Design and Analysis of Algorithms
Dr. Naveed Ejaz
Recursion
• Basic problem solving technique is to
divide a problem into smaller subproblems
• These subproblems may also be divided
into smaller subproblems
• When the subproblems are small enough
to solve directly the process stops
• A recursive algorithm is a problem
solution that has been expressed in terms
of two or more easier to solve
subproblems
Recursion occurs when a function/procedure calls itself.
Many algorithms can be best described in terms of recursion.
Example: Factorial function
The product of the positive integers from 1 to n inclusive is
called "n factorial", usually denoted by n!:
n! = 1 * 2 * 3 .... (n-2) * (n-1) * n
Recursion
Recursion
Recursive Definition
Recursive Definition
of the Factorial Function
n! =
1, if n = 0
n * (n-1)! if n > 0
5! = 5 * 4!
4! = 4 * 3!
3! = 3 * 2!
2! = 2 * 1!
1! = 1 * 0!
= 5 * 24 = 120
= 4 * 3! = 4 * 6 = 24
= 3 * 2! = 3 * 2 = 6
= 2 * 1! = 2 * 1 = 2
= 1 * 0! = 1
The Fibonacci numbers are a series of numbers as follows:
fib(1) = 1
fib(2) = 1
fib(3) = 2
fib(4) = 3
fib(5) = 5
...
fib(n) =
1, n <= 2
fib(n-1) + fib(n-2), n > 2
Recursive Definition
Recursive Definition
of the Fibonacci Numbers
fib(3) = 1 + 1 = 2
fib(4) = 2 + 1 = 3
fib(5) = 2 + 3 = 5
int BadFactorial(n){
int x = BadFactorial(n-1);
if (n == 1)
return 1;
else
return n*x;
}
What is the value of BadFactorial(2)?
Recursive Definition
Recursive Definition
We must make sure that recursion eventually stops, otherwise
it runs forever:
Using Recursion Properly
Using Recursion Properly
For correct recursion we need two parts:
1. One (ore more) base cases that are not recursive, i.e. we
can directly give a solution:
if (n==1)
return 1;
2. One (or more) recursive cases that operate on smaller
problems that get closer to the base case(s)
return n * factorial(n-1);
The base case(s) should always be checked before the recursive
calls.
Counting Digits
• Recursive definition
digits(n) = 1 if (–9 <= n <= 9)
1 + digits(n/10) otherwise
• Example
digits(321) =
1 + digits(321/10) = 1 +digits(32) =
1 + [1 + digits(32/10)] = 1 + [1 + digits(3)] =
1 + [1 + (1)] =
3
Counting Digits in C++
int numberofDigits(int n) {
if ((-10 < n) && (n < 10))
return 1;
else
return 1 +
numberofDigits(n/10);
}
Evaluating Exponents Recursively
int power(int k, int n) {
// raise k to the power n
if (n == 0)
return 1;
else
return k * power(k, n – 1);
}
Divide and Conquer
• Using this method each recursive
subproblem is about one-half the size of
the original problem
• If we could define power so that each
subproblem was based on computing kn/2
instead of kn – 1
we could use the divide and
conquer principle
• Recursive divide and conquer algorithms
are often more efficient than iterative
algorithms
Evaluating Exponents Using Divide
and Conquer
int power(int k, int n) {
// raise k to the power n
if (n == 0)
return 1;
else{
int t = power(k, n/2);
if ((n % 2) == 0)
return t * t;
else
return k * t * t;
}
Disadvantages
• May run slower.
• Compilers
• Inefficient Code
• May use more space.
Advantages
• More natural.
• Easier to prove correct.
• Easier to analyze.
• More flexible.
Recurrences
Recurrences
• The expression:
is a recurrence.
• Recurrence: an equation that describes a
function in terms of its value on smaller
functions

















1
2
2
1
)
(
n
cn
n
T
n
c
n
T
Recurrence Examples








0
0
)
1
(
0
)
(
n
n
n
s
c
n
s








0
)
1
(
0
0
)
(
n
n
s
n
n
n
s

















1
2
2
1
)
(
n
c
n
T
n
c
n
T

















1
1
)
(
n
cn
b
n
aT
n
c
n
T
Methods to solve recurrence
• Substitution method
• Iteration method
• Recursion tree method
• Master Theorem
Solving Recurrences
• The substitution method
• A.k.a. “making a good guess method”
• Guess the form of the answer, then use
mathematical induction to find the constants
and show that the solution works
• Example:
• T(n) = 2T(n/2) + n  T(n) = O(n lg n)
Solving Recurrences
• Another option is “iteration method”
• Expand the recurrence
• Work some algebra to express as a summation
• Evaluate the summation
• We will show several examples
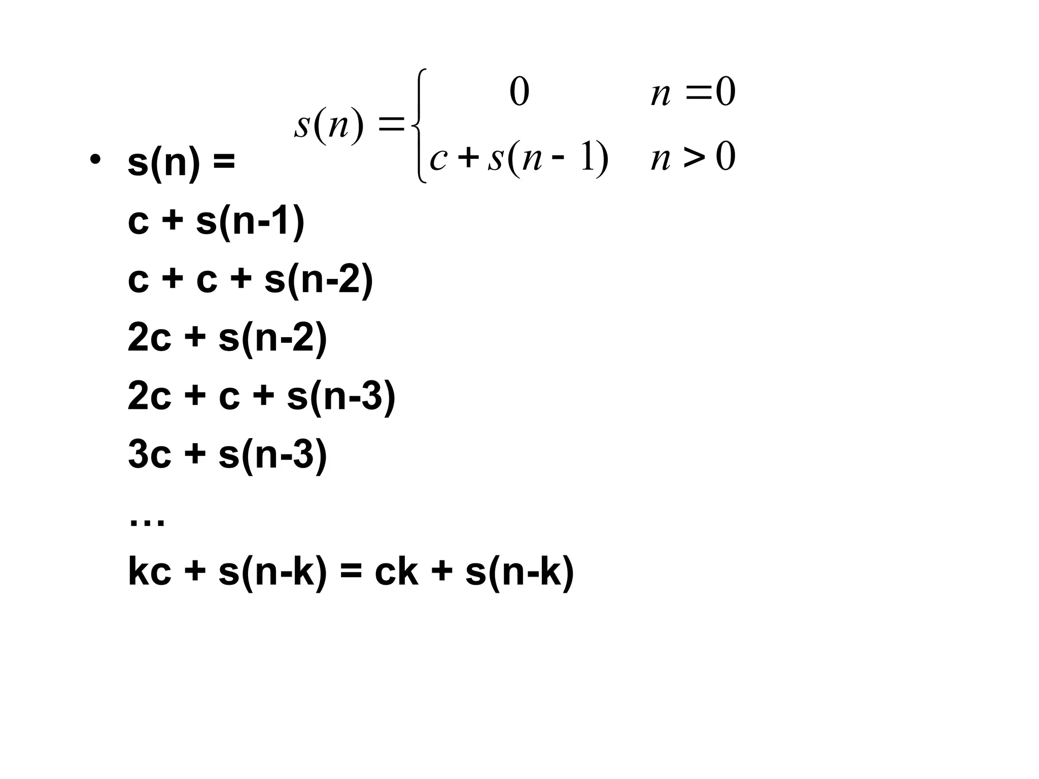
• s(n) =
c + s(n-1)
c + c + s(n-2)
2c + s(n-2)
2c + c + s(n-3)
3c + s(n-3)
…
kc + s(n-k) = ck + s(n-k)








0
)
1
(
0
0
)
(
n
n
s
c
n
n
s
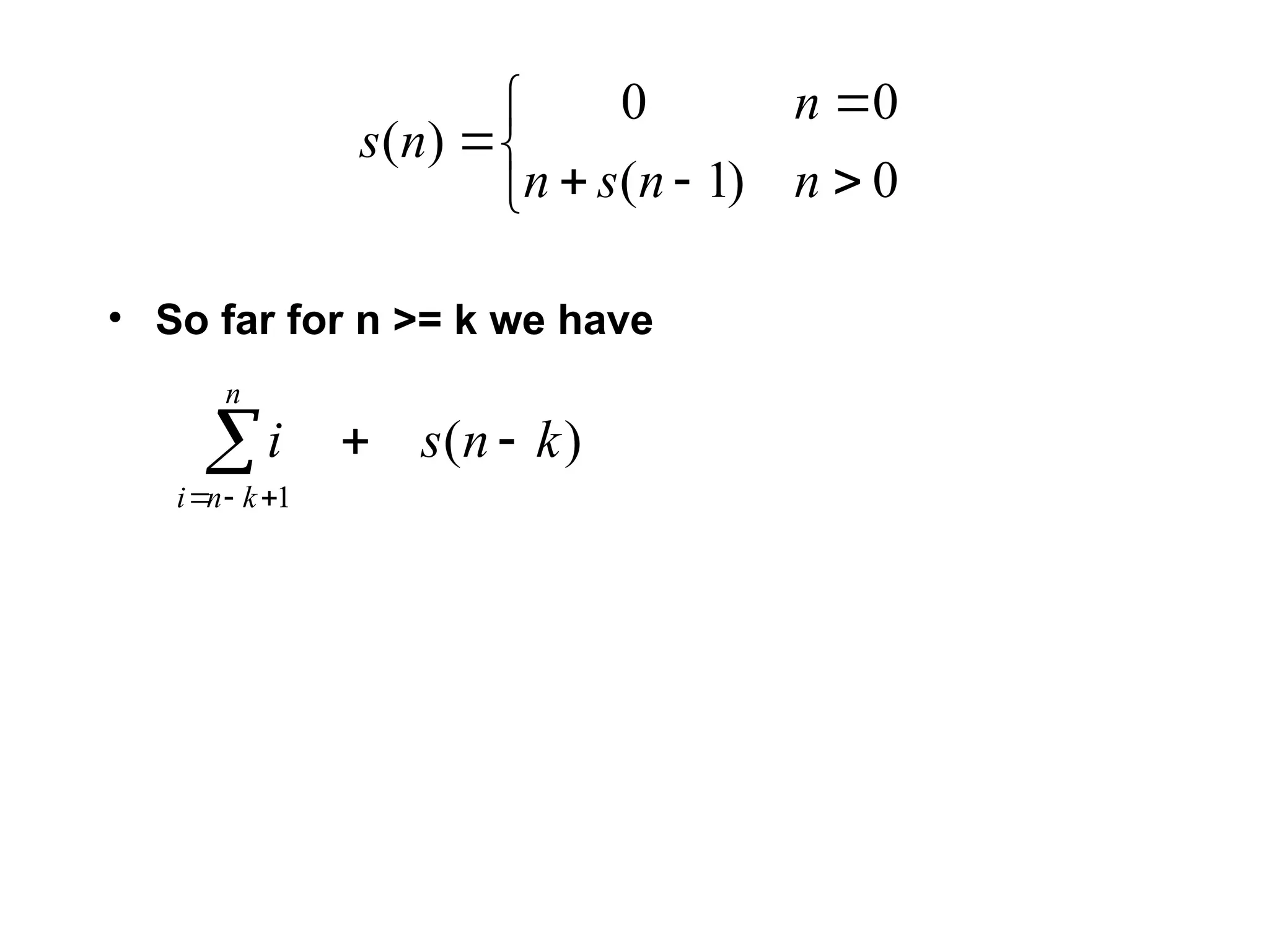
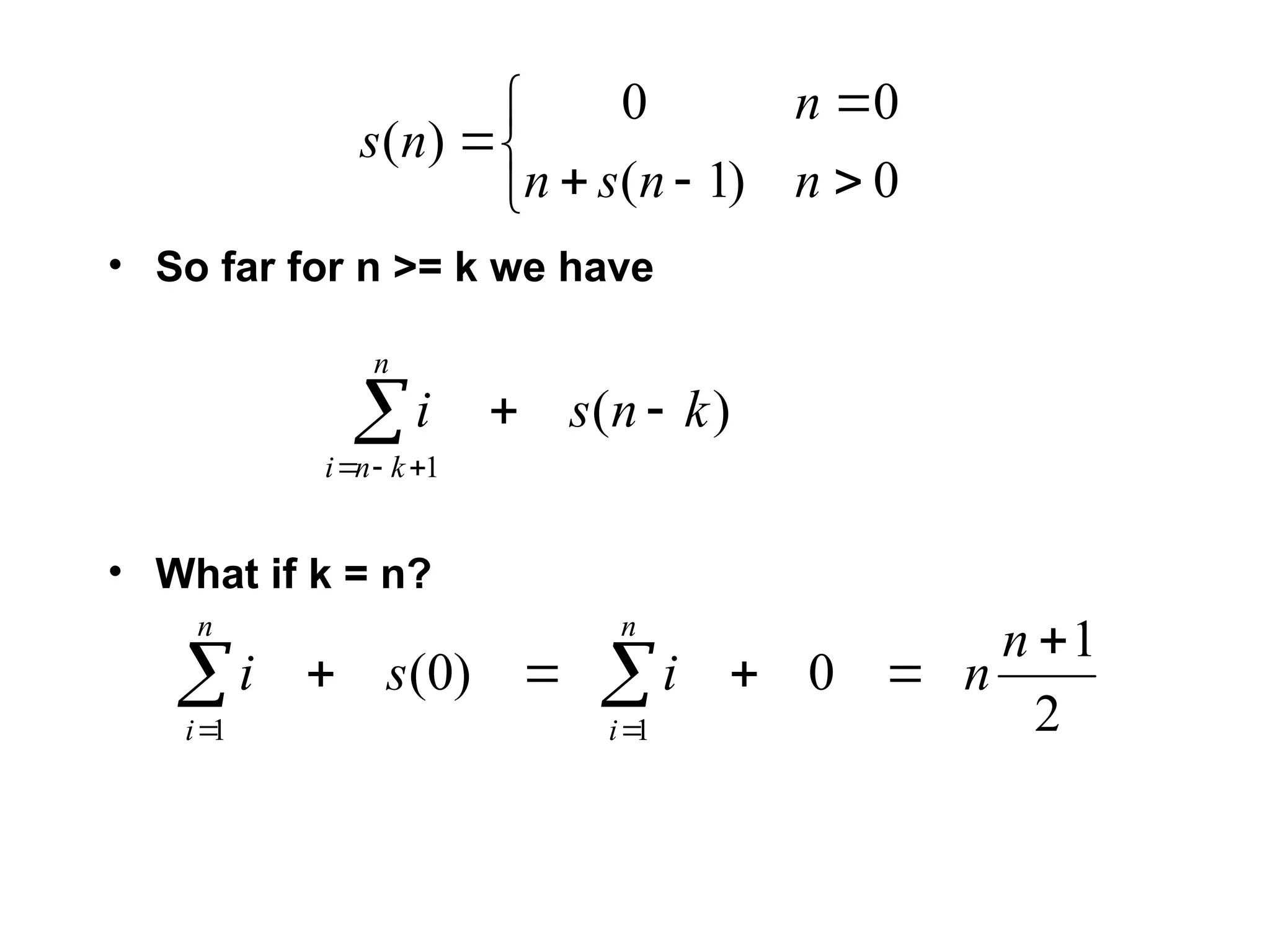
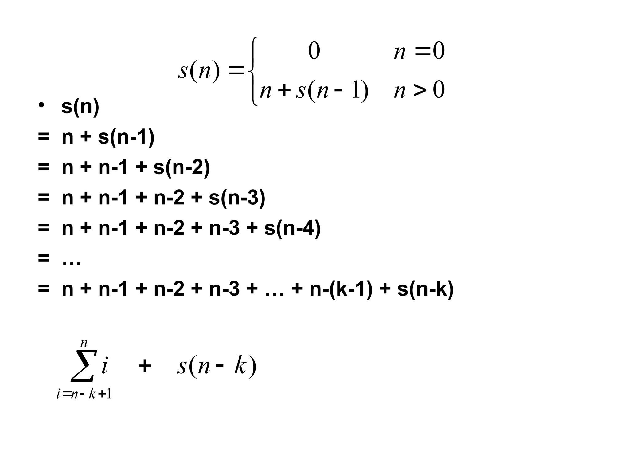
• So far for n >= k we have
• s(n) = ck + s(n-k)
• What if k = n?
• s(n) = cn + s(0) = cn








0
)
1
(
0
0
)
(
n
n
s
c
n
n
s
• So far for n >= k we have
• s(n) = ck + s(n-k)
• What if k = n?
• s(n) = cn + s(0) = cn
• So
• Thus in general
• s(n) = cn








0
)
1
(
0
0
)
(
n
n
s
c
n
n
s








0
)
1
(
0
0
)
(
n
n
s
c
n
n
s
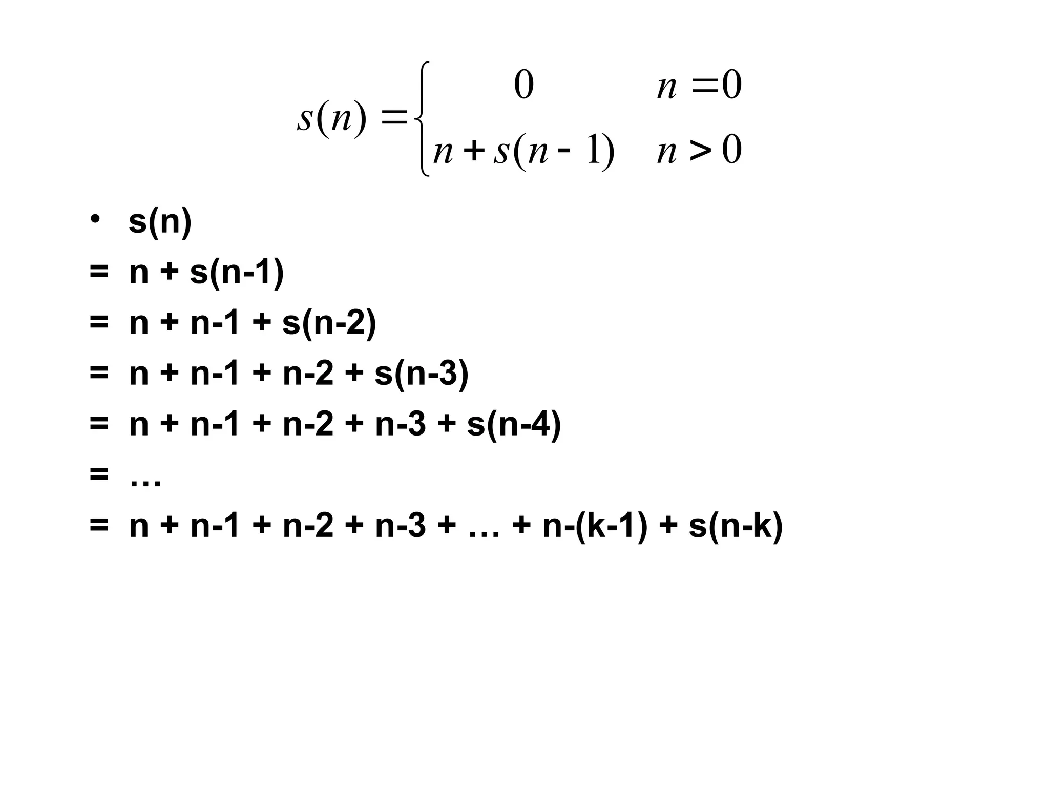
• s(n)
= n + s(n-1)
= n + n-1 + s(n-2)
= n + n-1 + n-2 + s(n-3)
= n + n-1 + n-2 + n-3 + s(n-4)
= …
= n + n-1 + n-2 + n-3 + … + n-(k-1) + s(n-k)








0
)
1
(
0
0
)
(
n
n
s
n
n
n
s
• s(n)
= n + s(n-1)
= n + n-1 + s(n-2)
= n + n-1 + n-2 + s(n-3)
= n + n-1 + n-2 + n-3 + s(n-4)
= …
= n + n-1 + n-2 + n-3 + … + n-(k-1) + s(n-k)








0
)
1
(
0
0
)
(
n
n
s
n
n
n
s
)
(
1
k
n
s
i
n
k
n
i





• So far for n >= k we have








0
)
1
(
0
0
)
(
n
n
s
n
n
n
s
)
(
1
k
n
s
i
n
k
n
i





• So far for n >= k we have
• What if k = n?








0
)
1
(
0
0
)
(
n
n
s
n
n
n
s
)
(
1
k
n
s
i
n
k
n
i





• So far for n >= k we have
• What if k = n?








0
)
1
(
0
0
)
(
n
n
s
n
n
n
s
)
(
1
k
n
s
i
n
k
n
i





2
1
0
)
0
(
1
1




 
 

n
n
i
s
i
n
i
n
i
• So far for n >= k we have
• What if k = n?
• Thus in general








0
)
1
(
0
0
)
(
n
n
s
n
n
n
s
)
(
1
k
n
s
i
n
k
n
i





2
1
0
)
0
(
1
1




 
 

n
n
i
s
i
n
i
n
i
2
1
)
(


n
n
n
s
Divide and Conquer
The divide-and-conquer paradigm
What is a paradigm? One that serves as a pattern or model.
• Divide the problem into a number of subproblems
• Conquer the subproblems by solving them
recursively. If small enough, just solve directly
without recursion
• Combine the solutions of the subproblems into the
solution for the original problem
Let T(n) be the running time on a problem of size n.
If problem is small enough, then solution takes
constant time (this is a boundary condition, which
will be assumed for all analyses)
It takes time to divide the problem into sub-
problems at the beginning. Denote this work by
D(n).
Analyzing Divide-and-Conquer
Algorithms
It takes time to combine the solutions at the end. Denote this
by C(n).
If we divide the problem into ‘a’ problems, each of which is
‘1/b’ times the original size (n), and since the time to solve
a problem with input size ‘n/b’ is T(n/b), and this is done ‘a’
times, the total time is:
T(n) = (1), n small (or n  c )
T(n) = aT(n/b) + D(n) + C(n)
Analyzing Divide-and-Conquer
Algorithms
Example
Function(int number)
if number<=1
then return;
else
Function(number/2)
Function(number/2)
for(i=1 to number )
Display i;
It follows that
T(n) = 2 T(n/2)+ cn
number of sub-
problems
Sub-problem size
work done
dividing and
combining
Recursion Tree for Algorithm
cn
T(n/2) T(n/2)
Recursion Tree for Algorithm
cn
cn/2
T(n/4) T(n/4)
cn/2
T(n/4) T(n/4)
Recursion Tree for Algorithm
cn
cn/2
T(n/4) T(n/4)
cn/2
T(n/4) T(n/4)
Eventually, the input size (the argument of T) goes to 1, so...
Recursion Tree for Algorithm
cn
cn/2
T(n/4) T(n/4)
cn/2
T(n/4) T(n/4)
T(1) T(1) T(1) T(1) T(1) T(1)
.............................
n sub problems of size 1, but T(1) = c
by boundary condition
Recursion Tree for Algorithm
cn
cn/2
T(n/4) T(n/4)
cn/2
T(n/4) T(n/4)
c c c c c c
.............................
n subproblems of size 1
Recursion Tree for Algorithm
level nodes/ cost/
level level
0 20
= 1 cn
1 21
= 2 cn
2 22
= 4 cn
. .
. .
. .
N-1 2N-1
=n cn
Since 2N-1
= n,
N-1 = lg(n)
levels = N = 1+lg(n)
T(n) = total cost = (levels)(cost/level)
T(n) = cn [1+lg(n)] = O( n lg(n))
n nodes at level N-1
The Master Theorem
• Given: a divide and conquer algorithm
• An algorithm that divides the problem of size n into
“a” subproblems, each of size “n/b”
• Let the cost of each stage (i.e., the work to divide
the problem + combine solved subproblems) be
described by the function f(n)
• Then, the Master Theorem gives us a cookbook for the
algorithm’s running time:
The Master Theorem
• if T(n) = aT(n/b) + f(n) then
 
 
 
 
 
 






































1
0
large
for
)
(
)
/
(
AND
)
(
)
(
)
(
)
(
log
)
(
log
log
log
log
log
c
n
n
cf
b
n
af
n
n
f
n
n
f
n
O
n
f
n
f
n
n
n
n
T
a
a
a
a
a
b
b
b
b
b



Using The Master Method
• T(n) = 9T(n/3) + n
• a=9, b=3, f(n) = n
• nlogb a
= nlog3 9
= (n2
)
• Since f(n) = O(nlog3 9 - 
), where =1, case 1
applies:
• Thus the solution is T(n) = (n2
)
   




 a
a b
b
n
O
n
f
n
n
T log
log
)
(
when
)
(

3. Recursion and Recurrences.ppt detail about recursive learning

  • 1.
    Design and Analysisof Algorithms Dr. Naveed Ejaz
  • 2.
    Recursion • Basic problemsolving technique is to divide a problem into smaller subproblems • These subproblems may also be divided into smaller subproblems • When the subproblems are small enough to solve directly the process stops • A recursive algorithm is a problem solution that has been expressed in terms of two or more easier to solve subproblems
  • 3.
    Recursion occurs whena function/procedure calls itself. Many algorithms can be best described in terms of recursion. Example: Factorial function The product of the positive integers from 1 to n inclusive is called "n factorial", usually denoted by n!: n! = 1 * 2 * 3 .... (n-2) * (n-1) * n Recursion Recursion
  • 4.
    Recursive Definition Recursive Definition ofthe Factorial Function n! = 1, if n = 0 n * (n-1)! if n > 0 5! = 5 * 4! 4! = 4 * 3! 3! = 3 * 2! 2! = 2 * 1! 1! = 1 * 0! = 5 * 24 = 120 = 4 * 3! = 4 * 6 = 24 = 3 * 2! = 3 * 2 = 6 = 2 * 1! = 2 * 1 = 2 = 1 * 0! = 1
  • 5.
    The Fibonacci numbersare a series of numbers as follows: fib(1) = 1 fib(2) = 1 fib(3) = 2 fib(4) = 3 fib(5) = 5 ... fib(n) = 1, n <= 2 fib(n-1) + fib(n-2), n > 2 Recursive Definition Recursive Definition of the Fibonacci Numbers fib(3) = 1 + 1 = 2 fib(4) = 2 + 1 = 3 fib(5) = 2 + 3 = 5
  • 6.
    int BadFactorial(n){ int x= BadFactorial(n-1); if (n == 1) return 1; else return n*x; } What is the value of BadFactorial(2)? Recursive Definition Recursive Definition We must make sure that recursion eventually stops, otherwise it runs forever:
  • 7.
    Using Recursion Properly UsingRecursion Properly For correct recursion we need two parts: 1. One (ore more) base cases that are not recursive, i.e. we can directly give a solution: if (n==1) return 1; 2. One (or more) recursive cases that operate on smaller problems that get closer to the base case(s) return n * factorial(n-1); The base case(s) should always be checked before the recursive calls.
  • 8.
    Counting Digits • Recursivedefinition digits(n) = 1 if (–9 <= n <= 9) 1 + digits(n/10) otherwise • Example digits(321) = 1 + digits(321/10) = 1 +digits(32) = 1 + [1 + digits(32/10)] = 1 + [1 + digits(3)] = 1 + [1 + (1)] = 3
  • 9.
    Counting Digits inC++ int numberofDigits(int n) { if ((-10 < n) && (n < 10)) return 1; else return 1 + numberofDigits(n/10); }
  • 10.
    Evaluating Exponents Recursively intpower(int k, int n) { // raise k to the power n if (n == 0) return 1; else return k * power(k, n – 1); }
  • 11.
    Divide and Conquer •Using this method each recursive subproblem is about one-half the size of the original problem • If we could define power so that each subproblem was based on computing kn/2 instead of kn – 1 we could use the divide and conquer principle • Recursive divide and conquer algorithms are often more efficient than iterative algorithms
  • 12.
    Evaluating Exponents UsingDivide and Conquer int power(int k, int n) { // raise k to the power n if (n == 0) return 1; else{ int t = power(k, n/2); if ((n % 2) == 0) return t * t; else return k * t * t; }
  • 13.
    Disadvantages • May runslower. • Compilers • Inefficient Code • May use more space.
  • 14.
    Advantages • More natural. •Easier to prove correct. • Easier to analyze. • More flexible.
  • 15.
  • 16.
    Recurrences • The expression: isa recurrence. • Recurrence: an equation that describes a function in terms of its value on smaller functions                  1 2 2 1 ) ( n cn n T n c n T
  • 17.
  • 18.
    Methods to solverecurrence • Substitution method • Iteration method • Recursion tree method • Master Theorem
  • 19.
    Solving Recurrences • Thesubstitution method • A.k.a. “making a good guess method” • Guess the form of the answer, then use mathematical induction to find the constants and show that the solution works • Example: • T(n) = 2T(n/2) + n  T(n) = O(n lg n)
  • 20.
    Solving Recurrences • Anotheroption is “iteration method” • Expand the recurrence • Work some algebra to express as a summation • Evaluate the summation • We will show several examples
  • 21.
    • s(n) = c+ s(n-1) c + c + s(n-2) 2c + s(n-2) 2c + c + s(n-3) 3c + s(n-3) … kc + s(n-k) = ck + s(n-k)         0 ) 1 ( 0 0 ) ( n n s c n n s
  • 22.
    • So farfor n >= k we have • s(n) = ck + s(n-k) • What if k = n? • s(n) = cn + s(0) = cn         0 ) 1 ( 0 0 ) ( n n s c n n s
  • 23.
    • So farfor n >= k we have • s(n) = ck + s(n-k) • What if k = n? • s(n) = cn + s(0) = cn • So • Thus in general • s(n) = cn         0 ) 1 ( 0 0 ) ( n n s c n n s         0 ) 1 ( 0 0 ) ( n n s c n n s
  • 24.
    • s(n) = n+ s(n-1) = n + n-1 + s(n-2) = n + n-1 + n-2 + s(n-3) = n + n-1 + n-2 + n-3 + s(n-4) = … = n + n-1 + n-2 + n-3 + … + n-(k-1) + s(n-k)         0 ) 1 ( 0 0 ) ( n n s n n n s
  • 25.
    • s(n) = n+ s(n-1) = n + n-1 + s(n-2) = n + n-1 + n-2 + s(n-3) = n + n-1 + n-2 + n-3 + s(n-4) = … = n + n-1 + n-2 + n-3 + … + n-(k-1) + s(n-k)         0 ) 1 ( 0 0 ) ( n n s n n n s ) ( 1 k n s i n k n i     
  • 26.
    • So farfor n >= k we have         0 ) 1 ( 0 0 ) ( n n s n n n s ) ( 1 k n s i n k n i     
  • 27.
    • So farfor n >= k we have • What if k = n?         0 ) 1 ( 0 0 ) ( n n s n n n s ) ( 1 k n s i n k n i     
  • 28.
    • So farfor n >= k we have • What if k = n?         0 ) 1 ( 0 0 ) ( n n s n n n s ) ( 1 k n s i n k n i      2 1 0 ) 0 ( 1 1          n n i s i n i n i
  • 29.
    • So farfor n >= k we have • What if k = n? • Thus in general         0 ) 1 ( 0 0 ) ( n n s n n n s ) ( 1 k n s i n k n i      2 1 0 ) 0 ( 1 1          n n i s i n i n i 2 1 ) (   n n n s
  • 30.
    Divide and Conquer Thedivide-and-conquer paradigm What is a paradigm? One that serves as a pattern or model. • Divide the problem into a number of subproblems • Conquer the subproblems by solving them recursively. If small enough, just solve directly without recursion • Combine the solutions of the subproblems into the solution for the original problem
  • 31.
    Let T(n) bethe running time on a problem of size n. If problem is small enough, then solution takes constant time (this is a boundary condition, which will be assumed for all analyses) It takes time to divide the problem into sub- problems at the beginning. Denote this work by D(n). Analyzing Divide-and-Conquer Algorithms
  • 32.
    It takes timeto combine the solutions at the end. Denote this by C(n). If we divide the problem into ‘a’ problems, each of which is ‘1/b’ times the original size (n), and since the time to solve a problem with input size ‘n/b’ is T(n/b), and this is done ‘a’ times, the total time is: T(n) = (1), n small (or n  c ) T(n) = aT(n/b) + D(n) + C(n) Analyzing Divide-and-Conquer Algorithms
  • 33.
    Example Function(int number) if number<=1 thenreturn; else Function(number/2) Function(number/2) for(i=1 to number ) Display i; It follows that T(n) = 2 T(n/2)+ cn number of sub- problems Sub-problem size work done dividing and combining
  • 34.
    Recursion Tree forAlgorithm cn T(n/2) T(n/2)
  • 35.
    Recursion Tree forAlgorithm cn cn/2 T(n/4) T(n/4) cn/2 T(n/4) T(n/4)
  • 36.
    Recursion Tree forAlgorithm cn cn/2 T(n/4) T(n/4) cn/2 T(n/4) T(n/4) Eventually, the input size (the argument of T) goes to 1, so...
  • 37.
    Recursion Tree forAlgorithm cn cn/2 T(n/4) T(n/4) cn/2 T(n/4) T(n/4) T(1) T(1) T(1) T(1) T(1) T(1) ............................. n sub problems of size 1, but T(1) = c by boundary condition
  • 38.
    Recursion Tree forAlgorithm cn cn/2 T(n/4) T(n/4) cn/2 T(n/4) T(n/4) c c c c c c ............................. n subproblems of size 1
  • 39.
    Recursion Tree forAlgorithm level nodes/ cost/ level level 0 20 = 1 cn 1 21 = 2 cn 2 22 = 4 cn . . . . . . N-1 2N-1 =n cn Since 2N-1 = n, N-1 = lg(n) levels = N = 1+lg(n) T(n) = total cost = (levels)(cost/level) T(n) = cn [1+lg(n)] = O( n lg(n)) n nodes at level N-1
  • 40.
    The Master Theorem •Given: a divide and conquer algorithm • An algorithm that divides the problem of size n into “a” subproblems, each of size “n/b” • Let the cost of each stage (i.e., the work to divide the problem + combine solved subproblems) be described by the function f(n) • Then, the Master Theorem gives us a cookbook for the algorithm’s running time:
  • 41.
    The Master Theorem •if T(n) = aT(n/b) + f(n) then                                                   1 0 large for ) ( ) / ( AND ) ( ) ( ) ( ) ( log ) ( log log log log log c n n cf b n af n n f n n f n O n f n f n n n n T a a a a a b b b b b   
  • 42.
    Using The MasterMethod • T(n) = 9T(n/3) + n • a=9, b=3, f(n) = n • nlogb a = nlog3 9 = (n2 ) • Since f(n) = O(nlog3 9 -  ), where =1, case 1 applies: • Thus the solution is T(n) = (n2 )          a a b b n O n f n n T log log ) ( when ) (