Highway Geometric Design
1
Outline
1: Introduction
- Road User Characteristics
2: Classification of Roads
3: Highway Geometric Design
4: HorizontalAlignment
5: V
erticalAlignment
6: Coordination of alignments
2
1.INTRODUCTION
• Indian road network of 6.3 million Km is the
second largest in the world and consists of :
CLASSIFICATION OF ROADS
NON-URBAN ROADS URBAN ROADS
CLASSIFICATION LENGTH(in Km)
Expressways 5,342
National Highways 1,51,000
State Highways 1,86,528
Major District Roads 6,32,154
Rural and Other Roads 45,35,511
3
ROAD USER CHARACTERISTICS….
4
5
Human element
• PHYSICAL
• MENTAL
• PSYCHOLOGICAL
• ENVIRONMENTAL
6
PHYSICAL CHARACTERISTICS….
• VISION
• HEARING
• STRENGTH &
• GENERAL REACTION TO TRAFFIC SITUATIONS
VISION
The human eye is the sensory organ that
enables one to see and evaluate the size, shape
and colour of the objects and estimate
distances and speeds of bodies.
7
8
ACUITY OF VISION
• Field of acute clear & acute vision is within a
cone whose angle is only 3 degrees
• Up to 10 degree satisfactory in general
• Even up to 20 degree in the horizontal plane
• This is important when locating traffic signs
and signals
Acuity of vision 9
Vision cone
10
11
3.1.2 PERIPHERAL VISION
• Deals with the total visual field for the two eyes
• The angle of peripheral vision is about 160 degree
in the horizontal direction & 115 degree in the
vertical direction
• The angle of cone falls down 110
degree( @ 30 kmph) 40 degree
(@100 kmph)
12
CONTINUES….
• COLOUR VISION
•DRIVERS ABILITY TO ADAPT TO THE GLARE
(GLARE RECOVERY TIME 3-6 SECONDS)
• THE ABILTY TO JUDGE THE DEPTH DISTANCE &
SPEED OF AN OBJECT
13
HEARING
• SOUND OF HORN ALERT PEDESTRIAN
• ELDERLY PERSONS WITH FALLING EYESIGHT
CAN PERCEIVE BETTER THROUGH HEARING
• DEFECTIVE HEARING- NOT A SERIOUS
HANDICAP
14
15
STRENGTH
– Difficulties in rapid decision making
• At intersections
– Take time to absorb traffic control information
– Difficulty at night
• Lower light level
• Headlight glare
– Readily fatigued
16
MENTAL CHARACTERISTICS
• KNOWLEDGE OF VEHICLE CHARACTERISTICS,
TRAFFIC BEHAVIOUR, DRIVING PATIENCE, RULE
OF ROADS, PSHYCHOLOGY OF OTHER DRIVERS….
• SKILL
• INTELLIGENCE
• EXPERIENCE- REACTIONS BECOME
SPONTANEOUS
• LITERACY- TRAFFIC REGULATIONS & SPECIAL
INSTRUCTIONS
• PATIENCE
PSYCHOLOGICAL
• PERCEPTION
• INTELLECTION
• EMOTION
• VOLITION
17
PSYCHOLOGICAL
18
19
ENVIRONMENTAL
• TRAFFIC STREAM CHARACTERISTICS
-MIXED OR HOMOGENIC
-HEAVY OR LIGHT
• TRAFFIC FACILITY
• ATMOSPHERIC CONDITIONS
- CLOUDY
- DUSTY
• LOCALITY
DESIGN VEHICLE
Selected motor vehicles with weight,
dimensions, and operating characteristics
used to establish highway design controls
Design vehicle has larger physical dimensions
and a larger minimum turning radius than
most vehicles in its class.
Influence on the geometric design aspects of
roads
• Radii
• width of pavements
• clearances
• parking geometrics etc.
Design aspects of an intersection
• horizontal and vertical alignments
• lane widths
• turning radii
• intersection sight distance,
• storage length of auxiliary lanes
• acceleration and deceleration lengths on
auxiliary lanes.
TYPES OF DESIGN VEHICLES
• Four general classes of vehicles have been established.
• passenger cars
• Buses
• Trucks
• recreational vehicles
• The passenger car class includes compacts,
subcompacts, sedans, pick-up trucks, SUVs, minivans,
and full-size vans.
• Buses include inter-city (motor coaches), city transit,
school, and articulated buses.
DIMENSIONS OF DESIGN VEHICLE
Standardization of the dimensions and weights
of vehicles is done by
• AASHTO – American Association of State
Highway and Transportation Officials
• IRC – India Road Congress
• Ministry of transport regulations - UK
Authority/
country
Maximum
width
Maximum
Height
Maximum Overall Length
Passeng
er
car
Single unit
truck
Semi
trailer
Truck
trailer
Single unit
bus
UK 2.5 4.57 5.5 11 13 18 -
IRC 2.5
3.8 -
4.2(Truck)
4.75
(Double
decker
bus)
- 11 16 18 12
• Maximum axle loads in Tonnes
Single axle Tandem Axle
U.K 10 -
IRC 10.2 18
27
IRC CLASSIFICATION
• CLASSIFICATION OF NON-URBAN ROADS :
1. National Highways(NH)
2. State Highways(SH)
3. Major District Roads(MDR)
4. Other District Roads(ODR)
5. Village Roads(VR)
28
NATIONAL HIGHWAYS
• Important roads of the country.
• Connect state capitals, ports, foreign
highways.
• Include roads of military importance.
• Financed by the central government.
29
STATE HIGHWAYS
• Important roads of a state.
• Connect:
– important cities and district head quarters in the state,
– national highways & state highways of neighbouring
states.
• Construction, maintainance & funding
– by state government
• NH and SH have same design speed and
geometric design.
30
MAJOR DISTRICT ROADS
• These are the roads within a district .
• Serves areas of production and markets.
• Connecting these with each other or with
main highways.
• Financed by zillaparishads with the help of
grants given by state government.
31
RURAL ROADS
1. OTHER DISTRICT ROADS
• Roads serving rural areas of production.
• Provides outlet to market centres, taluk
headquarters and to other main roads.
2. VILLAGE ROADS
• Connects villages or group of villages with
each other
• And to the nearest road of a higher category
32
33
Expressway contd…
• Eg. Golden quadrilateral
• Largest express highway project in india
• One of the longest
highways in the world
34
35
36
HIERARCHY
37
38
39
40
41
2. Highway Geometric Design
• TERRAIN AND ITS DESCRIPTION
• An area of land, when considering its natural features.
• A knowledge of terrain, that is the land as a working
surface is required for planning highway operations.
• Terrain classification has been described by means of
text descriptions ,by reference to ground contours,
and in terms of cross-slope.
CLASSIFICATION
• Terrain is classified based on the percentage
of cross slope that is slope approximately in
the perpendicular direction of the road
that’s what is normally indicated as cross
slope
TERRAIN CLASSIFICATION % CROSS SLOPE
PLAIN
ROLLING
MOUNATAINOUS
STEEP
UPTO 10
10 TO 25
25 TO 60
>60
TERRAIN CLASSIFICATION AS
PER ROAD USER COST STUDY
• An extensive survey of 42,000 km of roads in India
as part of the Road User Cost Study has enabled
the development of system of Terrain classification
(Source L.R.kadiyali)
QUANTIFICATION OF CURVATURE :
PLAN
Average Curvature of section AB= ф1+ф2+ф3+----------
фn/Distance(AB)
(Source L.R.kadiyali)
QUANTIFICATION OF RISE AND FALL:
LONGITUDINAL PROFILE
Average Rise of section AB= h1+h3+----------
hm/Distance AB (KM)
Average Fall of section AB= h2+h4+----------
hn/Distance AB (KM)
(Source L.R.kadiyali)
GRADIENTS FOR ROADS IN
DIFFERENT
TERRAIN
S
TERRAIN RULING
GRADIENT
LIMITING
GRADIENT
EXCEPTIONAL
GRADIENT
PLAIN &
ROLLING
MOUNATAINOUS
STEEP
3.3%
5%
6%
5%
6%
7%
6%
7%
8%
(Source IRC: 73-1980.)
47
DESIGN SPEED
• Depends on class of road and terrain
• Ruling Speeds – Guiding criteria for geometric
design
• Min Speed – used where site conditions or
economic considerations warrant
DESIGN SPEEDS IRC 73-1980
48
49
Cross Sectional Elements-introduction
• Features that deals with the width of highway
• Influences life of pavement, riding comfort and safety
• Different cross sectional elements are
 Carriageway
 Shoulders
 Roadway width
 Right of way
 Building line and control line
 Central reservations(Median)
 Camber
 Side slope
 Lateral and vertical clearances
 Curbs (Kerbs)
Building Line and Control line
• Control construction/developmental activities
50
51
Carriageway
• Paved surface used for vehicular movements
• Takes vehicular loading
• Cement concrete, bituminous pavement etc.
• Width depends on no. of lanes- single lane, two lane
or multi lane
• Intermediate lane width is provided for essential
manoeuvres like overtaking or crossing
WIDTH OF CARRIAGEWAY(meters)
SINGLE
LANE
INTERMEDI
ATE LANE
TWO LANES
WITHOUT
RAISED
KERBS
TWO LANES
WITH RAISED
KERBS
MULTI LANE
ROAD(WIDTH PER
LANE)
3.75 5.5 7 7.5 3.5
How width is decided??
http://www.cdeep.iitb.ac.in/
52
Shoulder
• Basically gives support to carriageway
• Provides space for stopped vehicles(parking)
• One half the distance between roadway width
and carriageway width
53
54
Roadway
• Carriageway(including separators) and shoulders
together constitute the roadway
• Roadway width also known as width of formation
• Roadway width depends on the type of terrain
• Different for different type of roads
ROAD CLASSIFICATI
ON
ROADWAY WIDTH IN m
PLAIN AND ROLLING
TERRAIN
MOUNTAINEO US AND
STEEP TERRAIN
NH/SH 12 6.25-8.8
MDR 9 4.75
ODR 7.5-9.0 4.75
VR 7.5 4
55
• Culverts (upto 6m span)- normal roadway width
is to be provided measured from outside to
outside of the parapet walls
• Bridges(greater than 6m span) –clear width of
roadway between kerbs should be as under
• Single lane bridge -4.25 m
• Two lane bridge -7.5m
• Multilane bridge carriageway --3.5 m per lane + 0.5 m
for each
• At causeways and submersible bridges -7.5m
Right of way (ROW)
• Right of way or land width
• Land secured and preserved for road purpose
• Should be adequate to accommodate all the
cross section elements
• Should provide space for future upgradation
• the type of
Depends on type of terrain and
area(open or built up)
56
IRC 73-1980 specifications
RIGHT OF WAY WIDTH IN meters
plain and rolling
terrain
mountaineous and steep
terrain
CLASS OF
ROAD
rural areas urban areas rural areas urban areas
Normal Range Normal Range Normal Exceptiona
l
Normal Exception
al
NH/SH 45 30-60 30 30-60 24 18 20 18
MDR 25 25-30 20 15-25 18 15 15 12
ODR 15 15-25 15 15-20 15 12 12 9
VR 12 12--18 10 15-20 9 9 9 579
PLAIN AND ROLLING TERRAIN MOUNTAINEOUS AND STEEP
TERRAINS
OPEN AREAS BUILT UP AREAS OPEN AREAS BUILT UP AREAS
ROAD
CLASSIFICATI
ON
OVERAL
L
WIDTH
BETWE
EN
BUILDI
NG
LINES(metres)
DISTANCE
BETWEEN ROAD
BOUNDARY
BUILDING
LINE(SETBACK)
metres
OVERALL WIDTH
BETWEEN
CONTROL
LINES(metres)
DISTANCE BETWEEN ROAD BOUNDARY
BUILDING LINE(SETBACK) metres
NH/SH 80 150 3--6 3--5 3--5
MDR 50 100 3--5 3--5 3--5
ODR 25/30 35 3--5 3--5 3--5
VR 25 30 3--5 3--5 3--5
REF: IRC 73-1980
MEDIANS
• Longitudinal space separating dual carriageways
• Separates directional traffic streams
• Should be as wide as possible
• Width is restricted by economic consideration
• Uniform width is preferable
• Width depends on the type of road/cross drainage structure
and availability of land
• Transition length for change in width
• Right turning pockets
• Reduce head light glare
59
60
• Minimum desirable width on rural highways -5
m (reduced to 3m if land is restricted)
• On bridges and viaducts-1.5m
• Should not be less than 1.2m
• Desired transition in width- 1 in 15 to 1 in 20
(IRC 73-1980 specifications)
Camber
• To drain off rain water from road surface
• Depends on type of road and amount of
rainfall
SURFACETYPE CAMBER/CROSSFALL
HIGH TYPE BITUMINOUS SURFACING OR
CEMENT CONCRETE 1.7-2.0 %
THIN BITUMINOUS SURFACING 2.0-2.5%
WATER BOUND MECADEM, GRAVEL
2.5-3.0%
EARTH 3.0-4.0%
IRC 73-1980
61
• Shapes of
camber
• Parabolic
• Straight line
• Or combination
http://www.cdeep.iitb.ac.in/
62
63
Kerbs (curbs)
• Vertical or sloping member along the edge of pavement or
paved shoulder
• Desirable for urban roads
• Facilitates and controls drainage
• Strengthens and protects pavement edge
• Delineates pavement edge
• Presents more finished appearance
• Encourages orderly roadside development
• Types of kerbs
• Mountable
• Semi barrier type
• Barrier type
64
Sight Distances
• Visibility is an important requirement for the safe
travel on highways.
• Driver from a specified height above carriageway
should have visibility of stationary and moving
objects.
• SIGHT DISTANCE is the length of road visible
ahead to the driver at any instance.
• Restrictions to sight distances may be caused at
horizontal, vertical curves and at intersections.
• Three types of sight distances are relevant insofar
as the design of summit vertical curves and
visibility at horizontal curves:
• 1) Stopping Sight Distance
• 2) Overtaking Sight Distance
• 3) Intermediate Sight Distance
• For valley curves design is governed by night
visibility which is reckoned in terms of the
Headlight Sight Distance.
Stopping sight distance
• Stopping Sight Distance (SSD) is the clear
distance ahead needed by a driver to bring his
vehicle to a halt before meeting any other
obstruction in his path.
• Sight distance available on a road to a driver at
any instance depends on :
• 1) Features of the road ahead – horizontal
alignment, vertical profile, traffic condition,
position of obstruction
• 2) Height of the driver’s eye above the road
surface – IRC suggests height of eye level of
driver as 1.2 m
• 3) Height of the object above the road surface –
IRC suggests height of the object as 0.15 m above
the road surface.
• SSD further depends on
a) Total reaction time of driver
b) Speed of vehicle
c) Efficiency of brakes
d) Frictional resistance between road and tyres
e) Gradient of the road
SSD contd..
• Minimum stopping sight distance is the sum of
(i)distance travelled during the perception and brake
reaction time [Lag Distance]
(ii) the braking distance
• Lag distance = v.t
v = design speed in m/s
t = total reaction time of the driver – IRC
recommends t = 2.5 s for SSD calculations
SSD contd..
Braking distance
• For a level road this is obtained by equating the
work done in stopping the vehicle and the kinetic
energy of the vehicle
• If F is the maximum frictional force developed
and the braking distance is l, then work done
against friction in stopping the vehicle is Fl = fwl
fwl = 1
mv²
2
𝑣2
l =
2𝑔
𝑓
v = design speed in m/s
g = acceleration due to gravity
f = design coefficient of friction
• SSD = 𝑣𝑡 +
𝑣²
2𝑔
𝑓
• SSD at slopes = 𝑣𝑡+ 𝑣²
2𝑔(𝑓±0.01𝑛)
• +n is ascending gradient and –n is descending
gradient
Overtaking sight distance (OSD)
• The overtaking sight distance is the minimum
distance open to the vision of the driver of a
vehicle intending to overtake the slow vehicle
ahead safely against the traffic in the opposite
direction
• The overtaking sight distance or passing sight
distance is measured along the centre line of the
road over which a driver with his eye level 1.2 m
above the road surface can see the top of an object
1.2 m above the road surface.
The factors that affect the OSD are:
• Velocities of the overtaking vehicle, overtaken
vehicle and of the vehicle coming in the
opposite direction.
• Spacing between vehicles, which in-turn
depends on the speed
• Skill and reaction time of the driver
• Rate of acceleration of overtaking vehicle
• Gradient of the road
The overtaking sight distance consists of three
parts:
• d1 = The distance travelled by overtaking
vehicleAduring the reaction time t = t1 – t0
• d2 = The distance travelled by the vehicle
during the actual overtaking operation T = t3
– t1
• d3 = Is the distance travelled by on-coming
vehicle C during the overtaking operation
• OSD = d1+d2+d3
• It is assumed that the vehicleAis forced to reduce
its speed to vb the speed of the slow moving
vehicle B and travels behind it during the reaction
time t of the driver
Therefore, d1 = vb.t
• Then the vehicle A starts to accelerate with
acceleration a, shifts the lane, overtake and shift
back to the original lane. The vehicleAmaintains
the spacing s before and after overtaking. s is
given by empirical formula
𝑠 = 0.7𝑣𝑏 + 6 in metres
• Let T be the duration of actual overtaking. The
distance travelled by B during the overtaking
operation is 2𝑠 + 𝑣𝑏𝑇. Also, during this time,
vehicleAaccelerated and overtaking is completed.
1
𝑑2 = 𝑣𝑏𝑇 + 2
𝑎𝑇2
1
𝑣𝑏𝑇 + 2𝑠 = 𝑣𝑏𝑇 + 2
𝑎𝑇2
𝑇 =
4𝑠
𝑎
• The distance travelled by the vehicle C moving at
design speed v during overtaking operation is
given by
𝑑3 = 𝑣𝑇
• IRC recommends vb = v – 4.5
• d3 is not required when there is no opposing
traffic.
• Overtaking zones are provided when OSD cannot
be provided throughout the length of the highway.
These are zones dedicated for overtaking
operation, marked with wide roads. The desirable
length of overtaking zones is 5 time OSD and the
minimum is 3 times OSD .
Intermediate sight distance
• Adistance equivalent to twice the stopping sight
distance, a distance where overtaking could
be attempted with reasonable safety.
• Overtaking is mostly prohibited at horizontal
curves using regulatory signs.
• In case of vertical summit curves, it is possible to
provide ISD
• ISD = 2 SSD
• Measurement of ISD is made on assuming both
the height of driver’s eye level and height of
object are 1.2m from road surface.
Headlight Sight distance
• This is the distance ahead of the vehicle illuminated
by the headlights which is within the view of the
driver.
• The design must ensure that the roadway ahead is
illuminated by vehicle headlights to a sufficient length
enabling the vehicle to brake to a stop if necessary.
• The following criteria to be maintained:
a) height of headlight above the road surface is 0.75m
b) The useful beam of headlight is upto 1° upwards
from the grade of road
c) the height of the object is nil
• HSD = SSD
HSD contd..
SIGHT distances at intersection
• At intersections where two or more roads meet,
visibility should be provided for the drivers
approaching the intersection from either sides.
• They should be able to perceive a hazard and stop
the vehicle if required.
• Stopping sight distance for each road can be
computed from the design speed.
• The sight distance should be provided such that
the drivers on either side should be able to see
each other.
• Design of sight distance at intersections may be
used on three possible conditions:
a) enabling approaching vehicle to change the
speed
b)enabling approaching vehicle to stop
c)enabling stopped vehicle to cross a main road
89
HORIZONTAL ALIGNMENT
• The position or the layout of the central line of the
highway on the ground is called the alignment.
• Horizontal alignment includes straight and curved
paths.
• Consistent, safe, smooth movement of vehicles
• Design Factors
– Design Speed
– Radius of Circular Curve
– Superelevation
– Extra widening
– Type and length of transition curves
90
DESIGN SPEED
• Depends on class of road and terrain
• Ruling Speeds – Guiding criteria for geometric
design
• Min Speed – used where site conditions or
economic considerations warrant
DESIGN SPEEDS IRC 73-1980
91
HORIZONTAL CURVES
92
HORIZONTAL CURVES
• Curve in plan to provide change in direction
• Centrifugal force acting outwards 93
SUPERELEVATION
94
95
DEFINITION
• The outer edge of road at the horizontal curve
is raised above the inner edge. This is super
elevation.
• Given throughout the length of horizontal
curve to reduce the effect of centrifugal force
on the running wheels.
• It is also sometimes termed as banking.
SUPERELEVATION
96
ANALYSIS OF SUPERELEVATION
97
Source:Khanna & Justo
ANALYSIS OF SUPERELEVATION
Source:Khanna & Justo
98
• Resolving the forces parallel and
perpendicular to the inclined road surface,
PcosӨ = WsinӨ + FA + FB
•
99
• Equilibrium superelevation : when f = 0,
high rate of SE
100
101
SUPERELEVATION DESIGN
• For fast moving vehicles, neglecting lateral
friction is safer
• For slow moving vehicles, high rate of SE is
inconvenient.
• As a compromise,
– SE is provided to counteract centrifugal force due
to 75% design speed.
– Limit the max superelevation
102
MAX SUPERELEVATION
• Plain and rolling terrain – 7%
• Hilly roads not bounded by snow – 10%
STEPS FOR SUPERELEVATION DESIGN
i.
ii. If e <emax , provide the value obtained. Else e =
emax and check for f as per step iii.
iii. Check for f
. If f<0.15, emax is safe
iv. If f>0.15, restrict the speed in curve or increase
the radius of the curve after providing emax
103
If required SE cannot be provided,
• Restrict the velocity
• Increase the radius
R=
104
105
MIN SUPERELEVATION
• For drainage considerations, a minimum cross
slope is required.
• Min SE = camber
106
METHOD OF ATTAINMENT
Two stages
I. Outer half of camber is gradually raised until
its level and subsequently rotated to obtain
uniform cross slope
II. Rotation of pavement to attain full
superelevation
STAGE I-ATTAINING SUPERELEVATION
EQUAL TO CAMBER
107
Outer half of camber is raised gradually & brought to
level at the start of the transition curve
Source: Khanna & Justo
STAGE I (Contd..)
108
Subsequently the outer half is further rotated to
obtain uniform cross slope equal to camber
Source: Khanna & Justo
STAGE II-ATTAINING FULL
SUPERELEVATION
3 Methods
• Rotation about centerline
• Rotation about inner edge
• Rotation about outer edge
109
STAGE II (Contd..)
i. About the center line
• Gradually lowering the inner edge and
raising the upper edge .Level of centerline
constant
110
Source:L.R Kadiyali
STAGE II (Contd..)
ii. About the inner edge
• Raising centre and outer edge
111
Source:L.R Kadiyali
STAGE II (Contd..)
iii. About the outer edge
• Depressing the center and inner edge
112
Source:L.R Kadiyali
• SE is gradually attained over full length of
transition curve so that desired SE is available
at starting of circular curve
• Rate of introduction of SE
– Plain and Rolling Terrain – 1 in 150
– Mountainous and steep terrain – 1 in 60
113
ATTAINING SUPERELEVATION
114
Source: www.scienceforums.net
RADIUS OF HORIZONTAL CURVE
• Centrifugal force is dependent on radius of the
horizontal curve.
• To keep centrifugal ratio within a low limit , the radius
of the curve should be kept correspondingly high.
• If the design speed is decided for a highway, then the
minimum radius to be adopted can be found from the
following relationship, i.e.,
e+f =v2/gR
Ruling Minimum Radius:
Rruling =
𝑣2
𝑒 : 𝑓 𝑔
, where v is
ruling design speed in m/sec.
Absolute Minimum Radius:
min
R =
𝑣12
𝑒 : 𝑓 𝑔
, where v1 is
minimum design speed in m/sec.
Minimum radius of the curve is obtained by adopting
maximum values for both e and f
Table showing Design Speeds on Rural
Highways for different terrain conditions
Table showing minimum radii of horizontal
curves for different terrain conditions
classification PLAINTERRRAIN
ROLLING
TERRAIN MOUNTAINOUS TERRAIN STEEPTERRAIN
AREAS AFFECTED
BY SNOW
SNOW BOUND
AREAS
AREAS AFFECTED
BY SNOW
SNOW BOUND
AREAS
Road
RULING
MIN
RADIUS
ABSOLU
TE MIN
RADIUS
RULING
MIN
RADIUS
ABSOLU
TE MIN
RADIUS
RULING
MIN
RADIUS
ABSOLU
TE MIN
RADIUS
RULING
MIN
RADIUS
ABSOLU
TE MIN
RADIUS
RULING
MIN
RADIUS
ABSOLU
TE MIN
RADIUS
RULING
MIN
RADIUS
ABSOLUT
E MIN
RADIUS
NH & SH 360 230 230 155 80 50 90 60 50 30 60 33
MDR 230 155 155 90 50 30 60 33 30 14 33 15
ODR 155 90 90 60 30 20 33 23 20 14 23 15
VILLAGE ROADS 90 60 60 45 20 14 23 15 20 14 23 15
Source-IRC:73-1980
WIDENING OF PAVEMENT ON HORIZONTAL
CURVE
It includes
• Need for extra widening
• Analysis of extra widening on curves
• Methods of introducing extra widening
Need for extra widening:
Fig(i)
Fig(ii)
• Widening of the pavement on the horizontal curves is
governed by the following factors:
(a) Length of the wheel base
(b) Radius of the curve negotiated, R
(c)Psychological factor which depends upon the velocity of the
vehicle and the radius of the curve
Analysis of extra widening on curves:
It is divided into:
a)Mechanical widening
b)Psychological widening
a)Mechanical widening(Wm)
• Widening required to account for the off-tracking due
to rigidity of wheel base
DERIVATION:
Let R1 be the radius of the path traversed by the outer rear
wheel , m
R2 be the radius of the path traversed by the outer
front wheel , m
wm be the off-tracking or the mechanical widening , m
l be the length of wheel base , m
From fig ,
wm = R2 – R1
eq (i)
R1 = R2 - wm --------------
& R1
2 = R2
2 – l2 ------------ eq (ii)
Substitute eq(i) in eq(ii)
On further simplification of eq (ii) we arrive at
wm = l2 /(2R2 – wm )
m
𝑙2
2𝑅
/
therefore , w = , where R is the mean radius
of the curve
for a road having ‘n’ traffic lanes , mechanical
widening required is wm
𝑛𝑙2
=
2𝑅
b)Psychological widening(wps )
• for providing greater maneuverability of steering
at higher speeds
• provide greater clearance for crossing and
overtaking vehicles on the curves
IRC provides an empirical relation for the
psychological widening at the horizontal curves
ps
w =
𝑉𝑘
9.5 𝑅
, v in
kmph
Therefore, the total extra widening to be provided
is
e
W = 𝑛
𝑙
2
+
𝑉𝑘
2𝑅 9.5 𝑅
The extra widening recommended by the IRC for
single lane and two lane pavements
For multi-lane roads, the pavement widening is calculated by adding
half of the extra width of two-lane road to each lane of the multi-lane
road
Radius of curve
(m) up to 20 20 to 40 41 to 60 61 to 100
101 to
300
above
300
Extra Width (m)
Two-lane
1.5 1.5 1.2 0.9 0.6 Nil
Single-lane
0.9 0.6 0.6 Nil Nil Nil
Methods of introducing extra widening
127
Transition Curve
• Transition curve ensures a smooth change
from straight road to circular curves.
• Transition curve is provided to change the
horizontal alignment from straight to
circular curve gradually and has a radius
which decreases from infinity at the straight
end (tangent point) to the desired radius of
the circular curve at the other end (curve
point).
128
129
Need and Objective
• The objectives for providing transition curves are:
1. to introduce gradually the centrifugal force
between the tangent point and the beginning of the
circular curve, avoiding sudden jerk on the vehicle.
This increases the comfort of passengers.
2. to enable the driver turn the steering gradually for
his own comfort and security,
3. to provide gradual introduction of super elevation,
and
4. to provide gradual introduction of extra widening.
5. to enhance the aesthetic appearance of the road.
130
Types of Transition Curve
• Different types of Transition curves are:
spiral or clothoid, cubic parabola, and Lemniscate.
• IRC recommends spiral as the transition curve
because it fulfills the requirement of a ideal
transition curve
1) rate of change of centrifugal acceleration is
consistent (smooth)
2) radius of the transition curve is ∞ at the straight
edge and changes to Rat the curve point
3) calculation and field implementation is very easy.
131
Length of Transition Curve:
• The length of the transition curve should be
determined as the maximum of the following
three criteria:
1) Rate of change of centrifugal acceleration
2) rate of change of super elevation and
3) an empirical formula given by IRC
Length of Transition Curve:
1) Rate of change of centrifugal acceleration:
If Cis the rate of change of centrifugal
acceleration
132
Length of Transition Curve:
133
Length of Transition Curves:
134
Length of Transition Curve:
135
Length of Transition Curve:
136
O
T1 T2
U
I
B
T P
S
Transition
=DeflectionAngle
1 1
137
Set Back Distance
• Adequate sight distance on horizontal curves:
an essential consideration
• Absolute minimum sight distance- safe
stopping sight distance should be available at
every section of the highway
• Horizontal curve- location with problems of
sight distance
• Need of adequate sight distance- safe and
efficient movement of traffic
• Obstruction to sight distance: buildings,
trees, cut slopes etc. along the inner side
of the horizontal curves
• Set- back distance: to provide adequate
sight distance on horizontal curves
Set-back distance is basically the clear
distance in the inner side of the curve
which must be available to make sure
that adequate sight distance is available
on horizontal curve.
Set- back distance depends on :
• required sight distance(S)
• radius of horizontal curve(R)
• length of curve(L)
Sight distance
• Required sight distance could be
- stopping sight distance
- intermediate sight distance
- overtaking sight distance
• On narrow roads, the sight distance is
measured along the central line of the road-
single lane road
• On wider roads, the sight distance is
measured along the central line of the inner
side lane of the road
- critical vehicle position
• Overtaking sight distance or passing sight
distance – more set- back distance
Radius of horizontal curve
• Sharper curves- more set back distance
LENGTH OF HORIZONTAL CURVE
 Two cases
 Length of the horizontal curve more or less than the
required sight distance
Set back distance, m = R-(R-d)cos(α/2)
SETTING OUT OF HORIZONTAL
ALIGNMENT
145
• The horizontal alignment consists of
straight sections of the roads, known as
tangents, connected by horizontal curves.
• The curves usually segments of circles.
• Horizontal curves are usually used to
change the alignment direction
Introduction
146
Circular Curve with
Transition Curve
147
• The vertical alignment should provide for a smooth
longitudinal profile consistent with category of the road and
lay of the terrain.
• Grade changes should not be too frequent as to cause kinks
and visual discontinuities in the profile.
• There should be no change in grade within a distance of 150m.
VERTICAL ALIGNMENT
S.NO. Terrain Ruling
gradient
Limiting
gradient
Exceptional
gradient
1 Plain and rolling 3.3 per cent
(1 in 30)
5 per cent
(1 in 20)
6.7 per cent
(1 in 15)
2 Mountainous terrain and
steep terrain having more
than 3000m above the
mean sea level
5 per cent
(1in 20)
6 per cent
(1 in 16.7)
7 per cent
(1 in 14.3)
3 Steep terrain up to
3000m height above
mean sea level
6 per cent
(1 in 16.7)
7 per cent
(1 in 14.3)
8 per cent
(1 in 12.5)
Table: 1
Gradients for roads in different terrains
• Gradient up to the ruling gradient may be used as a matter of
course in design.
• For isolated bridges in flat country or roads carrying a large
volume of slow moving traffic , it will be desirable to adopt a
flatter gradient of 2 per cent fro the angle of aesthetics, traffic
operations, and safety.
• The limiting gradients may be used where the topography of a
place compels this course or where the adoption of gentler
gradients would add enormously to the cost. In such cases, the
length of continuous grade steeper than the ruling gradient
should be as short as possible.
• Exceptional gradients are meant to be adopted only
in very difficult situations and for short lengths not
exceeding 100m at a stretch.
• In mountainous and steep terrain, successive
stretches of exceptional gradients must be separated
by a minimum length of 100m having gentler gradient.
• Grade compensation: When sharp horizontal curve is to
be introduced on a road which has already the maximum
permissible gradient, then the gradient should be
decreased to compensate for the loss of tractive effort
due to the curve.
• This reduction in gradient at the horizontal
curve is called grade compensation, which is
intended to offset the extra tractive effort
involved at the curve.
𝑅
• Grade compensation, per cent =30:𝑅
Or
maximum value of
75
𝑅
• Where R is radius of the circular curve in
meters
Vertical curves
• Due to changes in grade in the vertical alignment of
highway, it is necessary to introduce vertical curve at the
intersections of different grades to smoothen out the
vertical profile and thus ease off the changes in gradients
for the fast moving vehicles.
• The vertical curves are classified into two categories:
1. Summit curves or crest curves with convexity
upwards.
2. Valley or sag curves with concavity upwards.
SUMMIT CURVERS:
Types of summit curves
Figure:1
• While designing the length of curves , it is necessary to
consider the stopping sight distance(SSD) and overtaking
sight distance (OSD) separately.
For SSD:
Case 1: When the length of the curve is greater than
the sight distance (L ˃ SSD)
Length of summit curves:
L =
𝑁𝑆2
2𝐻: 2𝑕 2
As per IRC standard- H = 1.2; h = 0.15
then L =
𝑁𝑆2
4.4
Case 2: When the length of the curve is lesser than the sight
distance (L < SSD)
L = 2S -
2𝐻: 2𝑕 2
𝑁
As per IRC standard- H = 1.2; h = 0.15
then L =2S -
4.4
𝑁
For OSD:
Case 1: When the length of the curve is greater than the
overtaking or Intermediate sight distance (L ˃ S)
L =
𝑁𝑆2
8𝐻
As per IRC : H = 1.2 m
Then L =
𝑁𝑆2
9.6
Case 2: When the length of the curve is lesser than the
overtaking or Intermediate sight distance (L ˃ S)
L = 2S −
8𝐻
N
As per IRC : H = 1.2 m
Then L =2s -
9.6
𝑁
Design speed
(kmph)
Maximum grade
change (% )
Minimum length of
vertical curve, m
35 1.5 15
40 1.2 20
50 1.0 30
65 0.8 40
80 0.6 50
100 0.5 60
Minimum length of vertical curves as per IRC
Table: 2
Valley curves:
Types of Valley curves
Figure: 4
The most important factors considered in valley curve design:
1. impact-free movement of vehicles at design speed or
the comfort to the passengers
2. availability of stopping sight distance under head
lights of vehicles for night driving.
Length of valley curves:
• The length of valley curve is designed based on the two
criteria:
1. The allowable rate of change of centrifugal
acceleration of 0.06 m/sec3
2. the head light sight distance, and the higher of the
two values is adopted.
The valley curve is made fully transitional by providing two
similar transition curves of equal length. Transition curve is set
out by cubic parabola.
Length of valley curve:
case 1: when length of curve is greater than the sight
distance
Figure: 5
Case 2: When length is lesser than the sight distance.
Figure: 6
Coordination of Vertical and
Horizontal Alignment
&
Hairpin Bends
• Horizontal and vertical geometry must be designed concurrently.
• Good coordination increases efficiency, safety, encourages uniform speed
and improves appearance – without additional cost
• Coordination must be addressed at earliest stage of design.
• Driver sees road as changing 3D continuum and is distorted by sharp
changes in design elements, cross sectional views and terrain.
Factors to be considered
• The following should be considered in the coordination of horizontal and
vertical alignment:
o Balance
Curvature and grades should be in proper balance.
Maximum horizontal curvature with flat grades or flat curvature with
maximum grades is undesirable.
A compromise between the two extremes produces the best design
relative to safety, capacity, ease and uniformity of operations and a
pleasing appearance.
o Coordination
Vertical curvature superimposed upon horizontal curvature generally results in a more
pleasing appearance and reduces the number of sight distance restrictions. However,
under some circumstances, superimposing the horizontal and vertical alignment must
be tempered as mentioned below:
Crest Vertical Curves.
Sharp horizontal curvature should not be introduced at or near the top of pronounced
crest vertical curves.

 Driver cannot perceive the horizontal change in alignment, especially at night when
headlight beams project straight ahead into space.
This problem can be avoided if the horizontal curvature leads the vertical
curvature.
Sag Vertical Curves.
Sharp horizontal curvature should not be introduced near bottom of steep grade near
the low point of a pronounced sag vertical curve
 Horizontal curves appear distorted
 Vehicle speeds (esp. trucks) are highest at the bottom of a sag vertical curve
 Can result in erratic motion
o Aesthetics
When possible, alignment should enhance the scenic views of the natural
and manmade environment.
 Highway should lead into, not away from outstanding views
 Fall towards features of interest at low elevation
 Rise towards features best seen from below or in silhouette against the
sky
HAIRPIN BEND
Hairpin Bend
• A hairpin bend is a road with a very acute inner angle,
making it necessary for an oncoming vehicle to turn
almost 1800 to continue on the road.
• Hairpin turns are often provided when a route climbs up
or down a steep slope ,so that it can travel mostly across
with only moderate steepness and
• Often arrayed in a zigzag pattern.
• Highways with repeating hairpin turns allow easier, safer
ascends and descends of mountainous terrain than a
direct , steep climb and descend at the price of greater
distances of travel and usually lower speed limits , due to
sharpness of the turn.
Hairpin bend (Wayanad, Kerala)
Design Criteria as per IRC 52
IRC Recommendations for Hairpin
bends
• A hairpin bend may be designed as a circular curve with transition curves
at each end. Alternatively compound circular curve may be provided.
• Inner and outer edges of the roadway should be concentric with respect
to centre line of the pavement.
• Where a number of hairpin bends have to be introduced, a minimum
intervening length of 60 m should be provided between successive bends
to enable driver to negotiate the alignment smoothly.
THANK YOU
186

highway enginering geometric design .ppt

  • 1.
  • 2.
    Outline 1: Introduction - RoadUser Characteristics 2: Classification of Roads 3: Highway Geometric Design 4: HorizontalAlignment 5: V erticalAlignment 6: Coordination of alignments 2
  • 3.
    1.INTRODUCTION • Indian roadnetwork of 6.3 million Km is the second largest in the world and consists of : CLASSIFICATION OF ROADS NON-URBAN ROADS URBAN ROADS CLASSIFICATION LENGTH(in Km) Expressways 5,342 National Highways 1,51,000 State Highways 1,86,528 Major District Roads 6,32,154 Rural and Other Roads 45,35,511 3
  • 4.
  • 5.
    5 Human element • PHYSICAL •MENTAL • PSYCHOLOGICAL • ENVIRONMENTAL
  • 6.
    6 PHYSICAL CHARACTERISTICS…. • VISION •HEARING • STRENGTH & • GENERAL REACTION TO TRAFFIC SITUATIONS
  • 7.
    VISION The human eyeis the sensory organ that enables one to see and evaluate the size, shape and colour of the objects and estimate distances and speeds of bodies. 7
  • 8.
    8 ACUITY OF VISION •Field of acute clear & acute vision is within a cone whose angle is only 3 degrees • Up to 10 degree satisfactory in general • Even up to 20 degree in the horizontal plane • This is important when locating traffic signs and signals
  • 9.
  • 10.
  • 11.
    11 3.1.2 PERIPHERAL VISION •Deals with the total visual field for the two eyes • The angle of peripheral vision is about 160 degree in the horizontal direction & 115 degree in the vertical direction • The angle of cone falls down 110 degree( @ 30 kmph) 40 degree (@100 kmph)
  • 12.
  • 13.
    CONTINUES…. • COLOUR VISION •DRIVERSABILITY TO ADAPT TO THE GLARE (GLARE RECOVERY TIME 3-6 SECONDS) • THE ABILTY TO JUDGE THE DEPTH DISTANCE & SPEED OF AN OBJECT 13
  • 14.
    HEARING • SOUND OFHORN ALERT PEDESTRIAN • ELDERLY PERSONS WITH FALLING EYESIGHT CAN PERCEIVE BETTER THROUGH HEARING • DEFECTIVE HEARING- NOT A SERIOUS HANDICAP 14
  • 15.
    15 STRENGTH – Difficulties inrapid decision making • At intersections – Take time to absorb traffic control information – Difficulty at night • Lower light level • Headlight glare – Readily fatigued
  • 16.
    16 MENTAL CHARACTERISTICS • KNOWLEDGEOF VEHICLE CHARACTERISTICS, TRAFFIC BEHAVIOUR, DRIVING PATIENCE, RULE OF ROADS, PSHYCHOLOGY OF OTHER DRIVERS…. • SKILL • INTELLIGENCE • EXPERIENCE- REACTIONS BECOME SPONTANEOUS • LITERACY- TRAFFIC REGULATIONS & SPECIAL INSTRUCTIONS • PATIENCE
  • 17.
  • 18.
  • 19.
    19 ENVIRONMENTAL • TRAFFIC STREAMCHARACTERISTICS -MIXED OR HOMOGENIC -HEAVY OR LIGHT • TRAFFIC FACILITY • ATMOSPHERIC CONDITIONS - CLOUDY - DUSTY • LOCALITY
  • 20.
    DESIGN VEHICLE Selected motorvehicles with weight, dimensions, and operating characteristics used to establish highway design controls Design vehicle has larger physical dimensions and a larger minimum turning radius than most vehicles in its class.
  • 21.
    Influence on thegeometric design aspects of roads • Radii • width of pavements • clearances • parking geometrics etc.
  • 22.
    Design aspects ofan intersection • horizontal and vertical alignments • lane widths • turning radii • intersection sight distance, • storage length of auxiliary lanes • acceleration and deceleration lengths on auxiliary lanes.
  • 23.
    TYPES OF DESIGNVEHICLES • Four general classes of vehicles have been established. • passenger cars • Buses • Trucks • recreational vehicles • The passenger car class includes compacts, subcompacts, sedans, pick-up trucks, SUVs, minivans, and full-size vans. • Buses include inter-city (motor coaches), city transit, school, and articulated buses.
  • 24.
    DIMENSIONS OF DESIGNVEHICLE Standardization of the dimensions and weights of vehicles is done by • AASHTO – American Association of State Highway and Transportation Officials • IRC – India Road Congress • Ministry of transport regulations - UK
  • 25.
    Authority/ country Maximum width Maximum Height Maximum Overall Length Passeng er car Singleunit truck Semi trailer Truck trailer Single unit bus UK 2.5 4.57 5.5 11 13 18 - IRC 2.5 3.8 - 4.2(Truck) 4.75 (Double decker bus) - 11 16 18 12
  • 26.
    • Maximum axleloads in Tonnes Single axle Tandem Axle U.K 10 - IRC 10.2 18
  • 27.
    27 IRC CLASSIFICATION • CLASSIFICATIONOF NON-URBAN ROADS : 1. National Highways(NH) 2. State Highways(SH) 3. Major District Roads(MDR) 4. Other District Roads(ODR) 5. Village Roads(VR)
  • 28.
    28 NATIONAL HIGHWAYS • Importantroads of the country. • Connect state capitals, ports, foreign highways. • Include roads of military importance. • Financed by the central government.
  • 29.
    29 STATE HIGHWAYS • Importantroads of a state. • Connect: – important cities and district head quarters in the state, – national highways & state highways of neighbouring states. • Construction, maintainance & funding – by state government • NH and SH have same design speed and geometric design.
  • 30.
    30 MAJOR DISTRICT ROADS •These are the roads within a district . • Serves areas of production and markets. • Connecting these with each other or with main highways. • Financed by zillaparishads with the help of grants given by state government.
  • 31.
    31 RURAL ROADS 1. OTHERDISTRICT ROADS • Roads serving rural areas of production. • Provides outlet to market centres, taluk headquarters and to other main roads. 2. VILLAGE ROADS • Connects villages or group of villages with each other • And to the nearest road of a higher category
  • 32.
  • 33.
  • 34.
    Expressway contd… • Eg.Golden quadrilateral • Largest express highway project in india • One of the longest highways in the world 34
  • 35.
  • 36.
  • 37.
  • 38.
  • 39.
  • 40.
  • 41.
    41 2. Highway GeometricDesign • TERRAIN AND ITS DESCRIPTION • An area of land, when considering its natural features. • A knowledge of terrain, that is the land as a working surface is required for planning highway operations. • Terrain classification has been described by means of text descriptions ,by reference to ground contours, and in terms of cross-slope.
  • 42.
    CLASSIFICATION • Terrain isclassified based on the percentage of cross slope that is slope approximately in the perpendicular direction of the road that’s what is normally indicated as cross slope TERRAIN CLASSIFICATION % CROSS SLOPE PLAIN ROLLING MOUNATAINOUS STEEP UPTO 10 10 TO 25 25 TO 60 >60
  • 43.
    TERRAIN CLASSIFICATION AS PERROAD USER COST STUDY • An extensive survey of 42,000 km of roads in India as part of the Road User Cost Study has enabled the development of system of Terrain classification (Source L.R.kadiyali)
  • 44.
    QUANTIFICATION OF CURVATURE: PLAN Average Curvature of section AB= ф1+ф2+ф3+---------- фn/Distance(AB) (Source L.R.kadiyali)
  • 45.
    QUANTIFICATION OF RISEAND FALL: LONGITUDINAL PROFILE Average Rise of section AB= h1+h3+---------- hm/Distance AB (KM) Average Fall of section AB= h2+h4+---------- hn/Distance AB (KM) (Source L.R.kadiyali)
  • 46.
    GRADIENTS FOR ROADSIN DIFFERENT TERRAIN S TERRAIN RULING GRADIENT LIMITING GRADIENT EXCEPTIONAL GRADIENT PLAIN & ROLLING MOUNATAINOUS STEEP 3.3% 5% 6% 5% 6% 7% 6% 7% 8% (Source IRC: 73-1980.)
  • 47.
    47 DESIGN SPEED • Dependson class of road and terrain • Ruling Speeds – Guiding criteria for geometric design • Min Speed – used where site conditions or economic considerations warrant
  • 48.
  • 49.
    49 Cross Sectional Elements-introduction •Features that deals with the width of highway • Influences life of pavement, riding comfort and safety • Different cross sectional elements are  Carriageway  Shoulders  Roadway width  Right of way  Building line and control line  Central reservations(Median)  Camber  Side slope  Lateral and vertical clearances  Curbs (Kerbs)
  • 50.
    Building Line andControl line • Control construction/developmental activities 50
  • 51.
    51 Carriageway • Paved surfaceused for vehicular movements • Takes vehicular loading • Cement concrete, bituminous pavement etc. • Width depends on no. of lanes- single lane, two lane or multi lane • Intermediate lane width is provided for essential manoeuvres like overtaking or crossing WIDTH OF CARRIAGEWAY(meters) SINGLE LANE INTERMEDI ATE LANE TWO LANES WITHOUT RAISED KERBS TWO LANES WITH RAISED KERBS MULTI LANE ROAD(WIDTH PER LANE) 3.75 5.5 7 7.5 3.5
  • 52.
    How width isdecided?? http://www.cdeep.iitb.ac.in/ 52
  • 53.
    Shoulder • Basically givessupport to carriageway • Provides space for stopped vehicles(parking) • One half the distance between roadway width and carriageway width 53
  • 54.
    54 Roadway • Carriageway(including separators)and shoulders together constitute the roadway • Roadway width also known as width of formation • Roadway width depends on the type of terrain • Different for different type of roads ROAD CLASSIFICATI ON ROADWAY WIDTH IN m PLAIN AND ROLLING TERRAIN MOUNTAINEO US AND STEEP TERRAIN NH/SH 12 6.25-8.8 MDR 9 4.75 ODR 7.5-9.0 4.75 VR 7.5 4
  • 55.
    55 • Culverts (upto6m span)- normal roadway width is to be provided measured from outside to outside of the parapet walls • Bridges(greater than 6m span) –clear width of roadway between kerbs should be as under • Single lane bridge -4.25 m • Two lane bridge -7.5m • Multilane bridge carriageway --3.5 m per lane + 0.5 m for each • At causeways and submersible bridges -7.5m
  • 56.
    Right of way(ROW) • Right of way or land width • Land secured and preserved for road purpose • Should be adequate to accommodate all the cross section elements • Should provide space for future upgradation • the type of Depends on type of terrain and area(open or built up) 56
  • 57.
    IRC 73-1980 specifications RIGHTOF WAY WIDTH IN meters plain and rolling terrain mountaineous and steep terrain CLASS OF ROAD rural areas urban areas rural areas urban areas Normal Range Normal Range Normal Exceptiona l Normal Exception al NH/SH 45 30-60 30 30-60 24 18 20 18 MDR 25 25-30 20 15-25 18 15 15 12 ODR 15 15-25 15 15-20 15 12 12 9 VR 12 12--18 10 15-20 9 9 9 579
  • 58.
    PLAIN AND ROLLINGTERRAIN MOUNTAINEOUS AND STEEP TERRAINS OPEN AREAS BUILT UP AREAS OPEN AREAS BUILT UP AREAS ROAD CLASSIFICATI ON OVERAL L WIDTH BETWE EN BUILDI NG LINES(metres) DISTANCE BETWEEN ROAD BOUNDARY BUILDING LINE(SETBACK) metres OVERALL WIDTH BETWEEN CONTROL LINES(metres) DISTANCE BETWEEN ROAD BOUNDARY BUILDING LINE(SETBACK) metres NH/SH 80 150 3--6 3--5 3--5 MDR 50 100 3--5 3--5 3--5 ODR 25/30 35 3--5 3--5 3--5 VR 25 30 3--5 3--5 3--5 REF: IRC 73-1980
  • 59.
    MEDIANS • Longitudinal spaceseparating dual carriageways • Separates directional traffic streams • Should be as wide as possible • Width is restricted by economic consideration • Uniform width is preferable • Width depends on the type of road/cross drainage structure and availability of land • Transition length for change in width • Right turning pockets • Reduce head light glare 59
  • 60.
    60 • Minimum desirablewidth on rural highways -5 m (reduced to 3m if land is restricted) • On bridges and viaducts-1.5m • Should not be less than 1.2m • Desired transition in width- 1 in 15 to 1 in 20 (IRC 73-1980 specifications)
  • 61.
    Camber • To drainoff rain water from road surface • Depends on type of road and amount of rainfall SURFACETYPE CAMBER/CROSSFALL HIGH TYPE BITUMINOUS SURFACING OR CEMENT CONCRETE 1.7-2.0 % THIN BITUMINOUS SURFACING 2.0-2.5% WATER BOUND MECADEM, GRAVEL 2.5-3.0% EARTH 3.0-4.0% IRC 73-1980 61
  • 62.
    • Shapes of camber •Parabolic • Straight line • Or combination http://www.cdeep.iitb.ac.in/ 62
  • 63.
    63 Kerbs (curbs) • Verticalor sloping member along the edge of pavement or paved shoulder • Desirable for urban roads • Facilitates and controls drainage • Strengthens and protects pavement edge • Delineates pavement edge • Presents more finished appearance • Encourages orderly roadside development
  • 64.
    • Types ofkerbs • Mountable • Semi barrier type • Barrier type 64
  • 65.
    Sight Distances • Visibilityis an important requirement for the safe travel on highways. • Driver from a specified height above carriageway should have visibility of stationary and moving objects. • SIGHT DISTANCE is the length of road visible ahead to the driver at any instance.
  • 66.
    • Restrictions tosight distances may be caused at horizontal, vertical curves and at intersections.
  • 69.
    • Three typesof sight distances are relevant insofar as the design of summit vertical curves and visibility at horizontal curves: • 1) Stopping Sight Distance • 2) Overtaking Sight Distance • 3) Intermediate Sight Distance • For valley curves design is governed by night visibility which is reckoned in terms of the Headlight Sight Distance.
  • 70.
    Stopping sight distance •Stopping Sight Distance (SSD) is the clear distance ahead needed by a driver to bring his vehicle to a halt before meeting any other obstruction in his path. • Sight distance available on a road to a driver at any instance depends on : • 1) Features of the road ahead – horizontal alignment, vertical profile, traffic condition, position of obstruction • 2) Height of the driver’s eye above the road surface – IRC suggests height of eye level of driver as 1.2 m
  • 71.
    • 3) Heightof the object above the road surface – IRC suggests height of the object as 0.15 m above the road surface. • SSD further depends on a) Total reaction time of driver b) Speed of vehicle c) Efficiency of brakes d) Frictional resistance between road and tyres e) Gradient of the road
  • 72.
    SSD contd.. • Minimumstopping sight distance is the sum of (i)distance travelled during the perception and brake reaction time [Lag Distance] (ii) the braking distance • Lag distance = v.t v = design speed in m/s t = total reaction time of the driver – IRC recommends t = 2.5 s for SSD calculations
  • 73.
    SSD contd.. Braking distance •For a level road this is obtained by equating the work done in stopping the vehicle and the kinetic energy of the vehicle • If F is the maximum frictional force developed and the braking distance is l, then work done against friction in stopping the vehicle is Fl = fwl fwl = 1 mv² 2 𝑣2 l = 2𝑔 𝑓
  • 74.
    v = designspeed in m/s g = acceleration due to gravity f = design coefficient of friction • SSD = 𝑣𝑡 + 𝑣² 2𝑔 𝑓 • SSD at slopes = 𝑣𝑡+ 𝑣² 2𝑔(𝑓±0.01𝑛) • +n is ascending gradient and –n is descending gradient
  • 75.
    Overtaking sight distance(OSD) • The overtaking sight distance is the minimum distance open to the vision of the driver of a vehicle intending to overtake the slow vehicle ahead safely against the traffic in the opposite direction • The overtaking sight distance or passing sight distance is measured along the centre line of the road over which a driver with his eye level 1.2 m above the road surface can see the top of an object 1.2 m above the road surface.
  • 77.
    The factors thataffect the OSD are: • Velocities of the overtaking vehicle, overtaken vehicle and of the vehicle coming in the opposite direction. • Spacing between vehicles, which in-turn depends on the speed • Skill and reaction time of the driver • Rate of acceleration of overtaking vehicle • Gradient of the road
  • 78.
    The overtaking sightdistance consists of three parts: • d1 = The distance travelled by overtaking vehicleAduring the reaction time t = t1 – t0 • d2 = The distance travelled by the vehicle during the actual overtaking operation T = t3 – t1 • d3 = Is the distance travelled by on-coming vehicle C during the overtaking operation • OSD = d1+d2+d3
  • 79.
    • It isassumed that the vehicleAis forced to reduce its speed to vb the speed of the slow moving vehicle B and travels behind it during the reaction time t of the driver Therefore, d1 = vb.t • Then the vehicle A starts to accelerate with acceleration a, shifts the lane, overtake and shift back to the original lane. The vehicleAmaintains the spacing s before and after overtaking. s is given by empirical formula 𝑠 = 0.7𝑣𝑏 + 6 in metres
  • 80.
    • Let Tbe the duration of actual overtaking. The distance travelled by B during the overtaking operation is 2𝑠 + 𝑣𝑏𝑇. Also, during this time, vehicleAaccelerated and overtaking is completed. 1 𝑑2 = 𝑣𝑏𝑇 + 2 𝑎𝑇2 1 𝑣𝑏𝑇 + 2𝑠 = 𝑣𝑏𝑇 + 2 𝑎𝑇2 𝑇 = 4𝑠 𝑎
  • 81.
    • The distancetravelled by the vehicle C moving at design speed v during overtaking operation is given by 𝑑3 = 𝑣𝑇 • IRC recommends vb = v – 4.5 • d3 is not required when there is no opposing traffic. • Overtaking zones are provided when OSD cannot be provided throughout the length of the highway. These are zones dedicated for overtaking operation, marked with wide roads. The desirable length of overtaking zones is 5 time OSD and the minimum is 3 times OSD .
  • 83.
    Intermediate sight distance •Adistance equivalent to twice the stopping sight distance, a distance where overtaking could be attempted with reasonable safety. • Overtaking is mostly prohibited at horizontal curves using regulatory signs. • In case of vertical summit curves, it is possible to provide ISD • ISD = 2 SSD • Measurement of ISD is made on assuming both the height of driver’s eye level and height of object are 1.2m from road surface.
  • 84.
    Headlight Sight distance •This is the distance ahead of the vehicle illuminated by the headlights which is within the view of the driver. • The design must ensure that the roadway ahead is illuminated by vehicle headlights to a sufficient length enabling the vehicle to brake to a stop if necessary. • The following criteria to be maintained: a) height of headlight above the road surface is 0.75m b) The useful beam of headlight is upto 1° upwards from the grade of road c) the height of the object is nil • HSD = SSD
  • 85.
  • 86.
    SIGHT distances atintersection • At intersections where two or more roads meet, visibility should be provided for the drivers approaching the intersection from either sides. • They should be able to perceive a hazard and stop the vehicle if required. • Stopping sight distance for each road can be computed from the design speed. • The sight distance should be provided such that the drivers on either side should be able to see each other.
  • 87.
    • Design ofsight distance at intersections may be used on three possible conditions: a) enabling approaching vehicle to change the speed b)enabling approaching vehicle to stop c)enabling stopped vehicle to cross a main road
  • 89.
    89 HORIZONTAL ALIGNMENT • Theposition or the layout of the central line of the highway on the ground is called the alignment. • Horizontal alignment includes straight and curved paths. • Consistent, safe, smooth movement of vehicles • Design Factors – Design Speed – Radius of Circular Curve – Superelevation – Extra widening – Type and length of transition curves
  • 90.
    90 DESIGN SPEED • Dependson class of road and terrain • Ruling Speeds – Guiding criteria for geometric design • Min Speed – used where site conditions or economic considerations warrant
  • 91.
  • 92.
  • 93.
    HORIZONTAL CURVES • Curvein plan to provide change in direction • Centrifugal force acting outwards 93
  • 94.
  • 95.
    95 DEFINITION • The outeredge of road at the horizontal curve is raised above the inner edge. This is super elevation. • Given throughout the length of horizontal curve to reduce the effect of centrifugal force on the running wheels. • It is also sometimes termed as banking.
  • 96.
  • 97.
  • 98.
  • 99.
    • Resolving theforces parallel and perpendicular to the inclined road surface, PcosӨ = WsinӨ + FA + FB • 99
  • 100.
    • Equilibrium superelevation: when f = 0, high rate of SE 100
  • 101.
    101 SUPERELEVATION DESIGN • Forfast moving vehicles, neglecting lateral friction is safer • For slow moving vehicles, high rate of SE is inconvenient. • As a compromise, – SE is provided to counteract centrifugal force due to 75% design speed. – Limit the max superelevation
  • 102.
    102 MAX SUPERELEVATION • Plainand rolling terrain – 7% • Hilly roads not bounded by snow – 10%
  • 103.
    STEPS FOR SUPERELEVATIONDESIGN i. ii. If e <emax , provide the value obtained. Else e = emax and check for f as per step iii. iii. Check for f . If f<0.15, emax is safe iv. If f>0.15, restrict the speed in curve or increase the radius of the curve after providing emax 103
  • 104.
    If required SEcannot be provided, • Restrict the velocity • Increase the radius R= 104
  • 105.
    105 MIN SUPERELEVATION • Fordrainage considerations, a minimum cross slope is required. • Min SE = camber
  • 106.
    106 METHOD OF ATTAINMENT Twostages I. Outer half of camber is gradually raised until its level and subsequently rotated to obtain uniform cross slope II. Rotation of pavement to attain full superelevation
  • 107.
    STAGE I-ATTAINING SUPERELEVATION EQUALTO CAMBER 107 Outer half of camber is raised gradually & brought to level at the start of the transition curve Source: Khanna & Justo
  • 108.
    STAGE I (Contd..) 108 Subsequentlythe outer half is further rotated to obtain uniform cross slope equal to camber Source: Khanna & Justo
  • 109.
    STAGE II-ATTAINING FULL SUPERELEVATION 3Methods • Rotation about centerline • Rotation about inner edge • Rotation about outer edge 109
  • 110.
    STAGE II (Contd..) i.About the center line • Gradually lowering the inner edge and raising the upper edge .Level of centerline constant 110 Source:L.R Kadiyali
  • 111.
    STAGE II (Contd..) ii.About the inner edge • Raising centre and outer edge 111 Source:L.R Kadiyali
  • 112.
    STAGE II (Contd..) iii.About the outer edge • Depressing the center and inner edge 112 Source:L.R Kadiyali
  • 113.
    • SE isgradually attained over full length of transition curve so that desired SE is available at starting of circular curve • Rate of introduction of SE – Plain and Rolling Terrain – 1 in 150 – Mountainous and steep terrain – 1 in 60 113
  • 114.
  • 115.
    RADIUS OF HORIZONTALCURVE • Centrifugal force is dependent on radius of the horizontal curve. • To keep centrifugal ratio within a low limit , the radius of the curve should be kept correspondingly high. • If the design speed is decided for a highway, then the minimum radius to be adopted can be found from the following relationship, i.e., e+f =v2/gR
  • 116.
    Ruling Minimum Radius: Rruling= 𝑣2 𝑒 : 𝑓 𝑔 , where v is ruling design speed in m/sec. Absolute Minimum Radius: min R = 𝑣12 𝑒 : 𝑓 𝑔 , where v1 is minimum design speed in m/sec. Minimum radius of the curve is obtained by adopting maximum values for both e and f
  • 117.
    Table showing DesignSpeeds on Rural Highways for different terrain conditions
  • 118.
    Table showing minimumradii of horizontal curves for different terrain conditions classification PLAINTERRRAIN ROLLING TERRAIN MOUNTAINOUS TERRAIN STEEPTERRAIN AREAS AFFECTED BY SNOW SNOW BOUND AREAS AREAS AFFECTED BY SNOW SNOW BOUND AREAS Road RULING MIN RADIUS ABSOLU TE MIN RADIUS RULING MIN RADIUS ABSOLU TE MIN RADIUS RULING MIN RADIUS ABSOLU TE MIN RADIUS RULING MIN RADIUS ABSOLU TE MIN RADIUS RULING MIN RADIUS ABSOLU TE MIN RADIUS RULING MIN RADIUS ABSOLUT E MIN RADIUS NH & SH 360 230 230 155 80 50 90 60 50 30 60 33 MDR 230 155 155 90 50 30 60 33 30 14 33 15 ODR 155 90 90 60 30 20 33 23 20 14 23 15 VILLAGE ROADS 90 60 60 45 20 14 23 15 20 14 23 15 Source-IRC:73-1980
  • 119.
    WIDENING OF PAVEMENTON HORIZONTAL CURVE It includes • Need for extra widening • Analysis of extra widening on curves • Methods of introducing extra widening
  • 120.
    Need for extrawidening: Fig(i) Fig(ii)
  • 121.
    • Widening ofthe pavement on the horizontal curves is governed by the following factors: (a) Length of the wheel base (b) Radius of the curve negotiated, R (c)Psychological factor which depends upon the velocity of the vehicle and the radius of the curve
  • 122.
    Analysis of extrawidening on curves: It is divided into: a)Mechanical widening b)Psychological widening
  • 123.
    a)Mechanical widening(Wm) • Wideningrequired to account for the off-tracking due to rigidity of wheel base DERIVATION: Let R1 be the radius of the path traversed by the outer rear wheel , m R2 be the radius of the path traversed by the outer front wheel , m wm be the off-tracking or the mechanical widening , m l be the length of wheel base , m From fig , wm = R2 – R1 eq (i) R1 = R2 - wm -------------- & R1 2 = R2 2 – l2 ------------ eq (ii) Substitute eq(i) in eq(ii) On further simplification of eq (ii) we arrive at wm = l2 /(2R2 – wm ) m 𝑙2 2𝑅 / therefore , w = , where R is the mean radius of the curve for a road having ‘n’ traffic lanes , mechanical widening required is wm 𝑛𝑙2 = 2𝑅
  • 124.
    b)Psychological widening(wps ) •for providing greater maneuverability of steering at higher speeds • provide greater clearance for crossing and overtaking vehicles on the curves IRC provides an empirical relation for the psychological widening at the horizontal curves ps w = 𝑉𝑘 9.5 𝑅 , v in kmph Therefore, the total extra widening to be provided is e W = 𝑛 𝑙 2 + 𝑉𝑘 2𝑅 9.5 𝑅
  • 125.
    The extra wideningrecommended by the IRC for single lane and two lane pavements For multi-lane roads, the pavement widening is calculated by adding half of the extra width of two-lane road to each lane of the multi-lane road Radius of curve (m) up to 20 20 to 40 41 to 60 61 to 100 101 to 300 above 300 Extra Width (m) Two-lane 1.5 1.5 1.2 0.9 0.6 Nil Single-lane 0.9 0.6 0.6 Nil Nil Nil
  • 126.
    Methods of introducingextra widening
  • 127.
    127 Transition Curve • Transitioncurve ensures a smooth change from straight road to circular curves. • Transition curve is provided to change the horizontal alignment from straight to circular curve gradually and has a radius which decreases from infinity at the straight end (tangent point) to the desired radius of the circular curve at the other end (curve point).
  • 128.
  • 129.
    129 Need and Objective •The objectives for providing transition curves are: 1. to introduce gradually the centrifugal force between the tangent point and the beginning of the circular curve, avoiding sudden jerk on the vehicle. This increases the comfort of passengers. 2. to enable the driver turn the steering gradually for his own comfort and security, 3. to provide gradual introduction of super elevation, and 4. to provide gradual introduction of extra widening. 5. to enhance the aesthetic appearance of the road.
  • 130.
    130 Types of TransitionCurve • Different types of Transition curves are: spiral or clothoid, cubic parabola, and Lemniscate. • IRC recommends spiral as the transition curve because it fulfills the requirement of a ideal transition curve 1) rate of change of centrifugal acceleration is consistent (smooth) 2) radius of the transition curve is ∞ at the straight edge and changes to Rat the curve point 3) calculation and field implementation is very easy.
  • 131.
    131 Length of TransitionCurve: • The length of the transition curve should be determined as the maximum of the following three criteria: 1) Rate of change of centrifugal acceleration 2) rate of change of super elevation and 3) an empirical formula given by IRC
  • 132.
    Length of TransitionCurve: 1) Rate of change of centrifugal acceleration: If Cis the rate of change of centrifugal acceleration 132
  • 133.
  • 134.
  • 135.
  • 136.
  • 137.
  • 138.
    Set Back Distance •Adequate sight distance on horizontal curves: an essential consideration • Absolute minimum sight distance- safe stopping sight distance should be available at every section of the highway • Horizontal curve- location with problems of sight distance • Need of adequate sight distance- safe and efficient movement of traffic
  • 139.
    • Obstruction tosight distance: buildings, trees, cut slopes etc. along the inner side of the horizontal curves • Set- back distance: to provide adequate sight distance on horizontal curves
  • 140.
    Set-back distance isbasically the clear distance in the inner side of the curve which must be available to make sure that adequate sight distance is available on horizontal curve.
  • 141.
    Set- back distancedepends on : • required sight distance(S) • radius of horizontal curve(R) • length of curve(L)
  • 142.
    Sight distance • Requiredsight distance could be - stopping sight distance - intermediate sight distance - overtaking sight distance • On narrow roads, the sight distance is measured along the central line of the road- single lane road • On wider roads, the sight distance is measured along the central line of the inner side lane of the road - critical vehicle position • Overtaking sight distance or passing sight distance – more set- back distance
  • 143.
    Radius of horizontalcurve • Sharper curves- more set back distance LENGTH OF HORIZONTAL CURVE  Two cases  Length of the horizontal curve more or less than the required sight distance
  • 144.
    Set back distance,m = R-(R-d)cos(α/2)
  • 145.
    SETTING OUT OFHORIZONTAL ALIGNMENT 145
  • 146.
    • The horizontalalignment consists of straight sections of the roads, known as tangents, connected by horizontal curves. • The curves usually segments of circles. • Horizontal curves are usually used to change the alignment direction Introduction 146
  • 147.
  • 148.
    • The verticalalignment should provide for a smooth longitudinal profile consistent with category of the road and lay of the terrain. • Grade changes should not be too frequent as to cause kinks and visual discontinuities in the profile. • There should be no change in grade within a distance of 150m. VERTICAL ALIGNMENT
  • 149.
    S.NO. Terrain Ruling gradient Limiting gradient Exceptional gradient 1Plain and rolling 3.3 per cent (1 in 30) 5 per cent (1 in 20) 6.7 per cent (1 in 15) 2 Mountainous terrain and steep terrain having more than 3000m above the mean sea level 5 per cent (1in 20) 6 per cent (1 in 16.7) 7 per cent (1 in 14.3) 3 Steep terrain up to 3000m height above mean sea level 6 per cent (1 in 16.7) 7 per cent (1 in 14.3) 8 per cent (1 in 12.5) Table: 1 Gradients for roads in different terrains
  • 150.
    • Gradient upto the ruling gradient may be used as a matter of course in design. • For isolated bridges in flat country or roads carrying a large volume of slow moving traffic , it will be desirable to adopt a flatter gradient of 2 per cent fro the angle of aesthetics, traffic operations, and safety. • The limiting gradients may be used where the topography of a place compels this course or where the adoption of gentler gradients would add enormously to the cost. In such cases, the length of continuous grade steeper than the ruling gradient should be as short as possible.
  • 151.
    • Exceptional gradientsare meant to be adopted only in very difficult situations and for short lengths not exceeding 100m at a stretch. • In mountainous and steep terrain, successive stretches of exceptional gradients must be separated by a minimum length of 100m having gentler gradient.
  • 152.
    • Grade compensation:When sharp horizontal curve is to be introduced on a road which has already the maximum permissible gradient, then the gradient should be decreased to compensate for the loss of tractive effort due to the curve. • This reduction in gradient at the horizontal curve is called grade compensation, which is intended to offset the extra tractive effort involved at the curve. 𝑅 • Grade compensation, per cent =30:𝑅 Or maximum value of 75 𝑅 • Where R is radius of the circular curve in meters
  • 153.
    Vertical curves • Dueto changes in grade in the vertical alignment of highway, it is necessary to introduce vertical curve at the intersections of different grades to smoothen out the vertical profile and thus ease off the changes in gradients for the fast moving vehicles. • The vertical curves are classified into two categories: 1. Summit curves or crest curves with convexity upwards. 2. Valley or sag curves with concavity upwards.
  • 154.
    SUMMIT CURVERS: Types ofsummit curves Figure:1
  • 155.
    • While designingthe length of curves , it is necessary to consider the stopping sight distance(SSD) and overtaking sight distance (OSD) separately. For SSD: Case 1: When the length of the curve is greater than the sight distance (L ˃ SSD) Length of summit curves: L = 𝑁𝑆2 2𝐻: 2𝑕 2 As per IRC standard- H = 1.2; h = 0.15 then L = 𝑁𝑆2 4.4
  • 156.
    Case 2: Whenthe length of the curve is lesser than the sight distance (L < SSD) L = 2S - 2𝐻: 2𝑕 2 𝑁 As per IRC standard- H = 1.2; h = 0.15 then L =2S - 4.4 𝑁
  • 157.
    For OSD: Case 1:When the length of the curve is greater than the overtaking or Intermediate sight distance (L ˃ S) L = 𝑁𝑆2 8𝐻 As per IRC : H = 1.2 m Then L = 𝑁𝑆2 9.6 Case 2: When the length of the curve is lesser than the overtaking or Intermediate sight distance (L ˃ S) L = 2S − 8𝐻 N As per IRC : H = 1.2 m Then L =2s - 9.6 𝑁
  • 158.
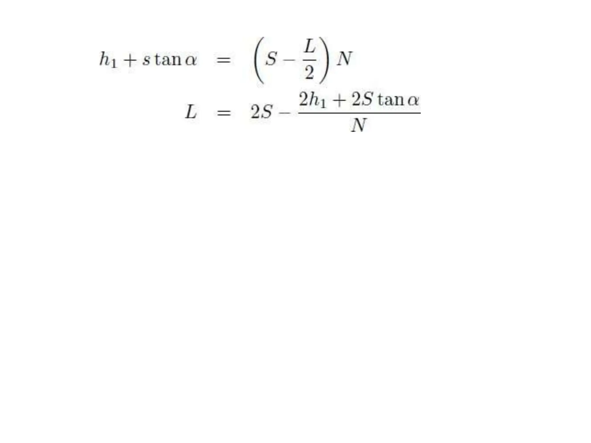
    Design speed (kmph) Maximum grade change(% ) Minimum length of vertical curve, m 35 1.5 15 40 1.2 20 50 1.0 30 65 0.8 40 80 0.6 50 100 0.5 60 Minimum length of vertical curves as per IRC Table: 2
  • 159.
    Valley curves: Types ofValley curves Figure: 4
  • 160.
    The most importantfactors considered in valley curve design: 1. impact-free movement of vehicles at design speed or the comfort to the passengers 2. availability of stopping sight distance under head lights of vehicles for night driving. Length of valley curves: • The length of valley curve is designed based on the two criteria: 1. The allowable rate of change of centrifugal acceleration of 0.06 m/sec3 2. the head light sight distance, and the higher of the two values is adopted.
  • 161.
    The valley curveis made fully transitional by providing two similar transition curves of equal length. Transition curve is set out by cubic parabola. Length of valley curve: case 1: when length of curve is greater than the sight distance Figure: 5
  • 162.
    Case 2: Whenlength is lesser than the sight distance. Figure: 6
  • 164.
    Coordination of Verticaland Horizontal Alignment & Hairpin Bends
  • 165.
    • Horizontal andvertical geometry must be designed concurrently. • Good coordination increases efficiency, safety, encourages uniform speed and improves appearance – without additional cost • Coordination must be addressed at earliest stage of design. • Driver sees road as changing 3D continuum and is distorted by sharp changes in design elements, cross sectional views and terrain.
  • 166.
    Factors to beconsidered • The following should be considered in the coordination of horizontal and vertical alignment: o Balance Curvature and grades should be in proper balance. Maximum horizontal curvature with flat grades or flat curvature with maximum grades is undesirable. A compromise between the two extremes produces the best design relative to safety, capacity, ease and uniformity of operations and a pleasing appearance.
  • 167.
    o Coordination Vertical curvaturesuperimposed upon horizontal curvature generally results in a more pleasing appearance and reduces the number of sight distance restrictions. However, under some circumstances, superimposing the horizontal and vertical alignment must be tempered as mentioned below: Crest Vertical Curves. Sharp horizontal curvature should not be introduced at or near the top of pronounced crest vertical curves.   Driver cannot perceive the horizontal change in alignment, especially at night when headlight beams project straight ahead into space. This problem can be avoided if the horizontal curvature leads the vertical curvature. Sag Vertical Curves. Sharp horizontal curvature should not be introduced near bottom of steep grade near the low point of a pronounced sag vertical curve  Horizontal curves appear distorted  Vehicle speeds (esp. trucks) are highest at the bottom of a sag vertical curve  Can result in erratic motion
  • 168.
    o Aesthetics When possible,alignment should enhance the scenic views of the natural and manmade environment.  Highway should lead into, not away from outstanding views  Fall towards features of interest at low elevation  Rise towards features best seen from below or in silhouette against the sky
  • 180.
  • 181.
    Hairpin Bend • Ahairpin bend is a road with a very acute inner angle, making it necessary for an oncoming vehicle to turn almost 1800 to continue on the road. • Hairpin turns are often provided when a route climbs up or down a steep slope ,so that it can travel mostly across with only moderate steepness and • Often arrayed in a zigzag pattern. • Highways with repeating hairpin turns allow easier, safer ascends and descends of mountainous terrain than a direct , steep climb and descend at the price of greater distances of travel and usually lower speed limits , due to sharpness of the turn.
  • 182.
  • 183.
  • 184.
    IRC Recommendations forHairpin bends • A hairpin bend may be designed as a circular curve with transition curves at each end. Alternatively compound circular curve may be provided. • Inner and outer edges of the roadway should be concentric with respect to centre line of the pavement. • Where a number of hairpin bends have to be introduced, a minimum intervening length of 60 m should be provided between successive bends to enable driver to negotiate the alignment smoothly.
  • 185.