Embed presentation
Downloaded 423 times















































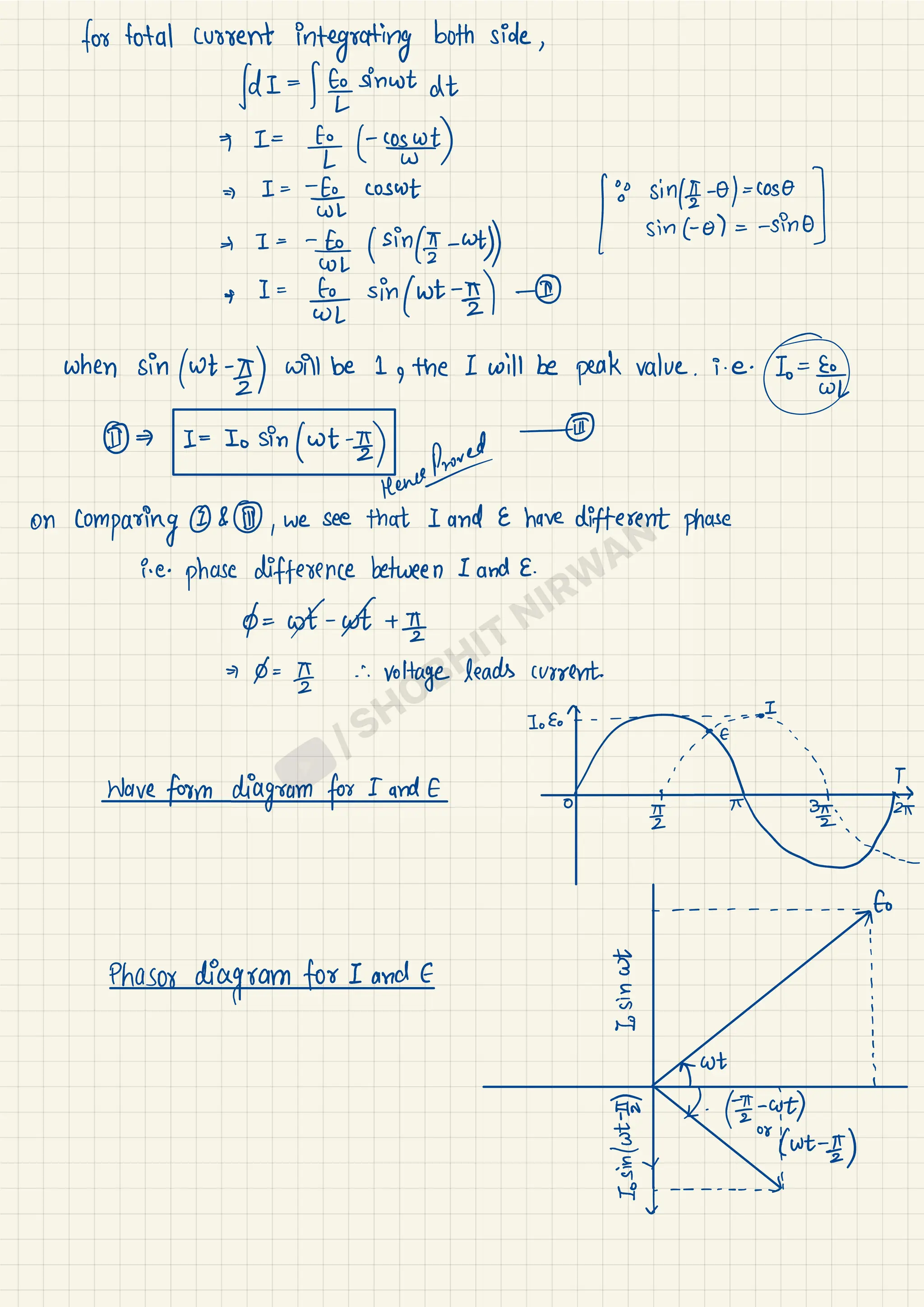
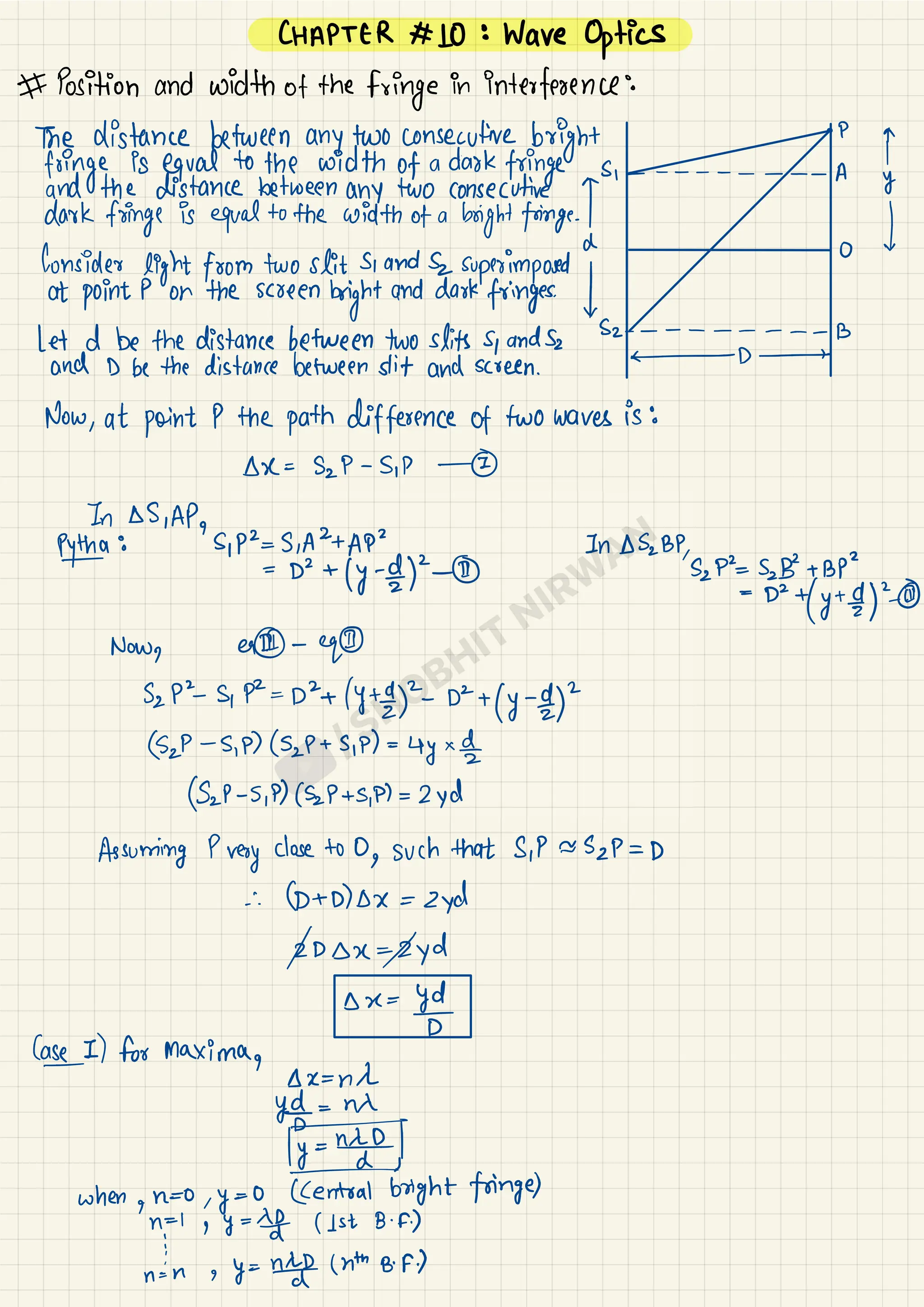
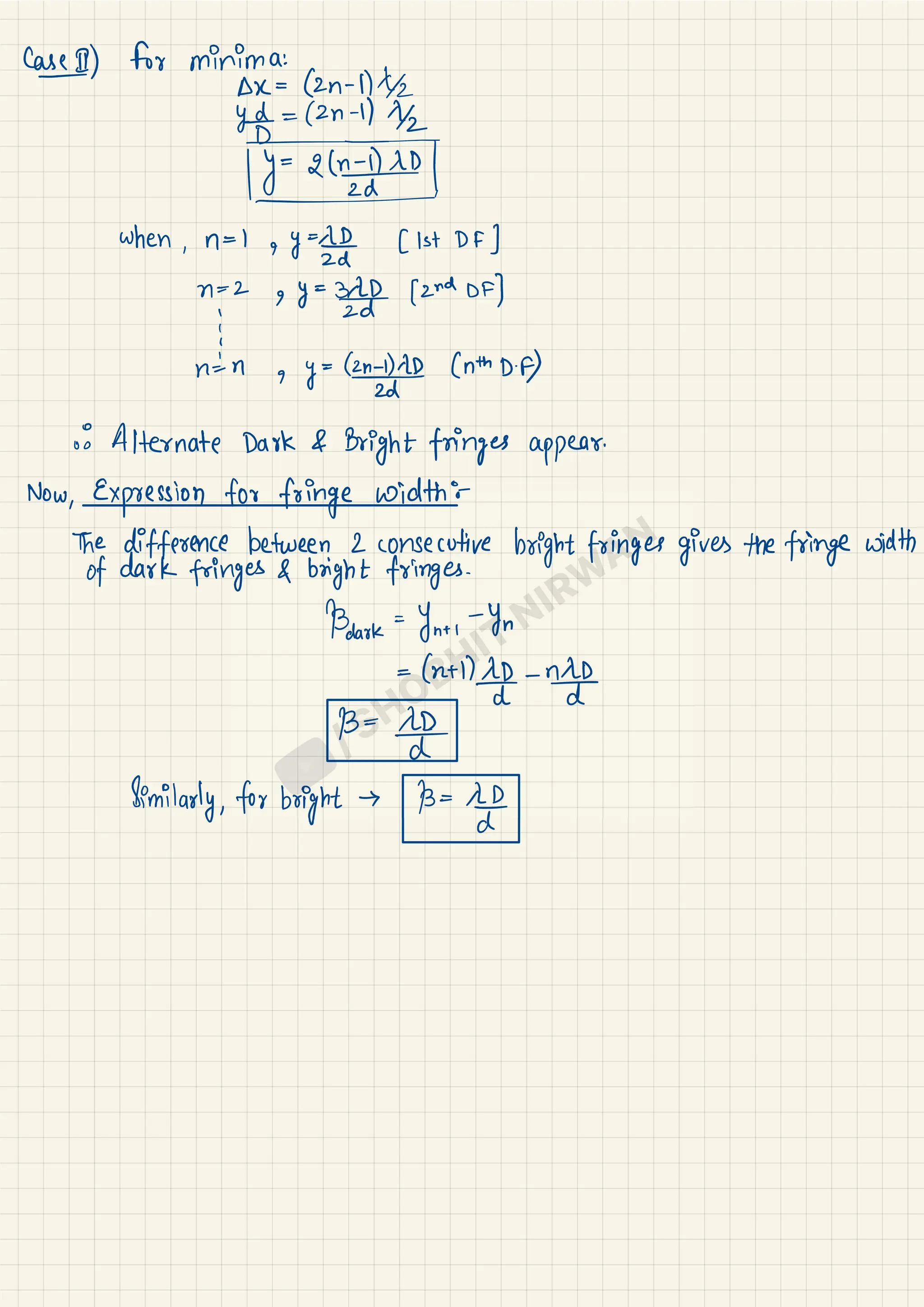
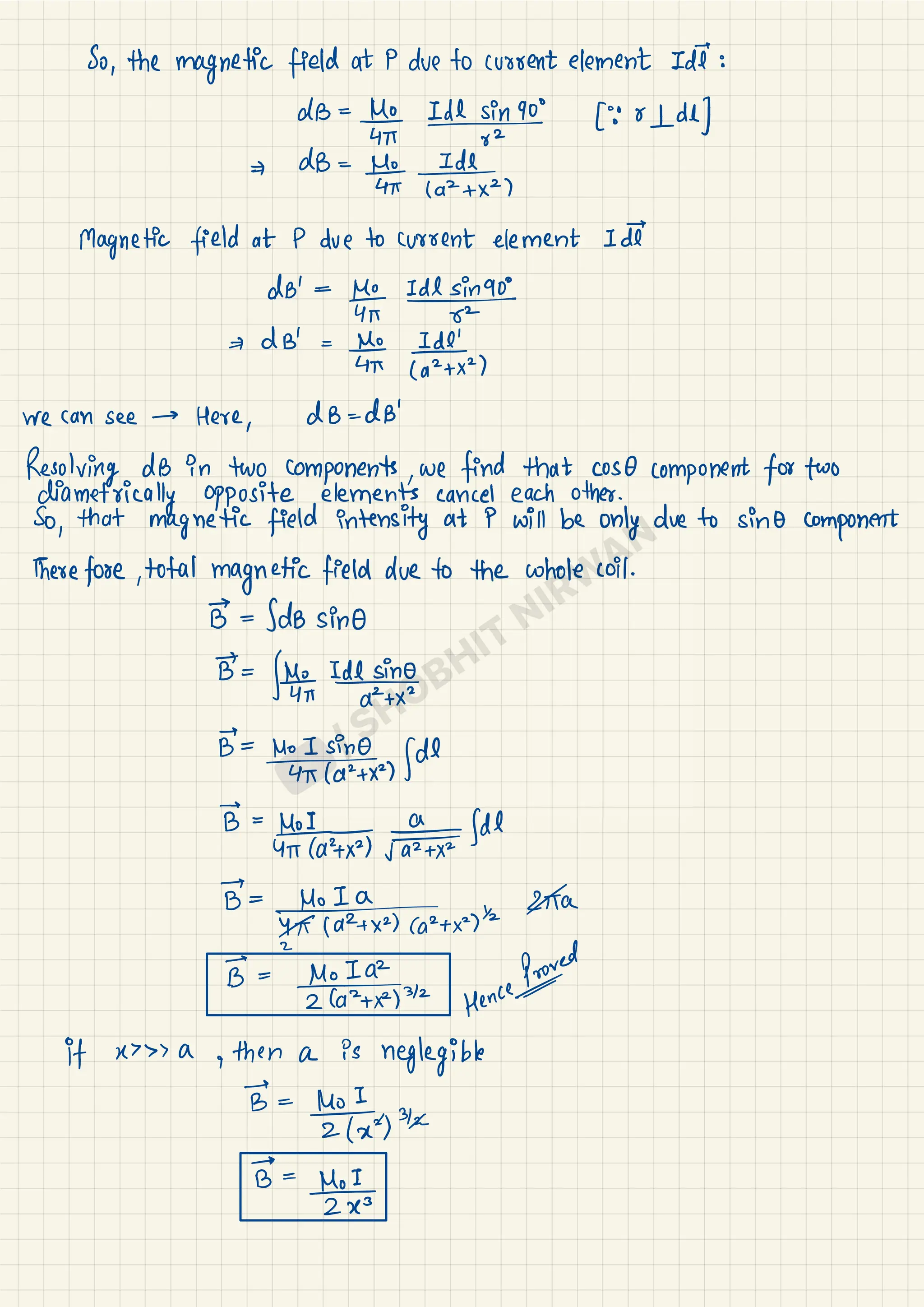
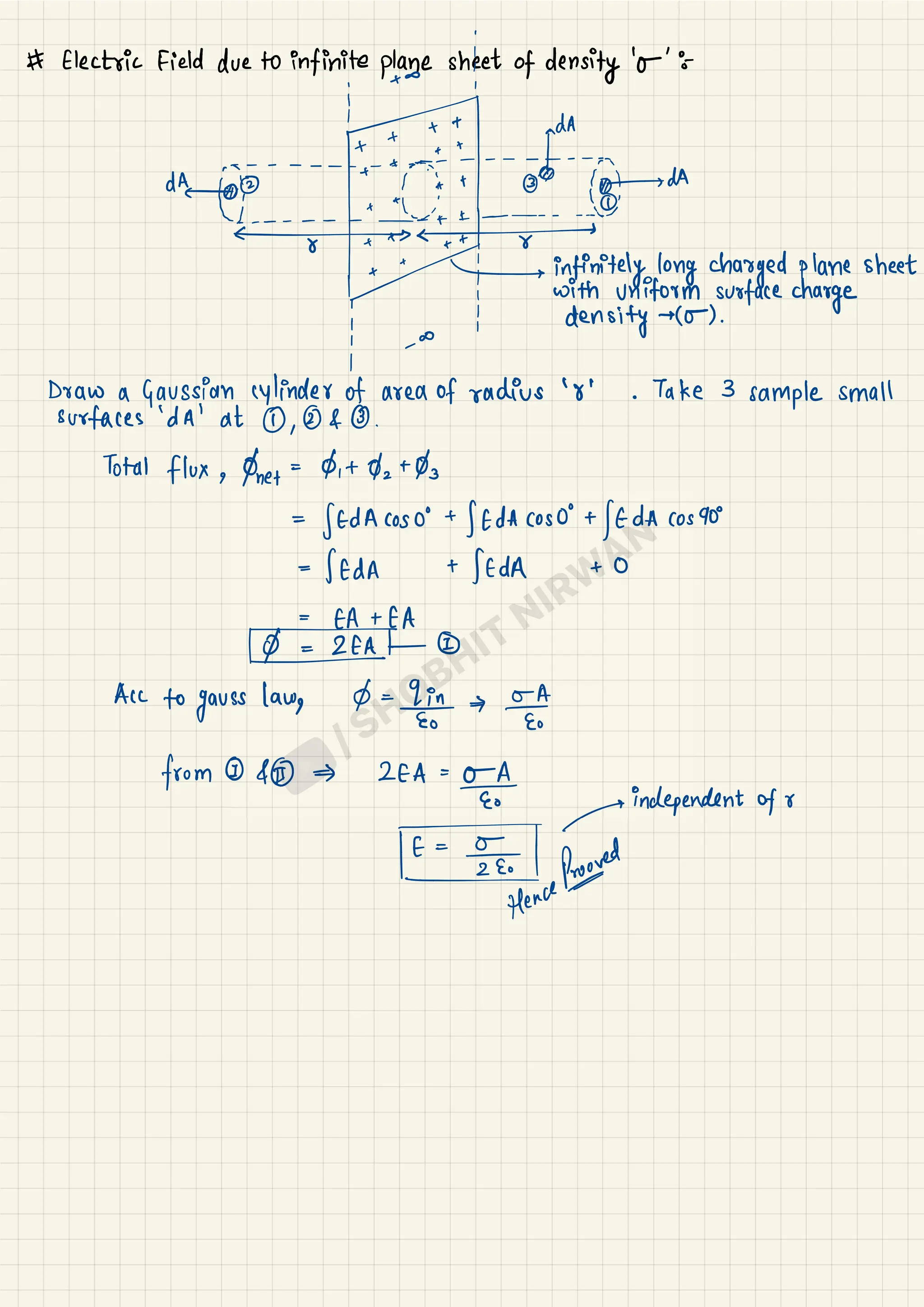
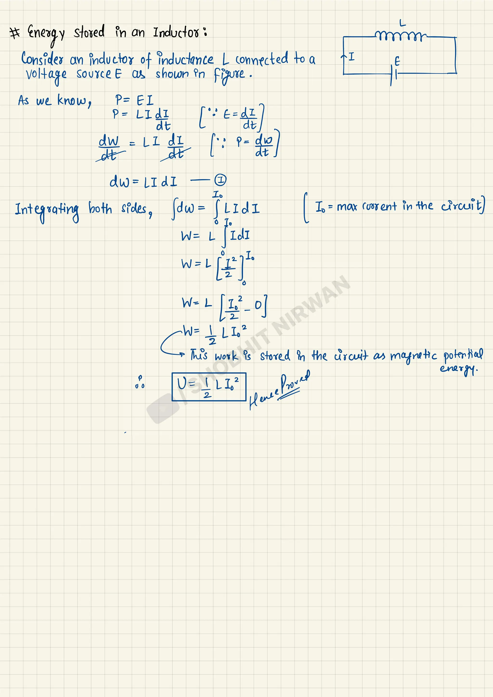
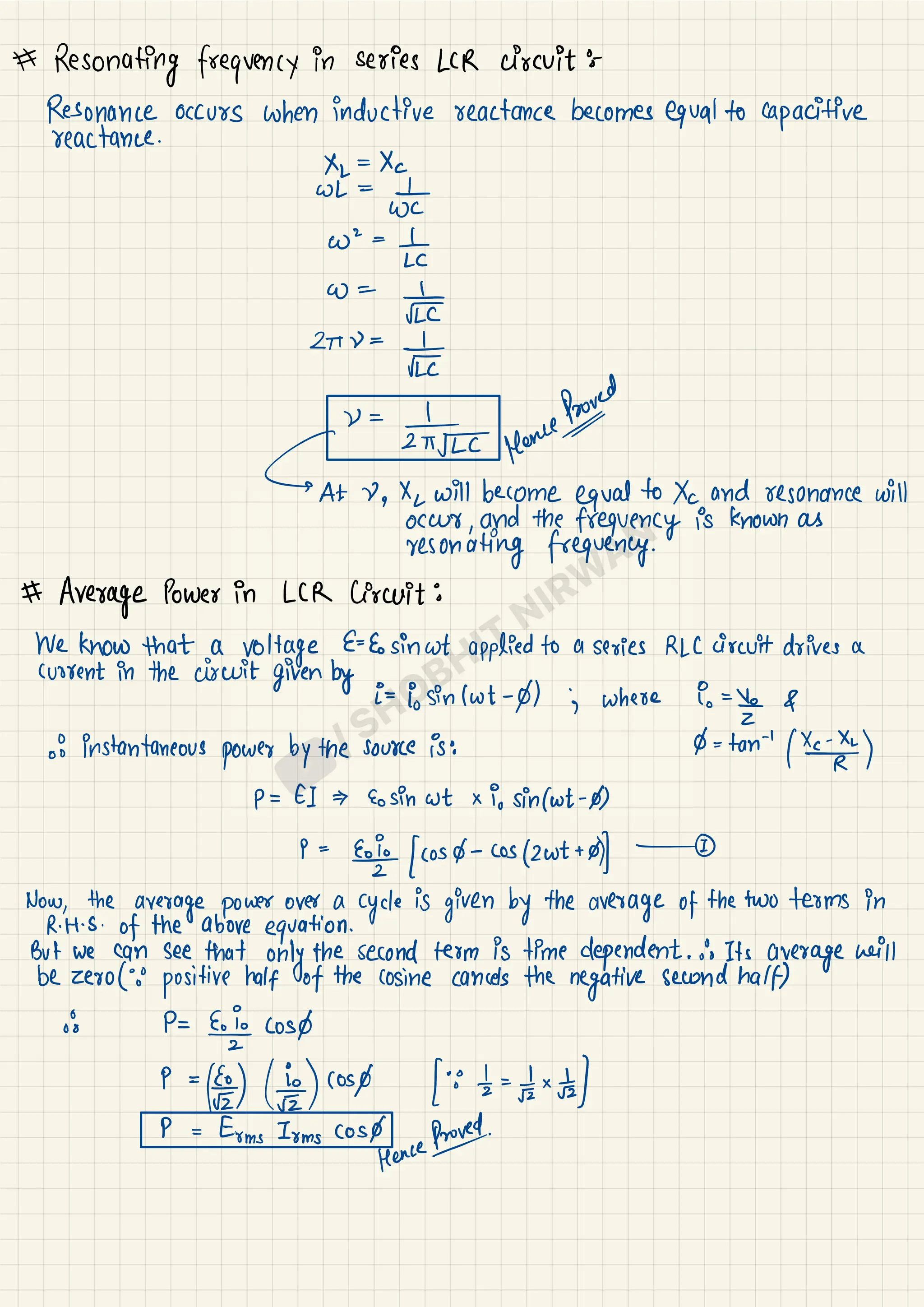
chapter wise derivations of grade 12 CBSE board - physics electric charges, electrostatics, current electricity, moving charges, magnetism, alt current, EM induction, waves, ray optics, wave optics, dual nature, atoms, nuclei, semi conductors chapters 2025














































