For any help regarding Statistics Homework Help
visit : https://www.statisticshomeworkhelper.com/ ,
Email - info@statisticshomeworkhelper.com or
call us at - +1 678 648 4277
statisticshomeworkhelper.com
Problem 1: Dust Grains in Space
Astronomers have discovered that there exist in the interstellar medium clouds of “dust grains” whose chemical
composition may include silicates (like sand) or carbon-containing compounds (like graphite or silicon carbide). Evidence
indicates that many of these grains have a needle like shape.
If the rotational motion of a dust grain is to be described in terms of its principal axes (1,2, and 3) the appropriate
coordinates (angles) and canonically conjugate angular momenta are θ1, θ2, θ3 and L1, L2, L3. In terms of these variables
the classical Hamiltonian for a single grain is given by
H = 1
2
L + 2
2
L + L 2
3
1
2I
1 1
2I 2I
1 2 3
where Ii is the moment of inertia about the ith principal axis. Assume that a dust cloud is in thermal equilibrium at a
temperature T .
a) Find an analytic expression (no unevaluated integrals) for the joint probability density function for the canonical
variables, p(θ1, θ2,θ3,L1, L2 , L3), for a single dust grain.
b) Assume that axis 3 is parallel to the long axis of the grain and that I3 < < I1 = I2. Will the angular momentum of a
dust grain be more likely to be parallel or perpendicular to the long (3) axis? Find a quantitative result to
support your contention.
c) Find the rotational contribution of the grains to the entropy of a dust cloud containing
N dust grains.
d) Does this model for the rotational motion of the dust grains obey the third law of thermodynamics? Explain the
reasoning behind your answer.
e) Should this model of rotational motion exhibit energy gap behavior? Why?
statisticshomeworkhelper.com
PROBLEMS
Problem 2: Adsorption On a Stepped Surface
Fig.2 Looking down on the surface,
showing adsorption sites
3
Fig.1 Cut through crystal
perpendicular to the surface
If a perfect crystal is cleaved along a symmetry direction, the resulting surface could expose a single geometrically flat
plane of atoms. Alternatively, if the crystal is cut at a slight angle with respect to this direction, the resulting surface
might take the form of a series of terraces of fixed width separated by steps of height corresponding to one atomic layer.
This situation is illustrated in figure 1. The steps themselves may not be straight lines, but may have kinks when viewed
from above as shown in figure 2. If impurity atoms were adsorbed on such a surface, their energy could depend on where
they reside relative to the steps.
Consider N identical xenon atoms adsorbed on a silicon surface which has a total of M possible adsorption sites. There
are three different types of site that the xenon could occupy. They would prefer to snuggle into a corner site at a kink in
a step. One percent of the sites are corner sites, and their energy defines the zero of the energy scale for adsorbed
atoms. Next in preference are edge sites. Fourteen percent of the M sites are edge sites with an energy Δ above that of
a corner site. The majority (85%) of the adsorption sites are face sites, but they have an energy which is 1.5Δ above
that of the corner sites. M is so large compared to N competition for a given site can be neglected; the xenon atoms
can be considered completely independent. You may neglect the kinetic energy of the adsorbed atoms.
a) Find the partition function, Z(N, T ), for the xenon atoms in terms of the parameters
M and Δ.
b) Find the ratio of xenon atoms on face sites to the number on corner sites.
c) Find an expression for the heat capacity of the adsorbed xenon atoms in the limit
kT « Δ.
d) What is the probability that a given xenon atom will be found on a face site in the limit kT » Δ?
e) What is the limit of the entropy of this system as T → ∞ ?
f) Should this model for adsorbed atoms exhibit energy gap behavior? Why?
statisticshomeworkhelper.com
Problem 3: Neutral Atom Trap
A gas of N indistinguishable classical non-interacting atoms is held in a neutral atom trap by a potential of the form V
(r) = ar where r = (x2 + y2 + z2)1/2. The gas is in thermal equilibrium at a temperature T .
a) Find the single particle partition function Z1 for a trapped atom. Express your answer in the form Z1 = AT αa−η .
Find the prefactor A and the exponents α and η. [Hint: In spherical coordinates the volume element dx dy dz is
replaced by r2 sin θdr dθdφ. A unit sphere subtends a solid angle of 4π steradians.]
b) Find the entropy of the gas in terms of N , k, and Z1(T, a). Do not leave any derivatives in your answer.
c) The gas can be cooled if the potential is lowered reversibly (by decreasing a) while no heat is allowed to be
exchanged with the surroundings, dQ = 0. Under these conditions, find T as a function of a and the initial values
T0 and a0.
statisticshomeworkhelper.com
Problem 4: Two-Dimensional H2 Gas
N molecules of molecular hydrogen H2 adsorbed on a flat surface of area A are in thermal equi librium at temperature T .
On the surface they behave as a non-interacting two-dimensional gas. In particular, the rotational motion of a molecule is
confined to the plane of the surface. The quantum state of the planar rotation is specified by a single quantum number m
which can take on the values 0, ±1, ±2, ±3, ±4, etc. There is one quantum state for each allowed value of m. The energies
of the rotational states are given by fm = (l2/2I)m2 where I is a moment of inertia.
a) Find an expression for the rotational partition function of a single molecule. Do not try to reduce it to an analytic
function.
b) Find the ratio of the two probabilities p(m = 3)/p(m = 2).
c) Find the probability that m = 3 given that f = 9l2/2I. Find the probability that
m = 1 given that f ≤ l2/2I.
d) Find the rotational contribution to the internal energy of the gas in the high temper ature limit where kT »
l2/2I.
statisticshomeworkhelper.com
Problem 5: Why Stars Shine
The two major intellectual advances in physics at the beginning of the twentieth century were relativity and quantum
mechanics. Ordinarily one associates relativity with high energies and great distances. The realm of quantum mechanics,
on the other hand, is usually thought of as small distances or low temperatures. These perceptions are inaccurate. At the
small end of the distance scale the energy levels of heavy atoms must be computed using relativity. For example, the
electronic energy bands of lead show relativistic effects. At the large end of the distance scale QM can play an
important role. We will show later in this course that the radius of a white dwarf or a neutron star depends on
Planck’s constant. The purpose of this homework problem is to show that QM is necessary even earlier in the life history
of stars: they could not shine without it.
Relativity predated quantum mechanics. In the example discussed here, the physical source of the energy released by
stars, this order of events gave rise to uncertainty (and some acrimony) in the scientific community.
In 1926 Arthur Eddington collected and reviewed all that was known about the interior of stars (Internal
Constitution of the Stars, A. S. Eddington, Cambridge University Press, 1926). Relativity, in particular the equivalence of
mass and energy, was well understood at that time. He concluded that the only possible source of the tremendous energy
release in stars was the fusion of hydrogen nuclei into helium nuclei with the associated conversion of mass to energy.
Some physicists, however, questioned this view. They pointed out that whatever the chain of reactions leading from
hydrogen to helium (we now recognize two, the proton-proton chain and the carbon cycle), the nuclei would have to
surmount the repulsive coulomb barrier caused by their positive charges before any fusion step could take place. The
temperature in the interior of the sun, 40 million degrees K, was not hot enough for this to happen.
a) Assume that the proton charge, |e| = 4.8 × 10−10 esu, is uniformly distributed through out a sphere of radius R =
1.2 × 10−13 cm. What is the minimum energy Em i n that another proton (taken to be a point particle) must have if it
is to get within R of the first proton?
b) Find an expression for the probability p+ that the kinetic energy of a particle in an ideal gas exceeds Em in. You
may use the results of problem 4 in problem set 2. Assume that Em i n is much greater than kT . Note that
Evaluate p+ for the value of Em i n found above and a temperature of 40 million K.
statisticshomeworkhelper.com
c) The probability found above, 10−148, does seem small; but, we should check its physical consequences just to be sure.
In a gas the mean speed < v >, the mean free path L, and the mean free time τ are given by the following
expressions.
Here n is the number density of particles and σ is a collision cross-section. Assume that σ = π(2R)2, that the sun is
composed primarily of protons, and use a mass density of 100 g-cm−3 for the center of the sun. Find < v >, L, and
τ at the center of the sun.
d) Now assume that the probability of fusion of two protons during a collision is indepen dent of past history and given
by p+. What is the mean time to a fusion collision for a given proton? Compare this to the age of the Universe, 15
billion years. The mass of the sun is 2 × 1033 g. If all this mass were due to protons at the central density, how many
fusion events would take place per second in the sun?
Eddington was aware of these arguments, but he was nevertheless convinced that the energy source must be fusion:
“The difference of temperature between terrestrial and stellar conditions seems quite inadequate to account for any appreciable simulation of
transmutation or annihilation of matter; and this is the chief ground on which censorship of our theories is likely. For example, it is held that
the formation of helium from hydrogen would not be appreciably accelerated at stellar temperatures, and therefore must be ruled out as a
source of stellar energy. But the helium which we handle must have been put together at some time and some place. We do not argue with
the critic who urges that the stars are not hot enough for this process; we tell him to go and find a hotter place.”
Quantum mechanics was developing quickly at this time, and it was being used to treat nu merous physical problems. In
1928 Gamow showed that QM tunneling through the coulomb barrier could explain the radioactive decay of nuclei. In
1929 Atkinson and Houtermans (R. d’E. Atkinson and F. G. Houtermans, Zeitschrift fu¨r Physik, 54, 656 (1929)) showed
that tunneling from the outside of the coulomb barrier could explain why fusion can take place at the calculated
temperatures of stellar interiors.
statisticshomeworkhelper.com
Tunneling is now a familiar part of our understanding of QM. Simple problems involving rectangular barriers are done in
8.04. Tunneling through the coulomb barrier is a bit more involved mathematically; it is normally treated using the W KB
approximation. We will not carry out such a calculation here. The resulting probability of getting through the barrier,
when used in the computation done above, actually gives too high a fusion rate in the sun. A realistic discussion of the
fusion rate would involve three other factors, each of which reduces the rate:
• Once a proton is in a light nucleus its probability of inducing fusion is still small compared to its probability of
tunneling out again.
• The full fusion cycle involves a number of individual fusion events (5 for the pp chain, 4 for the carbon cycle).
• Not all of the protons in the sun are in the central region where the temperature and density are high enough to
sustain the fusion process.
The concept of quantum tunneling had a major impact on both physics and astrophysics. Therefore it is surprising that
Eddington made the following comment at the beginning of the 1930 edition of his book.
The actual fusion cycles themselves were worked out by Hans Bethe beginning in 1938. He received the Nobel Prize in
1967 for this work as well as other contributions to the theory of nuclear reactions.
statisticshomeworkhelper.com
Dust Grains in Space
a) H is separable: the 6 variables are statistically independent.
d) 3rd law is violated: limT→0 SR = Nk ln(0) = −∞. At very low temperatures one must switch to a quantum treatment of
the rotational motion. Such a treatment will lead to a result consistent with the 3rd law.
e)There is no energy gap behavior because there is no gap in the classically allowed rotational energies. The quantum result,
however, will show an energy gap.
statisticshomeworkhelper.com
SOLUTIONS
Adsorption On a Stepped Surface
a) Z1 = states exp(−ϵstate/kT ) = 0.01M + 0.14M exp(−∆/kT ) + 0.85M exp(−1.5∆/kT ) b)
nface pface 0.85M exp(−1.5∆/kT )
0.01M
= = = 85exp(−1.5∆/kT )
ncorner pcorner
c) Consider only the 2 lowest energy levels
E = N < ϵone >
0.01M
0.01M + 0.14M exp(−∆ /kT )
0.14M exp(−∆ /kT ) 0.01M
+ 0.14M exp(−∆ /kT )
= N (0) + (∆)
≈ 14N ∆ exp(−∆ /kT )
C A =
2
∂E
∂T
∆
kT
= 14N ∆ exp(−∆ /kT ) = 14N k
exp(−∆ /kT )
A
∆
kT 2
d) All states are equally likely ⇒ pface = 0.85 .
e) M possible states for each atom ⇒ limT→∞ S = Nk ln M .
f)One expects energy gap behavior because there is an energy gap for the excitation of a single atom.
Σ
statisticshomeworkhelper.com
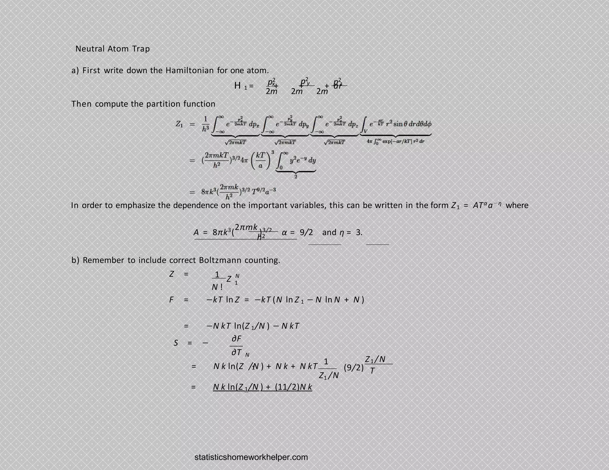
Neutral Atom Trap
a) First write down the Hamiltonian for one atom.
p2 p2
x y p2
1
z
H = + + + ar
2m 2m 2m
Then compute the partition function
In order to emphasize the dependence on the important variables, this can be written in the form Z1 = ATαa−η where
A = 8πk3
(
2πmk
)3/2
α = 9/2 and η = 3.
h2
b) Remember to include correct Boltzmann counting.
Z
1
N !
N
1
Z =
F = −kT ln Z = −kT (N ln Z 1 − N ln N + N )
= −N kT ln(Z 1/N ) − N kT
S = − ∂F
∂T N
1 Z1 /N
(9/2)
1
= N k ln(Z /N ) + N k + N kT
1
Z /N
T
= N k ln(Z 1/N ) + (11/2)N k
statisticshomeworkhelper.com
c) dQ = 0 no heat is exchanged with surroundings
dQ = dS/T process is said to be reversible
⇒ dS = 0, S is constant
⇒ Z1 is constant, using the result from b)
⇒
9/2
9/2 3 3
T /a is constant and = T0 /a0
T
T0
9/2
=
3
a
a0
T = T0
a
a0
2/3
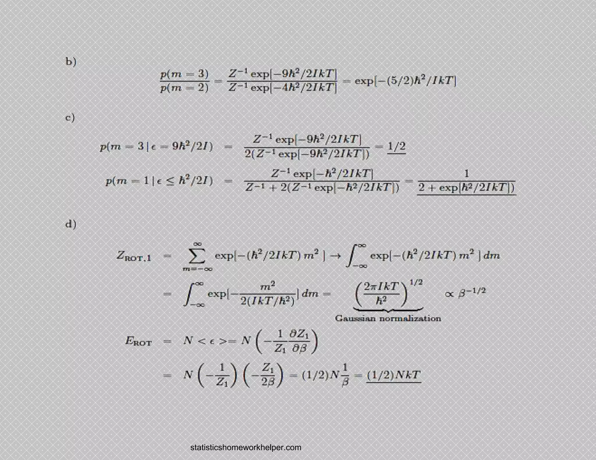
Two-Dimensional H2 Gas
a) ±3
±2
±1
9k2/2I 2Ⓧ
4k2/2I 2Ⓧ
k2/2I 2Ⓧ
0 0 1Ⓧ
m
ϵm = (k2
/2I)m2
ϵ DEGENERACY
Z ROT ,1 = Σ exp[ −ϵ(state)/kT ] = Σ
∞
exp[−(k2
/2I kT ) m2
]
states m = − ∞
∞
Σ
j = 1
2 2
= 1 + 2 exp[−(k /2I kT ) j ]
statisticshomeworkhelper.com
statisticshomeworkhelper.com
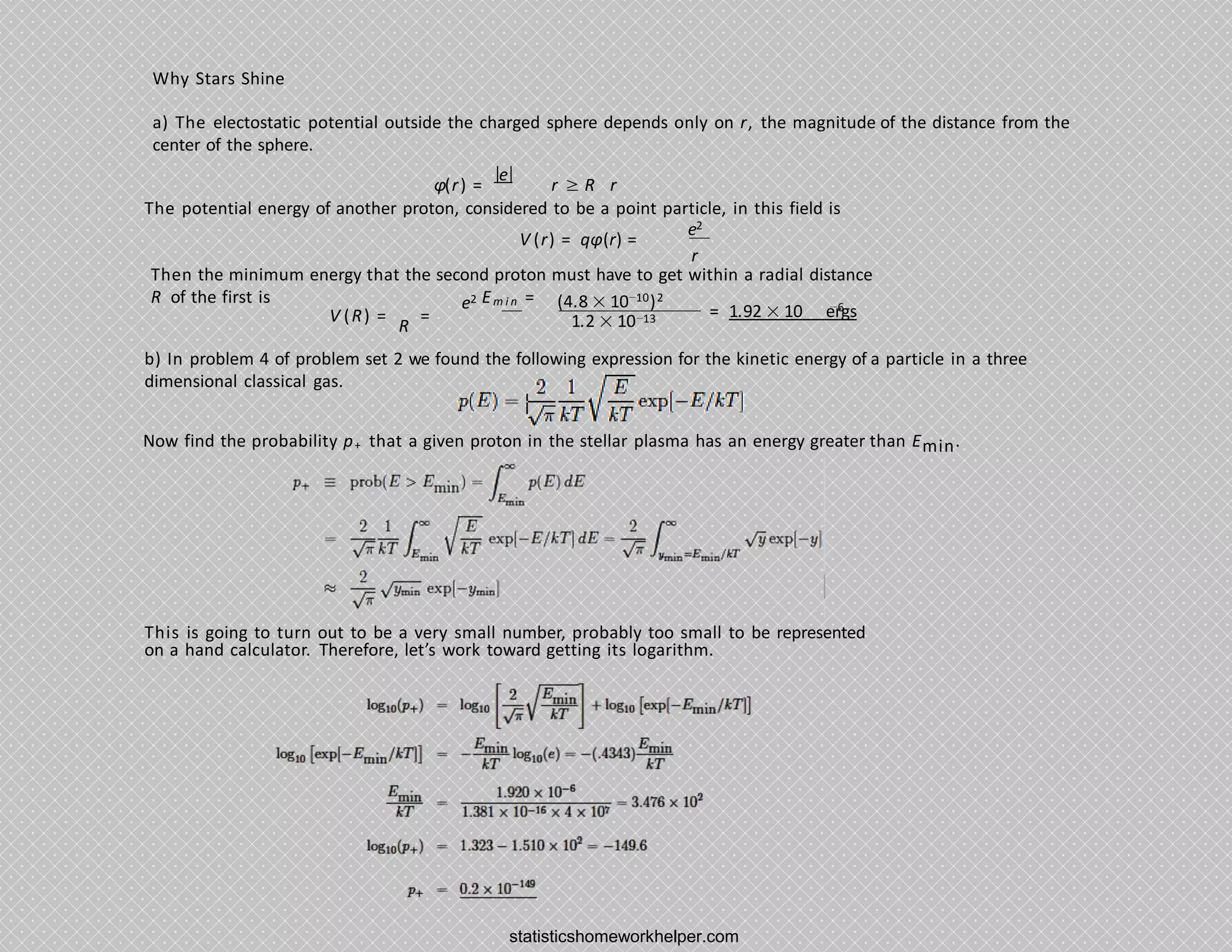
Why Stars Shine
a) The electostatic potential outside the charged sphere depends only on r, the magnitude of the distance from the
center of the sphere.
φ(r) =
|e|
r ≥ R r
The potential energy of another proton, considered to be a point particle, in this field is
e2
r
V (r) = qφ(r) =
Then the minimum energy that the second proton must have to get within a radial distance
R of the first is (4.8 × 10−10)2
e2 Em i n =
V (R) =
R
= 1.2 × 10−13
−6
= 1.92 × 10 ergs
b) In problem 4 of problem set 2 we found the following expression for the kinetic energy of a particle in a three
dimensional classical gas.
Now find the probability p+ that a given proton in the stellar plasma has an energy greater than Emin.
This is going to turn out to be a very small number, probably too small to be represented
on a hand calculator. Therefore, let’s work toward getting its logarithm.
statisticshomeworkhelper.com
c)
d) The fusion rate per proton is p+ times the collision rate per proton. But in general a rate equals the reciprocal of the
characteristic time between events, so
1.01 × 10−9
τ = τ
fusion collision + /p = 0.2 × 10 −149
140
= 5 × 10 sec
The universe is about 15 billion years old, corresponding to a time
Tuniverse = 15 × 109
× 365 × 24 × 60 × 60 = 4.7 × 1017
sec
If the mass of the sun is 2 × 1033 grams then the number of protons it contains is given by
2 × 1033
Nprotons =
1.67 × 10−24 = 1.2 × 10
57
Then for the entire sun, the total number of fusions per second is found as follows.
number of fusions per second = Nprotons × fusion rate per proton
= Nprotons/τfusion
57 140 −84 −1
= 1.2 × 10 / 5 × 10 = 2 × 10 sec
statisticshomeworkhelper.com

statistical physics assignment help

  • 1.
    For any helpregarding Statistics Homework Help visit : https://www.statisticshomeworkhelper.com/ , Email - info@statisticshomeworkhelper.com or call us at - +1 678 648 4277 statisticshomeworkhelper.com
  • 2.
    Problem 1: DustGrains in Space Astronomers have discovered that there exist in the interstellar medium clouds of “dust grains” whose chemical composition may include silicates (like sand) or carbon-containing compounds (like graphite or silicon carbide). Evidence indicates that many of these grains have a needle like shape. If the rotational motion of a dust grain is to be described in terms of its principal axes (1,2, and 3) the appropriate coordinates (angles) and canonically conjugate angular momenta are θ1, θ2, θ3 and L1, L2, L3. In terms of these variables the classical Hamiltonian for a single grain is given by H = 1 2 L + 2 2 L + L 2 3 1 2I 1 1 2I 2I 1 2 3 where Ii is the moment of inertia about the ith principal axis. Assume that a dust cloud is in thermal equilibrium at a temperature T . a) Find an analytic expression (no unevaluated integrals) for the joint probability density function for the canonical variables, p(θ1, θ2,θ3,L1, L2 , L3), for a single dust grain. b) Assume that axis 3 is parallel to the long axis of the grain and that I3 < < I1 = I2. Will the angular momentum of a dust grain be more likely to be parallel or perpendicular to the long (3) axis? Find a quantitative result to support your contention. c) Find the rotational contribution of the grains to the entropy of a dust cloud containing N dust grains. d) Does this model for the rotational motion of the dust grains obey the third law of thermodynamics? Explain the reasoning behind your answer. e) Should this model of rotational motion exhibit energy gap behavior? Why? statisticshomeworkhelper.com PROBLEMS
  • 3.
    Problem 2: AdsorptionOn a Stepped Surface Fig.2 Looking down on the surface, showing adsorption sites 3 Fig.1 Cut through crystal perpendicular to the surface If a perfect crystal is cleaved along a symmetry direction, the resulting surface could expose a single geometrically flat plane of atoms. Alternatively, if the crystal is cut at a slight angle with respect to this direction, the resulting surface might take the form of a series of terraces of fixed width separated by steps of height corresponding to one atomic layer. This situation is illustrated in figure 1. The steps themselves may not be straight lines, but may have kinks when viewed from above as shown in figure 2. If impurity atoms were adsorbed on such a surface, their energy could depend on where they reside relative to the steps. Consider N identical xenon atoms adsorbed on a silicon surface which has a total of M possible adsorption sites. There are three different types of site that the xenon could occupy. They would prefer to snuggle into a corner site at a kink in a step. One percent of the sites are corner sites, and their energy defines the zero of the energy scale for adsorbed atoms. Next in preference are edge sites. Fourteen percent of the M sites are edge sites with an energy Δ above that of a corner site. The majority (85%) of the adsorption sites are face sites, but they have an energy which is 1.5Δ above that of the corner sites. M is so large compared to N competition for a given site can be neglected; the xenon atoms can be considered completely independent. You may neglect the kinetic energy of the adsorbed atoms. a) Find the partition function, Z(N, T ), for the xenon atoms in terms of the parameters M and Δ. b) Find the ratio of xenon atoms on face sites to the number on corner sites. c) Find an expression for the heat capacity of the adsorbed xenon atoms in the limit kT « Δ. d) What is the probability that a given xenon atom will be found on a face site in the limit kT » Δ? e) What is the limit of the entropy of this system as T → ∞ ? f) Should this model for adsorbed atoms exhibit energy gap behavior? Why? statisticshomeworkhelper.com
  • 4.
    Problem 3: NeutralAtom Trap A gas of N indistinguishable classical non-interacting atoms is held in a neutral atom trap by a potential of the form V (r) = ar where r = (x2 + y2 + z2)1/2. The gas is in thermal equilibrium at a temperature T . a) Find the single particle partition function Z1 for a trapped atom. Express your answer in the form Z1 = AT αa−η . Find the prefactor A and the exponents α and η. [Hint: In spherical coordinates the volume element dx dy dz is replaced by r2 sin θdr dθdφ. A unit sphere subtends a solid angle of 4π steradians.] b) Find the entropy of the gas in terms of N , k, and Z1(T, a). Do not leave any derivatives in your answer. c) The gas can be cooled if the potential is lowered reversibly (by decreasing a) while no heat is allowed to be exchanged with the surroundings, dQ = 0. Under these conditions, find T as a function of a and the initial values T0 and a0. statisticshomeworkhelper.com
  • 5.
    Problem 4: Two-DimensionalH2 Gas N molecules of molecular hydrogen H2 adsorbed on a flat surface of area A are in thermal equi librium at temperature T . On the surface they behave as a non-interacting two-dimensional gas. In particular, the rotational motion of a molecule is confined to the plane of the surface. The quantum state of the planar rotation is specified by a single quantum number m which can take on the values 0, ±1, ±2, ±3, ±4, etc. There is one quantum state for each allowed value of m. The energies of the rotational states are given by fm = (l2/2I)m2 where I is a moment of inertia. a) Find an expression for the rotational partition function of a single molecule. Do not try to reduce it to an analytic function. b) Find the ratio of the two probabilities p(m = 3)/p(m = 2). c) Find the probability that m = 3 given that f = 9l2/2I. Find the probability that m = 1 given that f ≤ l2/2I. d) Find the rotational contribution to the internal energy of the gas in the high temper ature limit where kT » l2/2I. statisticshomeworkhelper.com
  • 6.
    Problem 5: WhyStars Shine The two major intellectual advances in physics at the beginning of the twentieth century were relativity and quantum mechanics. Ordinarily one associates relativity with high energies and great distances. The realm of quantum mechanics, on the other hand, is usually thought of as small distances or low temperatures. These perceptions are inaccurate. At the small end of the distance scale the energy levels of heavy atoms must be computed using relativity. For example, the electronic energy bands of lead show relativistic effects. At the large end of the distance scale QM can play an important role. We will show later in this course that the radius of a white dwarf or a neutron star depends on Planck’s constant. The purpose of this homework problem is to show that QM is necessary even earlier in the life history of stars: they could not shine without it. Relativity predated quantum mechanics. In the example discussed here, the physical source of the energy released by stars, this order of events gave rise to uncertainty (and some acrimony) in the scientific community. In 1926 Arthur Eddington collected and reviewed all that was known about the interior of stars (Internal Constitution of the Stars, A. S. Eddington, Cambridge University Press, 1926). Relativity, in particular the equivalence of mass and energy, was well understood at that time. He concluded that the only possible source of the tremendous energy release in stars was the fusion of hydrogen nuclei into helium nuclei with the associated conversion of mass to energy. Some physicists, however, questioned this view. They pointed out that whatever the chain of reactions leading from hydrogen to helium (we now recognize two, the proton-proton chain and the carbon cycle), the nuclei would have to surmount the repulsive coulomb barrier caused by their positive charges before any fusion step could take place. The temperature in the interior of the sun, 40 million degrees K, was not hot enough for this to happen. a) Assume that the proton charge, |e| = 4.8 × 10−10 esu, is uniformly distributed through out a sphere of radius R = 1.2 × 10−13 cm. What is the minimum energy Em i n that another proton (taken to be a point particle) must have if it is to get within R of the first proton? b) Find an expression for the probability p+ that the kinetic energy of a particle in an ideal gas exceeds Em in. You may use the results of problem 4 in problem set 2. Assume that Em i n is much greater than kT . Note that Evaluate p+ for the value of Em i n found above and a temperature of 40 million K. statisticshomeworkhelper.com
  • 7.
    c) The probabilityfound above, 10−148, does seem small; but, we should check its physical consequences just to be sure. In a gas the mean speed < v >, the mean free path L, and the mean free time τ are given by the following expressions. Here n is the number density of particles and σ is a collision cross-section. Assume that σ = π(2R)2, that the sun is composed primarily of protons, and use a mass density of 100 g-cm−3 for the center of the sun. Find < v >, L, and τ at the center of the sun. d) Now assume that the probability of fusion of two protons during a collision is indepen dent of past history and given by p+. What is the mean time to a fusion collision for a given proton? Compare this to the age of the Universe, 15 billion years. The mass of the sun is 2 × 1033 g. If all this mass were due to protons at the central density, how many fusion events would take place per second in the sun? Eddington was aware of these arguments, but he was nevertheless convinced that the energy source must be fusion: “The difference of temperature between terrestrial and stellar conditions seems quite inadequate to account for any appreciable simulation of transmutation or annihilation of matter; and this is the chief ground on which censorship of our theories is likely. For example, it is held that the formation of helium from hydrogen would not be appreciably accelerated at stellar temperatures, and therefore must be ruled out as a source of stellar energy. But the helium which we handle must have been put together at some time and some place. We do not argue with the critic who urges that the stars are not hot enough for this process; we tell him to go and find a hotter place.” Quantum mechanics was developing quickly at this time, and it was being used to treat nu merous physical problems. In 1928 Gamow showed that QM tunneling through the coulomb barrier could explain the radioactive decay of nuclei. In 1929 Atkinson and Houtermans (R. d’E. Atkinson and F. G. Houtermans, Zeitschrift fu¨r Physik, 54, 656 (1929)) showed that tunneling from the outside of the coulomb barrier could explain why fusion can take place at the calculated temperatures of stellar interiors. statisticshomeworkhelper.com
  • 8.
    Tunneling is nowa familiar part of our understanding of QM. Simple problems involving rectangular barriers are done in 8.04. Tunneling through the coulomb barrier is a bit more involved mathematically; it is normally treated using the W KB approximation. We will not carry out such a calculation here. The resulting probability of getting through the barrier, when used in the computation done above, actually gives too high a fusion rate in the sun. A realistic discussion of the fusion rate would involve three other factors, each of which reduces the rate: • Once a proton is in a light nucleus its probability of inducing fusion is still small compared to its probability of tunneling out again. • The full fusion cycle involves a number of individual fusion events (5 for the pp chain, 4 for the carbon cycle). • Not all of the protons in the sun are in the central region where the temperature and density are high enough to sustain the fusion process. The concept of quantum tunneling had a major impact on both physics and astrophysics. Therefore it is surprising that Eddington made the following comment at the beginning of the 1930 edition of his book. The actual fusion cycles themselves were worked out by Hans Bethe beginning in 1938. He received the Nobel Prize in 1967 for this work as well as other contributions to the theory of nuclear reactions. statisticshomeworkhelper.com
  • 9.
    Dust Grains inSpace a) H is separable: the 6 variables are statistically independent. d) 3rd law is violated: limT→0 SR = Nk ln(0) = −∞. At very low temperatures one must switch to a quantum treatment of the rotational motion. Such a treatment will lead to a result consistent with the 3rd law. e)There is no energy gap behavior because there is no gap in the classically allowed rotational energies. The quantum result, however, will show an energy gap. statisticshomeworkhelper.com SOLUTIONS
  • 10.
    Adsorption On aStepped Surface a) Z1 = states exp(−ϵstate/kT ) = 0.01M + 0.14M exp(−∆/kT ) + 0.85M exp(−1.5∆/kT ) b) nface pface 0.85M exp(−1.5∆/kT ) 0.01M = = = 85exp(−1.5∆/kT ) ncorner pcorner c) Consider only the 2 lowest energy levels E = N < ϵone > 0.01M 0.01M + 0.14M exp(−∆ /kT ) 0.14M exp(−∆ /kT ) 0.01M + 0.14M exp(−∆ /kT ) = N (0) + (∆) ≈ 14N ∆ exp(−∆ /kT ) C A = 2 ∂E ∂T ∆ kT = 14N ∆ exp(−∆ /kT ) = 14N k exp(−∆ /kT ) A ∆ kT 2 d) All states are equally likely ⇒ pface = 0.85 . e) M possible states for each atom ⇒ limT→∞ S = Nk ln M . f)One expects energy gap behavior because there is an energy gap for the excitation of a single atom. Σ statisticshomeworkhelper.com
  • 11.
    Neutral Atom Trap a)First write down the Hamiltonian for one atom. p2 p2 x y p2 1 z H = + + + ar 2m 2m 2m Then compute the partition function In order to emphasize the dependence on the important variables, this can be written in the form Z1 = ATαa−η where A = 8πk3 ( 2πmk )3/2 α = 9/2 and η = 3. h2 b) Remember to include correct Boltzmann counting. Z 1 N ! N 1 Z = F = −kT ln Z = −kT (N ln Z 1 − N ln N + N ) = −N kT ln(Z 1/N ) − N kT S = − ∂F ∂T N 1 Z1 /N (9/2) 1 = N k ln(Z /N ) + N k + N kT 1 Z /N T = N k ln(Z 1/N ) + (11/2)N k statisticshomeworkhelper.com
  • 12.
    c) dQ =0 no heat is exchanged with surroundings dQ = dS/T process is said to be reversible ⇒ dS = 0, S is constant ⇒ Z1 is constant, using the result from b) ⇒ 9/2 9/2 3 3 T /a is constant and = T0 /a0 T T0 9/2 = 3 a a0 T = T0 a a0 2/3 Two-Dimensional H2 Gas a) ±3 ±2 ±1 9k2/2I 2Ⓧ 4k2/2I 2Ⓧ k2/2I 2Ⓧ 0 0 1Ⓧ m ϵm = (k2 /2I)m2 ϵ DEGENERACY Z ROT ,1 = Σ exp[ −ϵ(state)/kT ] = Σ ∞ exp[−(k2 /2I kT ) m2 ] states m = − ∞ ∞ Σ j = 1 2 2 = 1 + 2 exp[−(k /2I kT ) j ] statisticshomeworkhelper.com
  • 13.
  • 14.
    Why Stars Shine a)The electostatic potential outside the charged sphere depends only on r, the magnitude of the distance from the center of the sphere. φ(r) = |e| r ≥ R r The potential energy of another proton, considered to be a point particle, in this field is e2 r V (r) = qφ(r) = Then the minimum energy that the second proton must have to get within a radial distance R of the first is (4.8 × 10−10)2 e2 Em i n = V (R) = R = 1.2 × 10−13 −6 = 1.92 × 10 ergs b) In problem 4 of problem set 2 we found the following expression for the kinetic energy of a particle in a three dimensional classical gas. Now find the probability p+ that a given proton in the stellar plasma has an energy greater than Emin. This is going to turn out to be a very small number, probably too small to be represented on a hand calculator. Therefore, let’s work toward getting its logarithm. statisticshomeworkhelper.com
  • 15.
    c) d) The fusionrate per proton is p+ times the collision rate per proton. But in general a rate equals the reciprocal of the characteristic time between events, so 1.01 × 10−9 τ = τ fusion collision + /p = 0.2 × 10 −149 140 = 5 × 10 sec The universe is about 15 billion years old, corresponding to a time Tuniverse = 15 × 109 × 365 × 24 × 60 × 60 = 4.7 × 1017 sec If the mass of the sun is 2 × 1033 grams then the number of protons it contains is given by 2 × 1033 Nprotons = 1.67 × 10−24 = 1.2 × 10 57 Then for the entire sun, the total number of fusions per second is found as follows. number of fusions per second = Nprotons × fusion rate per proton = Nprotons/τfusion 57 140 −84 −1 = 1.2 × 10 / 5 × 10 = 2 × 10 sec statisticshomeworkhelper.com