Greedy Strategy
A straightforward design strategy that can be applied to
variety of problems
These problems have n inputs and a feasible solution
is either a subset of n or a permutation (ordering)
of n inputs that satisfies certain constraints.
There are many feasible solutions and getting one such
feasible solution may not require much effort.
The feasible solution that maximizes or minimizes
some objective function is called an optimal
solution
The greedy method can be applied to solve
optimization problems
There are two types of optimization problems
The solution is subset of n inputs where the order
between the inputs is not important (subset paradigm)
The solution is a permutation of all n inputs or a subset
of n inputs thus order is important (ordering paradigm)
Control abstraction for greedy algorithm for the subset
paradigm
Algorithm greedy(a,n)
{ solution =φ
for i=1 to n do
{ x=select(A);
if feasible(solution , x) then
Solution = Union(solution, x)
}
return solution
}
Knapsack problem (fractional)
There are n objects and a knapsack or bag.
Object i has weight wi and the knapsack has capacity m.
If a fraction xi of, 0≤ xi ≤ 1, of object I is placed into the
knapsack then a profit pixi is earned
Since the knapsack capacity is m, the total weight of all
chosen objects can be at most m
∑ wi xi ≤ m 0≤ xi ≤ 1
1≤ i ≤ n
The objective is to obtain a filling of the knapsack that
maximizes the total profit earned.
maximize ∑ pi xi
1≤ i ≤ n
A feasible solution is any set(x1,x2,…xn) satisfying the
constraint ∑ 1≤ i ≤ n wi xi ≤ m and 0≤ xi ≤ 1
An optimal solution is for which ∑ 1≤ i ≤ n pi xi is maximized
Example
n=3 m=20 (w1,w2,w3)=(18,15,10) (p1,p2,p3)=(25,24,15)
There are many feasible solutions
(x1 x2 x3) Total weight Total profit
1 (1/2, 1/3, 1/4) 16.5 24.25
2 (1, 2/15, 0) 20 28.2
3 (0, 2/3, 0) 20 31
4 (0, 1, 1/2) 20 31.5
In case sum of all the weights is ≤ m then xi=1 , 1≤ i ≤n, is
an optimal solution
In case sum of all the weights is > m, then all optimal
solutions will fill the knapsack exactly.
There are several Greedy approaches
1. Chose the object which yields highest profit-
Selection-Select objects in non-increasing order of profit
Feasibility-chose xi to ensure feasibility - as 1 if wi ≤
remaining capacity r else as the ratio of r/wi
Algorithm GreedyKnapsackprofit(P,W,m,n,X)
{ // arrays ordered in non-increasing order of profits
for i=1 to n do X[i]=0
r=m ; p=0 ; w=0;
for i=1 to n
{ if W[i] ≤ r then
{ X[i]=1;
p=p+P[i] ;
r=r-W[i] ;
w=w+W[i] }
else { x[i]=r/W[i] ;
p=p+ P[i]* r/W[i];
w=w + r;
return p}
} return p } This greedy strategy gives a suboptimal
solution. Though profit increases at every step,
knapsack capacity is used up rapidly
r=20 p=0 w=0
18 < 20
X[1]=1
p=25 r=2 w = 18
15 > 2
X[2]= 2/15
p=25+(2/15)*24=28.2 w=20
2. Chose the object which takes up the least capacity of
knapsack –one with smallest weight
By being greedy about capacity we can earn more profits
Selection- select objects in non-decreasing order by weight.
Feasibility -chose xi as 1 if wi ≤ remaining capacity else
chose xi as the ratio of remaining capacity by wi
Algorithm GreedyKnapsackweight(P,W,m,n,X)
{ // arrays ordered in non-decreasing order of weights
……………..// same as GreedyKnapsackprofit }
r=20 p=0 w=0
10 < 20
X[1]=1 p=15 r=10 w = 10
15 > 10
X[2]= 10/15 p=15+(10/15)*24=31 w=20
This greedy strategy also gives a suboptimal solution
Though capacities are used slowly, profits are not
increasing rapidly
3. Chose the object having maximum profit perunit of
capacity
Selection-select objects in non-increasing order by the
ratio pi/wi.
Algorithm GreedyKnapsackratio(P,W,m,n,X)
{ // arrays ordered in non-increasing order of pi/wi
……………..// same as GreedyKnapsackprofit }
(24/15,15/10,25/18)=(1.6,1.5,1.39)
r=20 p=0 w=0
15 < 20
X[1]=1 p=24 r=5 w = 15
10 > 5
X[2]= 5/10 p=24+(5/10)*15=31.5 w=20
It can be proved that this greedy strategy gives an optimal
solution
0/1 Knapsack problem
The additional constraint that xi=1 or xi=0, that is and
object is either included or not included into the
knapsack, fraction is not allowed
N=4 m =20 wi(16, 12 , 8, 6) pi( 32, 20, 14, 9)
1 greedy strategy ordered according to profit
1. (1,0,0,0) total weight=16 total profit=32
2 greedy strategy ordered according to weight
2. (0, 0,1,1) total weight=14 total profit=23
3 greedy strategy ordered according to pi/wi
( 32/16,14/8,20/12, 9/6)=(2, 1.75,1.67,1.5)
3. (1,0,0,0) total weight=16 total profit =32
Consider the feasible solution
4 (0,1,1,0) total weight=20 total profit =34
None of the greedy strategies give an optimal solution in
case of 0/1 knapsack problem
Job Sequencing with deadlines
There are n jobs . With every job is associated a deadline
di > 0and a profit pi.
The profit is earned if and only if job is completed before
deadline
To complete a job, the job is to be processed on a
machine for one unit of time. Only one machine is
available for processing jobs
A feasible solution is a subset J of jobs such that each job
in this subset can be completed by its deadline
There are many feasible solutions . All singleton sets are
feasible solutions
Value of a feasible solution J is the sum of the profits of
the jobs in J.
An optimal solution is a feasible solution with maximum
value
Example
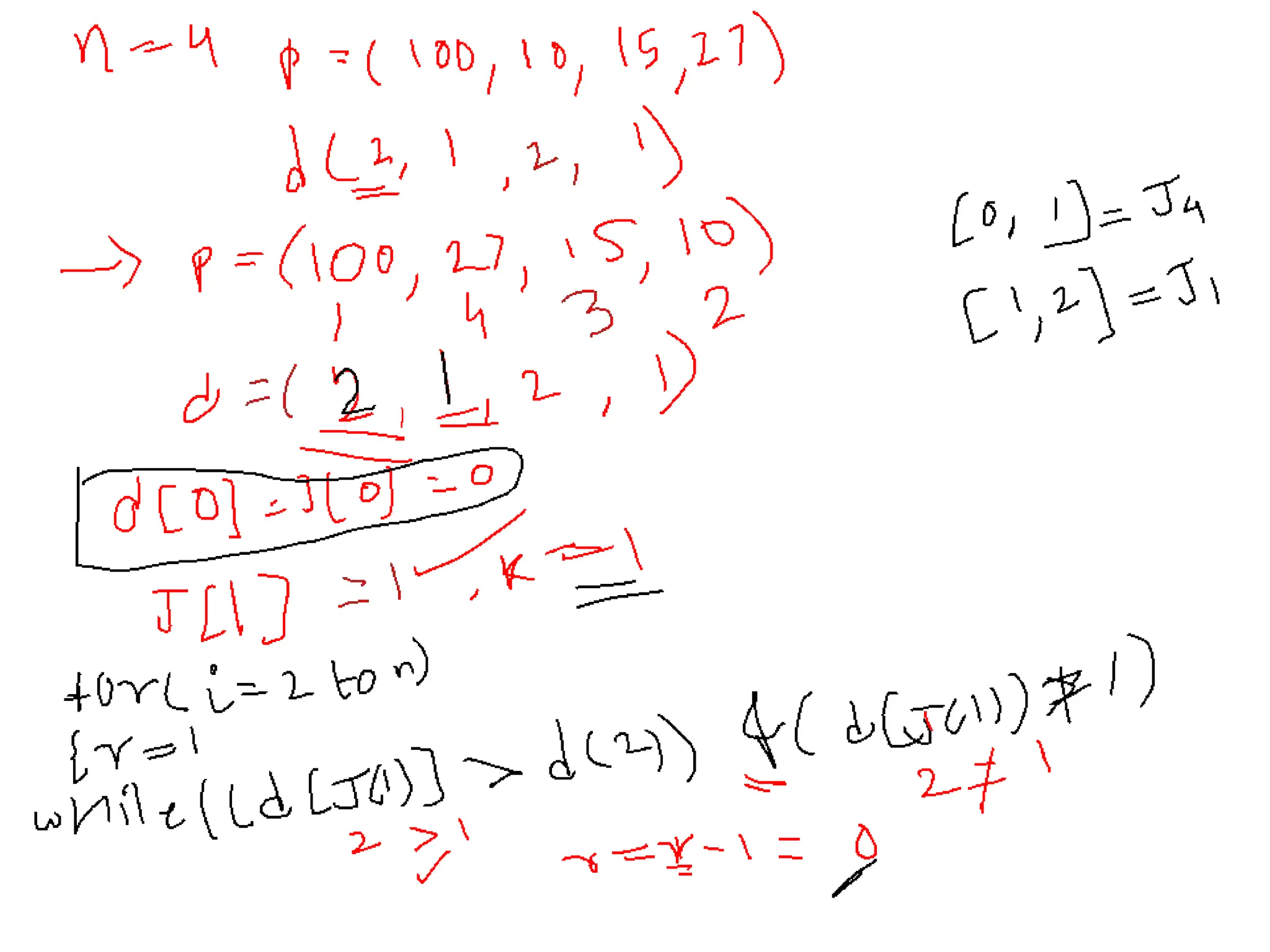
N=4 (p1,p2,p3,p4)=(50,10,15,27) and
(d1,d2,d3,d4)=(2,1,2,1)
Subset Processing sequence Value
1 {1,2} 2, 1 60
2 {1,3} 1,3 or 3, 1 65
3 {1,4} 4,1 77
4 {2,4} not feasible
5 {3,4} 4,3 42
6 {1,2,3} not feasible
7 {1} 1 50
The objective of Greedy algorithm is to increase profit
Selection- select the in non-increasing order of profits
Feasibility-one way is to try all possible permutations of
selected jobs to get one that does not violate deadlines
-which is time consuming
Feasibility can be checked by using only one permutation of
jobs –ordered in non-decreasing order of deadlines
If this permutation violates deadlines, then no other
permutation can satisfy deadlines
The greedy algorithm thus obtained always gives an optimal
solution
Algorithm JobScheduling(D, J, n)
// jobs are in non-increasing order of profits
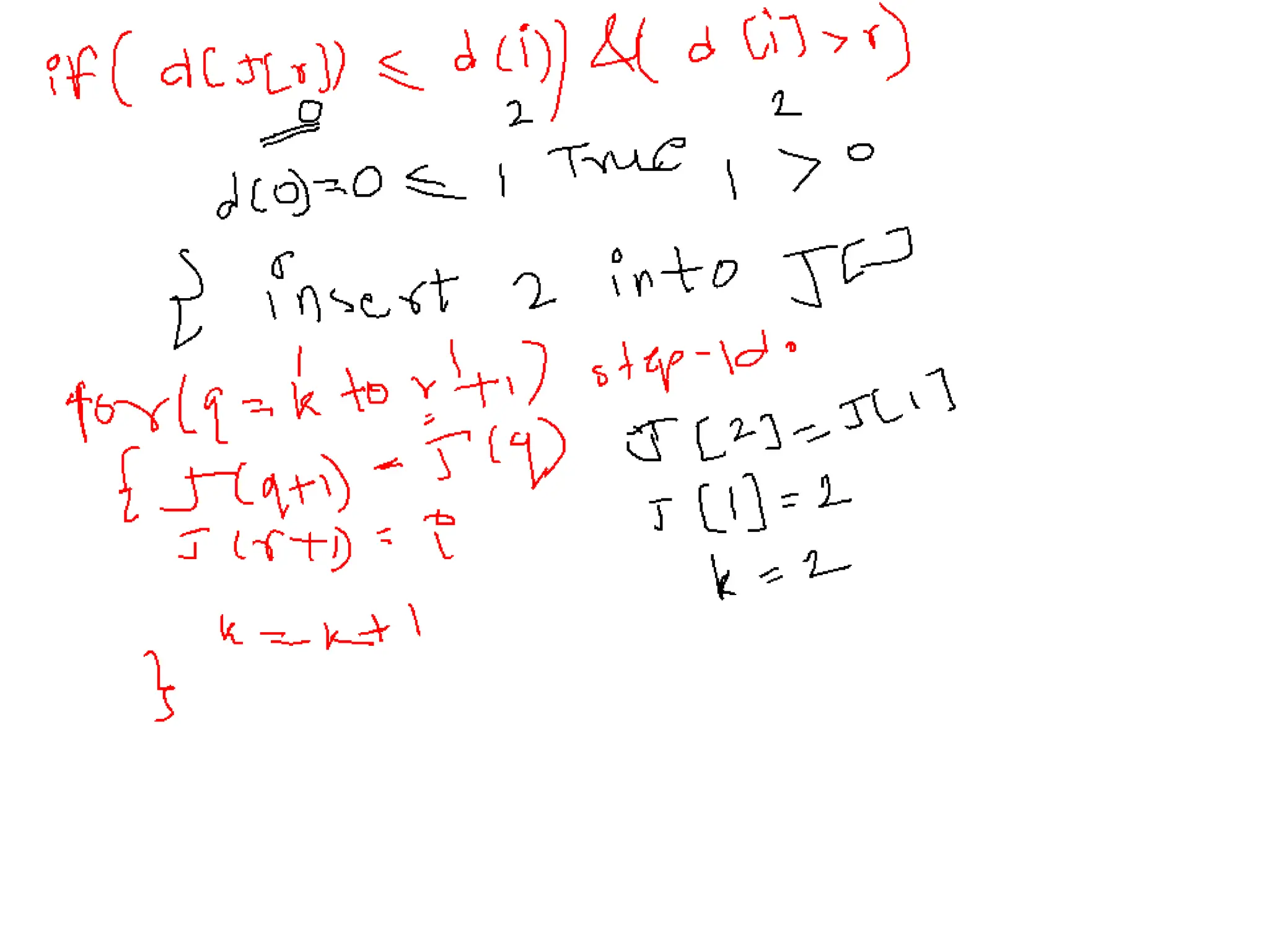
{D[0]=J[0]=0;// sentinel for insertion
J[1]=1; // include the first job
k=1; // no of jobs included
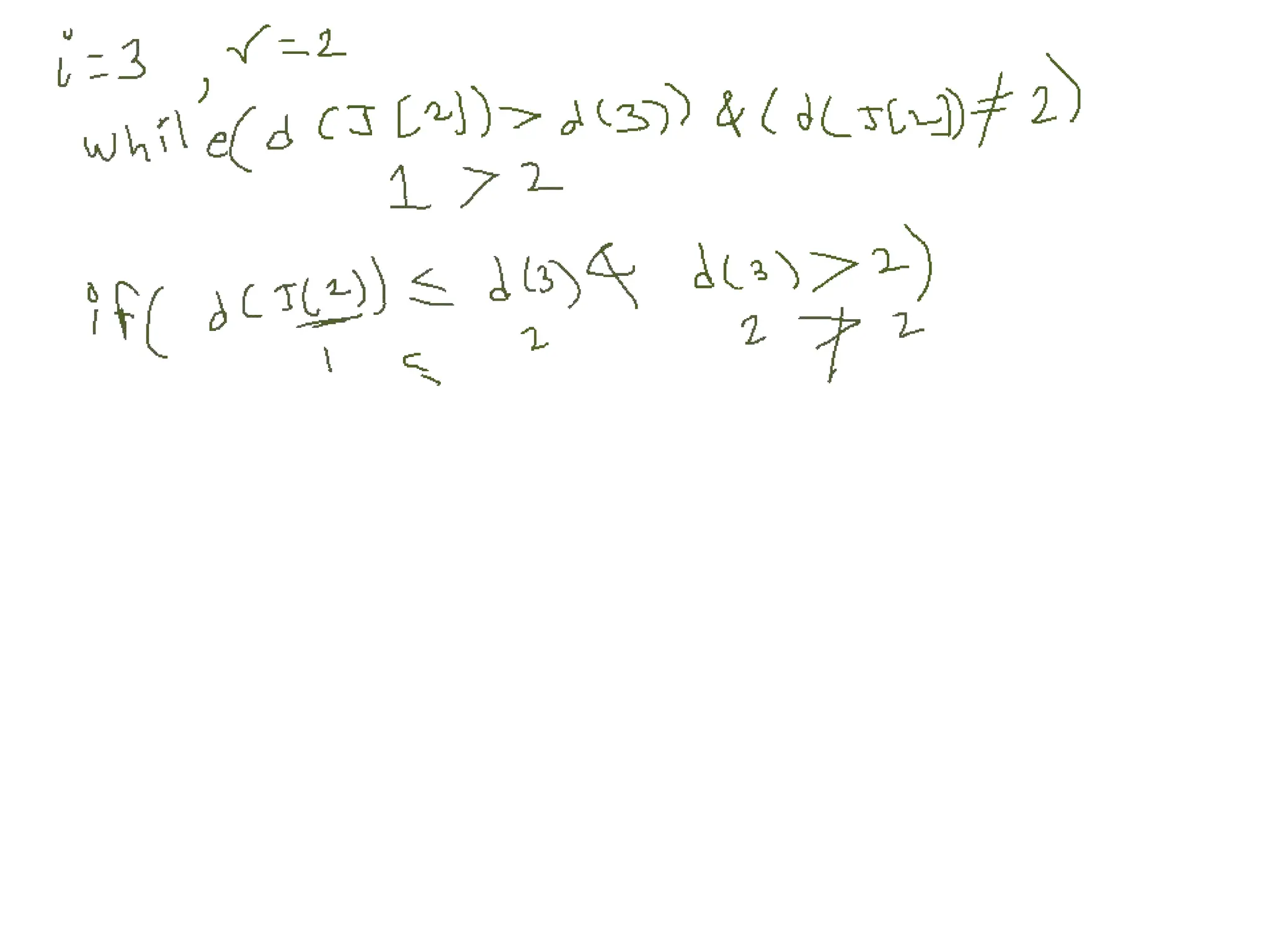
for i=2 to n do
{ r=k; // search for a position for ith job in 1 to r
//if the deadline of job at rth position equals r it cannot be
//pushed down also for insertion deadline of ith job //should
be less than job at rth position
While D[J[r]] >D[i] and D[j[r]] ≠r do r = r-1
//the job is to be now inserted at r+1 th position only if its
//deadline is greater than r and greater than the Job at r
if( D[J[r]]<=D[i] and D[i] >r then
{ // insert job by pushing down jobs to create space for
//insertion
for q=k downto r+1(**q = k; q>=r+1 ;q--) do J[q+1]=J[q]
J[r+1]= i
k = k+1
}
} return k
}
The worst case computing time of the algorithm is θ(n2
)
Better computing time can be obtained by postponing
processing of job as much as possible
Divide the time into b slots where b=min { n, max{ di }}
For job i find the slot closest to its deadline that is free and allot
it, if none such slots are free job is rejected
Example: N=5 (p1,p2,p3,p4,p5)= (20,15,10,5,1) and
(d1,d2,d3,d4,d5)=(2,,2,1,3,3)
There are initially three slots(3= min(5, max{di}))
[0,1], [1,2] and [2,3] and all are free
The jobs are ordered in non-increasing order of profits
Selected job deadline slot allocation action taken profit
1 2 [1,2] is free assigned 20
2 2 [1,2] not free
[0,1] is free assigned 15
3 1 [0,1] not free
no more slots rejected 0
4 3 [2,3] is free assigned 5
5 3 [2,3] not free
[1,2] not free
[0,1] not free
no more slots rejected 0
Total profit earned =40
The algorithm can be implemented by using an efficient data
structure disjoint set with unions
Data structure Disjoint set union
Sets of elements which are pair wise disjoint, i.e, if Si and Sj
are two sets, then there is no element that is both in Si and
Sj.
Ex S1={1,3,5} S2={2,8,10} S3={4,6,7,9}
Each set can be represented as a tree with each node stores a
link to its parent. One of the nodes can be a parent
1
3 5
2
8 10
4
6 7 9
S1
S2
S3
1
3 5
2
8 10
4
6 7 9
The operations to be performed on disjoint set
1. Disjoint set union – If Si and Sj are two disjoint sets ,
then the union Si U Sj is the set of all elements in Si and
Sj
Ex S1={1,3,5} S2= { 2,8,10} S1Us2={1,3,5,2,8,10}
1
3 5
2
8 10
2. Find - Given the element i find the set containing i.
The performance of find and union can be improved by
avoiding the creation of degenerate trees.
Make one of the
trees a subtree of
the other
Set the parent field
of one of the roots
to other root
Weighting rule-If the number of nodes in the tree with root
i is less than the number in the tree with root j, then make j
the parent of i otherwise make i the parent of j. It is applied
during union operation
Without weighting rule With weighting rule
1
2
n 1 2 n
1
2
2
1
n
n-1
2
1
2
1
3
2
1
3
2
1
3 n
With weighting rule the worst case height of the tree
with m nodes is log 2m +1
2
1
4
3
2
1
4
3 6
5
8
7
2
1
4
3
6
5
8
7
Collapsing rule-If j is a node on the path from i to its root
and p[i] (parent of i) is not equal to root[i], then set p[j] to
root[i]-Collapsing rule is applied during find operation
2
1
4
3
6
5
8
7
First Find(8) requires
going up three parent
links and then two
links are reset
2
1
4
3
6
5
8 7
Remaining Find(8)s will
require only going up
one link
The weighted unions and collapsing almost double the time
required for individual find but reduce the time for
subsequent finds.
•The effect of a collapsing find operation. After the find, all the
nodes along the search path are attached directly to the root.
•That is, they have had their depths decreased to one. As a
side-effect, any node which is in the sub tree of a node along
the search path may have its depth decreased by the
collapsing find operation.
•The depth of a node is never increased by the find
operation.
The time complexity of weighted union and collapsing finds
is much better than log2n
Disjoint set with weighted unions and collapsing finds is a
good data structure
Algorithm FastJobScheduling(D, J, n, b)
{for i=0 to b do p[i]=i // initialize
k=0;// the number of jobs selected
for i=1 to n do
{q = collapsingFind(min(n, D[i]))
if p[q] = 0 then write(“rejected”)// if it is root
else {
k=k+1; J[k]=i //select job i
m=CollapsingFind(p[q]-1)
Weighted Union(m, q)
p[q]=p[m]; //q may be new root
}
}//end of for
}
Optimal Merge patterns
Two sorted files containing m and n records can be
merged together to get a sorted file in O(m+n)
If there are n files to be merged, there are several
possible orders in which merging can take place with
different associated costs
Ex n =3 files of size 20 , 30 and 10
1. [ [1 2] 3] 20+30=50 50+10=60 Total 110
2. [1 [2 3]] 30+10=40 20 +40=60 Total 100
3. [[1 3] 2] 20+10=30 30 +30=60 Total 90
The above merge patterns are two way merge patterns
and can be represented in the form of binary merge
trees
60
50
20 30
10
The leaf nodes
represent files and are
called external nodes
The internal nodes represent files obtained by merging
files represented by its children O(m+n) . The number
in node is the length of the file
The root represents the final file obtained after merging
If di is the distance from root to an external node of length
qi then the total number of moves for binary merge tree
is ∑ diqi .
This sum is called the weighted external path length of
the tree
50
50
20 30
10 40
100
2(20)+2(30)+2(10)+2(40)=200
60
50
20 30
10
2(20)+2(30)+1(10)=110
The optimal two way merge pattern corresponds to
a binary merge tree with minimum weighted
external path length
The greedy approach is at every stage select the
two smallest files and merge them. The new file
obtained is a used in subsequent merges
Each file is a tree node with left child , right child and
weight which is the file length
The tree nodes are maintained as a list with two
operations
Least(list) –returns the smallest element
Insert(list, t)- inserts the tree node in the list
Algorithm OptimalMergePattern(list, n)
{ for i=1 to n-1 do
{
new->lchild=Least(list) ;
new->rchild=Least(list) ;
new->weight=((new->lchild)->weight) +
((new->rchild)->weight) ;
Insert(list, new);
}
return Least(list) ;
}
5 12 28 32 42 84
5 12
28 32 42 84
17
5 12
28
32 42 84
17
45
Example
N=6 file sizes are
28, 32, 12, 5, 84, 42
List contains
5 12
28
32 42
84
17
45 74
84
5 12
28
17
45
32 42
74
119
If list is kept in non-decreasing order according to weight
Least(list) requires only O(1) time while insert(list,t) will
take O(n) time . The algorithm will be of O(n2
)
The list can be maintained as priority queue with Least as
delete operation and usual insert operation on priority
queues.
If priority queues are maintained as heaps then the both
operations are of O(logn)
The running time of algorithm will be O(nlogn)
203
84
5 12
28
17
45
32 42
74
119
Lengths of the files are 28,32,12,5,48,13,35,11
Using optimal binary merge pattern find one for eight files whose
lengths are 30,11,15,40,13,35,10,28
Using optimal binary merge pattern find one for eight files
whose lengths are 30,11,15,40,13,35,10,28
Huffman Codes
Huffman codes are widely used and very effective
technique for compressing data
Coding is representing each character by a binary string
called codeword
Two types of codes
1. Variable length codes
2. Fixed length codes
A variable length code can considerably reduce the
message size by giving frequent characters short
codeword and infrequent characters long codeword
a b c d
Frequency 100 20 30 5
Fixed length encoding 00 01 10 11
Variable length encoding 0 10 110 111
Message aabbbaaaacaacad
Fixed length encoding 15x2=30
Variable length 9+6+9 =24
Prefix codes are codes in which no codeword is also a
prefix of some other codeword
Prefix codes are used because they simplify encoding
(compressions) as well as decoding
Huffman used a greedy approach that uses table of
frequency of occurrence of each character to build an
optimal way of representing each character as a binary
string(codeword)
The decoding process needs a convenient way of
representing the prefix codes
A binary tree is constructed using merge operation same
as in optimal merge patterns whose leaves are given
character frequencies.
The binary codeword for a character is the path from the
root to that character where 0 means go to the left and
1 means go to right
Ex n=6 Messages with frequencies 4 ,5 ,6 ,8, 10, 12
4 5 6 8 10 12
4 5
6 10
9
8 12
4 5 6
10
9
8
12 14
4 5
6
10
9
8
12 14 19
6 8
12 14
4 5
10
9
19 26
6 8
12 14
4 5
10
9
19 26
45
0
0
0 1
1
1
1
0
0
1
M1 M2
M3 M4
M5 M6
M1= 000 M3=01 M5 = 110
M2=001 M4= 10 M6 = 111
• Obtain set of Huffman codes for the
messages (m1,m2,m3,m4,m5,m6,m7) with
relative frequencies(f1,f2,f3,f4,f5,f6,f7)=
(1,1,2,3,5,8,13).
• Obtain a set of optimal Huffman codes for
the messages (M1,M2,M3,M4,M5) with
relative frequencies
(q1,q2,q3,q4,q5)=(40,12,21,8,4)
Obtain a set of optimal Huffman codes for the
messages (M1,M2,M3,M4,M5) with relative
frequencies (q1,q2,q3,q4,q5)=(40,12,21,8,4)
Obtain a set of optimal Huffman codes for the
messages (M1,M2,M3,M4,M5) relative frequencies
(q1,q2,q3,q4,q5)=(34,12,8,14,7)
Huffman Code algorithm:
• Huffman Code algorithm: algorithm builds
the tree T corresponding to
• Spanning Tree
– A tree (i.e., connected, acyclic graph) which
contains all the vertices of the graph
• Minimum Spanning Tree
– The tree with the minimum sum of weights
a
b c d
e
h g f
i
4
8 7
8
11
1 2
7
2
4 14
9
10
6
Problem
• A town has a set of houses
and a set of roads
• A road connects 2 and only
2 houses
• A road connecting houses u and v has a repair cost w(u, v)
Goal: Repair enough (and no more) roads such
that:
1. Everyone stays connected
i.e., can reach every house from all other houses
2. Total repair cost is minimum
a
b c d
e
h g f
i
4
8 7
8
11
1 2
7
2
4 14
9
10
6
A connected, undirected graph:
Vertices = houses, Edges = roads
A weight w(u, v) on each edge (u, v)  E
Find T  E such that:
1. T connects all vertices
2. w(T) = Σ(u,v)T w(u, v) is minimized
Properties of Minimum Spanning Trees
Minimum spanning trees are not unique
Minimum Spanning Tree have no cycles
We can take out an edge of a cycle, and still have the vertices
connected while reducing the cost
Number of edges in a Minimum Spanning Tree: = |V| - 1
int i,j,k,a,b,u,v,n,ne=1;
int min,mincost=0,cost[9][9],parent[9];
int find(int);
int uni(int,int);
void main()
{
printf("ntImplementation of Kruskal's
algorithmn");
printf("n Enter the no. of vertices:");
scanf("%d",&n);
printf("n Enter the cost adjacency matrix:
n");
for(i=1;i<=n;i++)
{for(j=1;j<=n;j++)
{scanf("%d",&cost[i][j]);
if(cost[i][j]==0)cost[i][j]=999;
} }
printf("The edges of Minimum Cost Spanning Tree
aren");
while(ne < n)
{for(i=1,min=999;i<=n;i++)
{for(j=1;j <= n;j++)
{if(cost[i][j] < min)
{min=cost[i][j];
a=u=i;b=v=j;
}}}u=find(u);v=find(v);
if(uni(u, v))
{
printf("%d edge (%d,%d)=%dn",ne+
+,a,b,min);
mincost +=min;
}
cost[a][b]=cost[b][a]=999; }
printf("ntMinimum cost = %d
n",mincost);
getch();
}
int find(int i)
{ while(parent[i])
i=parent[i];
return i;
}
int uni(int i,int j)
{ if(i!=j)
{parent[j]=i;
return 1; }
return 0;
}
Prims algorithm
int a,b,u,v,n,i,j,ne=1;
int visited[10]={0},min, mincost=0,cost[10][10];
void main()
{clrscr();
printf("nEnter the number of nodes:");
scanf("%d",&n);
printf("nEnter the adjacency matrix:n");
for(i=1;i<=n;i++)
for(j=1;j<=n;j++)
{scanf("%d",&cost[i][j]);
if(cost[i][j]==0)
cost[i][j]=999;
}
visited[1]=1;
printf("n");
while(ne < n)
{
for(i=1,min=999;i<=n;i++)
for(j=1;j<=n;j++)
if(cost[i][j]< min)
if(visited[i]!=0)
{min=cost[i][j];
a=u=i;
b=v=j; }
if(visited[u]==0 || visited[v]==0)
{printf("n Edge %d:(%d %d) cost:%d",ne+
+,a,b,min);
mincost+=min;
visited[b]=1; }
cost[a][b]=cost[b][a]=999;
}
printf("n Minimun cost=%d",mincost);
getch(); }
Kruskal’s Algorithm
1. List all the edges of the graph G in the
increasing order of weights.
2. Select the smallest edge from the list and add
it into the spanning tree T constructed so far, if
the inclusion of this edge does not make a
cycle.
3. If the selected edge with smallest weight forms
a cycle, remove it from the list.
4. Repeat steps 2 and 3 until the tree contains
n-1 edges or the list is empty.
5. If the tree T contains less than n-1 edges and
the list is empty, no spanning tree is possible
for the graph, else return the minimum
spanning tree T.
59
Prim’s Algorithm
• The idea is as follows: “at any stage in the
algorithm, we can see that we have a set of
vertices that have already been included in the
tree, the rest of the vertices have not.
• The Prim’s algorithm then finds a new vertex to
add it to the tree by choosing the edge (Vi, Vj),
the smallest among all edges, where Vi is in
the tree and Vj is yet to be included in the tree.
• The algorithm starts by selecting a vertex
arbitrarily, and then in each stage, we add an
edge (by adding an associated vertex) to the
tree.
Stages in prims algorithm
Optimal storage on tapes
There are n programs that are to be stored on a tape of
length l. Associated with each program is a length li, 1≤ i ≤ n.
all programs can be stored if sum of the lengths of the
programs is at most l.
If the programs are stored in order I= i1,i2…..in, the time tj
needed to retrieve program ij is proportional to ∑1≤ k ≤j lik
(l1+l2+…+lj)
If all programs are retrieved equally often , then the expected
or mean retrieval time MRT is 1/n∑1≤ j ≤n tj
The optimal solution is looking for a permutation of n
programs that minimizes MRT
The greedy method requires to store the programs in non-
decreasing order of their lengths
The greedy algorithm reduces to an efficient sorting
algorithm
Design and analysis of algorithams GREEDY METHOD.ppt
Design and analysis of algorithams GREEDY METHOD.ppt
Design and analysis of algorithams GREEDY METHOD.ppt
Design and analysis of algorithams GREEDY METHOD.ppt
Design and analysis of algorithams GREEDY METHOD.ppt
Design and analysis of algorithams GREEDY METHOD.ppt

Design and analysis of algorithams GREEDY METHOD.ppt

  • 1.
    Greedy Strategy A straightforwarddesign strategy that can be applied to variety of problems These problems have n inputs and a feasible solution is either a subset of n or a permutation (ordering) of n inputs that satisfies certain constraints. There are many feasible solutions and getting one such feasible solution may not require much effort. The feasible solution that maximizes or minimizes some objective function is called an optimal solution The greedy method can be applied to solve optimization problems
  • 2.
    There are twotypes of optimization problems The solution is subset of n inputs where the order between the inputs is not important (subset paradigm) The solution is a permutation of all n inputs or a subset of n inputs thus order is important (ordering paradigm) Control abstraction for greedy algorithm for the subset paradigm Algorithm greedy(a,n) { solution =φ for i=1 to n do { x=select(A); if feasible(solution , x) then Solution = Union(solution, x) } return solution }
  • 3.
    Knapsack problem (fractional) Thereare n objects and a knapsack or bag. Object i has weight wi and the knapsack has capacity m. If a fraction xi of, 0≤ xi ≤ 1, of object I is placed into the knapsack then a profit pixi is earned Since the knapsack capacity is m, the total weight of all chosen objects can be at most m ∑ wi xi ≤ m 0≤ xi ≤ 1 1≤ i ≤ n The objective is to obtain a filling of the knapsack that maximizes the total profit earned. maximize ∑ pi xi 1≤ i ≤ n A feasible solution is any set(x1,x2,…xn) satisfying the constraint ∑ 1≤ i ≤ n wi xi ≤ m and 0≤ xi ≤ 1 An optimal solution is for which ∑ 1≤ i ≤ n pi xi is maximized
  • 4.
    Example n=3 m=20 (w1,w2,w3)=(18,15,10)(p1,p2,p3)=(25,24,15) There are many feasible solutions (x1 x2 x3) Total weight Total profit 1 (1/2, 1/3, 1/4) 16.5 24.25 2 (1, 2/15, 0) 20 28.2 3 (0, 2/3, 0) 20 31 4 (0, 1, 1/2) 20 31.5 In case sum of all the weights is ≤ m then xi=1 , 1≤ i ≤n, is an optimal solution In case sum of all the weights is > m, then all optimal solutions will fill the knapsack exactly. There are several Greedy approaches 1. Chose the object which yields highest profit- Selection-Select objects in non-increasing order of profit Feasibility-chose xi to ensure feasibility - as 1 if wi ≤ remaining capacity r else as the ratio of r/wi
  • 5.
    Algorithm GreedyKnapsackprofit(P,W,m,n,X) { //arrays ordered in non-increasing order of profits for i=1 to n do X[i]=0 r=m ; p=0 ; w=0; for i=1 to n { if W[i] ≤ r then { X[i]=1; p=p+P[i] ; r=r-W[i] ; w=w+W[i] } else { x[i]=r/W[i] ; p=p+ P[i]* r/W[i]; w=w + r; return p} } return p } This greedy strategy gives a suboptimal solution. Though profit increases at every step, knapsack capacity is used up rapidly r=20 p=0 w=0 18 < 20 X[1]=1 p=25 r=2 w = 18 15 > 2 X[2]= 2/15 p=25+(2/15)*24=28.2 w=20
  • 6.
    2. Chose theobject which takes up the least capacity of knapsack –one with smallest weight By being greedy about capacity we can earn more profits Selection- select objects in non-decreasing order by weight. Feasibility -chose xi as 1 if wi ≤ remaining capacity else chose xi as the ratio of remaining capacity by wi Algorithm GreedyKnapsackweight(P,W,m,n,X) { // arrays ordered in non-decreasing order of weights ……………..// same as GreedyKnapsackprofit } r=20 p=0 w=0 10 < 20 X[1]=1 p=15 r=10 w = 10 15 > 10 X[2]= 10/15 p=15+(10/15)*24=31 w=20 This greedy strategy also gives a suboptimal solution Though capacities are used slowly, profits are not increasing rapidly
  • 7.
    3. Chose theobject having maximum profit perunit of capacity Selection-select objects in non-increasing order by the ratio pi/wi. Algorithm GreedyKnapsackratio(P,W,m,n,X) { // arrays ordered in non-increasing order of pi/wi ……………..// same as GreedyKnapsackprofit } (24/15,15/10,25/18)=(1.6,1.5,1.39) r=20 p=0 w=0 15 < 20 X[1]=1 p=24 r=5 w = 15 10 > 5 X[2]= 5/10 p=24+(5/10)*15=31.5 w=20 It can be proved that this greedy strategy gives an optimal solution
  • 8.
    0/1 Knapsack problem Theadditional constraint that xi=1 or xi=0, that is and object is either included or not included into the knapsack, fraction is not allowed N=4 m =20 wi(16, 12 , 8, 6) pi( 32, 20, 14, 9) 1 greedy strategy ordered according to profit 1. (1,0,0,0) total weight=16 total profit=32 2 greedy strategy ordered according to weight 2. (0, 0,1,1) total weight=14 total profit=23 3 greedy strategy ordered according to pi/wi ( 32/16,14/8,20/12, 9/6)=(2, 1.75,1.67,1.5) 3. (1,0,0,0) total weight=16 total profit =32 Consider the feasible solution 4 (0,1,1,0) total weight=20 total profit =34 None of the greedy strategies give an optimal solution in case of 0/1 knapsack problem
  • 12.
    Job Sequencing withdeadlines There are n jobs . With every job is associated a deadline di > 0and a profit pi. The profit is earned if and only if job is completed before deadline To complete a job, the job is to be processed on a machine for one unit of time. Only one machine is available for processing jobs A feasible solution is a subset J of jobs such that each job in this subset can be completed by its deadline There are many feasible solutions . All singleton sets are feasible solutions Value of a feasible solution J is the sum of the profits of the jobs in J. An optimal solution is a feasible solution with maximum value
  • 13.
    Example N=4 (p1,p2,p3,p4)=(50,10,15,27) and (d1,d2,d3,d4)=(2,1,2,1) SubsetProcessing sequence Value 1 {1,2} 2, 1 60 2 {1,3} 1,3 or 3, 1 65 3 {1,4} 4,1 77 4 {2,4} not feasible 5 {3,4} 4,3 42 6 {1,2,3} not feasible 7 {1} 1 50 The objective of Greedy algorithm is to increase profit Selection- select the in non-increasing order of profits Feasibility-one way is to try all possible permutations of selected jobs to get one that does not violate deadlines -which is time consuming
  • 14.
    Feasibility can bechecked by using only one permutation of jobs –ordered in non-decreasing order of deadlines If this permutation violates deadlines, then no other permutation can satisfy deadlines The greedy algorithm thus obtained always gives an optimal solution Algorithm JobScheduling(D, J, n) // jobs are in non-increasing order of profits {D[0]=J[0]=0;// sentinel for insertion J[1]=1; // include the first job k=1; // no of jobs included for i=2 to n do { r=k; // search for a position for ith job in 1 to r //if the deadline of job at rth position equals r it cannot be //pushed down also for insertion deadline of ith job //should be less than job at rth position While D[J[r]] >D[i] and D[j[r]] ≠r do r = r-1
  • 15.
    //the job isto be now inserted at r+1 th position only if its //deadline is greater than r and greater than the Job at r if( D[J[r]]<=D[i] and D[i] >r then { // insert job by pushing down jobs to create space for //insertion for q=k downto r+1(**q = k; q>=r+1 ;q--) do J[q+1]=J[q] J[r+1]= i k = k+1 } } return k } The worst case computing time of the algorithm is θ(n2 ) Better computing time can be obtained by postponing processing of job as much as possible Divide the time into b slots where b=min { n, max{ di }} For job i find the slot closest to its deadline that is free and allot it, if none such slots are free job is rejected
  • 16.
    Example: N=5 (p1,p2,p3,p4,p5)=(20,15,10,5,1) and (d1,d2,d3,d4,d5)=(2,,2,1,3,3) There are initially three slots(3= min(5, max{di})) [0,1], [1,2] and [2,3] and all are free The jobs are ordered in non-increasing order of profits Selected job deadline slot allocation action taken profit 1 2 [1,2] is free assigned 20 2 2 [1,2] not free [0,1] is free assigned 15 3 1 [0,1] not free no more slots rejected 0 4 3 [2,3] is free assigned 5 5 3 [2,3] not free [1,2] not free [0,1] not free no more slots rejected 0 Total profit earned =40
  • 21.
    The algorithm canbe implemented by using an efficient data structure disjoint set with unions Data structure Disjoint set union Sets of elements which are pair wise disjoint, i.e, if Si and Sj are two sets, then there is no element that is both in Si and Sj. Ex S1={1,3,5} S2={2,8,10} S3={4,6,7,9} Each set can be represented as a tree with each node stores a link to its parent. One of the nodes can be a parent 1 3 5 2 8 10 4 6 7 9 S1 S2 S3 1 3 5 2 8 10 4 6 7 9
  • 22.
    The operations tobe performed on disjoint set 1. Disjoint set union – If Si and Sj are two disjoint sets , then the union Si U Sj is the set of all elements in Si and Sj Ex S1={1,3,5} S2= { 2,8,10} S1Us2={1,3,5,2,8,10} 1 3 5 2 8 10 2. Find - Given the element i find the set containing i. The performance of find and union can be improved by avoiding the creation of degenerate trees. Make one of the trees a subtree of the other Set the parent field of one of the roots to other root
  • 23.
    Weighting rule-If thenumber of nodes in the tree with root i is less than the number in the tree with root j, then make j the parent of i otherwise make i the parent of j. It is applied during union operation Without weighting rule With weighting rule 1 2 n 1 2 n 1 2 2 1 n n-1 2 1 2 1 3 2 1 3 2 1 3 n With weighting rule the worst case height of the tree with m nodes is log 2m +1 2 1 4 3 2 1 4 3 6 5 8 7 2 1 4 3 6 5 8 7
  • 24.
    Collapsing rule-If jis a node on the path from i to its root and p[i] (parent of i) is not equal to root[i], then set p[j] to root[i]-Collapsing rule is applied during find operation 2 1 4 3 6 5 8 7 First Find(8) requires going up three parent links and then two links are reset 2 1 4 3 6 5 8 7 Remaining Find(8)s will require only going up one link The weighted unions and collapsing almost double the time required for individual find but reduce the time for subsequent finds.
  • 25.
    •The effect ofa collapsing find operation. After the find, all the nodes along the search path are attached directly to the root. •That is, they have had their depths decreased to one. As a side-effect, any node which is in the sub tree of a node along the search path may have its depth decreased by the collapsing find operation. •The depth of a node is never increased by the find operation. The time complexity of weighted union and collapsing finds is much better than log2n Disjoint set with weighted unions and collapsing finds is a good data structure
  • 26.
    Algorithm FastJobScheduling(D, J,n, b) {for i=0 to b do p[i]=i // initialize k=0;// the number of jobs selected for i=1 to n do {q = collapsingFind(min(n, D[i])) if p[q] = 0 then write(“rejected”)// if it is root else { k=k+1; J[k]=i //select job i m=CollapsingFind(p[q]-1) Weighted Union(m, q) p[q]=p[m]; //q may be new root } }//end of for }
  • 30.
    Optimal Merge patterns Twosorted files containing m and n records can be merged together to get a sorted file in O(m+n) If there are n files to be merged, there are several possible orders in which merging can take place with different associated costs Ex n =3 files of size 20 , 30 and 10 1. [ [1 2] 3] 20+30=50 50+10=60 Total 110 2. [1 [2 3]] 30+10=40 20 +40=60 Total 100 3. [[1 3] 2] 20+10=30 30 +30=60 Total 90 The above merge patterns are two way merge patterns and can be represented in the form of binary merge trees 60 50 20 30 10 The leaf nodes represent files and are called external nodes
  • 31.
    The internal nodesrepresent files obtained by merging files represented by its children O(m+n) . The number in node is the length of the file The root represents the final file obtained after merging If di is the distance from root to an external node of length qi then the total number of moves for binary merge tree is ∑ diqi . This sum is called the weighted external path length of the tree 50 50 20 30 10 40 100 2(20)+2(30)+2(10)+2(40)=200 60 50 20 30 10 2(20)+2(30)+1(10)=110
  • 32.
    The optimal twoway merge pattern corresponds to a binary merge tree with minimum weighted external path length The greedy approach is at every stage select the two smallest files and merge them. The new file obtained is a used in subsequent merges Each file is a tree node with left child , right child and weight which is the file length The tree nodes are maintained as a list with two operations Least(list) –returns the smallest element Insert(list, t)- inserts the tree node in the list
  • 33.
    Algorithm OptimalMergePattern(list, n) {for i=1 to n-1 do { new->lchild=Least(list) ; new->rchild=Least(list) ; new->weight=((new->lchild)->weight) + ((new->rchild)->weight) ; Insert(list, new); } return Least(list) ; }
  • 34.
    5 12 2832 42 84 5 12 28 32 42 84 17 5 12 28 32 42 84 17 45 Example N=6 file sizes are 28, 32, 12, 5, 84, 42 List contains
  • 35.
    5 12 28 32 42 84 17 4574 84 5 12 28 17 45 32 42 74 119
  • 36.
    If list iskept in non-decreasing order according to weight Least(list) requires only O(1) time while insert(list,t) will take O(n) time . The algorithm will be of O(n2 ) The list can be maintained as priority queue with Least as delete operation and usual insert operation on priority queues. If priority queues are maintained as heaps then the both operations are of O(logn) The running time of algorithm will be O(nlogn) 203 84 5 12 28 17 45 32 42 74 119
  • 37.
    Lengths of thefiles are 28,32,12,5,48,13,35,11 Using optimal binary merge pattern find one for eight files whose lengths are 30,11,15,40,13,35,10,28
  • 40.
    Using optimal binarymerge pattern find one for eight files whose lengths are 30,11,15,40,13,35,10,28
  • 41.
    Huffman Codes Huffman codesare widely used and very effective technique for compressing data Coding is representing each character by a binary string called codeword Two types of codes 1. Variable length codes 2. Fixed length codes A variable length code can considerably reduce the message size by giving frequent characters short codeword and infrequent characters long codeword a b c d Frequency 100 20 30 5 Fixed length encoding 00 01 10 11 Variable length encoding 0 10 110 111
  • 42.
    Message aabbbaaaacaacad Fixed lengthencoding 15x2=30 Variable length 9+6+9 =24 Prefix codes are codes in which no codeword is also a prefix of some other codeword Prefix codes are used because they simplify encoding (compressions) as well as decoding Huffman used a greedy approach that uses table of frequency of occurrence of each character to build an optimal way of representing each character as a binary string(codeword) The decoding process needs a convenient way of representing the prefix codes A binary tree is constructed using merge operation same as in optimal merge patterns whose leaves are given character frequencies.
  • 43.
    The binary codewordfor a character is the path from the root to that character where 0 means go to the left and 1 means go to right Ex n=6 Messages with frequencies 4 ,5 ,6 ,8, 10, 12 4 5 6 8 10 12 4 5 6 10 9 8 12 4 5 6 10 9 8 12 14 4 5 6 10 9 8 12 14 19
  • 44.
    6 8 12 14 45 10 9 19 26 6 8 12 14 4 5 10 9 19 26 45 0 0 0 1 1 1 1 0 0 1 M1 M2 M3 M4 M5 M6 M1= 000 M3=01 M5 = 110 M2=001 M4= 10 M6 = 111
  • 45.
    • Obtain setof Huffman codes for the messages (m1,m2,m3,m4,m5,m6,m7) with relative frequencies(f1,f2,f3,f4,f5,f6,f7)= (1,1,2,3,5,8,13).
  • 46.
    • Obtain aset of optimal Huffman codes for the messages (M1,M2,M3,M4,M5) with relative frequencies (q1,q2,q3,q4,q5)=(40,12,21,8,4)
  • 47.
    Obtain a setof optimal Huffman codes for the messages (M1,M2,M3,M4,M5) with relative frequencies (q1,q2,q3,q4,q5)=(40,12,21,8,4)
  • 48.
    Obtain a setof optimal Huffman codes for the messages (M1,M2,M3,M4,M5) relative frequencies (q1,q2,q3,q4,q5)=(34,12,8,14,7)
  • 49.
    Huffman Code algorithm: •Huffman Code algorithm: algorithm builds the tree T corresponding to
  • 50.
    • Spanning Tree –A tree (i.e., connected, acyclic graph) which contains all the vertices of the graph • Minimum Spanning Tree – The tree with the minimum sum of weights a b c d e h g f i 4 8 7 8 11 1 2 7 2 4 14 9 10 6
  • 51.
    Problem • A townhas a set of houses and a set of roads • A road connects 2 and only 2 houses • A road connecting houses u and v has a repair cost w(u, v) Goal: Repair enough (and no more) roads such that: 1. Everyone stays connected i.e., can reach every house from all other houses 2. Total repair cost is minimum a b c d e h g f i 4 8 7 8 11 1 2 7 2 4 14 9 10 6 A connected, undirected graph: Vertices = houses, Edges = roads A weight w(u, v) on each edge (u, v)  E
  • 52.
    Find T E such that: 1. T connects all vertices 2. w(T) = Σ(u,v)T w(u, v) is minimized Properties of Minimum Spanning Trees Minimum spanning trees are not unique Minimum Spanning Tree have no cycles We can take out an edge of a cycle, and still have the vertices connected while reducing the cost Number of edges in a Minimum Spanning Tree: = |V| - 1
  • 53.
    int i,j,k,a,b,u,v,n,ne=1; int min,mincost=0,cost[9][9],parent[9]; intfind(int); int uni(int,int); void main() { printf("ntImplementation of Kruskal's algorithmn"); printf("n Enter the no. of vertices:"); scanf("%d",&n); printf("n Enter the cost adjacency matrix: n"); for(i=1;i<=n;i++) {for(j=1;j<=n;j++) {scanf("%d",&cost[i][j]); if(cost[i][j]==0)cost[i][j]=999; } } printf("The edges of Minimum Cost Spanning Tree aren");
  • 54.
    while(ne < n) {for(i=1,min=999;i<=n;i++) {for(j=1;j<= n;j++) {if(cost[i][j] < min) {min=cost[i][j]; a=u=i;b=v=j; }}}u=find(u);v=find(v); if(uni(u, v)) { printf("%d edge (%d,%d)=%dn",ne+ +,a,b,min); mincost +=min; } cost[a][b]=cost[b][a]=999; } printf("ntMinimum cost = %d n",mincost); getch(); }
  • 55.
    int find(int i) {while(parent[i]) i=parent[i]; return i; } int uni(int i,int j) { if(i!=j) {parent[j]=i; return 1; } return 0; }
  • 56.
    Prims algorithm int a,b,u,v,n,i,j,ne=1; intvisited[10]={0},min, mincost=0,cost[10][10]; void main() {clrscr(); printf("nEnter the number of nodes:"); scanf("%d",&n); printf("nEnter the adjacency matrix:n"); for(i=1;i<=n;i++) for(j=1;j<=n;j++) {scanf("%d",&cost[i][j]); if(cost[i][j]==0) cost[i][j]=999; } visited[1]=1; printf("n"); while(ne < n) {
  • 57.
    for(i=1,min=999;i<=n;i++) for(j=1;j<=n;j++) if(cost[i][j]< min) if(visited[i]!=0) {min=cost[i][j]; a=u=i; b=v=j; } if(visited[u]==0|| visited[v]==0) {printf("n Edge %d:(%d %d) cost:%d",ne+ +,a,b,min); mincost+=min; visited[b]=1; } cost[a][b]=cost[b][a]=999; } printf("n Minimun cost=%d",mincost); getch(); }
  • 58.
    Kruskal’s Algorithm 1. Listall the edges of the graph G in the increasing order of weights. 2. Select the smallest edge from the list and add it into the spanning tree T constructed so far, if the inclusion of this edge does not make a cycle. 3. If the selected edge with smallest weight forms a cycle, remove it from the list. 4. Repeat steps 2 and 3 until the tree contains n-1 edges or the list is empty. 5. If the tree T contains less than n-1 edges and the list is empty, no spanning tree is possible for the graph, else return the minimum spanning tree T.
  • 59.
    59 Prim’s Algorithm • Theidea is as follows: “at any stage in the algorithm, we can see that we have a set of vertices that have already been included in the tree, the rest of the vertices have not. • The Prim’s algorithm then finds a new vertex to add it to the tree by choosing the edge (Vi, Vj), the smallest among all edges, where Vi is in the tree and Vj is yet to be included in the tree. • The algorithm starts by selecting a vertex arbitrarily, and then in each stage, we add an edge (by adding an associated vertex) to the tree.
  • 60.
    Stages in primsalgorithm
  • 65.
    Optimal storage ontapes There are n programs that are to be stored on a tape of length l. Associated with each program is a length li, 1≤ i ≤ n. all programs can be stored if sum of the lengths of the programs is at most l. If the programs are stored in order I= i1,i2…..in, the time tj needed to retrieve program ij is proportional to ∑1≤ k ≤j lik (l1+l2+…+lj) If all programs are retrieved equally often , then the expected or mean retrieval time MRT is 1/n∑1≤ j ≤n tj The optimal solution is looking for a permutation of n programs that minimizes MRT The greedy method requires to store the programs in non- decreasing order of their lengths The greedy algorithm reduces to an efficient sorting algorithm