International Research Journal of Engineering and Technology (IRJET) e-ISSN: 2395-0056
Volume: 07 Issue: 01 | Jan 2020 www.irjet.net p-ISSN: 2395-0072
© 2020, IRJET | Impact Factor value: 7.34 | ISO 9001:2008 Certified Journal | Page 786
STUDY OF MOBILE USAGE USING CORRELATION TECHNIQUES
ROSHAN BABAJI DAFALE
Assistant Professor, Department Of Mathematics, D.B.J. College, Chiplun
S.K.Patil Nagar, Mumbai Goa Highway, D.B.J. College, Chiplun, Pin-415605
---------------------------------------------------------------------***----------------------------------------------------------------------
Abstract - This study explores the use of mobile phones among all the age groups in Chiplun. The present review introduces
methods of analyzing the relationship between two quantitative variables. The estimation of the sample product moment
correlation coefficient are discussed.
The usage of mobile phones is totally un-avoidable now a days and as such I have made a systematic survey through a well
prepared questionnaire on making use of mobile phones to the maximum level. Theresultsarescientificallyclassifiedandstatedto
match the ground reality.
Key Words: Coefficient of correlation and probable error
1. INTRODUCTION
Mobile phones are powerful communication device. In recent years, most of the world populations use smart phones thanks
to its wide selection of applications. Movable is that the most dominant portal of data and communication technology. Right
from a faculty going kid, a house partner toa servant,the telephone hasitsmajorimpactontheirlives. The expansion ofmobile
phones in India, |Asian country, Asian nation and specially their quality and use by teenagers in India has been the article of
international and national media attention within the previous few months. Movable is that the most dominant portal of
data and communication technology. The proportion of web usage additionally hyperbolic globally,theaddiction behaviorto
mobile phones is additionally increasing.
Instead of its advantages, there are also some disadvantages of mobilephone.Soitall dependsontheuserhowheor shemakes
use for better living. A mental constipation resulting from modern technology has come to the attention of sociologists,
psychologists, and scholars of education on mobile addiction. Mobile phone addiction and withdrawal from mobile network
may increase anger, tension, depression and restlessness which mayalterthephysiological behaviorandreducework efficacy.
Correlation in statistics can be used in finance and investing. For example a correlation coefficient could be identified to
determine the level of correlation between the price ofcrudeoil andthestock priceof anoil-producingcompany,suchasExxon
Mobil Corporation. Since oil companies earn more profits as oil prices rise, therelationshipbetweenthetwovariablesishighly
positive.
2. OBJECTIVES
To study the Correlation Between
1. The male and female using mobile phones.
2. The age groups of various people using the mobile phone.
3. The study of network connection with respect to pre-paid and post- paid connections.
3. Methodology
The current study is based on primary data collected from 1305 respondents from the 8 localities of Chiplun. A well-
structured questionnaire was designed to collect the information from the respondents. The questionnaire was designed to
study perception towards usage of mobile phones. In this paper the correlation between the eightlocalitieswith respecttothe
above said objectives are measured. A total of 1305 people were made to participate in this survey. Only 1001of these people
are using mobile phones and the remaining 304are non-users of cell phones because of their own reasons.
The Secondary Data is collected from various magazines, newspapers and internet websites on different aspects of
mobile phone utilization. After collecting the data from various sources,thedata issubjectedtoverification,quantificationand
coding with referred coding keys.
International Research Journal of Engineering and Technology (IRJET) e-ISSN: 2395-0056
Volume: 07 Issue: 01 | Jan 2020 www.irjet.net p-ISSN: 2395-0072
© 2020, IRJET | Impact Factor value: 7.34 | ISO 9001:2008 Certified Journal | Page 787
Fig.1 karl pearson product moment correlation
TABLE : AREA WISE AND AGE WISE DISTRIBUTION OF DATA
Gender Correlation
coefficient
P.E. REMARK
Areas Pedhe Kherdi Uktad Markandi Pagnaka Khend Kaviltali Pethmap
Male 65 34 29 76 86 175 123 90
0.8479
0.06 significant
Female 80 12 66 82 70 145 83 89
Age
20-40 20 50 80 10 16 13 10 40 0.7112 0.18 significant
20< 18 50 50 30 15 18 40 50
20< 18 50 50 30 15 18 40 50 0.8037 0.05 significant
40-60 40 60 70 18 15 14 30 50
20< 18 50 50 30 15 18 40 50 0.4401 0.18 significant
>60 9 35 18 16 15 34 38 29
20-40 20 50 80 10 16 13 10 40 0.9127 0.03 significant
40-60 40 60 70 18 15 14 30 50
20-40 20 50 80 10 16 13 10 40 -0.02269 0.02 insignifica
nt>60 9 35 18 16 15 34 38 29
>60 9 35 18 16 15 34 38 29 0.05857 0.05 significant
40-60 40 60 70 18 15 14 30 50
Connection
Post paid 97 39 83 117 111 159 139 127 0.7367 0.07 significant
Pre paid 2 3 8 18 23 18 31 26
International Research Journal of Engineering and Technology (IRJET) e-ISSN: 2395-0056
Volume: 07 Issue: 01 | Jan 2020 www.irjet.net p-ISSN: 2395-0072
© 2020, IRJET | Impact Factor value: 7.34 | ISO 9001:2008 Certified Journal | Page 788
International Research Journal of Engineering and Technology (IRJET) e-ISSN: 2395-0056
Volume: 07 Issue: 01 | Jan 2020 www.irjet.net p-ISSN: 2395-0072
© 2020, IRJET | Impact Factor value: 7.34 | ISO 9001:2008 Certified Journal | Page 789
International Research Journal of Engineering and Technology (IRJET) e-ISSN: 2395-0056
Volume: 07 Issue: 01 | Jan 2020 www.irjet.net p-ISSN: 2395-0072
© 2020, IRJET | Impact Factor value: 7.34 | ISO 9001:2008 Certified Journal | Page 790
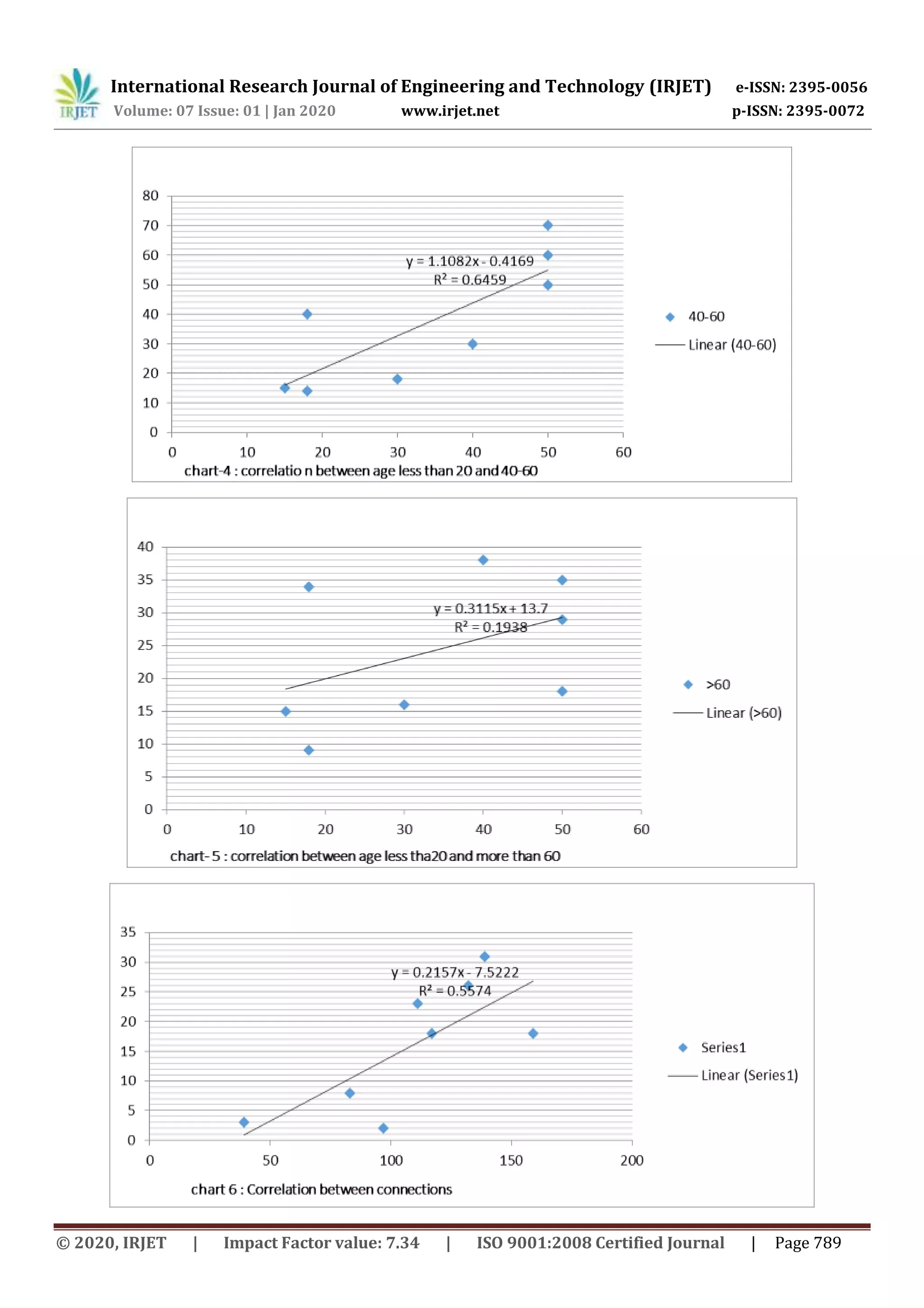
Fig.2 : Area and age group wise distribution of data
4. Results
Correlation Coefficient
 Measure the degree of relation
 Understanding the economic behavior
 Positive Correlation : when the values of variable moves in a same direction
 Negative Correlation : when the values of variable moves in a opposite direction
There are several types of correlation coefficients, but the one that is most common is the Pearson correlation (r). This
measures the strength and direction of the linear relationship between two variables. Correlation is a statistical tool for
studying the relationship between twoormorevariables.Theoryofcorrelationdealswiththeobservationandmeasurementof
the relationship between two or more statistical series. The study of correlationisveryimportantfrombusinessandeconomic
point of view.
Fig3. Types of correlation in bivariate data using scatter diagram
It helps in verifying the reliabilityandaccuracyofthedatathatanalysescauseandeffect Relationship.Correlation does
not necessarily mean causational. Even in the case of significant correlation, there may be no cause-and-affect connection. If a
change in one variable causes a change in the other variable, is called correlation between the two variables. A change in one
may be caused by or due to the other but the statistical evidence may not indicate which is caused and which is affected.
Correlation may be due entirely to a third factor or several other factors affecting each variable, this is the case in time series.
International Research Journal of Engineering and Technology (IRJET) e-ISSN: 2395-0056
Volume: 07 Issue: 01 | Jan 2020 www.irjet.net p-ISSN: 2395-0072
© 2020, IRJET | Impact Factor value: 7.34 | ISO 9001:2008 Certified Journal | Page 791
Correlation analysis involves various methods and the techniques used for studying and measuring the extent relationship
between the two variables.
The value of r is lies between -1 < r < +1. The + used for positive correlation and – signs are used for negative linear
correlations, respectively.
Positive correlation: If x and y have a strong positive correlation, r is close to +1. An r value of exactly positive (+)1
indicates a perfect positive correlation.
Negative correlation: If x and y have a strong negative correlation, r is close to -1. An r value of exactly negative
(-)1indicates a perfect negative correlation.
No correlation: If there is no linear correlation or a weak correlation than r is equal to 0. A value near r = 0 means that
there is no relationship between the two variables.
Note that r is a dimensionless quantity; it does not depends on the units employed.
A perfect correlation (± 1) occurs only when the data points all lie exactly on a
straight line. If r = positive (+1), the slope of this line is positive. If r = negative one(-1), the slope of this line is negative.
A correlation greater than 0.8 is generally indicates that strong, whereasa correlationislessthan0.5isgenerallydescribed
as weak. These values can vary based upon the 'type' of data being examined. A study utilizing scientific data that may
required a stronger correlation than a study using social science data.
However, in real life situations, when the variables are random variables, the correlation coefficient doesnot equal thevalue1
(+1 or -1). the value of correlation is nearly 1, means there is strong linear relationship and value nearing 0 indicates lack of
linear relationship.
Thus the zero value of correlation coefficient does not imply that there is no relationshipbetweenthetwovariablesortheyare
independent of each other. However, if two variables are independent of each other then the correlation coefficient is zero.
There is interesting feature about interpretation of the low/high values of correlation and the extent of linear relationship.
If the correlation coefficient is less than the probable error then there is no evidence of relationship between the variablesi.e.,
there is no significant relationship between the variables.
Significant relationship exists only when correlation coefficient is greater than 0.8.
 Regarding the mobile phone users, the correlation betweenthemalesandfemalesis0.8479,shownthatthereisa very
high degree of correlation between the males and female.
 With respect to age groups concern, the age groups 20-40 and 40-60 show a highest degree of correlation of mobile
users which is 0.9127. And the 0.7112 between the age groups less than 20 and 20-40. The least is found with less
than 20 years and greater than 60 years age group. It is shown in the table 1, and from figure1, we observe that the
correlation between the age group 20-40 and 40-60 is highly significant and there is a positive correlation between
them.
 The correlation between the prepaid and post- paid connections is 0.7367. The major approximately around 85% of
mobile users are pre-paid customer.
5. CONCLUSIONS
The analysis of correlation is of immense use in practical life. Correlation measures the degree or strength of the linear
relationship between the variables. With the help of correlation analysis onecanidentifythedirectionornatureofrelationship
between variables. With this analysis, we can measure the magnitude or degree of relationship existingbetweenthe variables.
Cell phone is being widely used for many valid reasons.
The usage of it varies from one age group to the other. Study has proved that majority of users are men.
People are also selecting different network connections with different options. Prepaid connection has influenced the most
mobile users. Majority users have optimized with regard to the usage of cell phone.
International Research Journal of Engineering and Technology (IRJET) e-ISSN: 2395-0056
Volume: 07 Issue: 01 | Jan 2020 www.irjet.net p-ISSN: 2395-0072
© 2020, IRJET | Impact Factor value: 7.34 | ISO 9001:2008 Certified Journal | Page 792
REFERENCES
 Singh Fulbag and Sharma Reema(2007),”Cellular Services and Consumer Buying Behaviour in Amritsar City,TheIUP
Journel of Consumer Behaviour ,Vol.2,No.3,PP.39-51.
 L. M. S. D. Souza, H. Vogt and M. Beigl, “A survey on fault tolerance in wireless sensor networks”,2007.
 T.N. Srivastava, ShailajaRego “ Statistics for Management” – Tata McGraw-Hill
 I.F. Akyildiz, W. Su, Y. Sankarasubramaniam and E. Cayirci, "A Survey on Sensor Networks", IEEE . Communications
Magazine, pp. 102--114, August 2002.
BIOGRAPHIES
ROSHAN BABAJI DAFALE
M.SC. STATISTICS
ASSISTANT PROFESSOR
D.B.J.COLLEGE, CHIPLUN
RATNAGIRI, 415605.

IRJET- Study of Mobile Usage using Correlation Techniques

  • 1.
    International Research Journalof Engineering and Technology (IRJET) e-ISSN: 2395-0056 Volume: 07 Issue: 01 | Jan 2020 www.irjet.net p-ISSN: 2395-0072 © 2020, IRJET | Impact Factor value: 7.34 | ISO 9001:2008 Certified Journal | Page 786 STUDY OF MOBILE USAGE USING CORRELATION TECHNIQUES ROSHAN BABAJI DAFALE Assistant Professor, Department Of Mathematics, D.B.J. College, Chiplun S.K.Patil Nagar, Mumbai Goa Highway, D.B.J. College, Chiplun, Pin-415605 ---------------------------------------------------------------------***---------------------------------------------------------------------- Abstract - This study explores the use of mobile phones among all the age groups in Chiplun. The present review introduces methods of analyzing the relationship between two quantitative variables. The estimation of the sample product moment correlation coefficient are discussed. The usage of mobile phones is totally un-avoidable now a days and as such I have made a systematic survey through a well prepared questionnaire on making use of mobile phones to the maximum level. Theresultsarescientificallyclassifiedandstatedto match the ground reality. Key Words: Coefficient of correlation and probable error 1. INTRODUCTION Mobile phones are powerful communication device. In recent years, most of the world populations use smart phones thanks to its wide selection of applications. Movable is that the most dominant portal of data and communication technology. Right from a faculty going kid, a house partner toa servant,the telephone hasitsmajorimpactontheirlives. The expansion ofmobile phones in India, |Asian country, Asian nation and specially their quality and use by teenagers in India has been the article of international and national media attention within the previous few months. Movable is that the most dominant portal of data and communication technology. The proportion of web usage additionally hyperbolic globally,theaddiction behaviorto mobile phones is additionally increasing. Instead of its advantages, there are also some disadvantages of mobilephone.Soitall dependsontheuserhowheor shemakes use for better living. A mental constipation resulting from modern technology has come to the attention of sociologists, psychologists, and scholars of education on mobile addiction. Mobile phone addiction and withdrawal from mobile network may increase anger, tension, depression and restlessness which mayalterthephysiological behaviorandreducework efficacy. Correlation in statistics can be used in finance and investing. For example a correlation coefficient could be identified to determine the level of correlation between the price ofcrudeoil andthestock priceof anoil-producingcompany,suchasExxon Mobil Corporation. Since oil companies earn more profits as oil prices rise, therelationshipbetweenthetwovariablesishighly positive. 2. OBJECTIVES To study the Correlation Between 1. The male and female using mobile phones. 2. The age groups of various people using the mobile phone. 3. The study of network connection with respect to pre-paid and post- paid connections. 3. Methodology The current study is based on primary data collected from 1305 respondents from the 8 localities of Chiplun. A well- structured questionnaire was designed to collect the information from the respondents. The questionnaire was designed to study perception towards usage of mobile phones. In this paper the correlation between the eightlocalitieswith respecttothe above said objectives are measured. A total of 1305 people were made to participate in this survey. Only 1001of these people are using mobile phones and the remaining 304are non-users of cell phones because of their own reasons. The Secondary Data is collected from various magazines, newspapers and internet websites on different aspects of mobile phone utilization. After collecting the data from various sources,thedata issubjectedtoverification,quantificationand coding with referred coding keys.
  • 2.
    International Research Journalof Engineering and Technology (IRJET) e-ISSN: 2395-0056 Volume: 07 Issue: 01 | Jan 2020 www.irjet.net p-ISSN: 2395-0072 © 2020, IRJET | Impact Factor value: 7.34 | ISO 9001:2008 Certified Journal | Page 787 Fig.1 karl pearson product moment correlation TABLE : AREA WISE AND AGE WISE DISTRIBUTION OF DATA Gender Correlation coefficient P.E. REMARK Areas Pedhe Kherdi Uktad Markandi Pagnaka Khend Kaviltali Pethmap Male 65 34 29 76 86 175 123 90 0.8479 0.06 significant Female 80 12 66 82 70 145 83 89 Age 20-40 20 50 80 10 16 13 10 40 0.7112 0.18 significant 20< 18 50 50 30 15 18 40 50 20< 18 50 50 30 15 18 40 50 0.8037 0.05 significant 40-60 40 60 70 18 15 14 30 50 20< 18 50 50 30 15 18 40 50 0.4401 0.18 significant >60 9 35 18 16 15 34 38 29 20-40 20 50 80 10 16 13 10 40 0.9127 0.03 significant 40-60 40 60 70 18 15 14 30 50 20-40 20 50 80 10 16 13 10 40 -0.02269 0.02 insignifica nt>60 9 35 18 16 15 34 38 29 >60 9 35 18 16 15 34 38 29 0.05857 0.05 significant 40-60 40 60 70 18 15 14 30 50 Connection Post paid 97 39 83 117 111 159 139 127 0.7367 0.07 significant Pre paid 2 3 8 18 23 18 31 26
  • 3.
    International Research Journalof Engineering and Technology (IRJET) e-ISSN: 2395-0056 Volume: 07 Issue: 01 | Jan 2020 www.irjet.net p-ISSN: 2395-0072 © 2020, IRJET | Impact Factor value: 7.34 | ISO 9001:2008 Certified Journal | Page 788
  • 4.
    International Research Journalof Engineering and Technology (IRJET) e-ISSN: 2395-0056 Volume: 07 Issue: 01 | Jan 2020 www.irjet.net p-ISSN: 2395-0072 © 2020, IRJET | Impact Factor value: 7.34 | ISO 9001:2008 Certified Journal | Page 789
  • 5.
    International Research Journalof Engineering and Technology (IRJET) e-ISSN: 2395-0056 Volume: 07 Issue: 01 | Jan 2020 www.irjet.net p-ISSN: 2395-0072 © 2020, IRJET | Impact Factor value: 7.34 | ISO 9001:2008 Certified Journal | Page 790 Fig.2 : Area and age group wise distribution of data 4. Results Correlation Coefficient  Measure the degree of relation  Understanding the economic behavior  Positive Correlation : when the values of variable moves in a same direction  Negative Correlation : when the values of variable moves in a opposite direction There are several types of correlation coefficients, but the one that is most common is the Pearson correlation (r). This measures the strength and direction of the linear relationship between two variables. Correlation is a statistical tool for studying the relationship between twoormorevariables.Theoryofcorrelationdealswiththeobservationandmeasurementof the relationship between two or more statistical series. The study of correlationisveryimportantfrombusinessandeconomic point of view. Fig3. Types of correlation in bivariate data using scatter diagram It helps in verifying the reliabilityandaccuracyofthedatathatanalysescauseandeffect Relationship.Correlation does not necessarily mean causational. Even in the case of significant correlation, there may be no cause-and-affect connection. If a change in one variable causes a change in the other variable, is called correlation between the two variables. A change in one may be caused by or due to the other but the statistical evidence may not indicate which is caused and which is affected. Correlation may be due entirely to a third factor or several other factors affecting each variable, this is the case in time series.
  • 6.
    International Research Journalof Engineering and Technology (IRJET) e-ISSN: 2395-0056 Volume: 07 Issue: 01 | Jan 2020 www.irjet.net p-ISSN: 2395-0072 © 2020, IRJET | Impact Factor value: 7.34 | ISO 9001:2008 Certified Journal | Page 791 Correlation analysis involves various methods and the techniques used for studying and measuring the extent relationship between the two variables. The value of r is lies between -1 < r < +1. The + used for positive correlation and – signs are used for negative linear correlations, respectively. Positive correlation: If x and y have a strong positive correlation, r is close to +1. An r value of exactly positive (+)1 indicates a perfect positive correlation. Negative correlation: If x and y have a strong negative correlation, r is close to -1. An r value of exactly negative (-)1indicates a perfect negative correlation. No correlation: If there is no linear correlation or a weak correlation than r is equal to 0. A value near r = 0 means that there is no relationship between the two variables. Note that r is a dimensionless quantity; it does not depends on the units employed. A perfect correlation (± 1) occurs only when the data points all lie exactly on a straight line. If r = positive (+1), the slope of this line is positive. If r = negative one(-1), the slope of this line is negative. A correlation greater than 0.8 is generally indicates that strong, whereasa correlationislessthan0.5isgenerallydescribed as weak. These values can vary based upon the 'type' of data being examined. A study utilizing scientific data that may required a stronger correlation than a study using social science data. However, in real life situations, when the variables are random variables, the correlation coefficient doesnot equal thevalue1 (+1 or -1). the value of correlation is nearly 1, means there is strong linear relationship and value nearing 0 indicates lack of linear relationship. Thus the zero value of correlation coefficient does not imply that there is no relationshipbetweenthetwovariablesortheyare independent of each other. However, if two variables are independent of each other then the correlation coefficient is zero. There is interesting feature about interpretation of the low/high values of correlation and the extent of linear relationship. If the correlation coefficient is less than the probable error then there is no evidence of relationship between the variablesi.e., there is no significant relationship between the variables. Significant relationship exists only when correlation coefficient is greater than 0.8.  Regarding the mobile phone users, the correlation betweenthemalesandfemalesis0.8479,shownthatthereisa very high degree of correlation between the males and female.  With respect to age groups concern, the age groups 20-40 and 40-60 show a highest degree of correlation of mobile users which is 0.9127. And the 0.7112 between the age groups less than 20 and 20-40. The least is found with less than 20 years and greater than 60 years age group. It is shown in the table 1, and from figure1, we observe that the correlation between the age group 20-40 and 40-60 is highly significant and there is a positive correlation between them.  The correlation between the prepaid and post- paid connections is 0.7367. The major approximately around 85% of mobile users are pre-paid customer. 5. CONCLUSIONS The analysis of correlation is of immense use in practical life. Correlation measures the degree or strength of the linear relationship between the variables. With the help of correlation analysis onecanidentifythedirectionornatureofrelationship between variables. With this analysis, we can measure the magnitude or degree of relationship existingbetweenthe variables. Cell phone is being widely used for many valid reasons. The usage of it varies from one age group to the other. Study has proved that majority of users are men. People are also selecting different network connections with different options. Prepaid connection has influenced the most mobile users. Majority users have optimized with regard to the usage of cell phone.
  • 7.
    International Research Journalof Engineering and Technology (IRJET) e-ISSN: 2395-0056 Volume: 07 Issue: 01 | Jan 2020 www.irjet.net p-ISSN: 2395-0072 © 2020, IRJET | Impact Factor value: 7.34 | ISO 9001:2008 Certified Journal | Page 792 REFERENCES  Singh Fulbag and Sharma Reema(2007),”Cellular Services and Consumer Buying Behaviour in Amritsar City,TheIUP Journel of Consumer Behaviour ,Vol.2,No.3,PP.39-51.  L. M. S. D. Souza, H. Vogt and M. Beigl, “A survey on fault tolerance in wireless sensor networks”,2007.  T.N. Srivastava, ShailajaRego “ Statistics for Management” – Tata McGraw-Hill  I.F. Akyildiz, W. Su, Y. Sankarasubramaniam and E. Cayirci, "A Survey on Sensor Networks", IEEE . Communications Magazine, pp. 102--114, August 2002. BIOGRAPHIES ROSHAN BABAJI DAFALE M.SC. STATISTICS ASSISTANT PROFESSOR D.B.J.COLLEGE, CHIPLUN RATNAGIRI, 415605.