1
Discrete Math
CS 2800
Johnnie Baker
jbaker@cs.kent.edu
Module Topic
Basic Structures: Functions and Sequences
Acknowledgement
Most of these slides were either created by
Professor Bart Selman at Cornell University or
else are modifications of his slides
2
Functions
Suppose we have:
How do you describe the yellow function?
What’s a function ? f(x) = -(1/2)x – 1/2
x
f(x)
Functions
More generally:
Definition:
Given A and B, nonempty sets, a function f from A to B is an assignment
of exactly one element of B to each element of A. We write f(a)=b if b is
the element of B assigned by function f to the element a of A.
If f is a function from A to B, we write f : AB.
Note: Functions are also called mappings or transformations.
B
5
Functions
A = {Michael, Toby , John , Chris , Brad }
B = { Kathy, Carla, Mary}
Let f: A  B be defined as f(a) = mother(a).
Michael
Toby
John
Chris
Brad
Kathy
Carol
Mary
A B
6
Functions
More generally:
f: RR, f(x) = -(1/2)x – 1/2
domain co-domain
A - Domain of f B- Co-Domain of f
B
7
Functions
More formally: a function f : A  B is a subset of AxB where
 a  A, ! b  B and <a,b>  f.
A
B
A
B
a point!
a collection of
points!
Why not?
Functions - image & preimage
For any set S  A, image(S) = {b : a  S, f(a) = b}
So, image({Michael, Toby}) = {Kathy} image(A) = B - {Carol}
image(S)
image(John) = {Kathy} pre-image(Kathy) = {John, Toby, Michael}
range of f
image(A)
Michael
Toby
John
Chris
Brad
Kathy
Carol
Mary
A B
9
Functions - injection
A function f: A  B is one-to-one (injective, an injection) if
a,b,c, (f(a) = b  f(c) = b)  a = c
Not one-to-one
Every b  B has
at most 1
preimage.
Michael
Toby
John
Chris
Brad
Kathy
Carol
Mary
10
Functions - surjection
A function f: A  B is onto (surjective, a surjection) if b  B,
a  A f(a) = b
Not onto
Every b  B has
at least 1
preimage.
Michael
Toby
John
Chris
Brad
Kathy
Carol
Mary
11
Functions – one-to-one-correspondence
or bijection
A function f: A  B is bijective if it is one-to-one and onto.
Anna
Mark
John
Paul
Sarah
Carol
Jo
Martha
Dawn
Eve
Every b  B has
exactly 1
preimage.
An important
implication of this
characteristic:
The preimage (f-1
)
is a function!
They are
invertible.
Anna
Mark
John
Paul
Sarah
Carol
Jo
Martha
Dawn
Eve
12
Functions: inverse function
Definition:
Given f, a one-to-one correspondence from set A to set B, the inverse
function of f is the function that assigns to an element b belonging to B
the unique element a in A such that f(a)=b. The inverse function is
denoted f-1
. f-1
(b)=a, when f(a)=b.
B
13
Functions - examples
Suppose f: R+
 R+
, f(x) = x2
.
Is f one-to-one?
Is f onto?
Is f bijective?
yes
yes
yes
This function is invertible.
14
Functions - examples
Suppose f: R  R+
, f(x) = x2
.
Is f one-to-one?
Is f onto?
Is f bijective?
no
yes
no
This function is not invertible.
15
Functions - examples
Suppose f: R  R, f(x) = x2
.
Is f one-to-one?
Is f onto?
Is f bijective?
no
no
no
17
Functions - composition
Let f: AB, and g: BC be functions. Then the composition of
f and g is:
(f o g)(x) = f(g(x))
Note: (f o g) cannot be defined unless the range of g is a subset of the domain of f.
“f composed with g”
18
Example:
Let f(x) = 2 x +3; g(x) = 3 x + 2;
(f o g) (x) = f(3x + 2) = 2 (3 x + 2 ) + 3 = 6 x + 7.
(g o f ) (x) = g (2 x + 3) = 3 (2 x + 3) + 2 = 6 x + 11.
As this example shows, (f o g) and (g o f) are not necessarily equal – i.e,
the composition of functions is not commutative.
19
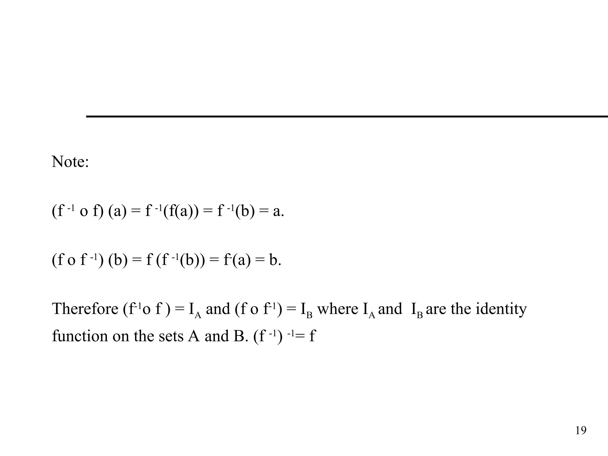
Note:
(f -1
o f) (a) = f -1
(f(a)) = f -1
(b) = a.
(f o f -1
) (b) = f (f -1
(b)) = f-
(a) = b.
Therefore (f-1
o f ) = IA and (f o f-1
) = IB where IA and IB are the identity
function on the sets A and B. (f -1
) -1
= f
20
Some important functions
Absolute value:
Domain R; Co-Domain = {0}  R+
|x| =
x if x ≥0
-x if x < 0
Ex: |-3| = 3; |3| = 3
Floor function (or greatest integer function):
Domain = R; Co-Domain = Z
x  = largest integer not greater than x
Ex: 3.2 = 3; -2.5 =-3
21
Some important functions
Ceiling function:
Domain = R;
Co-Domain = Z
x = smallest integer greater than x
Ex: 3.2 = 4; -2.5 =-2
≤
≤
≤
≤
+
+
+
+
+
+
23
Some important functions
Factorial function: Domain = Range = N Error on range
n! = n (n-1)(n-2) …, 3 x 2 x 1
Ex: 5! = 5 x 4 x 3 x 2 x 1 = 120
Note: 0! = 1 by convention.
24
Some important functions
Mod (or remainder):
Domain = N x N+
= {(m,n)| m N, n  N+ }
Co-domain Range = N
m mod n = m - m/n n
Ex: 8 mod 3 = 8 - 8/3 3 = 2
57 mod 12 = 9;
Note: This function computes the remainder when m is divided by n.
The name of this function is an abbreviation of m modulo n, where modulus means with
respect to a modulus (size) of n, which is defined to be the remainder when m is divided
by n. Note also that this function is an example in which the domain of the function is a
2-tuple.
25
Some important functions:
Exponential Function
Exponential function:
Domain = R+
x R = {(a,x)| a  R+, x  R }
Co-domain Range = R+
f(x) = a x
Note: a is a positive constant; x varies.
Ex: f(n) = a n
= a x a …, x a (n times)
How do we define f(x) if x is not a positive integer?
26
Some important functions:
Exponential function
Exponential function:
How do we define f(x) if x is not a positive integer?
Important properties of exponential functions:
(1) a (x+y)
= ax
ay
; (2) a 1
= a (3) a 0
= 1
See:
)
(
...
;
;
1
2
1
2
3
1
1
1
1
2
times
n
a
a
a
a
a
a
a
a
a
a
a
a
a
a
a
a
n















27
We get:
a
a
therefore
a
a
a
a
a
a
a
a
therefore
a
a
a
a
a
therefore
a
a
a
a
a
b
b
b
b
b
b






















2
1
2
2
1
2
1
2
1
2
1
2
1
1
)
(
0
0
0
0
1
1
)
(
1
1
1
By similar arguments:
m
n
m
n
n
m
m
x
x
x
mx
k
k
a
a
a
therefore
a
times
m
a
a
a
a
a
)
(
)
(
,
)
(
)
(
1
1







Note: This determines ax
for all x rational. x is irrational by continuity (we’ll skip “details”).
28
Some important functions:
Logarithm Function
Logarithm base a:
Domain = R+
x R = {(a,x)| a  R+, a>1, x  R }
Co-domain Range = R
y = log a (x)  ay
= x
Ex: log 2 (8) =3; log 2 (16) =3; 3 < log 2 (15) <4.
ey properties of the log function (they follow from those for exponential):
log a (1)=0 (because a0
=1)
log a (a)=1 (because a1
=a)
log a (xy) = log a (x) + log a (x) (similar arguments)
log a (xr
) = r log a (x)
log a (1/x) = - log a (x) (note 1/x = x-1
)
log (x) = log (x) / log (b)
29
Logarithm Functions
Examples:
log 2 (1/4)= - log 2 (4)= - 2.
log 2 (-4) undefined
log 2 (210
35
)= log 2 (210
) + log 2 (35
)=10 log 2 (2) + 5log 2 (3 )=
= 10 + 5 log 2 (3 )
30
Limit Properties of Log Function
0
)
log(
lim
)
log(
lim







x
x
x
x
x
As x gets large, log(x) grows without bound.
But x grows MUCH faster than log(x)…more soon on growth rates.
31
Some important functions:
Polynomials
Polynomial function:
Domain = usually R
Co-domain Range = usually R
Pn(x) = anxn
+ an-1xn-1
+ … + a1x1
+ a0
n, a nonnegative integer is the degree of the polynomial;
an 0 (so that the term anxn
actually appears)
(an, an-1, …, a1, a0) are the coefficients of the polynomial.
Ex:
y = P1(x) = a1x1
+ a0 linear function
y = P2(x) = a2x2
+ a1x1
+ a0 quadratic polynomial or function
32
Exponentials grow MUCH faster than polynomials:
1
0
lim 0






b
if
b
x
a
a
x
k
k
x

We’ll talk more about growth rates in the next module….
Sequences
34
Sequences
Definition:
A sequence {ai} is a function f: A  N  {0}  S, where we write
ai to indicate f(i). We call ai term I of the sequence.
Examples:
Sequence {ai}, where ai = i is just a0 = 0, a1 = 1, a2 = 2, …
Sequence {ai}, where ai = i2
is just a0 = 0, a1 = 1, a2 = 4, …
Sequences of the form a1, a2, …, an are often used in computer science.
(always check whether sequence starts at a0 or a1)
These finite sequences are also called strings. The length of a string is the number of
terms in the string. The empty string, denoted by , is the string that has no terms.
35
Geometric and Arithmetic Progressions
Definition: A geometric progression is a sequence of the form

 ,
,
,
,
,
, 3
2 n
ar
ar
ar
ar
a
The initial term a and the common ratio r are real numbers
Definition: An arithmetic progression is a sequence of the form

 ,
,
,
3
,
2
,
, nd
a
d
a
d
a
d
a
a 



The initial term a and the common difference d are real numbers
Note: An arithmetic progression is a discrete analogue of the linear function f(x) = dx + a
Notice differences in growth rate.
37
Summation
The symbol  (Greek letter sigma) is used to denote summation.
The limit:


ai
i
1
k
 a1  a2   ak
ai
i
1

 lim
n
ai
i
1
n

i is the index of the summation, and the choice of letter i is arbitrary;
the index of the summation runs through all integers, with its lower limit 1
and ending upper limit k.
38
Summation
The laws for arithmetic apply to summations

cai  bi
 
i
1
k
 c ai
i
1
k
  bi
i
1
k

Use associativity to separate the b terms from the a terms.
Use distributivity to factor the c’s.
39
Summations you should know…
What is S = 1 + 2 + 3 + … + n?
You get n copies of (n+1). But we’ve over added by a factor of 2.
So just divide by 2.
S = 1 + 2 + … + n
S = n + n-1 + … + 1
2s = n+1 + n+1 + … + n+1
Write the sum.
Write it again.
Add together.
k
k
1
n
 
n(n 1)
2
(little) Gauss in 4th
grade. 
Why whole number?
40
What is S = 1 + 3 + 5 + … + (2n - 1)?
Sum of first n odds.

(2k  1)
k
1
n
 2 k
k
1
n
  1
k
1
n

2
n(n 1)
2






 n
n2
What is S = 1 + 3 + 5 + … + (2n - 1)?
Sum of first n odds.

n2
What is S = 1 + r + r2
+ … + rn
Geometric Series


rk
k0
n
 1 r   rn


r rk
k0
n
 r  r2
  rn1
Multiply by r
Subtract the summations
rk
k0
n
  r rk
k0
n
 1 rn1
factor
(1 r) rk
k0
n
 1 rn1
divide rk
k0
n
 
1 rn1
(1 r)
DONE!
What about:


rk
k0

 1 r   rn


n
lim
1 rn1
(1 r)
If r  1 this
blows up.
If r < 1 we can say something.

rk
k0

 
n
lim rk
k0
n


1
(1 r)
Try r = ½.
Useful Summations
45
Infinite Cardinality
How can we extend the notion of cardinality to infinite sets?
Definition: Two sets A and B have the same cardinality if and only if
there exists a bijection (or a one-to-one correspondence) between
them, A ~ B.
We split infinite sets into two groups:
1. Sets with the same cardinality as the set of natural numbers
2. Sets with different cardinality as the set of natural numbers
46
Infinite Cardinality
Definition: A set is countable if it is finite or has the same cardinality
as the set of positive integers.
Definition: A set is uncountable if it is not countable.
Definition: The cardinality of an infinite set S that is countable is
denotes by ‫א‬
0 (where ‫א‬ is aleph, the first letter of the Hebrew
alphabet). We write |S| = ‫א‬
0 and say that S has cardinality “aleph
null”.
Note: Georg Cantor defined the notion of cardinality and was the first to realize that infinite sets can have
different cardinalities. ‫א‬
0 is the cardinality of the natural numbers; the next larger cardinality is
aleph-one ‫א‬
1 , then, ‫א‬
2 and so on.
47
Infinite Cardinality:
Odd Positive Integers
Example: The set of odd positive integers is a countable set.
Let’s define the function f, from Z+
to the set of odd positive numbers,
f(n) = 2 n -1
We have to show that f is both one-to-one and onto.
a) one-to-one
Suppose f(n)= f(m)  2n-1 = 2m-1  n=m
b) onto
Suppose that t is an odd positive integer. Then t is 1 less than an even
integer 2k, where k is a natural number. hence t=2k-1= f(k).
48
Infinite Cardinality:
Odd Positive Integers
2
49
Infinite Cardinality:
Integers
Example: The set of integers is a countable set.
Lets consider the sequence of all integers, starting with 0: 0,1,-1,2,-2,
….
We can define this sequence as a function:
odd
N
n
n
even
N
n
n
,
2
)
1
(
,
2




f(n) =
Show at home that it’s one-to-one and onto
2
0 1 -1 2
50
Infinite Cardinality:
Rational Numbers
Example: The set of positive rational numbers is a countable set. Hmm…
51
Infinite Cardinality:
Rational Numbers
Example: The set of positive rational numbers is a countable set
Key aspect to list the rational numbers as a sequence – every positive number is the
quotient p/q of two positive integers.
Visualization of the proof.
p+q=2
p+q=3
p+q=4 p+q=5 p+q=6
Since all positive rational numbers
are listed once, the set of positive
rational numbers is countable.
52
Uncountable Sets:
Cantor's diagonal argument
The set of all infinite sequences of zeros and ones is
uncountable.
Consider a sequence, 1
0
,
,
,
,
, 2
1 


 i
i
n a
or
a
n
a
a
a 
For example:
So in general we have:
i.e., sn,m is the mth
element of the nth
sequence on the list.
53
It is possible to build a sequence, say s0, in such a way that its first element is
different from the first element of the first sequence in the list, its second element is
different from the second element of the second sequence in the list, and, in general,
its nth element is different from the nth
element of the nth
sequence in the list. In other
words, s0,m will be 0 if sm,m is 1, and s0,m will be 1 if sm,m is 0.
Uncountable Sets:
Cantor's diagonal argument
54
The sequence s0 is distinct from all the sequences in the list. Why?
Let’s say that s0 is identical to the 100th
sequence, therefore, s0,100=s100,100.
In general, if it appeared as the nth sequence on the list, we would have s0,n = sn,n,
which, due to the construction of s0, is impossible.
Note: the diagonal elements are highlighted,
showing why this is called the diagonal argument
Uncountable Sets:
Cantor's diagonal argument
55
From this it follows that the set T, consisting of all infinite sequences of
zeros and ones, cannot be put into a list s1, s2, s3, ... Otherwise, it would
be possible by the above process to construct a sequence s0 which would
both be in T (because it is a sequence of 0's and 1's which is by the
definition of T in T) and at the same time not in T (because we can
deliberately construct it not to be in the list). T, containing all such
sequences, must contain s0, which is just such a sequence. But since s0
does not appear anywhere on the list, T cannot contain s0.
Therefore T cannot be placed in one-to-one correspondence with the
natural numbers. In other words, the set of infinite binary strings is
uncountable.
Uncountable Sets:
Cantor's diagonal argument
56
Real Numbers
Example; The set of real numbers is an uncountable set.
Let’s assume that the set of real numbers is countable.
Therefore any subset of it is also countable, in particular the interval
[0,1].
How many real numbers are in interval [0, 1]?
57
Real Numbers
How many real numbers are in interval [0, 1]?
0.4 3 2 9 0 1 3 2 9 8 4 2 0 3 9 …
0.8 2 5 9 9 1 3 2 7 2 5 8 9 2 5 …
0.9 2 5 3 9 1 5 9 7 4 5 0 6 2 1 …
…
“Countably many! There’s part of
the list!”
“Are you sure they’re all there?”
0.5 3 6 …
So we say the reals are
“uncountable.”
Counterexample:
Use diagonalization
to create a new number
that differs in the ith
position of the
ith number
by 1.

Chpt-2-Functions-Seqs_v.5.ppt Function and Sequences

  • 1.
    1 Discrete Math CS 2800 JohnnieBaker jbaker@cs.kent.edu Module Topic Basic Structures: Functions and Sequences
  • 2.
    Acknowledgement Most of theseslides were either created by Professor Bart Selman at Cornell University or else are modifications of his slides 2
  • 3.
    Functions Suppose we have: Howdo you describe the yellow function? What’s a function ? f(x) = -(1/2)x – 1/2 x f(x)
  • 4.
    Functions More generally: Definition: Given Aand B, nonempty sets, a function f from A to B is an assignment of exactly one element of B to each element of A. We write f(a)=b if b is the element of B assigned by function f to the element a of A. If f is a function from A to B, we write f : AB. Note: Functions are also called mappings or transformations. B
  • 5.
    5 Functions A = {Michael,Toby , John , Chris , Brad } B = { Kathy, Carla, Mary} Let f: A  B be defined as f(a) = mother(a). Michael Toby John Chris Brad Kathy Carol Mary A B
  • 6.
    6 Functions More generally: f: RR,f(x) = -(1/2)x – 1/2 domain co-domain A - Domain of f B- Co-Domain of f B
  • 7.
    7 Functions More formally: afunction f : A  B is a subset of AxB where  a  A, ! b  B and <a,b>  f. A B A B a point! a collection of points! Why not?
  • 8.
    Functions - image& preimage For any set S  A, image(S) = {b : a  S, f(a) = b} So, image({Michael, Toby}) = {Kathy} image(A) = B - {Carol} image(S) image(John) = {Kathy} pre-image(Kathy) = {John, Toby, Michael} range of f image(A) Michael Toby John Chris Brad Kathy Carol Mary A B
  • 9.
    9 Functions - injection Afunction f: A  B is one-to-one (injective, an injection) if a,b,c, (f(a) = b  f(c) = b)  a = c Not one-to-one Every b  B has at most 1 preimage. Michael Toby John Chris Brad Kathy Carol Mary
  • 10.
    10 Functions - surjection Afunction f: A  B is onto (surjective, a surjection) if b  B, a  A f(a) = b Not onto Every b  B has at least 1 preimage. Michael Toby John Chris Brad Kathy Carol Mary
  • 11.
    11 Functions – one-to-one-correspondence orbijection A function f: A  B is bijective if it is one-to-one and onto. Anna Mark John Paul Sarah Carol Jo Martha Dawn Eve Every b  B has exactly 1 preimage. An important implication of this characteristic: The preimage (f-1 ) is a function! They are invertible. Anna Mark John Paul Sarah Carol Jo Martha Dawn Eve
  • 12.
    12 Functions: inverse function Definition: Givenf, a one-to-one correspondence from set A to set B, the inverse function of f is the function that assigns to an element b belonging to B the unique element a in A such that f(a)=b. The inverse function is denoted f-1 . f-1 (b)=a, when f(a)=b. B
  • 13.
    13 Functions - examples Supposef: R+  R+ , f(x) = x2 . Is f one-to-one? Is f onto? Is f bijective? yes yes yes This function is invertible.
  • 14.
    14 Functions - examples Supposef: R  R+ , f(x) = x2 . Is f one-to-one? Is f onto? Is f bijective? no yes no This function is not invertible.
  • 15.
    15 Functions - examples Supposef: R  R, f(x) = x2 . Is f one-to-one? Is f onto? Is f bijective? no no no
  • 17.
    17 Functions - composition Letf: AB, and g: BC be functions. Then the composition of f and g is: (f o g)(x) = f(g(x)) Note: (f o g) cannot be defined unless the range of g is a subset of the domain of f. “f composed with g”
  • 18.
    18 Example: Let f(x) =2 x +3; g(x) = 3 x + 2; (f o g) (x) = f(3x + 2) = 2 (3 x + 2 ) + 3 = 6 x + 7. (g o f ) (x) = g (2 x + 3) = 3 (2 x + 3) + 2 = 6 x + 11. As this example shows, (f o g) and (g o f) are not necessarily equal – i.e, the composition of functions is not commutative.
  • 19.
    19 Note: (f -1 o f)(a) = f -1 (f(a)) = f -1 (b) = a. (f o f -1 ) (b) = f (f -1 (b)) = f- (a) = b. Therefore (f-1 o f ) = IA and (f o f-1 ) = IB where IA and IB are the identity function on the sets A and B. (f -1 ) -1 = f
  • 20.
    20 Some important functions Absolutevalue: Domain R; Co-Domain = {0}  R+ |x| = x if x ≥0 -x if x < 0 Ex: |-3| = 3; |3| = 3 Floor function (or greatest integer function): Domain = R; Co-Domain = Z x  = largest integer not greater than x Ex: 3.2 = 3; -2.5 =-3
  • 21.
    21 Some important functions Ceilingfunction: Domain = R; Co-Domain = Z x = smallest integer greater than x Ex: 3.2 = 4; -2.5 =-2
  • 22.
  • 23.
    23 Some important functions Factorialfunction: Domain = Range = N Error on range n! = n (n-1)(n-2) …, 3 x 2 x 1 Ex: 5! = 5 x 4 x 3 x 2 x 1 = 120 Note: 0! = 1 by convention.
  • 24.
    24 Some important functions Mod(or remainder): Domain = N x N+ = {(m,n)| m N, n  N+ } Co-domain Range = N m mod n = m - m/n n Ex: 8 mod 3 = 8 - 8/3 3 = 2 57 mod 12 = 9; Note: This function computes the remainder when m is divided by n. The name of this function is an abbreviation of m modulo n, where modulus means with respect to a modulus (size) of n, which is defined to be the remainder when m is divided by n. Note also that this function is an example in which the domain of the function is a 2-tuple.
  • 25.
    25 Some important functions: ExponentialFunction Exponential function: Domain = R+ x R = {(a,x)| a  R+, x  R } Co-domain Range = R+ f(x) = a x Note: a is a positive constant; x varies. Ex: f(n) = a n = a x a …, x a (n times) How do we define f(x) if x is not a positive integer?
  • 26.
    26 Some important functions: Exponentialfunction Exponential function: How do we define f(x) if x is not a positive integer? Important properties of exponential functions: (1) a (x+y) = ax ay ; (2) a 1 = a (3) a 0 = 1 See: ) ( ... ; ; 1 2 1 2 3 1 1 1 1 2 times n a a a a a a a a a a a a a a a a n               
  • 27.
    27 We get: a a therefore a a a a a a a a therefore a a a a a therefore a a a a a b b b b b b                       2 1 2 2 1 2 1 2 1 2 1 2 1 1 ) ( 0 0 0 0 1 1 ) ( 1 1 1 By similararguments: m n m n n m m x x x mx k k a a a therefore a times m a a a a a ) ( ) ( , ) ( ) ( 1 1        Note: This determines ax for all x rational. x is irrational by continuity (we’ll skip “details”).
  • 28.
    28 Some important functions: LogarithmFunction Logarithm base a: Domain = R+ x R = {(a,x)| a  R+, a>1, x  R } Co-domain Range = R y = log a (x)  ay = x Ex: log 2 (8) =3; log 2 (16) =3; 3 < log 2 (15) <4. ey properties of the log function (they follow from those for exponential): log a (1)=0 (because a0 =1) log a (a)=1 (because a1 =a) log a (xy) = log a (x) + log a (x) (similar arguments) log a (xr ) = r log a (x) log a (1/x) = - log a (x) (note 1/x = x-1 ) log (x) = log (x) / log (b)
  • 29.
    29 Logarithm Functions Examples: log 2(1/4)= - log 2 (4)= - 2. log 2 (-4) undefined log 2 (210 35 )= log 2 (210 ) + log 2 (35 )=10 log 2 (2) + 5log 2 (3 )= = 10 + 5 log 2 (3 )
  • 30.
    30 Limit Properties ofLog Function 0 ) log( lim ) log( lim        x x x x x As x gets large, log(x) grows without bound. But x grows MUCH faster than log(x)…more soon on growth rates.
  • 31.
    31 Some important functions: Polynomials Polynomialfunction: Domain = usually R Co-domain Range = usually R Pn(x) = anxn + an-1xn-1 + … + a1x1 + a0 n, a nonnegative integer is the degree of the polynomial; an 0 (so that the term anxn actually appears) (an, an-1, …, a1, a0) are the coefficients of the polynomial. Ex: y = P1(x) = a1x1 + a0 linear function y = P2(x) = a2x2 + a1x1 + a0 quadratic polynomial or function
  • 32.
    32 Exponentials grow MUCHfaster than polynomials: 1 0 lim 0       b if b x a a x k k x  We’ll talk more about growth rates in the next module….
  • 33.
  • 34.
    34 Sequences Definition: A sequence {ai}is a function f: A  N  {0}  S, where we write ai to indicate f(i). We call ai term I of the sequence. Examples: Sequence {ai}, where ai = i is just a0 = 0, a1 = 1, a2 = 2, … Sequence {ai}, where ai = i2 is just a0 = 0, a1 = 1, a2 = 4, … Sequences of the form a1, a2, …, an are often used in computer science. (always check whether sequence starts at a0 or a1) These finite sequences are also called strings. The length of a string is the number of terms in the string. The empty string, denoted by , is the string that has no terms.
  • 35.
    35 Geometric and ArithmeticProgressions Definition: A geometric progression is a sequence of the form   , , , , , , 3 2 n ar ar ar ar a The initial term a and the common ratio r are real numbers Definition: An arithmetic progression is a sequence of the form   , , , 3 , 2 , , nd a d a d a d a a     The initial term a and the common difference d are real numbers Note: An arithmetic progression is a discrete analogue of the linear function f(x) = dx + a
  • 36.
  • 37.
    37 Summation The symbol (Greek letter sigma) is used to denote summation. The limit:   ai i 1 k  a1  a2   ak ai i 1   lim n ai i 1 n  i is the index of the summation, and the choice of letter i is arbitrary; the index of the summation runs through all integers, with its lower limit 1 and ending upper limit k.
  • 38.
    38 Summation The laws forarithmetic apply to summations  cai  bi   i 1 k  c ai i 1 k   bi i 1 k  Use associativity to separate the b terms from the a terms. Use distributivity to factor the c’s.
  • 39.
    39 Summations you shouldknow… What is S = 1 + 2 + 3 + … + n? You get n copies of (n+1). But we’ve over added by a factor of 2. So just divide by 2. S = 1 + 2 + … + n S = n + n-1 + … + 1 2s = n+1 + n+1 + … + n+1 Write the sum. Write it again. Add together. k k 1 n   n(n 1) 2 (little) Gauss in 4th grade.  Why whole number?
  • 40.
    40 What is S= 1 + 3 + 5 + … + (2n - 1)? Sum of first n odds.  (2k  1) k 1 n  2 k k 1 n   1 k 1 n  2 n(n 1) 2        n n2
  • 41.
    What is S= 1 + 3 + 5 + … + (2n - 1)? Sum of first n odds.  n2
  • 42.
    What is S= 1 + r + r2 + … + rn Geometric Series   rk k0 n  1 r   rn   r rk k0 n  r  r2   rn1 Multiply by r Subtract the summations rk k0 n   r rk k0 n  1 rn1 factor (1 r) rk k0 n  1 rn1 divide rk k0 n   1 rn1 (1 r) DONE!
  • 43.
    What about:   rk k0   1r   rn   n lim 1 rn1 (1 r) If r  1 this blows up. If r < 1 we can say something.  rk k0    n lim rk k0 n   1 (1 r) Try r = ½.
  • 44.
  • 45.
    45 Infinite Cardinality How canwe extend the notion of cardinality to infinite sets? Definition: Two sets A and B have the same cardinality if and only if there exists a bijection (or a one-to-one correspondence) between them, A ~ B. We split infinite sets into two groups: 1. Sets with the same cardinality as the set of natural numbers 2. Sets with different cardinality as the set of natural numbers
  • 46.
    46 Infinite Cardinality Definition: Aset is countable if it is finite or has the same cardinality as the set of positive integers. Definition: A set is uncountable if it is not countable. Definition: The cardinality of an infinite set S that is countable is denotes by ‫א‬ 0 (where ‫א‬ is aleph, the first letter of the Hebrew alphabet). We write |S| = ‫א‬ 0 and say that S has cardinality “aleph null”. Note: Georg Cantor defined the notion of cardinality and was the first to realize that infinite sets can have different cardinalities. ‫א‬ 0 is the cardinality of the natural numbers; the next larger cardinality is aleph-one ‫א‬ 1 , then, ‫א‬ 2 and so on.
  • 47.
    47 Infinite Cardinality: Odd PositiveIntegers Example: The set of odd positive integers is a countable set. Let’s define the function f, from Z+ to the set of odd positive numbers, f(n) = 2 n -1 We have to show that f is both one-to-one and onto. a) one-to-one Suppose f(n)= f(m)  2n-1 = 2m-1  n=m b) onto Suppose that t is an odd positive integer. Then t is 1 less than an even integer 2k, where k is a natural number. hence t=2k-1= f(k).
  • 48.
  • 49.
    49 Infinite Cardinality: Integers Example: Theset of integers is a countable set. Lets consider the sequence of all integers, starting with 0: 0,1,-1,2,-2, …. We can define this sequence as a function: odd N n n even N n n , 2 ) 1 ( , 2     f(n) = Show at home that it’s one-to-one and onto 2 0 1 -1 2
  • 50.
    50 Infinite Cardinality: Rational Numbers Example:The set of positive rational numbers is a countable set. Hmm…
  • 51.
    51 Infinite Cardinality: Rational Numbers Example:The set of positive rational numbers is a countable set Key aspect to list the rational numbers as a sequence – every positive number is the quotient p/q of two positive integers. Visualization of the proof. p+q=2 p+q=3 p+q=4 p+q=5 p+q=6 Since all positive rational numbers are listed once, the set of positive rational numbers is countable.
  • 52.
    52 Uncountable Sets: Cantor's diagonalargument The set of all infinite sequences of zeros and ones is uncountable. Consider a sequence, 1 0 , , , , , 2 1     i i n a or a n a a a  For example: So in general we have: i.e., sn,m is the mth element of the nth sequence on the list.
  • 53.
    53 It is possibleto build a sequence, say s0, in such a way that its first element is different from the first element of the first sequence in the list, its second element is different from the second element of the second sequence in the list, and, in general, its nth element is different from the nth element of the nth sequence in the list. In other words, s0,m will be 0 if sm,m is 1, and s0,m will be 1 if sm,m is 0. Uncountable Sets: Cantor's diagonal argument
  • 54.
    54 The sequence s0is distinct from all the sequences in the list. Why? Let’s say that s0 is identical to the 100th sequence, therefore, s0,100=s100,100. In general, if it appeared as the nth sequence on the list, we would have s0,n = sn,n, which, due to the construction of s0, is impossible. Note: the diagonal elements are highlighted, showing why this is called the diagonal argument Uncountable Sets: Cantor's diagonal argument
  • 55.
    55 From this itfollows that the set T, consisting of all infinite sequences of zeros and ones, cannot be put into a list s1, s2, s3, ... Otherwise, it would be possible by the above process to construct a sequence s0 which would both be in T (because it is a sequence of 0's and 1's which is by the definition of T in T) and at the same time not in T (because we can deliberately construct it not to be in the list). T, containing all such sequences, must contain s0, which is just such a sequence. But since s0 does not appear anywhere on the list, T cannot contain s0. Therefore T cannot be placed in one-to-one correspondence with the natural numbers. In other words, the set of infinite binary strings is uncountable. Uncountable Sets: Cantor's diagonal argument
  • 56.
    56 Real Numbers Example; Theset of real numbers is an uncountable set. Let’s assume that the set of real numbers is countable. Therefore any subset of it is also countable, in particular the interval [0,1]. How many real numbers are in interval [0, 1]?
  • 57.
    57 Real Numbers How manyreal numbers are in interval [0, 1]? 0.4 3 2 9 0 1 3 2 9 8 4 2 0 3 9 … 0.8 2 5 9 9 1 3 2 7 2 5 8 9 2 5 … 0.9 2 5 3 9 1 5 9 7 4 5 0 6 2 1 … … “Countably many! There’s part of the list!” “Are you sure they’re all there?” 0.5 3 6 … So we say the reals are “uncountable.” Counterexample: Use diagonalization to create a new number that differs in the ith position of the ith number by 1.