “leaf”.


   Functions can be defined in terms of areas. For the constant function f (t) = 2,
define A(x) to be the area of the rectangular region bounded by the graph of
f , the t-axis, and the vertical lines at t = 1 and t = x (see Figure 1.8(a)).
Then A(2) is the area of the shaded region in Figure 1.8(b), where A(2) = 2.
Similarly, A(3) = 4 and A(4) = 6. In general, we have

                 A(x) = base × height = (x − 1) × 2 = 2x − 2

for any x ≥ 1. Figure 1.8(c) shows the graph of y = A(x), whose derivative is
A′ (x) = 2 for every value of x ≥ 1.




                      Figure 1.8: The area as a function.

                                        5
1.2. SOME APPLICATIONS OF AREA


  Sometimes it is useful to move regions around. Consider the parallelogram in
Figure 1.9 and notice the triangle on its left end. Moving this triangular region
from the left side of the parallelogram to fill the region on the right side, we
end up with a rectangle. So we have reduced the problem of finding the area
of a parallelogram to a simpler, equivalent problem about finding the area of a
rectangle.




                    Figure 1.9: The area of a parallelogram.

  For complicated regions such as the shaded regions in Figure 1.10(a), we can
use a similar technique. At first glance, it is difficult to estimate the total area
of the shaded regions in Figure 1.10(a). However, if we slide all of them into
a single column as shown in Figure 1.10(b), then it is easy to determine that
the shaded area is less than the area of the enclosing rectangle: that is, area of
rectangle = base × height = 1 × 2 = 2.




            Figure 1.10: Estimating the area of an irregular region.



1.2     Some applications of area
One reason “areas” are so useful is that they can represent quantities other than
simple geometric shapes. For example, if the units of the base of a rectangle
are “hours” and the units of the height are “miles/hour”, then the units of
the “area” of the rectangle are (hours) × (miles/hour) = miles, a measure of
distance. Similarly, if the base units are centimeters and the height units are
grams, then the “area” units are gram × centimeters, a measure of work.

Example 1.2.1. Distance as an “area”: In Figure 1.11, f (t) is the velocity of
a car in “miles per hour” and t is the time in “hours.” Then the shaded “area”

                                        6
1.2. SOME APPLICATIONS OF AREA


is (base) × (height) = (3 hours) × (20 miles/hour ) = 60 miles. In other words,
the car traveled 60 miles in the 3 hours from 1 o’clock until 4 o’clock.




          Figure 1.11: Calculating distance using the “area” concept.


  Example 1.2.1 shows that we can use the familiar idea of “area” to calculate
a quantity (in this case, miles) that at first seems totally unrelated to “area”.
Theorem 1.2.1 provides a general statement of the idea illustrated in Exam-
ple 1.2.1.

Theorem 1.2.1. (“Area” as Distance) Let f (t) be the (positive) forward ve-
locity of an object at time t. Then the “area” bounded by the graph of f , the
t-axis, and the vertical lines at times t = a and t = b, will be the distance that
the object has moved forward between times a and b.

  This “area as distance” fact can make some difficult distance problems much
easier to handle.

Example 1.2.2. A car starts from rest (velocity = 0) and steadily speeds up so
that 20 seconds later its speed is 88 feet per second (60 miles per hour). How
far did the car travel during those 20 seconds?

Solution. If “steadily speeds up” means that the velocity increases linearly, then
we can apply the idea of “area as distance”. Figure 1.12 shows the graph of
velocity versus time. The “area” of the triangular region in the figure represents
the distance traveled. Using formula (1.1) for the area of a triangle, we have

                             1
                distance =     × base × height
                             2
                             1
                         =     × (20 seconds) × (88 feet/second)
                             2

                         = 880 feet

In 20 seconds the car covered a total distance of 880 feet.


                                        7
1.2. SOME APPLICATIONS OF AREA




        Figure 1.12: Using “area” to calculate the distance a car travels.

Practice 1.2.1. A train traveling at 45 miles per hour (66 feet/second) takes
60 seconds to come to a complete stop. If the train slowed down at a steady rate
(the velocity decreased linearly), how many feet did the train travel while coming
to a stop?
Practice 1.2.2. You and a friend start off at noon and walk in the same di-
rection along the same path at the rates shown in Figure 1.13.
   • Who is walking faster at 2 pm? Who is ahead at 2 pm?
   • Who is walking faster at 3 pm? Who is ahead at 3 pm?
   • When will you and your friend be together? (Answer in words.)




                   Figure 1.13: Illustration for Practice 1.2.2.


1.2.1     Total accumulation as “area”
In previous examples, the function represented a rate of travel (miles per hour),
and the area represented the total distance traveled. For functions representing
other rates, the area still represents the total amount of something. Some
familiar rates include the production of a factory (bicycles per day), the flow of
water in a river (gallons per minute), traffic over a bridge (cars per minute), or
the spread of a disease (newly sick people per week).

                                        8
1.2. SOME APPLICATIONS OF AREA


Theorem 1.2.2. (“Area” as Total Accumulation) Let f (t) be a positive rate
(in units per time interval) at time t. Then the “area” between the graph of f ,
the t-axis, and the vertical lines at times t = a and t = b, will be the total units
which accumulate between times a and b.
Practice 1.2.3. Figure 1.14 shows the number of telephone calls made per hour
on a Tuesday. Approximately how many calls were made between 9 am and 11
am?




                   Figure 1.14: Illustration for Practice 1.2.3.



1.2.2     Problems
  1. (a) Calculate the sum of the rectangular areas in Figure 1.15(a).
        (b) From part (a), what can we say about the area of the shaded region
            in Figure 1.15(b)?
  2. (a) Calculate the sum of the areas of the shaded regions in Figure 1.15(c).
        (b) From part (a), what can we say about the area of the shaded region
            in Figure 1.15(b)?




                         Figure 1.15: Estimating areas.

  3. Consider the function f (x) whose graph is shown in Figure 1.16. Let A(x)
     represent the area bounded by the graph of f (x), the horizontal axis, and
     vertical lines at t = 0 and t = x. Evaluate A(x) for x = 1, 2, 3, 4, and 5.
  4. Police chase: A speeder traveling 45 miles per hour (in a 25 mph zone)
     passes a stopped police car which immediately takes off after the speeder.

                                         9
1.3. SIGMA NOTATION AND RIEMANN SUMS




                        Figure 1.16: Computing areas.


      The police car speeds up steadily to 60 miles/hour in 20 seconds and then
      travels at a steady 60 miles/hour. Figure 1.17 shows the velocity versus
      time graph for the police car and the speeder. How long and how far
      before the police car catches the speeder who continued traveling at 45
      miles/hour?




      Figure 1.17: Computing areas to analyze the police chase problem.

  5. What are the units for the “area” of a rectangle with the given base and
     height units?

                   Base units        Height units       “Area” units
                miles per second       seconds
                      hours        dollars per hour
                  square feet             feet
                    kilowatts           hours
                     houses        people per house
                      meals             meals


1.3     Sigma notation and Riemann sums
So far, we have calculated the area of a region in terms of simpler regions.
We cut the region into simple shapes, calculate the area of each simple shape,
and then add these smaller areas together to get the area of the whole region.
We will continue using that approach, but it is useful to have a notation for
adding many values together. This is where the sigma notation (denoted with
the capital Greek letter Σ) comes in handy.

                                      10
1.3. SIGMA NOTATION AND RIEMANN SUMS


   Consider the function f (x) = 3x + 1 and for convenience we restrict x to
take only integer values. Now consider the values of f (x) where x = 2, 3, 4, 5
as shown in Table 1.1. The sigma notation allows us to express the sum S =
f (2) + f (3) + f (4) + f (5) using a convenient shorthand, namely
                        5
                  S=         3k + 1 = f (2) + f (3) + f (4) + f (5)         (1.2)
                       k=2



                                 x    f (x) = 3x + 1
                                 2        f (2) = 7
                                 3       f (3) = 10
                                 4       f (4) = 13
                                 5       f (5) = 16

              Table 1.1: Values of f (x) = 3x + 1 for x = 2, 3, 4, 5.

  Figure 1.18 shows the various parts of this notation. The function to the right
of the sigma Σ is called the summand. Below and above the sigma are numbers
called the lower and upper limits of the summation, respectively. Notice that
instead of using the symbol x, in equation (1.2) and Figure 1.18 we replaced x
with the variable k. The variable (typically i, j, or k) used in the summation
is called the counter or index variable. Table 1.2 provides various ways of
reading the Σ notation. Using Sage, we can obtain the value of the sum in
Figure 1.18 as follows:

sage: maxima("sum(3*k + 1, k, 2, 5)")
46




               Figure 1.18: The summation or sigma notation.


                                          11
1.3. SIGMA NOTATION AND RIEMANN SUMS


            Summation                                         A way to read                Sigma
             notation                                       the sigma notation            notation
                                                                                               5
      12 + 22 + 32 + 42 + 52                               the sum of k squared                k=1    k2
                                                        for k equals 1 to k equals 5
        1       1       1       1        1                                                     7
        3   +   4   +   5   +   6    +   7                  the sum of 1 over k                k=3   k −1
                                                        for k equals 3 to k equals 7
                                                                                               5
  20 + 21 + 22 + 23 + 24 + 25                      the sum of 2 to the j-th power              j=0    2j
                                                     for j equals 0 to j equals 5
                                                                                                7
  a2 + a3 + a4 + a5 + a6 + a7                                the sum of a sub i                 i=2   ai
                                                        for i equals 2 to i equals 7

                            Table 1.2: How to read the sigma notation.

                                              x    f (x)     g(x)      h(x)
                                              1      2         4        3
                                              2      3         1        3
                                              3      1        −2        3
                                              4      0         3        3
                                              5      3         5        3

 Table 1.3: Domain values and their images under the functions f , g, and h.

Practice 1.3.1. Write the summation denoted by each of the following:
                    5                                   7       j1                4
      (a)           k=1     k3 ,             (b)        j=2 (−1) j ,      (c)     m=0 (2m     + 1).
 In practice, the sigma notation is frequently used with the standard function
notation:
       3
            f (k + 2) = f (1 + 2) + f (2 + 2) + f (3 + 2) = f (3) + f (4) + f (5)
      k=1

and
                                4
                                     f (xi ) = f (x1 ) + f (x2 ) + f (x3 ) + f (x4 ).
                            k=1

                                                                                        5
Example 1.3.1. Use the values in Table 1.3 to evaluate (i)                              k=2   2f (k); and
     5
(ii) j=3 5 + f (j − 2) .
Solution. (i) Using the values of f (k) for k = 2, 3, 4, 5, we have
                            5
                                    2f (k)    =    2f (2) + 2f (3) + 2f (4) + 2f (5)
                        k=2                                                                           (1.3)
                                              =    2(3) + 2(1) + 2(0) + 2(3)
                                              =    14

                                                           12
1.3. SIGMA NOTATION AND RIEMANN SUMS


On the other hand, note that in expression (1.3) we can factor out the value 2
to get an equivalent expression
                                       5                   5
                                            2f (k) = 2          f (k)
                                   k=2                    k=2

This expression evaluates to the same value as the original expression.

(ii) For j = 3, 4, 5 we have

             f (3 − 2) = f (1),            f (4 − 2) = f (2),             f (5 − 2) = f (3)

Then we get
                        5
                             5 + f (j − 2)
                      j=3

                 =     5 + f (3 − 2) + 5 + f (4 − 2) + 5 + f (5 − 2)
                                                                                                    (1.4)
                 =     5 + f (1) + 5 + f (2) + 5 + f (3)
                 =    (5 + 2) + (5 + 3) + (5 + 1)
                 =    21

Now carefully look at expression (1.4) again. When the index j takes on each
of the three values 3, 4, and 5, the term 5 is added three times in evaluating the
whole sum. Using this observation, we can write (1.4) in the equivalent form
                        5                                            5
                              5 + f (j − 2) = 3 × 5 +                    f (j − 2)
                       j=3                                        j=3

This observation will be formalized later on.
Practice 1.3.2. Use the values of f , g and h in Table 1.3 to evaluate the
following:
                 5                           4                            5
       (a)           g(k),       (b)              h(j),        (c)             f (i − 1) + g(i) .
               k=2                          j=1                          i=3

  Since the sigma notation is simply a notation for addition, it has all of the
familiar properties of addition. Theorem 1.3.1 states a number of these familiar
addition properties for the Σ notation.
Theorem 1.3.1. (Summation Properties) Let C be a fixed constant and let
m, n ∈ Z be positive. Then we have the following summation properties for the
Σ notation.
                                  n
  1. Sum of constants:            k=1      C = C + C + C + · · · + C = nC.
                                                          n terms


                                                    13
1.3. SIGMA NOTATION AND RIEMANN SUMS

                    n                      n              n
  2. Addition:      k=1 (ak   + bk ) =     k=1   ak +     k=1 bk .
                      n                      n                  n
  3. Subtraction:     k=1 (ak   − bk ) =     k=1   ak −         k=1 bk .
                                n                  n
  4. Constant multiple:         k=1   Cak = C      k=1   ak .
                                                                        n              n
  5. Preserves positivity: If bk ≥ ak for all k, then                   k=1 bk    ≥    k=1   ak . In
                                          n
     particular, if ak ≥ 0 for all k then k=1 ak ≥ 0.
                                                                     m                n
  6. Additivity of ranges: If 1 ≤ m ≤ n then                         k=1   ak +       k=m+1   ak =
       n
       k=1 ak .


1.3.1    Sums of areas of rectangles
Later, we will approximate the areas under curves by building rectangles as
high as the curve, calculating the area of each rectangle, and then adding the
rectangular areas together.

Example 1.3.2. Evaluate the sum of the rectangular areas in Figure 1.19, and
write the sum using the sigma notation.
 Solution: We have


 sum of the rectangular areas         = sum of (base) × (height) for each rectangle
                                      = (1)(1/3) + (1)(1/4) + (1)(1/5) = 47/60.

Using the sigma notation,

                                                                    3
                                                                        1
                     (1)(1/3) + (1)(1/4) + (1)(1/5) =                     .
                                                                        k
                                                                  k=1




                 Figure 1.19: Area and summation notation.


Practice 1.3.3. Evaluate the sum of the rectangular areas in Figure 1.20, and
write the sum using the sigma notation.

                                            14
1.3. SIGMA NOTATION AND RIEMANN SUMS




                  Figure 1.20: Area and summation notation.


Example 1.3.3. Write the sum of the areas of the rectangles in Figure 1.21
using the sigma notation.
  Solution: The area of each rectangle is (base)×(height).

                 rectangle    base      height         area
                     1       x1 − x0    f (x1 )   (x1 − x0 )f (x1 )
                     2       x2 − x1    f (x2 )   (x2 − x1 )f (x2 )
                     3       x3 − x2    f (x3 )   (x3 − x2 )f (x3 )

  The area of the k-th rectangle is (xk − xk−1 )f (xk ), and the total area of the
                        3
rectangles is the sum k=1 (xk − xk−1 )f (xk ).




                  Figure 1.21: Area and summation notation.


1.3.2    Area under a curve: Riemann sums
Suppose we want to calculate the area between the graph of a positive function
f and the interval [a, b] on the x–axis (Fig. 7). The Riemann Sum method is to
build several rectangles with y = f (x) bases on the interval [a, b] and sides that
reach up to the graph of f (Fig. 8). Then the areas of the rectangles can be
calculated and added together to get a number called a Riemann sum of f
on [a, b]. The area of the region formed by the rectangles is an approximation
of the area we want.

                                        15
1.3. SIGMA NOTATION AND RIEMANN SUMS


Example 1.3.4. Approximate the area in Figure 1.22(a) between the graph of
f and the interval [2, 5] on the x–axis by summing the areas of the rectangles in
Figure 1.22(b).
  Solution: The total area of rectangles is (2)(3) + (1)(5) = 11 square units.




                     Figure 1.22: Illustration for Example 1.3.4.


   In order to effectively describe this process, some new vocabulary is helpful:
a “partition” of an interval and the mesh of the partition. A partition P
of a closed interval [a, b] into n subintervals is a set of n + 1 points {x0 =
a, x1 , x2 , x3 , ..., xn−1 , xn = b} in increasing order, a = x0 < x1 < x2 < x3 <
... < xn = b. (A partition is a collection of points on the axis and it does not
depend on the function in any way.)
   The points of the partition P divide the interval into n subintervals (Figure
1.23): [x0 , x1 ], [x1 , x2 ], [x2 , x3 ], . . . , and [xn−1 , xn ] with lengths ∆x1 = x1 − x0 ,
∆x2 = x2 − x1 , . . . , ∆xn = xn − xn−1 . The points xk of the partition P are
the locations of the vertical lines for the sides of the rectangles, and the bases
of the rectangles have lengths ∆xk for k = 1, 2, 3, ..., n.




                      Figure 1.23: Partition of the interval [a, b].

  The mesh or norm of the partition is the length of the longest of the subin-
tervals [xk−1 , xk ], or, equivalently, the maximum of the ∆xk for k = 1, 2, 3, ..., n.
For example, the set P = {2, 3, 4.6, 5.1, 6} is a partition of the interval [2, 6] and
divides it into 4 subintervals with lengths ∆x1 = 1, ∆x2 = 1.6, ∆x3 = 0.5 and

                                              16
1.3. SIGMA NOTATION AND RIEMANN SUMS


∆x4 = 0.9. The mesh of this partition is 1.6, the maximum of the lengths of
the subintervals. (If the mesh of a partition is “small,” then the length of each
one of the subintervals is the same or smaller.)
  A function, a partition, and a point in each subinterval determine a Rie-
mann sum. Suppose f is a positive function on the interval [a, b], P = {x0 =
a, x1 , x2 , x3 , ..., xn−1 , xn = b} is a partition of [a, b], and ck is an xvalue in the k-
th subinterval [xk−1 , xk ] : xk−1 ≤ ck ≤ xk . Then the area of the k-th rectangle
is f (ck ) · (xk − xk−1 ) = f (ck )∆xk . (Figure 1.24)




                        Figure 1.24: Part of a Riemann sum.

                                                         n
Definition 1.3.1. A summation of the form                 k=1   f (ck )∆xk is called a Rie-
mann sum of f for the partition P .
  This Riemann sum is the total of the areas of the rectangular regions and is
an approximation of the area between the graph of f and the x–axis.
Example 1.3.5. Find the Riemann sum for f (x) = 1/x and the partition
{1, 4, 5} using the values c1 = 2 and c2 = 5.
  Solution: The two subintervals are [1, 4] and [4, 5] so ∆x1 = 3 and ∆x2 = 1.
Then the Riemann sum for this partition is

 n
                                                                       1      1
      f (ck )∆xk = f (c1 )∆x1 + f (c2 )∆x2 = f (2)(3) + f (5)(1) =       (3) + (1) = 1.7.
                                                                       2      5
k=1

Practice 1.3.4. Calculate the Riemann sum for f (x) = 1/x on the partition
{1, 4, 5} using the values c1 = 3, c2 = 4.
Practice 1.3.5. What is the smallest value a Riemann sum for f (x) = 1/x
and the partition {1, 4, 5} can have? (You will need to select values for c1 and
c2 .) What is the largest value a Riemann sum can have for this function and
partition?
  Here is a Sage example.
Example 1.3.6. Using Sage, we construct the Riemann sum of the function
y = x2 using a partition of 6 equally spaced points, where the ck ’s are taken to
be the midpoints.

                                             17
1.3. SIGMA NOTATION AND RIEMANN SUMS



sage: f1(x) = x^2
sage: f = Piecewise([[(-1,1),f1]])
sage: g = f.riemann_sum(6,mode="midpoint")
sage: P = f.plot(rgbcolor=(0.7,0.1,0.5), plot_points=40)
sage: Q = g.plot(rgbcolor=(0.7,0.6,0.6), plot_points=40)
sage: L = add([line([[pf[0][0],0],[pf[0][0],pf[1](x=pf[0][0])]],
      rgbcolor=(0.7,0.6,0.6)) for pf in g.list()])
sage: show(P+Q+L)



Here is the plot:




           Figure 1.25: Plot using Sage of a Riemann sum for y = x2 .


  At the end of this section is a Python2 program listing for calculating Riemann
sums of f (x) = 1/x on the interval [1, 5] using 100 subintervals. It can be
modified easily to work for different functions, different endpoints, and different
numbers of subintervals. Table 1.26 shows the results of running the program
with different numbers of subintervals and different ways of selecting the points
ci in each subinterval. When the mesh of the partition is small (and the number
of subintervals large), all of the ways of selecting the ci lead to approximately
the same number for the Riemann sums.




   2 Python is a general purpose cross-platform, free and open source computer program-

ming language. It is widely used in industry and academia, and is available for download at
http://www.python.org. Alternatively, you can download the mathematical software system
Sage from http://www.sagemath.org. It comes with Python pre-installed.


                                            18
1.3. SIGMA NOTATION AND RIEMANN SUMS


  Here is a Python program to calculate Riemann sums of f (x) = 1/x on [1, 5]
using 100 equal length subintervals, based on the “left-hand” endpoints.


f = lambda x: 1/x                                     #   define the function
a = 1.0                                               #   left endpoint of integral
b = 5.0                                               #   right endpoint of integral
n = 100                                               #   number of subintervals
Dx = (b-a)/n                                          #   width of each subinterval
rsum = sum([f(a+i*Dx)*Dx for i in range(n)])          #   compute the Riemann sum
print rsum                                            #   print the Riemann sum



Other Riemann sums can be calculated by replacing the “rsum” line with one
of:
  rsum = sum([f(a+(i+0.5)*Dx)*Dx for i in range(n)]) “midpoint”
  rsum = sum([f(a+(i+1)*Dx)*Dx for i in range(n)]) “right-hand”

Written as Python “functions”, these three are written as below3


def rsum_lh(n):
    f = lambda x: 1/x
    a = 1.0
    b = 5.0
    Dx = (b-a)/n
    return sum([f(a+i*Dx)*Dx for i in range(n)])

def rsum_mid(n):
    f = lambda x: 1/x
    a = 1.0
    b = 5.0
    Dx = (b-a)/n
    return sum([f(a+(i+0.5)*Dx)*Dx for i in range(n)])

def rsum_rh(n):
    f = lambda x: 1/x
    a = 1.0
    b = 5.0
    Dx = (b-a)/n
    return sum([f(a+(i+1)*Dx)*Dx for i in range(n)])

   3 If you have an electronic copy of this file,           and “copy-and-paste”
these into Python, keep in mind indenting is very         important in Python
syntax.http://www.python.org/doc/essays/styleguide.html


                                     19
1.3. SIGMA NOTATION AND RIEMANN SUMS

                        left–hand            midpoint           right–hand
 n      ∆xi           Riemann sum          Riemann sum         Riemann sum

 5      0.8       1.9779070602600015    1.5861709609993364   1.3379070602600014
 10     0.4       1.7820390106296689    1.6032106782106783   1.462039010629669
 20     0.2       1.6926248444201737    1.6078493243021688   1.5326248444201738
 100    0.04      1.6255658911511259    1.6093739310551827   1.5935658911511259
 1000   0.004     1.6110391924319691    1.6094372724359669   1.607839192431969

                      Figure 1.26: Table for Python example.


The command
sizes = [5, 10, 20, 100, 1000]
table = [[n, (b-a)/n, rsum_lh(n),rsum_mid(n), rsum_rh(n)] for n in sizes]

yields the following data:


In fact, the exact value is log(5) = 1.609437..., so these last few lines yielded
pretty good approximations.
Practice 1.3.6. Replace 1/x by x2 and [a, b] = [1, 5] by [a, b] = [−1, 1] in the
Python code above and find the Riemann sum for the new function and n = 100.
Use the midpoint approximation. (You may use Sage or Python, whichever you
prefer.)
Example 1.3.7. Find the Riemann sum for the function f (x) = sin(x) on
the interval [0, π] using the partition {0, π/4, π/2, π} with c1 = π/4, c2 = π/2,
c3 = 3π/4.
  Solution: The 3 subintervals are [0, π/4], [π/4, π/2], and [π/2, π] so ∆x1 =
π/4, ∆x2 = π/4 and ∆x3 = π/2. The Riemann sum for this partition is

        3
        k=1   f (ck )∆xk   = sin(π/4)(π/4) + sin(π/2)(π/4) + sin(3π/4)(π/2)
                           = √2 π + 1 · π + √ 2 π
                              1
                                 4       4
                                             1
                                                2
                           = 2.45148... .

Practice 1.3.7. Find the Riemann sum for the function and partition in the
previous example, but use c1 = 0, c2 = π/2, c3 = π/2.

1.3.3    Two special Riemann sums: lower and upper sums
Two particular Riemann sums are of special interest because they represent the
extreme possibilities for Riemann sums for a given partition.
Definition 1.3.2. Suppose f is a positive function on [a, b], and P is a partition
of [a, b]. Let mk be the xvalue in the k-th subinterval so that f (mk ) is the

                                         20
1.3. SIGMA NOTATION AND RIEMANN SUMS


minimum value of f in that interval, and let Mk be the xvalue in the k-th
subinterval so that f (Mk ) is the maximum value of f in that interval.
                        n
  lower sum: LS = k=1 f (mk )∆xk .
                         n
  upper sum: U S = k=1 f (Mk )∆xk .

  Geometrically, the lower sum comes from building rectangles under the graph
of f (Figure 1.27(a)), and the lower sum (every lower sum) is less than or equal
to the exact area A: LS ≤ A for every partition P . The upper sum comes from
building rectangles over the graph of f (Figure 1.27(b)), and the upper sum
(every upper sum) is greater than or equal to the exact area A: U S ≥ A for
every partition P . The lower and upper sums provide bounds on the size of the
exact area: LS ≤ A ≤ U S.




                 Figure 1.27: Lower and upper Riemann sums.

  Unfortunately, finding minimums and maximums can be a timeconsuming
business, and it is usually not practical to determine lower and upper sums for
“arbitrary” functions. If f is monotonic, however, then it is easy to find the
values for mk and Mk , and sometimes we can explicitly calculate the limits of
the lower and upper sums.
  For a monotonic bounded function we can guarantee that a Riemann sum is
within a certain distance of the exact value of the area it is approximating.

Theorem 1.3.2. If f is a positive, monotonically increasing, bounded function
on [a, b], then for any partition P and any Riemann sum for P ,
  distance between the Riemann sum and the exact area ≤ distance between the
upper sum (US) and the lower sum (LS) ≤ (f (b) − f (a)) · (mesh of P ).

  Proof: The Riemann sum and the exact area are both between the upper
and lower sums so the distance between the Riemann sum and the exact area is
less than or equal to the distance between the upper and lower sums. Since f is
monotonically increasing, the areas representing the difference of the upper and
lower sums can be slid into a rectangle whose height equals f (b)−f (a) and whose
base equals the mesh of P . Then the total difference of the upper and lower
sums is less than or equal to the area of the rectangle, (f (b)−f (a))·(mesh of P ).


                                        21
1.3. SIGMA NOTATION AND RIEMANN SUMS


1.3.4    Problems
For problems the next four problems, sketch the function and find the smallest
possible value and the largest possible value for a Riemann sum of the given
function and partition.
  1. f (x) = 1 + x2
     (a) P = {1, 2, 4, 5}
     (b) P = {1, 2, 3, 4, 5}
     (c) P = {1, 1.5, 2, 3, 4, 5}
  2. f (x) = 7 − 2x
     (a) P = {0, 2, 3}
     (b) P = {0, 1, 2, 3}
     (c) P = {0, .5, 1, 1.5, 2, 3}
  3. f (x) = sin(x)
     (a) P = {0, π/2, π}
     (b) P = {0, π/4, π/2, π}
     (c) P = {0, π/4, 3π/4, π}.
  4. f (x) = x2 − 2x + 3
     (a) P = {0, 2, 3}
     (b) P = {0, 1, 2, 3}
     (c) P = {0, .5, 1, 2, 2.5, 3}.
  5. Suppose we divide the interval [1, 4] into 100 equally wide subintervals and
     calculate a Riemann sum for f (x) = 1 + x2 by randomly selecting a point
     ci in each subinterval.
     (a) We can be certain that the value of the Riemann sum is within what
     distance of the exact value of the area between the graph of f and the
     interval [1, 4] ?
     (b) What if we take 200 equally long subintervals?
  6. If f is monotonic decreasing on [a, b] and we divide the interval [a, b] into
     n equally wide subintervals, then we can be certain that the Riemann sum
     is within what distance of the exact value of the area between f and the
     interval [a, b]?
  7. Suppose LS = 7.362 and U S = 7.402 for a positive function f and a
     partition P of the interval [1, 5].
     (a) We can be certain that every Riemann sum for the partition P is
     within what distance of the exact value of the area under the graph of f
     over the interval [1, 5]?
     (b) What if LS = 7.372 and U S = 7.390?

                                       22
1.3. SIGMA NOTATION AND RIEMANN SUMS


1.3.5     The trapezoidal rule
This section includes several techniques for getting approximate numerical val-
ues for definite integrals without using antiderivatives. Mathematically, exact
answers are preferable and satisfying, but for most applications, a numerical
answer with several digits of accuracy is just as useful. For instance, suppose
you are a automotive or aircraft designer. You may wish to know how much
metal is required to build your design, created using a computer-aided design
graphics program. Due to the fluctuations in the price for metal, you only need
the approximate cost based on a piecewise-linear approximation to your design.
Numerical techniques such as those discussed in this section can be used for
that.
   The methods in this section approximate the definite integral of a function f
by building “easy” functions close to f and then exactly evaluating the definite
integrals of the “easy” functions. If the “easy” functions are close enough to
f , then the sum of the definite integrals of the “easy” functions will be close
to the definite integral of f . The Left, Right and Midpoint approximations fit
horizontal lines to f , the “easy” functions are piecewise constant functions, and
the approximating regions are rectangles. The Trapezoidal Rule fits slanted lines
to f , the “easy” functions are piecewise linear, and the approximating regions
are trapezoids. Finally, Simpson’s Rule fits parabolas to f , and the “easy”
functions are piecewise quadratic polynomials.
   All of the methods divide the interval [a, b] into n equally long subintervals.
Each subinterval has length h = ∆xi = b−a , and the points of the partition
                                                   n
are x0 = a, x1 = a + h, x2 = a + 2h, . . . , xi = a + ih, . . . , xn = a + nh =
a + n( b−a ) = b.
          n
   If the graph of f is curved, then slanted lines typically come closer to the graph
of f than horizontal ones do, and the slanted lines lead to trapezoidal regions.
   The area of a trapezoid is (base)×(average height), so the area of the trapezoid
with coordinates (x0 , 0), (x0 , y0 ), (x1 , 0), (x1 , y1 ), is (see Figure 1.28),
                                              y0 + y1
                                 (x1 − x0 )           .
                                                 2

Example 1.3.8. Here is how to create and plot a piecewise linear function
describing the trapezoidal approximation to the area under y = x3 − 3x2 + 2x.


sage:   x = var("x")
sage:   f1 = lambda x: x^3-3*x^2+2*x
sage:   f = Piecewise([[(0,2),f1]])
sage:   tf = f.trapezoid(4)
sage:   P3 = list_plot([(1/2,0),(0.5,f(0.5))],plotjoined=True,linestyle=":")
sage:   P4 = list_plot([(3/2,0),(1.5,f(1.5))],plotjoined=True,linestyle=":")
sage:   show(P1+P2+P3+P4)
sage:   f.trapezoid_integral_approximation(4)
0

                                         23
1.3. SIGMA NOTATION AND RIEMANN SUMS




                               Figure 1.28: Trapezoid.

sage: integrate(x^3-3*x^2+2*x, x, 0, 2)
0


Here is the plot:




Figure 1.29: Plot using Sage of a trapezoidal approximation to the integral
 2 3
 0
   x − 3x2 + 2x dx.


We got lucky here since both the integral and its trapezoidal approximation ac-
tually have the same value.
Theorem 1.3.3. (“Trapezoidal Approximation Rule”) If f is integrable on
[a, b], and [a, b] is partitioned into n subintervals of length h = b−a , then the
                                                                     n
                                   b
Trapezoidal approximation of a f (x) dx is
                 h
          Tn =     [f (x0 ) + 2f (x1 ) + 2f (x2 ) + ... + 2f (xn−1 ) + f (xn )].
                 2

                                           24
1.3. SIGMA NOTATION AND RIEMANN SUMS


                                            x     f (x)
                                           1.0     4.2
                                           1.5     3.4
                                           2.0     2.8
                                           2.5     3.6
                                           3.0     3.2


                                Figure 1.30: Table for 1.3.9


  Proof: The area of the trapezoidal with coordinates (xi , 0), (xi , yi ), (xi+1 , 0),
(xi+1 , yi+1 ), where yi = f (xi ), is (xi+1 − xi ) yi +yi+1 = h · (yi + yi+1 ). Therefore,
                                                        2      2
                                                           b
the sum of the trapezoidal areas approximating a f (x) dx is

 n                                    n
                    yi + yi+1  h                           h
     (xi+1 − xi )             = ·         (yi + yi+1 ) =     · (y0 + 2y1 + ... + 2yn−1 + yn ),
i=
                        2      2     i=
                                                           2

as desired.
                                                                                  3
Example 1.3.9. Calculate T4 , the Trapezoidal approximation of 1 f (x) dx, for
the function values tabulated in Figure 1.30.
  Solution: The step size is h = (b − a)/n = (3 − 1)/4 = 1/2. Then

                T4     = h [f (x0 ) + 2f (x1 ) + 2f (x2 ) + 2f (x3 ) + f (x4 )]
                         2
                         1
                       = 4 [4.2 + 2(3.4) + 2(2.8) + 2(3.6) + (3.2)]
                       = (0.25)(27) = 6.75.
Example 1.3.10. Let’s see how well the trapezoidal rule approximates an in-
                                  3
tegral whose exact value we know, 1 x2 dx = 26 . Calculate T4 , the Trapezoidal
                                            3
                    3 2
approximation of 1 x dx.
  Solution: As in the example above, h = 0.5 and x0 = 1, x1 = 1.5, x2 = 2,
x3 = 2.5, and x4 = 3. Then

               T4     = h [f (x0 ) + 2f (x1 ) + 2f (x2 ) + 2f (x3 ) + f (x4 )]
                        2
                      = 0.5[f (1) + 2f (1.5) + 2f (2) + 2f (2.5) + f (3)]
                      = (0.25)[1 + 2(2.25) + 2(4) + 2(6.25) + 9] = 8.75.
  Using Sage, one can show that T10 = 217/25 = 8.68, T100 = 21667/2500 =
8.6668, and T1000 = 2166667/250000 = 8.666668. These trapezoidal approxima-
tions are indeed approaching the value 8.666... of the integral.

Example 1.3.11. Here is a Python program illustrating the Trapezoidal rule.


f = lambda x: sin(x)
def trapezoidal_rule(fcn,a,b,n):

                                                 25
1.3. SIGMA NOTATION AND RIEMANN SUMS


   """
   Does computation of the Trapezoidal rule approx of int_a^b fcn(x) dx
   using n steps.

   """
   Deltax = (b-a)*1.0/n
   coeffs = [2]*(n-1)
   coeffs = [1]+coeffs+[1]
   valsf = [f(a+Deltax*i) for i in range(n+1)]
   return (Deltax/2)*sum([coeffs[i]*valsf[i] for i in range(n+1)])



Now we paste this into Sage (you may instead paste into Python if you wish)
and see how it works.


sage: f = lambda x: sin(x)
sage: def trapezoidal_rule(fcn,a,b,n):
....:        """
....:    Does computation of the Trapezoidal rule approx of int_a^b fcn(x) dx
....:    using n steps.
....:
....:    """
....:    Deltax = (b-a)*1.0/n
....:    coeffs = [2]*(n-1)
....:    coeffs = [1]+coeffs+[1]
....:    valsf = [f(a+Deltax*i) for i in range(n+1)]
....:    return (Deltax/2)*sum([coeffs[i]*valsf[i] for i in range(n+1)])
....:

sage: integral(f(x),x,0,1)
1 - cos(1)
sage: RR(integral(f(x),x,0,1))
0.459697694131860
sage: trapezoidal_rule(f(x),0,1,4)
0.457300937571502


          1
You see 0 sin(x) dx = 1 − cos(1) = 0.459..., whereas the trapezoidal rule gives
the approximation T4 = 0.457....

1.3.6    Simpson’s rule and Sage
If the graph of f is curved, even the slanted lines may not fit the graph of f as
closely as we would like, and a large number of subintervals may still be needed

                                      26
1.3. SIGMA NOTATION AND RIEMANN SUMS


with the Trapezoidal rule to get a good approximation of the definite integral.
Curves typically fit the graph of f better than straight lines, and the easiest
nonlinear curves are parabolas.




                           Figure 1.31: Piece of a parabola.


Theorem 1.3.4. Three points (x0 , y0 ), (x1 , y1 ), (x2 , y2 ) are needed to determine
the equation of a parabola, and the area under a parabolic region with evenly
spaced xi values (Figure 1.31) is
                                   ∆x
                                      (y0 + 4y1 + y2 ).
                                    3
Theorem 1.3.5. (“Simpson’s Rule”) If f is integrable on [a, b], and [a, b] is
partitioned into an even number n of subintervals of length h = ∆x = b−a , then
                                                                      n
                                b
the Parabolic approximation of a f (x) dx is

       ∆x
Sn =      [f (x0 ) + 4f (x1 ) + 2f (x2 ) + 4f (x3 ) + 2f (x4 ) + ... + 4f (xn−1 ) + f (xn )].
        3
                                                                                 3
Example 1.3.12. Calculate S4 , the Simpson’s rule approximation of               1
                                                                                     f (x) dx,
for the function values tabulated in Figure 1.30.
  Solution: The step size is h = (b − a)/n = (3 − 1)/4 = 1/2. Then

               S4    = h [f (x0 ) + 4f (x1 ) + 2f (x2 ) + 4f (x3 ) + f (x4 )]
                       3
                       1
                     = 6 [4.2 + 4(3.4) + 2(2.8) + 4(3.6) + (3.2)]
                     = 41 = 6.83... .
                       6

Example 1.3.13. Here is a Python program illustrating Simpson’s rule.


f = lambda x: sin(x)
def simpsons_rule(fcn,a,b,n):
   """

                                             27
1.3. SIGMA NOTATION AND RIEMANN SUMS


   Does computation of the Simpson’s rule approx of int_a^b fcn(x) dx
   using n steps. Here n must be an even integer.

   """
   Deltax = (b-a)*1.0/n
   n2 = int(n/2)
   coeffs = [4,2]*n2
   coeffs = [1]+coeffs[:n-1]+[1]
   valsf = [f(a+Deltax*i) for i in range(n+1)]
   return (Deltax/3)*sum([coeffs[i]*valsf[i] for i in range(n+1)])


Now we paste this into Sage and see how it works:


sage: f = lambda x: sin(x)
sage: def simpsons_rule(fcn,a,b,n):
....:        """
....:    Does computation of the Simpson’s rule approx of int_a^b fcn(x) dx
....:    using n steps. Here n must be an even integer.
....:
....:    """
....:    Deltax = (b-a)*1.0/n
....:    n2 = int(n/2)
....:    coeffs = [4,2]*n2
....:    coeffs = [1]+coeffs[:n-1]+[1]
....:    valsf = [f(a+Deltax*i) for i in range(n+1)]
....:    return (Deltax/3)*sum([coeffs[i]*valsf[i] for i in range(n+1)])
....:
sage: integral(f(x),x,0,1)
1 - cos(1)
sage: RR(integral(f(x),x,0,1))
0.459697694131860
sage: simpsons_rule(f(x),0,1,4)
(sin(1) + 4*sin(3/4) + 2*sin(1/2) + 4*sin(1/4))/12
sage: RR(simpsons_rule(f(x),0,1,4))
0.459707744927311
sage: RR(simpsons_rule(f(x),0,1,10))
0.459697949823821


To paste this into Python, you mus first import the sin function.


>>> from math import sin
>>> f = lambda x: sin(x)

                                     28
1.3. SIGMA NOTATION AND RIEMANN SUMS


>>> def simpsons_rule(fcn,a,b,n):
...    """
...    Does computation of the Simpson’s rule approx of int_a^b fcn(x) dx
...    using n steps. Here n must be an even integer.
...
...    """
...    Deltax = (b-a)*1.0/n
...    n2 = int(n/2)
...    coeffs = [4,2]*n2
...    coeffs = [1]+coeffs[:n-1]+[1]
...    valsf = [f(a+Deltax*i) for i in range(n+1)]
...    return (Deltax/3)*sum([coeffs[i]*valsf[i] for i in range(n+1)])
...
>>> simpsons_rule(f,0,1,4)
0.45970774492731092




Using this and the trapezoidal approximation function, we can compare which is
best in this example.


sage: simpsons_rule(f(x),0,1,4)
0.459707744927311
sage: trapezoidal_rule(f(x),0,1,4)
0.457300937571502
sage: simpsons_rule(f(x),0,1,10)
0.459697949823821
sage: trapezoidal_rule(f(x),0,1,10)
0.459314548857976
sage: integral(f(x),x,0,1)
1 - cos(1)
sage: integral(f(x),x,0,1)*1.0
1.00000000000000*(1 - cos(1))
sage: RR(integral(f(x),x,0,1))
0.459697694131860



We see Simpson’s rule wins every time.

1.3.7    Trapezoidal vs. Simpson: Which Method Is Best?
The hardest and slowest part of these approximations, whether by hand or by
computer, is the evaluation of the function at the xi values. For n subintervals,
all of the methods require about the same number of function evaluations. The

                                       29
1.4. THE DEFINITE INTEGRAL


rest of this section discusses ”error bounds” of the approximations so we can
know how close our approximation is to the exact value of the integral even if
we don’t know the exact value.
Theorem 1.3.6. (Error Bound for Trapezoidal Approximation) If the second
derivative of f is continuous on [a, b] and M2 ≥ maxx∈[a,b] |f ′′ (x)|, then the
“error of the Tn approximation” is
                                       b
                                                                   (ba)3
                               |           f (x) dx − Tn | ≤             M2 .
                                   a                               12n2
                                                 3
  The “error bound” formula (ba)2 M2 for the Trapezoidal approximation is a
                                  12n
“guarantee”: the actual error is guaranteed to be no larger than the error bound.
In fact, the actual error is usually much smaller than the error bound. The word
“error” does not indicate a mistake, it means the deviation or distance from the
exact answer.
Example 1.3.14. How large must n be to be certain that Tn is within 0.001 of
 1
 0
   sin(x) dx?
                                                         (ba)3
 Solution: We want to pick n so that                     12n2 M2    ≤ 1/1000. We may take M2 = 1,
     (ba)3            1                          2
so   12n2 M2    =   12n2   ≤ 1/1000, or n ≥ 1000/12. Taking n = 10 will work.
Theorem 1.3.7. (Error Bound for Simpson’s Rule Approximation) If the fourth
derivative of f is continuous on [a, b] and M4 ≥ maxx∈[a,b] |f (4) (x)|, then the
“error of the Sn approximation” is
                                       b
                                                                (ba)5
                               |           f (x) dx − Sn | ≤          M4 .
                                   a                            180n4
Example 1.3.15. How large must n be to be certain that Sn is within 0.001 of
 1
 0
   sin(x) dx?
                                                         (ba)5
 Solution: We want to pick n so that                     180n4 M2   ≤ 1/1000. We may take M2 = 1,
     (ba)5            1                              4
so   180n4 M4   =   180n4   ≤ 1/1000, or n ≥ 1000/180. Taking n = 2 will work.


1.4       The definite integral
Each particular Riemann sum depends on several things: the function f , the
interval [a, b], the partition P of the interval, and the values chosen for ck in
each subinterval. Fortunately, for most of the functions needed for applications,
as the approximating rectangles get thinner (as the mesh of P approaches 0
and the number of subintervals gets bigger) the values of the Riemann sums
approach the same value independently of the particular partition P and the
points ck . For these functions, the limit (as the mesh approaches 0) of the
Riemann sums is the same number no matter how the ck ’s are chosen. This
limit of the Riemann sums is the next big topic in calculus, the definite integral.
Integrals arise throughout the rest of this book and in applications in almost
every field that uses mathematics.

                                                         30
1.4. THE DEFINITE INTEGRAL

                                                         n
Definition 1.4.1. If limmesh(P )→0 k=1 f (ck )∆xk equals a finite number I then
f is said to be (Riemann) integrable on the interval [a, b].
  The number I is called the definite integral of f over [a, b] and is written
 b
 a
   f (x) dx.
                    b
  The symbol a f (x) dx is read “the integral from a to b of f of x dee x”or
“the integral from a to b of f (x) with respect to x.” The lower limit is a,
upper limit is b, the integrand is f (x), and x is sometimes called the dummy
                       b
variable. Note that a f (u) du numerically means exactly the same thing, but
                                                                                                           b
with a different dummy variable. The value of a definite integral a f (x) dx
depends only on the function f being integrated and on the endpoints a and
b. The following integrals each represent the integral of the function f on the
interval [a, b], and they are all equal:
                    b                     b                           b                    b
                        f (x) dx =            f (t) dt =                  f (u) du =           f (z) dz.
                a                     a                           a                    a

Also, note that when the upper limit and the lower limit are the same then the
integral is always 0:
                                                    a
                                                        f (x)dx = 0.
                                                a

There are many other properties, as we will see later.

Example 1.4.1. (Relation between velocity and area)
  Suppose you’re reading a car magazine and there is an article about a new
sports car that has this table in it:

                Time (seconds)                  0        1        2         3    4     5           6
                Speed (mph)                     0        5        15        25   40    50          60

They claim the car drove 1/8th of a mile after 6 seconds, but this just “feels”
wrong... Hmmm... Let’s estimate the distance driven using the formula

                                     distance = rate × time.

We overestimate by assuming the velocity is a constant equal to the max on each
interval:
                                                                                            195
estimate = 5 · 1 + 15 · 1 + 25 · 1 + 40 · 1 + 50 · 1 + 60 · 1 =                                 miles = 0.054...
                                                                                           3600
(Note: there are 3600 seconds in an hour.) But 1/8 ∼ 0.125, so the article
is inconsistent. (Doesn’t this sort of thing just bug you? By learning calculus
you’ll be able to double-check things like this much more easily.)
  Insight! The formula for the estimate of distance traveled above looks exactly
like an approximation for the area under the graph of the speed of the car! In

                                                             31
1.4. THE DEFINITE INTEGRAL


fact, if an object has velocity v(t) at time t, then the net change in position from
time a to b is
                                          b
                                              v(t)dt.
                                      a
  If f is a velocity, then the integrals on the intervals where f is positive measure
the distances moved forward; the integrals on the intervals where f is negative
measure the distances moved backward; and the integral over the whole time
interval is the total (net) change in position, the distance moved forward minus
the distance moved backward.
Practice 1.4.1. A bug starts at the location x = 12 on the x–axis at 1 pm and
walks along the axis in the positive direction with the velocity shown in Figure
1.32. How far does the bug travel between 1 pm and 3 pm, and where is the bug
at 3 pm?




                  Figure 1.32: Velocity of a bug on the x–axis.

Practice 1.4.2. A car is driven with the velocity west shown in Figure 1.33.
  (a) Between noon and 6 pm how far does the car travel?
  (b) At 6 pm, where is the car relative to its starting point (its position at
noon)?




                  Figure 1.33: Velocity of a car on the x–axis.

  Units For the Definite Integral We have already seen that the “area” under
a graph can represent quantities whose units are not the usual geometric units
of square meters or square feet. In general, the units for the definite integral
  b
 a
    f (x)dx are (units for f (x))×(units for x). A quick check of the units can
help avoid errors in setting up an applied problem.
  For example, if x is a measure of time in seconds and f (x) is a velocity with
units feet/second, then ∆x has the units seconds and f (x)∆x has the units

                                              32
1.4. THE DEFINITE INTEGRAL


(feet/second)(seconds) = feet, a measure of distance. Since each Riemann sum
   f (xk )∆xk is a sum of feet and the definite integral is the limit of the Riemann
                               b
sums, the definite integral a f (x)dx, has the same units, feet.
                                                                           b
  If f (x) is a force in grams, and x is a distance in centimeters, then   a
                                                                               f (x)dx
is a number with the units ”gram·centimeters,” a measure of work.

1.4.1    The Fundamental Theorem of Calculus
Example 1.4.2. For the function f (t) = 2, define A(x) to be the area of the
region bounded by the graph of f , the t–axis, and vertical lines at t = 1 and
t = x.

 (a) Evaluate A(1), A(2), A(3), A(4).

 (b) Find an algebraic formula for A(x), for x ≥ 1.
                  d
 (c) Calculate   dx A(x).

 (d) Describe A(x) as a definite integral.

  Solution : (a) A(1) = 0, A(2) = 2, A(3) = 4, A(4) = 6. (b) A(x) = area of a
                                                     d         d
rectangle = (base)×(height) = (x−1)·(2) = 2x−2. (c) dx A(x) = dx (2x−2) = 2.
              x
(d) A(x) = 1 2 dt.

Practice 1.4.3. Answer the questions in the previous Example for f (t) = 3.

  A curious “coincidence” appeared in this Example and Practice problem: the
derivative of the function defined by the integral was the same as the integrand,
the function “inside” the integral. Stated another way, the function defined
by the integral was an “antiderivative” of the function “inside” the integral.
We will see that this is no coincidence: it is an important property called The
Fundamental Theorem of Calculus.
  Let f be a continuous function on the interval [a, b].

Theorem 1.4.1. (“Fundamental Theorem of Calculus”) If F (x) is any differ-
entiable function on [a, b] such that F ′ (x) = f (x), then
                                 b
                                     f (x)dx = F (b) − F (a).
                             a

  The above theorem is incredibly useful in mathematics, physics, biology, etc.
One reason this is amazing, is because it says that the area under the entire
curve is completely determined by the values of a (“magic”) auxiliary function
at only 2 points. It’s hard to believe. It reduces computing (1.4.1) to finding
a single function F , which one can often do algebraically, in practice. Whether
or not one should use this theorem to evaluate an integral depends a lot on the
application at hand, of course. One can also use a partial limit via a computer
for certain applications (numerical integration).

                                             33
1.4. THE DEFINITE INTEGRAL


Example 1.4.3. I’ve always wondered exactly what the area is under a “hump”
of the graph of sin. Let’s figure it out, using F (x) = − cos(x).
                π
                    sin(x)dx = − cos(π) − (− cos(0)) = −(−1) − (−1) = 2.
            0

  In Sage, you can do this both “algebraically” and “numerically” as follows.


sage: f = lambda x: sin(x)
sage: integral(f(x),x,0,pi)
2
sage: numerical_integral(f(x),0,pi)
(1.9999999999999998, 2.2204460492503128e-14)



For the “algebraic” computation, Sage knows how to integrate sin(x) exactly,
                   π
so can compute 0 sin(x)dx = 2 using its integral command4 . On the last
line of output, the first entry is the approximation, and the second is the error
bound. For the “numerical” computation, Sage obtains5 the approximation
  π
  0
    sin(x)dx ≈ 1.99999... by taking enough terms in a Riemann sum to achieve
a very small error. (A lot of theory of numerical integration goes into why
numerical_integral works correctly, but that would take us too far afield to
explain here.)

Example 1.4.4. Let [...] denote the “greatest integer” (or “floor”) function, so
                                                    3/2
[1/2] = [0.5] = 0 and [3/2] = [1.5] = 1. Evaluate 1/2 [x] dx. (The function of
y = [x] is sometimes called the “staircase function” because of the look of its
discontinuous graph, Figure 1.34.)




                Figure 1.34: Plot of the “greatest integer” function.

  Solution: f (x) = [x] is not continuous at x = 1 in the interval [1/2.3/2] so
the Fundamental Theorem of Calculus can not be used. We can, however, use
                                                                      3/2
our understanding of the meaning of an integral as an area to get 1/2 [x] dx
   4 In fact, Sage includes Maxima (http://maxima.sf.net) and calls Maxima to compute

this integral.
   5 In fact, Sage includes the GNU Scientific Library (http://www.gnu.org/software/gsl/)

and calls it to approximate this integral.


                                           34
1.4. THE DEFINITE INTEGRAL


= (area under y = 0 between 0.5 and 1) + (area under y = 1 between 1 and
1.5)=0 + 1/2 = 1/2.
  Now, let’s try something illegal - using the Fundamental Theorem of Calculus
to evaluate this. Pretend for the moment that the Fundamental Theorem of
Calculus is valid for discontinuous functions too. Let

                                           1, 1/2 ≤ x ≤ 1,
                          F (x) =
                                           x, 1 < x ≤ 3/2.

This function F is continuous and satisfies F ′ (x) = [x] for all x in [1/2, 3/2]
except x = 1 (where f (x) = [x] is discontinuous), so this F could be called an
                                                                     3/2
“antiderivative” of f . If we use it to evaluate the integral we get 1/2 [x] dx =
     3/2
F (x)|1/2 = 3/2 − 1 = 1/2. This is correct. (Surprised?) Let’s try another
antiderivative. Let

                                           2, 1/2 ≤ x ≤ 1,
                          F (x) =
                                           x, 1 < x ≤ 3/2.

This function F also satisfies F ′ (x) = [x] for all x in [1/2, 3/2] except x = 1. If
                                          3/2                3/2
we use it to evaluate the integral we get 1/2 [x] dx = F (x)|1/2 = 3/2−2 = −1/2.
This doesn’t even have the right sign (the integral of a non-negative function
must be non-negative!), so it must be wrong. Moral of the story: In general, the
Fundamental Theorem of Calculus is false for discontinuous functions.



  But does such an F as in the fundamental theorem of calculus (Theorem 1.4.1)
always exist? The surprising answer is “yes”.
                                  x
Theorem 1.4.2. Let F (x) =        a
                                      f (t)dt. Then F ′ (x) = f (x) for all x ∈ [a, b].

  Note that a “nice formula” for F can be hard to find or even provably non-
existent.
  The proof of Theorem 1.4.2 is somewhat complicated but is given in complete
detail in many calculus books, and you should definitely (no pun intended) read
and understand it.
  Proof: [Sketch of Proof] We use the definition of derivative.

                                  F (x + h) − F (x)
                  F ′ (x) = lim
                           h→0            h
                                          x+h                   x
                         = lim                  f (t)dt −           f (t)dt /h
                           h→0        a                     a
                                          x+h
                         = lim                  f (t)dt /h
                           h→0        x



                                                35
1.4. THE DEFINITE INTEGRAL

                                                                      x+h
Intuitively, for h sufficiently small f is essentially constant, so x f (t)dt ∼
hf (x) (this can be made precise using the extreme value theorem). Thus

                                    x+h
                         lim              f (t)dt /h = f (x),
                        h→0       x


which proves the theorem.


1.4.2    Problems
In problems 1 – 4 , rewrite the limit of each Riemann sum as a definite integral.

                      n
  1. limmesh(P )→0    k=1 (2   + 3ck )∆xk on the interval [0, 4].
                      n
  2. limmesh(P )→0    k=1   cos(5ck )∆xk on the interval [0, 11].
                      n    3
  3. limmesh(P )→0    k=1 ck ∆xk      on the interval [2, 5].
                      n
  4. limmesh(P )→0    k=1 ck ∆xk      on the interval [2, 5].

  5. Write as a definite integral (don’t evaluate it though): The region bounded
     by y = x3 , the x–axis, the line x = 1, and x = 5.

  6. Write as a definite integral (don’t evaluate it though): The region bounded
            √
     by y = x, the x–axis, and the line x = 9.

  7. Write as a definite integral (do evaluate it, using geometry formulas): The
     region bounded by y = 2x, the x–axis, the line x = 1, and x = 3.

  8. Write as a definite integral (do evaluate it, using geometry formulas): The
     region bounded by y = |x|, the x–axis, and the line x = −1.

  9. For f (x) = 3 + x, partition the interval [0, 2] into n equally wide subinter-
     vals of length ∆x = 2/n.
     (a) Write the lower sum for this function and partition, and calculate
     the limit of the lower sum as n → ∞. (b) Write the upper sum for this
     function and partition and find the limit of the upper sum as n → ∞.

 10. For f (x) = x3 , partition the interval [0, 2] into n equally wide subintervals
     of length ∆x = 2/n.
     (a) Write the lower sum for this function and partition, and calculate the
     limit of the lower sum as n → ∞.
     (b) Write the upper sum for this function and partition and find the limit
     of the upper sum as n → ∞.

                                            36
1.4. THE DEFINITE INTEGRAL


1.4.3     Properties of the definite integral
Definite integrals are defined as limits of Riemann sums, and they can be inter-
preted as “areas” of geometric regions. This section continues to emphasize this
geometric view of definite integrals and presents several properties of definite
integrals. These properties are justified using the properties of summations and
the definition of a definite integral as a Riemann sum, but they also have natural
interpretations as properties of areas of regions. These properties are used in
this section to help understand functions that are defined by integrals. They
will be used in future sections to help calculate the values of definite integrals.
  Since integrals are a lot like sums (they are, after all, limits of them), their
properties are similar too. Here is the integral analog of Theorem 1.3.1.
Theorem 1.4.3. (Integral Properties)
                                                          b
   • Integral of a constant function:                     a
                                                               c dx = c · (b − a).
                  b                                       b                       b
   • Addition:    a
                    (f (x)   + g(x)) dx =                 a
                                                              f (x) dx +          a
                                                                                      g(x) dx.
                     b                                          b                      b
   • Subtraction:    a
                       (f (x)   − g(x)) dx =                    a
                                                                    f (x) dx −         a
                                                                                           g(x) dx.
                               b                                    b
   • Constant Multiple:        a
                                   c · f (x) dx = c                 a
                                                                        f (x) dx.
   • Preserves positivity: If f (x) ≥ g(x) on for all x ∈ [a, b], then

                                            b                             b
                                                f (x) dx ≥                    g(x) dx.
                                        a                             a
      In particular, if f (x) ≥ 0 on for all x ∈ [a, b], then

                                                      b
                                                          f (x) dx ≥ 0.
                                                  a

                                   b                            c                     c
   • Additivity of ranges:         a
                                       f (x) dx +              b
                                                                    f (x) dx =        a
                                                                                           f (x) dx.

 Here are some other properties.
Theorem 1.4.4.
                                                     b
          (b − a) · ( min f (x)) ≤                       f (x) dx ≤ (b − a) · ( min f (x)).
                    x∈[a,b]                      a                                          x∈[a,b]

  Which Functions Are Integrable? This important question was finally an-
swered in the 1850s by Georg Riemann, a name that should be familiar by
now. Riemann proved that a function must be badly discontinuous to not be
integrable.
Theorem 1.4.5. Every continuous function is integrable. If f is continuous on
                                          n
the interval [a, b], then limmesh(P )→0 ( k=1 f (ck )∆xk ) is always the same finite
                      b
number, namely, a f (x) dx, so f is integrable on [a, b].

                                                          37
1.4. THE DEFINITE INTEGRAL




                 Figure 1.35: Plot illustrating Theorem 1.4.4.


  In fact, a function can even have any finite number of breaks and still be
integrable.

Theorem 1.4.6. Every bounded, piecewise continuous function is integrable.
If f is defined and bounded ( for all x in [a, b], M ≤ f (x) ≤ M for some
M > 0), and continuous except at a finite number of points in [a, b], then
                 n                                                        b
limmesh(P )→0 ( k=1 f (ck )∆xk ) is always the same finite number, namely, a f (x) dx,
so f is integrable on [a, b].

Example 1.4.5. (A Nonintegrable Function)
 Though rarely encountered in “everyday practice”, there are functions for
which the limit of the Riemann sums does not exist, and those functions are
not integrable.
 A nonintegrable function: The function

                              1,    if x is a rational number,
                  f (x) =
                              0,    if x is an irrational number
is not integrable on [0, 1].
  Proof: For any partition P , suppose that you, a very rational (pun intended)
person, always select values of ck which are rational numbers. (Every subinterval
contains rational numbers and irrational numbers, so you can always pick ck to
be a rational number.) Then f (ck ) = 1, and your Riemann sum is always
                        n                    n
                YP =         f (ck )∆xk =         ∆xk = xn − x0 = 1.
                       k=1                  k=1

Suppose your friend, however, always selects values of ck which are irrational
numbers. Then f (ck ) = 0, and your friend’s Riemann sum is always
                              n                    n
                    FP =           f (ck )∆xk =         0 · ∆xk = 0.
                             k=1                  k=1


                                            38
1.4. THE DEFINITE INTEGRAL


Now, take finer and finer partitions P so that mesh(P ) → 0. Keep in mind that,
no matter how you refine P , you can always make “rational choices” for ck and
your friend can always make “irrational choices”. We have limmesh(P )→0 YP = 1
and limmesh(P )→0 FP = 0, so the limit of the Riemann sums doesn’t have a
unique value. Therefore the limit
                                             n
                                lim      (        f (ck )∆xk )
                            mesh(P )→0
                                          k=1

does not exist, so f is not integrable.

1.4.4       Problems
Problems 1 – 20 refer to the graph of f in Figure 1.36. Use the graph to
determine the values of the definite integrals. (The bold numbers represent the
area of each region.)




                         Figure 1.36: Plot for problems.

        3
  1.    0
            f (x) dx
        5
  2.    3
            f (x) dx
        2
  3.    2
            f (x) dx
        7
  4.    6
            f (x) dx
        5
  5.    0
            f (x) dx
        7
  6.    0
            f (x) dx
        6
  7.    3
            f (x) dx
        7
  8.    5
            f (x) dx
        0
  9.    3
            f (x) dx

                                             39
1.4. THE DEFINITE INTEGRAL

       3
 10.   5
           f (x) dx

       0
 11.   6
           f (x) dx

       3
 12.   0
           2f (x) dx

       4
 13.   4
           f (x)2 dx

       3
 14.   0
           1 + f (t) dt

       3
 15.   0
           x + f (x) dx

       5
 16.   3
           3 + f (x) dx

       5
 17.   0
           2 + f (x) dx

       5
 18.   3
           |f (x)| dx

       3
 19.   7
           1 + |f (x)| dx

  For problems 21–28, sketch the graph of the integrand function and use it to
help evaluate the integral. (|...| denotes the absolute value and [...] denotes the
integer part.)

       4
 21.   0
           |x| dx,

       4
 22.   0
           1 + |x| dx,

       2
 23.   −1
            |x| dx,

       2
 24.   1
           |x| − 1 dx,

       3
 25.   1
         [x] dx,

       3.5
 26.   1
           [x] dx,

       3
 27.   1
           2 + [x] dx,

       1
 28.   3
         [x] dx.

                                        40
1.5. AREAS, INTEGRALS, AND ANTIDERIVATIVES


1.5        Areas, integrals, and antiderivatives
This section explores properties of functions defined as areas and examines some
of the connections among areas, integrals and antiderivatives. In order to focus
on the geometric meaning and connections, all of the functions in this section are
nonnegative, but the results are generalized in the next section and proved true
for all continuous functions. This section also introduces examples to illustrate
how areas, integrals and antiderivatives can be used. When f is a continuous,
                                                          x
nonnegative function, then the “area function” A(x) = a f (t) dt represents the
area between the graph of f , the t–axis, and between the vertical lines at t = a
and t = x (Figure 1.37), and the derivative of A(x) represents the rate of change
(growth) of A(x).




                     Figure 1.37: Plot of an “area function”.

  Let F (x) be a differentiable function. Call F (x) an antiderivative of f (x) if
 d
dx F (x) = f (x). We have seen examples which showed that, at least for some
functions f , the derivative of A(x) was equal to f so A(x) was an antiderivative
of f . The next theorem says the result is true for every continuous, nonnegative
function f .
Theorem 1.5.1. (“The Area Function is an Antiderivative”) If f is a contin-
                                                    x         d x
uous nonnegative function, x ≥ a, and A(x) = a f (t) dt then dx a f (t) dt =
 d
dx A(x) = f (x), so A(x) is an antiderivative of f (x).

  This result relating integrals and antiderivatives is a special case (for non-
negative functions f ) of the Fundamental Theorem of Calculus. This result is
important for two reasons:

     • it says that a large collection of functions have antiderivatives, and
     • it leads to an easy way of exactly evaluating definite integrals.

 x
                                d    x
Example 1.5.1. Let G(x) = dx 0 cos(t)dt. Evaluate G(x) for x = π/4, π/2,
and 3π/4.
                                                            x
  Solution: It is not hard to plot the graph of A(x) = 0 cos(t)dt = sin(x)
(Figure 1.38). By the theorem, A′ (x) = G(x) = cos(x) so A′ (π/4) = cos(π/4) =
.707..., A′ (π/2) = cos(π/2) = 0, and A′ (3π/4) = cos(3/4) = −0.707... .

                                         41
1.5. AREAS, INTEGRALS, AND ANTIDERIVATIVES




                                         x
              Figure 1.38: Plot of y =   0
                                             G(t) dt and y = G(x).


Here is the plot of y = A(x) and y = G(x):
Incidentally, this was created using the following Sage commands.


sage:   P = plot(cos(x),x,0,2*pi,linestyle="--")
sage:   Q = plot(sin(x),x,0,2*pi)
sage:   R = text("$y=A(x) = sin(x)$",(3.1,1))
sage:   S = text("$y=G(x) = cos(x)$",(6.8,0.7))
sage:   show(P+Q+R+S)


Theorem 1.5.2. (“Antiderivatives and Definite Integrals”) If f is a continu-
ous, nonnegative function and F is any antiderivative of f (F ′ (x) = f (x)) on
the interval [a, b], then


          area bounded between the graph
                                                 b
              of f and the x–axis and      =     a
                                                     f (x) dx = F (b) − F (a).
         vertical lines at x = a and x = b

  The problem of finding the exact value of a definite integral reduces to finding
some (any) antiderivative F of the integrand and then evaluating F (b)F (a).
Even finding one antiderivative can be difficult, and, for now, we will stick to
functions which have easy antiderivatives. Later we will explore some methods
for finding antiderivatives of more difficult functions.
  The evaluation F (b) − F (a) is represented by the symbol F (x)|b .
                                                                  a

                            3
Example 1.5.2. Evaluate     1
                                x dx in two ways:

 (a) By sketching the graph of y = x and geometrically finding the area.

 (b) By finding an antiderivative of F (x) of f and evaluating F (3) − F (1).

                                       42
1.5. AREAS, INTEGRALS, AND ANTIDERIVATIVES


 Solution: (a) The graph of y = x is a straight line, so the area is a triangle
                                   1
which geometrical formulas (area= 2 bh) tell us has area 4.
 (b) One antiderivative of x is F (x) = 1 x2 (check that dx ( 1 x2 ) = x), and
                                        2
                                                          d
                                                              2

                                               1 2 1 2
                   F (x)|3 = F (3) − F (1) =
                         1                       3 − 1 = 4,
                                               2      2
which agrees with (a). Suppose someone chose another antiderivative of x, say
F (x) = 1 x2 + 7 (check that dx ( 1 x2 + 7) = x), then
        2
                              d
                                  2

                                       1           1
            F (x)|3 = F (3) − F (1) = ( 32 + 7) − ( 12 + 7) = 4.
                  1
                                       2           2
No matter which antiderivative F is chosen, F (3) − F (1) equals 4.
                            3
Practice 1.5.1. Evaluate    1
                              (x − 1) dx   in the two ways of the previous example.

Practice 1.5.2. Find the area between the graph of y = 3x2 and the horizontal
axis for x between 1 and 2.

1.5.1    Integrals, Antiderivatives, and Applications
The antiderivative method of evaluating definite integrals can also be used when
we need to find an “area,” and it is useful for solving applied problems.

Example 1.5.3. Suppose that t minutes after putting 1000 bacteria on a petri
plate the rate of growth of the population is 6t bacteria per minute.

 (a) How many new bacteria are added to the population during the first 7
     minutes?

 (b) What is the total population after 7 minutes?

 (c) When will the total population be 2200 bacteria?

  Solution: (a) The number of new bacteria is the area under the rate of growth
                                                            d
graph, and one antiderivative of 6t is 3t2 (check that dx (3t2 ) = 6t) so new
              7
bacteria = 0 6t dt = 3t2 |7 = 147.
                           0
  (b) The new population = (old population) + (new bacteria) = 1000 + 147 =
1147 bacteria.
  (c) If the total population is 2200 bacteria, then there are 2200 − 1000 = 1200
new bacteria, and we need to find the time T needed for that many new bacteria
                                     T
to occur. 1200 new bacteria = 0 6t dt = 3t2 |T = 3(T )2 − 3(0)2 = 3T 2 so
                                                   0
  2
T = 400 and T = 20 minutes. After 20 minutes, the total bacteria population
will be 1000 + 1200 = 2200.

Practice 1.5.3. A robot has been programmed so that when it starts to move,
its velocity after t seconds will be 3t2 feet/second.

 (a) How far will the robot travel during its first 4 seconds of movement?

                                       43
1.5. AREAS, INTEGRALS, AND ANTIDERIVATIVES


 (b) How far will the robot travel during its next 4 seconds of movement?
 (c) How many seconds before the robot is 729 feet from its starting place?
(Hint: an antiderivative of 3t2 is t3 .)
Practice 1.5.4. The velocity of a car after t seconds is 2t feet per second.
 (a) How far does the car travel during its first 10 seconds?
 (b) How many seconds does it take the car to travel half the distance in part
     (a)?

1.5.2     Indefinite Integrals and net change
We’ve seen how integrals can be interpreted using area. In this section, we will
see how integrals can be interpreted physically as the “net change” of a quantity.
  The notation f (x)dx = F (x) means that F ′ (x) = f (x) on some (usually
specified) domain of definition of f (x). Recall, we call such an F (x) an an-
tiderivative of f (x).
Proposition 1.5.1. Suppose f is a continuous function on an interval (a, b).
Then any two antiderivatives differ by a constant.
 Proof: If F1 (x) and F2 (x) are both antiderivatives of a function f (x), then
             (F1 (x) − F2 (x))′ = F1 (x) − F2 (x) = f (x) − f (x) = 0.
                                   ′        ′


Thus F1 (x) − F2 (x) = c from some constant c (since only constant functions
have slope 0 everywhere). Thus F1 (x) = F2 (x) + c as claimed.
  We thus often write
                             f (x)dx = F (x) + C,

where C is an unspecified constant.
  Note that the proposition need not be true if f is not defined on a whole
interval. For example, f (x) = 1/x is not defined at 0. For any pair of constants
c1 , c2 , the function
                                   ln(|x|) + c1 x < 0,
                          F (x) =
                                   ln(x) + c2   x > 0,
satisfies F ′ (x) = f (x) for all x = 0. We often still just write 1/x = ln(|x|) + c
anyways, meaning that this formula is supposed to hold only on one of the
intervals on which 1/x is defined (e.g., on (−∞, 0) or (0, ∞)).
  We pause to emphasize the notation difference between definite and indefinite
integration.
                           b
                               f (x)dx = a specific number
                       a

                               f (x)dx = a (family of) functions



                                            44
1.5. AREAS, INTEGRALS, AND ANTIDERIVATIVES


  There are no small families in the world of antiderivatives: if f has one an-
tiderivative F (as it always does, unless f is a really unusual function), then f
has an infinite number of antiderivatives and every one of them has the form
F (x) + C.
Example 1.5.4. There are many ways to write a particular indefinite inte-
gral and some of them may look very different. You can check that F (x) =
sin(x)2 , G(x) = − cos(x)2 , and H(x) = 2 sin(x)2 + cos(x)2 all have the same
derivative f (x) = 2 sin(x) cos(x), so the indefinite integral of 2 sin(x) cos(x),
  2 sin(x) cos(x) dx, can be written in several ways: sin(x)2 +C, or − cos(x)2 +C,
or 2 sin(x)2 + cos(x)2 + C.
  One of the main goals of this course is to help you to get really good at
computing f (x)dx for various functions f (x). It is useful to memorize a table
of examples, such as the one in the appendix below, since often the trick to
integration is to relate a given integral to one you know. Integration is like
solving a puzzle or playing a game, and often you win by moving into a position
where you know how to defeat your opponent, e.g., relating your integral to
integrals that you already know how to do. If you know how to do a basic
collection of integrals, it will be easier for you to see how to get to a known
integral from an unknown one.
  Whenever you successfully compute F (x) = f (x)dx, then you’ve constructed
                                                                       b
a mathematical gadget that allows you to very quickly compute a f (x)dx for
any a, b (in the interval of definition of f (x)). The gadget is F (b) − F (a). This
is really powerful.
Example 1.5.5.
                             1                                   1
               x2 + 1 +          dx =     x2 dx +   1dx +            dx
                          x2 + 1                              x2 + 1
                                        1 2
                                   =      x + x + tan−1 (x) + c.
                                        3
Example 1.5.6.
                          5        √                 √
                            dx =        5x−1/2 dx = 2 5x1/2 + c.
                          x
Example 1.5.7.
            sin(2x)           2 sin(x) cos(x)
                    dx =                      =     2 cos(x) = 2 sin(x) + c
             sin(x)                sin(x)
 Particular Antiderivatives: You can verify the following yourself.
   • Constant Function:       k dx = kx + C
                                xn+1
   • Powers of x:     xn dx =   n+1    + C,
     n = −1.
        x−1 dx = ln(x) + C.
      Common special cases:

                                          45
1.5. AREAS, INTEGRALS, AND ANTIDERIVATIVES

                √
           –         x dx = 2 x3/2 + C.
                            3
                     1
           –        √
                      x
                          dx = 2x1/2 + C.

      • Trigonometric Functions:
                              1
          cos(ax) dx =        a   sin(x) + C.
                          1
          sin(ax) dx = − a cos(x) + C.
                         1
          sec(ax)2 dx = a tan(x) + C.
                            1
          csc(ax)2 dx = − a cot(x) + C.
                               1
          sec(ax) tan(x) dx = a sec(x) + C.
                                 1
          csc(ax) cot(x) dx = − a csc(x) + C.
        Common special cases:

           –    cos(x) dx = sin(x) + C.
           –    sin(x) dx = − cos(x) + C.

1.5.3       Physical Intuition
In the previous lecture we mentioned a relation between velocity, distance, and
the meaning of integration, which gave you a physical way of thinking about
integration. In this section we generalize our previous observation.
  The following is a restatement of the fundamental theorem of calculus.

Theorem 1.5.3. (Net Change Theorem) The definite integral of the rate of
change f ′ (x) of some quantity f (x) is the net change in that quantity:
                                          b
                                              f ′ (x) dx = f (b) − f (a).
                                      a

  For example, if p(t) is the population of your hometown at time t, then p′ (t)
is the rate of change. If p′ (t) is positive then your hometown is growing. The
net change interpretation of integration is that
  t2
       p′ (t) dt = p(t2 )−p(t1 ) = change in number of residents from time t1 to t2 .
 t1

  Another very common example you’ll seen in problems involves water flow into
or out of something. If the volume of water in your bathtub is V (t) gallons at
time t (in seconds), then the rate at which your tub is draining is V ′ (t) gallons
per second. If you have the geekiest drain imaginable, it prints out the drainage
rate V ′ (t). You can use that printout to determine how much water drained out
from time t1 to t2 :
                t2
                     V ′ (t) dt = water that drained out from time t1 to t2
               t1


                                                        46
1.5. AREAS, INTEGRALS, AND ANTIDERIVATIVES


  Some problems will try to confuse you with different notions of change. A
standard example is that if a car has velocity v(t), and you drive forward, then
slam it in reverse and drive backward to where you start (say 10 seconds total
elapse), then v(t) is positive some of the time and negative some of the time.
                10
The integral 0 v(t)dt is not the total distance registered on your odometer,
since v(t) is partly positive and partly negative. If you want to express how far
                                                        10
you actually drove going back and forth, compute 0 |v(t)|dt. The following
example emphasizes this distinction:

Example 1.5.8. A bug is pacing back and forth, and has velocity v(t) =
t2 − 2t − 8. Find
  (1) the displacement of the bug from time t = 1 until time t = 6 (i.e., how
far the bug is at time 6 from where it was at time 1), and
  (2) the total distance the bug paced from time t = 1 to t = 6.
  For (1), we compute
                          6                                           6
                                                    1 3                        10
                              (t2 − 2t − 8) dt =      t − t2 − 8t         =−      .
                      1                             3                 1        3

 For (2), we compute the integral of |v(t)|:
     6                                                  4                        6
                                    1 3                         1 3                            44   98
         |t2 − 2t − 8| dt = −         t − t2 − 8t           +     t − t2 − 8t         = 18 +      =    .
 1                                  3                   1       3                4              3    3

1.5.4         Problems
     1. Two objects start from the same location and travel along the same path
        with velocities vA (t) = t + 3 and vB (t) = t2 4t + 3 meters per second. How
        far ahead is A after 3 seconds? After 5 seconds?

     2. Sketch the graph of each function and find the area between the graphs
        of f (x) = x2 + 3, g(x) = 1 and −1 ≤ x ≤ 2.

     3. Sketch the graph of each function and find the area between the graphs
        of f (x) = x2 + 3, g(x) = 1 + x and 0 ≤ x ≤ 3.

     4. Sketch the graph of each function and find the area between the graphs
        of f (x) = x2 , g(x) = x and 0 ≤ x ≤ 2.

     5. Sketch the graph of each function and find the area between the graphs
        of f (x) = x + 1, g(x) = cos(x) and 0 ≤ x ≤ π/4.

     6. If f (t) denoted the velocity of a bug traveling along a line at time t, find
        the distance traveled in the first 4 seconds.

     7. If f (t) denoted the velocity of a bug traveling along a line at time t, find
        the distance traveled in the first 4 seconds.

                                                   47
1.6. SUBSTITUTION AND SYMMETRY




                   Figure 1.39: Velocity of bug at time t.




                   Figure 1.40: Velocity of bug at time t.


1.6     Substitution and Symmetry
Remarks:
                                             t
  1. The total distance traveled is t12 |v(t)|dt since |v(t)| is the rate of
     change of F (t) = distance traveled (your speedometer displays the rate of
     change of your odometer).

                       b
  2. How to compute    a
                           |f (x)|dx.

      (a) Find the zeros of f (x) on [a, b], and use these to break the interval
          up into subintervals on which f (x) is always ≥ 0 or always ≤ 0.
      (b) On the intervals where f (x) ≥ 0, compute the integral of f , and on
          the intervals where f (x) ≤ 0, compute the integral of −f .
      (c) The sum of the above integrals on intervals is     |f (x)|dx.

  This section is primarily about a powerful technique for computing definite
and indefinite integrals.

                                        48
1.6. SUBSTITUTION AND SYMMETRY


1.6.1    The Substitution Rule
In first quarter calculus you learned numerous methods for computing deriva-
tives of functions. For example, the power rule asserts that

                                    (xa )′ = a · xa−1 .

We can turn this into a way to compute certain integrals:
                                      1
                         xa dx =         xa+1         if a = −1.
                                     a+1
  Just as with the power rule, many other rules and results that you already
know yield techniques for integration. In general integration is potentially much
trickier than differentiation, because it is often not obvious which technique to
use, or even how to use it. Integration is a more exciting than differentiation!
  Recall the chain rule, which asserts that
                            d
                              f (g(x)) = f ′ (g(x))g ′ (x).
                           dx
We turn this into a technique for integration as follows:

Proposition 1.6.1. (Substitution Rule) Let u = g(x), we have

                            f (g(x))g ′ (x)dx =       f (u)du,

assuming that g(x) is a function that is differentiable and whose range is an
interval on which f is continuous.

 Proof: Since f is continuous on the range of g, Theorem 1.4.2 (the funda-
mental theorem of Calculus) implies that there is a function F such that F ′ = f .
Then


              f (g(x))g ′ (x)dx =      F ′ (g(x))g ′ (x)dx

                                          d
                               =            F (g(x)) dx
                                         dx
                               = F (g(x)) + C

                               = F (u) + C =         F ′ (u)du =   f (u)du.


  If u = g(x) then du = g ′ (x)dx, and the substitution rule simply says if you let
u = g(x) formally in the integral everywhere, what you naturally would hope to
be true based on the notation actually is true. The substitution rule illustrates
how the notation Leibniz invented for Calculus is incredibly brilliant. It is said

                                            49
1.6. SUBSTITUTION AND SYMMETRY


that Leibniz would often spend days just trying to find the right notation for a
concept. He succeeded.
  As with all of Calculus, the best way to start to get your head around a new
concept is to see severally clearly worked out examples. (And the best way to
actually be able to use the new idea is to do lots of problems yourself!) In this
section we present examples that illustrate how to apply the substitution rule
to compute indefinite integrals.
Example 1.6.1.
                                    x2 (x3 + 5)9 dx

Let u = x3 + 5. Then du = 3x2 dx, hence dx = du/(3x2 ). Now substitute it all
in:
                                  1 9     1 10    1 3
                x2 (x3 + 5)9 dx =   u =     u =     (x + 5)10 .
                                  3      30      30
There’s no point in expanding this out: “only simplify for a purpose!”
Example 1.6.2.
                                         ex
                                              dx
                                       1 + ex
Substitute u = 1 + ex . Then du = ex dx, and the integral above becomes
                        du
                           = ln |u| = ln |1 + ex | = ln(1 + ex ).
                         u
Note that the absolute values are not needed, since 1 + ex > 0 for all x.
Example 1.6.3.
                                         x2
                                       √    dx
                                        1−x
Keeping in mind the power rule, we make the substitution u = 1 − x. Then
du = −dx. Noting that x = 1 − u by solving for x in u = 1 − x, we see that the
above integral becomes

                (1 − u)2           1 − 2u + u2
            −      √     du = −                du
                    u                 u1/2
                           =−      u−1/2 − 2u1/2 + u3/2 du

                                        4    2
                           = − 2u1/2 − u3/2 + u5/2
                                        3    5
                                          4          2
                                      1/2
                           = −2(1 − x) + (1 − x)3/2 − (1 − x)5/2 .
                                          3          5
 The steps of the “change of variable” method can be summarized as
  1. set a new variable, say u , equal to some function of the original variable
     x (usually u is set equal to some part of the original integrand function),

                                         50
1.6. SUBSTITUTION AND SYMMETRY


  2. calculate the differential du as a function of dx,
  3. rewrite the original integral in terms of u and du,
  4. integrate the new integral to get an answer in terms of u,
  5. replace the u in the answer to get an answer in terms of the original
     variable.
  A “Rule of thumb” for changing the variable: If part of the integrand is
a composition of functions, f (g(x)), then try setting u = g(x), the “inner”
function.
Example 1.6.4. elect a function for u for each integral and rewrite the integral
in terms of u and du.
                                            5ex
  (a)    cos(3x) 2 + sin(3x) dx, (b)       2+ex dx,    (c)    ex sin(ex ) dx.
  Solution: (a) Put u = 2 + sin(3x). Then du = 3 cos(3x) dx, and the integral
           1√
becomes 3 u du.
                                                                    5
  (b) Put u = 2 + ex . Then du = ex dx, and the integral becomes u du.
               x              x
  (c) Put u = e . Then du = e dx, and the integral becomes sin(u) du.

1.6.2     Substitution and definite integrals
Once an antiderivative in terms of u is found, we have a choice of methods. We
can
 (a) rewrite our antiderivative in terms of the original variable x, and then
     evaluate the antiderivative at the integration endpoints and subtract, or
 (b) change the integration endpoints to values of u, and evaluate the an-
     tiderivative in terms of u before subtracting.
If the original integral had endpoints x = a and x = b, and we make the sub-
stitution u = g(x) and du = g ′ (x)dx, then the new integral will have endpoints
u = g(a) and u = g(b):

        x=b                                          u=g(b)
              (original integrand) dx becomes                 (new integrand) du.
        x=a                                         u=g(a)

Example 1.6.5. To evaluate
                                      1
                                          (3x − 1)4 dx,
                                  0
we can, in line with the “Rule of thumb” above, use the substitution u = 3x − 1.
             d
Then du = dx (3x − 1)dx = 3dx, so the indefinite integral (3x − 1)4 dx becomes
  1 4        1
  3 u du = 15 u5 + C.
  (a) Converting our antiderivative back to the variable x and evaluating with
the original endpoints:

                                             51
1.6. SUBSTITUTION AND SYMMETRY


          1
                             1                    32 −1      11
              (3x − 1)4 dx = ( (3x − 1)5 + C)|1 =
                                              0      −     =    = 2.2.
        0                   15                    15   15     5
  (b) Converting the integration endpoints to values of u : when x = 0, then
u = 3x − 1 = 3 · 0 − 1 = −1, and when x = 1, then u = 3x − 1 = 3 · 1 − 1 = 2 so
               1                    2
                                         1 4        1           11
                   (3x − 1)4 dx =          u du = ( u5 + C)|2 =
                                                            −1     = 2.2.
           0                        −1   3         15            5
Both approaches typically involve about the same amount of work and calcula-
tion. Of course, these approaches lead to the same numerical answer, by the
“substitution rule” (Proposition 1.6.1).
  Here’s how to do this using Sage. Note that the area under the two curves
plotted below, y = (3x − 1)4 , 0 < x < 1, and y = x4 /3, −1 < x < 2, are the
same.


sage:   x,u = var("x,u")
sage:   integral((3*x-1)^4,x,0,1)
11/5
sage:   integral(u^4/3,u,-1,2)
11/5
sage:   P = plot((3*x-1)^4,x,0,1,rgbcolor=(0.7,0.1,0.5), plot_points=40)
sage:   Q = plot(u^4/3,u,-1,2,linestyle=":")
sage:   R = text("$y=(3x-1)^4$",(1.4,12))
sage:   S = text("$y=x^4/3$",(2,2.5))
sage:   plot(P+Q+R+S)




                    Figure 1.41: Plots of y = (3x − 1)4 and y = x4 /3.



1.6.3    Symmetry
An odd function is a function f (x) (defined for all reals) such that f (−x) =
−f (x), and an even function one for which f (−x) = f (x). If f is an odd

                                              52
1.6. SUBSTITUTION AND SYMMETRY


function, then for any a,
                                        a
                                              f (x)dx = 0.
                                        −a

If f is an even function, then for any a,
                                a                           a
                                     f (x)dx = 2                f (x)dx.
                               −a                       0

Both statements are clear if we view integrals as computing the signed area
between the graph of f (x) and the x-axis.

Example 1.6.6. An even example,
                       1                      1                             1
                                                                     1 3            2
                            x2 dx = 2             x2 dx = 2            x        =     ,
                       −1                 0                          3      0       3

and an odd example,
                                 1                              1
                                                     1 4
                                     x3 dx =           x             = 0.
                                −1                   4          −1

  These computations are consistent with the symmetry (or “anti-symmetry”)
of the graphs and what you know about the relationship between the integral and
area.




                    Figure 1.42: Plots of y = x2 and y = x3 .




1.6.4    Problems
For the problems below, let f (x) = x2 and g(x) = x and verify that

  1.    f (x) · g(x) dx =    f (x) dx ·           g(x) dx.

  2.    f (x)/g(x) dx =      f (x) dx/        g(x) dx.

  3.      f (x) dx =        f (x) dx.

                                                   53
1.6. SUBSTITUTION AND SYMMETRY

             1              1
 4.   R
          f (x) dx
                     =    f (x)   dx.

 5.       cos(3x) dx,         u = 3x.

 6.       sin(7x) dx,        u = 7x.

 7.       e5x dx,        u = 5x.

 8.       e3x + cos(2x) dx,             u = 3x and u = 2x.




                                                 54
Chapter 2

Applications

2.1     Applications of the integral to area
The development of calculus by Newton and Leibniz was a vital step in the
advancement of pure mathematics, but Newton also advanced the applied sci-
ences and mathematics. Not only did he discover theoretical results, but he
immediately used those results to answer important applied questions about
gravity and motion. The success of these applications of mathematics to the
physical sciences helped establish what we now take for granted: mathematics
can and should be used to answer questions about the world. Newton applied
mathematics to the outstanding problems of his day, problems primarily in the
field of physics. In the intervening 300 years, thousands of people have contin-
ued these theoretical and applied traditions and have used mathematics to help
develop our understanding of all of the physical and biological sciences as well
as the behavioral sciences and business. Mathematics is still used to answer
new questions in physics and engineering, but it is also important for modeling
ecological processes, for understanding the behavior of DNA, for determining
how the brain works, and even for devising strategies for voting effectively. The
mathematics you are learning now can help you become part of this tradition,
and you might even use it to add to our understanding of different areas of life.
It is important to understand the successful applications of integration in case
you need to use those particular applications. It is also important that you
understand the process of building models with integrals so you can apply it to
new problems. Conceptually, converting an applied problem to a Riemann sum
is the most valuable and the most difficult step.

2.1.1    Using integration to determine areas
This section is about how to compute the area of fairly general regions in the
plane. Regions are often described as the area enclosed by the graphs of sev-
eral curves. (“My land is the plot enclosed by that river, that fence, and the
highway.”)

                                      55
2.1. APPLICATIONS OF THE INTEGRAL TO AREA

                           b
  Recall that the integral a f (x)dx has a geometric interpretation as the signed
area between the graph of f (x) and the x-axis. We defined area by subdividing,
adding up approximate areas (use points in the intervals) as Riemann sums,
and taking the limit. Thus we defined area as a limit of Riemann sums. The
fundamental theorem of calculus asserts that we can compute areas exactly
when we can finding antiderivatives.




               Figure 2.1: Area between y = f (x) and y = g(x).


  Instead of considering the area between the graph of f (x) and the x-axis,
we consider more generally two graphs, y = f (x), y = g(x), and assume for
simplicity that f (x) ≥ g(x) on an interval [a, b]. Again, we approximate the area
between these two curves as before using Riemann sums. Each approximating
rectangle has width (b − a)/n and height f (x) − g(x), so

               Area bounded by graphs ∼                        [f (ci ) − g(ci )]∆x.

Note that f (x) − g(x) ≥ 0, so the area is nonnegative. From the definition of
integral we see that the exact area is
                                                               b
               Area bounded by graphs =                            (f (x) − g(x))dx.   (2.1)
                                                           a
  Why did we make a big deal about approximations instead of just writing
down (2.1)? Because having a sense of how this area comes directly from a
Riemann sum is very important. But, what is the point of the Riemann sum
if all we’re going to do is write down the integral? The sum embodies the
geometric manifestation of the integral. If you have this picture in your mind,
then the Riemann sum has done its job. If you understand this, you’re more
likely to know what integral to write down; if you don’t, then you might not.
Remark 2.1.1. By the linearity property of integration, our sought for area is
the integral of the “top” function minus the integral of the “bottom” function,
                                   b                   b
                                       f (x)dx −           g(x)dx,
                               a                   a
of two signed areas.

                                              56
2.1. APPLICATIONS OF THE INTEGRAL TO AREA


Example 2.1.1. Find the area enclosed by y = x + 1, y = 9 − x2 , x = −1,
x = 2 (see Figure 2.2).




                   Figure 2.2: Plots of y = x + 1 and y = 9 − x2 .

                                    2
                         Area =         (9 − x2 ) − (x + 1) dx .
                                   −1

We have reduced the problem to a computation:
   2                               2                                   2
                                                            1    1              39
       [(9 − x2 ) − (x + 1)]dx =      (8 − x − x2 )dx = 8x − x2 − x3        =      .
  −1                               −1                       2    3     −1       2

 Here is this plot and computation in Sage:


sage:    x = var("x")
sage:    P1 = plot(x+1, x, -2, 3)
sage:    P2 = plot(9 - x^2, x, -2, 3)
sage:    T1 = text("$y = x+1$", (1,2.6))
sage:    T2 = text("$y = 9-x^2$", (2,7))
sage:    show(P1+P2+T1+T2)
sage:    integrate((9-x^2) - (x+1),x, -1, 2)
39/2


  The above example illustrates the simplest case. In practice more interesting
situations often arise. The next example illustrates finding the boundary points
a, b when they are not explicitly given.

Example 2.1.2. Find area enclosed by the two parabolas y = 12 − x2 and
y = x2 − 6.
Problem: We didn’t tell you what the boundary points a, b are. We have to figure
that out. How? We must find exactly where the two curves intersect, by setting
the two curves equal and finding the solution. We have

                                            57
2.1. APPLICATIONS OF THE INTEGRAL TO AREA




               Figure 2.3: Plots of y = 12 − x2 and y = x2 − 6.



                                x2 − 6 = 12 − x2 ,
so 0 = 2x2 − 18 = 2(x2 − 9) = 2(x − 3)(x + 3), hence the intersect points are at
a = −3 and b = 3. We thus find the area by computing
  3                              3                           3
      12 − x2 − (x2 − 6) dx =        (18 − 2x2 )dx = 4           (9 − x2 )dx = 4 · 18 = 72.
 −3                             −3                       0

 Here is this plot and computation in Sage:


sage:   P1 = plot(12-x^2, x, -5, 5)
sage:   P2 = plot(x^2-6, x, -5, 5)
sage:   T1 = text("$y = 12-x^2$", (-3.5,-10))
sage:   T2 = text("$y = x^2-6$", (2,-7))
sage:   show(P1+P2+T1+T2)
sage:   integrate((12-x^2) - (x^2-6),x, -3, 3)
72


                                                3
Of course, if you had mistakenly computed −3 (x2 − 6) − (12 − x2 ) dx, then
don’t worry. You would’ve gotten −72 as your answer. However, always re-
member areas are non-negative, so the correct answer is 72.

Example 2.1.3. A common way in which you might be tested to see if you
really understand what is going on, is to be asked to find the area between two
graphs x = f (y) and x = g(y). If the two graphs are vertical, subtract off
the right-most curve. Or, just “switch x and y” everywhere (i.e., reflect about
y = x). The area is unchanged.




                                         58
2.1. APPLICATIONS OF THE INTEGRAL TO AREA


  For instance, consider the area between the two parabolas x = 12 − y 2 and
x = y 2 − 6.




               Figure 2.4: Plots of x = 12 − y 2 and x = y 2 − 6.


Swapping x and y amounts to reflecting the plot in Figure 2.4 above about the
45o line y = x. The reflected graph coincides with that in Figure 2.3 above.
Therefore, by Example 2.1.2, the answer is 72.

Example 2.1.4. Find the area (not signed area!) enclosed by y = sin(πx),
y = x2 − x, and x = 2.




               Figure 2.5: Plots of y = sin(πx) and y = x2 − x.


Write x2 − x = (x − 1/2)2 − 1/4, so that we can obtain the graph of the parabola
by shifting the standard graph. The area comes in two pieces, and the upper and
lower curve switch in the middle. Technically, what we’re doing is integrating

                                      59
2.2. COMPUTING VOLUMES OF SURFACES OF REVOLUTION


the absolute value of the difference. The area is
               1                                2
                                                                             4
                   sin(πx) − (x2 − x)dx −           (x2 − x) − sin(πx)dx =     +1
           0                                1                                π
Here is this plot and computation in Sage:


sage:   P1 = plot(sin(pi*x), x, -1, 2.2)
sage:   P2 = plot(x^2-x, x, -1, 2.2)
sage:   P3 = list_plot([(2,0),(2,2)],plotjoined=True,linestyle=":")
sage:   T1 = text("$y = sin(pi x)$", (-1.2,-1))
sage:   T2 = text("$y = x^2-x$", (1.3,1.3))
sage:   show(P1+P2+P3+T1+T2)


Something to take away from this is that in order to solve this sort of problem,
you need some facility with graphing functions. If you aren’t comfortable with
this, review.


2.2      Computing Volumes of Surfaces of Revolu-
         tion
The last section emphasized a geometric interpretation of definite integrals as
“areas” in two dimensions. This section emphasizes another geometrical use
of integration, calculating volumes of solid threedimensional objects, such as a
volume of revolution. Our basic approach is to cut the whole solid into thin
“slices” whose volumes can be approximated, add the volumes of these ”slices”
together (a Riemann sum), and finally obtain an exact answer by taking a limit
of the sums to get a definite integral.
Practice 2.2.1. Most people have a body density between 0.95 and 1.05 times
the density of water which is 62.5 pounds per cubic foot. Use your weight (in
lbs) to estimate the volume of your body (in cubic ft). (If you float in fresh
water, your body density is less than 1.)
  First, we introduce the building blocks of this section, right solids. A right
solid is a three–dimensional shape swept out by moving a planar region A some
distance h along a line perpendicular to the plane of A. For instance, if A
is a rectangle, then the “right solid” formed by moving A along the line is a
3dimensional solid box B and, of course, the volume of B is


      (area of A) × (distance along the line) = (base) × (height) × (width).

The region A is called a face of the solid. The word “right” is simply used to
indicate that the movement is along a line perpendicular (at a right angle) to

                                            60
2.2. COMPUTING VOLUMES OF SURFACES OF REVOLUTION


the plane of A. Two parallel cuts though the shape produce a slice with two
faces.
Example 2.2.1. Suppose there is a fine, uniform mist in the air, and every
cubic foot of mist contains 0.02 ounces of water droplets. If you run 50 feet in
a straight line through this mist, how wet do you get? Assume that the front (or
a cross section) of your body has an area of 8 square feet.
   Solution: As you run, the front of your body sweeps out a “tunnel” through
the mist. The volume of the tunnel is the (cross sectional) area of the front of
your body multiplied by the length of the tunnel: volume = (8 ft)(50 ft) = 400
ft. Since each cubic foot of mist held 0.02 ounces of water which is now on you,
you swept out a total of (400 ft )(0.02 oz/ft) = 8 ounces of water.
  A general solid can be cut into slices which are almost right solids. An indi-
vidual slice may not be exactly a right solid since its cross sections may have
different areas. However, if the cuts are close together, then the cross sectional
areas will not change much within a single slice. Each slice will be almost a
right solid, and its volume will be almost the volume of a right solid.
  Suppose an xaxis is positioned below the solid shape, and let A(x) be the
area of the face formed when the solid is cut at x perpendicular to the xaxis.
If P = {x0 = a, x1 , x2 , ..., xn = b} is a partition of [a, b], and the solid is cut at
each xi , then each slice of the solid is almost a right solid, and the volume of
each slice is approximately

                                                                ∼
       (area of a face of the slice) × (thickness of the slice) = A(xi )∆xi .
The total volume V of the solid is approximately the sum of the volumes of the
slices:

                  V =       volume of each slice ∼
                                                 =             A(xi )∆xi ,
                                                           i
which is a Riemann sum. The limit, as the mesh of the partition approaches 0
(taking thinner and thinner slices), of the Riemann sum is the definite integral
of A(x):
                                                      b
                         V ∼
                           =        A(xi )∆xi →           A(x) dx.
                                i                 a

Theorem 2.2.1. (Volume By Slices Formula) If S is a solid and A(x) is the
area of the face formed by a cut at x and perpendicular to the x–axis, then the
                                                           b
volume V of the part of S above the interval [a, b] is V = a A(x) dx.
  Everybody knows that the volume of a solid box is
                        volume = length × width × height.
More generally, the volume of cylinder is V = πr2 h (cross sectional area times
height). Even more generally, if the base of a prism has area A, the volume of
the prism is V = Ah.

                                          61
2.2. COMPUTING VOLUMES OF SURFACES OF REVOLUTION


  But what if our solid object looks like a complicated blob? How would we
compute the volume? We’ll do something that by now should seem familiar,
which is to chop the object into small pieces and take the limit of approxima-
tions. If these small pieces are cross sections then the corresponding method of
computing the volume of revolution is called the “disc method”. If these small
pieces are cylindrical shells then the corresponding method of computing the
volume of revolution is called the “shell method”. We look in detail into the
disc method first, followed by the shell method.

2.2.1     Disc method
Assume that we have a function

                        A(x) = cross sectional area at x.

The volume of our potentially complicated blob is approximately             A(xi )∆x.
Thus
                                                         n
                       volume of blob = lim                   A(xi )∆x
                                            n→∞
                                                        i=1
                                                   b
                                        =              A(x)dx
                                               a

  Here is the plot a picture of solid sliced vertically into a bunch of vertical thin
solid discs:




                                 3
Figure 2.6: Plot of the cone z = 2 (1 −     x2 + y 2 ) sliced into thin “shells”, which
are approximated by thin discs.


Example 2.2.2. Find the volume of the pyramid with height H and square base
with sides of length L.
  For convenience look at pyramid on its side, with the tip of the pyramid at the
origin. We need to figure out the cross sectional area as a function of x, for

                                          62
2.2. COMPUTING VOLUMES OF SURFACES OF REVOLUTION


0 ≤ x ≤ H. The function that gives the distance s(x) from the x–axis to the
edge is a line, with s(0) = 0 and s(H) = L/2. The equation of this line is thus
         L
s(x) = 2H x. Thus the cross sectional area is

                                                      x2 L2
                                  A(x) = (2s(x))2 =         .
                                                       H2
The volume is then
               H                  H                      H
                                      x2 L2      x3 L2           H 3 L2  1
                   A(x)dx =                 dx =             =          = HL2 .
           0                  0        H2        3H 2    0       3H   2  3




Figure 2.7:   How big is Pharaoh’s place?.                           (Photo found on
http://en.wikipedia.org/wiki/Egyptian_pyramids,                      taken by Ricardo
Liberato.)


  When a region is revolved around a line (Figure 2.8) a right solid is formed.
When the face of each slice of the revolved region is a circle then the formula
for the area of the face is easy: A(x) = area of a circle = π(radius), where the
radius is often a function of the location x. Finding a formula for the changing
radius requires care.
Theorem 2.2.2. (Volumes of Revolved Regions by Discs) If the region formed
between f , the horizontal line y = L, and the interval [a, b] is revolved about the
                                                                        b
horizontal line y = L (see Figure 2.8) then the volume is V = a A(x) dx =
  b                  b
 a
    π(radius) dx = a π(f (x) − L) dx.
Example 2.2.3. Find the volume of the solid obtained by rotating the following
“flower pot” region about the x axis: the region enclosed by y = x2 and y = x3
between x = 0 and x = 1.
  The cross section is a “washer”, and the area as a function of x is

                      A(x) = π(rout (x)2 − rin (x)2 ) = π(x4 − x6 ).

                                              63
2.2. COMPUTING VOLUMES OF SURFACES OF REVOLUTION




        Figure 2.8: Disc method for computing a volume of revolution.




                       Figure 2.9: Plots of y = x2 and y = x3 .


The volume is thus
             1                  1                                 1
                                    1 5 1 7        1   1                   2
                 A(x)dx =             x − x dx = π x5 − x7            =      π.
         0                  0       5    7         5   7          0       35

Practice 2.2.2. Find the volumes swept out when

 (a) the region between f (x) = x and the x–axis, for 0 ≤ x ≤ 2, is revolved
     about the x–axis, and
 (b) the region between f (x) = x and the line y = 2x , for 0 ≤ x ≤ 2, is revolved
     about the line y = 2.

Example 2.2.4. One of the most important examples of a volume is the volume
V of a sphere of radius r. Let’s find it! We’ll just compute the volume of a half

                                          64
2.2. COMPUTING VOLUMES OF SURFACES OF REVOLUTION


and multiply by 2. The cross sectional area is

                        A(x) = πr(x)2 = π( r2 − x2 )2 = π(r2 − x2 ).

Then
                    r                                        r
        1                                       1                       1     2
          V =           π(r2 − x2 )dx = π r2 x − x3              = πr3 − πr3 = πr3 .
        2       0                               3            0          3     3

Thus V = (4/3)πr3 .
Example 2.2.5. Find volume of intersection of two spheres of radius r, where
the center of each sphere lies on the edge of the other sphere.




                              Figure 2.10: Plot of two spheres.

 From the picture (Figure 2.10) we see that the answer is
                                                r
                                           2         A(x),
                                               r/2

where A(x) is exactly as in Example 2.2.4. We have
                                    r
                                                              5 3
                               2         π(r2 − x2 )dx =        πr .
                                   r/2                       12

  The previous ideas and techniques can also be used to find the volumes of
solids with holes in them. If A(x) is the area of the face formed by a cut at x,
                                              b
then it is still true that the volume is V = a A(x) dx. However, if the solid has
holes, then some of the faces will also have holes and a formula for A(x) may be
more complicated. Sometimes it is easier to work with two integrals and then
subtract: (i) calculate the volume S of the solid without the hole, (ii) calculate
the volume H of the hole, and (iii) subtract H from S. This is what was done
in Example 2.2.3.

2.2.2     Shell method
The disk method can be cumbersome if we want the volume when the region in
the figure is revolved about the y–axis or some other vertical line. To revolve
the region about the y–axis, the disk method requires that we represent the

                                                65
2.2. COMPUTING VOLUMES OF SURFACES OF REVOLUTION


original equation y = f (x) as a function of y: x = g(y). Sometimes that is easy:
if y = 3x then x = y/3. But sometimes it is not easy at all: if y = x + ex , then
we can not solve for y as an “elementary” function of x. The “shell” method
lets us use the original equation y = f (x) to find the volume when the region
is revolved about a vertical line. We partition the x–axis to cut the region into
thin, almost rectangular “slices.” When the thin “slice” at xi is revolved about
the y–axis (Figure 2.11(a)), the volume of the resulting “tube” (or cylindrical
“shell”) can be approximated by cutting the wall of the tube and laying it out
flat (Figure 2.11(b)) to get a thin, solid rectangular box.




       Figure 2.11: Shell method for computing a volume of revolution.

 The volume of the tube is approximately the same as the volume of the solid
box:

          Vol. tube ∼ Vol. box
                    =             = (length) × (height) × (thickness)
                                  = (2πradius) × ( height ) × (∆xi )
                                  = 2πxi f (xi )∆xi .
The volume swept out when the whole region is revolved is the sum of the
volumes of these “tubes”, a Riemann sum. The limit of the Riemann sum is
                                                          b
            volume of rotation about the y–axis =             2πxf (x) dx.
                                                      a


Theorem 2.2.3. (Volume of Revolution Using Shells) If region R is bounded
between the functions f (x) ≥ g(x) for 0 ≤ a ≤ b (see Figure 2.12), then

                                                                   b
volume obtained when R is revolved about the y–axis =                  2πx(f (x)−g(x)) dx.
                                                               a

Example 2.2.6. Find the volume when the region R in between x = 2, x = 4,
y = x and y = x2 is revolved about the y–axis.

                                       66
2.2. COMPUTING VOLUMES OF SURFACES OF REVOLUTION




        Figure 2.12: Shell method for computing a volume of revolution.


  Solution: We can partition the interval [2, 4] on the x–axis to get thin slices
of R. When the slice at xi is revolved around the y–axis, a tube is swept out,
and the volume Vi of this i-th tube is

                     Vi       ∼ (2π · radius) × (height) × (thickness)
                              =
                              ∼ 2πxi (x2 − xi )∆xi
                              =         i
                              ∼ 2π(x3 − x2 )∆xi .
                              =      i     i

The total approximate volume is the sum of the volumes of the tubes. As the
partition gets finer and finer, we get

                          4
                                                      x4  x3        124
   V =        Vi →            2π(x3 − x2 ) dx = 2π(      − )|4 = 2π     = 259.7... .
          i           2                               4   3 2        3

2.2.3     Problems
  1. For the solid in Figure 2.13, the face formed by a cut at x is a triangle
     with a base of 4 inches and a height of x2 inches. Write and evaluate an
     integral for the volume of the solid for x between 1 and 2.




                                Figure 2.13: Volume of a solid.


                                              67
2.2. COMPUTING VOLUMES OF SURFACES OF REVOLUTION


 2. Find the volume of the squarebased pyramid in Figure 2.14.




                     Figure 2.14: Volume of a pyramid.

 3. Find the volume generated when the region between one arch of the sine
    curve (0 ≤ x ≤ π) and the x-axis is revolved about (a) the x-axis and (b)
    the line y = 1/2.
                 5                    5
 4. Given that 1 f (x) dx = 4 and 1 f (x)2 dx = 7. Represent the volumes
    of the solids (a), (b), (c) and (d) in Figure 2.15 as definite integrals and
    evaluate the integrals.




                        Figure 2.15: Four volumes.



                                     68
2.2. COMPUTING VOLUMES OF SURFACES OF REVOLUTION


 5. Figure 2.16. For 0 ≤ x ≤ 3, each face is a circle with height (diameter)
    4 − x meters.




             Figure 2.16: Volume with circular cross-sections.

 6. Suppose A and B are solids so that every horizontal cut produces faces
    of A and B that have equal areas. What (if anything) can we conclude
    about the volumes of A and B? Justify your answer.

 7. Calculate the volume of a sphere of radius 2.

 8. Let 0 < r < R be fixed. Revolve the circle x2 + (y − R)2 = r2 about the
    x-axis. Compute the volume of this “donut” solid.

 9. (a) Find the area between f (x) = 1/x and the x-axis for 1 ≤ x ≤ 10,
        1 ≤ x ≤ 100, and 1 ≤ x ≤ A. What is the limit of the area for
        1 ≤ x ≤ A as A → ∞? If A = 1000000 and your think of this area
        as a long, flat wall, estimate the amount of paint (in square feet) you
        need to paint this surface.
    (b) Find the volume swept out when the region in part (a) is revolved
        about the x-axis for 1 ≤ x ≤ 10, 1 ≤ x ≤ 100, and 1 ≤ x ≤ A. What
        is the limit of the volumes for 1 ≤ x ≤ A as A → ∞? If A = 1000000
        and your think of this volume as a room constructed by revolving
        the wall in (a) about an axis, estimate the amount of paint (in cubic
        feet) you need to completely fill the room.
     (c) Which is larger: the paint needed to paint the wall of the paint needed
         to completely fill the room?

10. The region between y = 2x − x2 and the xaxis for 0 ≤ x ≤ 2. Sketch
    the region and calculate the volume swept out when the region is revolved
    about the yaxis.
                              √
11. The region between y = 1 − x2 and the xaxis for 0 ≤ x ≤ 1. Sketch
    the region and calculate the volume swept out when the region is revolved
    about the yaxis.

                                     69
2.3. AVERAGE VALUES

                                1
 12. The region between y = 1+x2 and the xaxis for 0 ≤ x ≤ 1. Sketch the
     region and calculate the volume swept out when the region is revolved
     about the yaxis.


2.3     Average Values
In this section we use Riemann sums to extend the familiar notion of an average,
which provides yet another physical interpretation of integration.
  Recall: Suppose y1 , . . . , yn are the amount of rain each day in you hometown
so far this year. The average rainfall per day is
                                                                    n
                                       y1 + · · · + yn   1
                           yavg =                      =                 yi .
                                             n           n         i=1

Definition 2.3.1 (Average Value of Function). Suppose f is a continuous func-
tion on an interval [a, b]. The average value of f on [a, b] is
                                                          b
                                              1
                                    favg =                    f (x)dx.
                                             b−a      a

 Motivation: If we sample f at n points xi , then
                     n                            n                                  n
                 1                  (b − a)                       1
        favg   ∼         f (xi ) =                   f (xi ) =                            f (xi )∆x,
                 n   i=1
                                   n(b − a)      i=1
                                                               (b − a)              i=1

               b−a
since ∆x =         . This is a Riemann sum!
                n
                                       n                                     b
                     1                           1
                           lim    f (xi )∆x =                                    f (x)dx.
                  (b − a) n→∞ i=1             (b − a)                    a


This explains why we defined favg as above.
Example 2.3.1. What is the average value of sin(x) on the interval [0, π]?

                                π
                      1                          1            π
                                    sin(x)dx =       − cos(x)
                     π−0    0                  π−0            0
                                               1                π 2
                                             =    −(−1) − (−1) =
                                               π                0 π
  Observation: If you multiply both sides by (b − a) in Definition 2.3.1, you
see that the average value times the length of the interval is the area, i.e., the
average value gives you a rectangle with the same area as the area under your
function. In particular, in Figure 2.17 the area between the x-axis and sin(x) is
exactly the same as the area between the horizontal line of height 2/π and the
x-axis.

                                                 70
2.3. AVERAGE VALUES




               Figure 2.17: What is the average value of sin(x)?



Theorem 2.3.1 (Mean Value Theorem). Suppose f is a continuous function
on [a, b]. Then there is a number c in [a, b] such that f (c) = favg .

  This says that f assumes its average value. It is a used very often in under-
standing why certain statements are true. Notice that in Example 2.3.1 it is just
the assertion that the graphs of the function and the horizontal line y = favg
intersect.
                           x
  Proof: Let F (x) = a f (t)dt. Then F ′ (x) = f (x). By the mean value
theorem for derivatives, there is c ∈ [a, b] such that f (c) = F ′ (c) = (F (b) −
F (a))/(b − a). But by the fundamental theorem of calculus,

                                                    b
                          F (b) − F (a)    1
                f (c) =                 =               f (x)dx = favg .
                              b−a         b−a   a




2.3.1    Problems
In problems 1-4, use the values in Figure 2.18 to estimate the average values.

  1. Estimate the average value of f on the interval [0.5, 4.5].

  2. Estimate the average value of f on the interval [0.5, 6.5].

  3. Estimate the average value of f on the interval [1.5, 3.5].

  4. Estimate the average value of f on the interval [3.5, 6.5].

  5. Find the average value of sin(x), 0 ≤ x ≤ π.

  6. Find the average value of x2 , −1 ≤ x ≤ 1.

                                       71
2.4. MOMENTS AND CENTERS OF MASS




               Figure 2.18: Table of values of the function f (x).


2.4     Moments and centers of mass
This section develops a method for finding the center of mass of a thin, flat
shape the point at which the shape will balance without tilting. Centers of
mass are important because in many applied situations an object behaves as
though its entire mass is located at its center of mass. For example, if you are
riding in a car with a high center of mass (such as an SUV) and you make a
sudden sharp turn, you are more likely to tip over than if you are riding in a car
with a high center of mass (such as a sports car). As another example, the work
done to pump the water in a tank to a higher point is the same as the work to
move the center of mass of the water to the higher point (Figure 2.19), a much
easier problem, if we know the mass and the center of mass of the water. Also,
volumes and surface areas of solids of revolution can be easy to calculate, if we
know the center of mass of the region being revolved.




               Figure 2.19: Work depends on the center of mass.

 Before looking for the centers of mass of complicated regions, we consider
point masses and systems of point masses, first in one dimension and then in

                                       72
2.4. MOMENTS AND CENTERS OF MASS


two dimensions.


2.4.1     Point Masses
First we discuss point masses along a line.
  Two people with different masses can position themselves on a seesaw so that
the seesaw balances (Figure 2.20). The person on the right causes the seesaw to
”want to turn” clockwise about the fulcrum, and the person on the left causes
it to “want to turn” counterclockwise. If these two “tendencies” are equal, the
seesaw will balance. A measure of this tendency to turn about the fulcrum is
called the moment about the fulcrum of the system, and its magnitude is the
mass multiplied by the distance from fulcrum.




        Figure 2.20: Balance on a see-saw depends on the center of mass.

   In general, the moment about the origin, M0 , produced by a mass m at a
location x is mx, the product of the mass and the “signed distance” of the mass
from the origin. For a system of masses m1 , m2 , . . . , mn at locations x1 , x2 ,
. . . , xn , respectively,

                                                        n
                    M = total mass of the system =           mi ,
                                                       i=1

and

                                                                        n
  M0 = moment about the origin = x1 m1 + x2 m2 + · · · + xn mn =             xi mi .
                                                                       i=1


  If the moment about the origin is positive then the system tends to rotate
clockwise about the origin. If the moment about the origin is negative then the
system tends to rotate counterclockwise about the origin. If the moment about
the origin is zero, then the system does not tend to rotate in either direction
about the origin; it balances on a fulcrum at the origin. The moment about the
point p, Mp , produced by a mass m at the location x is the signed distance of x
from p times the mass m: (x − p) · m. The moment about the point p produced
by masses m1 , m2 , . . . , mn at locations x1 , x2 , . . . , xn , respectively, is

                                        73
2.4. MOMENTS AND CENTERS OF MASS



                                                                                   n
Mp = moment about p = (x1 −p)m1 +(x2 −p)m2 +· · ·+(xn −p)mn =                            (xi −p)mi .
                                                                                   i=1

The point at which the system balances is called the center of mass of the
system and is written x (pronounced “x bar”). Since the system balances at
x, the moment about p = x must be zero. Using this fact and properties of
summation, we can find a formula for x:
                               n                   n                  n
                 0 = Mx =           (xi − x)mi =         xi mi − x)         mi ,
                              i=1                  i=1                i=1
so
                                             n
                                             i=1 xi mi
                                      x=      n        .
                                              i=1 mi
This is summarized as follows.
Theorem 2.4.1. The center of mass of a system of masses m1 , m2 , . . . , mn
at locations x1 , x2 , . . . , xn , is given by
                        moment about the origin
                       x=                         = M0 /M.
                               total mass
  Now we discuss point masses in the plane.
  The ideas of moments and centers of mass extend nicely from one dimension
to a system of masses located at points in the plane.
  For a system of masses mi located at the points (xi , yi ),

                                                               n
                M        = total mass of particles =           i=1 mi ,
                                                                n
                My     = moment about the y–axis =              i=1 mi xi ,
                                                                 n
                Mx     = moment about the x–axis =               i=1 mi yi .

Theorem 2.4.2. The center of mass of a system of masses m1 , m2 , . . . , mn
at locations (x1 , y1 ), (x2 , y2 ), . . . , (xn , yn ), is given by (x, y), where

                       moment about the y–axis
                   x=                          = My /M,
                            total mass
                       moment about the x–axis
                    y=                         = Mx /M.
                             total mass
Example 2.4.1. Consider a regular hexagon in the plane centered at the origin1
Suppose that all the vertices of the hexagon have equal mass 1. The center of
mass of this hexagon is the same as the average value of the vertices. Therefore,
by construction, (x, y) = (0, 0).
   1 To draw this, simply draw a circle and slice it up fairly into 6 equal “pie pieces”. The

points on the “crust” where your slices start are the vertices of the hexagon.


                                             74
2.4. MOMENTS AND CENTERS OF MASS


2.4.2    Center of mass of a region in the plane
When we move from discrete point masses to whole, continuous regions in the
plane, we move from finite sums and arithmetic to limits of Riemann sums,
definite integrals, and calculus. The following material extends the ideas and
calculations from point masses to uniformly thin, flat plates that have a constant
density given as mass per area. The center of mass of one of these plates is the
point (x, y) at which the plate balances without tilting. It turns out that the
center of mass (x, y) of such a plate depends only on the region of the plane
covered by the plate and not on its density. In this situation, the point (x, y) is
also called the centroid of the region. In the following discussion, you should
notice that each finite sum that appeared in the discussion of point masses has
a counterpart for these thin plates in terms of integrals.
  The rectangle is the basic shape used to extend the point mass ideas to regions.
The total mass of a rectangular plate is the area of the plate multiplied by the
density constant: mass M = area × density. We assume that the center of
mass of a thin, rectangular plate is located half way up and half way across the
rectangle, at the point where the diagonals of the rectangle cross. Then the
moments of the rectangle can be found by treating the rectangle as a point with
mass M located at the center of mass of the rectangle.
  To find the moments and center of mass of a plate made up of several rectangu-
lar regions, just treat each of the rectangular pieces as a point mass concentrated
at its center of mass. Then the plate is treated as a system of discrete point
masses.

Example 2.4.2. The plate in Figure 2.21 can be divided into two rectangular
plates, one with mass 24 g and center of mass (1, 4), and one with mass 12 g
and center of mass (3, 3).




                    Figure 2.21: Centroid of two rectangles.

The total mass of the pair is M = 36 g, and the moments about the axes are
Mx = (24 g)(4 cm) + (12 g)(3 cm) = 132 gcm, and My = (24 g)(1 cm) +
(12 g)(3 cm) = 60 gcm.
  Then x = My /M = (60 gcm)/(36 g) = 5/3 cm and y = Mx /M = (132 gcm)/(36 g) =
11/3 cm so the center of mass of the plate is at (x, y) = (5/3, 11/3).

                                        75
2.4. MOMENTS AND CENTERS OF MASS


  To find the center of mass of a thin plate, we will “slice” the plate into narrow
rectangular plates and treat the collection of rectangular plates as a system of
point masses located at the centers of mass of the rectangles. The total mass
and moments about the axes for the system of point masses will be Riemann
sums. Then, by taking limits as the widths of the rectangles approach 0, we
will obtain exact values for the mass and moments as definite integrals

2.4.3     x For A Region
Suppose f (x) ≥ g(x) on [a, b] and R is a plate on the region between the graphs
of f and g for a ≤ x ≤ b (Figure 2.22).




                           Figure 2.22: Centroid of a region.

If the interval [a, b] is partitioned into subintervals [xi−1 , xi ] and the point ci is
the midpoint of each subinterval, then the slice between vertical cuts at xi−1
and xi is approximately rectangular and has mass approximately equal to


               (area) × (density) = (height) × (width) × (density)
                                  ∼
                                  = (f (ci ) − g(ci ))(xi−1 xi )k
                                     = (f (ci ) − g(ci ))∆xi k,

where k denotes the density. The mass of the whole plate is approximately

                                                             b
                M=         (f (ci ) − g(ci ))∆xi k → k           (f (x)g(x)) dx
                       i                                 a

                   = k · (area of the region between f and g).

  The moment about the y–axis of each rectangular piece is


        My = (distance from y–axis to center of mass of piece) × (mass)
           = ci (f (ci ) − g(ci ))(∆xi )k,

                                           76
2.4. MOMENTS AND CENTERS OF MASS


so

                                                              b
          My =        ci (f (ci ) − g(ci ))(∆xi )k → k            x(f (x) − g(x)) dx.
                  i                                       a


The x–coordinate of the center of mass of the plate is

                                        b
                             My         a
                                            x(f (x) − g(x)) dx
                          x=    =           b
                                                                      ,
                             M                  f (x) − g(x) dx
                                            a

since the common factor of k on top and bottom cancel.

Practice 2.4.1. Find the x–coordinate of the center of mass of the region be-
tween f (x) = x2 and the x–axis for 0 ≤ x ≤ 2. (In this case, g(x) = 0.)


2.4.4     y For a Region
Again, suppose f (x) ≥ g(x) on [a, b] and R is a plate on the region between the
graphs of f and g for a ≤ x ≤ b (Figure 2.22).




        Figure 2.23: Finding the y–coordinate of the centroid of a region.

  To find y, the y–coordinate of the center of mass of the plate R, we need to find
Mx , the moment of the plate about the x–axis. When R is partitioned vertically
(Figure 2.23), the moment of each (very narrow) strip about the x–axis, Mx , is


(signed distance from x–axis to the center of mass of strip) × (mass of strip).

Since each thin strip is approximately rectangular, the y–coordinate of the center
of mass of each strip is approximately half way up the strip: y i ∼ (f (ci ) +
                                                                      =
g(ci ))/2. Then

                                            77
2.4. MOMENTS AND CENTERS OF MASS




  Mx for the strip =                   (signed distance from the x–axis
                         to the center of mass of the strip) × (mass of strip)
                    =     (signed distance from xaxis) × ( height of strip)
                                  ×(width of strip) × (density constant)
                                        f (ci )+g(ci )
                    =                          2       (f (ci )   − g(ci ))(∆xi )k.

The moment about the x–axis of each rectangular piece is


      (distance from the x–axis to the center of mass of the piece) × (mass)
                            f (ci )+g(ci )
                        =          2       (f (ci )   − g(ci ))(∆xi )k,

so

                               f (ci )+g(ci )
       Mx =                  i        2       (f (ci ) − g(ci ))(∆xi )k
                    b f (x)+g(x)                                b
               →k   a      2     (f (x) − g(x)) dx = k a f (x)2 −
                                                           2                    g(x)2 dx.

Practice 2.4.2. Show that the centroid of a triangular region with vertices
(0, 0), (0, h) and (b, 0) is (x, y) = (b/3, h/3).
Example 2.4.3. Find the centroid of the region bounded between the graphs of
y = x and y = x2 , for 0 ≤ x ≤ 1.
                     1                            1
  Solution: M = k 0 (x − x2 ) dx = k/6, My = k 0 x(x − x2 ) dx = k/12 and
          1
Mx = k 0 (x2 − x4 ) dx = k/15. Then x = My /M = 1/2 and y = Mx /M = 2/5
       2
.

2.4.5     Theorems of Pappus
When location of the center of mass of an object is known, the theorems of
Pappus make some volume and surface area calculations very easy.
  Volume of Revolution: If a plane region with area A and centroid (x, y) is re-
volved around a line in the plane which does not go through the region (touching
the boundary is alright), then the volume swept out by one revolution is the
area of the region times the distance traveled by the centroid (Figure 2.24):
Theorem 2.4.3. (Pappas’ theorem for volume)

        Volume about line L = A · 2π distance of (x, y) from the line L ,

so in particular,
                         Volume about x–axis = A · 2πy,
and
                         Volume about y–axis = A · 2πx.

                                               78
2.4. MOMENTS AND CENTERS OF MASS




           Figure 2.24: Pappas’ theorem for a volume of revolution.


  Surface Area of Revolution If a plane region with perimeter P and centroid of
the edge (x, y) is revolved around a line in the plane which does not go through
the region (touching the boundary is alright), then the surface area swept out
by one revolution is the perimeter of the region times the distance traveled by
the centroid (Figure 2.25):




         Figure 2.25: Pappas’ theorem for a surface area of revolution.

Theorem 2.4.4. (Pappas’ theorem for surface area)
     Surface area about line L = P · 2π distance of (x, y) from the line L ,
so in particular,
                     Surface area about x–axis = P · 2πy,

                                       79
2.5. ARC LENGTHS


and
                      Surface area about y–axis = P · 2πx.

Example 2.4.4. The center of a square region with 2 foot sides is at the point
(3, 4). Use the Theorems of Pappus to find the volume and surface area swept
out when the square is rotated (a) about the x–axis, (b) about the y–axis, and
(c) about the horizontal line y = 6.
  Solution: (a) Volume about x–axis = A · 2πy = 32π, Surface area about x–axis
= P · 2πy = 64π.
  (b) Volume about y–axis = A·2πx = 24π, Surface area about y–axis = P ·2πx =
48π.
  (c) Volume about line y = 6 = A·2π(distance of (3, 4) to the line y = 6) =16π,
Surface area about line y = 6 = P · 2π(distance of (3, 4) to the line y = 6) =32π.


2.5     Arc lengths
This section introduces another geometric applications of integration: finding
the length of a curve, i.e., the total distance you travel if you are moving along
a curve. The general strategy is the same as before: partition the problem
into small pieces, approximate the solution on each small piece, add the small
solutions together in the form of a Riemann sum, and finally, take the limit of
the Riemann sum to get a definite integral.


2.5.1    2-D Arc length
Suppose C is a curve, and we pick some points (xi , yi ) along C and connect
the points with straight line segments. Then the sum of the lengths of the line
segments will approximate the length of C. We can think of this as pinning
a string to the curve at the selected points, and then measuring the length
of the string as an approximation of the length of the curve. Of course, if
we only pick a few points, then the total length approximation will probably
be rather poor, so eventually we want lots of points (xi , yi ), close together all
along C. Suppose the points are labeled so (x0 , y0 ) is one endpoint of C and
(xn , yn ) is the other endpoint and that the subscripts increase as we move along
C. Then the distance between the successive points (xi−1 , yi−1 ) and (xi , yi ) is
   (∆xi )2 + (∆yi )2 , and the total length of the line segments is simply the sum
of the successive lengths. This is an important approximation of the length of
C, and all of the integral representations for the length of C come from it. The
length of the curve C is approximately

                    (∆xi )2 + (∆yi )2 =        1 + (∆yi /∆xi )2 ∆xi .
               i                           i

This is a Riemann sum. We could have factored out a ∆yi instead: the arc
length of C is approximately

                                          80
2.5. ARC LENGTHS



                       (∆xi )2 + (∆yi )2 =          1 + (∆xi /∆yi )2 ∆yi .
               i                               i

Theorem 2.5.1.       • The length of the curve C described by the graph of the
    function y = f (x), a ≤ x ≤ b, is given by

                                         b
                                             1 + f ′ (x)2 dx.
                                     a

   • The length of the curve C described by the graph of the function x = g(y),
     a ≤ y ≤ b, is given by

                                         b
                                             1 + g ′ (y)2 dy.
                                     a

Example 2.5.1. Use the points (0, 0), (1, 1), and (3, 9) to approximate the
length of y = x2 , for 0 ≤ x ≤ 3.                                √
  Solution: The lengths of the pieces are (1 − 0)2 + (1 − 0)2 = 2 and
                          √                                       √  √
   (3 − 1)2 + (9 − 1)2 = 68, so the total length is approximately 2 + 68 =
9.66... .
  We can use Sage to compute some more Riemann sum approximations and
also this arc length exactly.


sage: f1 = lambda x: sqrt(1+4*x^2)
sage: f = Piecewise([[(0,3),f1]])
sage: n = 10; RR(f.riemann_sum_integral_approximation(n))
8.99946939777166
sage: n = 50; RR(f.riemann_sum_integral_approximation(n))
9.59519771936512
sage: n = 100; RR(f.riemann_sum_integral_approximation(n))
9.67099527976211
sage: n = 200; RR(f.riemann_sum_integral_approximation(n))
9.70900502940468
sage: integral(sqrt(1+(2*x)^2),x,0,3)
(arcsinh(6) + 6*sqrt(37))/4
sage: RR(integral(sqrt(1+(2*x)^2),x,0,3))
9.74708875860856


In other words,
                   3
                                                  √
                                      sinh−1 6 + 6 37
                      1+    (2x)2
                                dx =                    = 9.74... .
                 0                            4
  Note that if we reflect this curve about the y = x line then the resulting part of
the curve must have the same arc length. Agreed? Do you see that the reflected

                                             81
2.5. ARC LENGTHS

             √
curve is y = x, 0 ≤ x ≤ 9? In this case the reflected points are (0, 0), (1,√
                                                                           1),
and (9, 3). The lengths of the reflected pieces are (1 − 0)2 + (1 − 0)2 = 2
                             √
and √ − 1)2 + (3 − 1)2 = 68, so the total length is (still) approximately
√      (9
  2 + 68 = 9.66... . The integral describing the arc length is
                           9                                9
                                    1                              1
                               1 + ( x−1/2 )2 dx =              1 + x−1 dx.
                       0            2                   0          4
                                                2
This is a harder integral to compute but we can use Sage to compute this
reflected arc length fairly accurately.


sage: f1 = lambda x: sqrt(1+1/(4*x))
sage: numerical_integral(f1, 0, 9, max_points=100)
(9.7470886680795221, 7.9546440984616276e-06)



The output is a pair, the first coordinate is the approximate numerical value of
the integral and the second is an upper bound for the error term. This is in
agreement with the above answer.
  Parametric equations: When the curve C is described by pairs (x, y), where
x and y are functions of t, x = x(t) and y = y(t), for α ≤ t ≤ β, we can factor
(∆ti ) from inside the radical and simplify:

                   (∆xi )2 + (∆yi )2 =              (∆xi /∆ti )2 + (∆yi /∆ti )2 ∆ti .
              i                             i

This is a Riemann sum. Taking limits, we get the following formula.
Theorem 2.5.2. The length of the curve C described by the graph of the para-
metric equations x = x(t) and y = y(t), for α ≤ t ≤ β, is given by
                                      β
                                          x′ (t)2 + y ′ (t)2 dt.
                                     α

Example 2.5.2. Represent the length of each curve as a definite integral.
  (a) The length of y = ex between (0, 1) and (1, e).
  (b) The length of the parametric curve x(t) = cos(t) and y(t) = sin(t) for
0 ≤ t ≤ 2π .
                 1√
  Solution: (a) 0 1 + e2x dx. This looks complicated (and it is) but amazingly
enough Sage has no problem with it:


sage: f1 = lambda x: sqrt(1+exp(2*x))
sage: integral(f1(x), x, 0, 1)
-arcsinh(e^-1) + arcsinh(1) + sqrt(e^2 + 1) - sqrt(2)
  2 Of   course, there is no need to, since we already know its value!


                                                82
2.5. ARC LENGTHS


sage: RR(integral(f1(x), x, 0, 1))
2.00349711162735


      2π                                      2π   √
(b)   0
           (− sin(t))2 + (cos(t))2 dt =       0
                                                       1 dt = 2π.

2.5.2      3-D Arc length
The parametric equation form of arc length extends very nicely to 3 dimensions.
If a curve C in 3-dimensions (Figure 2.26) is given parametrically by x = x(t),
y = y(t), and z = z(t) for a ≤ t ≤ b, then the distance between the successive
                                                      i
                                                            2     2
points (xi−1 , yi−1 , zi−1 ) and (xi , yi , zi ) is ∆x2 + ∆yi + ∆zi .




                  Figure 2.26: The arc length or a space curve.

  We can, as before, factor (∆ti )2 from each term under the radical, sum the
pieces to get a Riemann sum, and take a limit of the Riemann sum to get a
definite integral representing the length of the curve C.


          i
                2     2
        ∆x2 + ∆yi + ∆zi =          (∆xi /∆ti )2 + (∆yi /∆ti )2 + (∆zi /∆ti )2 ∆ti
  i
                                                           b
                                               →               x′ (t)2 + y ′ (t)2 + z ′ (t)2 dt.
                                                       a

Theorem 2.5.3. If a curve C in 3-dimensions is given parametrically by x =
x(t), y = y(t), and z = z(t) for a ≤ t ≤ b, then the arc length is
                               b
                                   x′ (t)2 + y ′ (t)2 + z ′ (t)2 dt.
                           a


                                              83
2.5. ARC LENGTHS


Example 2.5.3. Find the arc length of the helix x = cos(t), y = sin(t), z = t
for 0 ≤ t ≤ 4π.
  Solution: We have

           b
                                                    4π
               x′ (t)2 + y ′ (t)2 + z ′ (t)2 dt =   0
                                                         sin(t)2 + cos(t)2 + 1 dt
       a
                                                         4π √         √
                                              =          0
                                                              2 dt = 4 2π.




                                               84
Chapter 3

Polar coordinates and
trigonometric integrals

The rectangular coordinate system is immensely useful, but it is not the only
way to assign an address to a point in the plane and sometimes it is not the
most useful. In applications to physical problems where there is some “cylin-
drical symmetry”, such as a vibrating drum or water moving along a pipe, the
most natural coordinates are often polar coordinates rather than rectangular
coordinates.
  In many experimental situations, our location is fixed and we, using sonar or
radar, take readings in different directions (Figure 3.2); this information can be
graphed using rectangular coordinates (e.g., with the angle on the horizontal
axis and the measurement on the vertical axis).




              Figure 3.1: Sonar and radar use polar coordinates.




                                       85
Sometimes, however, it is more useful to plot the information in a way similar
to the way in which it was collected, as magnitudes along radial lines (Figure
3.2). This system is called the Polar Coordinate System.




                          Figure 3.2: Polar coordinates.


Example 3.0.4. SOS! You’ve just received a distress signal from a ship located
at A on your radar screen (Figure 3.3). Describe its location to your captain so
your vessel can speed to the rescue.




             Figure 3.3: Polar coordinate figure for Example 3.0.4.

  Solution: You could convert the relative location of the other ship to rectan-
gular coordinates and then tell your captain to go due east for 7.5 miles and
north for 13 miles, but that certainly is not the quickest way to reach the other
ship. It is better to tell the captain to sail for 15 miles in the direction of 60o .
If the distressed ship was at B on the radar screen, your vessel should sail for
10 miles in the direction 150o . (Real radar screens have 0o at the top of the
screen, but the convention in mathematics is to put 0o in the direction of the
positive x–axis and to measure positive angles counterclockwise from there. And
of course a real sailor speaks of “bearing” and “range” instead of direction and
magnitude.)

                                         86
3.1. POLAR COORDINATES


Practice 3.0.1. Describe the locations of the ships at C and D in Figure 3.3
by giving a distance and a direction to those ships from your current position at
the center of the radar screen.

  Points in Polar Coordinates: To construct a polar coordinate system we need
a starting point (called the origin or pole) for the magnitude measurements and
a starting direction (called the polar axis) for the angle measurements. A polar
coordinate pair for a point P in the plane is an ordered pair (r, θ), where r is
the directed distance along a radial line from O to P , and θ is the angle formed
by the polar axis and the segment OP . The angle θ is positive when the angle
of the radial line OP is measured counterclockwise from the polar axis, and θ
is negative when measured clockwise.
  Degree or Radian Measure for θ?: Either degree or radian measure can be
used for the angle in the polar coordinate system, but when we differentiate
and integrate trigonometric functions of θ we will always want all of the angles
to be given in radian measure. From now on, we will primarily use radian
measure. You should assume that all angles are given in radian measure unless
the units “ o ” (“degrees”) are shown.
  In the rectangular coordinate system, the derivative dy/dx measured both the
rate of change of y with respect to x and the slope of the tangent line. In the
polar coordinate system dr/dθ measures the rate of change of r with respect to
θ. The sign of dr/dθ tells us whether r is increasing or decreasing as θ increases.




                   Figure 3.4: r changing as a function of θ.



3.1     Polar Coordinates
Rectangular coordinates allow us to describe a point (x, y) in the plane in a
different way, namely
                               (x, y) ↔ (r, θ),
where r is any real number and θ is an angle.
  Polar coordinates are extremely useful, especially when thinking about com-
plex numbers. Note, however, that the (r, θ) representation of a point is very
non-unique.

                                        87
3.1. POLAR COORDINATES


  First, θ is not determined by the point. You could add 2π to it and get the
same point:

                   π            9π                π                       −7π
              2,       =   2,             = 2,      + 389 · 2π . =   2,
                   4             4                4                        4

 Also that r can be negative introduces further non-uniqueness:

                                          π               3π
                                     1,       =     −1,        .
                                          2                2

Think about this as follows: facing in the direction 3π/2 and backing up 1 meter
gets you to the same point as looking in the direction π/2 and walking forward
1 meter.
  We can convert back and forth between Cartesian and polar coordinates using
that


                                           x = r cos(θ)                         (3.1)
                                           y = r sin(θ),                        (3.2)

and in the other direction

                                          r2 = x2 + y 2                         (3.3)
                                               y
                                      tan(θ) =                                  (3.4)
                                               x

(Thus r = ± x2 + y 2 and θ = tan−1 (y/x).)




           Figure 3.5: Rectangular to polar coordinate conversion.


Example 3.1.1. Sketch r = sin(θ), which is a circle sitting on top the x axis.
  We plug in points for one period of the function we are graphing—in this case
[0, 2π]:

                                                  88
3.1. POLAR COORDINATES




  Figure 3.6: Plot of (a) r = 1, 0 < θ < π/6, and (b) r = sin(θ), 0 < θ < 2π.

                         0          sin(0) = 0
                         π/6        sin(π/6) = 1/2
                                               √
                         π/4        sin(π/4) = 22
                         π/2        sin(π/2) = 1 √
                         3π/4       sin(3π/4) = 22
                         π          sin(π) = 0
                         π + π/6    sin(π + π/6) = −1/2
Notice it is nice to allow r to be negative, so we don’t have to restrict the input.
BUT it is really painful to draw this graph by hand.
  To more accurately draw the graph, let’s try converting the equation to one
involving polar coordinates. This is easier if we multiply both sides by r:

                                   r2 = r sin(θ).

Note that the new equation has the extra solution (r = 0, θ = anything), so we
have to be careful not to include this point. Now convert to Cartesian coordinates
using (3.1) to obtain (3.3):
                                    x2 + y 2 = y.                            (3.5)
The graph of (3.5) is the same as that of r = sin(θ). To confirm this we complete
the square:

                                       x2 + y 2 = y
                                   x2 + y 2 − y = 0
                              x2 + (y − 1/2)2 = 1/4


Thus the graph of (3.5) is a circle of radius 1/2 centered at (0, 1/2).
  Actually any polar graph of the form r = a sin(θ) + b cos(θ) is a circle (exercise
for the interested reader).

                                        89
3.2. AREAS IN POLAR COORDINATES


3.2     Areas in Polar Coordinates
The previous section introduced the polar coordinate system and discussed how
to plot points, how to create graphs of functions (from data, a rectangular
graph, or a formula), and how to convert back and forth between the polar
and rectangular coordinate systems. This section examines calculus in polar
coordinates: rates of changes, slopes of tangent lines, areas, and lengths of
curves. The results we obtain may look different, but they all follow from the
approaches used in the rectangular coordinate system.
  We know how to compute the area of a sector, i.e., piece of a circle with angle
θ. [[draw picture]]. This is the basic polar region. The area is

                                                                  θ              1 2
      A = (fraction of the circle) · (area of circle) =                · πr2 =     r θ.
                                                                 2π              2

  We now imitate what we did before with Riemann sums. We chop up, ap-
proximate, and take a limit. Break the interval of angles from a to b into n
                         ∗
subintervals. Choose θi in each interval. The area of each slice is approxi-
                ∗ 2 2
mately (1/2)f (θi ) θi . Thus
                                                    n
                                                         1
              A = Area of the shaded region ∼              f (θi )2 ∆(θ).
                                                               ∗

                                                   i=1
                                                         2

Taking the limit, we see that
                             n                               b
                                  1                1
                 A = lim            f (θi )2 ∆(θ) = ·
                                        ∗
                                                                 f (θ)2 dθ.               (3.6)
                      n→∞
                            i=1
                                  2                2     a

Amazing! By understanding the definition of Riemann sum, we’ve derived a
formula for areas swept out by a polar graph. But does it work in practice?
Example 3.2.1. Find the area enclosed by one leaf of the four-leaved rose
r = cos(2θ).




              Figure 3.7: Graph of y = cos(2x) and r = cos(2θ).

 This was plotted in Sage using these commands:

                                         90
3.2. AREAS IN POLAR COORDINATES



sage: P1 = polar_plot(lambda x:cos(2*x), 0, 2*pi, rgbcolor=(0,0,1))
sage: P2 = plot(lambda x:cos(2*x), 0, 2*pi, rgbcolor=(1,0,0),linestyle=":")
sage: show(P1+P2)



To find the area using the methods we know so far, we would need to find a
function y = f (x) that gives the “height” of the leaf.
  Multiplying both sides of the equation r = cos(2θ) by r yields
                                                              1
         r2 = r cos(2θ) = r(cos2 θ − sin2 θ) =                  ((r cos θ)2 − (r sin θ)2 ).
                                                              r
Because r2 = x2 + y 2 and x = r cos(θ) and y = r sin(θ), we have
                                                  1
                           x2 + y 2 =                        (x2 − y 2 ).
                                                 x2   + y2

Solving for y is a crazy mess, and then integrating? It seems impossible!
  But it isn’t... if we remember the basic idea of integral calculus: integral equals
area.
  We need the boundaries of integration to determine the area. Start at θ =
−π/4 and go to θ = π/4. As a check, note that cos((−π/4) · 2) = 0 = cos((π/4) ·
2). We evaluate
                π/4                         π/4
          1
            ·          cos(2θ)2 dθ =              cos(2θ)2 dθ            (even function)
          2     −π/4                    0
                                                 π/4
                                       1
                                  =                    (1 + cos(4θ))dθ
                                       2     0
                                                                     π/4
                                   1     1
                                  =   θ + · sin(4θ)
                                   2     4                           0
                                   π
                                  = .
                                   8
We used that

     cos2 (x) = (1 + cos(2x))/2             and           sin2 (x) = (1 − sin(2x))/2,         (3.7)

which follow from

          cos(2x) = cos2 (x) − sin2 (x) = 2 cos2 (x) − 1 = 1 − 2 sin2 (x).
                                                  π
 Therefore, by (3.6), the area is A =             8.

Example 3.2.2. Find area of region inside the curve r = 3 cos(θ) and outside
the cardiod curve r = 1 + cos(θ).


                                                  91
3.2. AREAS IN POLAR COORDINATES




             Figure 3.8: Graph of r = 3 cos(x) and r = 1 + cos(θ).



 Figure 3.8 was plotted in Sage using these commands:




sage: P1 = polar_plot(lambda x:3*cos(x), 0, 2*pi, rgbcolor=(0,0,1))
sage: P2 = polar_plot(lambda x:1+cos(x), 0, 2*pi, rgbcolor=(1,0,0),linestyle=":")
sage: show(P1+P2)




Solution: This is the same as before. It’s the difference of two areas. Figure out
the limits, which are where the curves intersect, i.e., the θ such that

                               3 cos(θ) = 1 + cos(θ).

Solving, 2 cos(θ) = 1, so cos(θ) = 1/2, hence θ = π/3 and θ = −π/3. Thus the
area is

                               π/3
                         1
                   A=                (3 cos(θ))2 − (1 + cos(θ))2 dθ
                         2    −π/3
                             π/3
                     =             (3 cos(θ))2 − (1 + cos(θ))2 dθ,
                         0


since the integrand is an even function. Now, expand this out algebraically and

                                            92
3.3. COMPLEX NUMBERS


integrate term-by-term:
     π/3                                          π/3
           (3 cos(θ))2 − (1 + cos(θ))2 dθ =             (8 cos2 (θ) − 2 cos(θ) − 1)dθ
 0                                            0
                                                  π/3
                                                               1
                                         =                8·     (1 + cos(2θ)) − 2 cos(θ) − 1 dθ
                                              0                2
                                                  π/3
                                         =              3 + 4 cos(2θ) − 2 cos(θ)dθ
                                              0
                                                                              π/3
                                         = 3θ + 2 sin(2θ) − 2 sin(θ)
                                                                              0
                                                            3        3
                                         =π+2·                −2       −0−2·0−2·0
                                                            2        2
                                         = π.

Practice 3.2.1. The area of the shaded region in Figure 3.9.




                                Figure 3.9: Graph of r = θ.



3.3           Complex Numbers
A complex number is an expression of the form a + bi, where a and b are real
numbers, and i2 = −1. We add and multiply complex numbers as follows:


                        (a + bi) + (c + di) = (a + c) + (b + d)i
                         (a + bi) · (c + di) = (ac − bd) + (ad + bc)i

The complex conjugate of a complex number is

                                      a + bi = a − bi.

                                              93
3.3. COMPLEX NUMBERS


Note that
                             (a + bi)(a + bi) = a2 + b2
is a real number (has no complex part).
  If c + di = 0, then

            a + bi   (a + bi)(c − di)     1
                   =      2 + d2
                                      = 2     ((ac + bd) + (bc − ad)i).
            c + di       c             c + d2
Example 3.3.1. (1−2i)(8−3i) = 2−19i and 1/(1+i) = (1−i)/2 = 1/2−(1/2)i.
  Complex numbers are incredibly useful in providing better ways to under-
stand ideas in calculus, and more generally in many applications (e.g., electrical
engineering, quantum mechanics, fractals, etc.). For example,
   • Every polynomial f (x) factors as a product of linear factors (x − α), if we
     allow the α’s in the factorization to be complex numbers. For example,

                              f (x) = x2 + 1 = (x − i)(x + i).

     This will provide an easier to use variant of the “partial fractions” inte-
     gration technique, which we will see later.
   • Complex numbers are in correspondence with points in the plane via
     (x, y) ↔ x + iy. Via this correspondence we obtain a way to add and
     multiply points in the plane.
   • Similarly, points in polar coordinates correspond to complex numbers:

                               (r, θ) ↔ r(cos(θ) + i sin(θ)).

   • Complex numbers provide a very nice way to remember and understand
     trig identities.

3.3.1    Polar Form
The polar form of a complex number x + iy is r(cos(θ) + i sin(θ)) where (r, θ)
are any choice of polar coordinates that represent the point (x, y) in rectangular
coordinates. Recall that you can find the polar form of a point using that

                     r=      x2 + y 2   and    θ = tan−1 (y/x).
  NOTE: Historically, the “existence” of complex numbers wasn’t generally ac-
cepted until people got used to a geometric interpretation of them.
Example 3.3.2. Find √ polar form of 1 + i.
                     the
Solution. We have r = 2, so
                     √       1   i          √
              1+i=       2   √ +√       =    2 (cos(π/4) + i sin(π/4)) .
                              2   2

                                         94
3.3. COMPLEX NUMBERS

                                                √
Example 3.3.3. Find √ polar form of
                     the                         3 − i.
Solution. We have r = 3 + 1 = 2, so
                            √
            √                 3    −1
             3−i=2              +i        = 2 (cos(−π/6) + i sin(−π/6))
                             2      2




                                             √
                      Figure 3.10: Plot of    3 − i, as a vector.

  This was plotted in Sage using these commands:


sage:   P1 = circle((0,0), 2)
sage:   P2 = arrow((0,0),(sqrt(3),-1))
sage:   P3 = text("$sqrt{3}-i$",(2,-1))
sage:   P4 = text("$-i$",(0.2,-1))
sage:   P5 = text("$i$",(0.2,1))
sage:   show(P1+P2+P3+P4+P5)


  Finding the polar form of a complex number is exactly the same problem as
finding polar coordinates of a point in rectangular coordinates. The only hard
part is figuring out what θ is.
  If we write complex numbers in rectangular form, their sum is easy to compute:

                       (a + bi) + (c + di) = (a + c) + (b + d)i

The beauty of polar coordinates is that if we write two complex numbers in
polar form, then their product is very easy to compute:

r1 (cos(θ1 )+i sin(θ1 ))·r2 (cos(θ2 )+i sin(θ2 )) = (r1 r2 )(cos(θ1 +θ2 )+i sin(θ1 +θ2 )).

The magnitudes multiply and the angles add. The above formula is true because
of the double angle identities for sin and cos:

                                           95
3.3. COMPLEX NUMBERS




(cos(θ1 ) + i sin(θ1 )) · (cos(θ2 ) + i sin(θ2 ))
          = (cos(θ1 ) cos(θ2 ) − sin(θ1 ) sin(θ2 )) + i(sin(θ1 ) cos(θ2 ) + cos(θ1 ) sin(θ2 ))
          = cos(θ1 + θ2 ) + i sin(θ1 + θ2 )).
  For example, the power of a singular complex number in polar form is easy to
compute; just power the r and multiply the angle.
Theorem 3.3.1 (De Moivre’s). For any integer n we have
                   (r(cos(θ) + i sin(θ)))n = rn (cos(nθ) + i sin(nθ)).
Example 3.3.4. Compute (1 + i)2006 .
Solution. We have
                           √
            (1 + i)2006 = ( 2 (cos(π/4) + i sin(π/4)))2006
                          √ 2006
                        = 2      (cos(2006π/4) + i sin(2006π/4)))
                             = 21003 (cos(3π/2) + i sin(3π/2)))
                             = −21003 i
To get cos(2006π/4) = cos(3π/2) we use that 2006/4 = 501.5, so by periodicity
of cosine, we have
        cos(2006π/4) = cos((501.5)π − 250(2π)) = cos(1.5π) = cos(3π/2).


  Here’s a quick summary of what we’ve just learned: Given a point (x, y) in the
plane, we can also view it as x + iy or in polar form as r(cos(θ) + i sin(θ)). Polar
form is great since it’s good for multiplication, powering, and for extracting
roots:
r1 (cos(θ1 ) + i sin(θ1 ))r2 (cos(θ2 ) + i sin(θ2 )) = (r1 r2 )(cos(θ1 + θ2 ) + i sin(θ1 + θ2 )).
(If you divide, you subtract the angle.) The point is that the polar form works
better with multiplication than the rectangular form. For any integer n, we have
                   (r(cos(θ) + i sin(θ)))n = rn (cos(nθ) + i sin(nθ)).


 Since we know how to raise a complex number in polar form to the nth power,
we can find all numbers with a given power, hence find the nth roots of a complex
number.
Proposition 3.3.1 (nth roots). A complex number z = r(cos(θ) + i sin(θ)) has
n distinct nth roots:
                                    θ + 2πk                θ + 2πk
                      r1/n cos                   + i sin                  ,
                                       n                      n
for k = 0, 1, . . . , n − 1. Here r1/n is the real positive n-th root of r.

                                               96
3.4. COMPLEX EXPONENTIALS AND TRIGONOMETRIC IDENTITIES


  As a double-check, note that by De Moivre, each number listed in the propo-
sition has nth power equal to z.
  An application of De Moivre is to computing sin(nθ) and cos(nθ) in terms of
sin(θ) and cos(θ). For example,

 cos(3θ) + i sin(3θ) = (cos(θ) + i sin(θ))3
                          = (cos(θ)3 − 3 cos (θ) sin(θ)2 ) + i(3 cos(θ)2 sin(θ) − sin(θ)3 )

Equate real and imaginary parts to get formulas for cos(3θ) and sin(3θ). In the
next section we will discuss going in the other direction, i.e., writing powers of
sin and cos in terms of sin and cosine.

Example 3.3.5. Find the cube roots of 2.
Solution. Write 2 in polar form as

                                   2 = 2(cos(0) + i sin(0)).

Then the three cube roots of 2 are

                              21/3 (cos(2πk/3) + i sin(2πk/3)),

for k = 0, 1, 2. I.e.,
                                         √                          √
                 21/3 ,    21/3 (−1/2 + i 3/2),       21/3 (−1/2 − i 3/2).


3.4       Complex Exponentials and Trigonometric Iden-
          tities
Recall that


r1 (cos(θ1 ) + i sin(θ1 ))r2 (cos(θ2 ) + i sin(θ2 )) = (r1 r2 )(cos(θ1 + θ2 ) + i sin(θ1 + θ2 )).
                                                                                          (3.8)
The angles add. You’ve seen something similar before:

                                         ea eb = aa+b .

This connection between exponentiation and (3.8) gives us an idea!
 If z = x + iy is a complex number, define

                                 ez = ex (cos(y) + i sin(y)).

We have just written polar coordinates in another form. It’s a shorthand for
the polar form of a complex number:

                                 r(cos(θ) + i sin(θ)) = reiθ .

                                               97
3.4. COMPLEX EXPONENTIALS AND TRIGONOMETRIC IDENTITIES


Theorem 3.4.1. If z1 , z2 are two complex numbers, then
                                   ez1 ez2 = ez1 +z2
Proof.
           ez1 ez2 = ea1 (cos(b1 ) + i sin(b1 )) · ea2 (cos(b2 ) + i sin(b2 ))
                  = ea1 +a2 (cos(b1 + b2 ) + i sin(b1 + b2 ))
                  = ez1 +z2 .
Here we have just used (3.8).
 The following theorem is amazing, since it involves calculus.
Theorem 3.4.2. If w is a complex number, then
                                  d wx
                                    e = wewx ,
                                 dx
for x real. In fact, this is even true for x a complex variable (but we haven’t
defined differentiation for complex variables yet).
Proof. Write w = a + bi.

                   d wx    d ax+bix
                     e =     e
                  dx      dx
                           d ax
                        =    (e (cos(bx) + i sin(bx)))
                          dx
                           d ax
                        =    (e cos(bx) + ieax sin(bx))
                          dx
                           d ax               d
                        =    (e cos(bx)) + i (eax sin(bx))
                          dx                 dx

Now we use the product rule to get

  d ax              d
    (e cos(bx)) + i (eax sin(bx))
 dx                dx
                = aeax cos(bx) − beax sin(bx) + i(aeax sin(bx) + beax cos(bx))
                = eax (a cos(bx) − b sin(bx) + i(a sin(bx) + b cos(bx))


On the other hand,

         wewx = (a + bi)eax+bxi
               = (a + bi)eax (cos(bx) + i sin(bx))
               = eax (a + bi)(cos(bx) + i sin(bx))
               = eax ((a cos(bx) − b sin(bx)) + i(a sin(bx)) + b cos(bx))
 Wow!! We did it!

                                           98
3.4. COMPLEX EXPONENTIALS AND TRIGONOMETRIC IDENTITIES


  That Theorem 3.4.2 is true is pretty amazing. It’s what really gets complex
analysis going.
Example 3.4.1. Here’s another amusing fact (if only for its obfuscating effect):
1 = −eiπ .
Solution. By definition, have eiπ = cos(π) + i sin(π) = −1 + i0 = −1.

3.4.1     Trigonometry and Complex Exponentials
Amazingly, trig functions can also be expressed back in terms of the complex
exponential. Then everything involving trig functions can be transformed into
something involving the exponential function. This is very surprising.
  In order to easily obtain trig identities like cos(x)2 + sin(x)2 = 1, let’s write
cos(x) and sin(x) as complex exponentials. From the definitions we have

                              eix = cos(x) + i sin(x),
so

                 e−ix = cos(−x) + i sin(−x) = cos(x) − i sin(x).
Adding these two equations and dividing by 2 yields a formula for cos(x), and
subtracting and dividing by 2i gives a formula for sin(x):

                         eix + e−ix               eix − e−ix
                  cos(x) =               sin(x) =            .                  (3.9)
                              2                       2i
 We can now derive trig identities. For example,


                          ei2x − e−i2x
               sin(2x) =
                               2i
                          (eix − e−ix )(eix + e−ix )
                        =
                                     2i
                           eix − e−ix eix + e−ix
                        =2                        = 2 sin(x) cos(x).
                                2i          2
 I’m unimpressed, given that you can get this much more directly using

(cos(2x) + i sin(2x)) = (cos(x) + i sin(x))2 = cos2 (x) − sin2 (x) + i2 cos(x) sin(x),

and equating imaginary parts. But there are more interesting examples.
  Next we verify that (3.9) implies that cos(x)2 + sin(x)2 = 1. We have

                                                                   2
                                              2       eix − e−ix
        4(cos(x)2 + sin(x)2 ) = eix + e−ix        +
                                                           i
                              = e2ix + 2 + e−2ix − (e2ix − 2 + e−2ix ) = 4.

The equality just appears as a follow-your-nose algebraic calculation.

                                         99
3.4. COMPLEX EXPONENTIALS AND TRIGONOMETRIC IDENTITIES




                         Figure 3.11: Plot of y = sin(x)3 .


Example 3.4.2. Compute sin(x)3 as a sum of sines and cosines with no powers.

 Solution. We use (3.9):
                                        3
               3        eix − e−ix
         sin(x) =
                            2i
                             3
                        1
                   =             (eix − e−ix )3
                        2i
                             3
                        1
                   =             (eix − e−ix )(eix − e−ix )(eix − e−ix )
                        2i
                             3
                        1
                   =             (eix − e−ix )(e2ix − 2 + e−2ix )
                        2i
                             3
                        1
                   =             (e3ix − 2eix + e−ix − eix + 2e−ix − e−3ix )
                        2i
                             3
                        1
                   =             ((e3ix − e−3ix ) − 3(eix − e−ix ))
                        2i
                          1    e3ix − e−3ix     eix − e−ix
                   =−                       −3·
                          4         2i              2i
                     3 sin(x) − sin(3x)
                   =                    .
                              4
 You can also do this in Sage:


sage: y = sin(x)^3
sage: maxima(y).trigreduce()
(3*sin(x)-sin(3*x))/4


                                            100
3.5. INTEGRALS OF TRIGONOMETRIC FUNCTIONS


3.5     Integrals of Trigonometric Functions
There are an overwhelming number of combinations of trigonometric functions
which appear in integrals, but fortunately they fall into a few patterns and most
of their integrals can be found using reduction formulas and tables of integrals.
This section examines some of the patterns of these combinations and illustrates
how some of their integrals can be derived.


        sin(ax) sin(bx) dx,       cos(ax) cos(bx) dx,     sin(ax) cos(bx) dx.

  Products of Sine and Cosine:
  All of these integrals are handled by referring to the trigonometric identities
for sine and cosine of sums and differences:


                 sin(A + B) = sin(A) cos(B) + cos(A) sin(B)
                 sin(A − B) = sin(A) cos(B) − cos(A) sin(B)
                 cos(A + B) = cos(A) cos(B) − sin(A) sin(B)
                 cos(A − B) = cos(A) cos(B) + sin(A) sin(B).

By adding or subtracting the appropriate pairs of identities, we can write the
various products such as sin(ax) cos(bx) as a sum or difference of single sines or
cosines. For example, by adding the first two identities we get 2 sin(A) cos(B) =
sin(A + B) + sin(A − B) so sin(A) cos(B) = 2sin(A + B) + sin(A − B). Using
this last identity, the integral of sin(ax) cos(bx) for a = b is relatively easy:

                                  1
         sin(ax) cos(bx) dx =       [sin((a + b)x) + sin((a − b)x)] dx
                                  2
                               1 − cos((a − b)x) − cos((a + b)x)
                              = [                  +                  ] + C.
                               2        a−b                a+b
The other integrals of products of sine and cosine follow in a similar manner.
 For a = b:



                               1 sin((a − b)x) sin((a + b)x)
           sin(ax) sin(bx) dx =  [              −            ] + C,
                               2      a−b           a+b
                               1 sin((a − b)x) sin((a + b)x)
          cos(ax) cos(bx) dx = [                +            ] + C,
                               2      a−b           a+b
                                  1 cos((a − b)x) cos((a + b)x)
          sin(ax) cos(bx) dx = − [                +             ] + C.
                                  2     a−b           a+b


 This is confirmed by Sage:

                                        101
3.5. INTEGRALS OF TRIGONOMETRIC FUNCTIONS



sage: a,b = var("a,b")
sage: integral(sin(a*x)*cos(b*x),x)
-((b - a)*cos((b + a)*x) + (-b - a)*cos((b - a)*x))/(2*b^2 - 2*a^2)
sage: integral(sin(a*x)*sin(b*x),x)
-((b - a)*sin((b + a)*x) + (-b - a)*sin((b - a)*x))/(2*b^2 - 2*a^2)
sage: integral(cos(a*x)*cos(b*x),x)
((b - a)*sin((b + a)*x) + (b + a)*sin((b - a)*x))/(2*b^2 - 2*a^2)




For a = b:



                                       x sin(ax) cos(ax)
                         sin(ax)2 dx =   −               + C,
                                       2         2a
                                       x sin(ax) cos(ax)
                        cos(ax)2 dx = +                  + C,
                                       2         2a
                                       sin(ax)2
                  sin(ax) cos(ax) dx =          + C.
                                          2a


The first and second of these integral formulas follow from the identities sin(ax)2 =
1−cos(2ax)
     2     and cos(ax)2 = 1+cos(2ax) , and the third can be derived by a substi-
                                2
tution using the variable to u = sin(ax). These formulas too are confirmed by
Sage:


sage: a = var("a")
sage: integral(cos(a*x)^2,x)
(sin(2*a*x) + 2*a*x)/(4*a)
sage: integral(sin(a*x)^2,x)
-(sin(2*a*x) - 2*a*x)/(4*a)
sage: integral(sin(a*x)*cos(a*x),x)
-cos(a*x)^2/(2*a)

                                                                              2
Remark 3.5.1. Note that Sage tells us that      sin(ax) cos(ax) dx = − cos(ax) +
                                                                          2a
                                                           2
C but the table tells us that sin(ax) cos(ax) dx = sin(ax) + C. Aside from the
                                                      2a
ambiguity in the notation “+C”, these are the same since sin(ax)2 = − cos(ax)+
1. In other words, if you keep in mind that “+C” in one equation is not the
same as “+C” in another, these formulas are the same.

                                       102
3.5. INTEGRALS OF TRIGONOMETRIC FUNCTIONS


Example 3.5.1. Compute sin3 (x)dx.
We use trig. identities and compute the integral directly as follows:

        sin3 (x)dx =     sin2 (x) sin(x)dx

                   =    [1 − cos2 (x)] sin(x)dx
                                  1
                   = − cos(x) +     cos3 (x) + c     (substitution u = cos(x))
                                  3
This idea always works for odd powers of sin(x).
Example 3.5.2. What about even powers?! Compute              sin4 (x)dx. We have

                  sin4 (x) = [sin2 (x)]2
                                                 2
                                1 − cos(2x)
                           =
                                     2
                             1
                           =   · 1 − 2 cos(2x) + cos2 (2x)
                             4
                             1                  1 1
                           =    1 − 2 cos(2x) + + cos(4x)
                             4                  2 2

Thus
                                   3 1            1
                  sin4 (x)dx =      − cos(2x) + cos(4x) dx
                                   8 2            8
                                3   1          1
                               = x − sin(2x) +    sin(4x) + c.
                                8   4          32
Key Trick: Realize that we should write sin4 (x) as (sin2 (x))2 . The rest is
straightforward.
  Patterns for sin(x)m cos(x)n dx: If the exponent of sine is odd, we can split
off one factor sin(x) and use the trig identity sin(x)2 = 1 − cos(x)2 to rewrite
the remaining even power of sine in terms of cosine. Then the change of variable
u = cos(x) makes all of the integrals straightforward. If the exponent of cosine
is odd, we can split off one factor cos(x) and use the trig identity cos(x)2 =
1 − sin(x)2 to rewrite the remaining even power of sine in terms of cosine. Then
the change of variable u = sin(x) makes all of the integrals straightforward.
If both exponents are even, we can use the identities sin(x)2 = 1−cos(2x) and
                                                                        2
cos(x)2 = 1+cos(2x) to rewrite the integral in terms of powers of cos(2x) and
                2
then proceed with integrating even powers of cosine.
Example 3.5.3. This example illustrates a method for computing integrals of
trig functions that doesn’t require knowing any trig identities at all or any tricks.
It is very tedious though. We compute sin3 (x)dx using complex exponentials.
We have

                                           103
3.5. INTEGRALS OF TRIGONOMETRIC FUNCTIONS



                               eix + e−ix                    eix − e−ix
                 cos(x) =                         sin(x) =              .
                                    2                            2i
hence
                                            3
                               eix − e−ix
          sin3 (x)dx =                          dx
                                   2i
                          1
                     =−        (eix − e−ix )3 dx
                          8i
                          1
                     =−        (eix − e−ix )(eix − e−ix )(eix − e−ix )dx
                          8i
                          1
                     =−        (e2ix − 2 + e−2ix )(eix − e−ix )dx
                          8i
                          1
                     =−        e3ix − eix − 2eix + 2e−ix + e−ix − e−3ix dx
                          8i
                          1
                     =−        e3ix − e−3ix + 3e−ix − 3eix dx
                          8i
                          1 e3ix      e−3ix      3e−ix    3eix
                     =−             −         +        −         +c
                          8i    3i     −3i        −i       i
                       1 1
                     =        cos(3x) − 3 cos(x) + c
                       4 3
                        1             3
                     =     cos(3x) − cos(x) + C.
                       12             4
The answer looks totally different, but is in fact the same function.
Example 3.5.4. The complex exponentials method used in the previous example
also works for powers of different trig functions. For instance,


                               eix − e−ix 3 eix + e−ix 2
  sin3 (x) cos2 (x) dx =   (             ) )(         ) ) dx
                                   2i            2
                      =     −ie5ix /32 + ie3ix /32 + ieix /16 − ie−ix /16 − ie−3ix /32 + ie−5ix /32

                      = −e5ix /160 + e3ix /96 + eix /16 + e−ix /16 + e−3ix /96 − e−5ix /160 + C
                      = (−e5ix /160 − e−5ix /160) + (e3ix /96 + e−3ix /96) + (eix /16 + e−ix /16) + C
                      = − cos(5x)/80 + cos(3x)/32 + cos(x)/8 + C.

 Here are some more identities that we’ll use in illustrating some tricks below.


                                   d
                                     tan(x) = sec2 (x)                       (3.10)
                                  dx

and

                                            104
3.5. INTEGRALS OF TRIGONOMETRIC FUNCTIONS




                              d
                                sec(x) = sec(x) tan(x).                          (3.11)
                             dx

Also,



                               1 + tan2 (x) = sec2 (x).                          (3.12)

Example 3.5.5. Compute            tan3 (x)dx. We have


                     tan3 (x)dx =     tan(x) tan2 (x)dx

                               =      tan(x) sec2 (x) − 1 dx

                               =      tan(x) sec2 (x)dx −      tan(x)dx
                                    1
                               =      tan2 (x) − ln | sec(x)| + c
                                    2

Here we used the substitution u = tan(x), so du = sec2 (x)dx, so

                                                 1 2      1
               tan(x) sec2 (x)dx =       udu =     u + c = tan2 (x) + c.
                                                 2        2

Also, with the substitution u = cos(x) and du = − sin(x)dx we get

                        sin(x)              1
        tan(x)dx =             dx = −         du = − ln |u| + c = − ln | sec(x)| + c.
                        cos(x)              u

Key trick: Write tan3 (x) as tan(x) tan2 (x).

Example 3.5.6. Here’s one that combines trig identities with the funnest vari-
ant of integration by parts. Compute sec3 (x)dx.
We have
                            sec3 (x)dx =      sec(x) sec2 (x)dx.

Let’s use integration by parts.

                u = sec(x)                                v = tan(x)
               du = sec(x) tan(x)dx                      dv = sec2 (x)dx

                                           105
3.5. INTEGRALS OF TRIGONOMETRIC FUNCTIONS


The above integral becomes

        sec(x) sec2 (x)dx = sec(x) tan(x) −        sec(x) tan2 (x)dx

                         = sec(x) tan(x) −         sec(x)[sec2 (x) − 1]dx

                         = sec(x) tan(x) −         sec3 (x) +   sec(x)dx

                         = sec(x) tan(x) −         sec3 (x) + ln | sec(x) + tan(x)|



This is familiar. Solve for     sec3 (x). We get

                              1
             sec3 (x)dx =       sec(x) tan(x) + ln | sec(x) + tan(x)| + c
                              2

3.5.1    Some Remarks on Using Complex-Valued Functions
Consider functions of the form

                                     f (x) + ig(x),                               (3.13)
where x is a real variable and f, g are real-valued functions. For example,

                                eix = cos(x) + i sin(x).

We observed before that
                                     d wx
                                       e = wewx
                                    dx
hence
                                              1 wx
                                   ewx dx =     e + c.
                                              w
For example, writing it eix as in (3.13), we have

                        eix dx =      cos(x)dx + i      sin(x)dx

                                 = sin(x) − i cos(x) + c
                                 = −i(cos(x) + i sin(x)) + c
                                   1
                                 = eix .
                                   i
                                       1
Example 3.5.7. Let’s compute              dx. Wouldn’t it be nice if we could just
                                     x+i
write ln(x + i) + c? This is useless for us though, since we haven’t even defined
ln(x + i)! However, we can “rationalize the denominator” by writing

                                          106
3.5. INTEGRALS OF TRIGONOMETRIC FUNCTIONS



                     1              1    x−i
                        dx =           ·       dx
                    x+i           x+i x−i
                                   x−i
                            =            dx
                                  x2 + 1
                                     x              1
                            =      2+1
                                         dx − i    2+1
                                                       dx
                                  x               x
                                1
                            =     ln |x2 + 1| − i tan−1 (x) + c.
                                2


This informs how we would define ln(z) for z complex (which you’ll do if you
take a course in complex analysis).
Key trick: Get the i in the numerator.

 The next example illustrates an alternative to the method of Section 3.5.
Example 3.5.8.

                                   ei5x − e−i5x        ei5x + e−i5x
          sin(5x) cos(3x)dx =                      ·                  dx
                                        2i                   2
                             1
                           =       ei8x − e−i8x + ei2x − e−i2x dx + c
                             4i
                             1 ei8x      e−i8x   ei2x    e−i2x
                           =          +        +      +         +c
                             4i  8i       8i      2i      2i
                               1 1
                           =−       cos(8x) + cos(2x) + c
                               4 4

This is more tedious than the method in 3.5. But it is completely straightfor-
ward. You don’t need any trig formulas or anything else. You just multiply it
out, integrate, etc., and remember that i2 = −1.




                                      107
3.5. INTEGRALS OF TRIGONOMETRIC FUNCTIONS




                          108
Chapter 4

Integration techniques

4.1     Trigonometric Substitutions
The first homework problem is to compute
                                      2
                                                 1
                                     √
                                               √       dx.                                  (4.1)
                                         2   x3 x2 − 1

Your first idea might be to do some sort of substitution, e.g., u = x2 − 1,
but du = 2xdx is nowhere to be seen and this simply doesn’t work. Likewise,
integration by parts gets us nowhere. However, a technique called “inverse trig
substitutions” and a trig identity easily dispenses with the above integral and
several similar ones! Here’s the crucial table:


 Expression
 √             Inverse Substitution                                      Relevant Trig Identity
   2
 √a − x
         2     x = a sin(θ), − π ≤ θ ≤ π
                               2       2                                 1 − sin2 (θ) = cos2 (θ)
 √a
   2 + x2      x = a tan(θ), − π < θ < π
                                2       2                                1 + tan2 (θ) = sec2 (θ)
  x2 − a2      x = a sec(θ), 0 ≤ θ < π or π ≤ θ <
                                     2
                                                                  3π
                                                                   2     sec2 (θ) − 1 = tan2 (θ)

 Inverse substitution works as follows. If we write x = g(t), then

                                f (x)dx =          f (g(t))g ′ (t)dt.

This is not the same as substitution. You can just apply inverse substitution
to any integral directly—usually you get something even worse, but for the
integrals in this section using a substitution can vastly improve the situation.
  If g is a 1−1 function, then you can even use inverse substitution for a definite
integral. The limits of integration are obtained as follows.
                           b                   g −1 (b)
                               f (x)dx =                  f (g(t))g ′ (t)dt.                (4.2)
                       a                      g −1 (a)


                                               109
4.1. TRIGONOMETRIC SUBSTITUTIONS


To help you understand this, note that as t varies from g −1 (a) to g −1 (b), the
function g(t) varies from a = g(g −1 (a) to b = g(g −1 (b)), so f is being integrated
over exactly the same values. Note also that (4.2) once again illustrates Leibniz’s
brilliance in designing the notation for calculus.
  Let’s give it a shot with (4.1). From the table we use the inverse substitution

                                             x = sec(θ).

We get
                                         π
            2
                       1                 3         1
           √
                     √       dx =                           sec2 (θ) − 1 sec(θ) tan(θ)dθ
               2   x3 x2 − 1         π
                                     4
                                                 sec(θ)
                                         π
                                         3         1
                               =                        tan(θ) sec(θ) tan(θ)dθ
                                     π
                                     4
                                                 sec(θ)
                                         π
                                         3
                               =             cos( θ)dθ
                                     π
                                     4
                                                 π
                                 1               3
                               =                     1 + cos(2θ)dθ
                                 2           π
                                             4
                                                                  π
                                 1      1                         3
                               =    θ + sin(2θ)
                                 2      2                         π
                                                                  4
                                       √
                                 π       3 1
                               =    +     −
                                 24    8    4


  Wow! That was like magic. This is really an amazing technique. Let’s use it
again to find the area of an ellipse.

Example 4.1.1. Consider an ellipse with radii a and b, so it goes through
(0, ±b) and (±a, 0). An equation for the part of an ellipse in the first quadrant
is
                                    x2    b
                        y =b 1− 2 =           a2 − x2 .
                                    a     a
Thus the area of the entire ellipse is
                                                 a
                                                     b
                              A=4                         a2 − x2 dx.
                                             0       a

The 4 is because the integral computes 1/4th of the area of the whole ellipse. So
we need to compute
                                         a
                                                     a2 − x2 dx
                                     0

Obvious substitution with u = a2 − x2 ...? nope. Integration by parts...? nope.

                                                     110
4.1. TRIGONOMETRIC SUBSTITUTIONS


 Let’s try inverse substitution. The table above suggests using x = a sin(θ), so
dx = a cos(θ)dθ. We get

                       π                                           π
                       2                                           2
                                              2           2
                           a2   −   a2   sin (θ)dθ = a                  cos2 (θ)dθ       (4.3)
                   0                                           0
                                                                    π
                                                          a2        2
                                                      =                 1 + cos(2θ)dθ    (4.4)
                                                          2     0
                                                                                     π
                                                        a2    1                      2
                                                      =    θ + sin(2θ)                   (4.5)
                                                        2     2                      0
                                                          a2 π  πa2
                                                      =     · =     .                    (4.6)
                                                          2 2    4

Thus the area is
                                                 b πa2
                                             4         = πab.
                                                 a 4

Consistency Check: If the ellipse is a circle, i.e., a = b = r, this is πr2 ,
which is a well-known formula for the area of a circle.

Remark 4.1.1. Trigonometric substitution is useful for functions that involve
√          √         √
  a2 − x2 , x2 + a2 , x2 − a, but not all at once!. See the above table for how
to do each.

 One other important technique is to use completing the square.

                                         √
Example 4.1.2. Compute                       5 + 4x − x2 dx. We complete the square:

                   5 + 4x − x2 = 5 − (x − 2)2 + 4 = 9 − (x − 2)2 .

Thus

                           5 + 4x − x2 dx =                    9 − (x − 2)2 dx.


We do a usual substitution to get rid of the x − 2. Let u = x − 2, so du = dx.
Then

                                9 − (x − 2)2 dx =                      9 − y 2 dy.


Now we have an integral that we can do; it’s almost identical to the previous
example, but with a = 9 (and this is an indefinite integral). Let y = 3 sin(θ), so

                                                    111
4.1. TRIGONOMETRIC SUBSTITUTIONS


dy = 3 cos(θ)dθ. Then

                    9 − (x − 2)2 dx =              9 − y 2 dy

                                       =           32 − 32 sin2 (θ)3 cos(θ)dθ

                                       =9        cos2 (θ) dθ
                                         9
                                       =         1 + cos(2θ)dθ
                                         2
                                         9             1
                                       =       θ+        sin(2θ) + C
                                         2             2


Of course, we must transform back into a function in x, and that’s a little tricky.
Use that
                            x − 2 = y = 3 sin(θ),
so that
                                                   x−2
                                   θ = sin−1               .
                                                    3

     9 − (x − 2)2 dx = · · ·

                        9     1
                      =    θ + sin(2θ) + C
                        2     2
                        9       x−2
                      =   sin−1        + sin(θ) cos(θ) + C
                        2         3
                          9            x−2              x−2             9 − (x − 2)2
                      =     sin−1                  +               ·                   + C.
                          2             3                3                  3


Here we use that sin(2θ) = 2 sin(θ) cos(θ). Also, to compute cos(sin−1 x−2 ),
                                                                        3
we draw a right triangle with side lengths x − 2 and 9 − (x − 2)2 , and hy-
potenuse 3.
Example 4.1.3. Compute
                                              1
                                      √                dt
                                          t2 − 6t + 13
To compute this, we complete the square, etc.
                                 1                             1
                       √                  dt =                         dt
                           t2   − 6t + 13               (t − 3)2 + 4



                                             112
4.2.     INTEGRATION BY PARTS


(You may want to visualize a triangle with sides 2 and t − 3 and hypotenuse
  (t − 3)2 + 4.) Then

                                  t − 3 = 2 tan(θ)
                                                             2
                           (t − 3)2 + 4 = 2 sec(θ) =
                                                           cos(θ)
                                       dt = 2 sec2 (θ)dθ

 Back to the integral, we have

                       1                  2 sec2 (θ)
                                dt =                 dθ
                 (t − 3)2 + 4             2 sec(θ)

                                   =      sec(θ)dθ

                                   = ln | sec(θ) + tan(θ)| + C
                                                                 t−3
                                   = ln     (t − 3)2 + 42 +          + C.
                                                                  2

4.2      Integration by Parts
The product rule is that

                       d
                         [f (x)g(x)] = f (x)g ′ (x) + f ′ (x)g(x).
                      dx
Integrating both sides leads to a new fundamental technique for integration:

                 f (x)g(x) =       f (x)g ′ (x)dx +       g(x)f ′ (x)dx.    (4.7)

Now rewrite (4.7) as

                    f (x)g ′ (x)dx = f (x)g(x) −          g(x)f ′ (x)dx.

Shorthand notation:

                   u = f (x)                          du = f ′ (x)dx
                   v = g(x)                           dv = g ′ (x)dx

Then have
                                  udv = uv −          vdu.

  So what! But what’s the big deal? Integration by parts is a fundamental
technique of integration. It is also a key step in the proof of many theorems in
calculus.

                                          113
4.2.   INTEGRATION BY PARTS


Example 4.2.1.       x cos(x)dx.

                     u=x                                  v = sin(x)
                    du = dx                              dv = cos(x)dx

We get

            x cos(x)dx = x sin(x) −           sin(x)dx = x sin(x) + cos(x) + c.

“Did this do anything for us?” Indeed, it did.
  Wait a minute—how did we know to pick u = x and v = sin(x)? We could
have picked them other way around and still written down true statements. Let’s
try that:
                                                                   1 2
                    u = cos(x)                                 v=    x
                                                                   2
                   du = − sin(x)dx                            dv = xdx
                                          1                1 2
                     x cos(x)dx =           x cos(x) +       x sin(x)dx.
                                          2                2
Did this help!? NO. Integrating x2 sin(x) is harder than integrating x cos(x).
This formula is completely correct, but is hampered by being useless in this case.
So how do you pick them?
       Choose the u so that when you differentiate it you get something sim-
       pler; when you pick dv, try to choose something whose antiderivative
       is simpler.
Sometimes you have to try more than once. But with a good eraser nobody will
know that it took you two tries.
Question If integration by parts once is good, then sometimes twice is even
better? Yes, in some examples (see Example 4.2.4). But in the above example,
you just undo what you did and basically end up where you started, or you get
something even worse.
                                     1
                                     2
Example 4.2.2. Compute                   sin−1 (x)dx. Two points:
                                 0

   1. It’s a definite integral.
   2. There is only one function; would you think to do integration by parts?
      But it is a product; it just doesn’t look like it at first glance.
  Your choice is made for you, since we’d be back where we started if we put
dv = sin−1 (x)dx.

                     u = sin−1 (x)                             v=x
                              1
                    du = √                                    dv = dx
                            1 − x2

                                              114
4.2.       INTEGRATION BY PARTS


We get
                            1                                                      1
                            2
                                  −1                     −1
                                                                     1             2      x
                                sin    (x)dx = x sin          (x)   0
                                                                     2
                                                                         −             √       dx.
                        0                                                      0        1 − x2
Now we use substitution with w = 1 − x , dw = −2xdx, hence xdx = − 1 dw.
                                                             2
                                                                   2
              1
              2        x          1                  1                     1
                  √        dx = −              w− 2 dw = −w 2 + c = − 1 − x2 + c.
          0           1−x2        2
Hence
              1                                                                        1
                                                                                                  √
              2
                      −1                      −1
                                                         1                             2     π      3
                  sin       (x)dx = x sin          (x)   2
                                                         0
                                                             +           1−    x2          =    +     −1
          0                                                                            0     12   2
But shouldn’t we change the limits because we did a substitution? (No, since
we computed the indefinite integral and put it back; this time we did the other
option.)
  Is there another way to do this? I don’t know. But for any integral, there
might be several different techniques. If you can think of any other way to guess
an antiderivative, do it; you can always differentiate as a check.
  Note: Integration by parts is tailored toward doing indefinite integrals.
Example 4.2.3. This example illustrates how to use integration by parts twice.
We compute
                                                    x2 e−2x dx

                                                                                  1
                                 u = x2                                     v = − e−2x
                                                                                  2
                                                                                 −2x
                                du = 2xdx                                  dv = e    dx
We have
                                      1
                       x2 e−2x dx = − x2 e−2x + xe−2x dx.
                                      2
Did this help? It helped, but it did not finish the integral off. However, we can
deal with the remaining integral, again using integration by parts. If you do it
twice, you what to keep going in the same direction. Do not switch your choice,
or you’ll undo what you just did.
                                                                                1
                                 u=x                                      v = − e−2x
                                                                                2
                                du = dx                                  dv = e−2x dx
                       1        1                                   1       1
         xe−2x dx = − xe−2x +                            e−2x dx = − xe−2x − e−2x + c.
                       2        2                                   2       4
Now putting this above, we have
                1         1       1            1
  x2 e−2x dx = − x2 e−2x − xe−2x − e−2x + c = − e−2x (2x2 + 2x + 1) + c.
                2         2       4            4

                                                         115
4.2.    INTEGRATION BY PARTS


  Do you think you might have to do integration by parts three times? What if
it were x3 e−2x dx? Grrr – you’d have to do it three times.

Example 4.2.4. Compute          ex cos(x)dx. Which should be u and which should
be v? Taking the derivatives of each type of function does not change the type.
As a practical matter, it doesn’t matter. Which would you prefer to find the
antiderivative of ? (Both choices work, as long as you keep going in the same
direction when you do the second step.)
                   u = cos(x)                            v = ex
                  du = − sin(x)dx                      dv = ex dx
We get
                       ex cos(x)dx = ex cos(x) +     ex sin(x)dx.

We have to do it again. This time we choose (going in the same direction):
                   u = sin(x)                           v = ex
                  du = cos(x)dx                        dv = ex dx
We get
               ex cos(x)dx = ex cos(x) + ex sin(x) −       ex cos(x)dx.

Did we get anywhere? Yes! No! First impression: all this work, and we’re back
where we started from! Yuck. Clearly we don’t want to integrate by parts yet
again. BUT. Notice the minus sign in front of ex cos(x)dx; You can add the
integral to both sides and get

                   2     ex cos(dx) = ex cos(x) + ex sin(x) + c.

Hence
                                       1 x
                        ex cos(dx) =     e (cos(x) + sin(x)) + c.
                                       2

4.2.1     More General Uses of Integration By Parts
The Integration By Parts Formula is also used to derive many of the entries
in the Table of Integrals. For some integrands such as xn ln(x), the result is
simply a function, an antiderivative of the integrand. For some integrands such
as sin(x)n , the result is a reduction formula, a formula which still contains an
integral, but the new integrand is the sine function raised to a smaller power,
sin(x)n−2 . By repeatedly applying the reduction formula, we can evaluate the
integral of sine raised to any positive integer power.
Practice 4.2.1. Let n = −1 be an integer. Evaluate            xn ln(x) dx using u =
ln(x) and dv = xn dx.
Practice 4.2.2. Let n = −1 be an integer. Apply integration by parts to
 xn ex dx using u = xn and dv = ex dx.

                                         116
4.3. FACTORING POLYNOMIALS


4.3        Factoring Polynomials
How do you compute something like

                                        x2 + 2
                                                       dx?
                                 (x − 1)(x + 2)(x + 3)
So far you have no method for doing this. The trick (which is called partial
fraction decomposition), is to write

                     x2 + 2                    1       2      11
                                 dx =               −     +         dx          (4.8)
                x3 + 4x2 + x − 6            4(x − 1) x + 2 4(x + 3)
The integral on the right is then easy to do (the answer involves ln’s).
  But how on earth do you right the rational function on the left hand side as
a sum of the nice terms of the right hand side? Doing this is called “partial
fraction decomposition”, and it is a fundamental idea in mathematics. It relies
on our ability to factor polynomials and solve linear equations. As a first hint,
notice that
                  x3 + 4x2 + x − 6 = (x − 1) · (x + 2) · (x + 3),
so the denominators in the decomposition correspond to the factors of the de-
nominator.
  Before describing the secret behind (4.8), we’ll discuss some background about
how polynomials and rational functions work.
Theorem 4.3.1 (Fundamental Theorem of Algebra). If f (x) = an xn +· · · a1 x+
a0 is a polynomial, then there are complex numbers c, α1 , . . . αn such that

                        f (x) = c(x − α1 )(x − α2 ) · · · (x − αn ).

Example 4.3.1. For example,
                                                     1
                        3x2 + 2x − 1 = 3 · x −           · (x + 1).
                                                     3
And
                             (x2 + 1) = (x + i)2 · (x − i)2 .
     If f (x) is a polynomial, the roots α of f correspond to the factors of f . Thus
if
                        f (x) = c(x − α1 )(x − α2 ) · · · (x − αn ),
then f (αi ) = 0 for each i (and nowhere else).
Definition 4.3.1 (Multiplicity of Zero). The multiplicity of a zero α of f (x) is
the number of times that (x − α) appears as a factor of f .
  For example, if f (x) = 7(x − 2)99 · (x + 17)5 · (x − π)2 , then 2 is a zero with
multiplicity 99, π is a zero with multiplicity 2, and −1 is a “zero multiplicity
0”.

                                            117
4.4. PARTIAL FRACTIONS


Definition 4.3.2 (Rational Function). A rational function is a quotient
                                               g(x)
                                     f (x) =        ,
                                               h(x)
where g(x) and h(x) are polynomials.
 For example,
                                               x10
                          f (x) =                                              (4.9)
                                    (x − i)2 (x + π)(x − 3)3
is a rational function.
Definition 4.3.3 (Pole). A pole of a rational function f (x) is a complex number
α such that |f (x)| is unbounded as x → α.
  For example, for (4.9) the poles are at i, π, and 3. They have multiplicity 2,
1, and 3, respectively.


4.4      Partial Fractions
Rational functions (polynomials divided by polynomials) and their integrals are
important in mathematics and applications, but if you look through a table of
integral formulas, you will find very few formulas for their integrals. Partly that
is because the general formulas are rather complicated and have many special
cases, and partly it is because they can all be reduced to just a few cases using the
algebraic technique discussed in this section, Partial Fraction Decomposition.
In algebra you learned to add rational functions to get a single rational function.
Partial Fraction Decomposition is a technique for reversing that procedure to
“decompose” a single rational function into a sum of simpler rational functions.
Then the integral of the single rational function can be evaluated as the sum of
the integrals of the simpler functions.
                                                17x35    7     3
Example 4.4.1. Use the algebraic decomposition 2x2 −5x = x + 2x−5 to evaluate
   17x35
  2x2 −5x dx.
  Solution: The decomposition allows us to exchange the original integral for
two much easier ones:

                      17x35                7           3
                              dx =           dx +           dx
                     2x2 − 5x              x        2x − 5
                                                 3
                                     = 7 ln |x| + ln |2x − 5| + C.
                                                 2
 When Sage computes this integral, it implicitly assumes that x > 0:


sage: integral((17*x-35)/(2*x^2-5*x),x)
3*log(2*x - 5)/2 + 7*log(x)


                                          118
4.4. PARTIAL FRACTIONS


Note that Sage also leaves off the constant of integration, but this is more of
an abbreviation than a matter of precision.
                                                       7x−11           4         1
Practice 4.4.1. Use the algebraic decomposition      3x2 −8x−3   =   3x+1   +   x−3   to
evaluate 3x7x−11 dx.
           2 −8x−3


  The Example illustrates how to use a “decomposed” fraction with integrals,
but it does not show how to achieve the decomposition. The algebraic basis
for the Partial Fraction Decomposition technique is that every polynomial can
be factored into a product of linear factors ax + b and irreducible quadratic
factors ax2 + bx + c (with b2 − 4ac < 0). These factors may not be easy to find,
and they will typically be more complicated than the examples in this section,
but every polynomial has such factors. Before we apply the Partial Fraction
Decomposition technique, the fraction must have the following form.

 (a) (the degree of the numerator) < (degree of the denominator);
 (b) the denominator has been factored into a product of linear factors and
     irreducible quadratic factors.

If assumption (a) is not true, we can use polynomial division until we get a
remainder which has a smaller degree than the denominator. If assumption (b)
is not true, we simply cannot use the Partial Fraction Decomposition technique.
   Distinct Linear Factors
   If the denominator can be factored into a product of distinct linear factors,
then the original fraction can be written as the sum of fractions of the form
   number
linear factor . Our job is to find the values of the numbers in the numerators, and
that typically requires solving a system of equations.
                                                        17x35
Example 4.4.2. Find constants A and B such that (2x−5)x = A + 2x−5 .
                                                                  x
                                                                        B

 Solution: First, note the roots of the denominator are {0, 5/2}. Cross multiply:

                           17x35 = A(2x − 5) + Bx.
Now “kill B and solve for A using the first root x = 0:

                 −35 = 17 · 035 = A(2 · 0 − 5) + B · 0 = −5A.
This gives A = 7. Next, “kill A and solve for B using the second root x = 5/2:

                  17 · 5/235 = A(2 · 5/2 − 5) + B5/2 = 5B/2.
                      17x35      7         3
This gives B = 3, so 2x2 −5x =   x   +   2x−5 .
 In Sage this is very easy:


sage: f = (17*x-35)/(2*x^2-5*x)
sage: f.partial_fraction()
3/(2*x - 5) + 7/x


                                           119
4.4. PARTIAL FRACTIONS

                                                        6x−7            A         B
Practice 4.4.2. Find values of A and B so            (x+3)(x−2)    =   x+3   +   x−2 .

  In general, there is one unknown coefficient for each distinct linear factor of
the denominator. However, if the number of distinct linear factors is large, we
would need to solve a large system of equations for the unknowns.
                                                             2x2 +7x+9
Practice 4.4.3. Using partial fractions, solve              x(x+1)(x+3) .

  Other possible cases are listed as follows. (Of course, a rational function can
involve more than one case as well.)

   • Distinct Irreducible Quadratic Factors
      If the factored denominator includes a distinct irreducible quadratic fac-
      tor, then the Partial Fraction Decomposition sum contains a fraction of
      the form of a linear polynomial with unknown coefficients divided by the
      irreducible quadratic factor:

                                              ax + b
                                                        .
                                           cx2 + dx + e
   • Repeated Factors
      If the factored denominator contains a linear factor raised to a power
      (greater than one), then we need to start the decomposition with several
      terms. There should be one term with one unknown coefficient for each
      power of the linear factor. For example,

                                              ax + b
                                                       .
                                             (cx + d)s

  Here is the general procedure:
Partial fraction decomposition of N (x)/D(x): Let N (x) be a polynomial
of lower degree than another polynomial D(x).
  1. Factor D(x) into irreducible factors having real coefficients. Now D(x) is
a product of distinct terms of the form (ax + b)r or (ax2 + bx + c)s , for some
integers r > 0, s > 0. For each term (ax + b)r the partial fraction decomposition
of N (x)/D(x) contains a sum of terms of the form

                                 A1                Ar
                                        + ··· +
                               (ax + b)         (ax + b)r
for some constants Ai , and for each term (ax2 + bx + c)r the PFD of N (x)/D(x)
contains a sum of terms of the form

                        B1 x + C1               Bs x + Cs
                                     + ··· +                 .
                      (ax2 + bx + c)         (ax2 + bx + c)s
                               N (x)
for some constants Bi , Cj .   D(x)    is the sum of all these simpler rational functions.

                                             120
4.4. PARTIAL FRACTIONS


  2. Now you have an expression for N (x) which is a sum of simpler rational
                                        D(x)
functions. The next step is to solve for these constants A’s, B’s, C’s occurring
in the numerators. Cross multiply both sides by D(x) and expand out the
resulting polynomial identity for N (x) in terms of the A’s, B’s, C’s. Equating
coefficients of powers of x on both sides gives rise to a linear system of equations
for the A’s, B’s, C’s which you can solve.

Practice 4.4.4. Logistic Growth: The growth rate of many different populations
depends not only on the number of individuals (leading to exponential growth) but
also on a “carrying capacity” of the environment. If x is the population at time
t and the growth rate of x is proportional to the product of the population and
the carrying capacity M minus the population, then the growth rate is described
by the differential equation

                                dx
                                   = kx(M − x),
                                dt
where k and M are constants for a given species in a given environment.
 Let k = 1 and M = 100, and assume the initial population is x(0) = 5.

                                      dx
 (a) Solve the differential equation   dt   = kx(M − x), for x.

 (b) Graph the population x(t) for 0 ≤ t ≤ 20.

 (c) When will the population be 20? 50? 90? 100?

 (d) What is the population after a “long” time? (Find the limit, as t becomes
     arbitrarily large, of x.)

 (e) Explain the shape of the graph in (a) in terms of a population of bacteria.

 (f ) When is the growth rate largest? (Maximize dx/dt.)

 (g) What is the population when the growth rate is largest?

Practice 4.4.5. Chemical Reaction: In some chemical reactions, a new ma-
terial X is formed from materials A and B, and the rate at which X forms is
proportional to the product of the amount of A and the amount of B remaining
in the solution. Let x represent the amount of material X present at time t, and
assume that the reaction begins with a grams of A, b grams of B, and no mate-
rial X (x(0) = 0). Then the rate of formation of material X can be described
by the differential equation

                             dx
                                = k(a − x)(b − x).
                             dt
Solve the differential equation for x if k = 1 and the reaction begins with (i) 7
grams of A and 5 grams of B, and (ii) 6 grams of A and 6 grams of B.

                                       121
4.5. INTEGRATION OF RATIONAL FUNCTIONS USING PARTIAL
FRACTIONS

4.5     Integration of Rational Functions Using Par-
        tial Fractions
Our goal today is to compute integrals of the form
                                        P (x)
                                              dx
                                        Q(x)
                     P (x)
by decomposing f =   Q(x) .   This is called partial fraction expansion.

Theorem 4.5.1 (Fundamental Theorem of Algebra over the Real Numbers).
A real polynomial of degree n ≥ 1 can be factored as a constant times a product
of linear factors x − a and irreducible quadratic factors x2 + bx + c.
  Note that x2 + bx + c = (x − α)(x − α), where α = z + iw, α = z − iw are
                                           ¯                      ¯
complex conjugates.
                                        P (x)
  Types of rational functions f (x) = Q(x) . To do a partial fraction expansion,
first make sure deg(P (x)) < deg(Q(x)) using long division. Then there are four
possible situation, each of increasing generality (and difficulty):
  1. Q(x) is a product of distinct linear factors;
  2. Q(x) is a product of linear factors, some of which are repeated;
  3. Q(x) is a product of distinct irreducible quadratic factors, along with
     linear factors some of which may be repeated; and,
  4. Q(x) is has repeated irreducible quadratic factors, along with possibly
     some linear factors which may be repeated.
  The general partial fraction expansion theorem is beyond the scope of this
course. However, you might find the following special case and its proof inter-
esting.
Theorem 4.5.2. Suppose p, q1 and q2 are polynomials that are relatively prime
(have no factor in common). Then there exists polynomials α1 and α2 such that
                                   p      α1   α2
                                        =    +    .
                                  q1 q2   q1   q2
Proof. Since q1 and q2 are relatively prime, using the Euclidean algorithm (long
division), we can find polynomials s1 and s2 such that

                                  1 = s1 q1 + s2 q2 .

Dividing both sides by q1 q2 and multiplying by p yields
                                   p      α1   α2
                                        =    +    ,
                                  q1 q2   q1   q2
which completes the proof.

                                         122
4.5. INTEGRATION OF RATIONAL FUNCTIONS USING PARTIAL
                                                 FRACTIONS

Example 4.5.1. Compute

                                    x3 − 4x − 10
                                                 dx.
                                     x2 − x − 6
First do long division. Get quotient of x + 1 and remainder of 3x − 4. This
means that
                      x3 − 4x − 10             3x − 4
                                   =x+1+ 2            .
                       x2 − x − 6            x −x−6
Since we have distinct linear factors, we know that we can write
                                   3x − 4      A   B
                       f (x) =              =    +    ,
                                 x2 − x − 6   x−3 x+2
for real numbers A, B. A clever way to find A, B is to substitute appropriate
values in, as follows. We have
                                       3x − 4       x−3
                      f (x)(x − 3) =          =A+B·     .
                                       x+2          x+2
Setting x = 3 on both sides we have (taking a limit):

                                        3·3−4  5
                          A = f (3) =         = = 1.
                                         3+2   5
Likewise, we have
                                          3 · (−2) − 4
                          B = f (−2) =                 = 2.
                                             −2 − 3
Thus
           x3 − 4x − 10                       1   2
                        dx =        x+1+        +
            x2 − x − 6                       x−3 x+2
                                  x2 + 2x
                             =            + 2 log |x + 2| + log |x − 3| + C.
                                     2
                                                                      2
                                                                x
Example 4.5.2. Compute the partial fraction expansion of (x−3)(x+2)2 . By the
partial fraction theorem, there are constants A, B, C such that

                       x2            A     B      C
                               2
                                 =      +     +         .
                 (x − 3)(x + 2)    x − 3 x + 2 (x + 2)2

Note that there’s no possible way this could work without the (x+2)2 term, since
otherwise the common denominator would be (x − 3)(x + 2). We have

                                           x2           9
                    A = [f (x)(x − 3)]x=3 =     |
                                               2 x=3
                                                     =    ,
                                        (x + 2)        25
                                             4
                  C = f (x)(x + 2)2 x=−2 = − .
                                             5

                                         123
4.5. INTEGRATION OF RATIONAL FUNCTIONS USING PARTIAL
FRACTIONS

This method will not get us B! For example,

                                       x2           x+2      C
                f (x)(x + 2) =                  =A·     +B+     .
                                 (x − 3)(x + 2)     x−3     x+2

While true this is useless.
  Instead, we use that we know A and C, and evaluate at another value of x,
say 0.
                                        9
                                           B −4
                           f (0) = 0 = 25 + + 52 ,
                                       −3  2 (2)
         16
so B =   25 .   Thus finally,
                                       9         16            4
               x2                     25         25          −5
                         =                  +          +            .
         (x − 3)(x + 2)2            x−3         x+2        (x + 2)2
                                                                 4
                                 9               16
                            =       ln |x − 3| +    ln |x + 2| + 5 + constant.
                                 25              25             x+2
                                             1
Example 4.5.3. Let’s compute               x3 +1 dx.   Notice that x + 1 is a factor, since
−1 is a root. We have

                            x3 + 1 = (x + 1) x2 − x + 1 .

There exist constants A, B, C such that

                                  1       A    Bx + C
                                      =      +           .
                               x3 + 1   x + 1 x2 − x + 1
Then
                                                               1
                                 A = f (x)(x + 1)|x=−1 =         .
                                                               3
You could find B, C by factoring the quadratic over the complex numbers and
getting complex number answers. Instead, we evaluate x at a couple of values.
For example, at x = 0 we get

                                                      1 C
                                    f (0) = 1 =         + ,
                                                      3  1
       2
so C = 3 . Next, use x = 1 to get B.
                                             1               2
                                    1        3      B(1) + 3
                      f (1) =           =        +
                                 13 + 1   (1) + 1 (1)2 − (1) + 1
                                      1   1       2
                                        = +B+ ,
                                      2   6       3
so
                                           3 1 4  1
                                   B=       − − =− .
                                           6 6 6  3

                                                124
4.5. INTEGRATION OF RATIONAL FUNCTIONS USING PARTIAL
                                                  FRACTIONS

Finally,
                                      1                 1                      2
                       1              3                 3x                     3
                          dx =                 −                     +             dx
                  x3   +1           x+1       −x−1 x2    −x−1             x2
                                1             1    x−2
                               = ln |x + 1| −              dx
                                3             3 x2 − x + 1

It remains to compute
                                               x−2
                                                    dx.
                                          x2   −x+1
First, complete the square to get
                                                             2
                                                         1        3
                            x2 − x + 1 =           x−            + .
                                                         2        4
             1                           1
Let u = (x − 2 ), so du = dx and x = u + 2 . Then

                u− 32               udu     3                    1
                       du =             3 − 2                              2 du
                u2 + 3           u2  +4                              √
                                                                      3
                     4                                  u2 +         2

                            1         3   3 2         2u
                           =  ln u2 +   − · √ tan−1 √      +c
                            2         4   2   3        3
                            1               √        2x − 1
                           = ln x2 − x + 1 − 3 tan−1   √     +c
                            2                            3

Finally, we put it all together and get

             1      1                 1        x−2
                dx = ln |x + 1| −                   dx
        x3   +1     3                 3    x2−x+1
                                                       √
                    1                 1      2           3                         2x − 1
                   = ln |x + 1| −       ln x − x + 1 +     tan−1                    √       +c
                    3                 6                 3                             3

     Problem: Compute      cos2 (x)e−3x dx using complex exponentials. The answer
is
                   1       1              3
                  − e−3x + e−3x sin(2x) − e−3x cos(2x) + c.
                   6      13             26
Here’s how to get it.

                                     e2ix + 2 + e−2ix −3x
                cos2 (x)e−3x dx =                    e    dx
                                             4
                                   1 e(2i−3)x     2       e(−2i−3)x
                                 =             − e−3x +             +c
                                   4 2i − 3       3        −2i − 3
                                    1         e−3x e2ix       e−2ix
                                 = − e−3x +                −        +c
                                    6           4   2i − 3 2i + 3

                                               125
4.6. IMPROPER INTEGRALS


Simplify the inside part requires some imagination:

            e2ix   e−2ix    1
                 −       =    (−2ie2ix − 3e2ix + 2ie−2ix − 3e−2ix )
           2i − 3 2i + 3   13
                            1
                         =    (4 sin(2x) − 6 cos(2x))
                           13


4.6     Improper Integrals
                                              ∞ −x
Example 4.6.1. Make sense of                  0
                                                e dx.                  The integrals

                                                          t
                                                              e−x dx
                                                      0


make sense for each real number t. So consider

                                       t
                             lim           e−x dx = lim [−e−x ]t = 1.
                                                               0
                            t→∞    0                           t→∞


Geometrically the area under the whole curve is the limit of the areas for finite
values of t.

                                    1
Example 4.6.2. Consider               √ 1   dx.
                                    0  1−x2
  Problem: The denominator of the integrand tends to 0 as x approaches the
upper endpoint. Define

              1                                   t
                        1                                1
                  √          dx = lim                 √       dx
          0           1 − x2     t→1−         0        1 − x2
                                                                                       π
                              = lim sin−1 (t) − sin−1 (0) = sin−1 (1) =
                                   t→1−                                                2



Here t → 1− means the limit as t tends to 1 from the left.

Example 4.6.3. There can be multiple points at which the integral is improper.
For example, consider
                                              ∞
                                                             1
                                                                 dx.
                                             −∞           1 + x2

A crucial point is that we take the limit for the left and right endpoints inde-
pendently. We use the point 0 (for convenience only!) to break the integral in

                                                              126
4.6. IMPROPER INTEGRALS


half.
        ∞                      0                           ∞
               1                       1                           1
                   dx =                    dx +                        dx
    −∞      1 + x2            −∞    1 + x2             0        1 + x2
                                       0              t
                                     1                    1
                        = lim           2
                                          dx + lim            dx
                         s→−∞ s 1 + x         t→∞ 0 1 + x2

                        = lim (tan−1 (0) − tan−1 (s)) + lim (tan−1 (t) − tan−1 (0))
                              s→−∞                                          t→∞
                                             −1                            −1
                        = lim (− tan                (s)) + lim (tan         (t))
                              s→−∞                             t→∞
                               −π π
                        =−        + = π.
                                2  2
                                           ∞
Example 4.6.4. Consider                    −∞
                                                xdx. Notice that
                              ∞                            0                         t
                                    xdx = lim                  xdx + lim                 xdx.
                              −∞            s→−∞       s              t→∞        0

This diverges since each factor diverges independently. But notice that
                                                       t
                                             lim           xdx = 0.
                                            t→∞       −t

                          ∞
This is not what −∞ xdx means (in this course – in a later course it could be
interpreted this way)! This illustrates the importance of treating each bad point
separately (since Example 4.6.3) doesn’t.
                                           1   1
Example 4.6.5. Consider                       √ dx.
                                           −1 3 x
                                                           We have

                   1                            s                               1
                        1                              1                                  1
                       √ dx = lim                   x− 3 dx + lim                    x− 3 dx
                  −1
                       3
                         x   s→0−            −1
                                                                 +   t→0    t
                                                3 2    3                     3 3 2
                                = lim             s3 −           + lim        − t3              = 0.
                                     s→0
                                     −          2      2           t→0+      2 2

This illustrates how to be careful and break the function up into two pieces when
there is a discontinuity.
                                           3   1
Example 4.6.6. Compute                     −1 x−2
                                                  dx.          A few weeks ago you might have done
this:
              3
                   1
                      dx = [ln |x − 2|]3 = ln(3) − ln(1)
                                       −1                                                (totally wrong!)
             −1   x−2

This is not valid because the function we are integrating has a pole at x = 2.
The integral is improper, and is only defined if both the following limits exists:
                               t                                                 3
                                     1                                                    1
                       lim              dx            and            lim                     dx.
                       t→2−    −1   x−2                              t→2+    t           x−2

                                                       127
4.6. IMPROPER INTEGRALS


However, the limits diverge, e.g.,
                  3
                       1
       lim                dx = lim (ln |1| − ln |t − 2|) = − lim ln |t − 2| = −∞.
       t→2+
              t       x−2     t→2+                          t→2+

        3   1
Thus    −1 x−2
               dx       is divergent.

4.6.1        Convergence, Divergence, and Comparison
In this section we discuss using comparison to determine if an improper integrals
converges or diverges. Recall that if f and g are continuous functions on an
interval [a, b] and g(x) ≤ f (x), then
                                         b                             b
                                             g(x)dx ≤                      f (x)dx.
                                     a                             a

This observation can be incredibly useful in determining whether or not an
improper integral converges.
  Not only does this technique help in determining whether integrals converge,
but it also gives you some information about their values, which is often much
easier to obtain than computing the exact integral.
Theorem 4.6.1 (Comparison Theorem (special case)). Let f and g be contin-
uous functions with 0 ≤ g(x) ≤ f (x) for x ≥ a.
             ∞                                         ∞
  1. If      a
                 f (x)dx converges, then               a
                                                           g(x)dx converges.
             ∞                                     ∞
  2. If      a
                 g(x)dx diverges then              a
                                                       f (x)dx diverges.
Proof. Since g(x) ≥ 0 for all x, the function
                                                               t
                                             G(t) =                g(x)dx
                                                           a
                                                 ∞
is a non-decreasing function. If                 a
                                                     f (x)dx converges to some value B, then for
any t ≥ a we have
                                             t                             t
                            G(t) =               g(x)dx ≤                      f (x)dx ≤ B.
                                         a                             a

Thus in this case G(t) is a non-decreasing function bounded above, hence the
limit limt→∞ G(t) exists. This proves the first statement.
  Likewise, the function
                                                           t
                                             F (t) =               f (x)dx
                                                         a
                                                       ∞
is also a non-decreasing function. If                  a
                                                          g(x)dx diverges then the function G(t)
defined above is still non-decreasing                  and limt→∞ G(t) does not exist, so G(t) is
not bounded. Since g(x) ≤ f (x) we have G(t) ≤ F (t) for all ≥ a, hence F (t) is
also unbounded, which proves the second statement.

                                                       128
4.6. IMPROPER INTEGRALS


  The theorem is very intuitive if you think about areas under a graph. “If the
bigger integral converges then so does the smaller one, and if the smaller one
diverges so does the bigger ones.”
                                          2
Example 4.6.7. Does 0 cos (x) dx converge? Answer: YES.
                            ∞
                            1+x2
 Since 0 ≤ cos2 (x) ≤ 1, we really do have
                                              cos2 (x)      1
                                        0≤           2
                                                       ≤        .
                                              1+x        1 + x2
Thus                        ∞
                                   1                       π
                                       dx = lim tan−1 (t) = ,
                        0       1 + x2      t→∞            2
    ∞ cos2 (x)
so  0  1+x2 dx  converges.
                         1
  But why did we use 1+x2 ? It’s a guess that turned out to work. You could
                                 c
have used something else, e.g., x2 for some constant c. This is an illustration
of how in mathematics sometimes you have to use your imagination or guess
and see what happens. Don’t get anxious—instead, relax, take a deep breath and
explore.
  For example, alternatively we could have done the following:
                                ∞
                                        cos2 (x)             ∞
                                                                 1
                                                 dx ≤               dx = 1,
                            1           1 + x2           1       x2
                                                     2
                                                1 cos (x)                            cos2 (x)
and this works just as well, since              0 1+x2
                                                          dx         converges (as    1+x2      is continu-
ous).
                                   1      ∞
Example 4.6.8. Consider 0 x+e−2x dx. Does it converge or diverge? For
                              −2x
large values of x, the term e     very quickly goes to 0, so we expect this to
                ∞ 1
diverge, since 1 x dx diverges. For x ≥ 0, we have e−2x ≤ 1, so for all x we
have
                  1         1
                        ≥            (verify by cross multiplying).
              x + e−2x    x+1
But                     ∞
                           1
                               dx = lim [ln(x + 1)]t = ∞
                                                     1
                      1   x+1         t→∞
       ∞   1
Thus   0 x+e−2x
                dx   must also diverge.
  Note that there is a natural analogue of Theorem 4.6.1 for integrals of functions
that “blow up” at a point, but we will not state it formally.
Example 4.6.9. Consider
                                    1                            1
                                        e−x                          e−x
                                        √ dx = lim                   √ dx.
                                0         x   t→0+           t         x
We have
                                               e−x 1
                                               √ ≤√ .
                                                 x  x

                                                   129
4.6. IMPROPER INTEGRALS


(Coming up with this comparison might take some work, imagination, and trial
and error.) We have
                       1                     1               √     √
                           e−x                    1
                           √ dx ≤                √ dx = lim 2 1 − 2 t = 2.
                   0         x           0         x   t→0 +



       1
thus 0 e x dx converges, even though we haven’t figured out its value. We just
           −x
        √

know that it is ≤ 2. (In fact, it is 1.493648265 . . ..)
  What if we found a function that is bigger than e x and its integral diverges??
                                                       −x
                                                      √

So what! This does nothing for you. Bzzzt. Try again.

Example 4.6.10. Consider the integral
                                                      1
                                                          e−x
                                                              dx.
                                                  0        x

This is an improper integral since f (x) = e x has a pole at x = 0. Does it
                                                                      −x


converge? NO.
On the interval [0, 1] we have e−x ≥ e−1 . Thus
                                1                               1
                                    e−x                             e−1
                  lim                   dx ≥ lim                        dx
                  t→0+
                            t        x      t→0+            t        x
                                                                       1
                                                             1
                                             = e−1 · lim       dx
                                                           t x
                                                           t→0+

                                             = e−1 · lim ln(1) − ln(t) = +∞
                                                           t→0+



       1 e−x
Thus   0 x
             dx   diverges.




                                                          130
Chapter 5

Sequences and Series

Our main goal in this chapter is to gain a working knowledge of power series and
Taylor series of function with just enough discussion of the details of convergence
to get by.


5.1       Sequences
What is
                                          1
                                     lim    ?
                                     n→∞ 2n

  You may have encountered sequences long ago in earlier courses and they
seemed very difficult. You know much more mathematics now, so they will
probably seem easier. On the other hand, we’re going to go very quickly.
  A sequence is an ordered list of numbers. These numbers may be real, complex,
etc., etc., but in this book we will focus entirely on sequences of real numbers.
For example,
                        1 1 1 1 1 1 1                 1
                          , , , , , ,           ,..., n,...
                        2 4 8 16 32 64 128           2
  Since the sequence is ordered, we can view it as a function with domain the
natural numbers = 1, 2, 3, . . ..

Definition 5.1.1 (Sequence). A sequence {an } is a function a : N → R that
takes a natural number n to an = a(n). The number an is the nth term.

 For example,
                                                  1
                                  a(n) = an =       ,
                                                 2n
which we write as { 21 }. Here’s another example:
                     n


                                           ∞
                          ∞         n                1 2 3
                     (bn )n=1 =                  =    , , ,...
                                   n+1     n=1       2 3 4

                                       131
5.2. SERIES

                                                  ∞
Example 5.1.1. The Fibonacci sequence (Fn )n=1 is defined recursively as fol-
lows:
            F1 = 1, F2 = 1, Fn = Fn−2 + Fn−1 for n ≥ 3.
                                     1 ∞                          1
  Let’s return to the sequence      2n n=1 .   We write limn→∞   2n    = 0, since the
terms get arbitrarily small.
                                                   ∞
Definition 5.1.2 (Limit of sequence). If (an )n=1 is a sequence then that se-
quence converges to L, written limn→∞ an = L, if an gets arbitrarily close to
L as n get sufficiently large. Secret rigorous definition: For every ε > 0
there exists B such that for n ≥ B we have |an − L| < ε.

  This is exactly like what we did in the previous course when we considered
limits of functions. If f (x) is a function, the meaning of limx→∞ f (x) = L is
essentially the same. In fact, we have the following fact.
                                                                               ∞
Proposition 5.1.1. If f is a function with limx→∞ f (x) = L and (an )n=1 is
the sequence given by an = f (n), then limn→∞ an = L.

 As a corollary, note that this implies that all the facts about limits that you
know from functions also apply to sequences!

Example 5.1.2.
                                  n         x
                          lim        = lim      =1
                         n→∞    n + 1 x→∞ x + 1
Example 5.1.3. The converse of Proposition 5.1.1 is false in general, i.e.,
knowing the limit of the sequence converges doesn’t imply that the limit of the
function converges. We have limn→∞ cos(2πn) = 1, but limx→∞ cos(2πx) di-
verges. The converse is OK if the limit involving the function converges.
                                    n3 + n + 5                        1
Example 5.1.4. Compute lim                         . Answer:          17 .
                             n→∞ 17n3 − 2006n + 15


5.2       Series
What is
                         1 1 1  1   1
                          + + +   +   + . . .?
                         2 4 8 16 32
What is
                        1 1  1   1   1
                         + +   +   +   + . . .?
                        3 9 27 81 243
What is
                         1 1 1        1      1
                          + + +          +     + . . .?
                         1 4 9 16 25
 Consider the following sequence of partial sums:
                                N
                                  1  1 1        1
                      aN =          = + + ··· + N .
                             n=1
                                 2n  2 4       2

                                         132
5.2. SERIES


Can we compute
                                           ∞
                                                1
                                                  ?
                                           n=1
                                               2n

These partial sums look as follows:
                  1                3                  1023                 1048575
           a1 =     ,       a2 =     ,     a10 =           ,       a20 =
                  2                4                  1024                 1048576
                             ∞
                           1
It looks very likely that    = 1, if it makes any sense. But does it?
                      n=1
                          2n
 In a moment we will define
                        ∞                       N
                             1            1
                             n
                               = lim        = lim aN .
                        n=1
                            2   N →∞
                                     n=1
                                         2n  N →∞


                                                2N −1                      ∞    1
A little later we will show that aN =            2N
                                                      ,   hence indeed     n=1 2n    = 1.
                                                 ∞
Definition 5.2.1 (Sum of series). If         (an )n=1       is a sequence, then the sum of the
series is
                            ∞                    N
                                an = lim              an = lim sN
                                         N →∞               N →∞
                        n=1                     n=1
                                                                ∞
provided the limit exists. Otherwise we say that                n=1   an diverges.
                                                                                      ∞
Example 5.2.1 (Geometric series). Consider the geometric series                       n=1   arn−1
for a = 0. Then
                            N
                                        a(1 − rN )
                    sN =       arn−1 =             .
                           n=1
                                          1−r

To see this, multiply both sides by 1 − r and notice that all the terms in the
                                                              N
middle cancel out. For what values of r does limN →∞ a(1−r ) converge? If
                                                          1−r
|r| < 1, then limN →∞ rN = 0 and

                                     a(1 − rN )    a
                                 lim            =     .
                                N →∞   1−r        1−r
                                                           ∞
If |r| > 1, then limN →∞ rN diverges, so       n=1 ar
                                                      n−1
                                                          diverges. If r = ±1,
it’s clear since a = 0 that the series also diverges (since the partial sums are
sN = ±N a).
                                 1
   For example, if a = 1 and r = 2 , we get
                                     ∞
                                                       1
                                         arn−1 =         1,
                                   n=1
                                                      1− 2

as claimed earlier.

                                                133
5.3. THE INTEGRAL AND COMPARISON TESTS


5.3       The Integral and Comparison Tests
           ∞   1                    ∞   1
What is    n=1 n2 ?   What is       n=1 n ?
  Recall that Section 5.2 began by asking for the sum of several series. We found
the first two sums (which were geometric series) by finding an exact formula for
the sum sN of the first N terms. The third series was

                         ∞
                            1   1 1 1  1   1
                  A=           = + + +   +   + ....                          (5.1)
                        n=1
                            n2  1 4 9 16 25


It is difficult to find a nice formula for the sum of the first n terms of this series
(i.e., I don’t know how to do it).


Remark 5.3.1. Since I’m a number theorist, I can’t help but make some further
remarks about sums of the form (5.1). In general, for any s > 1 one can consider
the sum
                                                ∞
                                                   1
                                     ζ(s) =           .
                                               n=1
                                                   ns


The number A that we are interested in above is thus ζ(2). The function ζ(s) is
called the Riemann zeta function. There is a natural (but complicated) way of
extending ζ(s) to a (differentiable) function on all complex numbers with a pole
at s = 1. The Riemann Hypothesis asserts that if s is a complex number and
ζ(s) = 0 then either s is an even negative integer or s = 1 + bi for some real
                                                               2
number b. This is probably the most famous unsolved problems in mathematics
(e.g., it’s one of the Clay Math Institute million dollar prize problems). Another
famous open problem is to show that ζ(3) is not a root of any polynomial with
integer coefficients (it is a theorem of Ape´ry that zeta(3) is not a fraction).
                                            e
  The function ζ(s) is incredibly important in mathematics because it governs
the properties of prime numbers. The Euler product representation of ζ(s) gives
a hint as to why this is the case:

                                ∞
                                    1                        1
                       ζ(s) =          =                            .
                                n=1
                                    ns   primes p
                                                          1 − p−s


To see that this product equality holds when s is real with Re(s) > 1, use Exam-
ple 5.2.1 with r = p−s and a = 1 above. We have


                            1
                                 = 1 + p−s + p−2s + · · · .
                         1 − p−s

                                              134
5.3. THE INTEGRAL AND COMPARISON TESTS


Thus

                  1                          1    1
                         =              1+      + 2s + · · ·
    primes p
               1 − p−s       primes p
                                             ps  p
                                  1   1                1   1
                         =    1+    + 2s + · · · · 1 + s + 2s + · · ·      ···
                                 2s  2                3   3
                                  1   1    1
                         =    1 + s + s + s + ···
                                 2   3    4
                             ∞
                                 1
                         =          ,
                             n=1
                                 ns


where the last line uses the distributive law and that integers factor uniquely as
a product of primes.
 of |ζ(s)| for complex s.


   This section is how to leverage what you’ve learned so far in this book to say
something about sums that are hard (or even “impossibly difficult”) to evaluate
exactly. For example, notice (by considering a graph of a step function) that if
f (x) = 1/x2 , then for positive integer t we have

                               t                             t
                                  1    1                         1
                                   2
                                     ≤ 2+                           dx.
                              n=1
                                  n   1                  1       x2


Thus

                         ∞                       ∞
                             1    1                  1
                              2
                                ≤ 2+                    dx
                         n=1
                             n   1           1       x2
                                                         t
                                                             1
                                   = 1 + lim                    dx
                                        t→∞          1       x2
                                                                  t
                                              1
                                   = 1 + lim −
                                        t→∞   x 1
                                              1 1
                                   = 1 + lim − +    =2
                                        t→∞   t   1

                     ∞
We conclude that n=1 converges, since the sequence of partial sums is getting
bigger and bigger and is always ≤ 2. And of course we also know something
         ∞   1                                                  ∞     1
about n=1 n2 even though we do not know the exact value:        n=1 n2 ≤ 2.
Using a computer we find that

                                         135
5.3. THE INTEGRAL AND COMPARISON TESTS

                                         t   1
                              t          n=1 n2
                              1      1
                                     5
                              2      4 = 1.25
                                     5269
                              5      3600 = 1.46361
                                     1968329
                             10      1270080 = 1.54976773117
                             100     1.63498390018
                            1000     1.64393456668
                           10000     1.64483407185
                          100000     1.6449240669
                                                         ∞   1
The table is consistent with the fact that               n=1 n2 converges to        a number ≤ 2.
                                                       ∞
In fact Euler was the first to compute                  n=1 exactly; he found        that the exact
value is

π2
   = 1.644934066848226436472415166646025189218949901206798437735557 . . .
6
There are many proofs of this fact, but they don’t belong in this book; you
can find them on the internet, and are likely to see one if you take more math
classes.
  We next consider the harmonic series
                                               ∞
                                                 1
                                                   .                                         (5.2)
                                             n=1
                                                 n

Does it converge? Again by inspecting a graph and viewing an infinite sum as
the area under a step function, we have
                             ∞               ∞
                                1                1
                                  ≥                dx
                            n=1
                                n        1       x
                                                         t
                                   = lim [ln(x)]1
                                         t→∞
                                   = lim ln(t) − 0 = +∞.
                                         t→∞

Thus the infinite sum (5.2) must also diverge.
  We formalize the above two examples as a general test for convergence or
divergence of an infinite sum.

Theorem 5.3.1 (Integral Test and Bound). Suppose f (x) is a continuous, pos-
itive, decreasing function on [1, ∞) and let an = f (n) for integers n ≥ 1. Then
              ∞                                              ∞
the series n=1 an converges if and only if the integral 1 f (x)dx converges.
More generally, for any positive integer k,
                     ∞                   ∞                           ∞
                         f (x)dx ≤             an ≤ ak +                 f (x)dx.            (5.3)
                 k                       n=k                     k



                                                 136
5.3. THE INTEGRAL AND COMPARISON TESTS


  The proposition means that you can determine convergence of an infinite series
by determining convergence of a corresponding integral. Thus you can apply the
powerful tools you know already for integrals to understanding infinite sums.
Also, you can use integration along with computation of the first few terms of
a series to approximate a series very precisely.
Remark 5.3.2. Sometimes the first few terms of a series are “funny” or the
series doesn’t even start at n = 1, e.g.,
                                        ∞
                                              1
                                                    .
                                       n=4
                                           (n − 3)3

In this case use (5.3) with any specific k > 1.
Proposition 5.3.1 (Comparison Test). Suppose    an and     bn are two series
with positive terms. If  bn converges and an ≤ bn for all n. then        an
converges. Likewise, if bn diverges and an ≥ bn for all n. then     an must
also diverge.
                              ∞   1
Example 5.3.1. Does              √
                              n=1 n     converge? No. We have
                ∞
                    1             ∞
                                       1           √     √
                   √ ≥                √ dx = lim (2 t − 2 1) = +∞
               n=1
                     n        1         x    t→∞


Example 5.3.2. Does n=1 n21 converge? Let’s apply the comparison test:
                              ∞
                              +1
we have n21 < n2 for every n, so
          +1
              1

                                  ∞                 ∞
                                         1       1
                                            <       .
                                  n=1
                                      n2 + 1 n=1 n2

Alternatively, we can use the integral test, which also gives as a bonus an upper
and lower bound on the sum. Let f (x) = 1/(1 + x2 ). We have
                    ∞                         t
                           1                   1
                               dx = lim            dx
                1       1 + x2      t→∞  1 1 + x2
                                                    π π π π
                                  = lim tan−1 (t) − = − =
                                    t→∞             4 2 4 4


Thus the sum converges. Moreover, taking k = 1 in Theorem 5.3.1 we have
                                       ∞
                              π          1    1 π
                                ≤            ≤ + .
                              4   n=1
                                      n2 + 1  2 4
                                                                    1
the actual sum is 1.07 . . ., which is much different than           n2   = 1.64 . . ..
  We could prove the following proposition using methods similar to those illus-
trated in the examples above.
                                           ∞    1
Proposition 5.3.2. The series              n=1 np   is convergent if p > 1 and divergent
if p ≤ 1.

                                             137
5.3. THE INTEGRAL AND COMPARISON TESTS


5.3.1           Estimating the Sum of a Series
Suppose          an is a convergent sequence of positive integers. Let
                                         ∞            m                 ∞
                               Rm =            an −         an =              am
                                        n=1           n=1          n=m+1

which is the error if you approximate                        an using the first n terms. From
Theorem 5.3.1 we get the following.
Proposition 5.3.3 (Remainder Bound). Suppose f is a continuous, positive,
decreasing function on [m, ∞) and an is convergent. Then
                                  ∞                                ∞
                                        f (x)dx ≤ Rm ≤                  f (x)dx.
                                  m+1                           m

Proof. In Theorem 5.3.1 set k = m + 1. That gives
                   ∞                           ∞                                   ∞
                        f (x)dx ≤                     an ≤ am+1 +                      f (x)dx.
                  m+1                        n=m+1                             m+1

But                                           ∞                     ∞
                               am+1 +               f (x)dx ≤            f (x)dx
                                              m+1                  m
since f is decreasing and f (m + 1) = am+1 .
                                                       ∞   1
Example 5.3.3. Estimate ζ(3) =                         n=1 n3      using the first 10 terms of the
series. We have
                        10
                                  19164113947
                              =               = 1.197531985674193 . . .
                        n=1
                                  16003008000

The proposition above with m = 10 tells us that
                                         ∞                         10          ∞
                                              1                                    1          1       1
0.00413223140495867 . . . =                      dx ≤ ζ(3)−    ≤                      dx =         =     = 0.005.
                                        11    x3           n=1                10   x3      2 · 102   200

In fact,
                  ζ(3) = 1.202056903159594285399738161511449990 . . .
and we have
                                        10
                              ζ(3) −          = 0.0045249174854010 . . . ,
                                        n=1
so the integral error bound was really good in this case.
                                                   ∞       2006
Example 5.3.4. Determine if                        n=1 117n2 +41n+3         converges or diverges. An-
swer: It converges, since
                                  2006          2006   2006 1
                                             ≤       =     ·  ,
                             117n2 + 41n + 3   117n2   117 n2
           1
and        n2   converges.

                                                      138
5.4. TESTS FOR CONVERGENCE


5.4        Tests for Convergence
5.4.1       The Comparison Test
Theorem 5.4.1 (The Comparison Test). Suppose                         an and      bn are series
with all an and bn positive and an ≤ bn for each n.

  1. If      bn converges, then so does        an .

  2. If      an diverges, then so does        bn .

Proof Sketch. The condition of the theorem implies that for any k,

                                   k               k
                                        an ≤           bn ,
                                  n=1           n=1


from which each claim follows.

                                               ∞      7
Example 5.4.1. Consider the series             n=1 3n2 +2n .       For each n we have

                                     7     7 1
                                          ≤ · 2.
                                 3n2 + 2n  3 n
           ∞   1                                                        ∞      7
Since      n=1 n2   converges, Theorem 5.4.1 implies that               n=1 3n2 +2n   also con-
verges.
                                                   ∞       ln(n)
Example 5.4.2. Consider the series  n=1                      n .   It diverges since for each
n ≥ 3 we have
                             ln(n)   1
                                   ≥ ,
                               n     n
          ∞   1
and       n=3 n   diverges.


5.4.2       Absolute and Conditional Convergence
                                                                        ∞
Definition 5.4.1 (Converges Absolutely). We say that                     n=1   an converges ab-
            ∞
solutely if n=1 |an | converges.

 For example,
                                       ∞
                                                       1
                                             (−1)n
                                       n=1
                                                       n

converges, but does not converge absolutely (it converges “conditionally”, though
we will not explain why in this book).

                                             139
5.4. TESTS FOR CONVERGENCE


5.4.3       The Ratio Test
                ∞
Recall that n=1 an is a geometric series if and only if an = arn−1 for some
fixed a and r. Here we call r the common ratio. Notice that the ratio of any
two successive terms is r:
                                      an+1   arn
                                           = n−1 = r.
                                       an   ar
                            ∞                                  a
Moreover, we have n=1 arn−1 converges (to                     1−r )   if and only if |r| < 1 (and,
of course it diverges if |r| ≥ 1).
                                           ∞         2 n−1                       3
Example 5.4.3. For example,                n=1   3   3        converges to         2
                                                                                1− 3
                                                                                       = 9. However,
  ∞         3 n−1
  n=1   3   2       diverges.
                                                                    ∞
Theorem 5.4.2 (Ratio Test). Consider a sum                          n=1    an . Then
                     an+1                            ∞
  1. If limn→∞        an    = L < 1 then             n=1   an is absolutely convergent.

                     an+1                            ∞
  2. If limn→∞        an    = L > 1 then             n=1   an diverges.

                     an+1
  3. If limn→∞        an    = L = 1 then we may conclude nothing from this!

                                                                                an+1
Proof. We will only prove 1. Assume that we have limn→∞                          an     = L < 1. Let
r = L+1 , and notice that L < r < 1 (since 0 ≤ L < 1, so 1 ≤ L + 1 < 2, so
      2
1/2 ≤ r < 1, and also r − L = (L + 1)/2 − L = (1 − L)/2 > 0).
  Since limn→∞ aan = L, there is an N such that for all n > N we have
                  n+1




                            an+1
                                 < r,         so       |an+1 | < |an | · r.
                             an
Then we have
                                  ∞                            ∞
                                         |an | < |aN +1 | ·         rn .
                                n=N +1                        n=0

Here the common ratio for the second one is r < 1, hence thus the right-hand
series converges, so the left-hand series converges.
                                   ∞
                                      (−10)n
Example 5.4.4. Consider                      . The ratio of successive terms is
                                  n=1
                                        n!

                    (−10)n+1
                     (n + 1)!     10n+1    n!   10
                           n  =          · n =     → 0 < 1.
                     (−10)      (n + 1)n! 10   n+1
                        n!
Thus this series converges absolutely. Note, the minus sign is missing above
since in the ratio test we take the limit of the absolute values.

                                                 140
5.4. TESTS FOR CONVERGENCE

                                 ∞
                                        nn
Example 5.4.5. Consider                        . We have
                                 n=1
                                       31+3n

        (n + 1)n+1
                                                                              n
        3 · (27)n+1   (n + 1)(n + 1)n 27n  n+1                        n+1
              n     =                · n =     ·                                  → +∞
             n            27 · 27n    n     27                         n
           31+3n
                                                                     n+1 n
Thus our series diverges. (Note here that we use that                 n      → e.)
                                                           ∞   1
Example 5.4.6. Let’s apply the ratio test to               n=1 n .   We have

                                1
                       lim    n + 1 = 1 · n = n → 1.
                    n→∞         1    n+1 1   n+1
                                n
This tells us nothing. If this happens... do something else! E.g., in this case,
use the integral test.

5.4.4        The Root Test
Since e and ln are inverses, we have x = eln(x) . This implies the very useful fact
that                                    a
                              xa = eln(x ) = ea ln(x) .
As a sample application, notice that for any nonzero c,
                                  1              1
                            lim c n = lim e n log(c) = e0 = 1.
                           n→∞          n→∞

Similarly,
                                  1              1
                            lim n n = lim e n log(n) = e0 = 1,
                           n→∞          n→∞

where we’ve used that      limn→∞ log(n)
                                     n       = 0, which we could prove using L’Hopital’s
rule.
                                                              ∞
Theorem 5.4.3 (Root Test). Consider the sum                   n=1    an .
                       1                        ∞
  1. If limn→∞ |an |   n   = L < 1, then        n=1   an converges absolutely.
                       1                        ∞
  2. If limn→∞ |an | n = L > 1, then            n=1   an diverges.
  3. If L = 1, then we may conclude nothing from this!
                                                                                           1
Proof. We apply the comparison test (Theorem 5.4.1). First suppose limn→∞ |an | n =
                                                               1
L < 1. Then there is a N such that for n ≥ N we have |an | n < k < 1. Thus
                                                             ∞
                             n
for such n we have |an | < k < 1. The geometric series i=N k i converges, so
   ∞                                               1
   i=N |an | also does, by Theorem 5.4.1. If |an |
                                                   n > 1 for n ≥ N , then we see
        ∞                                       ∞
that i=N |an | diverges by comparing with i=N 1.

                                               141
5.4. TESTS FOR CONVERGENCE


Example 5.4.7. Let’s apply the root test to
                                 ∞                         ∞
                                                       a
                                      arn−1 =                rn .
                              n=1
                                                       r n=1

We have
                                                   1
                                     lim |rn | n = |r|.
                                     n→∞

Thus the root test tells us exactly what we already know about convergence of
the geometry series (except when |r| = 1).
                                                       n
                                 ∞         n2 +1
Example 5.4.8. The sum           n=1      2n2 +1           is a candidate for the root test. We
have                             1
                             n                                                1
                n2 + 1           n
                                               n2 + 1       1+                n2       1
         lim                         = lim            = lim                   1    =     .
        n→∞    2n2 + 1                    n→∞ 2n2 + 1  n→∞ 2 +
                                                                              n2
                                                                                       2
Thus the series converges.
                                                       n
                                 ∞        2n2 +1
Example 5.4.9. The sum           n=1       n2 +1           is a candidate for the root test. We
have                             1
                             n                                                1
               2n2 + 1           n
                                              2n2 + 1       2+                n2
         lim                          = lim           = lim                   1    = 2,
        n→∞     n2 + 1                    n→∞ n2 + 1   n→∞ 1 +
                                                                              n2
hence the series diverges!
                                     ∞   1
Example 5.4.10. Consider             n=1 n .   We have
                                                   1
                                               1   n
                                      lim               = 1,
                                     n→∞       n

so we conclude nothing!
                                     ∞     nn
Example 5.4.11. Consider             n=1 3·(27n ) .        To apply the root test, we compute
                                      1                        1
                            nn        n
                                                           1   n
                                                                       n
                  lim                     = lim                    ·      = +∞.
                 n→∞    3 · (27n )          n→∞            3           27

Again, the limit diverges, as in Example 5.4.5.




                                            142
5.5. POWER SERIES


5.5     Power Series
Recall that a polynomial is a function of the form
                      f (x) = c0 + c1 x + c2 x2 + · · · + ck xk .

                       Polynomials are easy!!!
They are easy to integrate, differentiate, etc.:
                                k                   k
                       d
                                     cn xn    =         ncn xn−1
                      dx       n=0                n=1
                               k                         k
                                                                   xn+1
                                    cn xn dx = C +            cn        .
                             n=0                        n=0
                                                                   n+1

Definition 5.5.1 (Power Series). A power series is a series of the form
                               ∞
                   f (x) =          cn xn = c0 + c1 x + c2 x2 + · · · ,
                             n=0

where x is a variable and the cn are coefficients.
 A power series is a function of x for those x for which it converges.
Example 5.5.1. Consider
                                     ∞
                       f (x) =            xn = 1 + x + x2 + · · · .
                                    n=0

When |x| < 1, i.e., −1 < x < 1, we have
                                                   1
                                       f (x) =        .
                                                  1−x
 But what good could this possibly be? Why is writing the simple function
 1                           ∞
1−xas the complicated series n=0 xn of any value?
  1. Power series are relatively easy to work with. They are “almost” polyno-
     mials. E.g.,
               ∞           ∞                                                ∞
            d
                  xn =     nxn−1 = 1 + 2x + 3x2 + · · · =    (m + 1)xm ,
           dx n=0      n=1                                m=0

      where in the last step we “re-indexed” the series. Power series are only
      “almost” polynomials, since they don’t stop; they can go on forever. More
      precisely, a power series is a limit of polynomials. But in many cases we
      can treat them like a polynomial. On the other hand, notice that
                                                              ∞
                       d      1                   1
                                          =            =    (m + 1)xm .
                      dx     1−x              (1 − x)2   m=0


                                              143
5.5. POWER SERIES


   2. For many functions, a power series is the best explicit representation avail-
      able.
      Example 5.5.2. Consider J0 (x), the Bessel function of order 0. It arises
      as a solution to the differential equation x2 y ′′ + xy ′ + x2 y = 0, and has
      the following power series expansion:
                     ∞
                        (−1)n x2n
        J0 (x) =
                    n=1
                         22n (n!)2
                      1     1      1 6       1            1
                 = 1 − x2 + x4 −      x +        x8 −          x10 + · · · .
                      4    64    2304     147456      14745600
      This series is nice since it converges for all x (one can prove this using
      the ratio test). It is also one of the most explicit forms of J0 (x).

5.5.1       Shift the Origin
It is often useful to shift the origin of a power series, i.e., consider a power series
expanded about a different point.
Definition 5.5.2. The series
                   ∞
                        cn (x − a)n = c0 + c1 (x − a) + c2 (x − a)2 + · · ·
                  n=0

is called a power series centered at x = a, or “a power series about x = a”.
Example 5.5.3. Consider
        ∞
              (x − 3)n = 1 + (x − 3) + (x − 3)2 + · · ·
        n=0
                                1
                         =                         equality valid when |x − 3| < 1
                           1 − (x − 3)
                             1
                         =
                           4−x
Here conceptually we are treating 3 like we treated 0 before.
  Power series can be written in different ways, which have different advantages
and disadvantages. For example,
                   1   1    1
                      = ·
                  4−x  4 1 − x/4
                                 ∞       n
                              1     x
                          =     ·               converges for all |x| < 4.
                              4 n=0 4

Notice that the second series converges for |x| < 4, whereas the first converges
only for |x − 3| < 1, which isn’t nearly as good.

                                             144
5.5. POWER SERIES


5.5.2    Convergence of Power Series
                                                    ∞           n
Theorem 5.5.1. Given a power series                 n=0 cn (x−a) ,    there are exactly three
possibilities:
  1. The series converges only when x = a.
  2. The series converges for all x.
                                                                                    ∞
  3. There is an R > 0 (called the “radius of convergence”) such that               n=0 cn (x−
     a)n converges for |x − a| < R and diverges for |x − a| > R.
                                                    ∞
Example 5.5.4. For the power series                 n=0   xn , the radius R of convergence is
1.
Definition 5.5.3 (Radius of Convergence). As mentioned in the theorem, R is
called the radius of convergence.
  If the series converges only at x = a, we say R = 0, and if the series converges
everywhere we say that R = ∞.
  The interval of convergence is the set of x for which the series converges. It
will be one of the following:

   (a − R, a + R),          [a − R, a + R),          (a − R, a + R],       [a − R, a + R]

The point being that the statement of the theorem only asserts something about
convergence of the series on the open interval (a − R, a + R). What happens
at the endpoints of the interval is not specified by the theorem; you can only
figure it out by looking explicitly at a given series.
                             ∞
Theorem 5.5.2. If n=0 cn (x − a)n has radius of convergence R > 0, then
        ∞
f (x) = n=0 cn (x − a)n is differentiable on (a − R, a + R), and
                 ∞
  1. f ′ (x) =         n · cn (x − a)n−1
                 n=1
                             ∞
                                 cn
  2.    f (x)dx = C +               (x − a)n+1 ,
                            n=0
                                n+1

and both the derivative and integral have the same radius of convergence as f .
Example 5.5.5. Find a power series representation for f (x) = tan−1 (x). No-
tice that
                                              ∞
                           1         1
              f ′ (x) =        =           =    (−1)n x2n ,
                        1 + x2   1 − (−x2 ) n=0
which has radius of convergence R = 1, since the above series is valid when
| − x2 | < 1, i.e., |x| < 1. Next integrating, we find that
                                             ∞
                                                           x2n+1
                               f (x) = c +         (−1)n          ,
                                             n=0
                                                           2n + 1

                                              145
5.6. TAYLOR SERIES


for some constant c. To find the constant, compute c = f (0) = tan−1 (0) = 0.
We conclude that
                                    ∞
                                             x2n+1
                           −1
                        tan (x) =      (−1)n        .
                                   n=0
                                             2n + 1
                                                                  2
Example 5.5.6. We will see later that the function f (x) = e−x has power
series
                      2            1       1
                  e−x = 1 − x2 + x4 − x6 + · · · .
                                   2       6
Hence
                  2              1       1       1
               e−x dx = c + x − x3 + x5 − x7 + · · · .
                                 3      10      42
                                                    2
This despite the fact that the antiderivative of e−x is not an elementary func-
tion.


5.6     Taylor Series
Example 5.6.1. Suppose we have a degree-3 (cubic) polynomial p and we know
that p(0) = 4, p′ (0) = 3, p′′ (0) = 4, and p′′′ (0) = 6. Can we determine p?
Answer: Yes! We have

                           p(x) = a + bx + cx2 + dx3
                          p′ (x) = b + 2cx + 3dx2
                          p′′ (x) = 2c + 6dx
                         p′′′ (x) = 6d

From what we mentioned above, we have:

                                a = p(0) = 4
                                b = p′ (0) = 3
                                   p′′ (0)
                                c=         =2
                                      2
                                    ′′′
                                   p (0)
                                d=         =1
                                       6
Thus
                          p(x) = 4 + 3x + 2x2 + x3 .

  Amazingly, we can use the idea of Example 5.6.1 to compute power series
expansions of functions. E.g., we will show below that
                                          ∞
                                             xn
                                 ex =           .
                                         n=0
                                             n!


                                         146
5.6. TAYLOR SERIES



Convergent series are determined by the values of their derivatives.

 Consider a general power series
                    ∞
          f (x) =         cn (x − a)n = c0 + c1 (x − a) + c2 (x − a)2 + · · ·
                    n=0

We have

                                       c0 = f (a)
                                       c1 = f ′ (a)
                                              f ′′ (a)
                                       c2 =
                                                  2
                                      ···
                                              f (n) (a)
                                       cn =             ,
                                                 n!
where for the last equality we use that

                          f (n) (x) = n!cn + (x − a)(· · · + · · · )

Remark 5.6.1. The definition of 0! is 1 (it’s the empty product). The empty
sum is 0 and the empty product is 1.
Theorem 5.6.1 (Taylor Series). If f (x) is a function that equals a power series
centered about a, then that power series expansion is
                           ∞
                              f (n) (a)
               f (x) =                  (x − a)n
                          n=0
                                 n!
                                                         f ′′ (a)
                     = f (a) + f ′ (a)(x − a) +                   (x − a)2 + · · ·
                                                             2
Remark 5.6.2. WARNING: There are functions that have all derivatives de-
                                                                  2
fined, but do not equal their Taylor expansion. E.g., f (x) = e−1/x for x = 0 and
f (0) = 0. It’s Taylor expansion is the 0 series (which converges everywhere),
but it is not the 0 function.
Definition 5.6.1 (Maclaurin Series). A Maclaurin series is just a Taylor series
with a = 0. I will not use the term “Maclaurin series” ever again (it’s common
in textbooks).
Example 5.6.2. Find the Taylor series for f (x) = ex about a = 0. We have
f (n) (x) = ex . Thus f (n) (0) = 1 for all n. Hence
                               ∞
                      x          1 n        x2   x3
                     e =            x =1+x+    +    + ···
                             n=0
                                 n!         2    6

                                              147
5.6. TAYLOR SERIES


What is the radius of convergence? Use the ratio test:
                      1     n+1
                    (n+1)! x                 n!
            lim         1 n       = lim            |x|
                                      n→∞ (n + 1)!
                       n! x
           n→∞

                                              |x|
                                  = lim           = 0,       for any fixed x.
                                      n→∞    n+1
Thus the radius of convergence is ∞.
                                                                               π 1
Example 5.6.3. Find the Taylor series of f (x) = sin(x) about x =              2.    We
have
                                f (n) π
                             ∞
                                       2       π n
                    f (x) =               x−       .
                            n=0
                                    n!         2
To do this we have to puzzle out a pattern:

                                       f (x) = sin(x)
                                      f ′ (x) = cos(x)
                                      f ′′ (x) = − sin(x)
                                      f ′′′ (x) = − cos(x)
                                  f (4) (x) = sin(x)

First notice how the signs behave. For n = 2m even,

                        f (n) (x) = f (2m) (x) = (−1)n/2 sin(x)

and for n = 2m + 1 odd,

           f (n) (x) = f (2m+1) (x) = (−1)m cos(x) = (−1)(n−1)/2 cos(x)

For n = 2m even we have
                                                   π
                          f (n) (π/2) = f (2m)          = (−1)m .
                                                   2
and for n = 2m + 1 odd we have
                                             π
                  f (n) (π/2) = f (2m+1)         = (−1)m cos(π/2) = 0.
                                             2
Finally,
                                       ∞
                                          f (n) (π/2)
                          sin(x) =                    (x − π/2)n
                                      n=0
                                               n!
                                       ∞
                                          (−1)m    π         2m
                                  =             x−                .
                                      m=0
                                          (2m)!    2


   1 Evidently this expansion was first found in India by Madhava of Sangamagrama (1350-

1425).


                                             148
5.6. TAYLOR SERIES


Next we use the ratio test to compute the radius of convergence. We have

               (−1)m+1       π     2(m+1)
                          x−                                          2
              (2(m + 1))!     2                      (2m)!      π
        lim                                   = lim          x−
       m→∞        (−1)m      π     2m          m→∞ (2m + 2)!    2
                          x−
                  (2m)!      2
                                                              2
                                                        x− π2
                                              = lim
                                               m→∞ (2m + 2)(2m + 1)


which converges for each x. Hence R = ∞.

Example 5.6.4. Find the Taylor series for cos(x) about a = 0. We have
cos(x) = sin x + π . Thus from Example 5.6.3 (with infinite radius of conver-
                  2
gence) and that the Taylor expansion is unique, we have
                                         π
                     cos(x) = sin x +
                                         2
                               ∞
                                   (−1)n    π π        2n
                           =              x+ −
                               n=0
                                    (2n)!   2  2
                               ∞
                                   (−1)n 2n
                           =              x
                               n=0
                                    (2n)!




                                        149
5.7. APPLICATIONS OF TAYLOR SERIES


5.7     Applications of Taylor Series
This section is about an example in the theory of relativity. Let m be the
(relativistic) mass of an object and m0 be the mass at rest (rest mass) of the
object. Let v be the velocity of the object relative to the observer, and let c be
the speed of light. These three quantities are related as follows:
                              m0
                      m=                 (relativistic) mass
                                  v2
                             1− 2
                                  c
The total energy of the object is mc2 :

                                   E = mc2.
In relativity we define the kinetic energy to be
                                   K = mc2 − m0 c2 .                                   (5.4)
                               1
What? Isn’t the kinetic energy 2 m0 v 2 ?
 Notice that
                                                                            1
                                                                           −2
                           m0 c2                                      v2
         mc2 − m0 c2 =                  − m0 c2 = m0 c2         1−              −1 .
                              1−   v2                                 c2
                                   c2

Let
                                                    −1
                               f (x) = (1 − x)       2
                                                         −1
 Let’s compute the Taylor series of f . We have
                                           1
                     f (x) = (1 − x)− 2 − 1
                             1               3
                    f ′ (x) = (1 − x)− 2
                             2
                             1 3                5
                     ′′
                   f (x) = · (1 − x)− 2
                             2 2
                   (n)       1 · 3 · 5 · · · (2n − 1)         2n+1
                  f (x) =                  n
                                                      (1 − x)− 2 .
                                         2
Thus
                                         1 · 3 · 5 · · · (2n − 1)
                         f (n) (0) =                              .
                                                     2n
Hence
                              ∞
                                  f (n) (0) n
                    f (x) =                x
                              n=1
                                     n!
                              ∞
                                  1 · 3 · 5 · · · (2n − 1) n
                         =                                x
                              n=1
                                           2n · n!
                              1    3     5    35 4
                         =      x + x2 + x3 +     x + ···
                              2    8    16    128

                                            150
5.7. APPLICATIONS OF TAYLOR SERIES


We now use this to analyze the kinetic energy (5.4):

                                            v2
                   mc2 − m0 c2 = m0 c2 · f
                                            c2
                                           1 v2     3 v2
                                 = m0 c2 ·  · 2 + · 2 + ···
                                           2 c      8 c
                                   1                 3 v2
                                 = m0 v 2 + m0 c2 ·       + ···
                                   2                 8 c2


                                                           2
  And we can ignore the higher order terms if v2 is small. But how small is
                                               c
                             2
“small” enough, given that v2 appears in an infinite sum?
                           c


5.7.1     Estimation of Taylor Series
Suppose
                                         ∞
                                            f (n) (a)
                              f (x) =                 (x − a)n .
                                        n=0
                                               n!
Write
                                               N
                                                  f (n) (a)
                       RN (x) := f (x) −                    (x − a)n
                                              n=0
                                                     n!
We call
                                          N
                                             f (n) (a)
                              TN (x) =                 (x − a)n
                                         n=0
                                                n!
the N th degree Taylor polynomial. Notice that

                                   lim TN (x) = f (x)
                                  N →∞

if and only if
                                    lim RN (x) = 0.
                                   N →∞

We would like to estimate f (x) with TN (x). We need an estimate for RN (x).
Theorem 5.7.1 (Taylor’s theorem). If |f (N +1) (x)| ≤ M for |x − a| ≤ d, then
                                M
                 |RN (x)| ≤            |x − a|N +1         for |x − a| ≤ d.
                              (N + 1)!
  For example, if N = 0, this says that

                        |R(x)| = |f (x) − f (a)| ≤ M |x − a|,

i.e.,
                                   f (x) − f (a)
                                                 ≤ M,
                                       x−a

                                              151
5.7. APPLICATIONS OF TAYLOR SERIES


which should look familiar from a previous class (Mean Value Theorem).

Applications:
  1. One can use Theorem 5.7.1 to prove that functions converge to their Taylor
     series.

  2. Returning to the relativity example above, we apply Taylor’s theorem
     with N = 1 and a = 0. With x = −v 2 /c2 and M any number such that
     |f ′′ (x)| ≤ M , we have
                                            M 2
                                 |R1 (x)| ≤   x .
                                            2
     For example, if we assume that |v| ≤ 100m/s we use
                                        3
                         |f ′′ (x)| ≤     (1 − 1002 /c2 )−5/2 = M.
                                        2

     Using c = 3 × 108 m/s, we get

                              |R1 (x)| ≤ 4.17 · 10−10 · m0 .

     Thus for v ≤ 100m/s ∼ 225mph, then the error in throwing away rela-
     tivistic factors is 10−10 m0 . This is like 200 feet out of the distance to the
     sun (93 million miles). So relativistic and Newtonian kinetic energies are
     almost the same for reasonable speeds.




                                          152
Chapter 6

Some Differential Equations

This chapter is an introduction to differential equations, a major field in applied
and theoretical mathematics and a very useful one for engineers, scientists,
and others who study changing phenomena. The physical laws of motion and
heat and electricity can be written as differential equations. The growth of a
population, the changing gene frequencies in that population, and the spread
of a disease can be described by differential equations. Economic and social
models use differential equations, and the earliest examples of ”chaos” came
from studying differential equations used for modeling atmospheric behavior.
Some scientists even say that the main purpose of a calculus course should be
to teach people to understand and solve differential equations.
   Differential Equations
   Algebraic equations contain constants and variables, and the solutions of an
algebraic equation are typically numbers. For example, x = 3 and x = −2
are solutions of the algebraic equation x2 = x + 6. Differential equations con-
tain derivatives or differentials of functions. Solutions of differential equations
are functions. The differential equation y ′ = 3x2 has infinitely many solutions,
and two of those solutions are the functions y = x3 + 2 and y = x3 − 4. You
have already solved lots of differential equations: every time you found an an-
tiderivative of a function f (x), you solved the differential equation y ′ = f (x)
to get a solution y. You have also used differential equations in applications.
Areas, volumes, work, and motion problems all involved integration and finding
antiderivatives so they all used differential equations. The differential equation
y ′ = f (x), however, is just the beginning. Other applications generate different
differential equations.
   Checking Solutions of Differential Equations
   Whether a differential equation is easy or difficult to solve, it is important to be
able to check that a possible solution really satisfies the differential equation. A
possible solution of an algebraic equation can be checked by putting the solution
into the equation to see if the result is true: x = 3 is a solution of 5x + 1 = 16
since 5(3) + 1 = 16 is true. Similarly, a solution of a differential equation can
be checked by substituting the function and the appropriate derivatives into the

                                        153
6.1. SEPARABLE EQUATIONS


equation to see if the result is true: y = x2 is a solution of xy ′ = 2y since y ′ = 2x
and x(2x) = 2(x2 ) is true.
  2
Example 6.0.1. For every value of C, the function y = Cx2 is a solution of
xy ′ = 2y. Find the value of C so that y(5) = 50.
  Solution: Substituting the initial condition x = 5 and y = 50 into the solution
y = Cx2 , we have that 50 = C52 so C = 50/25 = 2. The function y = 2x2
satisfies both the differential equation and the initial condition.


6.1      Separable Equations
A separable differential equation is a first order differential equation that can be
written in the form
                                   dy    f (x)
                                       =       .
                                   dx     h(y)
These can be solved by integration, by noting that

                                 h(y)dy = f (x)dx,

hence
                               h(y)dy =      f (x)dx + C.

This latter equation defines y implicitly as a function of x (we have added
a “+C” onto one side just to emphasize that you only need one constant of
integration for the solution), and in some cases it is possible to explicitly solve
for y as a function of x.


6.2      Logistic Equation
The logistics equation is a differential equation that models population growth.
Often in practice a differential equation models some physical situation, and
you should “read it” as doing so.
  Exponential growth:
                                    1 dP
                                          = k.
                                   P dt
This says that the “relative (percentage) growth rate” is constant. As we saw
before, the solutions are
                                 P(t) = P0 · ekt .
Note that this model only works for a little while. In everyday life the growth
couldn’t actually continue at this rate indefinitely. This exponential growth
model ignores limitations on resources, disease, etc. Perhaps there is a better
model?
  Over time we expect the growth rate should level off, i.e., decrease to 0. What
about

                                          154
6.2. LOGISTIC EQUATION



                               1 dP       P
                                    =k 1−               ,                       (6.1)
                               P dt       K
where K is some large constant called the carrying capacity, which is much big-
ger than P = P (t) at time 0. The carrying capacity is the maximum population
that the environment can support. Note that if P > K, then dP/dt < 0 so the
population declines. The differential equation (6.1) is called the logistic model
(or logistic differential equation). There are, of course, other models one could
use, e.g., the Gompertz equation.
  First question: are there any equilibrium solutions to (6.1), i.e., solutions with
                                                                                 P
dP/dt = 0, i.e., constant solutions? In order that dP/dt = 0 then 0 = k 1 − K ,
so the two equilibrium solutions are P (t) = 0 and P (t) = K.
  The logistic differential equation (6.1) is separable, so you can separate the
variables with one variable on one side of the equality and one on the other.
This means we can easily solve the equation by integrating. We rewrite the
equation as
                              dP       k
                                   = − P (P − K).
                               dt      K
Now separate:
                                  KdP
                                          = −k · dt,
                               P (P − K)
and integrate both sides

                             KdP
                                    =      −k · dt = −kt + C.
                          P (P − K)

On the left side we get

              KdP                1    1
                     =              −           dP = ln |P − K| − ln |P | + ∗
           P (P − K)           P −K   P

Thus
                           ln |K − P | − ln |P | = −kt + c,
so
                            ln |(K − P )/P | = −kt + c.
Now exponentiate both sides:

               (K − P )/P = e−kt+c = Ae−kt ,                where A = ec .

Thus
                                K = P (1 + Ae−kt ),
so
                                              K
                                P (t) =             .
                                          1 + Ae−kt

                                          155
6.2. LOGISTIC EQUATION


Note that A = 0 also makes sense and gives an equilibrium solution. In general
we have limt→∞ P (t) = K. In any particular case we can determine A as a
function of P0 = P (0) by using that

                          K                  K      K − P0
               P (0) =           so     A=      −1=        .
                         1+A                 P0       P0




                                      156
Chapter 7

      Appendix: Integral tables

                    Trigonometry

                 Trigonometric Functions



T1.                   sin2 x + cos2 x = 1


T2.                   tan2 x + 1 = sec2 x


T3.                   cot2 x + 1 = csc2 x


T4.          sin(x ± y) = sin x cos y ± cos x sin y


T5.          cos(x ± y) = cos x cos y ∓ sin x sin y

                                tan x ± tan y
T6.             tan(x ± y) =
                               1 ∓ tan x tan y

                         x      sin x
T7.                  tan( ) =
                         2    1 + cos x

T8.                 sin(2x) = 2 sin x cos x


T9.                cos(2x) = cos2 x − sin2 x


                                157
T10.            sin2 x = 1/2(1 − cos(2x))


T11.            cos2 x = 1/2(1 + cos(2x))


T12.    sin x sin y = 1/2 cos(x − y) − cos(x + y))


T13.   cos x cos y = 1/2 cos(x − y) + cos(x + y))


T14.    sin x cos y = 1/2 sin(x − y) + sin(x + y))


T15.    c1 cos(ωt) + c2 sin(ωt) = A sin(ωt + φ),


                                                 c1
       where A =     c2 + c2 , φ = 2 arctan
                      1    2
                                              c2 + A



                Hyperbolic Functions


                               ex + e−x
T16.                cosh x =
                                   2

                               ex − e−x
T17.                sinh x =
                                   2

T18.               cosh2 x − sinh2 x = 1


T19.               tanh2 x + sech2 x = 1


T20.               coth2 x − csch2 x = 1


T21.   sinh(x ± y) = sinh x cosh y ± cosh x sinh y


T22.   cosh(x ± y) = cosh x cosh y ± sinh x sinh y


                               158
tanh x ± tanh y
T23.                           tanh(x ± y) =
                                               1 ± tanh x tanh y

T24.                               sinh(2x) = 2 sinh x cosh x


T25.                             cosh(2x) = cosh2 x + sinh2 x


T26.               sinh x sinh y = 1/2 cosh(x + y) − cosh(x − y))


T27.              cosh x cosh y = 1/2 cosh(x + y) + cosh(x − y))


T28.               sinh x cosh y = 1/2 sinh(x + y) + sinh(x − y))




                                      Power Series
                       ∞
                         xn       x2   x3
 P1.        ex =            =1+x+    +    + ··· ,               −∞ < x < ∞
                     n=0
                         n!       2!   3!
                 ∞
                                  x2n+1       x3   x5
 P2.   sin x =         (−1)n              =x−    +    − ··· ,        −∞ < x < ∞
                 n=0
                                (2n + 1)!     3!   5!
                     ∞
                                    x2n      x2   x4
 P3.    cos x =            (−1)n         =1−    +    − ··· ,        −∞ < x < ∞
                  n=0
                                   (2n)!     2!   4!

                                x3  2      17 7                     π     π
 P4.        tan x = x +            + x5 +     x + ··· ,         −     <x<
                                3   15    315                       2     2
                            ∞
              1
 P5.             =    xn = 1 + x + x2 + x3 + · · · ,               −1 < x < 1
            1 − x n=0
                       ∞
                           x2n+1       x3   x5
 P6.     sinh x =                  =x+    +    + ··· ,              −∞ < x < ∞
                     n=0
                         (2n + 1)!     3!   5!
                           ∞
                                x2n      x2   x4
 P7.       cosh x =                  =1+    +    + ··· ,        −∞ < x < ∞
                           n=0
                               (2n)!     2!   4!

                                 x3   2     17 7                    π     π
 P8.       tanh x = x −             + x5 −     x + ··· ,        −     <x<
                                 3   15    315                      2     2

                                                159
f ′′ (a)            f ′′′ (a)
 P9.      f (x) = f (a) + f ′ (a)(x − a) +                (x − a)2 +           (x − a)3 + · · ·
                                                    2!                  3!

P10.   Taylor Series with remainder:


                                     N   f (n) (a)
              f (x)          =       n=0    n!       (x − a)n + RN +1 (x),      where
                          f (N +1) (ξ)
         RN +1 (x)    =     (N +1)!      (x − a)N +1            for some ξ between a and x.




                                    Table of Integrals

         A constant of integration should be added to each formula. The letters a,
       b, m, and n denote constants; u and v denote functions of an independent
       variable such as x.


                                          Standard Integrals


                                                     un+1
 I1.                                     un du =          ,       n = −1
                                                     n+1

                                                du
 I2.                                               = ln |u|
                                                 u

 I3.                                            eu du = eu

                                                        au
 I4.                                       au du =          ,     a>0
                                                       ln a

 I5.                                          cos u du = sin u


 I6.                                         sin u du = − cos u


 I7.                                         sec2 u du = tan u


 I8.                                        csc2 u du = − cot u


                                                        160
I9.           sec u tan u du = sec u


I10.          csc u cot u du = − csc u


I11.           tan u du = − ln | cos u|


I12.              cot u du = ln | sin u|


I13.        sec u du = ln | sec u + tan u|


I14.        csc u du = ln | csc u − cot u|

                du    1       u
I15.                 = arctan
             a2 + u2  a       a

                   du              u
I16.          √           = arcsin
                  a2 − u2          a

I17.              u dv = uv −      v du



          Integrals involving au + b


                        (au + b)n+1
I18.   (au + b)n du =               ,      n = −1
                          (n + 1)a

                 du    1
I19.                  = ln |au + b|
               au + b  a

             u du   u  b
I20.               = − 2 ln |au + b|
            au + b  a a

         u du         b       1
I21.             = 2        +   ln |au + b|
       (au + b)2  a (au + b) a2

                du      1     u
I22.                   = ln
             u(au + b)  b   au + b

                            161
√            2(3au − 2b)
I23.             u au + b du =             (au + b)3/2
                                  15a2

                        u du     2(au − 2b) √
I24.                √          =             au + b
                        au + b      3a2
         √                 2
I25.   u2 au + b du =          8b2 − 12abu + 15a2 u2 (au + b)3/2
                         105a3

             u2 du      2                       √
I26.        √        =    3
                            8b2 − 4abu + 3a2 u2   au + b
              au + b   15a


                    Integrals involving u2 ± a2


                               du      1    u−a
I27.                                =    ln
                          u2   −a 2   2a    u+a

                          u du
I28.                             = 1/2 ln u2 ± a2
                         u2 ± a2

                          u2 du       a   u−a
I29.                             = u + ln
                         u2 − a2      2   u+a

                         u2 du                  u
I30.                      2 + a2
                                 = u − a arctan
                        u                       a

                          du        1      u2
I31.                            = ± 2 ln 2
                    u(u2   ±a2)    2a   u ± a2


                                             √
                   Integrals involving           u2 ± a2


                               u du
I32.                       √           =    u2 ± a2
                               u2 ± a2
                                           1 2          3/2
I33.                u    u2 ± a2 du =        u ± a2
                                           3

                          du
I34.                 √          = ln u +       u2 ± a2
                         u2± a2
               u2 du     u                  a2
I35.       √           =        u2 ± a2 ∓      ln u +      u2 ± a2
               u2 ± a2   2                  2

                                      162
du      1        u
I36.                          √        = ln    √
                             u u2 + a2  a   a + u2 + a2

                                  du       1        u
I37.                            √        = arcsec
                               u u2 − a2   a        a
                                             √
                                   du         u2 ± a2
I38.                             √        =∓
                               u2 u2 ± a2      a2 u

                                   u                       a2
I39.                u2 ± a2 du =         u2 ± a2 ±            ln u +           u2 ± a2
                                   2                       2

                            u 2          3/2       a2 u                    a4
I40.   u2    u2 ± a2 du =     u ± a2           ∓           u2 ± a2 −          ln u +     u2 ± a2
                            4                       8                      8
                    √                                   √
                      u2 + a2          2 + a2 − a ln
                                                     a + u2 + a2
I41.                          du = u
                        u                                 u
                       √
                          u2 − a2                           u
I42.                              du = u2 − a2 − a arcsec
                            u                               a
                    √                 √
                     u2 ± a2           u2 ± a2
I43.                     2
                              du = −           + ln u + u2 ± a2
                       u                 u


                                                           √
                            Integrals involving             a2 − u2


                                         u                       a2        u
I44.                      a2 − u2 du =         a2 − u2 +            arcsin
                                         2                       2         a

                                   u du
I45.                             √        = − a2 − u2
                                  a2 − u2

                                                     1 2                 3/2
I46.                        u a2 − u2 du = −           a − u2
                                                     3
                    √                                                   √
                        a2 − u2                                   a+     a2 − u2
I47.                            du =     a2 − u2 − a ln
                          u                                               u
                                                                 √
                               du        1   a+                      a2 − u2
I48.                         √        = − ln
                            u a2 − u2    a                           u

                               u 2             3/2        a2 u                    a4        u
I49.    u2    a2 − u2 du = −     a − u2              +               a2 − u2 +       arcsin
                               4                           8                      8         a

                                                   163
√                  √
                     a2 − u2         a2 − u2          u
I50.                    2
                             du = −          − arcsin
                      u                u              a

                    u2 du      u                       a2        u
I51.            √           =−             a2 − u2 +      arcsin
                    a2 − u2    2                       2         a
                                               √
                                    du           a2 − u2
I52.                            √           =−
                           u2       a2 − u2       a2 u


            Integrals involving trigonometric functions


                                              u sin(2au)
I53.                       sin2 (au) du =       −
                                              2    4a

                                              u sin(2au)
I54.                       cos2 (au) du =       +
                                              2    4a

                                       1    cos3 (au)
I55.              sin3 (au) du =                      − cos(au)
                                       a        3

                                       1                sin3 (au)
I56.              cos3 (au) du =            sin(au) −
                                       a                    3

                                                  u   1
I57.             sin2 (au) cos2 (au) du =           −   sin(4au)
                                                  8 32a

                                              1
I58.                      tan2 (au) du =        tan(au) − u
                                              a

                                          1
I59.                      cot2 (au) du = − cot(au) − u
                                          a

                         1                    1
I60.   sec3 (au) du =      sec(au) tan(au) +    ln | sec(au) + tan(au) |
                        2a                   2a

                           1                    1
I61.   csc3 (au) du = −      csc(au) cot(au) +    ln | csc(au) − cot(au) |
                          2a                   2a

                                       1
I62.              u sin(au) du =          (sin(au) − au cos(au))
                                       a2

                                       1
I63.              u cos(au) du =          (cos(au) + au sin(au))
                                       a2

                                            164
1
I64.      u2 sin(au) du =      2au sin(au) − ( a2 u2 − 2 ) cos(au)
                            a3

                            1
I65.      u2 cos(au) du =      2au cos(au) + ( a2 u2 − 2 ) sin(au)
                            a3

                               sin(a − b)u sin(a + b)u
I66.    sin(au) sin(bu) du =              −            ,       a2 = b2
                                 2(a − b)    2(a + b)

                               sin(a − b)u sin(a + b)u
I67.   cos(au) cos(bu) du =               +            ,       a2 = b2
                                 2(a − b)    2(a + b)

                                cos(a − b)u cos(a + b)u
I68.   sin(au) cos(bu) du = −              −            ,       a2 = b2
                                  2(a − b)    2(a + b)

                           1                  n−1
I69.       sinn u du = −     sinn−1 u cos u +         sinn−2 u du
                           n                   n


             Integrals involving hyperbolic functions


                                         1
I70.                     sinh(au) du =     cosh(au)
                                         a

                                        1             u
I71.                 sinh2 (au) du =      sinh(2au) −
                                       4a             2

                                         1
I72.                     cosh(au) du =     sinh(au)
                                         a

                                       u   1
I73.                 cosh2 (au) du =     +   sinh(2au)
                                       2 4a

                                  cosh ((a + b) u) cosh ((a − b) u)
I74.     sinh(au) cosh(bu) du =                   +
                                     2(a + b)         2(a − b)

                                              1
I75.               sinh(au) cosh(au) du =       cosh(2au)
                                             4a

I76.                        tanh u du = ln(cosh u)


I77.             sech u du = arctan(sinh u) = 2 arctan (eu )


                                       165
Integrals involving exponential functions


                                                   eau
I78.                                   ueau du =       (au − 1)
                                                   a2

                                             eau 2 2
I79.                          u2 eau du =        a u − 2au + 2
                                             a3

                                           1 n au n
I80.                       un eau du =       u e −            un−1 eau du
                                           a       a

                                              eau
I81.                 eau sin(bu) du =               (a sin(bu) − b cos(bu))
                                            a2 + b2

                                              eau
I82.                 eau cos(bu) du =               (a cos(bu) + b sin(bu))
                                            a2 + b2


           Integrals involving inverse trigonometric functions


                                   u                        u
I83.                   arcsin            du = u arcsin        +    a2 − u2
                                   a                        a

                                   u                        u
I84.                   arccos            du = u arccos        −    a2 − u2
                                   a                        a

                               u                           u  a
I85.                 arctan            du = u arctan         − ln a2 + u2
                               a                           a  2


            Integrals involving inverse hyperbolic functions


                                   u                         u
I86.                  arcsinh            du = u arcsinh        −    u2 + a2
                                   a                         a

I87.


                 u                            u
                                                       √                       u
       arccosh        du      = u arccosh     a    − u2 − a2         arccosh   a   > 0;
                 a
                                              u
                                                    √                          u
                              = u arccosh     a    + u2 − a2         arccosh   a   < 0.



                                                   166
u                         u  a
I88.                    arctanh             du = u arctanh         + ln a2 − u2
                                       a                         a  2


                         Integrals involving logarithm functions



I89.                                         ln u du = u(ln u − 1)

                                                   ln u    1
I90.                    un ln u du = un+1               −        ,              n = −1
                                                  n + 1 (n + 1)2


                                            Wallis’ Formulas


I91.

                                π/2
                                                           π/2
                                      sinm x dx        =   0
                                                                 cosm x dx
                            0
                                                       (m−1)(m−3)...(2 or 1)
                                                   =     m(m−2)...(3 or 2) k,




       where k = 1 if m is odd and k = π/2 if m is even.

           π/2
I92.             sinm x cosn x dx =
       0
                                      (m − 1)(m − 3) . . . (2 or 1)(n − 1)(n − 3) . . . (2 or 1)
                                                                                                 k,
                                               (m + n)(m + n − 2) . . . (2 or 1)

       where k = π/2 if both m and n are even and k = 1 otherwise.




                                                         167
Index

antiderivative, 41, 44

index variable, 11

partition, 16
polar graph, 89

Riemann sum, 15

Sigma notation, 11
summand, 11
summation notation, 11

Taylor Series, 147




                         168

Calculus Research Lab 2: Integrals

  • 1.
    Integral Calculus andSage (preliminary version) Dale Hoffman, William Stein, David Joyner 2009-4-4
  • 2.
  • 3.
    Contents 0 Preface xi 1 The Integral 1 1.1 Area . . . . . . . . . . . . . . . . . . . . . . . . . . . . . . . . . . 1 1.2 Some applications of area . . . . . . . . . . . . . . . . . . . . . . 6 1.2.1 Total accumulation as “area” . . . . . . . . . . . . . . . . 8 1.2.2 Problems . . . . . . . . . . . . . . . . . . . . . . . . . . . 9 1.3 Sigma notation and Riemann sums . . . . . . . . . . . . . . . . . 10 1.3.1 Sums of areas of rectangles . . . . . . . . . . . . . . . . . 14 1.3.2 Area under a curve: Riemann sums . . . . . . . . . . . . 15 1.3.3 Two special Riemann sums: lower and upper sums . . . . 20 1.3.4 Problems . . . . . . . . . . . . . . . . . . . . . . . . . . . 22 1.3.5 The trapezoidal rule . . . . . . . . . . . . . . . . . . . . . 23 1.3.6 Simpson’s rule and Sage . . . . . . . . . . . . . . . . . . 26 1.3.7 Trapezoidal vs. Simpson: Which Method Is Best? . . . . 29 1.4 The definite integral . . . . . . . . . . . . . . . . . . . . . . . . . 30 1.4.1 The Fundamental Theorem of Calculus . . . . . . . . . . 33 1.4.2 Problems . . . . . . . . . . . . . . . . . . . . . . . . . . . 36 1.4.3 Properties of the definite integral . . . . . . . . . . . . . . 37 1.4.4 Problems . . . . . . . . . . . . . . . . . . . . . . . . . . . 39 1.5 Areas, integrals, and antiderivatives . . . . . . . . . . . . . . . . 41 1.5.1 Integrals, Antiderivatives, and Applications . . . . . . . . 43 1.5.2 Indefinite Integrals and net change . . . . . . . . . . . . . 44 1.5.3 Physical Intuition . . . . . . . . . . . . . . . . . . . . . . 46 1.5.4 Problems . . . . . . . . . . . . . . . . . . . . . . . . . . . 47 1.6 Substitution and Symmetry . . . . . . . . . . . . . . . . . . . . . 48 1.6.1 The Substitution Rule . . . . . . . . . . . . . . . . . . . . 49 1.6.2 Substitution and definite integrals . . . . . . . . . . . . . 51 1.6.3 Symmetry . . . . . . . . . . . . . . . . . . . . . . . . . . . 52 1.6.4 Problems . . . . . . . . . . . . . . . . . . . . . . . . . . . 53 vii
  • 4.
    CONTENTS 2 Applications 55 2.1 Applications of the integral to area . . . . . . . . . . . . . . . . . 55 2.1.1 Using integration to determine areas . . . . . . . . . . . . 55 2.2 Computing Volumes of Surfaces of Revolution . . . . . . . . . . . 60 2.2.1 Disc method . . . . . . . . . . . . . . . . . . . . . . . . . 62 2.2.2 Shell method . . . . . . . . . . . . . . . . . . . . . . . . . 65 2.2.3 Problems . . . . . . . . . . . . . . . . . . . . . . . . . . . 67 2.3 Average Values . . . . . . . . . . . . . . . . . . . . . . . . . . . . 70 2.3.1 Problems . . . . . . . . . . . . . . . . . . . . . . . . . . . 71 2.4 Moments and centers of mass . . . . . . . . . . . . . . . . . . . . 72 2.4.1 Point Masses . . . . . . . . . . . . . . . . . . . . . . . . . 73 2.4.2 Center of mass of a region in the plane . . . . . . . . . . . 75 2.4.3 x For A Region . . . . . . . . . . . . . . . . . . . . . . . . 76 2.4.4 y For a Region . . . . . . . . . . . . . . . . . . . . . . . . 77 2.4.5 Theorems of Pappus . . . . . . . . . . . . . . . . . . . . . 78 2.5 Arc lengths . . . . . . . . . . . . . . . . . . . . . . . . . . . . . . 80 2.5.1 2-D Arc length . . . . . . . . . . . . . . . . . . . . . . . . 80 2.5.2 3-D Arc length . . . . . . . . . . . . . . . . . . . . . . . . 83 3 Polar coordinates and trigonometric integrals 85 3.1 Polar Coordinates . . . . . . . . . . . . . . . . . . . . . . . . . . 87 3.2 Areas in Polar Coordinates . . . . . . . . . . . . . . . . . . . . . 90 3.3 Complex Numbers . . . . . . . . . . . . . . . . . . . . . . . . . . 93 3.3.1 Polar Form . . . . . . . . . . . . . . . . . . . . . . . . . . 94 3.4 Complex Exponentials and Trigonometric Identities . . . . . . . 97 3.4.1 Trigonometry and Complex Exponentials . . . . . . . . . 99 3.5 Integrals of Trigonometric Functions . . . . . . . . . . . . . . . . 101 3.5.1 Some Remarks on Using Complex-Valued Functions . . . 106 4 Integration techniques 109 4.1 Trigonometric Substitutions . . . . . . . . . . . . . . . . . . . . . 109 4.2 Integration by Parts . . . . . . . . . . . . . . . . . . . . . . . . . 113 4.2.1 More General Uses of Integration By Parts . . . . . . . . 116 4.3 Factoring Polynomials . . . . . . . . . . . . . . . . . . . . . . . . 117 4.4 Partial Fractions . . . . . . . . . . . . . . . . . . . . . . . . . . . 118 4.5 Integration of Rational Functions Using Partial Fractions . . . . 122 4.6 Improper Integrals . . . . . . . . . . . . . . . . . . . . . . . . . . 126 4.6.1 Convergence, Divergence, and Comparison . . . . . . . . . 128 5 Sequences and Series 131 5.1 Sequences . . . . . . . . . . . . . . . . . . . . . . . . . . . . . . . 131 5.2 Series . . . . . . . . . . . . . . . . . . . . . . . . . . . . . . . . . 132 5.3 The Integral and Comparison Tests . . . . . . . . . . . . . . . . . 134 5.3.1 Estimating the Sum of a Series . . . . . . . . . . . . . . . 138 5.4 Tests for Convergence . . . . . . . . . . . . . . . . . . . . . . . . 139 5.4.1 The Comparison Test . . . . . . . . . . . . . . . . . . . . 139 viii
  • 5.
    CONTENTS 5.4.2 Absolute and Conditional Convergence . . . . . . . . . . . 139 5.4.3 The Ratio Test . . . . . . . . . . . . . . . . . . . . . . . . 140 5.4.4 The Root Test . . . . . . . . . . . . . . . . . . . . . . . . 141 5.5 Power Series . . . . . . . . . . . . . . . . . . . . . . . . . . . . . . 143 5.5.1 Shift the Origin . . . . . . . . . . . . . . . . . . . . . . . . 144 5.5.2 Convergence of Power Series . . . . . . . . . . . . . . . . 145 5.6 Taylor Series . . . . . . . . . . . . . . . . . . . . . . . . . . . . . 146 5.7 Applications of Taylor Series . . . . . . . . . . . . . . . . . . . . 150 5.7.1 Estimation of Taylor Series . . . . . . . . . . . . . . . . . 151 6 Some Differential Equations 153 6.1 Separable Equations . . . . . . . . . . . . . . . . . . . . . . . . . 154 6.2 Logistic Equation . . . . . . . . . . . . . . . . . . . . . . . . . . . 154 7 Appendix: Integral tables 157 ix
  • 6.
    Chapter 0 Preface Who caresabout calculus? Well, calculus is used in virtually every branch of science where a problem can be mathematically modeled and an optimal solution is desired. In applications, quite often you “know” or strongly suspect something based on your understanding of the general principles in that field. Calculus allows you to quantify your expectations. For example, you know if you drop a car from a helicopter it will fall to the ground in a short length of time, possibly causing a lot of damage to the vehicle. Now suppose you are directing a truck commercial for television. You really want to know exactly how much damage is caused by dropping the car from a specific height so you can prepare precise instructions for the chopper pilot and cameramen. This quantitative precision is where mathematics, namely calculus, can help. Image a football quarterback throwing a football to a receiver during game. Now suppose you want to design a program for a computer game that allows players to play football on their computer or game console (or cell-phone). You need to know exact equations for the football’s trajectory in its path to the receiver. Again, this is where calculus plays a role. Hopefully this book will help provide a bit of foundation for you to go on to design the best video game or commercial or whatever your future brings to you! Acknowledgements: We thank Minh Van Nguyen for his careful proofreading and many excellent suggestions for revisions. xi
  • 7.
    Chapter 1 The Integral Differentialcalculus starts with a “simple” geometric problem: given a curve and a line tangent to that curve, find the slope of the line. The subject then develops techniques used in solving this problem into a combination of theory about derivatives and their properties, techniques for calculating derivatives, and applications of derivatives. This book begins the development of integral calculus and starts with the “simple” geometric idea of area. This idea will be developed into another combination of theory, techniques, and applications. The integral will be introduced in two (completely different) ways: as a limit of “Riemann sums” and as an “inverse” of differentiation (also known as “an- tiderivative”). Conceptually, the limit approach to the integral is geometric or numerical, while the antiderivative approach is somewhat more algebraic. One of the most important results in mathematics, The Fundamental Theo- rem of Calculus, appears in this chapter. It connects these two notions of the integral and also provides a relationship between differential and integral calcu- lus. Historically, this theorem marked the beginning of modern mathematics, and it provided important tools for the growth and development of the sciences. The chapter begins with a look at area, some geometric properties of areas, and some applications. First, we will see ways of approximating the areas of regions such as tree leaves that are bounded by curved edges, and the areas of regions bounded by graphs of functions. Then we will find ways to calculate exactly the areas of some of these regions. Finally, we will explore more of the rich variety of uses of “areas”. The primary purpose of this introductory section is to help develop your intuition about areas and your ability to reason using geometric arguments about area. This type of reasoning will appear often in the rest of this book and is very helpful for applying the ideas of calculus. 1.1 Area We know from previous experience how to compute the areas of simple geo- metrical shapes like triangles, circles and rectangles. Formulas for these have 1
  • 8.
    1.1. AREA been knownsince the days of the ancient Greeks. But how do you find the area under a “more complicated” curve such as y = x2 where −1 < x < 1? First, let’s graph the function using Sage as follows1 : sage: a = -1; b = 1 sage: f = lambda x: x^2 sage: Lb = [[b,f(b)], [b,0], [a,0], [a,f(a)]] sage: Lf = [[i/20, f(i/20)] for i in xrange(20*a, 20*b+1)] sage: P = polygon(Lf+Lb, rgbcolor=(0.2,0.8,0)) sage: Q = plot(f(x), x, a-0.5, b+0.5) sage: show(P+Q) This results in the plot shown in Figure 1.1: Figure 1.1: Using Sage to plot y = x2 for −1 ≤ x ≤ 1. The rough, general idea introduced in this section is the following. To compute the area of the “complicated” shaded region in Figure 1.1, we break it up into lots of “simpler” subregions, whose areas are easy to compute, then add up the areas of the subregions to get the total area. We shall return to this example later. The basic shape we will use is the rectangle, whose area is given by the formula area = base × height If the units for each side of the rectangle are “meters,” then the area will have the units (“meters”)×(“meters”) = “square meters” = m2 . Other area formulas needed for this section are: the area formula for triangles area = bh/2 (1.1) 1 Feel free to try this yourself, changing a, b and x2 to something else if you like. 2
  • 9.
    1.1. AREA where bis the length of the base and h is the height; and the corresponding formula for circles area = πr2 with r being the radius. We also assume the following familiar properties of area: • Addition Property: The total area of a region is the sum of the areas of the non-overlapping pieces which comprise the region (see Figure 1.2). • Inclusion Property: If region B is on or inside region A, then the area of region B is less than or equal to the area of region A (see Figure 1.3). • Location-Independence Property: The area of a region does not depend on its location (see Figure 1.4). Figure 1.2: Adding areas of non-overlapping regions. Figure 1.3: Estimating areas using rectangles. Example 1.1.1. Determine the area of the region in Figure 1.5(a). Solution. The region can easily be broken into two rectangles, Figure 1.5(b), with areas 35 square inches and 3 square inches respectively. So the total area of the original region is 38 square inches. Using the above three properties of area, we can get information about areas that are difficult to calculate exactly. For instance, let A be the region bounded by the graph of f (x) = 1/x, the x-axis, and vertical lines at x = 1 and x = 3 (refer to Figure 1.6). Since the two rectangles in Figure 1.6 are inside the region A and do not overlap each other, the area of the rectangles is 1/2 + 1/3 = 5/6, which is less than the area of region A. 3
  • 10.
    1.1. AREA Figure 1.4: Independence of area under translations and rotations. Figure 1.5: Calculating areas using the addition property. Practice 1.1.1. Build two rectangles, each with base 1 unit, outside the shaded region in Figure 1.6. Then use their areas to make a valid statement about the area of region A. (Ans: Outside rectangular area = 1.5.) Practice 1.1.2. Now use both inside and outside rectangles with base 1/2 unit. What can be said about the area of region A in Figure 1.6? (Ans: The area of the region is between 0.95 and 1.2.) Example 1.1.2. In Figure 1.7, there are 32 dark squares, each having a side length of 1 centimeter, and 31 lighter squares of the same side length. We can be sure that the area of the leaf is smaller than what number? Solution. The area of the leaf is smaller than 32 + 31 = 63 cm2 . Practice 1.1.3. We can be sure that the area of the leaf is at least how large? 4
  • 11.
    1.1. AREA Figure 1.6: The area under of y = 1/x, where 1 ≤ x ≤ 3. Figure 1.7: Approximating the area of a “leaf”. Functions can be defined in terms of areas. For the constant function f (t) = 2, define A(x) to be the area of the rectangular region bounded by the graph of f , the t-axis, and the vertical lines at t = 1 and t = x (see Figure 1.8(a)). Then A(2) is the area of the shaded region in Figure 1.8(b), where A(2) = 2. Similarly, A(3) = 4 and A(4) = 6. In general, we have A(x) = base × height = (x − 1) × 2 = 2x − 2 for any x ≥ 1. Figure 1.8(c) shows the graph of y = A(x), whose derivative is A′ (x) = 2 for every value of x ≥ 1. Figure 1.8: The area as a function. 5
  • 12.
    1.2. SOME APPLICATIONSOF AREA Sometimes it is useful to move regions around. Consider the parallelogram in Figure 1.9 and notice the triangle on its left end. Moving this triangular region from the left side of the parallelogram to fill the region on the right side, we end up with a rectangle. So we have reduced the problem of finding the area of a parallelogram to a simpler, equivalent problem about finding the area of a rectangle. Figure 1.9: The area of a parallelogram. For complicated regions such as the shaded regions in Figure 1.10(a), we can use a similar technique. At first glance, it is difficult to estimate the total area of the shaded regions in Figure 1.10(a). However, if we slide all of them into a single column as shown in Figure 1.10(b), then it is easy to determine that the shaded area is less than the area of the enclosing rectangle: that is, area of rectangle = base × height = 1 × 2 = 2. Figure 1.10: Estimating the area of an irregular region. 1.2 Some applications of area One reason “areas” are so useful is that they can represent quantities other than simple geometric shapes. For example, if the units of the base of a rectangle are “hours” and the units of the height are “miles/hour”, then the units of the “area” of the rectangle are (hours) × (miles/hour) = miles, a measure of distance. Similarly, if the base units are centimeters and the height units are grams, then the “area” units are gram × centimeters, a measure of work. Example 1.2.1. Distance as an “area”: In Figure 1.11, f (t) is the velocity of a car in “miles per hour” and t is the time in “hours.” Then the shaded “area” 6
  • 13.
    1.2. SOME APPLICATIONSOF AREA is (base) × (height) = (3 hours) × (20 miles/hour ) = 60 miles. In other words, the car traveled 60 miles in the 3 hours from 1 o’clock until 4 o’clock. Figure 1.11: Calculating distance using the “area” concept. Example 1.2.1 shows that we can use the familiar idea of “area” to calculate a quantity (in this case, miles) that at first seems totally unrelated to “area”. Theorem 1.2.1 provides a general statement of the idea illustrated in Exam- ple 1.2.1. Theorem 1.2.1. (“Area” as Distance) Let f (t) be the (positive) forward ve- locity of an object at time t. Then the “area” bounded by the graph of f , the t-axis, and the vertical lines at times t = a and t = b, will be the distance that the object has moved forward between times a and b. This “area as distance” fact can make some difficult distance problems much easier to handle. Example 1.2.2. A car starts from rest (velocity = 0) and steadily speeds up so that 20 seconds later its speed is 88 feet per second (60 miles per hour). How far did the car travel during those 20 seconds? Solution. If “steadily speeds up” means that the velocity increases linearly, then we can apply the idea of “area as distance”. Figure 1.12 shows the graph of velocity versus time. The “area” of the triangular region in the figure represents the distance traveled. Using formula (1.1) for the area of a triangle, we have 1 distance = × base × height 2 1 = × (20 seconds) × (88 feet/second) 2 = 880 feet In 20 seconds the car covered a total distance of 880 feet. 7
  • 14.
    1.2. SOME APPLICATIONSOF AREA Figure 1.12: Using “area” to calculate the distance a car travels. Practice 1.2.1. A train traveling at 45 miles per hour (66 feet/second) takes 60 seconds to come to a complete stop. If the train slowed down at a steady rate (the velocity decreased linearly), how many feet did the train travel while coming to a stop? Practice 1.2.2. You and a friend start off at noon and walk in the same di- rection along the same path at the rates shown in Figure 1.13. • Who is walking faster at 2 pm? Who is ahead at 2 pm? • Who is walking faster at 3 pm? Who is ahead at 3 pm? • When will you and your friend be together? (Answer in words.) Figure 1.13: Illustration for Practice 1.2.2. 1.2.1 Total accumulation as “area” In previous examples, the function represented a rate of travel (miles per hour), and the area represented the total distance traveled. For functions representing other rates, the area still represents the total amount of something. Some familiar rates include the production of a factory (bicycles per day), the flow of water in a river (gallons per minute), traffic over a bridge (cars per minute), or the spread of a disease (newly sick people per week). 8
  • 15.
    1.2. SOME APPLICATIONSOF AREA Theorem 1.2.2. (“Area” as Total Accumulation) Let f (t) be a positive rate (in units per time interval) at time t. Then the “area” between the graph of f , the t-axis, and the vertical lines at times t = a and t = b, will be the total units which accumulate between times a and b. Practice 1.2.3. Figure 1.14 shows the number of telephone calls made per hour on a Tuesday. Approximately how many calls were made between 9 am and 11 am? Figure 1.14: Illustration for Practice 1.2.3. 1.2.2 Problems 1. (a) Calculate the sum of the rectangular areas in Figure 1.15(a). (b) From part (a), what can we say about the area of the shaded region in Figure 1.15(b)? 2. (a) Calculate the sum of the areas of the shaded regions in Figure 1.15(c). (b) From part (a), what can we say about the area of the shaded region in Figure 1.15(b)? Figure 1.15: Estimating areas. 3. Consider the function f (x) whose graph is shown in Figure 1.16. Let A(x) represent the area bounded by the graph of f (x), the horizontal axis, and vertical lines at t = 0 and t = x. Evaluate A(x) for x = 1, 2, 3, 4, and 5. 4. Police chase: A speeder traveling 45 miles per hour (in a 25 mph zone) passes a stopped police car which immediately takes off after the speeder. 9
  • 16.
    1.3. SIGMA NOTATIONAND RIEMANN SUMS Figure 1.16: Computing areas. The police car speeds up steadily to 60 miles/hour in 20 seconds and then travels at a steady 60 miles/hour. Figure 1.17 shows the velocity versus time graph for the police car and the speeder. How long and how far before the police car catches the speeder who continued traveling at 45 miles/hour? Figure 1.17: Computing areas to analyze the police chase problem. 5. What are the units for the “area” of a rectangle with the given base and height units? Base units Height units “Area” units miles per second seconds hours dollars per hour square feet feet kilowatts hours houses people per house meals meals 1.3 Sigma notation and Riemann sums So far, we have calculated the area of a region in terms of simpler regions. We cut the region into simple shapes, calculate the area of each simple shape, and then add these smaller areas together to get the area of the whole region. We will continue using that approach, but it is useful to have a notation for adding many values together. This is where the sigma notation (denoted with the capital Greek letter Σ) comes in handy. 10
  • 17.
    1.3. SIGMA NOTATIONAND RIEMANN SUMS Consider the function f (x) = 3x + 1 and for convenience we restrict x to take only integer values. Now consider the values of f (x) where x = 2, 3, 4, 5 as shown in Table 1.1. The sigma notation allows us to express the sum S = f (2) + f (3) + f (4) + f (5) using a convenient shorthand, namely 5 S= 3k + 1 = f (2) + f (3) + f (4) + f (5) (1.2) k=2 x f (x) = 3x + 1 2 f (2) = 7 3 f (3) = 10 4 f (4) = 13 5 f (5) = 16 Table 1.1: Values of f (x) = 3x + 1 for x = 2, 3, 4, 5. Figure 1.18 shows the various parts of this notation. The function to the right of the sigma Σ is called the summand. Below and above the sigma are numbers called the lower and upper limits of the summation, respectively. Notice that instead of using the symbol x, in equation (1.2) and Figure 1.18 we replaced x with the variable k. The variable (typically i, j, or k) used in the summation is called the counter or index variable. Table 1.2 provides various ways of reading the Σ notation. Using Sage, we can obtain the value of the sum in Figure 1.18 as follows: sage: maxima("sum(3*k + 1, k, 2, 5)") 46 Figure 1.18: The summation or sigma notation. 11
  • 18.
    1.3. SIGMA NOTATIONAND RIEMANN SUMS Summation A way to read Sigma notation the sigma notation notation 5 12 + 22 + 32 + 42 + 52 the sum of k squared k=1 k2 for k equals 1 to k equals 5 1 1 1 1 1 7 3 + 4 + 5 + 6 + 7 the sum of 1 over k k=3 k −1 for k equals 3 to k equals 7 5 20 + 21 + 22 + 23 + 24 + 25 the sum of 2 to the j-th power j=0 2j for j equals 0 to j equals 5 7 a2 + a3 + a4 + a5 + a6 + a7 the sum of a sub i i=2 ai for i equals 2 to i equals 7 Table 1.2: How to read the sigma notation. x f (x) g(x) h(x) 1 2 4 3 2 3 1 3 3 1 −2 3 4 0 3 3 5 3 5 3 Table 1.3: Domain values and their images under the functions f , g, and h. Practice 1.3.1. Write the summation denoted by each of the following: 5 7 j1 4 (a) k=1 k3 , (b) j=2 (−1) j , (c) m=0 (2m + 1). In practice, the sigma notation is frequently used with the standard function notation: 3 f (k + 2) = f (1 + 2) + f (2 + 2) + f (3 + 2) = f (3) + f (4) + f (5) k=1 and 4 f (xi ) = f (x1 ) + f (x2 ) + f (x3 ) + f (x4 ). k=1 5 Example 1.3.1. Use the values in Table 1.3 to evaluate (i) k=2 2f (k); and 5 (ii) j=3 5 + f (j − 2) . Solution. (i) Using the values of f (k) for k = 2, 3, 4, 5, we have 5 2f (k) = 2f (2) + 2f (3) + 2f (4) + 2f (5) k=2 (1.3) = 2(3) + 2(1) + 2(0) + 2(3) = 14 12
  • 19.
    1.3. SIGMA NOTATIONAND RIEMANN SUMS On the other hand, note that in expression (1.3) we can factor out the value 2 to get an equivalent expression 5 5 2f (k) = 2 f (k) k=2 k=2 This expression evaluates to the same value as the original expression. (ii) For j = 3, 4, 5 we have f (3 − 2) = f (1), f (4 − 2) = f (2), f (5 − 2) = f (3) Then we get 5 5 + f (j − 2) j=3 = 5 + f (3 − 2) + 5 + f (4 − 2) + 5 + f (5 − 2) (1.4) = 5 + f (1) + 5 + f (2) + 5 + f (3) = (5 + 2) + (5 + 3) + (5 + 1) = 21 Now carefully look at expression (1.4) again. When the index j takes on each of the three values 3, 4, and 5, the term 5 is added three times in evaluating the whole sum. Using this observation, we can write (1.4) in the equivalent form 5 5 5 + f (j − 2) = 3 × 5 + f (j − 2) j=3 j=3 This observation will be formalized later on. Practice 1.3.2. Use the values of f , g and h in Table 1.3 to evaluate the following: 5 4 5 (a) g(k), (b) h(j), (c) f (i − 1) + g(i) . k=2 j=1 i=3 Since the sigma notation is simply a notation for addition, it has all of the familiar properties of addition. Theorem 1.3.1 states a number of these familiar addition properties for the Σ notation. Theorem 1.3.1. (Summation Properties) Let C be a fixed constant and let m, n ∈ Z be positive. Then we have the following summation properties for the Σ notation. n 1. Sum of constants: k=1 C = C + C + C + · · · + C = nC. n terms 13
  • 20.
    1.3. SIGMA NOTATIONAND RIEMANN SUMS n n n 2. Addition: k=1 (ak + bk ) = k=1 ak + k=1 bk . n n n 3. Subtraction: k=1 (ak − bk ) = k=1 ak − k=1 bk . n n 4. Constant multiple: k=1 Cak = C k=1 ak . n n 5. Preserves positivity: If bk ≥ ak for all k, then k=1 bk ≥ k=1 ak . In n particular, if ak ≥ 0 for all k then k=1 ak ≥ 0. m n 6. Additivity of ranges: If 1 ≤ m ≤ n then k=1 ak + k=m+1 ak = n k=1 ak . 1.3.1 Sums of areas of rectangles Later, we will approximate the areas under curves by building rectangles as high as the curve, calculating the area of each rectangle, and then adding the rectangular areas together. Example 1.3.2. Evaluate the sum of the rectangular areas in Figure 1.19, and write the sum using the sigma notation. Solution: We have sum of the rectangular areas = sum of (base) × (height) for each rectangle = (1)(1/3) + (1)(1/4) + (1)(1/5) = 47/60. Using the sigma notation, 3 1 (1)(1/3) + (1)(1/4) + (1)(1/5) = . k k=1 Figure 1.19: Area and summation notation. Practice 1.3.3. Evaluate the sum of the rectangular areas in Figure 1.20, and write the sum using the sigma notation. 14
  • 21.
    1.3. SIGMA NOTATIONAND RIEMANN SUMS Figure 1.20: Area and summation notation. Example 1.3.3. Write the sum of the areas of the rectangles in Figure 1.21 using the sigma notation. Solution: The area of each rectangle is (base)×(height). rectangle base height area 1 x1 − x0 f (x1 ) (x1 − x0 )f (x1 ) 2 x2 − x1 f (x2 ) (x2 − x1 )f (x2 ) 3 x3 − x2 f (x3 ) (x3 − x2 )f (x3 ) The area of the k-th rectangle is (xk − xk−1 )f (xk ), and the total area of the 3 rectangles is the sum k=1 (xk − xk−1 )f (xk ). Figure 1.21: Area and summation notation. 1.3.2 Area under a curve: Riemann sums Suppose we want to calculate the area between the graph of a positive function f and the interval [a, b] on the x–axis (Fig. 7). The Riemann Sum method is to build several rectangles with y = f (x) bases on the interval [a, b] and sides that reach up to the graph of f (Fig. 8). Then the areas of the rectangles can be calculated and added together to get a number called a Riemann sum of f on [a, b]. The area of the region formed by the rectangles is an approximation of the area we want. 15
  • 22.
    1.3. SIGMA NOTATIONAND RIEMANN SUMS Example 1.3.4. Approximate the area in Figure 1.22(a) between the graph of f and the interval [2, 5] on the x–axis by summing the areas of the rectangles in Figure 1.22(b). Solution: The total area of rectangles is (2)(3) + (1)(5) = 11 square units. Figure 1.22: Illustration for Example 1.3.4. In order to effectively describe this process, some new vocabulary is helpful: a “partition” of an interval and the mesh of the partition. A partition P of a closed interval [a, b] into n subintervals is a set of n + 1 points {x0 = a, x1 , x2 , x3 , ..., xn−1 , xn = b} in increasing order, a = x0 < x1 < x2 < x3 < ... < xn = b. (A partition is a collection of points on the axis and it does not depend on the function in any way.) The points of the partition P divide the interval into n subintervals (Figure 1.23): [x0 , x1 ], [x1 , x2 ], [x2 , x3 ], . . . , and [xn−1 , xn ] with lengths ∆x1 = x1 − x0 , ∆x2 = x2 − x1 , . . . , ∆xn = xn − xn−1 . The points xk of the partition P are the locations of the vertical lines for the sides of the rectangles, and the bases of the rectangles have lengths ∆xk for k = 1, 2, 3, ..., n. Figure 1.23: Partition of the interval [a, b]. The mesh or norm of the partition is the length of the longest of the subin- tervals [xk−1 , xk ], or, equivalently, the maximum of the ∆xk for k = 1, 2, 3, ..., n. For example, the set P = {2, 3, 4.6, 5.1, 6} is a partition of the interval [2, 6] and divides it into 4 subintervals with lengths ∆x1 = 1, ∆x2 = 1.6, ∆x3 = 0.5 and 16
  • 23.
    1.3. SIGMA NOTATIONAND RIEMANN SUMS ∆x4 = 0.9. The mesh of this partition is 1.6, the maximum of the lengths of the subintervals. (If the mesh of a partition is “small,” then the length of each one of the subintervals is the same or smaller.) A function, a partition, and a point in each subinterval determine a Rie- mann sum. Suppose f is a positive function on the interval [a, b], P = {x0 = a, x1 , x2 , x3 , ..., xn−1 , xn = b} is a partition of [a, b], and ck is an xvalue in the k- th subinterval [xk−1 , xk ] : xk−1 ≤ ck ≤ xk . Then the area of the k-th rectangle is f (ck ) · (xk − xk−1 ) = f (ck )∆xk . (Figure 1.24) Figure 1.24: Part of a Riemann sum. n Definition 1.3.1. A summation of the form k=1 f (ck )∆xk is called a Rie- mann sum of f for the partition P . This Riemann sum is the total of the areas of the rectangular regions and is an approximation of the area between the graph of f and the x–axis. Example 1.3.5. Find the Riemann sum for f (x) = 1/x and the partition {1, 4, 5} using the values c1 = 2 and c2 = 5. Solution: The two subintervals are [1, 4] and [4, 5] so ∆x1 = 3 and ∆x2 = 1. Then the Riemann sum for this partition is n 1 1 f (ck )∆xk = f (c1 )∆x1 + f (c2 )∆x2 = f (2)(3) + f (5)(1) = (3) + (1) = 1.7. 2 5 k=1 Practice 1.3.4. Calculate the Riemann sum for f (x) = 1/x on the partition {1, 4, 5} using the values c1 = 3, c2 = 4. Practice 1.3.5. What is the smallest value a Riemann sum for f (x) = 1/x and the partition {1, 4, 5} can have? (You will need to select values for c1 and c2 .) What is the largest value a Riemann sum can have for this function and partition? Here is a Sage example. Example 1.3.6. Using Sage, we construct the Riemann sum of the function y = x2 using a partition of 6 equally spaced points, where the ck ’s are taken to be the midpoints. 17
  • 24.
    1.3. SIGMA NOTATIONAND RIEMANN SUMS sage: f1(x) = x^2 sage: f = Piecewise([[(-1,1),f1]]) sage: g = f.riemann_sum(6,mode="midpoint") sage: P = f.plot(rgbcolor=(0.7,0.1,0.5), plot_points=40) sage: Q = g.plot(rgbcolor=(0.7,0.6,0.6), plot_points=40) sage: L = add([line([[pf[0][0],0],[pf[0][0],pf[1](x=pf[0][0])]], rgbcolor=(0.7,0.6,0.6)) for pf in g.list()]) sage: show(P+Q+L) Here is the plot: Figure 1.25: Plot using Sage of a Riemann sum for y = x2 . At the end of this section is a Python2 program listing for calculating Riemann sums of f (x) = 1/x on the interval [1, 5] using 100 subintervals. It can be modified easily to work for different functions, different endpoints, and different numbers of subintervals. Table 1.26 shows the results of running the program with different numbers of subintervals and different ways of selecting the points ci in each subinterval. When the mesh of the partition is small (and the number of subintervals large), all of the ways of selecting the ci lead to approximately the same number for the Riemann sums. 2 Python is a general purpose cross-platform, free and open source computer program- ming language. It is widely used in industry and academia, and is available for download at http://www.python.org. Alternatively, you can download the mathematical software system Sage from http://www.sagemath.org. It comes with Python pre-installed. 18
  • 25.
    1.3. SIGMA NOTATIONAND RIEMANN SUMS Here is a Python program to calculate Riemann sums of f (x) = 1/x on [1, 5] using 100 equal length subintervals, based on the “left-hand” endpoints. f = lambda x: 1/x # define the function a = 1.0 # left endpoint of integral b = 5.0 # right endpoint of integral n = 100 # number of subintervals Dx = (b-a)/n # width of each subinterval rsum = sum([f(a+i*Dx)*Dx for i in range(n)]) # compute the Riemann sum print rsum # print the Riemann sum Other Riemann sums can be calculated by replacing the “rsum” line with one of: rsum = sum([f(a+(i+0.5)*Dx)*Dx for i in range(n)]) “midpoint” rsum = sum([f(a+(i+1)*Dx)*Dx for i in range(n)]) “right-hand” Written as Python “functions”, these three are written as below3 def rsum_lh(n): f = lambda x: 1/x a = 1.0 b = 5.0 Dx = (b-a)/n return sum([f(a+i*Dx)*Dx for i in range(n)]) def rsum_mid(n): f = lambda x: 1/x a = 1.0 b = 5.0 Dx = (b-a)/n return sum([f(a+(i+0.5)*Dx)*Dx for i in range(n)]) def rsum_rh(n): f = lambda x: 1/x a = 1.0 b = 5.0 Dx = (b-a)/n return sum([f(a+(i+1)*Dx)*Dx for i in range(n)]) 3 If you have an electronic copy of this file, and “copy-and-paste” these into Python, keep in mind indenting is very important in Python syntax.http://www.python.org/doc/essays/styleguide.html 19
  • 26.
    1.3. SIGMA NOTATIONAND RIEMANN SUMS left–hand midpoint right–hand n ∆xi Riemann sum Riemann sum Riemann sum 5 0.8 1.9779070602600015 1.5861709609993364 1.3379070602600014 10 0.4 1.7820390106296689 1.6032106782106783 1.462039010629669 20 0.2 1.6926248444201737 1.6078493243021688 1.5326248444201738 100 0.04 1.6255658911511259 1.6093739310551827 1.5935658911511259 1000 0.004 1.6110391924319691 1.6094372724359669 1.607839192431969 Figure 1.26: Table for Python example. The command sizes = [5, 10, 20, 100, 1000] table = [[n, (b-a)/n, rsum_lh(n),rsum_mid(n), rsum_rh(n)] for n in sizes] yields the following data: In fact, the exact value is log(5) = 1.609437..., so these last few lines yielded pretty good approximations. Practice 1.3.6. Replace 1/x by x2 and [a, b] = [1, 5] by [a, b] = [−1, 1] in the Python code above and find the Riemann sum for the new function and n = 100. Use the midpoint approximation. (You may use Sage or Python, whichever you prefer.) Example 1.3.7. Find the Riemann sum for the function f (x) = sin(x) on the interval [0, π] using the partition {0, π/4, π/2, π} with c1 = π/4, c2 = π/2, c3 = 3π/4. Solution: The 3 subintervals are [0, π/4], [π/4, π/2], and [π/2, π] so ∆x1 = π/4, ∆x2 = π/4 and ∆x3 = π/2. The Riemann sum for this partition is 3 k=1 f (ck )∆xk = sin(π/4)(π/4) + sin(π/2)(π/4) + sin(3π/4)(π/2) = √2 π + 1 · π + √ 2 π 1 4 4 1 2 = 2.45148... . Practice 1.3.7. Find the Riemann sum for the function and partition in the previous example, but use c1 = 0, c2 = π/2, c3 = π/2. 1.3.3 Two special Riemann sums: lower and upper sums Two particular Riemann sums are of special interest because they represent the extreme possibilities for Riemann sums for a given partition. Definition 1.3.2. Suppose f is a positive function on [a, b], and P is a partition of [a, b]. Let mk be the xvalue in the k-th subinterval so that f (mk ) is the 20
  • 27.
    1.3. SIGMA NOTATIONAND RIEMANN SUMS minimum value of f in that interval, and let Mk be the xvalue in the k-th subinterval so that f (Mk ) is the maximum value of f in that interval. n lower sum: LS = k=1 f (mk )∆xk . n upper sum: U S = k=1 f (Mk )∆xk . Geometrically, the lower sum comes from building rectangles under the graph of f (Figure 1.27(a)), and the lower sum (every lower sum) is less than or equal to the exact area A: LS ≤ A for every partition P . The upper sum comes from building rectangles over the graph of f (Figure 1.27(b)), and the upper sum (every upper sum) is greater than or equal to the exact area A: U S ≥ A for every partition P . The lower and upper sums provide bounds on the size of the exact area: LS ≤ A ≤ U S. Figure 1.27: Lower and upper Riemann sums. Unfortunately, finding minimums and maximums can be a timeconsuming business, and it is usually not practical to determine lower and upper sums for “arbitrary” functions. If f is monotonic, however, then it is easy to find the values for mk and Mk , and sometimes we can explicitly calculate the limits of the lower and upper sums. For a monotonic bounded function we can guarantee that a Riemann sum is within a certain distance of the exact value of the area it is approximating. Theorem 1.3.2. If f is a positive, monotonically increasing, bounded function on [a, b], then for any partition P and any Riemann sum for P , distance between the Riemann sum and the exact area ≤ distance between the upper sum (US) and the lower sum (LS) ≤ (f (b) − f (a)) · (mesh of P ). Proof: The Riemann sum and the exact area are both between the upper and lower sums so the distance between the Riemann sum and the exact area is less than or equal to the distance between the upper and lower sums. Since f is monotonically increasing, the areas representing the difference of the upper and lower sums can be slid into a rectangle whose height equals f (b)−f (a) and whose base equals the mesh of P . Then the total difference of the upper and lower sums is less than or equal to the area of the rectangle, (f (b)−f (a))·(mesh of P ). 21
  • 28.
    1.3. SIGMA NOTATIONAND RIEMANN SUMS 1.3.4 Problems For problems the next four problems, sketch the function and find the smallest possible value and the largest possible value for a Riemann sum of the given function and partition. 1. f (x) = 1 + x2 (a) P = {1, 2, 4, 5} (b) P = {1, 2, 3, 4, 5} (c) P = {1, 1.5, 2, 3, 4, 5} 2. f (x) = 7 − 2x (a) P = {0, 2, 3} (b) P = {0, 1, 2, 3} (c) P = {0, .5, 1, 1.5, 2, 3} 3. f (x) = sin(x) (a) P = {0, π/2, π} (b) P = {0, π/4, π/2, π} (c) P = {0, π/4, 3π/4, π}. 4. f (x) = x2 − 2x + 3 (a) P = {0, 2, 3} (b) P = {0, 1, 2, 3} (c) P = {0, .5, 1, 2, 2.5, 3}. 5. Suppose we divide the interval [1, 4] into 100 equally wide subintervals and calculate a Riemann sum for f (x) = 1 + x2 by randomly selecting a point ci in each subinterval. (a) We can be certain that the value of the Riemann sum is within what distance of the exact value of the area between the graph of f and the interval [1, 4] ? (b) What if we take 200 equally long subintervals? 6. If f is monotonic decreasing on [a, b] and we divide the interval [a, b] into n equally wide subintervals, then we can be certain that the Riemann sum is within what distance of the exact value of the area between f and the interval [a, b]? 7. Suppose LS = 7.362 and U S = 7.402 for a positive function f and a partition P of the interval [1, 5]. (a) We can be certain that every Riemann sum for the partition P is within what distance of the exact value of the area under the graph of f over the interval [1, 5]? (b) What if LS = 7.372 and U S = 7.390? 22
  • 29.
    1.3. SIGMA NOTATIONAND RIEMANN SUMS 1.3.5 The trapezoidal rule This section includes several techniques for getting approximate numerical val- ues for definite integrals without using antiderivatives. Mathematically, exact answers are preferable and satisfying, but for most applications, a numerical answer with several digits of accuracy is just as useful. For instance, suppose you are a automotive or aircraft designer. You may wish to know how much metal is required to build your design, created using a computer-aided design graphics program. Due to the fluctuations in the price for metal, you only need the approximate cost based on a piecewise-linear approximation to your design. Numerical techniques such as those discussed in this section can be used for that. The methods in this section approximate the definite integral of a function f by building “easy” functions close to f and then exactly evaluating the definite integrals of the “easy” functions. If the “easy” functions are close enough to f , then the sum of the definite integrals of the “easy” functions will be close to the definite integral of f . The Left, Right and Midpoint approximations fit horizontal lines to f , the “easy” functions are piecewise constant functions, and the approximating regions are rectangles. The Trapezoidal Rule fits slanted lines to f , the “easy” functions are piecewise linear, and the approximating regions are trapezoids. Finally, Simpson’s Rule fits parabolas to f , and the “easy” functions are piecewise quadratic polynomials. All of the methods divide the interval [a, b] into n equally long subintervals. Each subinterval has length h = ∆xi = b−a , and the points of the partition n are x0 = a, x1 = a + h, x2 = a + 2h, . . . , xi = a + ih, . . . , xn = a + nh = a + n( b−a ) = b. n If the graph of f is curved, then slanted lines typically come closer to the graph of f than horizontal ones do, and the slanted lines lead to trapezoidal regions. The area of a trapezoid is (base)×(average height), so the area of the trapezoid with coordinates (x0 , 0), (x0 , y0 ), (x1 , 0), (x1 , y1 ), is (see Figure 1.28), y0 + y1 (x1 − x0 ) . 2 Example 1.3.8. Here is how to create and plot a piecewise linear function describing the trapezoidal approximation to the area under y = x3 − 3x2 + 2x. sage: x = var("x") sage: f1 = lambda x: x^3-3*x^2+2*x sage: f = Piecewise([[(0,2),f1]]) sage: tf = f.trapezoid(4) sage: P3 = list_plot([(1/2,0),(0.5,f(0.5))],plotjoined=True,linestyle=":") sage: P4 = list_plot([(3/2,0),(1.5,f(1.5))],plotjoined=True,linestyle=":") sage: show(P1+P2+P3+P4) sage: f.trapezoid_integral_approximation(4) 0 23
  • 30.
    1.3. SIGMA NOTATIONAND RIEMANN SUMS Figure 1.28: Trapezoid. sage: integrate(x^3-3*x^2+2*x, x, 0, 2) 0 Here is the plot: Figure 1.29: Plot using Sage of a trapezoidal approximation to the integral 2 3 0 x − 3x2 + 2x dx. We got lucky here since both the integral and its trapezoidal approximation ac- tually have the same value. Theorem 1.3.3. (“Trapezoidal Approximation Rule”) If f is integrable on [a, b], and [a, b] is partitioned into n subintervals of length h = b−a , then the n b Trapezoidal approximation of a f (x) dx is h Tn = [f (x0 ) + 2f (x1 ) + 2f (x2 ) + ... + 2f (xn−1 ) + f (xn )]. 2 24
  • 31.
    1.3. SIGMA NOTATIONAND RIEMANN SUMS x f (x) 1.0 4.2 1.5 3.4 2.0 2.8 2.5 3.6 3.0 3.2 Figure 1.30: Table for 1.3.9 Proof: The area of the trapezoidal with coordinates (xi , 0), (xi , yi ), (xi+1 , 0), (xi+1 , yi+1 ), where yi = f (xi ), is (xi+1 − xi ) yi +yi+1 = h · (yi + yi+1 ). Therefore, 2 2 b the sum of the trapezoidal areas approximating a f (x) dx is n n yi + yi+1 h h (xi+1 − xi ) = · (yi + yi+1 ) = · (y0 + 2y1 + ... + 2yn−1 + yn ), i= 2 2 i= 2 as desired. 3 Example 1.3.9. Calculate T4 , the Trapezoidal approximation of 1 f (x) dx, for the function values tabulated in Figure 1.30. Solution: The step size is h = (b − a)/n = (3 − 1)/4 = 1/2. Then T4 = h [f (x0 ) + 2f (x1 ) + 2f (x2 ) + 2f (x3 ) + f (x4 )] 2 1 = 4 [4.2 + 2(3.4) + 2(2.8) + 2(3.6) + (3.2)] = (0.25)(27) = 6.75. Example 1.3.10. Let’s see how well the trapezoidal rule approximates an in- 3 tegral whose exact value we know, 1 x2 dx = 26 . Calculate T4 , the Trapezoidal 3 3 2 approximation of 1 x dx. Solution: As in the example above, h = 0.5 and x0 = 1, x1 = 1.5, x2 = 2, x3 = 2.5, and x4 = 3. Then T4 = h [f (x0 ) + 2f (x1 ) + 2f (x2 ) + 2f (x3 ) + f (x4 )] 2 = 0.5[f (1) + 2f (1.5) + 2f (2) + 2f (2.5) + f (3)] = (0.25)[1 + 2(2.25) + 2(4) + 2(6.25) + 9] = 8.75. Using Sage, one can show that T10 = 217/25 = 8.68, T100 = 21667/2500 = 8.6668, and T1000 = 2166667/250000 = 8.666668. These trapezoidal approxima- tions are indeed approaching the value 8.666... of the integral. Example 1.3.11. Here is a Python program illustrating the Trapezoidal rule. f = lambda x: sin(x) def trapezoidal_rule(fcn,a,b,n): 25
  • 32.
    1.3. SIGMA NOTATIONAND RIEMANN SUMS """ Does computation of the Trapezoidal rule approx of int_a^b fcn(x) dx using n steps. """ Deltax = (b-a)*1.0/n coeffs = [2]*(n-1) coeffs = [1]+coeffs+[1] valsf = [f(a+Deltax*i) for i in range(n+1)] return (Deltax/2)*sum([coeffs[i]*valsf[i] for i in range(n+1)]) Now we paste this into Sage (you may instead paste into Python if you wish) and see how it works. sage: f = lambda x: sin(x) sage: def trapezoidal_rule(fcn,a,b,n): ....: """ ....: Does computation of the Trapezoidal rule approx of int_a^b fcn(x) dx ....: using n steps. ....: ....: """ ....: Deltax = (b-a)*1.0/n ....: coeffs = [2]*(n-1) ....: coeffs = [1]+coeffs+[1] ....: valsf = [f(a+Deltax*i) for i in range(n+1)] ....: return (Deltax/2)*sum([coeffs[i]*valsf[i] for i in range(n+1)]) ....: sage: integral(f(x),x,0,1) 1 - cos(1) sage: RR(integral(f(x),x,0,1)) 0.459697694131860 sage: trapezoidal_rule(f(x),0,1,4) 0.457300937571502 1 You see 0 sin(x) dx = 1 − cos(1) = 0.459..., whereas the trapezoidal rule gives the approximation T4 = 0.457.... 1.3.6 Simpson’s rule and Sage If the graph of f is curved, even the slanted lines may not fit the graph of f as closely as we would like, and a large number of subintervals may still be needed 26
  • 33.
    1.3. SIGMA NOTATIONAND RIEMANN SUMS with the Trapezoidal rule to get a good approximation of the definite integral. Curves typically fit the graph of f better than straight lines, and the easiest nonlinear curves are parabolas. Figure 1.31: Piece of a parabola. Theorem 1.3.4. Three points (x0 , y0 ), (x1 , y1 ), (x2 , y2 ) are needed to determine the equation of a parabola, and the area under a parabolic region with evenly spaced xi values (Figure 1.31) is ∆x (y0 + 4y1 + y2 ). 3 Theorem 1.3.5. (“Simpson’s Rule”) If f is integrable on [a, b], and [a, b] is partitioned into an even number n of subintervals of length h = ∆x = b−a , then n b the Parabolic approximation of a f (x) dx is ∆x Sn = [f (x0 ) + 4f (x1 ) + 2f (x2 ) + 4f (x3 ) + 2f (x4 ) + ... + 4f (xn−1 ) + f (xn )]. 3 3 Example 1.3.12. Calculate S4 , the Simpson’s rule approximation of 1 f (x) dx, for the function values tabulated in Figure 1.30. Solution: The step size is h = (b − a)/n = (3 − 1)/4 = 1/2. Then S4 = h [f (x0 ) + 4f (x1 ) + 2f (x2 ) + 4f (x3 ) + f (x4 )] 3 1 = 6 [4.2 + 4(3.4) + 2(2.8) + 4(3.6) + (3.2)] = 41 = 6.83... . 6 Example 1.3.13. Here is a Python program illustrating Simpson’s rule. f = lambda x: sin(x) def simpsons_rule(fcn,a,b,n): """ 27
  • 34.
    1.3. SIGMA NOTATIONAND RIEMANN SUMS Does computation of the Simpson’s rule approx of int_a^b fcn(x) dx using n steps. Here n must be an even integer. """ Deltax = (b-a)*1.0/n n2 = int(n/2) coeffs = [4,2]*n2 coeffs = [1]+coeffs[:n-1]+[1] valsf = [f(a+Deltax*i) for i in range(n+1)] return (Deltax/3)*sum([coeffs[i]*valsf[i] for i in range(n+1)]) Now we paste this into Sage and see how it works: sage: f = lambda x: sin(x) sage: def simpsons_rule(fcn,a,b,n): ....: """ ....: Does computation of the Simpson’s rule approx of int_a^b fcn(x) dx ....: using n steps. Here n must be an even integer. ....: ....: """ ....: Deltax = (b-a)*1.0/n ....: n2 = int(n/2) ....: coeffs = [4,2]*n2 ....: coeffs = [1]+coeffs[:n-1]+[1] ....: valsf = [f(a+Deltax*i) for i in range(n+1)] ....: return (Deltax/3)*sum([coeffs[i]*valsf[i] for i in range(n+1)]) ....: sage: integral(f(x),x,0,1) 1 - cos(1) sage: RR(integral(f(x),x,0,1)) 0.459697694131860 sage: simpsons_rule(f(x),0,1,4) (sin(1) + 4*sin(3/4) + 2*sin(1/2) + 4*sin(1/4))/12 sage: RR(simpsons_rule(f(x),0,1,4)) 0.459707744927311 sage: RR(simpsons_rule(f(x),0,1,10)) 0.459697949823821 To paste this into Python, you mus first import the sin function. >>> from math import sin >>> f = lambda x: sin(x) 28
  • 35.
    1.3. SIGMA NOTATIONAND RIEMANN SUMS >>> def simpsons_rule(fcn,a,b,n): ... """ ... Does computation of the Simpson’s rule approx of int_a^b fcn(x) dx ... using n steps. Here n must be an even integer. ... ... """ ... Deltax = (b-a)*1.0/n ... n2 = int(n/2) ... coeffs = [4,2]*n2 ... coeffs = [1]+coeffs[:n-1]+[1] ... valsf = [f(a+Deltax*i) for i in range(n+1)] ... return (Deltax/3)*sum([coeffs[i]*valsf[i] for i in range(n+1)]) ... >>> simpsons_rule(f,0,1,4) 0.45970774492731092 Using this and the trapezoidal approximation function, we can compare which is best in this example. sage: simpsons_rule(f(x),0,1,4) 0.459707744927311 sage: trapezoidal_rule(f(x),0,1,4) 0.457300937571502 sage: simpsons_rule(f(x),0,1,10) 0.459697949823821 sage: trapezoidal_rule(f(x),0,1,10) 0.459314548857976 sage: integral(f(x),x,0,1) 1 - cos(1) sage: integral(f(x),x,0,1)*1.0 1.00000000000000*(1 - cos(1)) sage: RR(integral(f(x),x,0,1)) 0.459697694131860 We see Simpson’s rule wins every time. 1.3.7 Trapezoidal vs. Simpson: Which Method Is Best? The hardest and slowest part of these approximations, whether by hand or by computer, is the evaluation of the function at the xi values. For n subintervals, all of the methods require about the same number of function evaluations. The 29
  • 36.
    1.4. THE DEFINITEINTEGRAL rest of this section discusses ”error bounds” of the approximations so we can know how close our approximation is to the exact value of the integral even if we don’t know the exact value. Theorem 1.3.6. (Error Bound for Trapezoidal Approximation) If the second derivative of f is continuous on [a, b] and M2 ≥ maxx∈[a,b] |f ′′ (x)|, then the “error of the Tn approximation” is b (ba)3 | f (x) dx − Tn | ≤ M2 . a 12n2 3 The “error bound” formula (ba)2 M2 for the Trapezoidal approximation is a 12n “guarantee”: the actual error is guaranteed to be no larger than the error bound. In fact, the actual error is usually much smaller than the error bound. The word “error” does not indicate a mistake, it means the deviation or distance from the exact answer. Example 1.3.14. How large must n be to be certain that Tn is within 0.001 of 1 0 sin(x) dx? (ba)3 Solution: We want to pick n so that 12n2 M2 ≤ 1/1000. We may take M2 = 1, (ba)3 1 2 so 12n2 M2 = 12n2 ≤ 1/1000, or n ≥ 1000/12. Taking n = 10 will work. Theorem 1.3.7. (Error Bound for Simpson’s Rule Approximation) If the fourth derivative of f is continuous on [a, b] and M4 ≥ maxx∈[a,b] |f (4) (x)|, then the “error of the Sn approximation” is b (ba)5 | f (x) dx − Sn | ≤ M4 . a 180n4 Example 1.3.15. How large must n be to be certain that Sn is within 0.001 of 1 0 sin(x) dx? (ba)5 Solution: We want to pick n so that 180n4 M2 ≤ 1/1000. We may take M2 = 1, (ba)5 1 4 so 180n4 M4 = 180n4 ≤ 1/1000, or n ≥ 1000/180. Taking n = 2 will work. 1.4 The definite integral Each particular Riemann sum depends on several things: the function f , the interval [a, b], the partition P of the interval, and the values chosen for ck in each subinterval. Fortunately, for most of the functions needed for applications, as the approximating rectangles get thinner (as the mesh of P approaches 0 and the number of subintervals gets bigger) the values of the Riemann sums approach the same value independently of the particular partition P and the points ck . For these functions, the limit (as the mesh approaches 0) of the Riemann sums is the same number no matter how the ck ’s are chosen. This limit of the Riemann sums is the next big topic in calculus, the definite integral. Integrals arise throughout the rest of this book and in applications in almost every field that uses mathematics. 30
  • 37.
    1.4. THE DEFINITEINTEGRAL n Definition 1.4.1. If limmesh(P )→0 k=1 f (ck )∆xk equals a finite number I then f is said to be (Riemann) integrable on the interval [a, b]. The number I is called the definite integral of f over [a, b] and is written b a f (x) dx. b The symbol a f (x) dx is read “the integral from a to b of f of x dee x”or “the integral from a to b of f (x) with respect to x.” The lower limit is a, upper limit is b, the integrand is f (x), and x is sometimes called the dummy b variable. Note that a f (u) du numerically means exactly the same thing, but b with a different dummy variable. The value of a definite integral a f (x) dx depends only on the function f being integrated and on the endpoints a and b. The following integrals each represent the integral of the function f on the interval [a, b], and they are all equal: b b b b f (x) dx = f (t) dt = f (u) du = f (z) dz. a a a a Also, note that when the upper limit and the lower limit are the same then the integral is always 0: a f (x)dx = 0. a There are many other properties, as we will see later. Example 1.4.1. (Relation between velocity and area) Suppose you’re reading a car magazine and there is an article about a new sports car that has this table in it: Time (seconds) 0 1 2 3 4 5 6 Speed (mph) 0 5 15 25 40 50 60 They claim the car drove 1/8th of a mile after 6 seconds, but this just “feels” wrong... Hmmm... Let’s estimate the distance driven using the formula distance = rate × time. We overestimate by assuming the velocity is a constant equal to the max on each interval: 195 estimate = 5 · 1 + 15 · 1 + 25 · 1 + 40 · 1 + 50 · 1 + 60 · 1 = miles = 0.054... 3600 (Note: there are 3600 seconds in an hour.) But 1/8 ∼ 0.125, so the article is inconsistent. (Doesn’t this sort of thing just bug you? By learning calculus you’ll be able to double-check things like this much more easily.) Insight! The formula for the estimate of distance traveled above looks exactly like an approximation for the area under the graph of the speed of the car! In 31
  • 38.
    1.4. THE DEFINITEINTEGRAL fact, if an object has velocity v(t) at time t, then the net change in position from time a to b is b v(t)dt. a If f is a velocity, then the integrals on the intervals where f is positive measure the distances moved forward; the integrals on the intervals where f is negative measure the distances moved backward; and the integral over the whole time interval is the total (net) change in position, the distance moved forward minus the distance moved backward. Practice 1.4.1. A bug starts at the location x = 12 on the x–axis at 1 pm and walks along the axis in the positive direction with the velocity shown in Figure 1.32. How far does the bug travel between 1 pm and 3 pm, and where is the bug at 3 pm? Figure 1.32: Velocity of a bug on the x–axis. Practice 1.4.2. A car is driven with the velocity west shown in Figure 1.33. (a) Between noon and 6 pm how far does the car travel? (b) At 6 pm, where is the car relative to its starting point (its position at noon)? Figure 1.33: Velocity of a car on the x–axis. Units For the Definite Integral We have already seen that the “area” under a graph can represent quantities whose units are not the usual geometric units of square meters or square feet. In general, the units for the definite integral b a f (x)dx are (units for f (x))×(units for x). A quick check of the units can help avoid errors in setting up an applied problem. For example, if x is a measure of time in seconds and f (x) is a velocity with units feet/second, then ∆x has the units seconds and f (x)∆x has the units 32
  • 39.
    1.4. THE DEFINITEINTEGRAL (feet/second)(seconds) = feet, a measure of distance. Since each Riemann sum f (xk )∆xk is a sum of feet and the definite integral is the limit of the Riemann b sums, the definite integral a f (x)dx, has the same units, feet. b If f (x) is a force in grams, and x is a distance in centimeters, then a f (x)dx is a number with the units ”gram·centimeters,” a measure of work. 1.4.1 The Fundamental Theorem of Calculus Example 1.4.2. For the function f (t) = 2, define A(x) to be the area of the region bounded by the graph of f , the t–axis, and vertical lines at t = 1 and t = x. (a) Evaluate A(1), A(2), A(3), A(4). (b) Find an algebraic formula for A(x), for x ≥ 1. d (c) Calculate dx A(x). (d) Describe A(x) as a definite integral. Solution : (a) A(1) = 0, A(2) = 2, A(3) = 4, A(4) = 6. (b) A(x) = area of a d d rectangle = (base)×(height) = (x−1)·(2) = 2x−2. (c) dx A(x) = dx (2x−2) = 2. x (d) A(x) = 1 2 dt. Practice 1.4.3. Answer the questions in the previous Example for f (t) = 3. A curious “coincidence” appeared in this Example and Practice problem: the derivative of the function defined by the integral was the same as the integrand, the function “inside” the integral. Stated another way, the function defined by the integral was an “antiderivative” of the function “inside” the integral. We will see that this is no coincidence: it is an important property called The Fundamental Theorem of Calculus. Let f be a continuous function on the interval [a, b]. Theorem 1.4.1. (“Fundamental Theorem of Calculus”) If F (x) is any differ- entiable function on [a, b] such that F ′ (x) = f (x), then b f (x)dx = F (b) − F (a). a The above theorem is incredibly useful in mathematics, physics, biology, etc. One reason this is amazing, is because it says that the area under the entire curve is completely determined by the values of a (“magic”) auxiliary function at only 2 points. It’s hard to believe. It reduces computing (1.4.1) to finding a single function F , which one can often do algebraically, in practice. Whether or not one should use this theorem to evaluate an integral depends a lot on the application at hand, of course. One can also use a partial limit via a computer for certain applications (numerical integration). 33
  • 40.
    1.4. THE DEFINITEINTEGRAL Example 1.4.3. I’ve always wondered exactly what the area is under a “hump” of the graph of sin. Let’s figure it out, using F (x) = − cos(x). π sin(x)dx = − cos(π) − (− cos(0)) = −(−1) − (−1) = 2. 0 In Sage, you can do this both “algebraically” and “numerically” as follows. sage: f = lambda x: sin(x) sage: integral(f(x),x,0,pi) 2 sage: numerical_integral(f(x),0,pi) (1.9999999999999998, 2.2204460492503128e-14) For the “algebraic” computation, Sage knows how to integrate sin(x) exactly, π so can compute 0 sin(x)dx = 2 using its integral command4 . On the last line of output, the first entry is the approximation, and the second is the error bound. For the “numerical” computation, Sage obtains5 the approximation π 0 sin(x)dx ≈ 1.99999... by taking enough terms in a Riemann sum to achieve a very small error. (A lot of theory of numerical integration goes into why numerical_integral works correctly, but that would take us too far afield to explain here.) Example 1.4.4. Let [...] denote the “greatest integer” (or “floor”) function, so 3/2 [1/2] = [0.5] = 0 and [3/2] = [1.5] = 1. Evaluate 1/2 [x] dx. (The function of y = [x] is sometimes called the “staircase function” because of the look of its discontinuous graph, Figure 1.34.) Figure 1.34: Plot of the “greatest integer” function. Solution: f (x) = [x] is not continuous at x = 1 in the interval [1/2.3/2] so the Fundamental Theorem of Calculus can not be used. We can, however, use 3/2 our understanding of the meaning of an integral as an area to get 1/2 [x] dx 4 In fact, Sage includes Maxima (http://maxima.sf.net) and calls Maxima to compute this integral. 5 In fact, Sage includes the GNU Scientific Library (http://www.gnu.org/software/gsl/) and calls it to approximate this integral. 34
  • 41.
    1.4. THE DEFINITEINTEGRAL = (area under y = 0 between 0.5 and 1) + (area under y = 1 between 1 and 1.5)=0 + 1/2 = 1/2. Now, let’s try something illegal - using the Fundamental Theorem of Calculus to evaluate this. Pretend for the moment that the Fundamental Theorem of Calculus is valid for discontinuous functions too. Let 1, 1/2 ≤ x ≤ 1, F (x) = x, 1 < x ≤ 3/2. This function F is continuous and satisfies F ′ (x) = [x] for all x in [1/2, 3/2] except x = 1 (where f (x) = [x] is discontinuous), so this F could be called an 3/2 “antiderivative” of f . If we use it to evaluate the integral we get 1/2 [x] dx = 3/2 F (x)|1/2 = 3/2 − 1 = 1/2. This is correct. (Surprised?) Let’s try another antiderivative. Let 2, 1/2 ≤ x ≤ 1, F (x) = x, 1 < x ≤ 3/2. This function F also satisfies F ′ (x) = [x] for all x in [1/2, 3/2] except x = 1. If 3/2 3/2 we use it to evaluate the integral we get 1/2 [x] dx = F (x)|1/2 = 3/2−2 = −1/2. This doesn’t even have the right sign (the integral of a non-negative function must be non-negative!), so it must be wrong. Moral of the story: In general, the Fundamental Theorem of Calculus is false for discontinuous functions. But does such an F as in the fundamental theorem of calculus (Theorem 1.4.1) always exist? The surprising answer is “yes”. x Theorem 1.4.2. Let F (x) = a f (t)dt. Then F ′ (x) = f (x) for all x ∈ [a, b]. Note that a “nice formula” for F can be hard to find or even provably non- existent. The proof of Theorem 1.4.2 is somewhat complicated but is given in complete detail in many calculus books, and you should definitely (no pun intended) read and understand it. Proof: [Sketch of Proof] We use the definition of derivative. F (x + h) − F (x) F ′ (x) = lim h→0 h x+h x = lim f (t)dt − f (t)dt /h h→0 a a x+h = lim f (t)dt /h h→0 x 35
  • 42.
    1.4. THE DEFINITEINTEGRAL x+h Intuitively, for h sufficiently small f is essentially constant, so x f (t)dt ∼ hf (x) (this can be made precise using the extreme value theorem). Thus x+h lim f (t)dt /h = f (x), h→0 x which proves the theorem. 1.4.2 Problems In problems 1 – 4 , rewrite the limit of each Riemann sum as a definite integral. n 1. limmesh(P )→0 k=1 (2 + 3ck )∆xk on the interval [0, 4]. n 2. limmesh(P )→0 k=1 cos(5ck )∆xk on the interval [0, 11]. n 3 3. limmesh(P )→0 k=1 ck ∆xk on the interval [2, 5]. n 4. limmesh(P )→0 k=1 ck ∆xk on the interval [2, 5]. 5. Write as a definite integral (don’t evaluate it though): The region bounded by y = x3 , the x–axis, the line x = 1, and x = 5. 6. Write as a definite integral (don’t evaluate it though): The region bounded √ by y = x, the x–axis, and the line x = 9. 7. Write as a definite integral (do evaluate it, using geometry formulas): The region bounded by y = 2x, the x–axis, the line x = 1, and x = 3. 8. Write as a definite integral (do evaluate it, using geometry formulas): The region bounded by y = |x|, the x–axis, and the line x = −1. 9. For f (x) = 3 + x, partition the interval [0, 2] into n equally wide subinter- vals of length ∆x = 2/n. (a) Write the lower sum for this function and partition, and calculate the limit of the lower sum as n → ∞. (b) Write the upper sum for this function and partition and find the limit of the upper sum as n → ∞. 10. For f (x) = x3 , partition the interval [0, 2] into n equally wide subintervals of length ∆x = 2/n. (a) Write the lower sum for this function and partition, and calculate the limit of the lower sum as n → ∞. (b) Write the upper sum for this function and partition and find the limit of the upper sum as n → ∞. 36
  • 43.
    1.4. THE DEFINITEINTEGRAL 1.4.3 Properties of the definite integral Definite integrals are defined as limits of Riemann sums, and they can be inter- preted as “areas” of geometric regions. This section continues to emphasize this geometric view of definite integrals and presents several properties of definite integrals. These properties are justified using the properties of summations and the definition of a definite integral as a Riemann sum, but they also have natural interpretations as properties of areas of regions. These properties are used in this section to help understand functions that are defined by integrals. They will be used in future sections to help calculate the values of definite integrals. Since integrals are a lot like sums (they are, after all, limits of them), their properties are similar too. Here is the integral analog of Theorem 1.3.1. Theorem 1.4.3. (Integral Properties) b • Integral of a constant function: a c dx = c · (b − a). b b b • Addition: a (f (x) + g(x)) dx = a f (x) dx + a g(x) dx. b b b • Subtraction: a (f (x) − g(x)) dx = a f (x) dx − a g(x) dx. b b • Constant Multiple: a c · f (x) dx = c a f (x) dx. • Preserves positivity: If f (x) ≥ g(x) on for all x ∈ [a, b], then b b f (x) dx ≥ g(x) dx. a a In particular, if f (x) ≥ 0 on for all x ∈ [a, b], then b f (x) dx ≥ 0. a b c c • Additivity of ranges: a f (x) dx + b f (x) dx = a f (x) dx. Here are some other properties. Theorem 1.4.4. b (b − a) · ( min f (x)) ≤ f (x) dx ≤ (b − a) · ( min f (x)). x∈[a,b] a x∈[a,b] Which Functions Are Integrable? This important question was finally an- swered in the 1850s by Georg Riemann, a name that should be familiar by now. Riemann proved that a function must be badly discontinuous to not be integrable. Theorem 1.4.5. Every continuous function is integrable. If f is continuous on n the interval [a, b], then limmesh(P )→0 ( k=1 f (ck )∆xk ) is always the same finite b number, namely, a f (x) dx, so f is integrable on [a, b]. 37
  • 44.
    1.4. THE DEFINITEINTEGRAL Figure 1.35: Plot illustrating Theorem 1.4.4. In fact, a function can even have any finite number of breaks and still be integrable. Theorem 1.4.6. Every bounded, piecewise continuous function is integrable. If f is defined and bounded ( for all x in [a, b], M ≤ f (x) ≤ M for some M > 0), and continuous except at a finite number of points in [a, b], then n b limmesh(P )→0 ( k=1 f (ck )∆xk ) is always the same finite number, namely, a f (x) dx, so f is integrable on [a, b]. Example 1.4.5. (A Nonintegrable Function) Though rarely encountered in “everyday practice”, there are functions for which the limit of the Riemann sums does not exist, and those functions are not integrable. A nonintegrable function: The function 1, if x is a rational number, f (x) = 0, if x is an irrational number is not integrable on [0, 1]. Proof: For any partition P , suppose that you, a very rational (pun intended) person, always select values of ck which are rational numbers. (Every subinterval contains rational numbers and irrational numbers, so you can always pick ck to be a rational number.) Then f (ck ) = 1, and your Riemann sum is always n n YP = f (ck )∆xk = ∆xk = xn − x0 = 1. k=1 k=1 Suppose your friend, however, always selects values of ck which are irrational numbers. Then f (ck ) = 0, and your friend’s Riemann sum is always n n FP = f (ck )∆xk = 0 · ∆xk = 0. k=1 k=1 38
  • 45.
    1.4. THE DEFINITEINTEGRAL Now, take finer and finer partitions P so that mesh(P ) → 0. Keep in mind that, no matter how you refine P , you can always make “rational choices” for ck and your friend can always make “irrational choices”. We have limmesh(P )→0 YP = 1 and limmesh(P )→0 FP = 0, so the limit of the Riemann sums doesn’t have a unique value. Therefore the limit n lim ( f (ck )∆xk ) mesh(P )→0 k=1 does not exist, so f is not integrable. 1.4.4 Problems Problems 1 – 20 refer to the graph of f in Figure 1.36. Use the graph to determine the values of the definite integrals. (The bold numbers represent the area of each region.) Figure 1.36: Plot for problems. 3 1. 0 f (x) dx 5 2. 3 f (x) dx 2 3. 2 f (x) dx 7 4. 6 f (x) dx 5 5. 0 f (x) dx 7 6. 0 f (x) dx 6 7. 3 f (x) dx 7 8. 5 f (x) dx 0 9. 3 f (x) dx 39
  • 46.
    1.4. THE DEFINITEINTEGRAL 3 10. 5 f (x) dx 0 11. 6 f (x) dx 3 12. 0 2f (x) dx 4 13. 4 f (x)2 dx 3 14. 0 1 + f (t) dt 3 15. 0 x + f (x) dx 5 16. 3 3 + f (x) dx 5 17. 0 2 + f (x) dx 5 18. 3 |f (x)| dx 3 19. 7 1 + |f (x)| dx For problems 21–28, sketch the graph of the integrand function and use it to help evaluate the integral. (|...| denotes the absolute value and [...] denotes the integer part.) 4 21. 0 |x| dx, 4 22. 0 1 + |x| dx, 2 23. −1 |x| dx, 2 24. 1 |x| − 1 dx, 3 25. 1 [x] dx, 3.5 26. 1 [x] dx, 3 27. 1 2 + [x] dx, 1 28. 3 [x] dx. 40
  • 47.
    1.5. AREAS, INTEGRALS,AND ANTIDERIVATIVES 1.5 Areas, integrals, and antiderivatives This section explores properties of functions defined as areas and examines some of the connections among areas, integrals and antiderivatives. In order to focus on the geometric meaning and connections, all of the functions in this section are nonnegative, but the results are generalized in the next section and proved true for all continuous functions. This section also introduces examples to illustrate how areas, integrals and antiderivatives can be used. When f is a continuous, x nonnegative function, then the “area function” A(x) = a f (t) dt represents the area between the graph of f , the t–axis, and between the vertical lines at t = a and t = x (Figure 1.37), and the derivative of A(x) represents the rate of change (growth) of A(x). Figure 1.37: Plot of an “area function”. Let F (x) be a differentiable function. Call F (x) an antiderivative of f (x) if d dx F (x) = f (x). We have seen examples which showed that, at least for some functions f , the derivative of A(x) was equal to f so A(x) was an antiderivative of f . The next theorem says the result is true for every continuous, nonnegative function f . Theorem 1.5.1. (“The Area Function is an Antiderivative”) If f is a contin- x d x uous nonnegative function, x ≥ a, and A(x) = a f (t) dt then dx a f (t) dt = d dx A(x) = f (x), so A(x) is an antiderivative of f (x). This result relating integrals and antiderivatives is a special case (for non- negative functions f ) of the Fundamental Theorem of Calculus. This result is important for two reasons: • it says that a large collection of functions have antiderivatives, and • it leads to an easy way of exactly evaluating definite integrals. x d x Example 1.5.1. Let G(x) = dx 0 cos(t)dt. Evaluate G(x) for x = π/4, π/2, and 3π/4. x Solution: It is not hard to plot the graph of A(x) = 0 cos(t)dt = sin(x) (Figure 1.38). By the theorem, A′ (x) = G(x) = cos(x) so A′ (π/4) = cos(π/4) = .707..., A′ (π/2) = cos(π/2) = 0, and A′ (3π/4) = cos(3/4) = −0.707... . 41
  • 48.
    1.5. AREAS, INTEGRALS,AND ANTIDERIVATIVES x Figure 1.38: Plot of y = 0 G(t) dt and y = G(x). Here is the plot of y = A(x) and y = G(x): Incidentally, this was created using the following Sage commands. sage: P = plot(cos(x),x,0,2*pi,linestyle="--") sage: Q = plot(sin(x),x,0,2*pi) sage: R = text("$y=A(x) = sin(x)$",(3.1,1)) sage: S = text("$y=G(x) = cos(x)$",(6.8,0.7)) sage: show(P+Q+R+S) Theorem 1.5.2. (“Antiderivatives and Definite Integrals”) If f is a continu- ous, nonnegative function and F is any antiderivative of f (F ′ (x) = f (x)) on the interval [a, b], then area bounded between the graph b of f and the x–axis and = a f (x) dx = F (b) − F (a). vertical lines at x = a and x = b The problem of finding the exact value of a definite integral reduces to finding some (any) antiderivative F of the integrand and then evaluating F (b)F (a). Even finding one antiderivative can be difficult, and, for now, we will stick to functions which have easy antiderivatives. Later we will explore some methods for finding antiderivatives of more difficult functions. The evaluation F (b) − F (a) is represented by the symbol F (x)|b . a 3 Example 1.5.2. Evaluate 1 x dx in two ways: (a) By sketching the graph of y = x and geometrically finding the area. (b) By finding an antiderivative of F (x) of f and evaluating F (3) − F (1). 42
  • 49.
    1.5. AREAS, INTEGRALS,AND ANTIDERIVATIVES Solution: (a) The graph of y = x is a straight line, so the area is a triangle 1 which geometrical formulas (area= 2 bh) tell us has area 4. (b) One antiderivative of x is F (x) = 1 x2 (check that dx ( 1 x2 ) = x), and 2 d 2 1 2 1 2 F (x)|3 = F (3) − F (1) = 1 3 − 1 = 4, 2 2 which agrees with (a). Suppose someone chose another antiderivative of x, say F (x) = 1 x2 + 7 (check that dx ( 1 x2 + 7) = x), then 2 d 2 1 1 F (x)|3 = F (3) − F (1) = ( 32 + 7) − ( 12 + 7) = 4. 1 2 2 No matter which antiderivative F is chosen, F (3) − F (1) equals 4. 3 Practice 1.5.1. Evaluate 1 (x − 1) dx in the two ways of the previous example. Practice 1.5.2. Find the area between the graph of y = 3x2 and the horizontal axis for x between 1 and 2. 1.5.1 Integrals, Antiderivatives, and Applications The antiderivative method of evaluating definite integrals can also be used when we need to find an “area,” and it is useful for solving applied problems. Example 1.5.3. Suppose that t minutes after putting 1000 bacteria on a petri plate the rate of growth of the population is 6t bacteria per minute. (a) How many new bacteria are added to the population during the first 7 minutes? (b) What is the total population after 7 minutes? (c) When will the total population be 2200 bacteria? Solution: (a) The number of new bacteria is the area under the rate of growth d graph, and one antiderivative of 6t is 3t2 (check that dx (3t2 ) = 6t) so new 7 bacteria = 0 6t dt = 3t2 |7 = 147. 0 (b) The new population = (old population) + (new bacteria) = 1000 + 147 = 1147 bacteria. (c) If the total population is 2200 bacteria, then there are 2200 − 1000 = 1200 new bacteria, and we need to find the time T needed for that many new bacteria T to occur. 1200 new bacteria = 0 6t dt = 3t2 |T = 3(T )2 − 3(0)2 = 3T 2 so 0 2 T = 400 and T = 20 minutes. After 20 minutes, the total bacteria population will be 1000 + 1200 = 2200. Practice 1.5.3. A robot has been programmed so that when it starts to move, its velocity after t seconds will be 3t2 feet/second. (a) How far will the robot travel during its first 4 seconds of movement? 43
  • 50.
    1.5. AREAS, INTEGRALS,AND ANTIDERIVATIVES (b) How far will the robot travel during its next 4 seconds of movement? (c) How many seconds before the robot is 729 feet from its starting place? (Hint: an antiderivative of 3t2 is t3 .) Practice 1.5.4. The velocity of a car after t seconds is 2t feet per second. (a) How far does the car travel during its first 10 seconds? (b) How many seconds does it take the car to travel half the distance in part (a)? 1.5.2 Indefinite Integrals and net change We’ve seen how integrals can be interpreted using area. In this section, we will see how integrals can be interpreted physically as the “net change” of a quantity. The notation f (x)dx = F (x) means that F ′ (x) = f (x) on some (usually specified) domain of definition of f (x). Recall, we call such an F (x) an an- tiderivative of f (x). Proposition 1.5.1. Suppose f is a continuous function on an interval (a, b). Then any two antiderivatives differ by a constant. Proof: If F1 (x) and F2 (x) are both antiderivatives of a function f (x), then (F1 (x) − F2 (x))′ = F1 (x) − F2 (x) = f (x) − f (x) = 0. ′ ′ Thus F1 (x) − F2 (x) = c from some constant c (since only constant functions have slope 0 everywhere). Thus F1 (x) = F2 (x) + c as claimed. We thus often write f (x)dx = F (x) + C, where C is an unspecified constant. Note that the proposition need not be true if f is not defined on a whole interval. For example, f (x) = 1/x is not defined at 0. For any pair of constants c1 , c2 , the function ln(|x|) + c1 x < 0, F (x) = ln(x) + c2 x > 0, satisfies F ′ (x) = f (x) for all x = 0. We often still just write 1/x = ln(|x|) + c anyways, meaning that this formula is supposed to hold only on one of the intervals on which 1/x is defined (e.g., on (−∞, 0) or (0, ∞)). We pause to emphasize the notation difference between definite and indefinite integration. b f (x)dx = a specific number a f (x)dx = a (family of) functions 44
  • 51.
    1.5. AREAS, INTEGRALS,AND ANTIDERIVATIVES There are no small families in the world of antiderivatives: if f has one an- tiderivative F (as it always does, unless f is a really unusual function), then f has an infinite number of antiderivatives and every one of them has the form F (x) + C. Example 1.5.4. There are many ways to write a particular indefinite inte- gral and some of them may look very different. You can check that F (x) = sin(x)2 , G(x) = − cos(x)2 , and H(x) = 2 sin(x)2 + cos(x)2 all have the same derivative f (x) = 2 sin(x) cos(x), so the indefinite integral of 2 sin(x) cos(x), 2 sin(x) cos(x) dx, can be written in several ways: sin(x)2 +C, or − cos(x)2 +C, or 2 sin(x)2 + cos(x)2 + C. One of the main goals of this course is to help you to get really good at computing f (x)dx for various functions f (x). It is useful to memorize a table of examples, such as the one in the appendix below, since often the trick to integration is to relate a given integral to one you know. Integration is like solving a puzzle or playing a game, and often you win by moving into a position where you know how to defeat your opponent, e.g., relating your integral to integrals that you already know how to do. If you know how to do a basic collection of integrals, it will be easier for you to see how to get to a known integral from an unknown one. Whenever you successfully compute F (x) = f (x)dx, then you’ve constructed b a mathematical gadget that allows you to very quickly compute a f (x)dx for any a, b (in the interval of definition of f (x)). The gadget is F (b) − F (a). This is really powerful. Example 1.5.5. 1 1 x2 + 1 + dx = x2 dx + 1dx + dx x2 + 1 x2 + 1 1 2 = x + x + tan−1 (x) + c. 3 Example 1.5.6. 5 √ √ dx = 5x−1/2 dx = 2 5x1/2 + c. x Example 1.5.7. sin(2x) 2 sin(x) cos(x) dx = = 2 cos(x) = 2 sin(x) + c sin(x) sin(x) Particular Antiderivatives: You can verify the following yourself. • Constant Function: k dx = kx + C xn+1 • Powers of x: xn dx = n+1 + C, n = −1. x−1 dx = ln(x) + C. Common special cases: 45
  • 52.
    1.5. AREAS, INTEGRALS,AND ANTIDERIVATIVES √ – x dx = 2 x3/2 + C. 3 1 – √ x dx = 2x1/2 + C. • Trigonometric Functions: 1 cos(ax) dx = a sin(x) + C. 1 sin(ax) dx = − a cos(x) + C. 1 sec(ax)2 dx = a tan(x) + C. 1 csc(ax)2 dx = − a cot(x) + C. 1 sec(ax) tan(x) dx = a sec(x) + C. 1 csc(ax) cot(x) dx = − a csc(x) + C. Common special cases: – cos(x) dx = sin(x) + C. – sin(x) dx = − cos(x) + C. 1.5.3 Physical Intuition In the previous lecture we mentioned a relation between velocity, distance, and the meaning of integration, which gave you a physical way of thinking about integration. In this section we generalize our previous observation. The following is a restatement of the fundamental theorem of calculus. Theorem 1.5.3. (Net Change Theorem) The definite integral of the rate of change f ′ (x) of some quantity f (x) is the net change in that quantity: b f ′ (x) dx = f (b) − f (a). a For example, if p(t) is the population of your hometown at time t, then p′ (t) is the rate of change. If p′ (t) is positive then your hometown is growing. The net change interpretation of integration is that t2 p′ (t) dt = p(t2 )−p(t1 ) = change in number of residents from time t1 to t2 . t1 Another very common example you’ll seen in problems involves water flow into or out of something. If the volume of water in your bathtub is V (t) gallons at time t (in seconds), then the rate at which your tub is draining is V ′ (t) gallons per second. If you have the geekiest drain imaginable, it prints out the drainage rate V ′ (t). You can use that printout to determine how much water drained out from time t1 to t2 : t2 V ′ (t) dt = water that drained out from time t1 to t2 t1 46
  • 53.
    1.5. AREAS, INTEGRALS,AND ANTIDERIVATIVES Some problems will try to confuse you with different notions of change. A standard example is that if a car has velocity v(t), and you drive forward, then slam it in reverse and drive backward to where you start (say 10 seconds total elapse), then v(t) is positive some of the time and negative some of the time. 10 The integral 0 v(t)dt is not the total distance registered on your odometer, since v(t) is partly positive and partly negative. If you want to express how far 10 you actually drove going back and forth, compute 0 |v(t)|dt. The following example emphasizes this distinction: Example 1.5.8. A bug is pacing back and forth, and has velocity v(t) = t2 − 2t − 8. Find (1) the displacement of the bug from time t = 1 until time t = 6 (i.e., how far the bug is at time 6 from where it was at time 1), and (2) the total distance the bug paced from time t = 1 to t = 6. For (1), we compute 6 6 1 3 10 (t2 − 2t − 8) dt = t − t2 − 8t =− . 1 3 1 3 For (2), we compute the integral of |v(t)|: 6 4 6 1 3 1 3 44 98 |t2 − 2t − 8| dt = − t − t2 − 8t + t − t2 − 8t = 18 + = . 1 3 1 3 4 3 3 1.5.4 Problems 1. Two objects start from the same location and travel along the same path with velocities vA (t) = t + 3 and vB (t) = t2 4t + 3 meters per second. How far ahead is A after 3 seconds? After 5 seconds? 2. Sketch the graph of each function and find the area between the graphs of f (x) = x2 + 3, g(x) = 1 and −1 ≤ x ≤ 2. 3. Sketch the graph of each function and find the area between the graphs of f (x) = x2 + 3, g(x) = 1 + x and 0 ≤ x ≤ 3. 4. Sketch the graph of each function and find the area between the graphs of f (x) = x2 , g(x) = x and 0 ≤ x ≤ 2. 5. Sketch the graph of each function and find the area between the graphs of f (x) = x + 1, g(x) = cos(x) and 0 ≤ x ≤ π/4. 6. If f (t) denoted the velocity of a bug traveling along a line at time t, find the distance traveled in the first 4 seconds. 7. If f (t) denoted the velocity of a bug traveling along a line at time t, find the distance traveled in the first 4 seconds. 47
  • 54.
    1.6. SUBSTITUTION ANDSYMMETRY Figure 1.39: Velocity of bug at time t. Figure 1.40: Velocity of bug at time t. 1.6 Substitution and Symmetry Remarks: t 1. The total distance traveled is t12 |v(t)|dt since |v(t)| is the rate of change of F (t) = distance traveled (your speedometer displays the rate of change of your odometer). b 2. How to compute a |f (x)|dx. (a) Find the zeros of f (x) on [a, b], and use these to break the interval up into subintervals on which f (x) is always ≥ 0 or always ≤ 0. (b) On the intervals where f (x) ≥ 0, compute the integral of f , and on the intervals where f (x) ≤ 0, compute the integral of −f . (c) The sum of the above integrals on intervals is |f (x)|dx. This section is primarily about a powerful technique for computing definite and indefinite integrals. 48
  • 55.
    1.6. SUBSTITUTION ANDSYMMETRY 1.6.1 The Substitution Rule In first quarter calculus you learned numerous methods for computing deriva- tives of functions. For example, the power rule asserts that (xa )′ = a · xa−1 . We can turn this into a way to compute certain integrals: 1 xa dx = xa+1 if a = −1. a+1 Just as with the power rule, many other rules and results that you already know yield techniques for integration. In general integration is potentially much trickier than differentiation, because it is often not obvious which technique to use, or even how to use it. Integration is a more exciting than differentiation! Recall the chain rule, which asserts that d f (g(x)) = f ′ (g(x))g ′ (x). dx We turn this into a technique for integration as follows: Proposition 1.6.1. (Substitution Rule) Let u = g(x), we have f (g(x))g ′ (x)dx = f (u)du, assuming that g(x) is a function that is differentiable and whose range is an interval on which f is continuous. Proof: Since f is continuous on the range of g, Theorem 1.4.2 (the funda- mental theorem of Calculus) implies that there is a function F such that F ′ = f . Then f (g(x))g ′ (x)dx = F ′ (g(x))g ′ (x)dx d = F (g(x)) dx dx = F (g(x)) + C = F (u) + C = F ′ (u)du = f (u)du. If u = g(x) then du = g ′ (x)dx, and the substitution rule simply says if you let u = g(x) formally in the integral everywhere, what you naturally would hope to be true based on the notation actually is true. The substitution rule illustrates how the notation Leibniz invented for Calculus is incredibly brilliant. It is said 49
  • 56.
    1.6. SUBSTITUTION ANDSYMMETRY that Leibniz would often spend days just trying to find the right notation for a concept. He succeeded. As with all of Calculus, the best way to start to get your head around a new concept is to see severally clearly worked out examples. (And the best way to actually be able to use the new idea is to do lots of problems yourself!) In this section we present examples that illustrate how to apply the substitution rule to compute indefinite integrals. Example 1.6.1. x2 (x3 + 5)9 dx Let u = x3 + 5. Then du = 3x2 dx, hence dx = du/(3x2 ). Now substitute it all in: 1 9 1 10 1 3 x2 (x3 + 5)9 dx = u = u = (x + 5)10 . 3 30 30 There’s no point in expanding this out: “only simplify for a purpose!” Example 1.6.2. ex dx 1 + ex Substitute u = 1 + ex . Then du = ex dx, and the integral above becomes du = ln |u| = ln |1 + ex | = ln(1 + ex ). u Note that the absolute values are not needed, since 1 + ex > 0 for all x. Example 1.6.3. x2 √ dx 1−x Keeping in mind the power rule, we make the substitution u = 1 − x. Then du = −dx. Noting that x = 1 − u by solving for x in u = 1 − x, we see that the above integral becomes (1 − u)2 1 − 2u + u2 − √ du = − du u u1/2 =− u−1/2 − 2u1/2 + u3/2 du 4 2 = − 2u1/2 − u3/2 + u5/2 3 5 4 2 1/2 = −2(1 − x) + (1 − x)3/2 − (1 − x)5/2 . 3 5 The steps of the “change of variable” method can be summarized as 1. set a new variable, say u , equal to some function of the original variable x (usually u is set equal to some part of the original integrand function), 50
  • 57.
    1.6. SUBSTITUTION ANDSYMMETRY 2. calculate the differential du as a function of dx, 3. rewrite the original integral in terms of u and du, 4. integrate the new integral to get an answer in terms of u, 5. replace the u in the answer to get an answer in terms of the original variable. A “Rule of thumb” for changing the variable: If part of the integrand is a composition of functions, f (g(x)), then try setting u = g(x), the “inner” function. Example 1.6.4. elect a function for u for each integral and rewrite the integral in terms of u and du. 5ex (a) cos(3x) 2 + sin(3x) dx, (b) 2+ex dx, (c) ex sin(ex ) dx. Solution: (a) Put u = 2 + sin(3x). Then du = 3 cos(3x) dx, and the integral 1√ becomes 3 u du. 5 (b) Put u = 2 + ex . Then du = ex dx, and the integral becomes u du. x x (c) Put u = e . Then du = e dx, and the integral becomes sin(u) du. 1.6.2 Substitution and definite integrals Once an antiderivative in terms of u is found, we have a choice of methods. We can (a) rewrite our antiderivative in terms of the original variable x, and then evaluate the antiderivative at the integration endpoints and subtract, or (b) change the integration endpoints to values of u, and evaluate the an- tiderivative in terms of u before subtracting. If the original integral had endpoints x = a and x = b, and we make the sub- stitution u = g(x) and du = g ′ (x)dx, then the new integral will have endpoints u = g(a) and u = g(b): x=b u=g(b) (original integrand) dx becomes (new integrand) du. x=a u=g(a) Example 1.6.5. To evaluate 1 (3x − 1)4 dx, 0 we can, in line with the “Rule of thumb” above, use the substitution u = 3x − 1. d Then du = dx (3x − 1)dx = 3dx, so the indefinite integral (3x − 1)4 dx becomes 1 4 1 3 u du = 15 u5 + C. (a) Converting our antiderivative back to the variable x and evaluating with the original endpoints: 51
  • 58.
    1.6. SUBSTITUTION ANDSYMMETRY 1 1 32 −1 11 (3x − 1)4 dx = ( (3x − 1)5 + C)|1 = 0 − = = 2.2. 0 15 15 15 5 (b) Converting the integration endpoints to values of u : when x = 0, then u = 3x − 1 = 3 · 0 − 1 = −1, and when x = 1, then u = 3x − 1 = 3 · 1 − 1 = 2 so 1 2 1 4 1 11 (3x − 1)4 dx = u du = ( u5 + C)|2 = −1 = 2.2. 0 −1 3 15 5 Both approaches typically involve about the same amount of work and calcula- tion. Of course, these approaches lead to the same numerical answer, by the “substitution rule” (Proposition 1.6.1). Here’s how to do this using Sage. Note that the area under the two curves plotted below, y = (3x − 1)4 , 0 < x < 1, and y = x4 /3, −1 < x < 2, are the same. sage: x,u = var("x,u") sage: integral((3*x-1)^4,x,0,1) 11/5 sage: integral(u^4/3,u,-1,2) 11/5 sage: P = plot((3*x-1)^4,x,0,1,rgbcolor=(0.7,0.1,0.5), plot_points=40) sage: Q = plot(u^4/3,u,-1,2,linestyle=":") sage: R = text("$y=(3x-1)^4$",(1.4,12)) sage: S = text("$y=x^4/3$",(2,2.5)) sage: plot(P+Q+R+S) Figure 1.41: Plots of y = (3x − 1)4 and y = x4 /3. 1.6.3 Symmetry An odd function is a function f (x) (defined for all reals) such that f (−x) = −f (x), and an even function one for which f (−x) = f (x). If f is an odd 52
  • 59.
    1.6. SUBSTITUTION ANDSYMMETRY function, then for any a, a f (x)dx = 0. −a If f is an even function, then for any a, a a f (x)dx = 2 f (x)dx. −a 0 Both statements are clear if we view integrals as computing the signed area between the graph of f (x) and the x-axis. Example 1.6.6. An even example, 1 1 1 1 3 2 x2 dx = 2 x2 dx = 2 x = , −1 0 3 0 3 and an odd example, 1 1 1 4 x3 dx = x = 0. −1 4 −1 These computations are consistent with the symmetry (or “anti-symmetry”) of the graphs and what you know about the relationship between the integral and area. Figure 1.42: Plots of y = x2 and y = x3 . 1.6.4 Problems For the problems below, let f (x) = x2 and g(x) = x and verify that 1. f (x) · g(x) dx = f (x) dx · g(x) dx. 2. f (x)/g(x) dx = f (x) dx/ g(x) dx. 3. f (x) dx = f (x) dx. 53
  • 60.
    1.6. SUBSTITUTION ANDSYMMETRY 1 1 4. R f (x) dx = f (x) dx. 5. cos(3x) dx, u = 3x. 6. sin(7x) dx, u = 7x. 7. e5x dx, u = 5x. 8. e3x + cos(2x) dx, u = 3x and u = 2x. 54
  • 61.
    Chapter 2 Applications 2.1 Applications of the integral to area The development of calculus by Newton and Leibniz was a vital step in the advancement of pure mathematics, but Newton also advanced the applied sci- ences and mathematics. Not only did he discover theoretical results, but he immediately used those results to answer important applied questions about gravity and motion. The success of these applications of mathematics to the physical sciences helped establish what we now take for granted: mathematics can and should be used to answer questions about the world. Newton applied mathematics to the outstanding problems of his day, problems primarily in the field of physics. In the intervening 300 years, thousands of people have contin- ued these theoretical and applied traditions and have used mathematics to help develop our understanding of all of the physical and biological sciences as well as the behavioral sciences and business. Mathematics is still used to answer new questions in physics and engineering, but it is also important for modeling ecological processes, for understanding the behavior of DNA, for determining how the brain works, and even for devising strategies for voting effectively. The mathematics you are learning now can help you become part of this tradition, and you might even use it to add to our understanding of different areas of life. It is important to understand the successful applications of integration in case you need to use those particular applications. It is also important that you understand the process of building models with integrals so you can apply it to new problems. Conceptually, converting an applied problem to a Riemann sum is the most valuable and the most difficult step. 2.1.1 Using integration to determine areas This section is about how to compute the area of fairly general regions in the plane. Regions are often described as the area enclosed by the graphs of sev- eral curves. (“My land is the plot enclosed by that river, that fence, and the highway.”) 55
  • 62.
    2.1. APPLICATIONS OFTHE INTEGRAL TO AREA b Recall that the integral a f (x)dx has a geometric interpretation as the signed area between the graph of f (x) and the x-axis. We defined area by subdividing, adding up approximate areas (use points in the intervals) as Riemann sums, and taking the limit. Thus we defined area as a limit of Riemann sums. The fundamental theorem of calculus asserts that we can compute areas exactly when we can finding antiderivatives. Figure 2.1: Area between y = f (x) and y = g(x). Instead of considering the area between the graph of f (x) and the x-axis, we consider more generally two graphs, y = f (x), y = g(x), and assume for simplicity that f (x) ≥ g(x) on an interval [a, b]. Again, we approximate the area between these two curves as before using Riemann sums. Each approximating rectangle has width (b − a)/n and height f (x) − g(x), so Area bounded by graphs ∼ [f (ci ) − g(ci )]∆x. Note that f (x) − g(x) ≥ 0, so the area is nonnegative. From the definition of integral we see that the exact area is b Area bounded by graphs = (f (x) − g(x))dx. (2.1) a Why did we make a big deal about approximations instead of just writing down (2.1)? Because having a sense of how this area comes directly from a Riemann sum is very important. But, what is the point of the Riemann sum if all we’re going to do is write down the integral? The sum embodies the geometric manifestation of the integral. If you have this picture in your mind, then the Riemann sum has done its job. If you understand this, you’re more likely to know what integral to write down; if you don’t, then you might not. Remark 2.1.1. By the linearity property of integration, our sought for area is the integral of the “top” function minus the integral of the “bottom” function, b b f (x)dx − g(x)dx, a a of two signed areas. 56
  • 63.
    2.1. APPLICATIONS OFTHE INTEGRAL TO AREA Example 2.1.1. Find the area enclosed by y = x + 1, y = 9 − x2 , x = −1, x = 2 (see Figure 2.2). Figure 2.2: Plots of y = x + 1 and y = 9 − x2 . 2 Area = (9 − x2 ) − (x + 1) dx . −1 We have reduced the problem to a computation: 2 2 2 1 1 39 [(9 − x2 ) − (x + 1)]dx = (8 − x − x2 )dx = 8x − x2 − x3 = . −1 −1 2 3 −1 2 Here is this plot and computation in Sage: sage: x = var("x") sage: P1 = plot(x+1, x, -2, 3) sage: P2 = plot(9 - x^2, x, -2, 3) sage: T1 = text("$y = x+1$", (1,2.6)) sage: T2 = text("$y = 9-x^2$", (2,7)) sage: show(P1+P2+T1+T2) sage: integrate((9-x^2) - (x+1),x, -1, 2) 39/2 The above example illustrates the simplest case. In practice more interesting situations often arise. The next example illustrates finding the boundary points a, b when they are not explicitly given. Example 2.1.2. Find area enclosed by the two parabolas y = 12 − x2 and y = x2 − 6. Problem: We didn’t tell you what the boundary points a, b are. We have to figure that out. How? We must find exactly where the two curves intersect, by setting the two curves equal and finding the solution. We have 57
  • 64.
    2.1. APPLICATIONS OFTHE INTEGRAL TO AREA Figure 2.3: Plots of y = 12 − x2 and y = x2 − 6. x2 − 6 = 12 − x2 , so 0 = 2x2 − 18 = 2(x2 − 9) = 2(x − 3)(x + 3), hence the intersect points are at a = −3 and b = 3. We thus find the area by computing 3 3 3 12 − x2 − (x2 − 6) dx = (18 − 2x2 )dx = 4 (9 − x2 )dx = 4 · 18 = 72. −3 −3 0 Here is this plot and computation in Sage: sage: P1 = plot(12-x^2, x, -5, 5) sage: P2 = plot(x^2-6, x, -5, 5) sage: T1 = text("$y = 12-x^2$", (-3.5,-10)) sage: T2 = text("$y = x^2-6$", (2,-7)) sage: show(P1+P2+T1+T2) sage: integrate((12-x^2) - (x^2-6),x, -3, 3) 72 3 Of course, if you had mistakenly computed −3 (x2 − 6) − (12 − x2 ) dx, then don’t worry. You would’ve gotten −72 as your answer. However, always re- member areas are non-negative, so the correct answer is 72. Example 2.1.3. A common way in which you might be tested to see if you really understand what is going on, is to be asked to find the area between two graphs x = f (y) and x = g(y). If the two graphs are vertical, subtract off the right-most curve. Or, just “switch x and y” everywhere (i.e., reflect about y = x). The area is unchanged. 58
  • 65.
    2.1. APPLICATIONS OFTHE INTEGRAL TO AREA For instance, consider the area between the two parabolas x = 12 − y 2 and x = y 2 − 6. Figure 2.4: Plots of x = 12 − y 2 and x = y 2 − 6. Swapping x and y amounts to reflecting the plot in Figure 2.4 above about the 45o line y = x. The reflected graph coincides with that in Figure 2.3 above. Therefore, by Example 2.1.2, the answer is 72. Example 2.1.4. Find the area (not signed area!) enclosed by y = sin(πx), y = x2 − x, and x = 2. Figure 2.5: Plots of y = sin(πx) and y = x2 − x. Write x2 − x = (x − 1/2)2 − 1/4, so that we can obtain the graph of the parabola by shifting the standard graph. The area comes in two pieces, and the upper and lower curve switch in the middle. Technically, what we’re doing is integrating 59
  • 66.
    2.2. COMPUTING VOLUMESOF SURFACES OF REVOLUTION the absolute value of the difference. The area is 1 2 4 sin(πx) − (x2 − x)dx − (x2 − x) − sin(πx)dx = +1 0 1 π Here is this plot and computation in Sage: sage: P1 = plot(sin(pi*x), x, -1, 2.2) sage: P2 = plot(x^2-x, x, -1, 2.2) sage: P3 = list_plot([(2,0),(2,2)],plotjoined=True,linestyle=":") sage: T1 = text("$y = sin(pi x)$", (-1.2,-1)) sage: T2 = text("$y = x^2-x$", (1.3,1.3)) sage: show(P1+P2+P3+T1+T2) Something to take away from this is that in order to solve this sort of problem, you need some facility with graphing functions. If you aren’t comfortable with this, review. 2.2 Computing Volumes of Surfaces of Revolu- tion The last section emphasized a geometric interpretation of definite integrals as “areas” in two dimensions. This section emphasizes another geometrical use of integration, calculating volumes of solid threedimensional objects, such as a volume of revolution. Our basic approach is to cut the whole solid into thin “slices” whose volumes can be approximated, add the volumes of these ”slices” together (a Riemann sum), and finally obtain an exact answer by taking a limit of the sums to get a definite integral. Practice 2.2.1. Most people have a body density between 0.95 and 1.05 times the density of water which is 62.5 pounds per cubic foot. Use your weight (in lbs) to estimate the volume of your body (in cubic ft). (If you float in fresh water, your body density is less than 1.) First, we introduce the building blocks of this section, right solids. A right solid is a three–dimensional shape swept out by moving a planar region A some distance h along a line perpendicular to the plane of A. For instance, if A is a rectangle, then the “right solid” formed by moving A along the line is a 3dimensional solid box B and, of course, the volume of B is (area of A) × (distance along the line) = (base) × (height) × (width). The region A is called a face of the solid. The word “right” is simply used to indicate that the movement is along a line perpendicular (at a right angle) to 60
  • 67.
    2.2. COMPUTING VOLUMESOF SURFACES OF REVOLUTION the plane of A. Two parallel cuts though the shape produce a slice with two faces. Example 2.2.1. Suppose there is a fine, uniform mist in the air, and every cubic foot of mist contains 0.02 ounces of water droplets. If you run 50 feet in a straight line through this mist, how wet do you get? Assume that the front (or a cross section) of your body has an area of 8 square feet. Solution: As you run, the front of your body sweeps out a “tunnel” through the mist. The volume of the tunnel is the (cross sectional) area of the front of your body multiplied by the length of the tunnel: volume = (8 ft)(50 ft) = 400 ft. Since each cubic foot of mist held 0.02 ounces of water which is now on you, you swept out a total of (400 ft )(0.02 oz/ft) = 8 ounces of water. A general solid can be cut into slices which are almost right solids. An indi- vidual slice may not be exactly a right solid since its cross sections may have different areas. However, if the cuts are close together, then the cross sectional areas will not change much within a single slice. Each slice will be almost a right solid, and its volume will be almost the volume of a right solid. Suppose an xaxis is positioned below the solid shape, and let A(x) be the area of the face formed when the solid is cut at x perpendicular to the xaxis. If P = {x0 = a, x1 , x2 , ..., xn = b} is a partition of [a, b], and the solid is cut at each xi , then each slice of the solid is almost a right solid, and the volume of each slice is approximately ∼ (area of a face of the slice) × (thickness of the slice) = A(xi )∆xi . The total volume V of the solid is approximately the sum of the volumes of the slices: V = volume of each slice ∼ = A(xi )∆xi , i which is a Riemann sum. The limit, as the mesh of the partition approaches 0 (taking thinner and thinner slices), of the Riemann sum is the definite integral of A(x): b V ∼ = A(xi )∆xi → A(x) dx. i a Theorem 2.2.1. (Volume By Slices Formula) If S is a solid and A(x) is the area of the face formed by a cut at x and perpendicular to the x–axis, then the b volume V of the part of S above the interval [a, b] is V = a A(x) dx. Everybody knows that the volume of a solid box is volume = length × width × height. More generally, the volume of cylinder is V = πr2 h (cross sectional area times height). Even more generally, if the base of a prism has area A, the volume of the prism is V = Ah. 61
  • 68.
    2.2. COMPUTING VOLUMESOF SURFACES OF REVOLUTION But what if our solid object looks like a complicated blob? How would we compute the volume? We’ll do something that by now should seem familiar, which is to chop the object into small pieces and take the limit of approxima- tions. If these small pieces are cross sections then the corresponding method of computing the volume of revolution is called the “disc method”. If these small pieces are cylindrical shells then the corresponding method of computing the volume of revolution is called the “shell method”. We look in detail into the disc method first, followed by the shell method. 2.2.1 Disc method Assume that we have a function A(x) = cross sectional area at x. The volume of our potentially complicated blob is approximately A(xi )∆x. Thus n volume of blob = lim A(xi )∆x n→∞ i=1 b = A(x)dx a Here is the plot a picture of solid sliced vertically into a bunch of vertical thin solid discs: 3 Figure 2.6: Plot of the cone z = 2 (1 − x2 + y 2 ) sliced into thin “shells”, which are approximated by thin discs. Example 2.2.2. Find the volume of the pyramid with height H and square base with sides of length L. For convenience look at pyramid on its side, with the tip of the pyramid at the origin. We need to figure out the cross sectional area as a function of x, for 62
  • 69.
    2.2. COMPUTING VOLUMESOF SURFACES OF REVOLUTION 0 ≤ x ≤ H. The function that gives the distance s(x) from the x–axis to the edge is a line, with s(0) = 0 and s(H) = L/2. The equation of this line is thus L s(x) = 2H x. Thus the cross sectional area is x2 L2 A(x) = (2s(x))2 = . H2 The volume is then H H H x2 L2 x3 L2 H 3 L2 1 A(x)dx = dx = = = HL2 . 0 0 H2 3H 2 0 3H 2 3 Figure 2.7: How big is Pharaoh’s place?. (Photo found on http://en.wikipedia.org/wiki/Egyptian_pyramids, taken by Ricardo Liberato.) When a region is revolved around a line (Figure 2.8) a right solid is formed. When the face of each slice of the revolved region is a circle then the formula for the area of the face is easy: A(x) = area of a circle = π(radius), where the radius is often a function of the location x. Finding a formula for the changing radius requires care. Theorem 2.2.2. (Volumes of Revolved Regions by Discs) If the region formed between f , the horizontal line y = L, and the interval [a, b] is revolved about the b horizontal line y = L (see Figure 2.8) then the volume is V = a A(x) dx = b b a π(radius) dx = a π(f (x) − L) dx. Example 2.2.3. Find the volume of the solid obtained by rotating the following “flower pot” region about the x axis: the region enclosed by y = x2 and y = x3 between x = 0 and x = 1. The cross section is a “washer”, and the area as a function of x is A(x) = π(rout (x)2 − rin (x)2 ) = π(x4 − x6 ). 63
  • 70.
    2.2. COMPUTING VOLUMESOF SURFACES OF REVOLUTION Figure 2.8: Disc method for computing a volume of revolution. Figure 2.9: Plots of y = x2 and y = x3 . The volume is thus 1 1 1 1 5 1 7 1 1 2 A(x)dx = x − x dx = π x5 − x7 = π. 0 0 5 7 5 7 0 35 Practice 2.2.2. Find the volumes swept out when (a) the region between f (x) = x and the x–axis, for 0 ≤ x ≤ 2, is revolved about the x–axis, and (b) the region between f (x) = x and the line y = 2x , for 0 ≤ x ≤ 2, is revolved about the line y = 2. Example 2.2.4. One of the most important examples of a volume is the volume V of a sphere of radius r. Let’s find it! We’ll just compute the volume of a half 64
  • 71.
    2.2. COMPUTING VOLUMESOF SURFACES OF REVOLUTION and multiply by 2. The cross sectional area is A(x) = πr(x)2 = π( r2 − x2 )2 = π(r2 − x2 ). Then r r 1 1 1 2 V = π(r2 − x2 )dx = π r2 x − x3 = πr3 − πr3 = πr3 . 2 0 3 0 3 3 Thus V = (4/3)πr3 . Example 2.2.5. Find volume of intersection of two spheres of radius r, where the center of each sphere lies on the edge of the other sphere. Figure 2.10: Plot of two spheres. From the picture (Figure 2.10) we see that the answer is r 2 A(x), r/2 where A(x) is exactly as in Example 2.2.4. We have r 5 3 2 π(r2 − x2 )dx = πr . r/2 12 The previous ideas and techniques can also be used to find the volumes of solids with holes in them. If A(x) is the area of the face formed by a cut at x, b then it is still true that the volume is V = a A(x) dx. However, if the solid has holes, then some of the faces will also have holes and a formula for A(x) may be more complicated. Sometimes it is easier to work with two integrals and then subtract: (i) calculate the volume S of the solid without the hole, (ii) calculate the volume H of the hole, and (iii) subtract H from S. This is what was done in Example 2.2.3. 2.2.2 Shell method The disk method can be cumbersome if we want the volume when the region in the figure is revolved about the y–axis or some other vertical line. To revolve the region about the y–axis, the disk method requires that we represent the 65
  • 72.
    2.2. COMPUTING VOLUMESOF SURFACES OF REVOLUTION original equation y = f (x) as a function of y: x = g(y). Sometimes that is easy: if y = 3x then x = y/3. But sometimes it is not easy at all: if y = x + ex , then we can not solve for y as an “elementary” function of x. The “shell” method lets us use the original equation y = f (x) to find the volume when the region is revolved about a vertical line. We partition the x–axis to cut the region into thin, almost rectangular “slices.” When the thin “slice” at xi is revolved about the y–axis (Figure 2.11(a)), the volume of the resulting “tube” (or cylindrical “shell”) can be approximated by cutting the wall of the tube and laying it out flat (Figure 2.11(b)) to get a thin, solid rectangular box. Figure 2.11: Shell method for computing a volume of revolution. The volume of the tube is approximately the same as the volume of the solid box: Vol. tube ∼ Vol. box = = (length) × (height) × (thickness) = (2πradius) × ( height ) × (∆xi ) = 2πxi f (xi )∆xi . The volume swept out when the whole region is revolved is the sum of the volumes of these “tubes”, a Riemann sum. The limit of the Riemann sum is b volume of rotation about the y–axis = 2πxf (x) dx. a Theorem 2.2.3. (Volume of Revolution Using Shells) If region R is bounded between the functions f (x) ≥ g(x) for 0 ≤ a ≤ b (see Figure 2.12), then b volume obtained when R is revolved about the y–axis = 2πx(f (x)−g(x)) dx. a Example 2.2.6. Find the volume when the region R in between x = 2, x = 4, y = x and y = x2 is revolved about the y–axis. 66
  • 73.
    2.2. COMPUTING VOLUMESOF SURFACES OF REVOLUTION Figure 2.12: Shell method for computing a volume of revolution. Solution: We can partition the interval [2, 4] on the x–axis to get thin slices of R. When the slice at xi is revolved around the y–axis, a tube is swept out, and the volume Vi of this i-th tube is Vi ∼ (2π · radius) × (height) × (thickness) = ∼ 2πxi (x2 − xi )∆xi = i ∼ 2π(x3 − x2 )∆xi . = i i The total approximate volume is the sum of the volumes of the tubes. As the partition gets finer and finer, we get 4 x4 x3 124 V = Vi → 2π(x3 − x2 ) dx = 2π( − )|4 = 2π = 259.7... . i 2 4 3 2 3 2.2.3 Problems 1. For the solid in Figure 2.13, the face formed by a cut at x is a triangle with a base of 4 inches and a height of x2 inches. Write and evaluate an integral for the volume of the solid for x between 1 and 2. Figure 2.13: Volume of a solid. 67
  • 74.
    2.2. COMPUTING VOLUMESOF SURFACES OF REVOLUTION 2. Find the volume of the squarebased pyramid in Figure 2.14. Figure 2.14: Volume of a pyramid. 3. Find the volume generated when the region between one arch of the sine curve (0 ≤ x ≤ π) and the x-axis is revolved about (a) the x-axis and (b) the line y = 1/2. 5 5 4. Given that 1 f (x) dx = 4 and 1 f (x)2 dx = 7. Represent the volumes of the solids (a), (b), (c) and (d) in Figure 2.15 as definite integrals and evaluate the integrals. Figure 2.15: Four volumes. 68
  • 75.
    2.2. COMPUTING VOLUMESOF SURFACES OF REVOLUTION 5. Figure 2.16. For 0 ≤ x ≤ 3, each face is a circle with height (diameter) 4 − x meters. Figure 2.16: Volume with circular cross-sections. 6. Suppose A and B are solids so that every horizontal cut produces faces of A and B that have equal areas. What (if anything) can we conclude about the volumes of A and B? Justify your answer. 7. Calculate the volume of a sphere of radius 2. 8. Let 0 < r < R be fixed. Revolve the circle x2 + (y − R)2 = r2 about the x-axis. Compute the volume of this “donut” solid. 9. (a) Find the area between f (x) = 1/x and the x-axis for 1 ≤ x ≤ 10, 1 ≤ x ≤ 100, and 1 ≤ x ≤ A. What is the limit of the area for 1 ≤ x ≤ A as A → ∞? If A = 1000000 and your think of this area as a long, flat wall, estimate the amount of paint (in square feet) you need to paint this surface. (b) Find the volume swept out when the region in part (a) is revolved about the x-axis for 1 ≤ x ≤ 10, 1 ≤ x ≤ 100, and 1 ≤ x ≤ A. What is the limit of the volumes for 1 ≤ x ≤ A as A → ∞? If A = 1000000 and your think of this volume as a room constructed by revolving the wall in (a) about an axis, estimate the amount of paint (in cubic feet) you need to completely fill the room. (c) Which is larger: the paint needed to paint the wall of the paint needed to completely fill the room? 10. The region between y = 2x − x2 and the xaxis for 0 ≤ x ≤ 2. Sketch the region and calculate the volume swept out when the region is revolved about the yaxis. √ 11. The region between y = 1 − x2 and the xaxis for 0 ≤ x ≤ 1. Sketch the region and calculate the volume swept out when the region is revolved about the yaxis. 69
  • 76.
    2.3. AVERAGE VALUES 1 12. The region between y = 1+x2 and the xaxis for 0 ≤ x ≤ 1. Sketch the region and calculate the volume swept out when the region is revolved about the yaxis. 2.3 Average Values In this section we use Riemann sums to extend the familiar notion of an average, which provides yet another physical interpretation of integration. Recall: Suppose y1 , . . . , yn are the amount of rain each day in you hometown so far this year. The average rainfall per day is n y1 + · · · + yn 1 yavg = = yi . n n i=1 Definition 2.3.1 (Average Value of Function). Suppose f is a continuous func- tion on an interval [a, b]. The average value of f on [a, b] is b 1 favg = f (x)dx. b−a a Motivation: If we sample f at n points xi , then n n n 1 (b − a) 1 favg ∼ f (xi ) = f (xi ) = f (xi )∆x, n i=1 n(b − a) i=1 (b − a) i=1 b−a since ∆x = . This is a Riemann sum! n n b 1 1 lim f (xi )∆x = f (x)dx. (b − a) n→∞ i=1 (b − a) a This explains why we defined favg as above. Example 2.3.1. What is the average value of sin(x) on the interval [0, π]? π 1 1 π sin(x)dx = − cos(x) π−0 0 π−0 0 1 π 2 = −(−1) − (−1) = π 0 π Observation: If you multiply both sides by (b − a) in Definition 2.3.1, you see that the average value times the length of the interval is the area, i.e., the average value gives you a rectangle with the same area as the area under your function. In particular, in Figure 2.17 the area between the x-axis and sin(x) is exactly the same as the area between the horizontal line of height 2/π and the x-axis. 70
  • 77.
    2.3. AVERAGE VALUES Figure 2.17: What is the average value of sin(x)? Theorem 2.3.1 (Mean Value Theorem). Suppose f is a continuous function on [a, b]. Then there is a number c in [a, b] such that f (c) = favg . This says that f assumes its average value. It is a used very often in under- standing why certain statements are true. Notice that in Example 2.3.1 it is just the assertion that the graphs of the function and the horizontal line y = favg intersect. x Proof: Let F (x) = a f (t)dt. Then F ′ (x) = f (x). By the mean value theorem for derivatives, there is c ∈ [a, b] such that f (c) = F ′ (c) = (F (b) − F (a))/(b − a). But by the fundamental theorem of calculus, b F (b) − F (a) 1 f (c) = = f (x)dx = favg . b−a b−a a 2.3.1 Problems In problems 1-4, use the values in Figure 2.18 to estimate the average values. 1. Estimate the average value of f on the interval [0.5, 4.5]. 2. Estimate the average value of f on the interval [0.5, 6.5]. 3. Estimate the average value of f on the interval [1.5, 3.5]. 4. Estimate the average value of f on the interval [3.5, 6.5]. 5. Find the average value of sin(x), 0 ≤ x ≤ π. 6. Find the average value of x2 , −1 ≤ x ≤ 1. 71
  • 78.
    2.4. MOMENTS ANDCENTERS OF MASS Figure 2.18: Table of values of the function f (x). 2.4 Moments and centers of mass This section develops a method for finding the center of mass of a thin, flat shape the point at which the shape will balance without tilting. Centers of mass are important because in many applied situations an object behaves as though its entire mass is located at its center of mass. For example, if you are riding in a car with a high center of mass (such as an SUV) and you make a sudden sharp turn, you are more likely to tip over than if you are riding in a car with a high center of mass (such as a sports car). As another example, the work done to pump the water in a tank to a higher point is the same as the work to move the center of mass of the water to the higher point (Figure 2.19), a much easier problem, if we know the mass and the center of mass of the water. Also, volumes and surface areas of solids of revolution can be easy to calculate, if we know the center of mass of the region being revolved. Figure 2.19: Work depends on the center of mass. Before looking for the centers of mass of complicated regions, we consider point masses and systems of point masses, first in one dimension and then in 72
  • 79.
    2.4. MOMENTS ANDCENTERS OF MASS two dimensions. 2.4.1 Point Masses First we discuss point masses along a line. Two people with different masses can position themselves on a seesaw so that the seesaw balances (Figure 2.20). The person on the right causes the seesaw to ”want to turn” clockwise about the fulcrum, and the person on the left causes it to “want to turn” counterclockwise. If these two “tendencies” are equal, the seesaw will balance. A measure of this tendency to turn about the fulcrum is called the moment about the fulcrum of the system, and its magnitude is the mass multiplied by the distance from fulcrum. Figure 2.20: Balance on a see-saw depends on the center of mass. In general, the moment about the origin, M0 , produced by a mass m at a location x is mx, the product of the mass and the “signed distance” of the mass from the origin. For a system of masses m1 , m2 , . . . , mn at locations x1 , x2 , . . . , xn , respectively, n M = total mass of the system = mi , i=1 and n M0 = moment about the origin = x1 m1 + x2 m2 + · · · + xn mn = xi mi . i=1 If the moment about the origin is positive then the system tends to rotate clockwise about the origin. If the moment about the origin is negative then the system tends to rotate counterclockwise about the origin. If the moment about the origin is zero, then the system does not tend to rotate in either direction about the origin; it balances on a fulcrum at the origin. The moment about the point p, Mp , produced by a mass m at the location x is the signed distance of x from p times the mass m: (x − p) · m. The moment about the point p produced by masses m1 , m2 , . . . , mn at locations x1 , x2 , . . . , xn , respectively, is 73
  • 80.
    2.4. MOMENTS ANDCENTERS OF MASS n Mp = moment about p = (x1 −p)m1 +(x2 −p)m2 +· · ·+(xn −p)mn = (xi −p)mi . i=1 The point at which the system balances is called the center of mass of the system and is written x (pronounced “x bar”). Since the system balances at x, the moment about p = x must be zero. Using this fact and properties of summation, we can find a formula for x: n n n 0 = Mx = (xi − x)mi = xi mi − x) mi , i=1 i=1 i=1 so n i=1 xi mi x= n . i=1 mi This is summarized as follows. Theorem 2.4.1. The center of mass of a system of masses m1 , m2 , . . . , mn at locations x1 , x2 , . . . , xn , is given by moment about the origin x= = M0 /M. total mass Now we discuss point masses in the plane. The ideas of moments and centers of mass extend nicely from one dimension to a system of masses located at points in the plane. For a system of masses mi located at the points (xi , yi ), n M = total mass of particles = i=1 mi , n My = moment about the y–axis = i=1 mi xi , n Mx = moment about the x–axis = i=1 mi yi . Theorem 2.4.2. The center of mass of a system of masses m1 , m2 , . . . , mn at locations (x1 , y1 ), (x2 , y2 ), . . . , (xn , yn ), is given by (x, y), where moment about the y–axis x= = My /M, total mass moment about the x–axis y= = Mx /M. total mass Example 2.4.1. Consider a regular hexagon in the plane centered at the origin1 Suppose that all the vertices of the hexagon have equal mass 1. The center of mass of this hexagon is the same as the average value of the vertices. Therefore, by construction, (x, y) = (0, 0). 1 To draw this, simply draw a circle and slice it up fairly into 6 equal “pie pieces”. The points on the “crust” where your slices start are the vertices of the hexagon. 74
  • 81.
    2.4. MOMENTS ANDCENTERS OF MASS 2.4.2 Center of mass of a region in the plane When we move from discrete point masses to whole, continuous regions in the plane, we move from finite sums and arithmetic to limits of Riemann sums, definite integrals, and calculus. The following material extends the ideas and calculations from point masses to uniformly thin, flat plates that have a constant density given as mass per area. The center of mass of one of these plates is the point (x, y) at which the plate balances without tilting. It turns out that the center of mass (x, y) of such a plate depends only on the region of the plane covered by the plate and not on its density. In this situation, the point (x, y) is also called the centroid of the region. In the following discussion, you should notice that each finite sum that appeared in the discussion of point masses has a counterpart for these thin plates in terms of integrals. The rectangle is the basic shape used to extend the point mass ideas to regions. The total mass of a rectangular plate is the area of the plate multiplied by the density constant: mass M = area × density. We assume that the center of mass of a thin, rectangular plate is located half way up and half way across the rectangle, at the point where the diagonals of the rectangle cross. Then the moments of the rectangle can be found by treating the rectangle as a point with mass M located at the center of mass of the rectangle. To find the moments and center of mass of a plate made up of several rectangu- lar regions, just treat each of the rectangular pieces as a point mass concentrated at its center of mass. Then the plate is treated as a system of discrete point masses. Example 2.4.2. The plate in Figure 2.21 can be divided into two rectangular plates, one with mass 24 g and center of mass (1, 4), and one with mass 12 g and center of mass (3, 3). Figure 2.21: Centroid of two rectangles. The total mass of the pair is M = 36 g, and the moments about the axes are Mx = (24 g)(4 cm) + (12 g)(3 cm) = 132 gcm, and My = (24 g)(1 cm) + (12 g)(3 cm) = 60 gcm. Then x = My /M = (60 gcm)/(36 g) = 5/3 cm and y = Mx /M = (132 gcm)/(36 g) = 11/3 cm so the center of mass of the plate is at (x, y) = (5/3, 11/3). 75
  • 82.
    2.4. MOMENTS ANDCENTERS OF MASS To find the center of mass of a thin plate, we will “slice” the plate into narrow rectangular plates and treat the collection of rectangular plates as a system of point masses located at the centers of mass of the rectangles. The total mass and moments about the axes for the system of point masses will be Riemann sums. Then, by taking limits as the widths of the rectangles approach 0, we will obtain exact values for the mass and moments as definite integrals 2.4.3 x For A Region Suppose f (x) ≥ g(x) on [a, b] and R is a plate on the region between the graphs of f and g for a ≤ x ≤ b (Figure 2.22). Figure 2.22: Centroid of a region. If the interval [a, b] is partitioned into subintervals [xi−1 , xi ] and the point ci is the midpoint of each subinterval, then the slice between vertical cuts at xi−1 and xi is approximately rectangular and has mass approximately equal to (area) × (density) = (height) × (width) × (density) ∼ = (f (ci ) − g(ci ))(xi−1 xi )k = (f (ci ) − g(ci ))∆xi k, where k denotes the density. The mass of the whole plate is approximately b M= (f (ci ) − g(ci ))∆xi k → k (f (x)g(x)) dx i a = k · (area of the region between f and g). The moment about the y–axis of each rectangular piece is My = (distance from y–axis to center of mass of piece) × (mass) = ci (f (ci ) − g(ci ))(∆xi )k, 76
  • 83.
    2.4. MOMENTS ANDCENTERS OF MASS so b My = ci (f (ci ) − g(ci ))(∆xi )k → k x(f (x) − g(x)) dx. i a The x–coordinate of the center of mass of the plate is b My a x(f (x) − g(x)) dx x= = b , M f (x) − g(x) dx a since the common factor of k on top and bottom cancel. Practice 2.4.1. Find the x–coordinate of the center of mass of the region be- tween f (x) = x2 and the x–axis for 0 ≤ x ≤ 2. (In this case, g(x) = 0.) 2.4.4 y For a Region Again, suppose f (x) ≥ g(x) on [a, b] and R is a plate on the region between the graphs of f and g for a ≤ x ≤ b (Figure 2.22). Figure 2.23: Finding the y–coordinate of the centroid of a region. To find y, the y–coordinate of the center of mass of the plate R, we need to find Mx , the moment of the plate about the x–axis. When R is partitioned vertically (Figure 2.23), the moment of each (very narrow) strip about the x–axis, Mx , is (signed distance from x–axis to the center of mass of strip) × (mass of strip). Since each thin strip is approximately rectangular, the y–coordinate of the center of mass of each strip is approximately half way up the strip: y i ∼ (f (ci ) + = g(ci ))/2. Then 77
  • 84.
    2.4. MOMENTS ANDCENTERS OF MASS Mx for the strip = (signed distance from the x–axis to the center of mass of the strip) × (mass of strip) = (signed distance from xaxis) × ( height of strip) ×(width of strip) × (density constant) f (ci )+g(ci ) = 2 (f (ci ) − g(ci ))(∆xi )k. The moment about the x–axis of each rectangular piece is (distance from the x–axis to the center of mass of the piece) × (mass) f (ci )+g(ci ) = 2 (f (ci ) − g(ci ))(∆xi )k, so f (ci )+g(ci ) Mx = i 2 (f (ci ) − g(ci ))(∆xi )k b f (x)+g(x) b →k a 2 (f (x) − g(x)) dx = k a f (x)2 − 2 g(x)2 dx. Practice 2.4.2. Show that the centroid of a triangular region with vertices (0, 0), (0, h) and (b, 0) is (x, y) = (b/3, h/3). Example 2.4.3. Find the centroid of the region bounded between the graphs of y = x and y = x2 , for 0 ≤ x ≤ 1. 1 1 Solution: M = k 0 (x − x2 ) dx = k/6, My = k 0 x(x − x2 ) dx = k/12 and 1 Mx = k 0 (x2 − x4 ) dx = k/15. Then x = My /M = 1/2 and y = Mx /M = 2/5 2 . 2.4.5 Theorems of Pappus When location of the center of mass of an object is known, the theorems of Pappus make some volume and surface area calculations very easy. Volume of Revolution: If a plane region with area A and centroid (x, y) is re- volved around a line in the plane which does not go through the region (touching the boundary is alright), then the volume swept out by one revolution is the area of the region times the distance traveled by the centroid (Figure 2.24): Theorem 2.4.3. (Pappas’ theorem for volume) Volume about line L = A · 2π distance of (x, y) from the line L , so in particular, Volume about x–axis = A · 2πy, and Volume about y–axis = A · 2πx. 78
  • 85.
    2.4. MOMENTS ANDCENTERS OF MASS Figure 2.24: Pappas’ theorem for a volume of revolution. Surface Area of Revolution If a plane region with perimeter P and centroid of the edge (x, y) is revolved around a line in the plane which does not go through the region (touching the boundary is alright), then the surface area swept out by one revolution is the perimeter of the region times the distance traveled by the centroid (Figure 2.25): Figure 2.25: Pappas’ theorem for a surface area of revolution. Theorem 2.4.4. (Pappas’ theorem for surface area) Surface area about line L = P · 2π distance of (x, y) from the line L , so in particular, Surface area about x–axis = P · 2πy, 79
  • 86.
    2.5. ARC LENGTHS and Surface area about y–axis = P · 2πx. Example 2.4.4. The center of a square region with 2 foot sides is at the point (3, 4). Use the Theorems of Pappus to find the volume and surface area swept out when the square is rotated (a) about the x–axis, (b) about the y–axis, and (c) about the horizontal line y = 6. Solution: (a) Volume about x–axis = A · 2πy = 32π, Surface area about x–axis = P · 2πy = 64π. (b) Volume about y–axis = A·2πx = 24π, Surface area about y–axis = P ·2πx = 48π. (c) Volume about line y = 6 = A·2π(distance of (3, 4) to the line y = 6) =16π, Surface area about line y = 6 = P · 2π(distance of (3, 4) to the line y = 6) =32π. 2.5 Arc lengths This section introduces another geometric applications of integration: finding the length of a curve, i.e., the total distance you travel if you are moving along a curve. The general strategy is the same as before: partition the problem into small pieces, approximate the solution on each small piece, add the small solutions together in the form of a Riemann sum, and finally, take the limit of the Riemann sum to get a definite integral. 2.5.1 2-D Arc length Suppose C is a curve, and we pick some points (xi , yi ) along C and connect the points with straight line segments. Then the sum of the lengths of the line segments will approximate the length of C. We can think of this as pinning a string to the curve at the selected points, and then measuring the length of the string as an approximation of the length of the curve. Of course, if we only pick a few points, then the total length approximation will probably be rather poor, so eventually we want lots of points (xi , yi ), close together all along C. Suppose the points are labeled so (x0 , y0 ) is one endpoint of C and (xn , yn ) is the other endpoint and that the subscripts increase as we move along C. Then the distance between the successive points (xi−1 , yi−1 ) and (xi , yi ) is (∆xi )2 + (∆yi )2 , and the total length of the line segments is simply the sum of the successive lengths. This is an important approximation of the length of C, and all of the integral representations for the length of C come from it. The length of the curve C is approximately (∆xi )2 + (∆yi )2 = 1 + (∆yi /∆xi )2 ∆xi . i i This is a Riemann sum. We could have factored out a ∆yi instead: the arc length of C is approximately 80
  • 87.
    2.5. ARC LENGTHS (∆xi )2 + (∆yi )2 = 1 + (∆xi /∆yi )2 ∆yi . i i Theorem 2.5.1. • The length of the curve C described by the graph of the function y = f (x), a ≤ x ≤ b, is given by b 1 + f ′ (x)2 dx. a • The length of the curve C described by the graph of the function x = g(y), a ≤ y ≤ b, is given by b 1 + g ′ (y)2 dy. a Example 2.5.1. Use the points (0, 0), (1, 1), and (3, 9) to approximate the length of y = x2 , for 0 ≤ x ≤ 3. √ Solution: The lengths of the pieces are (1 − 0)2 + (1 − 0)2 = 2 and √ √ √ (3 − 1)2 + (9 − 1)2 = 68, so the total length is approximately 2 + 68 = 9.66... . We can use Sage to compute some more Riemann sum approximations and also this arc length exactly. sage: f1 = lambda x: sqrt(1+4*x^2) sage: f = Piecewise([[(0,3),f1]]) sage: n = 10; RR(f.riemann_sum_integral_approximation(n)) 8.99946939777166 sage: n = 50; RR(f.riemann_sum_integral_approximation(n)) 9.59519771936512 sage: n = 100; RR(f.riemann_sum_integral_approximation(n)) 9.67099527976211 sage: n = 200; RR(f.riemann_sum_integral_approximation(n)) 9.70900502940468 sage: integral(sqrt(1+(2*x)^2),x,0,3) (arcsinh(6) + 6*sqrt(37))/4 sage: RR(integral(sqrt(1+(2*x)^2),x,0,3)) 9.74708875860856 In other words, 3 √ sinh−1 6 + 6 37 1+ (2x)2 dx = = 9.74... . 0 4 Note that if we reflect this curve about the y = x line then the resulting part of the curve must have the same arc length. Agreed? Do you see that the reflected 81
  • 88.
    2.5. ARC LENGTHS √ curve is y = x, 0 ≤ x ≤ 9? In this case the reflected points are (0, 0), (1,√ 1), and (9, 3). The lengths of the reflected pieces are (1 − 0)2 + (1 − 0)2 = 2 √ and √ − 1)2 + (3 − 1)2 = 68, so the total length is (still) approximately √ (9 2 + 68 = 9.66... . The integral describing the arc length is 9 9 1 1 1 + ( x−1/2 )2 dx = 1 + x−1 dx. 0 2 0 4 2 This is a harder integral to compute but we can use Sage to compute this reflected arc length fairly accurately. sage: f1 = lambda x: sqrt(1+1/(4*x)) sage: numerical_integral(f1, 0, 9, max_points=100) (9.7470886680795221, 7.9546440984616276e-06) The output is a pair, the first coordinate is the approximate numerical value of the integral and the second is an upper bound for the error term. This is in agreement with the above answer. Parametric equations: When the curve C is described by pairs (x, y), where x and y are functions of t, x = x(t) and y = y(t), for α ≤ t ≤ β, we can factor (∆ti ) from inside the radical and simplify: (∆xi )2 + (∆yi )2 = (∆xi /∆ti )2 + (∆yi /∆ti )2 ∆ti . i i This is a Riemann sum. Taking limits, we get the following formula. Theorem 2.5.2. The length of the curve C described by the graph of the para- metric equations x = x(t) and y = y(t), for α ≤ t ≤ β, is given by β x′ (t)2 + y ′ (t)2 dt. α Example 2.5.2. Represent the length of each curve as a definite integral. (a) The length of y = ex between (0, 1) and (1, e). (b) The length of the parametric curve x(t) = cos(t) and y(t) = sin(t) for 0 ≤ t ≤ 2π . 1√ Solution: (a) 0 1 + e2x dx. This looks complicated (and it is) but amazingly enough Sage has no problem with it: sage: f1 = lambda x: sqrt(1+exp(2*x)) sage: integral(f1(x), x, 0, 1) -arcsinh(e^-1) + arcsinh(1) + sqrt(e^2 + 1) - sqrt(2) 2 Of course, there is no need to, since we already know its value! 82
  • 89.
    2.5. ARC LENGTHS sage:RR(integral(f1(x), x, 0, 1)) 2.00349711162735 2π 2π √ (b) 0 (− sin(t))2 + (cos(t))2 dt = 0 1 dt = 2π. 2.5.2 3-D Arc length The parametric equation form of arc length extends very nicely to 3 dimensions. If a curve C in 3-dimensions (Figure 2.26) is given parametrically by x = x(t), y = y(t), and z = z(t) for a ≤ t ≤ b, then the distance between the successive i 2 2 points (xi−1 , yi−1 , zi−1 ) and (xi , yi , zi ) is ∆x2 + ∆yi + ∆zi . Figure 2.26: The arc length or a space curve. We can, as before, factor (∆ti )2 from each term under the radical, sum the pieces to get a Riemann sum, and take a limit of the Riemann sum to get a definite integral representing the length of the curve C. i 2 2 ∆x2 + ∆yi + ∆zi = (∆xi /∆ti )2 + (∆yi /∆ti )2 + (∆zi /∆ti )2 ∆ti i b → x′ (t)2 + y ′ (t)2 + z ′ (t)2 dt. a Theorem 2.5.3. If a curve C in 3-dimensions is given parametrically by x = x(t), y = y(t), and z = z(t) for a ≤ t ≤ b, then the arc length is b x′ (t)2 + y ′ (t)2 + z ′ (t)2 dt. a 83
  • 90.
    2.5. ARC LENGTHS Example2.5.3. Find the arc length of the helix x = cos(t), y = sin(t), z = t for 0 ≤ t ≤ 4π. Solution: We have b 4π x′ (t)2 + y ′ (t)2 + z ′ (t)2 dt = 0 sin(t)2 + cos(t)2 + 1 dt a 4π √ √ = 0 2 dt = 4 2π. 84
  • 91.
    Chapter 3 Polar coordinatesand trigonometric integrals The rectangular coordinate system is immensely useful, but it is not the only way to assign an address to a point in the plane and sometimes it is not the most useful. In applications to physical problems where there is some “cylin- drical symmetry”, such as a vibrating drum or water moving along a pipe, the most natural coordinates are often polar coordinates rather than rectangular coordinates. In many experimental situations, our location is fixed and we, using sonar or radar, take readings in different directions (Figure 3.2); this information can be graphed using rectangular coordinates (e.g., with the angle on the horizontal axis and the measurement on the vertical axis). Figure 3.1: Sonar and radar use polar coordinates. 85
  • 92.
    Sometimes, however, itis more useful to plot the information in a way similar to the way in which it was collected, as magnitudes along radial lines (Figure 3.2). This system is called the Polar Coordinate System. Figure 3.2: Polar coordinates. Example 3.0.4. SOS! You’ve just received a distress signal from a ship located at A on your radar screen (Figure 3.3). Describe its location to your captain so your vessel can speed to the rescue. Figure 3.3: Polar coordinate figure for Example 3.0.4. Solution: You could convert the relative location of the other ship to rectan- gular coordinates and then tell your captain to go due east for 7.5 miles and north for 13 miles, but that certainly is not the quickest way to reach the other ship. It is better to tell the captain to sail for 15 miles in the direction of 60o . If the distressed ship was at B on the radar screen, your vessel should sail for 10 miles in the direction 150o . (Real radar screens have 0o at the top of the screen, but the convention in mathematics is to put 0o in the direction of the positive x–axis and to measure positive angles counterclockwise from there. And of course a real sailor speaks of “bearing” and “range” instead of direction and magnitude.) 86
  • 93.
    3.1. POLAR COORDINATES Practice3.0.1. Describe the locations of the ships at C and D in Figure 3.3 by giving a distance and a direction to those ships from your current position at the center of the radar screen. Points in Polar Coordinates: To construct a polar coordinate system we need a starting point (called the origin or pole) for the magnitude measurements and a starting direction (called the polar axis) for the angle measurements. A polar coordinate pair for a point P in the plane is an ordered pair (r, θ), where r is the directed distance along a radial line from O to P , and θ is the angle formed by the polar axis and the segment OP . The angle θ is positive when the angle of the radial line OP is measured counterclockwise from the polar axis, and θ is negative when measured clockwise. Degree or Radian Measure for θ?: Either degree or radian measure can be used for the angle in the polar coordinate system, but when we differentiate and integrate trigonometric functions of θ we will always want all of the angles to be given in radian measure. From now on, we will primarily use radian measure. You should assume that all angles are given in radian measure unless the units “ o ” (“degrees”) are shown. In the rectangular coordinate system, the derivative dy/dx measured both the rate of change of y with respect to x and the slope of the tangent line. In the polar coordinate system dr/dθ measures the rate of change of r with respect to θ. The sign of dr/dθ tells us whether r is increasing or decreasing as θ increases. Figure 3.4: r changing as a function of θ. 3.1 Polar Coordinates Rectangular coordinates allow us to describe a point (x, y) in the plane in a different way, namely (x, y) ↔ (r, θ), where r is any real number and θ is an angle. Polar coordinates are extremely useful, especially when thinking about com- plex numbers. Note, however, that the (r, θ) representation of a point is very non-unique. 87
  • 94.
    3.1. POLAR COORDINATES First, θ is not determined by the point. You could add 2π to it and get the same point: π 9π π −7π 2, = 2, = 2, + 389 · 2π . = 2, 4 4 4 4 Also that r can be negative introduces further non-uniqueness: π 3π 1, = −1, . 2 2 Think about this as follows: facing in the direction 3π/2 and backing up 1 meter gets you to the same point as looking in the direction π/2 and walking forward 1 meter. We can convert back and forth between Cartesian and polar coordinates using that x = r cos(θ) (3.1) y = r sin(θ), (3.2) and in the other direction r2 = x2 + y 2 (3.3) y tan(θ) = (3.4) x (Thus r = ± x2 + y 2 and θ = tan−1 (y/x).) Figure 3.5: Rectangular to polar coordinate conversion. Example 3.1.1. Sketch r = sin(θ), which is a circle sitting on top the x axis. We plug in points for one period of the function we are graphing—in this case [0, 2π]: 88
  • 95.
    3.1. POLAR COORDINATES Figure 3.6: Plot of (a) r = 1, 0 < θ < π/6, and (b) r = sin(θ), 0 < θ < 2π. 0 sin(0) = 0 π/6 sin(π/6) = 1/2 √ π/4 sin(π/4) = 22 π/2 sin(π/2) = 1 √ 3π/4 sin(3π/4) = 22 π sin(π) = 0 π + π/6 sin(π + π/6) = −1/2 Notice it is nice to allow r to be negative, so we don’t have to restrict the input. BUT it is really painful to draw this graph by hand. To more accurately draw the graph, let’s try converting the equation to one involving polar coordinates. This is easier if we multiply both sides by r: r2 = r sin(θ). Note that the new equation has the extra solution (r = 0, θ = anything), so we have to be careful not to include this point. Now convert to Cartesian coordinates using (3.1) to obtain (3.3): x2 + y 2 = y. (3.5) The graph of (3.5) is the same as that of r = sin(θ). To confirm this we complete the square: x2 + y 2 = y x2 + y 2 − y = 0 x2 + (y − 1/2)2 = 1/4 Thus the graph of (3.5) is a circle of radius 1/2 centered at (0, 1/2). Actually any polar graph of the form r = a sin(θ) + b cos(θ) is a circle (exercise for the interested reader). 89
  • 96.
    3.2. AREAS INPOLAR COORDINATES 3.2 Areas in Polar Coordinates The previous section introduced the polar coordinate system and discussed how to plot points, how to create graphs of functions (from data, a rectangular graph, or a formula), and how to convert back and forth between the polar and rectangular coordinate systems. This section examines calculus in polar coordinates: rates of changes, slopes of tangent lines, areas, and lengths of curves. The results we obtain may look different, but they all follow from the approaches used in the rectangular coordinate system. We know how to compute the area of a sector, i.e., piece of a circle with angle θ. [[draw picture]]. This is the basic polar region. The area is θ 1 2 A = (fraction of the circle) · (area of circle) = · πr2 = r θ. 2π 2 We now imitate what we did before with Riemann sums. We chop up, ap- proximate, and take a limit. Break the interval of angles from a to b into n ∗ subintervals. Choose θi in each interval. The area of each slice is approxi- ∗ 2 2 mately (1/2)f (θi ) θi . Thus n 1 A = Area of the shaded region ∼ f (θi )2 ∆(θ). ∗ i=1 2 Taking the limit, we see that n b 1 1 A = lim f (θi )2 ∆(θ) = · ∗ f (θ)2 dθ. (3.6) n→∞ i=1 2 2 a Amazing! By understanding the definition of Riemann sum, we’ve derived a formula for areas swept out by a polar graph. But does it work in practice? Example 3.2.1. Find the area enclosed by one leaf of the four-leaved rose r = cos(2θ). Figure 3.7: Graph of y = cos(2x) and r = cos(2θ). This was plotted in Sage using these commands: 90
  • 97.
    3.2. AREAS INPOLAR COORDINATES sage: P1 = polar_plot(lambda x:cos(2*x), 0, 2*pi, rgbcolor=(0,0,1)) sage: P2 = plot(lambda x:cos(2*x), 0, 2*pi, rgbcolor=(1,0,0),linestyle=":") sage: show(P1+P2) To find the area using the methods we know so far, we would need to find a function y = f (x) that gives the “height” of the leaf. Multiplying both sides of the equation r = cos(2θ) by r yields 1 r2 = r cos(2θ) = r(cos2 θ − sin2 θ) = ((r cos θ)2 − (r sin θ)2 ). r Because r2 = x2 + y 2 and x = r cos(θ) and y = r sin(θ), we have 1 x2 + y 2 = (x2 − y 2 ). x2 + y2 Solving for y is a crazy mess, and then integrating? It seems impossible! But it isn’t... if we remember the basic idea of integral calculus: integral equals area. We need the boundaries of integration to determine the area. Start at θ = −π/4 and go to θ = π/4. As a check, note that cos((−π/4) · 2) = 0 = cos((π/4) · 2). We evaluate π/4 π/4 1 · cos(2θ)2 dθ = cos(2θ)2 dθ (even function) 2 −π/4 0 π/4 1 = (1 + cos(4θ))dθ 2 0 π/4 1 1 = θ + · sin(4θ) 2 4 0 π = . 8 We used that cos2 (x) = (1 + cos(2x))/2 and sin2 (x) = (1 − sin(2x))/2, (3.7) which follow from cos(2x) = cos2 (x) − sin2 (x) = 2 cos2 (x) − 1 = 1 − 2 sin2 (x). π Therefore, by (3.6), the area is A = 8. Example 3.2.2. Find area of region inside the curve r = 3 cos(θ) and outside the cardiod curve r = 1 + cos(θ). 91
  • 98.
    3.2. AREAS INPOLAR COORDINATES Figure 3.8: Graph of r = 3 cos(x) and r = 1 + cos(θ). Figure 3.8 was plotted in Sage using these commands: sage: P1 = polar_plot(lambda x:3*cos(x), 0, 2*pi, rgbcolor=(0,0,1)) sage: P2 = polar_plot(lambda x:1+cos(x), 0, 2*pi, rgbcolor=(1,0,0),linestyle=":") sage: show(P1+P2) Solution: This is the same as before. It’s the difference of two areas. Figure out the limits, which are where the curves intersect, i.e., the θ such that 3 cos(θ) = 1 + cos(θ). Solving, 2 cos(θ) = 1, so cos(θ) = 1/2, hence θ = π/3 and θ = −π/3. Thus the area is π/3 1 A= (3 cos(θ))2 − (1 + cos(θ))2 dθ 2 −π/3 π/3 = (3 cos(θ))2 − (1 + cos(θ))2 dθ, 0 since the integrand is an even function. Now, expand this out algebraically and 92
  • 99.
    3.3. COMPLEX NUMBERS integrateterm-by-term: π/3 π/3 (3 cos(θ))2 − (1 + cos(θ))2 dθ = (8 cos2 (θ) − 2 cos(θ) − 1)dθ 0 0 π/3 1 = 8· (1 + cos(2θ)) − 2 cos(θ) − 1 dθ 0 2 π/3 = 3 + 4 cos(2θ) − 2 cos(θ)dθ 0 π/3 = 3θ + 2 sin(2θ) − 2 sin(θ) 0 3 3 =π+2· −2 −0−2·0−2·0 2 2 = π. Practice 3.2.1. The area of the shaded region in Figure 3.9. Figure 3.9: Graph of r = θ. 3.3 Complex Numbers A complex number is an expression of the form a + bi, where a and b are real numbers, and i2 = −1. We add and multiply complex numbers as follows: (a + bi) + (c + di) = (a + c) + (b + d)i (a + bi) · (c + di) = (ac − bd) + (ad + bc)i The complex conjugate of a complex number is a + bi = a − bi. 93
  • 100.
    3.3. COMPLEX NUMBERS Notethat (a + bi)(a + bi) = a2 + b2 is a real number (has no complex part). If c + di = 0, then a + bi (a + bi)(c − di) 1 = 2 + d2 = 2 ((ac + bd) + (bc − ad)i). c + di c c + d2 Example 3.3.1. (1−2i)(8−3i) = 2−19i and 1/(1+i) = (1−i)/2 = 1/2−(1/2)i. Complex numbers are incredibly useful in providing better ways to under- stand ideas in calculus, and more generally in many applications (e.g., electrical engineering, quantum mechanics, fractals, etc.). For example, • Every polynomial f (x) factors as a product of linear factors (x − α), if we allow the α’s in the factorization to be complex numbers. For example, f (x) = x2 + 1 = (x − i)(x + i). This will provide an easier to use variant of the “partial fractions” inte- gration technique, which we will see later. • Complex numbers are in correspondence with points in the plane via (x, y) ↔ x + iy. Via this correspondence we obtain a way to add and multiply points in the plane. • Similarly, points in polar coordinates correspond to complex numbers: (r, θ) ↔ r(cos(θ) + i sin(θ)). • Complex numbers provide a very nice way to remember and understand trig identities. 3.3.1 Polar Form The polar form of a complex number x + iy is r(cos(θ) + i sin(θ)) where (r, θ) are any choice of polar coordinates that represent the point (x, y) in rectangular coordinates. Recall that you can find the polar form of a point using that r= x2 + y 2 and θ = tan−1 (y/x). NOTE: Historically, the “existence” of complex numbers wasn’t generally ac- cepted until people got used to a geometric interpretation of them. Example 3.3.2. Find √ polar form of 1 + i. the Solution. We have r = 2, so √ 1 i √ 1+i= 2 √ +√ = 2 (cos(π/4) + i sin(π/4)) . 2 2 94
  • 101.
    3.3. COMPLEX NUMBERS √ Example 3.3.3. Find √ polar form of the 3 − i. Solution. We have r = 3 + 1 = 2, so √ √ 3 −1 3−i=2 +i = 2 (cos(−π/6) + i sin(−π/6)) 2 2 √ Figure 3.10: Plot of 3 − i, as a vector. This was plotted in Sage using these commands: sage: P1 = circle((0,0), 2) sage: P2 = arrow((0,0),(sqrt(3),-1)) sage: P3 = text("$sqrt{3}-i$",(2,-1)) sage: P4 = text("$-i$",(0.2,-1)) sage: P5 = text("$i$",(0.2,1)) sage: show(P1+P2+P3+P4+P5) Finding the polar form of a complex number is exactly the same problem as finding polar coordinates of a point in rectangular coordinates. The only hard part is figuring out what θ is. If we write complex numbers in rectangular form, their sum is easy to compute: (a + bi) + (c + di) = (a + c) + (b + d)i The beauty of polar coordinates is that if we write two complex numbers in polar form, then their product is very easy to compute: r1 (cos(θ1 )+i sin(θ1 ))·r2 (cos(θ2 )+i sin(θ2 )) = (r1 r2 )(cos(θ1 +θ2 )+i sin(θ1 +θ2 )). The magnitudes multiply and the angles add. The above formula is true because of the double angle identities for sin and cos: 95
  • 102.
    3.3. COMPLEX NUMBERS (cos(θ1) + i sin(θ1 )) · (cos(θ2 ) + i sin(θ2 )) = (cos(θ1 ) cos(θ2 ) − sin(θ1 ) sin(θ2 )) + i(sin(θ1 ) cos(θ2 ) + cos(θ1 ) sin(θ2 )) = cos(θ1 + θ2 ) + i sin(θ1 + θ2 )). For example, the power of a singular complex number in polar form is easy to compute; just power the r and multiply the angle. Theorem 3.3.1 (De Moivre’s). For any integer n we have (r(cos(θ) + i sin(θ)))n = rn (cos(nθ) + i sin(nθ)). Example 3.3.4. Compute (1 + i)2006 . Solution. We have √ (1 + i)2006 = ( 2 (cos(π/4) + i sin(π/4)))2006 √ 2006 = 2 (cos(2006π/4) + i sin(2006π/4))) = 21003 (cos(3π/2) + i sin(3π/2))) = −21003 i To get cos(2006π/4) = cos(3π/2) we use that 2006/4 = 501.5, so by periodicity of cosine, we have cos(2006π/4) = cos((501.5)π − 250(2π)) = cos(1.5π) = cos(3π/2). Here’s a quick summary of what we’ve just learned: Given a point (x, y) in the plane, we can also view it as x + iy or in polar form as r(cos(θ) + i sin(θ)). Polar form is great since it’s good for multiplication, powering, and for extracting roots: r1 (cos(θ1 ) + i sin(θ1 ))r2 (cos(θ2 ) + i sin(θ2 )) = (r1 r2 )(cos(θ1 + θ2 ) + i sin(θ1 + θ2 )). (If you divide, you subtract the angle.) The point is that the polar form works better with multiplication than the rectangular form. For any integer n, we have (r(cos(θ) + i sin(θ)))n = rn (cos(nθ) + i sin(nθ)). Since we know how to raise a complex number in polar form to the nth power, we can find all numbers with a given power, hence find the nth roots of a complex number. Proposition 3.3.1 (nth roots). A complex number z = r(cos(θ) + i sin(θ)) has n distinct nth roots: θ + 2πk θ + 2πk r1/n cos + i sin , n n for k = 0, 1, . . . , n − 1. Here r1/n is the real positive n-th root of r. 96
  • 103.
    3.4. COMPLEX EXPONENTIALSAND TRIGONOMETRIC IDENTITIES As a double-check, note that by De Moivre, each number listed in the propo- sition has nth power equal to z. An application of De Moivre is to computing sin(nθ) and cos(nθ) in terms of sin(θ) and cos(θ). For example, cos(3θ) + i sin(3θ) = (cos(θ) + i sin(θ))3 = (cos(θ)3 − 3 cos (θ) sin(θ)2 ) + i(3 cos(θ)2 sin(θ) − sin(θ)3 ) Equate real and imaginary parts to get formulas for cos(3θ) and sin(3θ). In the next section we will discuss going in the other direction, i.e., writing powers of sin and cos in terms of sin and cosine. Example 3.3.5. Find the cube roots of 2. Solution. Write 2 in polar form as 2 = 2(cos(0) + i sin(0)). Then the three cube roots of 2 are 21/3 (cos(2πk/3) + i sin(2πk/3)), for k = 0, 1, 2. I.e., √ √ 21/3 , 21/3 (−1/2 + i 3/2), 21/3 (−1/2 − i 3/2). 3.4 Complex Exponentials and Trigonometric Iden- tities Recall that r1 (cos(θ1 ) + i sin(θ1 ))r2 (cos(θ2 ) + i sin(θ2 )) = (r1 r2 )(cos(θ1 + θ2 ) + i sin(θ1 + θ2 )). (3.8) The angles add. You’ve seen something similar before: ea eb = aa+b . This connection between exponentiation and (3.8) gives us an idea! If z = x + iy is a complex number, define ez = ex (cos(y) + i sin(y)). We have just written polar coordinates in another form. It’s a shorthand for the polar form of a complex number: r(cos(θ) + i sin(θ)) = reiθ . 97
  • 104.
    3.4. COMPLEX EXPONENTIALSAND TRIGONOMETRIC IDENTITIES Theorem 3.4.1. If z1 , z2 are two complex numbers, then ez1 ez2 = ez1 +z2 Proof. ez1 ez2 = ea1 (cos(b1 ) + i sin(b1 )) · ea2 (cos(b2 ) + i sin(b2 )) = ea1 +a2 (cos(b1 + b2 ) + i sin(b1 + b2 )) = ez1 +z2 . Here we have just used (3.8). The following theorem is amazing, since it involves calculus. Theorem 3.4.2. If w is a complex number, then d wx e = wewx , dx for x real. In fact, this is even true for x a complex variable (but we haven’t defined differentiation for complex variables yet). Proof. Write w = a + bi. d wx d ax+bix e = e dx dx d ax = (e (cos(bx) + i sin(bx))) dx d ax = (e cos(bx) + ieax sin(bx)) dx d ax d = (e cos(bx)) + i (eax sin(bx)) dx dx Now we use the product rule to get d ax d (e cos(bx)) + i (eax sin(bx)) dx dx = aeax cos(bx) − beax sin(bx) + i(aeax sin(bx) + beax cos(bx)) = eax (a cos(bx) − b sin(bx) + i(a sin(bx) + b cos(bx)) On the other hand, wewx = (a + bi)eax+bxi = (a + bi)eax (cos(bx) + i sin(bx)) = eax (a + bi)(cos(bx) + i sin(bx)) = eax ((a cos(bx) − b sin(bx)) + i(a sin(bx)) + b cos(bx)) Wow!! We did it! 98
  • 105.
    3.4. COMPLEX EXPONENTIALSAND TRIGONOMETRIC IDENTITIES That Theorem 3.4.2 is true is pretty amazing. It’s what really gets complex analysis going. Example 3.4.1. Here’s another amusing fact (if only for its obfuscating effect): 1 = −eiπ . Solution. By definition, have eiπ = cos(π) + i sin(π) = −1 + i0 = −1. 3.4.1 Trigonometry and Complex Exponentials Amazingly, trig functions can also be expressed back in terms of the complex exponential. Then everything involving trig functions can be transformed into something involving the exponential function. This is very surprising. In order to easily obtain trig identities like cos(x)2 + sin(x)2 = 1, let’s write cos(x) and sin(x) as complex exponentials. From the definitions we have eix = cos(x) + i sin(x), so e−ix = cos(−x) + i sin(−x) = cos(x) − i sin(x). Adding these two equations and dividing by 2 yields a formula for cos(x), and subtracting and dividing by 2i gives a formula for sin(x): eix + e−ix eix − e−ix cos(x) = sin(x) = . (3.9) 2 2i We can now derive trig identities. For example, ei2x − e−i2x sin(2x) = 2i (eix − e−ix )(eix + e−ix ) = 2i eix − e−ix eix + e−ix =2 = 2 sin(x) cos(x). 2i 2 I’m unimpressed, given that you can get this much more directly using (cos(2x) + i sin(2x)) = (cos(x) + i sin(x))2 = cos2 (x) − sin2 (x) + i2 cos(x) sin(x), and equating imaginary parts. But there are more interesting examples. Next we verify that (3.9) implies that cos(x)2 + sin(x)2 = 1. We have 2 2 eix − e−ix 4(cos(x)2 + sin(x)2 ) = eix + e−ix + i = e2ix + 2 + e−2ix − (e2ix − 2 + e−2ix ) = 4. The equality just appears as a follow-your-nose algebraic calculation. 99
  • 106.
    3.4. COMPLEX EXPONENTIALSAND TRIGONOMETRIC IDENTITIES Figure 3.11: Plot of y = sin(x)3 . Example 3.4.2. Compute sin(x)3 as a sum of sines and cosines with no powers. Solution. We use (3.9): 3 3 eix − e−ix sin(x) = 2i 3 1 = (eix − e−ix )3 2i 3 1 = (eix − e−ix )(eix − e−ix )(eix − e−ix ) 2i 3 1 = (eix − e−ix )(e2ix − 2 + e−2ix ) 2i 3 1 = (e3ix − 2eix + e−ix − eix + 2e−ix − e−3ix ) 2i 3 1 = ((e3ix − e−3ix ) − 3(eix − e−ix )) 2i 1 e3ix − e−3ix eix − e−ix =− −3· 4 2i 2i 3 sin(x) − sin(3x) = . 4 You can also do this in Sage: sage: y = sin(x)^3 sage: maxima(y).trigreduce() (3*sin(x)-sin(3*x))/4 100
  • 107.
    3.5. INTEGRALS OFTRIGONOMETRIC FUNCTIONS 3.5 Integrals of Trigonometric Functions There are an overwhelming number of combinations of trigonometric functions which appear in integrals, but fortunately they fall into a few patterns and most of their integrals can be found using reduction formulas and tables of integrals. This section examines some of the patterns of these combinations and illustrates how some of their integrals can be derived. sin(ax) sin(bx) dx, cos(ax) cos(bx) dx, sin(ax) cos(bx) dx. Products of Sine and Cosine: All of these integrals are handled by referring to the trigonometric identities for sine and cosine of sums and differences: sin(A + B) = sin(A) cos(B) + cos(A) sin(B) sin(A − B) = sin(A) cos(B) − cos(A) sin(B) cos(A + B) = cos(A) cos(B) − sin(A) sin(B) cos(A − B) = cos(A) cos(B) + sin(A) sin(B). By adding or subtracting the appropriate pairs of identities, we can write the various products such as sin(ax) cos(bx) as a sum or difference of single sines or cosines. For example, by adding the first two identities we get 2 sin(A) cos(B) = sin(A + B) + sin(A − B) so sin(A) cos(B) = 2sin(A + B) + sin(A − B). Using this last identity, the integral of sin(ax) cos(bx) for a = b is relatively easy: 1 sin(ax) cos(bx) dx = [sin((a + b)x) + sin((a − b)x)] dx 2 1 − cos((a − b)x) − cos((a + b)x) = [ + ] + C. 2 a−b a+b The other integrals of products of sine and cosine follow in a similar manner. For a = b: 1 sin((a − b)x) sin((a + b)x) sin(ax) sin(bx) dx = [ − ] + C, 2 a−b a+b 1 sin((a − b)x) sin((a + b)x) cos(ax) cos(bx) dx = [ + ] + C, 2 a−b a+b 1 cos((a − b)x) cos((a + b)x) sin(ax) cos(bx) dx = − [ + ] + C. 2 a−b a+b This is confirmed by Sage: 101
  • 108.
    3.5. INTEGRALS OFTRIGONOMETRIC FUNCTIONS sage: a,b = var("a,b") sage: integral(sin(a*x)*cos(b*x),x) -((b - a)*cos((b + a)*x) + (-b - a)*cos((b - a)*x))/(2*b^2 - 2*a^2) sage: integral(sin(a*x)*sin(b*x),x) -((b - a)*sin((b + a)*x) + (-b - a)*sin((b - a)*x))/(2*b^2 - 2*a^2) sage: integral(cos(a*x)*cos(b*x),x) ((b - a)*sin((b + a)*x) + (b + a)*sin((b - a)*x))/(2*b^2 - 2*a^2) For a = b: x sin(ax) cos(ax) sin(ax)2 dx = − + C, 2 2a x sin(ax) cos(ax) cos(ax)2 dx = + + C, 2 2a sin(ax)2 sin(ax) cos(ax) dx = + C. 2a The first and second of these integral formulas follow from the identities sin(ax)2 = 1−cos(2ax) 2 and cos(ax)2 = 1+cos(2ax) , and the third can be derived by a substi- 2 tution using the variable to u = sin(ax). These formulas too are confirmed by Sage: sage: a = var("a") sage: integral(cos(a*x)^2,x) (sin(2*a*x) + 2*a*x)/(4*a) sage: integral(sin(a*x)^2,x) -(sin(2*a*x) - 2*a*x)/(4*a) sage: integral(sin(a*x)*cos(a*x),x) -cos(a*x)^2/(2*a) 2 Remark 3.5.1. Note that Sage tells us that sin(ax) cos(ax) dx = − cos(ax) + 2a 2 C but the table tells us that sin(ax) cos(ax) dx = sin(ax) + C. Aside from the 2a ambiguity in the notation “+C”, these are the same since sin(ax)2 = − cos(ax)+ 1. In other words, if you keep in mind that “+C” in one equation is not the same as “+C” in another, these formulas are the same. 102
  • 109.
    3.5. INTEGRALS OFTRIGONOMETRIC FUNCTIONS Example 3.5.1. Compute sin3 (x)dx. We use trig. identities and compute the integral directly as follows: sin3 (x)dx = sin2 (x) sin(x)dx = [1 − cos2 (x)] sin(x)dx 1 = − cos(x) + cos3 (x) + c (substitution u = cos(x)) 3 This idea always works for odd powers of sin(x). Example 3.5.2. What about even powers?! Compute sin4 (x)dx. We have sin4 (x) = [sin2 (x)]2 2 1 − cos(2x) = 2 1 = · 1 − 2 cos(2x) + cos2 (2x) 4 1 1 1 = 1 − 2 cos(2x) + + cos(4x) 4 2 2 Thus 3 1 1 sin4 (x)dx = − cos(2x) + cos(4x) dx 8 2 8 3 1 1 = x − sin(2x) + sin(4x) + c. 8 4 32 Key Trick: Realize that we should write sin4 (x) as (sin2 (x))2 . The rest is straightforward. Patterns for sin(x)m cos(x)n dx: If the exponent of sine is odd, we can split off one factor sin(x) and use the trig identity sin(x)2 = 1 − cos(x)2 to rewrite the remaining even power of sine in terms of cosine. Then the change of variable u = cos(x) makes all of the integrals straightforward. If the exponent of cosine is odd, we can split off one factor cos(x) and use the trig identity cos(x)2 = 1 − sin(x)2 to rewrite the remaining even power of sine in terms of cosine. Then the change of variable u = sin(x) makes all of the integrals straightforward. If both exponents are even, we can use the identities sin(x)2 = 1−cos(2x) and 2 cos(x)2 = 1+cos(2x) to rewrite the integral in terms of powers of cos(2x) and 2 then proceed with integrating even powers of cosine. Example 3.5.3. This example illustrates a method for computing integrals of trig functions that doesn’t require knowing any trig identities at all or any tricks. It is very tedious though. We compute sin3 (x)dx using complex exponentials. We have 103
  • 110.
    3.5. INTEGRALS OFTRIGONOMETRIC FUNCTIONS eix + e−ix eix − e−ix cos(x) = sin(x) = . 2 2i hence 3 eix − e−ix sin3 (x)dx = dx 2i 1 =− (eix − e−ix )3 dx 8i 1 =− (eix − e−ix )(eix − e−ix )(eix − e−ix )dx 8i 1 =− (e2ix − 2 + e−2ix )(eix − e−ix )dx 8i 1 =− e3ix − eix − 2eix + 2e−ix + e−ix − e−3ix dx 8i 1 =− e3ix − e−3ix + 3e−ix − 3eix dx 8i 1 e3ix e−3ix 3e−ix 3eix =− − + − +c 8i 3i −3i −i i 1 1 = cos(3x) − 3 cos(x) + c 4 3 1 3 = cos(3x) − cos(x) + C. 12 4 The answer looks totally different, but is in fact the same function. Example 3.5.4. The complex exponentials method used in the previous example also works for powers of different trig functions. For instance, eix − e−ix 3 eix + e−ix 2 sin3 (x) cos2 (x) dx = ( ) )( ) ) dx 2i 2 = −ie5ix /32 + ie3ix /32 + ieix /16 − ie−ix /16 − ie−3ix /32 + ie−5ix /32 = −e5ix /160 + e3ix /96 + eix /16 + e−ix /16 + e−3ix /96 − e−5ix /160 + C = (−e5ix /160 − e−5ix /160) + (e3ix /96 + e−3ix /96) + (eix /16 + e−ix /16) + C = − cos(5x)/80 + cos(3x)/32 + cos(x)/8 + C. Here are some more identities that we’ll use in illustrating some tricks below. d tan(x) = sec2 (x) (3.10) dx and 104
  • 111.
    3.5. INTEGRALS OFTRIGONOMETRIC FUNCTIONS d sec(x) = sec(x) tan(x). (3.11) dx Also, 1 + tan2 (x) = sec2 (x). (3.12) Example 3.5.5. Compute tan3 (x)dx. We have tan3 (x)dx = tan(x) tan2 (x)dx = tan(x) sec2 (x) − 1 dx = tan(x) sec2 (x)dx − tan(x)dx 1 = tan2 (x) − ln | sec(x)| + c 2 Here we used the substitution u = tan(x), so du = sec2 (x)dx, so 1 2 1 tan(x) sec2 (x)dx = udu = u + c = tan2 (x) + c. 2 2 Also, with the substitution u = cos(x) and du = − sin(x)dx we get sin(x) 1 tan(x)dx = dx = − du = − ln |u| + c = − ln | sec(x)| + c. cos(x) u Key trick: Write tan3 (x) as tan(x) tan2 (x). Example 3.5.6. Here’s one that combines trig identities with the funnest vari- ant of integration by parts. Compute sec3 (x)dx. We have sec3 (x)dx = sec(x) sec2 (x)dx. Let’s use integration by parts. u = sec(x) v = tan(x) du = sec(x) tan(x)dx dv = sec2 (x)dx 105
  • 112.
    3.5. INTEGRALS OFTRIGONOMETRIC FUNCTIONS The above integral becomes sec(x) sec2 (x)dx = sec(x) tan(x) − sec(x) tan2 (x)dx = sec(x) tan(x) − sec(x)[sec2 (x) − 1]dx = sec(x) tan(x) − sec3 (x) + sec(x)dx = sec(x) tan(x) − sec3 (x) + ln | sec(x) + tan(x)| This is familiar. Solve for sec3 (x). We get 1 sec3 (x)dx = sec(x) tan(x) + ln | sec(x) + tan(x)| + c 2 3.5.1 Some Remarks on Using Complex-Valued Functions Consider functions of the form f (x) + ig(x), (3.13) where x is a real variable and f, g are real-valued functions. For example, eix = cos(x) + i sin(x). We observed before that d wx e = wewx dx hence 1 wx ewx dx = e + c. w For example, writing it eix as in (3.13), we have eix dx = cos(x)dx + i sin(x)dx = sin(x) − i cos(x) + c = −i(cos(x) + i sin(x)) + c 1 = eix . i 1 Example 3.5.7. Let’s compute dx. Wouldn’t it be nice if we could just x+i write ln(x + i) + c? This is useless for us though, since we haven’t even defined ln(x + i)! However, we can “rationalize the denominator” by writing 106
  • 113.
    3.5. INTEGRALS OFTRIGONOMETRIC FUNCTIONS 1 1 x−i dx = · dx x+i x+i x−i x−i = dx x2 + 1 x 1 = 2+1 dx − i 2+1 dx x x 1 = ln |x2 + 1| − i tan−1 (x) + c. 2 This informs how we would define ln(z) for z complex (which you’ll do if you take a course in complex analysis). Key trick: Get the i in the numerator. The next example illustrates an alternative to the method of Section 3.5. Example 3.5.8. ei5x − e−i5x ei5x + e−i5x sin(5x) cos(3x)dx = · dx 2i 2 1 = ei8x − e−i8x + ei2x − e−i2x dx + c 4i 1 ei8x e−i8x ei2x e−i2x = + + + +c 4i 8i 8i 2i 2i 1 1 =− cos(8x) + cos(2x) + c 4 4 This is more tedious than the method in 3.5. But it is completely straightfor- ward. You don’t need any trig formulas or anything else. You just multiply it out, integrate, etc., and remember that i2 = −1. 107
  • 114.
    3.5. INTEGRALS OFTRIGONOMETRIC FUNCTIONS 108
  • 115.
    Chapter 4 Integration techniques 4.1 Trigonometric Substitutions The first homework problem is to compute 2 1 √ √ dx. (4.1) 2 x3 x2 − 1 Your first idea might be to do some sort of substitution, e.g., u = x2 − 1, but du = 2xdx is nowhere to be seen and this simply doesn’t work. Likewise, integration by parts gets us nowhere. However, a technique called “inverse trig substitutions” and a trig identity easily dispenses with the above integral and several similar ones! Here’s the crucial table: Expression √ Inverse Substitution Relevant Trig Identity 2 √a − x 2 x = a sin(θ), − π ≤ θ ≤ π 2 2 1 − sin2 (θ) = cos2 (θ) √a 2 + x2 x = a tan(θ), − π < θ < π 2 2 1 + tan2 (θ) = sec2 (θ) x2 − a2 x = a sec(θ), 0 ≤ θ < π or π ≤ θ < 2 3π 2 sec2 (θ) − 1 = tan2 (θ) Inverse substitution works as follows. If we write x = g(t), then f (x)dx = f (g(t))g ′ (t)dt. This is not the same as substitution. You can just apply inverse substitution to any integral directly—usually you get something even worse, but for the integrals in this section using a substitution can vastly improve the situation. If g is a 1−1 function, then you can even use inverse substitution for a definite integral. The limits of integration are obtained as follows. b g −1 (b) f (x)dx = f (g(t))g ′ (t)dt. (4.2) a g −1 (a) 109
  • 116.
    4.1. TRIGONOMETRIC SUBSTITUTIONS Tohelp you understand this, note that as t varies from g −1 (a) to g −1 (b), the function g(t) varies from a = g(g −1 (a) to b = g(g −1 (b)), so f is being integrated over exactly the same values. Note also that (4.2) once again illustrates Leibniz’s brilliance in designing the notation for calculus. Let’s give it a shot with (4.1). From the table we use the inverse substitution x = sec(θ). We get π 2 1 3 1 √ √ dx = sec2 (θ) − 1 sec(θ) tan(θ)dθ 2 x3 x2 − 1 π 4 sec(θ) π 3 1 = tan(θ) sec(θ) tan(θ)dθ π 4 sec(θ) π 3 = cos( θ)dθ π 4 π 1 3 = 1 + cos(2θ)dθ 2 π 4 π 1 1 3 = θ + sin(2θ) 2 2 π 4 √ π 3 1 = + − 24 8 4 Wow! That was like magic. This is really an amazing technique. Let’s use it again to find the area of an ellipse. Example 4.1.1. Consider an ellipse with radii a and b, so it goes through (0, ±b) and (±a, 0). An equation for the part of an ellipse in the first quadrant is x2 b y =b 1− 2 = a2 − x2 . a a Thus the area of the entire ellipse is a b A=4 a2 − x2 dx. 0 a The 4 is because the integral computes 1/4th of the area of the whole ellipse. So we need to compute a a2 − x2 dx 0 Obvious substitution with u = a2 − x2 ...? nope. Integration by parts...? nope. 110
  • 117.
    4.1. TRIGONOMETRIC SUBSTITUTIONS Let’s try inverse substitution. The table above suggests using x = a sin(θ), so dx = a cos(θ)dθ. We get π π 2 2 2 2 a2 − a2 sin (θ)dθ = a cos2 (θ)dθ (4.3) 0 0 π a2 2 = 1 + cos(2θ)dθ (4.4) 2 0 π a2 1 2 = θ + sin(2θ) (4.5) 2 2 0 a2 π πa2 = · = . (4.6) 2 2 4 Thus the area is b πa2 4 = πab. a 4 Consistency Check: If the ellipse is a circle, i.e., a = b = r, this is πr2 , which is a well-known formula for the area of a circle. Remark 4.1.1. Trigonometric substitution is useful for functions that involve √ √ √ a2 − x2 , x2 + a2 , x2 − a, but not all at once!. See the above table for how to do each. One other important technique is to use completing the square. √ Example 4.1.2. Compute 5 + 4x − x2 dx. We complete the square: 5 + 4x − x2 = 5 − (x − 2)2 + 4 = 9 − (x − 2)2 . Thus 5 + 4x − x2 dx = 9 − (x − 2)2 dx. We do a usual substitution to get rid of the x − 2. Let u = x − 2, so du = dx. Then 9 − (x − 2)2 dx = 9 − y 2 dy. Now we have an integral that we can do; it’s almost identical to the previous example, but with a = 9 (and this is an indefinite integral). Let y = 3 sin(θ), so 111
  • 118.
    4.1. TRIGONOMETRIC SUBSTITUTIONS dy= 3 cos(θ)dθ. Then 9 − (x − 2)2 dx = 9 − y 2 dy = 32 − 32 sin2 (θ)3 cos(θ)dθ =9 cos2 (θ) dθ 9 = 1 + cos(2θ)dθ 2 9 1 = θ+ sin(2θ) + C 2 2 Of course, we must transform back into a function in x, and that’s a little tricky. Use that x − 2 = y = 3 sin(θ), so that x−2 θ = sin−1 . 3 9 − (x − 2)2 dx = · · · 9 1 = θ + sin(2θ) + C 2 2 9 x−2 = sin−1 + sin(θ) cos(θ) + C 2 3 9 x−2 x−2 9 − (x − 2)2 = sin−1 + · + C. 2 3 3 3 Here we use that sin(2θ) = 2 sin(θ) cos(θ). Also, to compute cos(sin−1 x−2 ), 3 we draw a right triangle with side lengths x − 2 and 9 − (x − 2)2 , and hy- potenuse 3. Example 4.1.3. Compute 1 √ dt t2 − 6t + 13 To compute this, we complete the square, etc. 1 1 √ dt = dt t2 − 6t + 13 (t − 3)2 + 4 112
  • 119.
    4.2. INTEGRATION BY PARTS (You may want to visualize a triangle with sides 2 and t − 3 and hypotenuse (t − 3)2 + 4.) Then t − 3 = 2 tan(θ) 2 (t − 3)2 + 4 = 2 sec(θ) = cos(θ) dt = 2 sec2 (θ)dθ Back to the integral, we have 1 2 sec2 (θ) dt = dθ (t − 3)2 + 4 2 sec(θ) = sec(θ)dθ = ln | sec(θ) + tan(θ)| + C t−3 = ln (t − 3)2 + 42 + + C. 2 4.2 Integration by Parts The product rule is that d [f (x)g(x)] = f (x)g ′ (x) + f ′ (x)g(x). dx Integrating both sides leads to a new fundamental technique for integration: f (x)g(x) = f (x)g ′ (x)dx + g(x)f ′ (x)dx. (4.7) Now rewrite (4.7) as f (x)g ′ (x)dx = f (x)g(x) − g(x)f ′ (x)dx. Shorthand notation: u = f (x) du = f ′ (x)dx v = g(x) dv = g ′ (x)dx Then have udv = uv − vdu. So what! But what’s the big deal? Integration by parts is a fundamental technique of integration. It is also a key step in the proof of many theorems in calculus. 113
  • 120.
    4.2. INTEGRATION BY PARTS Example 4.2.1. x cos(x)dx. u=x v = sin(x) du = dx dv = cos(x)dx We get x cos(x)dx = x sin(x) − sin(x)dx = x sin(x) + cos(x) + c. “Did this do anything for us?” Indeed, it did. Wait a minute—how did we know to pick u = x and v = sin(x)? We could have picked them other way around and still written down true statements. Let’s try that: 1 2 u = cos(x) v= x 2 du = − sin(x)dx dv = xdx 1 1 2 x cos(x)dx = x cos(x) + x sin(x)dx. 2 2 Did this help!? NO. Integrating x2 sin(x) is harder than integrating x cos(x). This formula is completely correct, but is hampered by being useless in this case. So how do you pick them? Choose the u so that when you differentiate it you get something sim- pler; when you pick dv, try to choose something whose antiderivative is simpler. Sometimes you have to try more than once. But with a good eraser nobody will know that it took you two tries. Question If integration by parts once is good, then sometimes twice is even better? Yes, in some examples (see Example 4.2.4). But in the above example, you just undo what you did and basically end up where you started, or you get something even worse. 1 2 Example 4.2.2. Compute sin−1 (x)dx. Two points: 0 1. It’s a definite integral. 2. There is only one function; would you think to do integration by parts? But it is a product; it just doesn’t look like it at first glance. Your choice is made for you, since we’d be back where we started if we put dv = sin−1 (x)dx. u = sin−1 (x) v=x 1 du = √ dv = dx 1 − x2 114
  • 121.
    4.2. INTEGRATION BY PARTS We get 1 1 2 −1 −1 1 2 x sin (x)dx = x sin (x) 0 2 − √ dx. 0 0 1 − x2 Now we use substitution with w = 1 − x , dw = −2xdx, hence xdx = − 1 dw. 2 2 1 2 x 1 1 1 √ dx = − w− 2 dw = −w 2 + c = − 1 − x2 + c. 0 1−x2 2 Hence 1 1 √ 2 −1 −1 1 2 π 3 sin (x)dx = x sin (x) 2 0 + 1− x2 = + −1 0 0 12 2 But shouldn’t we change the limits because we did a substitution? (No, since we computed the indefinite integral and put it back; this time we did the other option.) Is there another way to do this? I don’t know. But for any integral, there might be several different techniques. If you can think of any other way to guess an antiderivative, do it; you can always differentiate as a check. Note: Integration by parts is tailored toward doing indefinite integrals. Example 4.2.3. This example illustrates how to use integration by parts twice. We compute x2 e−2x dx 1 u = x2 v = − e−2x 2 −2x du = 2xdx dv = e dx We have 1 x2 e−2x dx = − x2 e−2x + xe−2x dx. 2 Did this help? It helped, but it did not finish the integral off. However, we can deal with the remaining integral, again using integration by parts. If you do it twice, you what to keep going in the same direction. Do not switch your choice, or you’ll undo what you just did. 1 u=x v = − e−2x 2 du = dx dv = e−2x dx 1 1 1 1 xe−2x dx = − xe−2x + e−2x dx = − xe−2x − e−2x + c. 2 2 2 4 Now putting this above, we have 1 1 1 1 x2 e−2x dx = − x2 e−2x − xe−2x − e−2x + c = − e−2x (2x2 + 2x + 1) + c. 2 2 4 4 115
  • 122.
    4.2. INTEGRATION BY PARTS Do you think you might have to do integration by parts three times? What if it were x3 e−2x dx? Grrr – you’d have to do it three times. Example 4.2.4. Compute ex cos(x)dx. Which should be u and which should be v? Taking the derivatives of each type of function does not change the type. As a practical matter, it doesn’t matter. Which would you prefer to find the antiderivative of ? (Both choices work, as long as you keep going in the same direction when you do the second step.) u = cos(x) v = ex du = − sin(x)dx dv = ex dx We get ex cos(x)dx = ex cos(x) + ex sin(x)dx. We have to do it again. This time we choose (going in the same direction): u = sin(x) v = ex du = cos(x)dx dv = ex dx We get ex cos(x)dx = ex cos(x) + ex sin(x) − ex cos(x)dx. Did we get anywhere? Yes! No! First impression: all this work, and we’re back where we started from! Yuck. Clearly we don’t want to integrate by parts yet again. BUT. Notice the minus sign in front of ex cos(x)dx; You can add the integral to both sides and get 2 ex cos(dx) = ex cos(x) + ex sin(x) + c. Hence 1 x ex cos(dx) = e (cos(x) + sin(x)) + c. 2 4.2.1 More General Uses of Integration By Parts The Integration By Parts Formula is also used to derive many of the entries in the Table of Integrals. For some integrands such as xn ln(x), the result is simply a function, an antiderivative of the integrand. For some integrands such as sin(x)n , the result is a reduction formula, a formula which still contains an integral, but the new integrand is the sine function raised to a smaller power, sin(x)n−2 . By repeatedly applying the reduction formula, we can evaluate the integral of sine raised to any positive integer power. Practice 4.2.1. Let n = −1 be an integer. Evaluate xn ln(x) dx using u = ln(x) and dv = xn dx. Practice 4.2.2. Let n = −1 be an integer. Apply integration by parts to xn ex dx using u = xn and dv = ex dx. 116
  • 123.
    4.3. FACTORING POLYNOMIALS 4.3 Factoring Polynomials How do you compute something like x2 + 2 dx? (x − 1)(x + 2)(x + 3) So far you have no method for doing this. The trick (which is called partial fraction decomposition), is to write x2 + 2 1 2 11 dx = − + dx (4.8) x3 + 4x2 + x − 6 4(x − 1) x + 2 4(x + 3) The integral on the right is then easy to do (the answer involves ln’s). But how on earth do you right the rational function on the left hand side as a sum of the nice terms of the right hand side? Doing this is called “partial fraction decomposition”, and it is a fundamental idea in mathematics. It relies on our ability to factor polynomials and solve linear equations. As a first hint, notice that x3 + 4x2 + x − 6 = (x − 1) · (x + 2) · (x + 3), so the denominators in the decomposition correspond to the factors of the de- nominator. Before describing the secret behind (4.8), we’ll discuss some background about how polynomials and rational functions work. Theorem 4.3.1 (Fundamental Theorem of Algebra). If f (x) = an xn +· · · a1 x+ a0 is a polynomial, then there are complex numbers c, α1 , . . . αn such that f (x) = c(x − α1 )(x − α2 ) · · · (x − αn ). Example 4.3.1. For example, 1 3x2 + 2x − 1 = 3 · x − · (x + 1). 3 And (x2 + 1) = (x + i)2 · (x − i)2 . If f (x) is a polynomial, the roots α of f correspond to the factors of f . Thus if f (x) = c(x − α1 )(x − α2 ) · · · (x − αn ), then f (αi ) = 0 for each i (and nowhere else). Definition 4.3.1 (Multiplicity of Zero). The multiplicity of a zero α of f (x) is the number of times that (x − α) appears as a factor of f . For example, if f (x) = 7(x − 2)99 · (x + 17)5 · (x − π)2 , then 2 is a zero with multiplicity 99, π is a zero with multiplicity 2, and −1 is a “zero multiplicity 0”. 117
  • 124.
    4.4. PARTIAL FRACTIONS Definition4.3.2 (Rational Function). A rational function is a quotient g(x) f (x) = , h(x) where g(x) and h(x) are polynomials. For example, x10 f (x) = (4.9) (x − i)2 (x + π)(x − 3)3 is a rational function. Definition 4.3.3 (Pole). A pole of a rational function f (x) is a complex number α such that |f (x)| is unbounded as x → α. For example, for (4.9) the poles are at i, π, and 3. They have multiplicity 2, 1, and 3, respectively. 4.4 Partial Fractions Rational functions (polynomials divided by polynomials) and their integrals are important in mathematics and applications, but if you look through a table of integral formulas, you will find very few formulas for their integrals. Partly that is because the general formulas are rather complicated and have many special cases, and partly it is because they can all be reduced to just a few cases using the algebraic technique discussed in this section, Partial Fraction Decomposition. In algebra you learned to add rational functions to get a single rational function. Partial Fraction Decomposition is a technique for reversing that procedure to “decompose” a single rational function into a sum of simpler rational functions. Then the integral of the single rational function can be evaluated as the sum of the integrals of the simpler functions. 17x35 7 3 Example 4.4.1. Use the algebraic decomposition 2x2 −5x = x + 2x−5 to evaluate 17x35 2x2 −5x dx. Solution: The decomposition allows us to exchange the original integral for two much easier ones: 17x35 7 3 dx = dx + dx 2x2 − 5x x 2x − 5 3 = 7 ln |x| + ln |2x − 5| + C. 2 When Sage computes this integral, it implicitly assumes that x > 0: sage: integral((17*x-35)/(2*x^2-5*x),x) 3*log(2*x - 5)/2 + 7*log(x) 118
  • 125.
    4.4. PARTIAL FRACTIONS Notethat Sage also leaves off the constant of integration, but this is more of an abbreviation than a matter of precision. 7x−11 4 1 Practice 4.4.1. Use the algebraic decomposition 3x2 −8x−3 = 3x+1 + x−3 to evaluate 3x7x−11 dx. 2 −8x−3 The Example illustrates how to use a “decomposed” fraction with integrals, but it does not show how to achieve the decomposition. The algebraic basis for the Partial Fraction Decomposition technique is that every polynomial can be factored into a product of linear factors ax + b and irreducible quadratic factors ax2 + bx + c (with b2 − 4ac < 0). These factors may not be easy to find, and they will typically be more complicated than the examples in this section, but every polynomial has such factors. Before we apply the Partial Fraction Decomposition technique, the fraction must have the following form. (a) (the degree of the numerator) < (degree of the denominator); (b) the denominator has been factored into a product of linear factors and irreducible quadratic factors. If assumption (a) is not true, we can use polynomial division until we get a remainder which has a smaller degree than the denominator. If assumption (b) is not true, we simply cannot use the Partial Fraction Decomposition technique. Distinct Linear Factors If the denominator can be factored into a product of distinct linear factors, then the original fraction can be written as the sum of fractions of the form number linear factor . Our job is to find the values of the numbers in the numerators, and that typically requires solving a system of equations. 17x35 Example 4.4.2. Find constants A and B such that (2x−5)x = A + 2x−5 . x B Solution: First, note the roots of the denominator are {0, 5/2}. Cross multiply: 17x35 = A(2x − 5) + Bx. Now “kill B and solve for A using the first root x = 0: −35 = 17 · 035 = A(2 · 0 − 5) + B · 0 = −5A. This gives A = 7. Next, “kill A and solve for B using the second root x = 5/2: 17 · 5/235 = A(2 · 5/2 − 5) + B5/2 = 5B/2. 17x35 7 3 This gives B = 3, so 2x2 −5x = x + 2x−5 . In Sage this is very easy: sage: f = (17*x-35)/(2*x^2-5*x) sage: f.partial_fraction() 3/(2*x - 5) + 7/x 119
  • 126.
    4.4. PARTIAL FRACTIONS 6x−7 A B Practice 4.4.2. Find values of A and B so (x+3)(x−2) = x+3 + x−2 . In general, there is one unknown coefficient for each distinct linear factor of the denominator. However, if the number of distinct linear factors is large, we would need to solve a large system of equations for the unknowns. 2x2 +7x+9 Practice 4.4.3. Using partial fractions, solve x(x+1)(x+3) . Other possible cases are listed as follows. (Of course, a rational function can involve more than one case as well.) • Distinct Irreducible Quadratic Factors If the factored denominator includes a distinct irreducible quadratic fac- tor, then the Partial Fraction Decomposition sum contains a fraction of the form of a linear polynomial with unknown coefficients divided by the irreducible quadratic factor: ax + b . cx2 + dx + e • Repeated Factors If the factored denominator contains a linear factor raised to a power (greater than one), then we need to start the decomposition with several terms. There should be one term with one unknown coefficient for each power of the linear factor. For example, ax + b . (cx + d)s Here is the general procedure: Partial fraction decomposition of N (x)/D(x): Let N (x) be a polynomial of lower degree than another polynomial D(x). 1. Factor D(x) into irreducible factors having real coefficients. Now D(x) is a product of distinct terms of the form (ax + b)r or (ax2 + bx + c)s , for some integers r > 0, s > 0. For each term (ax + b)r the partial fraction decomposition of N (x)/D(x) contains a sum of terms of the form A1 Ar + ··· + (ax + b) (ax + b)r for some constants Ai , and for each term (ax2 + bx + c)r the PFD of N (x)/D(x) contains a sum of terms of the form B1 x + C1 Bs x + Cs + ··· + . (ax2 + bx + c) (ax2 + bx + c)s N (x) for some constants Bi , Cj . D(x) is the sum of all these simpler rational functions. 120
  • 127.
    4.4. PARTIAL FRACTIONS 2. Now you have an expression for N (x) which is a sum of simpler rational D(x) functions. The next step is to solve for these constants A’s, B’s, C’s occurring in the numerators. Cross multiply both sides by D(x) and expand out the resulting polynomial identity for N (x) in terms of the A’s, B’s, C’s. Equating coefficients of powers of x on both sides gives rise to a linear system of equations for the A’s, B’s, C’s which you can solve. Practice 4.4.4. Logistic Growth: The growth rate of many different populations depends not only on the number of individuals (leading to exponential growth) but also on a “carrying capacity” of the environment. If x is the population at time t and the growth rate of x is proportional to the product of the population and the carrying capacity M minus the population, then the growth rate is described by the differential equation dx = kx(M − x), dt where k and M are constants for a given species in a given environment. Let k = 1 and M = 100, and assume the initial population is x(0) = 5. dx (a) Solve the differential equation dt = kx(M − x), for x. (b) Graph the population x(t) for 0 ≤ t ≤ 20. (c) When will the population be 20? 50? 90? 100? (d) What is the population after a “long” time? (Find the limit, as t becomes arbitrarily large, of x.) (e) Explain the shape of the graph in (a) in terms of a population of bacteria. (f ) When is the growth rate largest? (Maximize dx/dt.) (g) What is the population when the growth rate is largest? Practice 4.4.5. Chemical Reaction: In some chemical reactions, a new ma- terial X is formed from materials A and B, and the rate at which X forms is proportional to the product of the amount of A and the amount of B remaining in the solution. Let x represent the amount of material X present at time t, and assume that the reaction begins with a grams of A, b grams of B, and no mate- rial X (x(0) = 0). Then the rate of formation of material X can be described by the differential equation dx = k(a − x)(b − x). dt Solve the differential equation for x if k = 1 and the reaction begins with (i) 7 grams of A and 5 grams of B, and (ii) 6 grams of A and 6 grams of B. 121
  • 128.
    4.5. INTEGRATION OFRATIONAL FUNCTIONS USING PARTIAL FRACTIONS 4.5 Integration of Rational Functions Using Par- tial Fractions Our goal today is to compute integrals of the form P (x) dx Q(x) P (x) by decomposing f = Q(x) . This is called partial fraction expansion. Theorem 4.5.1 (Fundamental Theorem of Algebra over the Real Numbers). A real polynomial of degree n ≥ 1 can be factored as a constant times a product of linear factors x − a and irreducible quadratic factors x2 + bx + c. Note that x2 + bx + c = (x − α)(x − α), where α = z + iw, α = z − iw are ¯ ¯ complex conjugates. P (x) Types of rational functions f (x) = Q(x) . To do a partial fraction expansion, first make sure deg(P (x)) < deg(Q(x)) using long division. Then there are four possible situation, each of increasing generality (and difficulty): 1. Q(x) is a product of distinct linear factors; 2. Q(x) is a product of linear factors, some of which are repeated; 3. Q(x) is a product of distinct irreducible quadratic factors, along with linear factors some of which may be repeated; and, 4. Q(x) is has repeated irreducible quadratic factors, along with possibly some linear factors which may be repeated. The general partial fraction expansion theorem is beyond the scope of this course. However, you might find the following special case and its proof inter- esting. Theorem 4.5.2. Suppose p, q1 and q2 are polynomials that are relatively prime (have no factor in common). Then there exists polynomials α1 and α2 such that p α1 α2 = + . q1 q2 q1 q2 Proof. Since q1 and q2 are relatively prime, using the Euclidean algorithm (long division), we can find polynomials s1 and s2 such that 1 = s1 q1 + s2 q2 . Dividing both sides by q1 q2 and multiplying by p yields p α1 α2 = + , q1 q2 q1 q2 which completes the proof. 122
  • 129.
    4.5. INTEGRATION OFRATIONAL FUNCTIONS USING PARTIAL FRACTIONS Example 4.5.1. Compute x3 − 4x − 10 dx. x2 − x − 6 First do long division. Get quotient of x + 1 and remainder of 3x − 4. This means that x3 − 4x − 10 3x − 4 =x+1+ 2 . x2 − x − 6 x −x−6 Since we have distinct linear factors, we know that we can write 3x − 4 A B f (x) = = + , x2 − x − 6 x−3 x+2 for real numbers A, B. A clever way to find A, B is to substitute appropriate values in, as follows. We have 3x − 4 x−3 f (x)(x − 3) = =A+B· . x+2 x+2 Setting x = 3 on both sides we have (taking a limit): 3·3−4 5 A = f (3) = = = 1. 3+2 5 Likewise, we have 3 · (−2) − 4 B = f (−2) = = 2. −2 − 3 Thus x3 − 4x − 10 1 2 dx = x+1+ + x2 − x − 6 x−3 x+2 x2 + 2x = + 2 log |x + 2| + log |x − 3| + C. 2 2 x Example 4.5.2. Compute the partial fraction expansion of (x−3)(x+2)2 . By the partial fraction theorem, there are constants A, B, C such that x2 A B C 2 = + + . (x − 3)(x + 2) x − 3 x + 2 (x + 2)2 Note that there’s no possible way this could work without the (x+2)2 term, since otherwise the common denominator would be (x − 3)(x + 2). We have x2 9 A = [f (x)(x − 3)]x=3 = | 2 x=3 = , (x + 2) 25 4 C = f (x)(x + 2)2 x=−2 = − . 5 123
  • 130.
    4.5. INTEGRATION OFRATIONAL FUNCTIONS USING PARTIAL FRACTIONS This method will not get us B! For example, x2 x+2 C f (x)(x + 2) = =A· +B+ . (x − 3)(x + 2) x−3 x+2 While true this is useless. Instead, we use that we know A and C, and evaluate at another value of x, say 0. 9 B −4 f (0) = 0 = 25 + + 52 , −3 2 (2) 16 so B = 25 . Thus finally, 9 16 4 x2 25 25 −5 = + + . (x − 3)(x + 2)2 x−3 x+2 (x + 2)2 4 9 16 = ln |x − 3| + ln |x + 2| + 5 + constant. 25 25 x+2 1 Example 4.5.3. Let’s compute x3 +1 dx. Notice that x + 1 is a factor, since −1 is a root. We have x3 + 1 = (x + 1) x2 − x + 1 . There exist constants A, B, C such that 1 A Bx + C = + . x3 + 1 x + 1 x2 − x + 1 Then 1 A = f (x)(x + 1)|x=−1 = . 3 You could find B, C by factoring the quadratic over the complex numbers and getting complex number answers. Instead, we evaluate x at a couple of values. For example, at x = 0 we get 1 C f (0) = 1 = + , 3 1 2 so C = 3 . Next, use x = 1 to get B. 1 2 1 3 B(1) + 3 f (1) = = + 13 + 1 (1) + 1 (1)2 − (1) + 1 1 1 2 = +B+ , 2 6 3 so 3 1 4 1 B= − − =− . 6 6 6 3 124
  • 131.
    4.5. INTEGRATION OFRATIONAL FUNCTIONS USING PARTIAL FRACTIONS Finally, 1 1 2 1 3 3x 3 dx = − + dx x3 +1 x+1 −x−1 x2 −x−1 x2 1 1 x−2 = ln |x + 1| − dx 3 3 x2 − x + 1 It remains to compute x−2 dx. x2 −x+1 First, complete the square to get 2 1 3 x2 − x + 1 = x− + . 2 4 1 1 Let u = (x − 2 ), so du = dx and x = u + 2 . Then u− 32 udu 3 1 du = 3 − 2 2 du u2 + 3 u2 +4 √ 3 4 u2 + 2 1 3 3 2 2u = ln u2 + − · √ tan−1 √ +c 2 4 2 3 3 1 √ 2x − 1 = ln x2 − x + 1 − 3 tan−1 √ +c 2 3 Finally, we put it all together and get 1 1 1 x−2 dx = ln |x + 1| − dx x3 +1 3 3 x2−x+1 √ 1 1 2 3 2x − 1 = ln |x + 1| − ln x − x + 1 + tan−1 √ +c 3 6 3 3 Problem: Compute cos2 (x)e−3x dx using complex exponentials. The answer is 1 1 3 − e−3x + e−3x sin(2x) − e−3x cos(2x) + c. 6 13 26 Here’s how to get it. e2ix + 2 + e−2ix −3x cos2 (x)e−3x dx = e dx 4 1 e(2i−3)x 2 e(−2i−3)x = − e−3x + +c 4 2i − 3 3 −2i − 3 1 e−3x e2ix e−2ix = − e−3x + − +c 6 4 2i − 3 2i + 3 125
  • 132.
    4.6. IMPROPER INTEGRALS Simplifythe inside part requires some imagination: e2ix e−2ix 1 − = (−2ie2ix − 3e2ix + 2ie−2ix − 3e−2ix ) 2i − 3 2i + 3 13 1 = (4 sin(2x) − 6 cos(2x)) 13 4.6 Improper Integrals ∞ −x Example 4.6.1. Make sense of 0 e dx. The integrals t e−x dx 0 make sense for each real number t. So consider t lim e−x dx = lim [−e−x ]t = 1. 0 t→∞ 0 t→∞ Geometrically the area under the whole curve is the limit of the areas for finite values of t. 1 Example 4.6.2. Consider √ 1 dx. 0 1−x2 Problem: The denominator of the integrand tends to 0 as x approaches the upper endpoint. Define 1 t 1 1 √ dx = lim √ dx 0 1 − x2 t→1− 0 1 − x2 π = lim sin−1 (t) − sin−1 (0) = sin−1 (1) = t→1− 2 Here t → 1− means the limit as t tends to 1 from the left. Example 4.6.3. There can be multiple points at which the integral is improper. For example, consider ∞ 1 dx. −∞ 1 + x2 A crucial point is that we take the limit for the left and right endpoints inde- pendently. We use the point 0 (for convenience only!) to break the integral in 126
  • 133.
    4.6. IMPROPER INTEGRALS half. ∞ 0 ∞ 1 1 1 dx = dx + dx −∞ 1 + x2 −∞ 1 + x2 0 1 + x2 0 t 1 1 = lim 2 dx + lim dx s→−∞ s 1 + x t→∞ 0 1 + x2 = lim (tan−1 (0) − tan−1 (s)) + lim (tan−1 (t) − tan−1 (0)) s→−∞ t→∞ −1 −1 = lim (− tan (s)) + lim (tan (t)) s→−∞ t→∞ −π π =− + = π. 2 2 ∞ Example 4.6.4. Consider −∞ xdx. Notice that ∞ 0 t xdx = lim xdx + lim xdx. −∞ s→−∞ s t→∞ 0 This diverges since each factor diverges independently. But notice that t lim xdx = 0. t→∞ −t ∞ This is not what −∞ xdx means (in this course – in a later course it could be interpreted this way)! This illustrates the importance of treating each bad point separately (since Example 4.6.3) doesn’t. 1 1 Example 4.6.5. Consider √ dx. −1 3 x We have 1 s 1 1 1 1 √ dx = lim x− 3 dx + lim x− 3 dx −1 3 x s→0− −1 + t→0 t 3 2 3 3 3 2 = lim s3 − + lim − t3 = 0. s→0 − 2 2 t→0+ 2 2 This illustrates how to be careful and break the function up into two pieces when there is a discontinuity. 3 1 Example 4.6.6. Compute −1 x−2 dx. A few weeks ago you might have done this: 3 1 dx = [ln |x − 2|]3 = ln(3) − ln(1) −1 (totally wrong!) −1 x−2 This is not valid because the function we are integrating has a pole at x = 2. The integral is improper, and is only defined if both the following limits exists: t 3 1 1 lim dx and lim dx. t→2− −1 x−2 t→2+ t x−2 127
  • 134.
    4.6. IMPROPER INTEGRALS However,the limits diverge, e.g., 3 1 lim dx = lim (ln |1| − ln |t − 2|) = − lim ln |t − 2| = −∞. t→2+ t x−2 t→2+ t→2+ 3 1 Thus −1 x−2 dx is divergent. 4.6.1 Convergence, Divergence, and Comparison In this section we discuss using comparison to determine if an improper integrals converges or diverges. Recall that if f and g are continuous functions on an interval [a, b] and g(x) ≤ f (x), then b b g(x)dx ≤ f (x)dx. a a This observation can be incredibly useful in determining whether or not an improper integral converges. Not only does this technique help in determining whether integrals converge, but it also gives you some information about their values, which is often much easier to obtain than computing the exact integral. Theorem 4.6.1 (Comparison Theorem (special case)). Let f and g be contin- uous functions with 0 ≤ g(x) ≤ f (x) for x ≥ a. ∞ ∞ 1. If a f (x)dx converges, then a g(x)dx converges. ∞ ∞ 2. If a g(x)dx diverges then a f (x)dx diverges. Proof. Since g(x) ≥ 0 for all x, the function t G(t) = g(x)dx a ∞ is a non-decreasing function. If a f (x)dx converges to some value B, then for any t ≥ a we have t t G(t) = g(x)dx ≤ f (x)dx ≤ B. a a Thus in this case G(t) is a non-decreasing function bounded above, hence the limit limt→∞ G(t) exists. This proves the first statement. Likewise, the function t F (t) = f (x)dx a ∞ is also a non-decreasing function. If a g(x)dx diverges then the function G(t) defined above is still non-decreasing and limt→∞ G(t) does not exist, so G(t) is not bounded. Since g(x) ≤ f (x) we have G(t) ≤ F (t) for all ≥ a, hence F (t) is also unbounded, which proves the second statement. 128
  • 135.
    4.6. IMPROPER INTEGRALS The theorem is very intuitive if you think about areas under a graph. “If the bigger integral converges then so does the smaller one, and if the smaller one diverges so does the bigger ones.” 2 Example 4.6.7. Does 0 cos (x) dx converge? Answer: YES. ∞ 1+x2 Since 0 ≤ cos2 (x) ≤ 1, we really do have cos2 (x) 1 0≤ 2 ≤ . 1+x 1 + x2 Thus ∞ 1 π dx = lim tan−1 (t) = , 0 1 + x2 t→∞ 2 ∞ cos2 (x) so 0 1+x2 dx converges. 1 But why did we use 1+x2 ? It’s a guess that turned out to work. You could c have used something else, e.g., x2 for some constant c. This is an illustration of how in mathematics sometimes you have to use your imagination or guess and see what happens. Don’t get anxious—instead, relax, take a deep breath and explore. For example, alternatively we could have done the following: ∞ cos2 (x) ∞ 1 dx ≤ dx = 1, 1 1 + x2 1 x2 2 1 cos (x) cos2 (x) and this works just as well, since 0 1+x2 dx converges (as 1+x2 is continu- ous). 1 ∞ Example 4.6.8. Consider 0 x+e−2x dx. Does it converge or diverge? For −2x large values of x, the term e very quickly goes to 0, so we expect this to ∞ 1 diverge, since 1 x dx diverges. For x ≥ 0, we have e−2x ≤ 1, so for all x we have 1 1 ≥ (verify by cross multiplying). x + e−2x x+1 But ∞ 1 dx = lim [ln(x + 1)]t = ∞ 1 1 x+1 t→∞ ∞ 1 Thus 0 x+e−2x dx must also diverge. Note that there is a natural analogue of Theorem 4.6.1 for integrals of functions that “blow up” at a point, but we will not state it formally. Example 4.6.9. Consider 1 1 e−x e−x √ dx = lim √ dx. 0 x t→0+ t x We have e−x 1 √ ≤√ . x x 129
  • 136.
    4.6. IMPROPER INTEGRALS (Comingup with this comparison might take some work, imagination, and trial and error.) We have 1 1 √ √ e−x 1 √ dx ≤ √ dx = lim 2 1 − 2 t = 2. 0 x 0 x t→0 + 1 thus 0 e x dx converges, even though we haven’t figured out its value. We just −x √ know that it is ≤ 2. (In fact, it is 1.493648265 . . ..) What if we found a function that is bigger than e x and its integral diverges?? −x √ So what! This does nothing for you. Bzzzt. Try again. Example 4.6.10. Consider the integral 1 e−x dx. 0 x This is an improper integral since f (x) = e x has a pole at x = 0. Does it −x converge? NO. On the interval [0, 1] we have e−x ≥ e−1 . Thus 1 1 e−x e−1 lim dx ≥ lim dx t→0+ t x t→0+ t x 1 1 = e−1 · lim dx t x t→0+ = e−1 · lim ln(1) − ln(t) = +∞ t→0+ 1 e−x Thus 0 x dx diverges. 130
  • 137.
    Chapter 5 Sequences andSeries Our main goal in this chapter is to gain a working knowledge of power series and Taylor series of function with just enough discussion of the details of convergence to get by. 5.1 Sequences What is 1 lim ? n→∞ 2n You may have encountered sequences long ago in earlier courses and they seemed very difficult. You know much more mathematics now, so they will probably seem easier. On the other hand, we’re going to go very quickly. A sequence is an ordered list of numbers. These numbers may be real, complex, etc., etc., but in this book we will focus entirely on sequences of real numbers. For example, 1 1 1 1 1 1 1 1 , , , , , , ,..., n,... 2 4 8 16 32 64 128 2 Since the sequence is ordered, we can view it as a function with domain the natural numbers = 1, 2, 3, . . .. Definition 5.1.1 (Sequence). A sequence {an } is a function a : N → R that takes a natural number n to an = a(n). The number an is the nth term. For example, 1 a(n) = an = , 2n which we write as { 21 }. Here’s another example: n ∞ ∞ n 1 2 3 (bn )n=1 = = , , ,... n+1 n=1 2 3 4 131
  • 138.
    5.2. SERIES ∞ Example 5.1.1. The Fibonacci sequence (Fn )n=1 is defined recursively as fol- lows: F1 = 1, F2 = 1, Fn = Fn−2 + Fn−1 for n ≥ 3. 1 ∞ 1 Let’s return to the sequence 2n n=1 . We write limn→∞ 2n = 0, since the terms get arbitrarily small. ∞ Definition 5.1.2 (Limit of sequence). If (an )n=1 is a sequence then that se- quence converges to L, written limn→∞ an = L, if an gets arbitrarily close to L as n get sufficiently large. Secret rigorous definition: For every ε > 0 there exists B such that for n ≥ B we have |an − L| < ε. This is exactly like what we did in the previous course when we considered limits of functions. If f (x) is a function, the meaning of limx→∞ f (x) = L is essentially the same. In fact, we have the following fact. ∞ Proposition 5.1.1. If f is a function with limx→∞ f (x) = L and (an )n=1 is the sequence given by an = f (n), then limn→∞ an = L. As a corollary, note that this implies that all the facts about limits that you know from functions also apply to sequences! Example 5.1.2. n x lim = lim =1 n→∞ n + 1 x→∞ x + 1 Example 5.1.3. The converse of Proposition 5.1.1 is false in general, i.e., knowing the limit of the sequence converges doesn’t imply that the limit of the function converges. We have limn→∞ cos(2πn) = 1, but limx→∞ cos(2πx) di- verges. The converse is OK if the limit involving the function converges. n3 + n + 5 1 Example 5.1.4. Compute lim . Answer: 17 . n→∞ 17n3 − 2006n + 15 5.2 Series What is 1 1 1 1 1 + + + + + . . .? 2 4 8 16 32 What is 1 1 1 1 1 + + + + + . . .? 3 9 27 81 243 What is 1 1 1 1 1 + + + + + . . .? 1 4 9 16 25 Consider the following sequence of partial sums: N 1 1 1 1 aN = = + + ··· + N . n=1 2n 2 4 2 132
  • 139.
    5.2. SERIES Can wecompute ∞ 1 ? n=1 2n These partial sums look as follows: 1 3 1023 1048575 a1 = , a2 = , a10 = , a20 = 2 4 1024 1048576 ∞ 1 It looks very likely that = 1, if it makes any sense. But does it? n=1 2n In a moment we will define ∞ N 1 1 n = lim = lim aN . n=1 2 N →∞ n=1 2n N →∞ 2N −1 ∞ 1 A little later we will show that aN = 2N , hence indeed n=1 2n = 1. ∞ Definition 5.2.1 (Sum of series). If (an )n=1 is a sequence, then the sum of the series is ∞ N an = lim an = lim sN N →∞ N →∞ n=1 n=1 ∞ provided the limit exists. Otherwise we say that n=1 an diverges. ∞ Example 5.2.1 (Geometric series). Consider the geometric series n=1 arn−1 for a = 0. Then N a(1 − rN ) sN = arn−1 = . n=1 1−r To see this, multiply both sides by 1 − r and notice that all the terms in the N middle cancel out. For what values of r does limN →∞ a(1−r ) converge? If 1−r |r| < 1, then limN →∞ rN = 0 and a(1 − rN ) a lim = . N →∞ 1−r 1−r ∞ If |r| > 1, then limN →∞ rN diverges, so n=1 ar n−1 diverges. If r = ±1, it’s clear since a = 0 that the series also diverges (since the partial sums are sN = ±N a). 1 For example, if a = 1 and r = 2 , we get ∞ 1 arn−1 = 1, n=1 1− 2 as claimed earlier. 133
  • 140.
    5.3. THE INTEGRALAND COMPARISON TESTS 5.3 The Integral and Comparison Tests ∞ 1 ∞ 1 What is n=1 n2 ? What is n=1 n ? Recall that Section 5.2 began by asking for the sum of several series. We found the first two sums (which were geometric series) by finding an exact formula for the sum sN of the first N terms. The third series was ∞ 1 1 1 1 1 1 A= = + + + + + .... (5.1) n=1 n2 1 4 9 16 25 It is difficult to find a nice formula for the sum of the first n terms of this series (i.e., I don’t know how to do it). Remark 5.3.1. Since I’m a number theorist, I can’t help but make some further remarks about sums of the form (5.1). In general, for any s > 1 one can consider the sum ∞ 1 ζ(s) = . n=1 ns The number A that we are interested in above is thus ζ(2). The function ζ(s) is called the Riemann zeta function. There is a natural (but complicated) way of extending ζ(s) to a (differentiable) function on all complex numbers with a pole at s = 1. The Riemann Hypothesis asserts that if s is a complex number and ζ(s) = 0 then either s is an even negative integer or s = 1 + bi for some real 2 number b. This is probably the most famous unsolved problems in mathematics (e.g., it’s one of the Clay Math Institute million dollar prize problems). Another famous open problem is to show that ζ(3) is not a root of any polynomial with integer coefficients (it is a theorem of Ape´ry that zeta(3) is not a fraction). e The function ζ(s) is incredibly important in mathematics because it governs the properties of prime numbers. The Euler product representation of ζ(s) gives a hint as to why this is the case: ∞ 1 1 ζ(s) = = . n=1 ns primes p 1 − p−s To see that this product equality holds when s is real with Re(s) > 1, use Exam- ple 5.2.1 with r = p−s and a = 1 above. We have 1 = 1 + p−s + p−2s + · · · . 1 − p−s 134
  • 141.
    5.3. THE INTEGRALAND COMPARISON TESTS Thus 1 1 1 = 1+ + 2s + · · · primes p 1 − p−s primes p ps p 1 1 1 1 = 1+ + 2s + · · · · 1 + s + 2s + · · · ··· 2s 2 3 3 1 1 1 = 1 + s + s + s + ··· 2 3 4 ∞ 1 = , n=1 ns where the last line uses the distributive law and that integers factor uniquely as a product of primes. of |ζ(s)| for complex s. This section is how to leverage what you’ve learned so far in this book to say something about sums that are hard (or even “impossibly difficult”) to evaluate exactly. For example, notice (by considering a graph of a step function) that if f (x) = 1/x2 , then for positive integer t we have t t 1 1 1 2 ≤ 2+ dx. n=1 n 1 1 x2 Thus ∞ ∞ 1 1 1 2 ≤ 2+ dx n=1 n 1 1 x2 t 1 = 1 + lim dx t→∞ 1 x2 t 1 = 1 + lim − t→∞ x 1 1 1 = 1 + lim − + =2 t→∞ t 1 ∞ We conclude that n=1 converges, since the sequence of partial sums is getting bigger and bigger and is always ≤ 2. And of course we also know something ∞ 1 ∞ 1 about n=1 n2 even though we do not know the exact value: n=1 n2 ≤ 2. Using a computer we find that 135
  • 142.
    5.3. THE INTEGRALAND COMPARISON TESTS t 1 t n=1 n2 1 1 5 2 4 = 1.25 5269 5 3600 = 1.46361 1968329 10 1270080 = 1.54976773117 100 1.63498390018 1000 1.64393456668 10000 1.64483407185 100000 1.6449240669 ∞ 1 The table is consistent with the fact that n=1 n2 converges to a number ≤ 2. ∞ In fact Euler was the first to compute n=1 exactly; he found that the exact value is π2 = 1.644934066848226436472415166646025189218949901206798437735557 . . . 6 There are many proofs of this fact, but they don’t belong in this book; you can find them on the internet, and are likely to see one if you take more math classes. We next consider the harmonic series ∞ 1 . (5.2) n=1 n Does it converge? Again by inspecting a graph and viewing an infinite sum as the area under a step function, we have ∞ ∞ 1 1 ≥ dx n=1 n 1 x t = lim [ln(x)]1 t→∞ = lim ln(t) − 0 = +∞. t→∞ Thus the infinite sum (5.2) must also diverge. We formalize the above two examples as a general test for convergence or divergence of an infinite sum. Theorem 5.3.1 (Integral Test and Bound). Suppose f (x) is a continuous, pos- itive, decreasing function on [1, ∞) and let an = f (n) for integers n ≥ 1. Then ∞ ∞ the series n=1 an converges if and only if the integral 1 f (x)dx converges. More generally, for any positive integer k, ∞ ∞ ∞ f (x)dx ≤ an ≤ ak + f (x)dx. (5.3) k n=k k 136
  • 143.
    5.3. THE INTEGRALAND COMPARISON TESTS The proposition means that you can determine convergence of an infinite series by determining convergence of a corresponding integral. Thus you can apply the powerful tools you know already for integrals to understanding infinite sums. Also, you can use integration along with computation of the first few terms of a series to approximate a series very precisely. Remark 5.3.2. Sometimes the first few terms of a series are “funny” or the series doesn’t even start at n = 1, e.g., ∞ 1 . n=4 (n − 3)3 In this case use (5.3) with any specific k > 1. Proposition 5.3.1 (Comparison Test). Suppose an and bn are two series with positive terms. If bn converges and an ≤ bn for all n. then an converges. Likewise, if bn diverges and an ≥ bn for all n. then an must also diverge. ∞ 1 Example 5.3.1. Does √ n=1 n converge? No. We have ∞ 1 ∞ 1 √ √ √ ≥ √ dx = lim (2 t − 2 1) = +∞ n=1 n 1 x t→∞ Example 5.3.2. Does n=1 n21 converge? Let’s apply the comparison test: ∞ +1 we have n21 < n2 for every n, so +1 1 ∞ ∞ 1 1 < . n=1 n2 + 1 n=1 n2 Alternatively, we can use the integral test, which also gives as a bonus an upper and lower bound on the sum. Let f (x) = 1/(1 + x2 ). We have ∞ t 1 1 dx = lim dx 1 1 + x2 t→∞ 1 1 + x2 π π π π = lim tan−1 (t) − = − = t→∞ 4 2 4 4 Thus the sum converges. Moreover, taking k = 1 in Theorem 5.3.1 we have ∞ π 1 1 π ≤ ≤ + . 4 n=1 n2 + 1 2 4 1 the actual sum is 1.07 . . ., which is much different than n2 = 1.64 . . .. We could prove the following proposition using methods similar to those illus- trated in the examples above. ∞ 1 Proposition 5.3.2. The series n=1 np is convergent if p > 1 and divergent if p ≤ 1. 137
  • 144.
    5.3. THE INTEGRALAND COMPARISON TESTS 5.3.1 Estimating the Sum of a Series Suppose an is a convergent sequence of positive integers. Let ∞ m ∞ Rm = an − an = am n=1 n=1 n=m+1 which is the error if you approximate an using the first n terms. From Theorem 5.3.1 we get the following. Proposition 5.3.3 (Remainder Bound). Suppose f is a continuous, positive, decreasing function on [m, ∞) and an is convergent. Then ∞ ∞ f (x)dx ≤ Rm ≤ f (x)dx. m+1 m Proof. In Theorem 5.3.1 set k = m + 1. That gives ∞ ∞ ∞ f (x)dx ≤ an ≤ am+1 + f (x)dx. m+1 n=m+1 m+1 But ∞ ∞ am+1 + f (x)dx ≤ f (x)dx m+1 m since f is decreasing and f (m + 1) = am+1 . ∞ 1 Example 5.3.3. Estimate ζ(3) = n=1 n3 using the first 10 terms of the series. We have 10 19164113947 = = 1.197531985674193 . . . n=1 16003008000 The proposition above with m = 10 tells us that ∞ 10 ∞ 1 1 1 1 0.00413223140495867 . . . = dx ≤ ζ(3)− ≤ dx = = = 0.005. 11 x3 n=1 10 x3 2 · 102 200 In fact, ζ(3) = 1.202056903159594285399738161511449990 . . . and we have 10 ζ(3) − = 0.0045249174854010 . . . , n=1 so the integral error bound was really good in this case. ∞ 2006 Example 5.3.4. Determine if n=1 117n2 +41n+3 converges or diverges. An- swer: It converges, since 2006 2006 2006 1 ≤ = · , 117n2 + 41n + 3 117n2 117 n2 1 and n2 converges. 138
  • 145.
    5.4. TESTS FORCONVERGENCE 5.4 Tests for Convergence 5.4.1 The Comparison Test Theorem 5.4.1 (The Comparison Test). Suppose an and bn are series with all an and bn positive and an ≤ bn for each n. 1. If bn converges, then so does an . 2. If an diverges, then so does bn . Proof Sketch. The condition of the theorem implies that for any k, k k an ≤ bn , n=1 n=1 from which each claim follows. ∞ 7 Example 5.4.1. Consider the series n=1 3n2 +2n . For each n we have 7 7 1 ≤ · 2. 3n2 + 2n 3 n ∞ 1 ∞ 7 Since n=1 n2 converges, Theorem 5.4.1 implies that n=1 3n2 +2n also con- verges. ∞ ln(n) Example 5.4.2. Consider the series n=1 n . It diverges since for each n ≥ 3 we have ln(n) 1 ≥ , n n ∞ 1 and n=3 n diverges. 5.4.2 Absolute and Conditional Convergence ∞ Definition 5.4.1 (Converges Absolutely). We say that n=1 an converges ab- ∞ solutely if n=1 |an | converges. For example, ∞ 1 (−1)n n=1 n converges, but does not converge absolutely (it converges “conditionally”, though we will not explain why in this book). 139
  • 146.
    5.4. TESTS FORCONVERGENCE 5.4.3 The Ratio Test ∞ Recall that n=1 an is a geometric series if and only if an = arn−1 for some fixed a and r. Here we call r the common ratio. Notice that the ratio of any two successive terms is r: an+1 arn = n−1 = r. an ar ∞ a Moreover, we have n=1 arn−1 converges (to 1−r ) if and only if |r| < 1 (and, of course it diverges if |r| ≥ 1). ∞ 2 n−1 3 Example 5.4.3. For example, n=1 3 3 converges to 2 1− 3 = 9. However, ∞ 3 n−1 n=1 3 2 diverges. ∞ Theorem 5.4.2 (Ratio Test). Consider a sum n=1 an . Then an+1 ∞ 1. If limn→∞ an = L < 1 then n=1 an is absolutely convergent. an+1 ∞ 2. If limn→∞ an = L > 1 then n=1 an diverges. an+1 3. If limn→∞ an = L = 1 then we may conclude nothing from this! an+1 Proof. We will only prove 1. Assume that we have limn→∞ an = L < 1. Let r = L+1 , and notice that L < r < 1 (since 0 ≤ L < 1, so 1 ≤ L + 1 < 2, so 2 1/2 ≤ r < 1, and also r − L = (L + 1)/2 − L = (1 − L)/2 > 0). Since limn→∞ aan = L, there is an N such that for all n > N we have n+1 an+1 < r, so |an+1 | < |an | · r. an Then we have ∞ ∞ |an | < |aN +1 | · rn . n=N +1 n=0 Here the common ratio for the second one is r < 1, hence thus the right-hand series converges, so the left-hand series converges. ∞ (−10)n Example 5.4.4. Consider . The ratio of successive terms is n=1 n! (−10)n+1 (n + 1)! 10n+1 n! 10 n = · n = → 0 < 1. (−10) (n + 1)n! 10 n+1 n! Thus this series converges absolutely. Note, the minus sign is missing above since in the ratio test we take the limit of the absolute values. 140
  • 147.
    5.4. TESTS FORCONVERGENCE ∞ nn Example 5.4.5. Consider . We have n=1 31+3n (n + 1)n+1 n 3 · (27)n+1 (n + 1)(n + 1)n 27n n+1 n+1 n = · n = · → +∞ n 27 · 27n n 27 n 31+3n n+1 n Thus our series diverges. (Note here that we use that n → e.) ∞ 1 Example 5.4.6. Let’s apply the ratio test to n=1 n . We have 1 lim n + 1 = 1 · n = n → 1. n→∞ 1 n+1 1 n+1 n This tells us nothing. If this happens... do something else! E.g., in this case, use the integral test. 5.4.4 The Root Test Since e and ln are inverses, we have x = eln(x) . This implies the very useful fact that a xa = eln(x ) = ea ln(x) . As a sample application, notice that for any nonzero c, 1 1 lim c n = lim e n log(c) = e0 = 1. n→∞ n→∞ Similarly, 1 1 lim n n = lim e n log(n) = e0 = 1, n→∞ n→∞ where we’ve used that limn→∞ log(n) n = 0, which we could prove using L’Hopital’s rule. ∞ Theorem 5.4.3 (Root Test). Consider the sum n=1 an . 1 ∞ 1. If limn→∞ |an | n = L < 1, then n=1 an converges absolutely. 1 ∞ 2. If limn→∞ |an | n = L > 1, then n=1 an diverges. 3. If L = 1, then we may conclude nothing from this! 1 Proof. We apply the comparison test (Theorem 5.4.1). First suppose limn→∞ |an | n = 1 L < 1. Then there is a N such that for n ≥ N we have |an | n < k < 1. Thus ∞ n for such n we have |an | < k < 1. The geometric series i=N k i converges, so ∞ 1 i=N |an | also does, by Theorem 5.4.1. If |an | n > 1 for n ≥ N , then we see ∞ ∞ that i=N |an | diverges by comparing with i=N 1. 141
  • 148.
    5.4. TESTS FORCONVERGENCE Example 5.4.7. Let’s apply the root test to ∞ ∞ a arn−1 = rn . n=1 r n=1 We have 1 lim |rn | n = |r|. n→∞ Thus the root test tells us exactly what we already know about convergence of the geometry series (except when |r| = 1). n ∞ n2 +1 Example 5.4.8. The sum n=1 2n2 +1 is a candidate for the root test. We have 1 n 1 n2 + 1 n n2 + 1 1+ n2 1 lim = lim = lim 1 = . n→∞ 2n2 + 1 n→∞ 2n2 + 1 n→∞ 2 + n2 2 Thus the series converges. n ∞ 2n2 +1 Example 5.4.9. The sum n=1 n2 +1 is a candidate for the root test. We have 1 n 1 2n2 + 1 n 2n2 + 1 2+ n2 lim = lim = lim 1 = 2, n→∞ n2 + 1 n→∞ n2 + 1 n→∞ 1 + n2 hence the series diverges! ∞ 1 Example 5.4.10. Consider n=1 n . We have 1 1 n lim = 1, n→∞ n so we conclude nothing! ∞ nn Example 5.4.11. Consider n=1 3·(27n ) . To apply the root test, we compute 1 1 nn n 1 n n lim = lim · = +∞. n→∞ 3 · (27n ) n→∞ 3 27 Again, the limit diverges, as in Example 5.4.5. 142
  • 149.
    5.5. POWER SERIES 5.5 Power Series Recall that a polynomial is a function of the form f (x) = c0 + c1 x + c2 x2 + · · · + ck xk . Polynomials are easy!!! They are easy to integrate, differentiate, etc.: k k d cn xn = ncn xn−1 dx n=0 n=1 k k xn+1 cn xn dx = C + cn . n=0 n=0 n+1 Definition 5.5.1 (Power Series). A power series is a series of the form ∞ f (x) = cn xn = c0 + c1 x + c2 x2 + · · · , n=0 where x is a variable and the cn are coefficients. A power series is a function of x for those x for which it converges. Example 5.5.1. Consider ∞ f (x) = xn = 1 + x + x2 + · · · . n=0 When |x| < 1, i.e., −1 < x < 1, we have 1 f (x) = . 1−x But what good could this possibly be? Why is writing the simple function 1 ∞ 1−xas the complicated series n=0 xn of any value? 1. Power series are relatively easy to work with. They are “almost” polyno- mials. E.g., ∞ ∞ ∞ d xn = nxn−1 = 1 + 2x + 3x2 + · · · = (m + 1)xm , dx n=0 n=1 m=0 where in the last step we “re-indexed” the series. Power series are only “almost” polynomials, since they don’t stop; they can go on forever. More precisely, a power series is a limit of polynomials. But in many cases we can treat them like a polynomial. On the other hand, notice that ∞ d 1 1 = = (m + 1)xm . dx 1−x (1 − x)2 m=0 143
  • 150.
    5.5. POWER SERIES 2. For many functions, a power series is the best explicit representation avail- able. Example 5.5.2. Consider J0 (x), the Bessel function of order 0. It arises as a solution to the differential equation x2 y ′′ + xy ′ + x2 y = 0, and has the following power series expansion: ∞ (−1)n x2n J0 (x) = n=1 22n (n!)2 1 1 1 6 1 1 = 1 − x2 + x4 − x + x8 − x10 + · · · . 4 64 2304 147456 14745600 This series is nice since it converges for all x (one can prove this using the ratio test). It is also one of the most explicit forms of J0 (x). 5.5.1 Shift the Origin It is often useful to shift the origin of a power series, i.e., consider a power series expanded about a different point. Definition 5.5.2. The series ∞ cn (x − a)n = c0 + c1 (x − a) + c2 (x − a)2 + · · · n=0 is called a power series centered at x = a, or “a power series about x = a”. Example 5.5.3. Consider ∞ (x − 3)n = 1 + (x − 3) + (x − 3)2 + · · · n=0 1 = equality valid when |x − 3| < 1 1 − (x − 3) 1 = 4−x Here conceptually we are treating 3 like we treated 0 before. Power series can be written in different ways, which have different advantages and disadvantages. For example, 1 1 1 = · 4−x 4 1 − x/4 ∞ n 1 x = · converges for all |x| < 4. 4 n=0 4 Notice that the second series converges for |x| < 4, whereas the first converges only for |x − 3| < 1, which isn’t nearly as good. 144
  • 151.
    5.5. POWER SERIES 5.5.2 Convergence of Power Series ∞ n Theorem 5.5.1. Given a power series n=0 cn (x−a) , there are exactly three possibilities: 1. The series converges only when x = a. 2. The series converges for all x. ∞ 3. There is an R > 0 (called the “radius of convergence”) such that n=0 cn (x− a)n converges for |x − a| < R and diverges for |x − a| > R. ∞ Example 5.5.4. For the power series n=0 xn , the radius R of convergence is 1. Definition 5.5.3 (Radius of Convergence). As mentioned in the theorem, R is called the radius of convergence. If the series converges only at x = a, we say R = 0, and if the series converges everywhere we say that R = ∞. The interval of convergence is the set of x for which the series converges. It will be one of the following: (a − R, a + R), [a − R, a + R), (a − R, a + R], [a − R, a + R] The point being that the statement of the theorem only asserts something about convergence of the series on the open interval (a − R, a + R). What happens at the endpoints of the interval is not specified by the theorem; you can only figure it out by looking explicitly at a given series. ∞ Theorem 5.5.2. If n=0 cn (x − a)n has radius of convergence R > 0, then ∞ f (x) = n=0 cn (x − a)n is differentiable on (a − R, a + R), and ∞ 1. f ′ (x) = n · cn (x − a)n−1 n=1 ∞ cn 2. f (x)dx = C + (x − a)n+1 , n=0 n+1 and both the derivative and integral have the same radius of convergence as f . Example 5.5.5. Find a power series representation for f (x) = tan−1 (x). No- tice that ∞ 1 1 f ′ (x) = = = (−1)n x2n , 1 + x2 1 − (−x2 ) n=0 which has radius of convergence R = 1, since the above series is valid when | − x2 | < 1, i.e., |x| < 1. Next integrating, we find that ∞ x2n+1 f (x) = c + (−1)n , n=0 2n + 1 145
  • 152.
    5.6. TAYLOR SERIES forsome constant c. To find the constant, compute c = f (0) = tan−1 (0) = 0. We conclude that ∞ x2n+1 −1 tan (x) = (−1)n . n=0 2n + 1 2 Example 5.5.6. We will see later that the function f (x) = e−x has power series 2 1 1 e−x = 1 − x2 + x4 − x6 + · · · . 2 6 Hence 2 1 1 1 e−x dx = c + x − x3 + x5 − x7 + · · · . 3 10 42 2 This despite the fact that the antiderivative of e−x is not an elementary func- tion. 5.6 Taylor Series Example 5.6.1. Suppose we have a degree-3 (cubic) polynomial p and we know that p(0) = 4, p′ (0) = 3, p′′ (0) = 4, and p′′′ (0) = 6. Can we determine p? Answer: Yes! We have p(x) = a + bx + cx2 + dx3 p′ (x) = b + 2cx + 3dx2 p′′ (x) = 2c + 6dx p′′′ (x) = 6d From what we mentioned above, we have: a = p(0) = 4 b = p′ (0) = 3 p′′ (0) c= =2 2 ′′′ p (0) d= =1 6 Thus p(x) = 4 + 3x + 2x2 + x3 . Amazingly, we can use the idea of Example 5.6.1 to compute power series expansions of functions. E.g., we will show below that ∞ xn ex = . n=0 n! 146
  • 153.
    5.6. TAYLOR SERIES Convergentseries are determined by the values of their derivatives. Consider a general power series ∞ f (x) = cn (x − a)n = c0 + c1 (x − a) + c2 (x − a)2 + · · · n=0 We have c0 = f (a) c1 = f ′ (a) f ′′ (a) c2 = 2 ··· f (n) (a) cn = , n! where for the last equality we use that f (n) (x) = n!cn + (x − a)(· · · + · · · ) Remark 5.6.1. The definition of 0! is 1 (it’s the empty product). The empty sum is 0 and the empty product is 1. Theorem 5.6.1 (Taylor Series). If f (x) is a function that equals a power series centered about a, then that power series expansion is ∞ f (n) (a) f (x) = (x − a)n n=0 n! f ′′ (a) = f (a) + f ′ (a)(x − a) + (x − a)2 + · · · 2 Remark 5.6.2. WARNING: There are functions that have all derivatives de- 2 fined, but do not equal their Taylor expansion. E.g., f (x) = e−1/x for x = 0 and f (0) = 0. It’s Taylor expansion is the 0 series (which converges everywhere), but it is not the 0 function. Definition 5.6.1 (Maclaurin Series). A Maclaurin series is just a Taylor series with a = 0. I will not use the term “Maclaurin series” ever again (it’s common in textbooks). Example 5.6.2. Find the Taylor series for f (x) = ex about a = 0. We have f (n) (x) = ex . Thus f (n) (0) = 1 for all n. Hence ∞ x 1 n x2 x3 e = x =1+x+ + + ··· n=0 n! 2 6 147
  • 154.
    5.6. TAYLOR SERIES Whatis the radius of convergence? Use the ratio test: 1 n+1 (n+1)! x n! lim 1 n = lim |x| n→∞ (n + 1)! n! x n→∞ |x| = lim = 0, for any fixed x. n→∞ n+1 Thus the radius of convergence is ∞. π 1 Example 5.6.3. Find the Taylor series of f (x) = sin(x) about x = 2. We have f (n) π ∞ 2 π n f (x) = x− . n=0 n! 2 To do this we have to puzzle out a pattern: f (x) = sin(x) f ′ (x) = cos(x) f ′′ (x) = − sin(x) f ′′′ (x) = − cos(x) f (4) (x) = sin(x) First notice how the signs behave. For n = 2m even, f (n) (x) = f (2m) (x) = (−1)n/2 sin(x) and for n = 2m + 1 odd, f (n) (x) = f (2m+1) (x) = (−1)m cos(x) = (−1)(n−1)/2 cos(x) For n = 2m even we have π f (n) (π/2) = f (2m) = (−1)m . 2 and for n = 2m + 1 odd we have π f (n) (π/2) = f (2m+1) = (−1)m cos(π/2) = 0. 2 Finally, ∞ f (n) (π/2) sin(x) = (x − π/2)n n=0 n! ∞ (−1)m π 2m = x− . m=0 (2m)! 2 1 Evidently this expansion was first found in India by Madhava of Sangamagrama (1350- 1425). 148
  • 155.
    5.6. TAYLOR SERIES Nextwe use the ratio test to compute the radius of convergence. We have (−1)m+1 π 2(m+1) x− 2 (2(m + 1))! 2 (2m)! π lim = lim x− m→∞ (−1)m π 2m m→∞ (2m + 2)! 2 x− (2m)! 2 2 x− π2 = lim m→∞ (2m + 2)(2m + 1) which converges for each x. Hence R = ∞. Example 5.6.4. Find the Taylor series for cos(x) about a = 0. We have cos(x) = sin x + π . Thus from Example 5.6.3 (with infinite radius of conver- 2 gence) and that the Taylor expansion is unique, we have π cos(x) = sin x + 2 ∞ (−1)n π π 2n = x+ − n=0 (2n)! 2 2 ∞ (−1)n 2n = x n=0 (2n)! 149
  • 156.
    5.7. APPLICATIONS OFTAYLOR SERIES 5.7 Applications of Taylor Series This section is about an example in the theory of relativity. Let m be the (relativistic) mass of an object and m0 be the mass at rest (rest mass) of the object. Let v be the velocity of the object relative to the observer, and let c be the speed of light. These three quantities are related as follows: m0 m= (relativistic) mass v2 1− 2 c The total energy of the object is mc2 : E = mc2. In relativity we define the kinetic energy to be K = mc2 − m0 c2 . (5.4) 1 What? Isn’t the kinetic energy 2 m0 v 2 ? Notice that 1 −2 m0 c2 v2 mc2 − m0 c2 = − m0 c2 = m0 c2 1− −1 . 1− v2 c2 c2 Let −1 f (x) = (1 − x) 2 −1 Let’s compute the Taylor series of f . We have 1 f (x) = (1 − x)− 2 − 1 1 3 f ′ (x) = (1 − x)− 2 2 1 3 5 ′′ f (x) = · (1 − x)− 2 2 2 (n) 1 · 3 · 5 · · · (2n − 1) 2n+1 f (x) = n (1 − x)− 2 . 2 Thus 1 · 3 · 5 · · · (2n − 1) f (n) (0) = . 2n Hence ∞ f (n) (0) n f (x) = x n=1 n! ∞ 1 · 3 · 5 · · · (2n − 1) n = x n=1 2n · n! 1 3 5 35 4 = x + x2 + x3 + x + ··· 2 8 16 128 150
  • 157.
    5.7. APPLICATIONS OFTAYLOR SERIES We now use this to analyze the kinetic energy (5.4): v2 mc2 − m0 c2 = m0 c2 · f c2 1 v2 3 v2 = m0 c2 · · 2 + · 2 + ··· 2 c 8 c 1 3 v2 = m0 v 2 + m0 c2 · + ··· 2 8 c2 2 And we can ignore the higher order terms if v2 is small. But how small is c 2 “small” enough, given that v2 appears in an infinite sum? c 5.7.1 Estimation of Taylor Series Suppose ∞ f (n) (a) f (x) = (x − a)n . n=0 n! Write N f (n) (a) RN (x) := f (x) − (x − a)n n=0 n! We call N f (n) (a) TN (x) = (x − a)n n=0 n! the N th degree Taylor polynomial. Notice that lim TN (x) = f (x) N →∞ if and only if lim RN (x) = 0. N →∞ We would like to estimate f (x) with TN (x). We need an estimate for RN (x). Theorem 5.7.1 (Taylor’s theorem). If |f (N +1) (x)| ≤ M for |x − a| ≤ d, then M |RN (x)| ≤ |x − a|N +1 for |x − a| ≤ d. (N + 1)! For example, if N = 0, this says that |R(x)| = |f (x) − f (a)| ≤ M |x − a|, i.e., f (x) − f (a) ≤ M, x−a 151
  • 158.
    5.7. APPLICATIONS OFTAYLOR SERIES which should look familiar from a previous class (Mean Value Theorem). Applications: 1. One can use Theorem 5.7.1 to prove that functions converge to their Taylor series. 2. Returning to the relativity example above, we apply Taylor’s theorem with N = 1 and a = 0. With x = −v 2 /c2 and M any number such that |f ′′ (x)| ≤ M , we have M 2 |R1 (x)| ≤ x . 2 For example, if we assume that |v| ≤ 100m/s we use 3 |f ′′ (x)| ≤ (1 − 1002 /c2 )−5/2 = M. 2 Using c = 3 × 108 m/s, we get |R1 (x)| ≤ 4.17 · 10−10 · m0 . Thus for v ≤ 100m/s ∼ 225mph, then the error in throwing away rela- tivistic factors is 10−10 m0 . This is like 200 feet out of the distance to the sun (93 million miles). So relativistic and Newtonian kinetic energies are almost the same for reasonable speeds. 152
  • 159.
    Chapter 6 Some DifferentialEquations This chapter is an introduction to differential equations, a major field in applied and theoretical mathematics and a very useful one for engineers, scientists, and others who study changing phenomena. The physical laws of motion and heat and electricity can be written as differential equations. The growth of a population, the changing gene frequencies in that population, and the spread of a disease can be described by differential equations. Economic and social models use differential equations, and the earliest examples of ”chaos” came from studying differential equations used for modeling atmospheric behavior. Some scientists even say that the main purpose of a calculus course should be to teach people to understand and solve differential equations. Differential Equations Algebraic equations contain constants and variables, and the solutions of an algebraic equation are typically numbers. For example, x = 3 and x = −2 are solutions of the algebraic equation x2 = x + 6. Differential equations con- tain derivatives or differentials of functions. Solutions of differential equations are functions. The differential equation y ′ = 3x2 has infinitely many solutions, and two of those solutions are the functions y = x3 + 2 and y = x3 − 4. You have already solved lots of differential equations: every time you found an an- tiderivative of a function f (x), you solved the differential equation y ′ = f (x) to get a solution y. You have also used differential equations in applications. Areas, volumes, work, and motion problems all involved integration and finding antiderivatives so they all used differential equations. The differential equation y ′ = f (x), however, is just the beginning. Other applications generate different differential equations. Checking Solutions of Differential Equations Whether a differential equation is easy or difficult to solve, it is important to be able to check that a possible solution really satisfies the differential equation. A possible solution of an algebraic equation can be checked by putting the solution into the equation to see if the result is true: x = 3 is a solution of 5x + 1 = 16 since 5(3) + 1 = 16 is true. Similarly, a solution of a differential equation can be checked by substituting the function and the appropriate derivatives into the 153
  • 160.
    6.1. SEPARABLE EQUATIONS equationto see if the result is true: y = x2 is a solution of xy ′ = 2y since y ′ = 2x and x(2x) = 2(x2 ) is true. 2 Example 6.0.1. For every value of C, the function y = Cx2 is a solution of xy ′ = 2y. Find the value of C so that y(5) = 50. Solution: Substituting the initial condition x = 5 and y = 50 into the solution y = Cx2 , we have that 50 = C52 so C = 50/25 = 2. The function y = 2x2 satisfies both the differential equation and the initial condition. 6.1 Separable Equations A separable differential equation is a first order differential equation that can be written in the form dy f (x) = . dx h(y) These can be solved by integration, by noting that h(y)dy = f (x)dx, hence h(y)dy = f (x)dx + C. This latter equation defines y implicitly as a function of x (we have added a “+C” onto one side just to emphasize that you only need one constant of integration for the solution), and in some cases it is possible to explicitly solve for y as a function of x. 6.2 Logistic Equation The logistics equation is a differential equation that models population growth. Often in practice a differential equation models some physical situation, and you should “read it” as doing so. Exponential growth: 1 dP = k. P dt This says that the “relative (percentage) growth rate” is constant. As we saw before, the solutions are P(t) = P0 · ekt . Note that this model only works for a little while. In everyday life the growth couldn’t actually continue at this rate indefinitely. This exponential growth model ignores limitations on resources, disease, etc. Perhaps there is a better model? Over time we expect the growth rate should level off, i.e., decrease to 0. What about 154
  • 161.
    6.2. LOGISTIC EQUATION 1 dP P =k 1− , (6.1) P dt K where K is some large constant called the carrying capacity, which is much big- ger than P = P (t) at time 0. The carrying capacity is the maximum population that the environment can support. Note that if P > K, then dP/dt < 0 so the population declines. The differential equation (6.1) is called the logistic model (or logistic differential equation). There are, of course, other models one could use, e.g., the Gompertz equation. First question: are there any equilibrium solutions to (6.1), i.e., solutions with P dP/dt = 0, i.e., constant solutions? In order that dP/dt = 0 then 0 = k 1 − K , so the two equilibrium solutions are P (t) = 0 and P (t) = K. The logistic differential equation (6.1) is separable, so you can separate the variables with one variable on one side of the equality and one on the other. This means we can easily solve the equation by integrating. We rewrite the equation as dP k = − P (P − K). dt K Now separate: KdP = −k · dt, P (P − K) and integrate both sides KdP = −k · dt = −kt + C. P (P − K) On the left side we get KdP 1 1 = − dP = ln |P − K| − ln |P | + ∗ P (P − K) P −K P Thus ln |K − P | − ln |P | = −kt + c, so ln |(K − P )/P | = −kt + c. Now exponentiate both sides: (K − P )/P = e−kt+c = Ae−kt , where A = ec . Thus K = P (1 + Ae−kt ), so K P (t) = . 1 + Ae−kt 155
  • 162.
    6.2. LOGISTIC EQUATION Notethat A = 0 also makes sense and gives an equilibrium solution. In general we have limt→∞ P (t) = K. In any particular case we can determine A as a function of P0 = P (0) by using that K K K − P0 P (0) = so A= −1= . 1+A P0 P0 156
  • 163.
    Chapter 7 Appendix: Integral tables Trigonometry Trigonometric Functions T1. sin2 x + cos2 x = 1 T2. tan2 x + 1 = sec2 x T3. cot2 x + 1 = csc2 x T4. sin(x ± y) = sin x cos y ± cos x sin y T5. cos(x ± y) = cos x cos y ∓ sin x sin y tan x ± tan y T6. tan(x ± y) = 1 ∓ tan x tan y x sin x T7. tan( ) = 2 1 + cos x T8. sin(2x) = 2 sin x cos x T9. cos(2x) = cos2 x − sin2 x 157
  • 164.
    T10. sin2 x = 1/2(1 − cos(2x)) T11. cos2 x = 1/2(1 + cos(2x)) T12. sin x sin y = 1/2 cos(x − y) − cos(x + y)) T13. cos x cos y = 1/2 cos(x − y) + cos(x + y)) T14. sin x cos y = 1/2 sin(x − y) + sin(x + y)) T15. c1 cos(ωt) + c2 sin(ωt) = A sin(ωt + φ), c1 where A = c2 + c2 , φ = 2 arctan 1 2 c2 + A Hyperbolic Functions ex + e−x T16. cosh x = 2 ex − e−x T17. sinh x = 2 T18. cosh2 x − sinh2 x = 1 T19. tanh2 x + sech2 x = 1 T20. coth2 x − csch2 x = 1 T21. sinh(x ± y) = sinh x cosh y ± cosh x sinh y T22. cosh(x ± y) = cosh x cosh y ± sinh x sinh y 158
  • 165.
    tanh x ±tanh y T23. tanh(x ± y) = 1 ± tanh x tanh y T24. sinh(2x) = 2 sinh x cosh x T25. cosh(2x) = cosh2 x + sinh2 x T26. sinh x sinh y = 1/2 cosh(x + y) − cosh(x − y)) T27. cosh x cosh y = 1/2 cosh(x + y) + cosh(x − y)) T28. sinh x cosh y = 1/2 sinh(x + y) + sinh(x − y)) Power Series ∞ xn x2 x3 P1. ex = =1+x+ + + ··· , −∞ < x < ∞ n=0 n! 2! 3! ∞ x2n+1 x3 x5 P2. sin x = (−1)n =x− + − ··· , −∞ < x < ∞ n=0 (2n + 1)! 3! 5! ∞ x2n x2 x4 P3. cos x = (−1)n =1− + − ··· , −∞ < x < ∞ n=0 (2n)! 2! 4! x3 2 17 7 π π P4. tan x = x + + x5 + x + ··· , − <x< 3 15 315 2 2 ∞ 1 P5. = xn = 1 + x + x2 + x3 + · · · , −1 < x < 1 1 − x n=0 ∞ x2n+1 x3 x5 P6. sinh x = =x+ + + ··· , −∞ < x < ∞ n=0 (2n + 1)! 3! 5! ∞ x2n x2 x4 P7. cosh x = =1+ + + ··· , −∞ < x < ∞ n=0 (2n)! 2! 4! x3 2 17 7 π π P8. tanh x = x − + x5 − x + ··· , − <x< 3 15 315 2 2 159
  • 166.
    f ′′ (a) f ′′′ (a) P9. f (x) = f (a) + f ′ (a)(x − a) + (x − a)2 + (x − a)3 + · · · 2! 3! P10. Taylor Series with remainder: N f (n) (a) f (x) = n=0 n! (x − a)n + RN +1 (x), where f (N +1) (ξ) RN +1 (x) = (N +1)! (x − a)N +1 for some ξ between a and x. Table of Integrals A constant of integration should be added to each formula. The letters a, b, m, and n denote constants; u and v denote functions of an independent variable such as x. Standard Integrals un+1 I1. un du = , n = −1 n+1 du I2. = ln |u| u I3. eu du = eu au I4. au du = , a>0 ln a I5. cos u du = sin u I6. sin u du = − cos u I7. sec2 u du = tan u I8. csc2 u du = − cot u 160
  • 167.
    I9. sec u tan u du = sec u I10. csc u cot u du = − csc u I11. tan u du = − ln | cos u| I12. cot u du = ln | sin u| I13. sec u du = ln | sec u + tan u| I14. csc u du = ln | csc u − cot u| du 1 u I15. = arctan a2 + u2 a a du u I16. √ = arcsin a2 − u2 a I17. u dv = uv − v du Integrals involving au + b (au + b)n+1 I18. (au + b)n du = , n = −1 (n + 1)a du 1 I19. = ln |au + b| au + b a u du u b I20. = − 2 ln |au + b| au + b a a u du b 1 I21. = 2 + ln |au + b| (au + b)2 a (au + b) a2 du 1 u I22. = ln u(au + b) b au + b 161
  • 168.
    2(3au − 2b) I23. u au + b du = (au + b)3/2 15a2 u du 2(au − 2b) √ I24. √ = au + b au + b 3a2 √ 2 I25. u2 au + b du = 8b2 − 12abu + 15a2 u2 (au + b)3/2 105a3 u2 du 2 √ I26. √ = 3 8b2 − 4abu + 3a2 u2 au + b au + b 15a Integrals involving u2 ± a2 du 1 u−a I27. = ln u2 −a 2 2a u+a u du I28. = 1/2 ln u2 ± a2 u2 ± a2 u2 du a u−a I29. = u + ln u2 − a2 2 u+a u2 du u I30. 2 + a2 = u − a arctan u a du 1 u2 I31. = ± 2 ln 2 u(u2 ±a2) 2a u ± a2 √ Integrals involving u2 ± a2 u du I32. √ = u2 ± a2 u2 ± a2 1 2 3/2 I33. u u2 ± a2 du = u ± a2 3 du I34. √ = ln u + u2 ± a2 u2± a2 u2 du u a2 I35. √ = u2 ± a2 ∓ ln u + u2 ± a2 u2 ± a2 2 2 162
  • 169.
    du 1 u I36. √ = ln √ u u2 + a2 a a + u2 + a2 du 1 u I37. √ = arcsec u u2 − a2 a a √ du u2 ± a2 I38. √ =∓ u2 u2 ± a2 a2 u u a2 I39. u2 ± a2 du = u2 ± a2 ± ln u + u2 ± a2 2 2 u 2 3/2 a2 u a4 I40. u2 u2 ± a2 du = u ± a2 ∓ u2 ± a2 − ln u + u2 ± a2 4 8 8 √ √ u2 + a2 2 + a2 − a ln a + u2 + a2 I41. du = u u u √ u2 − a2 u I42. du = u2 − a2 − a arcsec u a √ √ u2 ± a2 u2 ± a2 I43. 2 du = − + ln u + u2 ± a2 u u √ Integrals involving a2 − u2 u a2 u I44. a2 − u2 du = a2 − u2 + arcsin 2 2 a u du I45. √ = − a2 − u2 a2 − u2 1 2 3/2 I46. u a2 − u2 du = − a − u2 3 √ √ a2 − u2 a+ a2 − u2 I47. du = a2 − u2 − a ln u u √ du 1 a+ a2 − u2 I48. √ = − ln u a2 − u2 a u u 2 3/2 a2 u a4 u I49. u2 a2 − u2 du = − a − u2 + a2 − u2 + arcsin 4 8 8 a 163
  • 170.
    √ a2 − u2 a2 − u2 u I50. 2 du = − − arcsin u u a u2 du u a2 u I51. √ =− a2 − u2 + arcsin a2 − u2 2 2 a √ du a2 − u2 I52. √ =− u2 a2 − u2 a2 u Integrals involving trigonometric functions u sin(2au) I53. sin2 (au) du = − 2 4a u sin(2au) I54. cos2 (au) du = + 2 4a 1 cos3 (au) I55. sin3 (au) du = − cos(au) a 3 1 sin3 (au) I56. cos3 (au) du = sin(au) − a 3 u 1 I57. sin2 (au) cos2 (au) du = − sin(4au) 8 32a 1 I58. tan2 (au) du = tan(au) − u a 1 I59. cot2 (au) du = − cot(au) − u a 1 1 I60. sec3 (au) du = sec(au) tan(au) + ln | sec(au) + tan(au) | 2a 2a 1 1 I61. csc3 (au) du = − csc(au) cot(au) + ln | csc(au) − cot(au) | 2a 2a 1 I62. u sin(au) du = (sin(au) − au cos(au)) a2 1 I63. u cos(au) du = (cos(au) + au sin(au)) a2 164
  • 171.
    1 I64. u2 sin(au) du = 2au sin(au) − ( a2 u2 − 2 ) cos(au) a3 1 I65. u2 cos(au) du = 2au cos(au) + ( a2 u2 − 2 ) sin(au) a3 sin(a − b)u sin(a + b)u I66. sin(au) sin(bu) du = − , a2 = b2 2(a − b) 2(a + b) sin(a − b)u sin(a + b)u I67. cos(au) cos(bu) du = + , a2 = b2 2(a − b) 2(a + b) cos(a − b)u cos(a + b)u I68. sin(au) cos(bu) du = − − , a2 = b2 2(a − b) 2(a + b) 1 n−1 I69. sinn u du = − sinn−1 u cos u + sinn−2 u du n n Integrals involving hyperbolic functions 1 I70. sinh(au) du = cosh(au) a 1 u I71. sinh2 (au) du = sinh(2au) − 4a 2 1 I72. cosh(au) du = sinh(au) a u 1 I73. cosh2 (au) du = + sinh(2au) 2 4a cosh ((a + b) u) cosh ((a − b) u) I74. sinh(au) cosh(bu) du = + 2(a + b) 2(a − b) 1 I75. sinh(au) cosh(au) du = cosh(2au) 4a I76. tanh u du = ln(cosh u) I77. sech u du = arctan(sinh u) = 2 arctan (eu ) 165
  • 172.
    Integrals involving exponentialfunctions eau I78. ueau du = (au − 1) a2 eau 2 2 I79. u2 eau du = a u − 2au + 2 a3 1 n au n I80. un eau du = u e − un−1 eau du a a eau I81. eau sin(bu) du = (a sin(bu) − b cos(bu)) a2 + b2 eau I82. eau cos(bu) du = (a cos(bu) + b sin(bu)) a2 + b2 Integrals involving inverse trigonometric functions u u I83. arcsin du = u arcsin + a2 − u2 a a u u I84. arccos du = u arccos − a2 − u2 a a u u a I85. arctan du = u arctan − ln a2 + u2 a a 2 Integrals involving inverse hyperbolic functions u u I86. arcsinh du = u arcsinh − u2 + a2 a a I87. u u √ u arccosh du = u arccosh a − u2 − a2 arccosh a > 0; a u √ u = u arccosh a + u2 − a2 arccosh a < 0. 166
  • 173.
    u u a I88. arctanh du = u arctanh + ln a2 − u2 a a 2 Integrals involving logarithm functions I89. ln u du = u(ln u − 1) ln u 1 I90. un ln u du = un+1 − , n = −1 n + 1 (n + 1)2 Wallis’ Formulas I91. π/2 π/2 sinm x dx = 0 cosm x dx 0 (m−1)(m−3)...(2 or 1) = m(m−2)...(3 or 2) k, where k = 1 if m is odd and k = π/2 if m is even. π/2 I92. sinm x cosn x dx = 0 (m − 1)(m − 3) . . . (2 or 1)(n − 1)(n − 3) . . . (2 or 1) k, (m + n)(m + n − 2) . . . (2 or 1) where k = π/2 if both m and n are even and k = 1 otherwise. 167
  • 174.
    Index antiderivative, 41, 44 indexvariable, 11 partition, 16 polar graph, 89 Riemann sum, 15 Sigma notation, 11 summand, 11 summation notation, 11 Taylor Series, 147 168