>> IN THE NAME OF GOD <<
Geometric and Material Nonlinearity Analysis of 2D Truss with Force Control and 
Ductility Damage Index Control in C, MATLAB, SEISMOSTRUCT and ABAQUS 
C++ and MATLAB Programs are Verified by SEISMOSTRUCT v.7.0 and ABAQUS v.2017  (Linear and Nonlinear Structural Analysis Program) 
C++ program is written by Salar Delavar Ghashghaei – Publication Date: 26/October/2019 
E‐mail: salar.d.ghashghaei@gmail.com 
0
500000
1000000
1500000
2000000
2500000
3000000
0 10 20 30 40 50 60 70 80
Base Shear
Displacement
C MATLAB SeismoStruct ABAQUS
C code: 
#include <stdio.h> 
#include <windows.h> // text color 
#include <conio.h> 
#define N 10000 // number of increment 
#define NN 5    // number of degree of freedom 
#define Ne 6    // number of element 
#define ShowText01 "PushoverNonlinear2DTrussFCGNDI‐inputDATA.csv" 
#define ShowText02 "PushoverNonlinear2DTrussFCGNDI‐inputELEPROP.csv" 
#define ShowText03 "Output data is written in Text, Excel, Matlab and Html file" 
#define ShowText04 "PushoverNonlinear2DTrussFCGNDI‐outputEXCEL.csv" 
#define ShowText05 "PushoverNonlinear2DTrussFCGNDI‐outputHTML.html" 
#define ShowText06 "PushoverNonlinear2DTrussFCGNDI‐outputTEXT.txt" 
#define ShowText07 "PushoverNonlinear2DTrussFCGNDI‐outputMATLAB.m" 
#define ShowText08 "Graph‐outputHTML.html" 
 
void IMPORT_FILE01(double &Length,double &Height,double Force[],double &Fini,int &itermax,double &tolerance,double &DI); 
void IMPORT_FILE02(double F1[],double D1[],double F2[],double D2[],double F3[],double D3[],double F4[],double D4[],double A[],int &n); 
void SLOPE(double D1[],double F1[],double D2[],double F2[],double D3[],double F3[],double D4[],double F4[],double E1[],double E2[],double E3[],double E4[],int kn); 
void MessageInitialData(double Length,double Height,double Force[],double Fini,int itermax,double tolerance,int M,double DI); 
void MatrixAssembled(double [Ne][4][4],double [][NN]); 
void MatrixDetermination(double [][NN],int ); 
void MatrixInverse(double [][NN], double [][NN],int ); 
void MatrixMulti01(double [][NN], double [], double [], double [],int ); 
void MatrixMulti02(double [][NN], double [], double [], double [],int ); 
double ABS(double ); 
double MAX_ABS(double [],int ); 
double SQRT2(double ); 
void ElementInternalForce(double EA[],double es[],double ele_f[]); 
void ElementStiffness(int n,double Length,double Height,double es[],double u[],double D1[],double D2[],double D3[],double D4[],double E1[],double E2[],double E3[],double E4[],double F1[],double F2[],double F3[],double F4[],double A[],double EA[],double k[][4][4],double G[]); 
void MessageCheck_IMPORT_FILE01(double ,double ,int ,double,double ); 
void MessageCheck_IMPORT_FILE02(double F1[],double D1[],double F2[],double D2[],double F3[],double D3[],double F4[],double D4[],double A[],int n); 
void MessageErrorReportTEXT(); 
void MessageAnalysisReportTEXT(); 
void MessageInputDataTEXT(); 
void MessageNotConverge(int ,int ); 
void MessageConverge(int ,int ,double [],double []); 
void OUTPUT_text(int zMAX,int I[],int IT[],double reaction[],double DISP[][NN],double eleF[][Ne]); 
void OUTPUT_matlab(int zMAX,double reaction[],double DISP[][NN]); 
void OUTPUT_excel(int zMAX,int I[],double DISP[][NN],double eleF[][Ne],double reaction[]); 
void OUTPUT_html(double Length,double Height,double Force[],double Fini,int itermax,double tolerance,int M,double F1[],double D1[],double F2[],double D2[],double F3[],double D3[],double F4[],double D4[],double A[],int zMAX,int I[],double DISP[][5],double eleF[][6],double reaction[],double DI); 
void Distance(int ); 
double MAX(double A[],int n); 
void SHOW_INITAL_REPORT_TEXT(); 
void ANALYSIS(double Length,double Height,double Force[],double Fini,int itermax,double tolerance,double F1[],double D1[],double F2[],double D2[],double F3[],double D3[],double F4[],double D4[],double A[],int kn,int m,double DI); 
void textcolor(int ForgC); 
void DATE_TIME(); 
void BILINEAR_CURVE(double A[],double B[],int M); 
void OUTPUT_HTML_GRAPH(double DISP[][5],double reaction[],int n); 
int main(){ 
int itermax,kn,m; 
double Length,Height,Force[5],Fini,residual,tolerance,DI; 
double F1[Ne],D1[Ne],F2[Ne],D2[Ne],F3[Ne],D3[Ne],F4[Ne],D4[Ne],A[Ne]; 
IMPORT_FILE01(Length,Height,Force,Fini,itermax,tolerance,DI); 
MessageCheck_IMPORT_FILE01(Length,Height,itermax,tolerance,DI); 
m = ABS(Fini)/ABS(Force[1]) + 1; 
IMPORT_FILE02(F1,D1,F2,D2,F3,D3,F4,D4,A,kn); 
MessageCheck_IMPORT_FILE02(F1,D1,F2,D2,F3,D3,F4,D4,A,kn); 
textcolor(11); 
MessageInitialData(Length,Height,Force,Fini,itermax,tolerance,m,DI); 
textcolor(14); 
MessageAnalysisReportTEXT(); 
ANALYSIS(Length,Height,Force,Fini,itermax,tolerance,F1,D1,F2,D2,F3,D3,F4,D4,A,kn,m,DI); 
getch(); 
return 0; 
} 
void IMPORT_FILE01(double &Length,double &Height,double Force[],double &Fini,int &itermax,double &tolerance,double &DI){ 
double Import_Data[11]; 
int i=0; 
FILE *InputFile; 
InputFile = fopen(ShowText01, "r"); 
if (!InputFile){ 
MessageErrorReportTEXT(); 
printf("          File is not available! ‐> [%s] n",ShowText01); 
Sleep(6000); 
exit(1); 
} 
char line[100],a[100]; 
while(i < N && fgets(line,sizeof(line),InputFile) != NULL){ 
sscanf(line,"%s",a); 
//printf("a[%d]: %sn",i,a); 
Import_Data[i]= atof(a); 
i++; 
} 
Length=Import_Data[0]; 
Height=Import_Data[1]; 
Force[0]=Import_Data[2]; 
Force[1]=Import_Data[3]; 
Force[2]=Import_Data[4]; 
Force[3]=Import_Data[5]; 
Force[4]=Import_Data[6]; 
Fini=Import_Data[7]; 
itermax=Import_Data[8]; 
tolerance=Import_Data[9]; 
DI=Import_Data[10]; 
} 
void IMPORT_FILE02(double F1[],double D1[],double F2[],double D2[],double F3[],double D3[],double F4[],double D4[],double A[],int &n){ 
int i = 0; 
FILE *InputFile; 
InputFile = fopen(ShowText02, "r"); 
if (!InputFile){ 
MessageErrorReportTEXT(); 
printf("          File is not available! ‐> [%s] n",ShowText02); 
Sleep(6000); 
exit(1); 
} 
char line[1000]; 
do{ 
fscanf(InputFile,"%lf,%lf,%lf,%lf,%lf,%lf,%lf,%lf,%lf",&D1[i],&F1[i],&D2[i],&F2[i],&D3[i],&F3[i],&D4[i],&F4[i],&A[i]); 
i++; 
} 
while(i < N && fgets(line,sizeof(line),InputFile) != NULL); 
n = i‐1; 
//printf("%dn",n); 
} 
void MessageInitialData(double Length,double Height,double Force[],double Fini,int itermax,double tolerance,int M,double DI){ 
char Qa,Qb,Qc,Qd,Qe,Qf,Qg,Qk; 
int  i; 
Qa=201;Qb=205;Qc=187;Qd=200;Qe=188,Qf=186,Qg=204,Qk=185; 
printf("tttt%c",Qa); 
for (i=1;i<80;i++) 
printf("%c",Qb); 
printf("%cn",Qc); 
printf("tttt%c                         >> IN THE NAME OF GOD <<                              %cn",Qf,Qf); 
printf("tttt%c  Geometric and Material Nonlinearity Analysis of 2D Truss with Force Control  %cn",Qf,Qf); 
printf("tttt%c                     and Ductility Damage Index Control.                       %cn",Qf,Qf); 
printf("tttt%c                             UNIT: Free Unit                                   %cn",Qf,Qf); 
printf("tttt%c",Qg); 
for (i=1;i<80;i++) 
printf("%c",Qb); 
printf("%cn",Qk); 
printf("tttt%c                This program is written by Salar Delavar Ghashghaei            %cn",Qf,Qf); 
printf("tttt%c                       E‐mail: salar.d.ghashghaei@gmail.com                    %cn",Qf,Qf); 
printf("tttt%c",Qd); 
for (i=1;i<80;i++) 
printf("%c",Qb); 
printf("%cn",Qe); 
 
MessageInputDataTEXT(); 
printf("      Length of truss structure:                                             %.3en",Length); 
printf("      Height of truss structure:                                             %.3en",Height); 
printf("      External force [DOF(3)]:                                               %.3en",Force[0]); 
printf("      External force [DOF(5)]:                                               %.3en",Force[1]); 
printf("      External force [DOF(6)]:                                               %.3en",Force[2]); 
printf("      External force [DOF(7)]:                                               %.3en",Force[3]); 
printf("      External force [DOF(8)]:                                               %.3en",Force[4]); 
printf("      Ultimate  external force [DOF(5)]:                                     %.3en",Fini); 
printf("      Maximum number of iterations:                                          %.3en",itermax);// maximum number of iterations 
printf("      Specified tolerance for convergence:                                   %.3en",tolerance);//  specified tolerance for convergence 
printf("      Number of increments:                                                  %dn",M); 
printf("      Ductility Damage Index:                                                %.3en",DI); 
} 
void MatrixInverse(double A[][NN], double C[][NN],int n){ 
int i,j,l; 
double c_A[n][n],B[n][n],m,Sum; 
for (i=0;i<n;i++) 
for (j=0;j<n;j++) 
c_A[i][j]=A[i][j]; 
// Inverse [Kinit] 
for (i=0;i<n;i++) 
for (j=0;j<n;j++){ 
if (i==j) 
B[i][j]=1; 
else 
B[i][j]=0; 
} 
 
for (j=0;j<n‐1;j++) 
for (i=j+1;i<n;i++){ 
m=c_A[i][j]/c_A[j][j]; 
for (l=0;l<n;l++){ 
c_A[i][l] ‐= m*c_A[j][l]; 
B[i][l] ‐= m*B[j][l]; 
} 
} 
// backward substitutions 
for (i=n‐1;i>=0;i‐‐) 
for (j=0;j<n;j++){ 
Sum=0; 
for (l=i+1;l<n;l++) 
Sum += c_A[i][l]*C[l][j]; 
C[i][j]=(B[i][j]‐Sum)/c_A[i][i]; 
} 
} 
void MatrixMulti01(double A[][NN], double B[], double C[], double D[],int n){ 
int i,j; 
double ff; 
// [f] = [Ktot] ‐ [u] ‐ [F] 
for (i=0; i<n; i++){ 
ff=0; 
for (j=0; j<n; j++) 
ff += A[i][j]*B[j]; 
 
D[i] = ff‐C[i]; 
} 
} 
void MatrixMulti02(double A[][NN], double B[], double C[], double D[],int n){ 
int i,j; 
double Dx; 
// [du] = [InvKinit] * [f] 
for (i=0; i<n; i++){ 
Dx=0; 
for (j=0; j<n; j++) 
Dx += A[i][j]* ‐B[j]; 
 
C[i]= Dx; 
D[i] += C[i];// u= u+du 
} 
} 
void ElementInternalForce(double EA[],double es[],double ele_f[]){ 
for (int I=0; I<6;I++) 
ele_f[I] = EA[I]*(es[I]+.5*es[I]*es[I]); 
} 
void ElementStiffness(int n,double Length,double Height,double es[],double u[],double D1[],double D2[],double D3[],double D4[],double E1[],double E2[],double E3[],double E4[],double F1[],double F2[],double F3[],double F4[],double A[],double EA[],double k[][4][4],double G[]){ 
double x1,y1,x2,y2,x3,y3,x4,y4,L[6],Lpr[Ne],lanX[Ne],lanY[Ne],lanxx[Ne],lanxy[Ne],lanyy[Ne]; 
int i; 
Lpr[0]=Length;Lpr[1]=Height; 
Lpr[2]=SQRT2(Length*Length+Height*Height);Lpr[3]=SQRT2(Length*Length+Height*Height); 
Lpr[4]=Height;Lpr[5]=Length; 
 
x1=0;y1=0; 
x2=Length+u[0];y2=0; 
x3=u[1];y3=Height+u[2]; 
x4=Length+u[3];y4=Height+u[4]; 
 
L[0]=SQRT2((x2‐x1)*(x2‐x1)+(y2‐y1)*(y2‐y1)); 
L[1]=SQRT2((x3‐x1)*(x3‐x1)+(y3‐y1)*(y3‐y1)); 
L[2]=SQRT2((x4‐x1)*(x4‐x1)+(y4‐y1)*(y4‐y1)); 
L[3]=SQRT2((x3‐x2)*(x3‐x2)+(y3‐y2)*(y3‐y2)); 
L[4]=SQRT2((x4‐x2)*(x4‐x2)+(y4‐y2)*(y4‐y2)); 
L[5]=SQRT2((x4‐x3)*(x4‐x3)+(y4‐y3)*(y4‐y3)); 
lanX[0]=(x2‐x1)/L[0];lanY[0]=(y2‐y1)/L[0]; 
lanX[1]=(x3‐x1)/L[1];lanY[1]=(y3‐y1)/L[1]; 
lanX[2]=(x4‐x1)/L[2];lanY[2]=(y4‐y1)/L[2]; 
lanX[3]=(x3‐x2)/L[3];lanY[3]=(y3‐y2)/L[3]; 
lanX[4]=(x4‐x2)/L[4];lanY[4]=(y4‐y2)/L[4]; 
lanX[5]=(x4‐x3)/L[5];lanY[5]=(y4‐y3)/L[5]; 
 
for (i=0;i<n;i++){ 
es[i]=(L[i]‐Lpr[i])/Lpr[i]; 
if (ABS(es[i])>= 0 && ABS(es[i])<= D1[i]) 
EA[i] = E1[i]*A[i]; 
else if (ABS(es[i])> D1[i] && ABS(es[i])<= D2[i]) 
EA[i] = ((F1[i]+E2[i]*(ABS(es[i])‐D1[i]))/ABS(es[i]))*A[i]; 
else if (ABS(es[i])> D2[i] && ABS(es[i])<= D3[i]) 
EA[i] = ((F2[i]+E3[i]*(ABS(es[i])‐D2[i]))/ABS(es[i]))*A[i]; 
else if (ABS(es[i])> D3[i] && ABS(es[i])<= D4[i]) 
EA[i] = ((F3[i]+E4[i]*(ABS(es[i])‐D3[i]))/ABS(es[i]))*A[i]; 
else 
EA[i] = 0; 
// Element 
G[i] = EA[i]/L[i];lanxx[i]=lanX[i]*lanX[i];lanxy[i]=lanX[i]*lanY[i];lanyy[i]=lanY[i]*lanY[i]; 
k[i][0][0]=G[i]*lanxx[i];k[i][0][1]=G[i]*lanxy[i];k[i][0][2]=‐G[i]*lanxx[i];k[i][0][3]=‐G[i]*lanxy[i]; 
k[i][1][0]=G[i]*lanxy[i];k[i][1][1]=G[i]*lanyy[i];k[i][1][2]=‐G[i]*lanxy[i];k[i][1][3]=‐G[i]*lanyy[i]; 
k[i][2][0]=‐G[i]*lanxx[i];k[i][2][1]=‐G[i]*lanxy[i];k[i][2][2]=G[i]*lanxx[i];k[i][2][3]=G[i]*lanxy[i]; 
k[i][3][0]=‐G[i]*lanxy[i];k[i][3][1]=‐G[i]*lanyy[i];k[i][3][2]=G[i]*lanxy[i];k[i][3][3]=G[i]*lanyy[i]; 
} 
} 
void MatrixAssembled(double k[Ne][4][4],double K[][NN]){ 
K[0][0]= k[0][2][2]+k[3][0][0]+k[4][0][0]; 
K[0][1]= k[3][0][2]; 
K[0][2]= k[3][0][3]; 
K[0][3]= k[4][0][2]; 
K[0][4]= k[4][0][3]; 
K[1][0]= k[3][2][0]; 
K[1][1]= k[1][2][2]+k[3][2][2]+k[5][0][0]; 
K[1][2]= k[1][2][3]+k[3][2][3]+k[5][0][1]; 
K[1][3]= k[5][0][2]; 
K[1][4]= k[5][0][3]; 
K[2][0]= k[3][3][0]; 
K[2][1]= k[1][3][2]+k[3][3][2]+k[5][1][0]; 
K[2][2]= k[1][3][3]+k[3][3][3]+k[5][1][1]; 
K[2][3]= k[5][1][2]; 
K[2][4]= k[5][1][3]; 
K[3][0]= k[4][2][0]; 
K[3][1]= k[5][2][0]; 
K[3][2]= k[4][2][1]; 
K[3][3]= k[2][2][2]+k[4][2][2]+k[5][2][2]; 
K[3][4]= k[2][2][3]+k[4][2][3]+k[5][2][3]; 
K[4][0]= k[4][3][0]; 
K[4][1]= k[5][3][0]; 
K[4][2]= k[5][3][1]; 
K[4][3]= k[2][2][2]+k[4][3][2]+k[5][3][2]; 
K[4][4]= k[2][3][3]+k[4][3][3]+k[5][3][3]; 
} 
void MessageInputDataTEXT(){ 
int i; 
char Ql=176; 
printf("n     "); 
for (i=1;i<50;i++) 
printf("%c",Ql); 
printf(" Input Data "); 
for (i=1;i<50;i++) 
printf("%c",Ql); 
printf("n"); 
} 
double SQRT2(double D){ 
int it,itermax; 
double residual,tolerance,x,dx,dx_ABS,f,df; 
it = 0; // initialize iteration count 
itermax = 100000; 
residual = 100; // initialize residual 
tolerance = 1e‐8; 
x = 1;// initialize answer 
while (residual > tolerance){ 
f = x*x ‐ D; 
df = 2 * x; 
dx = f/df; 
x= x ‐ dx; 
residual = ABS(dx); // abs residual 
it = it + 1; // increment iteration count 
//printf("f: %f ‐tdx: %f ‐tresidual: %fn",f,dx,residual); 
if (it == itermax){ 
//printf("tSQRT2(number,power) : SQRT2(%f) ‐ iteration: %d ‐>   ## The solution is not converged ##n",D,it); 
break; 
} 
} 
if (it < itermax){ 
//printf("tSQRT(number,power) ‐ SQRT(%f,%f) : %f n",D,n, x); 
return x; 
} 
} 
double ABS(double B){ 
if (B < 0) 
B = ‐B;//Absolute number 
else 
B = B; 
return B; 
} 
void OUTPUT_text(int zMAX,int I[],int IT[],double reaction[],double DISP[][5],double eleF[][6]){ 
// TEXT OUTPUT 
int i; 
FILE *OutputFile; 
OutputFile = fopen(ShowText06, "w"); 
fprintf(OutputFile,"ttttt      ___________________________________________________________________________________________________________________n"); 
fprintf(OutputFile,"ttttt     |         >> IN THE NAME OF GOD <<    |n"); 
fprintf(OutputFile,"ttttt     | Geometric and Material Nonlinearity Analysis of 2D Truss with Force Control and Ductility Damage Index Control.   |n"); 
fprintf(OutputFile,"ttttt     |___________________________________________________________________________________________________________________|n"); 
fprintf(OutputFile,"ttttt     |                Unit: Free unit                     |n"); 
fprintf(OutputFile,"ttttt     |                   Newton‐Raphson Method : Tangent procedure                       |n"); 
fprintf(OutputFile,"ttttt     |___________________________________________________________________________________________________________________|n"); 
fprintf(OutputFile,"ttttt     |                Program is written by Salar Delavar Ghashghaei                |n"); 
fprintf(OutputFile,"ttttt     |                      E‐mail: salar.d.ghashghaei@gmail.com               |n"); 
fprintf(OutputFile,"ttttt     |___________________________________________________________________________________________________________________|n"); 
fprintf(OutputFile,"   "); 
for (i=1;i<=145;i++) 
fprintf(OutputFile,"‐"); 
fprintf(OutputFile,"n"); 
fprintf(OutputFile,"     Increment    Iteration      Reaction        Disp.[DOF(3)]        Disp.[DOF(5)]        Disp.[DOF(6)]        Disp.[DOF(7)]        Disp.[DOF(8)] n"); 
fprintf(OutputFile,"   "); 
for (i=1;i<=145;i++) 
fprintf(OutputFile,"‐"); 
fprintf(OutputFile,"n"); 
for (i=0;i<zMAX;i++) 
fprintf(OutputFile,"t%dt       %d      %e     %e        %e        %e        %e        %en",I[i]+1,IT[i],reaction[i],DISP[i][0],DISP[i][1],DISP[i][2],DISP[i][3],DISP[i][4]); 
fprintf(OutputFile,"   "); 
for (i=1;i<=140;i++) 
fprintf(OutputFile,"‐"); 
fprintf(OutputFile,"n"); 
fprintf(OutputFile,"     Increment      Axial Force‐Ele(1)   Axial Force‐Ele(2)  Axial Force‐Ele(3)    Axial Force‐Ele(4)  Axial Force‐Ele(5)  Axial Force‐Ele(6) n"); 
fprintf(OutputFile,"   "); 
for (i=1;i<=140;i++) 
fprintf(OutputFile,"‐"); 
fprintf(OutputFile,"n"); 
for (i=0;i<zMAX;i++) 
fprintf(OutputFile,"t%dt       %e      %e        %e        %e      %e      %en",I[i]+1,eleF[i][0],eleF[i][1],eleF[i][2],eleF[i][3],eleF[i][4],eleF[i][5]); 
fclose(OutputFile); 
} 
void OUTPUT_matlab(int zMAX,double reaction[],double DISP[][5]){ 
// MATLAB OUTPUT 
int i; 
FILE *OutputFile; 
OutputFile = fopen(ShowText07, "w"); 
fprintf(OutputFile," %% Geometric and Material Nonlinearity Analysis of 2D Truss with Force Control and Ductility Damage Index Control. %%n"); 
fprintf(OutputFile,"BaseShear=[0n"); 
for(i=0;i<zMAX;i++) 
fprintf(OutputFile,"%en",reaction[i]); 
fprintf(OutputFile,"];nn"); 
 
fprintf(OutputFile,"Displacement=[0n"); 
for(i=0;i<zMAX;i++) 
fprintf(OutputFile,"%en",DISP[i][1]); 
fprintf(OutputFile,"];nn"); 
 
fprintf(OutputFile,"figure(1)n"); 
fprintf(OutputFile,"plot(Displacement,BaseShear,'LineWidth',3);n"); 
fprintf(OutputFile,"title(['# BASESHEAR ‐ DISPLACEMENT DIAGRAM #'],'Color','b');n"); 
fprintf(OutputFile,"legend('C++','Location','NorthEastOutside');n"); 
fprintf(OutputFile,"xlabel('DISPLACEMENT [DOF(5)]');ylabel('BASESHEAR [DOF(1)]');grid on;n"); 
fclose(OutputFile); 
} 
void OUTPUT_excel(int zMAX,int I[],double DISP[][5],double eleF[][6],double reaction[]){ 
// EXCEL OUTPUT 
int i; 
FILE *OutputFile; 
OutputFile = fopen(ShowText04, "w"); 
fprintf(OutputFile," ###     Geometric and Material Nonlinearity Analysis of 2D Truss with Force Control and Ductility Damage Index Control     ###n"); 
fprintf(OutputFile,"Increment,Base Shear [DOF(1)],Displacement  [DOF(3)],Displacement  [DOF(5)],Displacement  [DOF(6)],Displacement  [DOF(7)],Displacement  [DOF(8)],Axial Force‐Ele(1),Axial Force‐Ele(2),Axial Force‐Ele(3),Axial Force‐Ele(4),Axial Force‐Ele(5),Axial Force‐Ele(6)n"); 
for(i=0;i<zMAX;i++) 
fprintf(OutputFile,"%d,%e,%e,%e,%e,%e,%e,%e,%e,%e,%e,%e,%en",I[i]+1,reaction[i],DISP[i][0],DISP[i][1],DISP[i][2],DISP[i][3],DISP[i][4],eleF[i][0],eleF[i][1],eleF[i][2],eleF[i][3],eleF[i][4],eleF[i][5]); 
fclose(OutputFile); 
} 
void OUTPUT_html(double Length,double Height,double Force[],double Fini,int itermax,double tolerance,int M,double F1[],double D1[],double F2[],double D2[],double F3[],double D3[],double F4[],double D4[],double A[],int zMAX,int I[],double DISP[][5],double eleF[][6],double reaction[],double DI){ 
// HTML OUTPUT 
int i; 
FILE *OutputFile; 
OutputFile = fopen(ShowText05, "w"); 
fprintf(OutputFile,"<html> <body bgcolor="green">n"); 
// IMPORT IMAGE 
fprintf(OutputFile,"<img src="PushoverNonlinear2DTrussFCGNDI‐image01.png" style="width:1000px ; height:500px" alt="analysis01"><br><br>n"); 
// TOP TITLE oF HTML FILE 
fprintf(OutputFile,"<table style=”width:100%” border="2px" width="1000px" height="120px" bgcolor="yellow">n"); 
fprintf(OutputFile,"<th bgcolor="cyan"> Geometric and Material Nonlinearity Analysis of 2D Truss with Force Control and Ductility Damage Index Control. ‐ Output Report </th> n"); 
// TABLE 1 
fprintf(OutputFile,"<table style=”width:100%” border="1px" width="1000px" height="120px" bgcolor="yellow">n"); 
fprintf(OutputFile,"<tr><th colspan="2" bgcolor="orange"> Input Data </th> </tr>n"); 
fprintf(OutputFile,"<tr> <th bgcolor="orange">Length of truss structure: </th><th> %.3e </th> </tr>n",Length); 
fprintf(OutputFile,"<tr> <th bgcolor="orange">Height of truss structure: </th><th> %.3e </th> </tr>n",Height); 
fprintf(OutputFile,"<tr> <th bgcolor="orange">External force [DOF(3)]: </th><th> %.3e </th> </tr>n",Force[0]); 
fprintf(OutputFile,"<tr> <th bgcolor="orange">External force [DOF(5)]: </th><th> %.3e </th> </tr>n",Force[1]); 
fprintf(OutputFile,"<tr> <th bgcolor="orange">External force [DOF(6)]: </th><th> %.3e </th> </tr>n",Force[2]); 
fprintf(OutputFile,"<tr> <th bgcolor="orange">External force [DOF(7)]: </th><th> %.3e </th> </tr>n",Force[3]); 
fprintf(OutputFile,"<tr> <th bgcolor="orange">External force [DOF(8)]: </th><th> %.3e </th> </tr>n",Force[4]); 
fprintf(OutputFile,"<tr> <th bgcolor="orange">Ultimate  external force [DOF(5)]: </th><th> %.3e </th> </tr>n",Fini); 
fprintf(OutputFile,"<tr> <th bgcolor="orange">Number of increments: </th><th> %d </th> </tr>n",M); 
fprintf(OutputFile,"<tr> <th bgcolor="orange">Maximum number of iterations: </th><th> %d </th> </tr>n",itermax); 
fprintf(OutputFile,"<tr> <th bgcolor="orange">Specified tolerance for convergence: </th><th> %.3e </th> </tr>n",tolerance); 
fprintf(OutputFile,"<tr> <th bgcolor="orange">Ductility Damage Index: </th><th> %.3e </th> </tr>n",DI); 
// TABLE 2 
fprintf(OutputFile,"<table style=”width:100%” border="1px" width="1000px" height="120px" bgcolor="yellow">n"); 
fprintf(OutputFile,"<tr><th colspan="10" bgcolor="orange"> Elements Strain‐Stress </th> <tr>n"); 
fprintf(OutputFile,"<tr> <th bgcolor="orange"> Element Number </th> <th bgcolor="orange">Strain [1]</th> <th bgcolor="orange">Stress [1]</th><th bgcolor="orange">Strain [2]</th><th bgcolor="orange">Stress [2]</th><th bgcolor="orange">Strain [3]</th><th bgcolor="orange">Stress [3]</th><th bgcolor="orange">Strain [4]</th> <th bgcolor="orange">Stress [4]</th><th bgcolor="orange">Section Area 
</th></tr>n"); 
for(i=0;i<6;i++){ 
fprintf(OutputFile,"<tr> <td align ="center"> %d </td> <td align ="center"> %.3e </td> <td align ="center"> %.3e </td><td align ="center"> %.3e </td><td align ="center"> %.3e </td><td align ="center"> %.3e </td><td align ="center"> %.3e </td><td align ="center"> %.3e </td><td align ="center"> %.3e </td><td align ="center"> %.3e </td></td> </tr>n",i+1,D1[i],F1[i],D2[i],F2[i],D3[i],F3[i],D4[i],F4[i],A[i]); 
} 
// TABLE 3 
fprintf(OutputFile,"<table style=”width:100%” border="1px" width="1000px" height="120px" bgcolor="yellow">n"); 
fprintf(OutputFile,"<tr><th colspan="6" bgcolor="orange"> Structral Deformation </th> <tr>n"); 
fprintf(OutputFile,"<tr> <th bgcolor="orange"> Increment </th> <th bgcolor="orange">Displacement  [DOF(3)]</th> <th bgcolor="orange">Displacement  [DOF(5)]</th><th bgcolor="orange">Displacement  [DOF(6)]</th><th bgcolor="orange">Displacement  [DOF(7)]</th><th bgcolor="orange">Displacement  [DOF(8)]</th></tr>n"); 
for(i=0;i<zMAX;i++){ 
fprintf(OutputFile,"<tr> <td align ="center"> %d </td> <td align ="center"> %.3e </td> </td> <td align ="center"> %.3e </td></td> <td align ="center"> %.3e </td></td> <td align ="center"> %.3e </td></td> <td align ="center"> %.3e </td></tr>n",i+1,DISP[i][0],DISP[i][1],DISP[i][2],DISP[i][3],DISP[i][4]); 
} 
// TABLE 4 
fprintf(OutputFile,"<table style=”width:100%” border="1px" width="1000px" height="120px" bgcolor="yellow">n"); 
fprintf(OutputFile,"<tr><th colspan="10" bgcolor="orange"> Structral Element Internal Forces </th> </tr>n"); 
fprintf(OutputFile,"<tr> <th bgcolor="orange"> Increment </th> <th bgcolor="orange">Base Shear [DOF(1)]</th> <th bgcolor="orange">Axial Force‐Ele(1)</th> <th bgcolor="orange">Axial Force‐Ele(2)</th> <th bgcolor="orange">Axial Force‐Ele(3)</th> <th bgcolor="orange">Axial Force‐Ele(4)</th> <th bgcolor="orange">Axial Force‐Ele(5)</th> <th bgcolor="orange">Axial Force‐Ele(6)</th></tr>n"); 
for(i=0;i<zMAX;i++){ 
fprintf(OutputFile,"<tr> <td align ="center"> %d </td> <td align ="center"> %.3e </td> <td align ="center"> %.3e </td> <td align ="center"> %.3e </td><td align ="center"> %.3e </td><td align ="center"> %.3e </td><td align ="center"> %.3e </td> <td align ="center"> %.3e </td> </tr>n",i+1,reaction[i],eleF[i][0],eleF[i][1],eleF[i][2],eleF[i][3],eleF[i][4],eleF[i][5]); 
} 
fprintf(OutputFile,"</table></body></html>n"); 
fclose(OutputFile); 
} 
void MatrixDetermination(double A[][NN],int n){ 
// row operations 
int i,j,k; 
double Product,m,B[n][n]; 
for (i=0;i<n;i++) 
for (j=0;j<n;j++) 
B[i][j]=A[i][j]; 
 
for (k=0;k<n‐1;k++) 
for (i=k+1;i<n;i++) 
{ 
m=B[i][k]/B[k][k]; 
for (j=0;j<n;j++) 
B[i][j]‐=m*B[k][j]; 
} 
Product=1; 
for (i=0;i<n;i++) 
Product *= B[i][i]; 
 
// display results 
if (Product == 0) 
{ 
printf("ant ### it Seens that Golobal Matrix is singular or structure is unstable!!! ###n"); 
Sleep(40000); 
exit(1); 
} 
 
} 
void MessageErrorReportTEXT(){ 
int i; 
char Ql; 
Ql=176; 
textcolor(12); 
printf("an     "); 
for (i=1;i<50;i++) 
printf("%c",Ql); 
printf(" Error Report "); 
for (i=1;i<50;i++) 
printf("%c",Ql); 
printf("n"); 
} 
void MessageCheck_IMPORT_FILE01(double Length,double Height,int itermax,double tolerance,double DI){ 
if ( Length < 0 ||  Height < 0 || itermax < 0 || tolerance< 0 ){ 
MessageErrorReportTEXT(); 
printf("               Please check this file! ‐> [%s]n",ShowText01); 
printf("                          *** Negative data input value is not acceptable ***n"); 
printf("  Truss length:                %fn",Length); 
printf("  Truss height:                %fn",Height); 
printf("  Maximum iteration:           %dn",itermax); 
printf("  Tolerance:                   %.3en",tolerance); 
printf("  Damage Index:                %.3en",DI); 
Sleep(40000); 
exit(1); 
} 
} 
void MessageCheck_IMPORT_FILE02(double F1[],double D1[],double F2[],double D2[],double F3[],double D3[],double F4[],double D4[],double A[],int n){ 
int i; 
for (i=0;i<n;i++){ 
if (F1[i] <= 0 || D1[i] <= 0 || F2[i] <= 0 || D2[i] <= 0 || F3[i] <= 0 || D3[i] <= 0 || F4[i] <= 0 || D4[i] <= 0 || A[i] <= 0){ 
MessageErrorReportTEXT(); 
printf("               Please check this file! ‐> [%s]n",ShowText02); 
printf("                            *** Negative data input value is not acceptable ***n"); 
printf("               Row %d has a negative value.n",i+1); 
printf("               Strain‐1 [%d]: %fn",i,D1[i]); 
printf("               Stress‐1 [%d]: %fn",i,F1[i]); 
printf("               Strain‐2 [%d]: %fn",i,D2[i]); 
printf("               Stress‐2 [%d]: %fn",i,F2[i]); 
printf("               Strain‐3 [%d]: %fn",i,D3[i]); 
printf("               Stress‐3 [%d]: %fn",i,F3[i]); 
printf("               Strain‐4 [%d]: %fn",i,D4[i]); 
printf("               Stress‐4 [%d]: %fn",i,F4[i]); 
printf("               Section area [%d]: %fn",i,A[i]); 
Sleep(40000); 
exit(1); 
} 
} 
} 
void MessageNotConverge(int ii,int iit){ 
Distance(ii+1); 
printf("%dt       %d ‐>   ## This step is not converged ##n",ii+1,iit); 
} 
void MessageConverge(int ii,int iit,double A[],double B[]){ 
Distance(ii+1); 
printf("%dt       %d        %.3e         %.3e          %.3e            %.3e          %.3e          %.3en",ii+1,iit,B[ii],A[0],A[1],A[2],A[3],A[4]); 
} 
void Distance(int i){ 
if (i < 10) 
printf("t"); 
if (i >= 10 && i <= 99) 
printf("btb"); 
if (i >= 100 && i <= 999) 
printf("btbb"); 
if (i >= 1000 && i <= 9999) 
printf("btbbb"); 
if (i >= 10000 && i <= 20000) 
printf("btbbbb"); 
} 
double MAX(double A[],int n){ 
int i; 
double Amax; 
Amax = A[0]; 
for (i=1;i<n;i++){ 
if (Amax < A[i]) 
Amax=A[i]; 
} 
return Amax;//Maximum DATA 
} 
void SLOPE(double D1[],double F1[],double D2[],double F2[],double D3[],double F3[],double D4[],double F4[],double E1[],double E2[],double E3[],double E4[],int kn){ 
for (int i=0;i<kn;i++){ 
E1[i]=(F1[i]‐0)/(D1[i]‐0); 
E2[i]=(F2[i]‐F1[i])/(D2[i]‐D1[i]); 
E3[i]=(F3[i]‐F2[i])/(D3[i]‐D2[i]); 
E4[i]=(F4[i]‐F3[i])/(D4[i]‐D3[i]); 
//printf("E4: %fn",E4[i]); 
} 
} 
void SHOW_INITAL_REPORT_TEXT(){ 
int i; 
printf("   "); 
for (i=1;i<=145;i++) 
printf("‐"); 
printf("n"); 
printf("     Increment    Iteration      Reaction        Disp.[DOF(3)]        Disp.[DOF(5)]        Disp.[DOF(6)]        Disp.[DOF(7)]        Disp.[DOF(8)] n"); 
printf("   "); 
for (i=1;i<=145;i++) 
printf("‐"); 
printf("n"); 
} 
void textcolor(int ForgC){ 
WORD wColor; 
//This handle is needed to get the current background attribute 
 
HANDLE hStdOut = GetStdHandle(STD_OUTPUT_HANDLE); 
CONSOLE_SCREEN_BUFFER_INFO csbi; 
//csbi is used for wAttributes word 
 
if(GetConsoleScreenBufferInfo(hStdOut, &csbi)){ 
//To mask out all but the background attribute, and to add the color 
wColor = (csbi.wAttributes & 0xF0) + (ForgC & 0x0F); 
SetConsoleTextAttribute(hStdOut, wColor); 
} 
return; 
} 
void ANALYSIS(double Length,double Height,double Force[],double Fini,int itermax,double tolerance,double F1[],double D1[],double F2[],double D2[],double F3[],double D3[],double F4[],double D4[],double A[],int kn,int m,double DI){ 
int i,it,zz,zMAX,well_done; 
double residual; 
double EA[Ne],G[Ne],lanX[Ne],lanY[Ne],ele_force[Ne],es[Ne],strain[Ne]; 
double k[Ne][4][4],u[NN],F[NN],Ktot[NN][NN],Kt[NN][NN],InvKtot[NN][NN],f[NN],du[NN]; 
 
double E1[10],E2[10],E3[10],E4[10]; 
double *reaction= new double [N]; 
double *DU= new double [N]; 
int *I= new int [N]; 
int *IT= new int [N]; 
double *DISP_DOF_5 = new double [N]; 
double DISP[N][5],eleF[N][Ne]; 
SLOPE(D1,F1,D2,F2,D3,F3,D4,F4,E1,E2,E3,E4,kn); 
F[0]=Force[0];F[2]=Force[2];F[3]=Force[3];F[4]=Force[4]; 
SHOW_INITAL_REPORT_TEXT(); 
for (zz=0;zz <= m || well_done != 1;zz++){ 
F[1] = Force[1]*(zz+1);// Define the applied load 
 
ElementStiffness(Ne,Length,Height,es,u,D1,D2,D3,D4,E1,E2,E3,E4,F1,F2,F3,F4,A,EA,k,G); 
// Total Stiffness 
MatrixAssembled(k,Ktot); 
// Inverse [Ktot] 
MatrixInverse(Ktot,InvKtot,NN); 
it = 0; // initialize iteration count 
residual = 100; // initialize residual 
while (residual > tolerance){ 
 
ElementStiffness(Ne,Length,Height,es,u,D1,D2,D3,D4,E1,E2,E3,E4,F1,F2,F3,F4,A,EA,k,G); 
MatrixAssembled(k,Kt); 
 
// Finding the determinant of a square matrix 
MatrixDetermination(Kt,NN); 
// [f] = [Kt] ‐ [u] ‐ [F] 
MatrixMulti01(Kt,u,F,f,NN); 
// [du] = [InvKtot] * [f] 
MatrixMulti02(InvKtot,f,du,u,NN); 
// Max residual 
residual = MAX_ABS(du,NN); 
it += 1; // increment iteration count 
if (it == itermax){ 
MessageNotConverge(zz,it); 
break; 
} 
 
} // while 
// Force and Dispalcement for each increment 
reaction[zz] = Force[1]*(zz+1) + Force[0] + Force[3]; 
DISP_DOF_5[zz] = u[1]; 
DU[zz]=residual;I[zz]=zz;IT[zz]=it; 
// iteration control 
if (it < itermax) 
MessageConverge(zz,it,u,reaction); 
 
zMAX = zz+1; 
// Internal force of each element 
ElementInternalForce(EA,es,ele_force); 
// Internal force and displacement of each increment 
for (i=0;i<Ne;i++){ 
eleF[zz][i] = ele_force[i]; 
DISP[zz][i] = u[i]; 
} 
for (i=0;i<Ne;i++){ // Control Strain Damage Index. 
strain[i] = DI*(D4[i]‐D1[i])+D1[i]; 
// printf("tt DI strain[%d]: %.3e ‐  ele. strain[%d]: %.3e n",i+1,strain[i],i+1,es[i]); 
if (ABS(es[i]) >= ABS(strain[i])){ 
printf("n                ## Strain in element[%d]: %.3e reached to Strain Damage Index: %.3e ##nn",i+1,es[i],strain[i]); 
well_done = 1; 
} 
if (well_done == 1) 
break; 
} 
if (ABS(u[0]) >= Fini){ 
printf("n                ## External force [DOF(5)] reached to ultimate force ##nn"); 
well_done = 1; 
break; 
} 
if (ABS(reaction[zz]) >= Fini){ 
printf("n                ## External force [DOF(5)] reached to ultimate force ##nn"); 
well_done = 1; 
break; 
} 
}// for ‐ force increment 
 
if (well_done == 1 ){ 
if (zMAX >= 25) BILINEAR_CURVE(DISP_DOF_5,reaction,zMAX); 
OUTPUT_text(zMAX,I,IT,reaction,DISP,eleF); 
OUTPUT_matlab(zMAX,reaction,DISP); 
OUTPUT_excel(zMAX,I,DISP,eleF,reaction); 
OUTPUT_html(Length,Height,Force,Fini,itermax,tolerance,m,D1,F1,D2,F2,D3,F3,D4,F4,A,zMAX,I,DISP,eleF,reaction,DI); 
OUTPUT_HTML_GRAPH(DISP,reaction,zMAX); 
textcolor(15); 
printf("na ‐ %s ‐",ShowText03); 
system("start /w Graph‐outputHTML.html"); 
DATE_TIME(); 
} 
} 
void DATE_TIME(){ 
printf("nt"); 
system("echo %date%"); 
printf("t"); 
system("echo %time%"); 
} 
void MessageAnalysisReportTEXT(){ 
int i; 
char Ql; 
Ql=176; 
printf("an     "); 
for (i=1;i<64;i++) 
printf("%c",Ql); 
printf(" Analysis Report "); 
for (i=1;i<64;i++) 
printf("%c",Ql); 
printf("n"); 
} 
void BILINEAR_CURVE(double A[],double B[],int M){ 
double AaSUM=0,B_max=0,k0; 
int I,Mmax; 
double *AA = (double *) malloc(N); 
double *BB = (double *) malloc(N); 
double C[6]; 
for (I=0;I<6;I++); 
C[I] = 0; 
Mmax=0; 
for (I=0;I<M;I++){ 
if (ABS(B_max) < ABS(B[I])){ 
B_max = ABS(B[I]); 
Mmax = I; 
}//if 
}//for 
Mmax = I; 
for (I=0;I<Mmax;I++){ 
AA[I+1]=ABS(A[I]); 
BB[I+1]=ABS(B[I]); 
} 
for (I=0;I<Mmax;I++){ // Mmax‐1 
AaSUM += ((BB[I]+BB[I+1])*0.5*(AA[I+1]‐AA[I]));; 
} 
C[1]=0;// C[0]=D_y ; C[1]=D_u ; C[2]=F_y ; C[3]=F_u ; C[4]=SC ; C[5]=OF ; 
B_max=0; 
for (I=0;I<Mmax+1;I++){ // find max 
if(C[1] < AA[I]) 
C[1]=AA[I]; 
if(B_max < BB[I]) 
B_max = BB[I]; 
} 
C[3]=BB[I‐1];//printf("t %fn",C[3]); 
k0 =BB[4]/AA[4];//printf("t %fn",k0); 
C[0] = (C[3]*C[1]*0.5‐AaSUM)/(C[3]*0.5 ‐ k0*C[1]*0.5);//printf("t %fn",C[0]); 
C[2] = k0*C[0]; 
C[4]=C[1]/C[0];C[5]=C[3]/C[2]; 
 
printf("n     Structure ductility ratio:      %.5en",C[4]); 
printf("     Structure over strength factor: %.5enn",C[5]); 
printf("     ================================n"); 
printf("     =    Bilinear curve fitted     =n"); 
printf("     =  Displacaement    Reaction   =n"); 
printf("     =      DOF[5]        DOF[1]    =n"); 
printf("     ================================n"); 
printf("              0            0         n"); 
printf("t   %.3et%.3en",C[0],C[2]); 
printf("t   %.3et%.3en",C[1],C[3]); 
printf("     ================================nn"); 
} 
double MAX_ABS(double A[],int n){ 
int i; 
double B[N]; 
double Amax; 
// abs value 
for (i=0;i<n;i++){ 
B[i] = A[i]; 
if(B[i] < 0) 
B[i] = ‐B[i]; 
} 
// Max of abs 
Amax = B[0]; 
for (i=1;i<n;i++){ 
if(Amax < B[i]) 
Amax = B[i]; 
} 
return Amax; 
} 
void OUTPUT_HTML_GRAPH(double DISP[][5],double reaction[],int n){ 
// HTML GRAPH OUTPUT 
int i; 
double x,y,X[N],Y[N],Xnew[N],Ynew[N],NorX[N],NorY[N],Xmax,Ymax; 
for (i=0;i<n;i++){ 
X[i] = ABS(DISP[i][1]); 
Y[i] = ABS(reaction[i]); 
} 
Xmax=MAX_ABS(X,n); 
Ymax=MAX_ABS(Y,n); 
Xnew[0]=0;Ynew[0]=0; 
for (i=0;i<n;i++){ 
Xnew[i+1] = X[i]; 
Ynew[i+1] = Y[i]; 
} 
for (i=0;i<n+1;i++){ 
NorX[i] = Xnew[i]/Xmax; 
NorY[i] = Ynew[i]/Ymax; 
//printf("t %f   %f    n",NorX[i],NorY[i]); 
} 
FILE *OutputFile; 
OutputFile = fopen(ShowText08, "w"); 
fprintf(OutputFile,"<!DOCTYPE HTML><html><body style="background‐color:black;"><font color="white"><head><script> n"); 
fprintf(OutputFile,"window.onload = function(){ n"); 
fprintf(OutputFile,"var canvas = document.getElementById("myCanvas");var s1 = canvas.getContext("2d");var s2 = canvas.getContext('2d'); n"); 
fprintf(OutputFile,"var s3 = canvas.getContext("2d");var s4 = canvas.getContext("2d");var s5 = canvas.getContext("2d"); n"); 
fprintf(OutputFile,"var x=120,y=80,X,Y,Lx=1100,Ly=500,i; n"); 
fprintf(OutputFile,"s3.beginPath();s3.lineWidth = 3;s3.strokeStyle = "cyan";s3.rect(x,y,Lx,Ly); n"); 
fprintf(OutputFile,"for(i=0;i<9;i++){s3.moveTo(x+Lx*(i+1)*.1,y+Ly);s3.lineTo(x+Lx*(i+1)*.1,y+Ly‐10);}; n"); 
fprintf(OutputFile,"for(i=0;i<9;i++){s3.moveTo(x,y+Ly*(i+1)*.1);s3.lineTo(x+10,y+Ly*(i+1)*.1);};s3.stroke();n"); 
fprintf(OutputFile,"s1.beginPath();s1.lineWidth = 3;s1.strokeStyle = "yellow"; n"); 
for (i=0;i<n;i++){ 
fprintf(OutputFile,"s1.moveTo(%f,%f);   ",120+NorX[i]*1100,80+500‐NorY[i]*500); 
fprintf(OutputFile,"s1.lineTo(%f,%f); n",120+NorX[i+1]*1100,80+500‐NorY[i+1]*500); 
} 
fprintf(OutputFile,"s1.stroke(); n"); 
fprintf(OutputFile,"s2.beginPath();s2.lineWidth = 1;s2.strokeStyle = "cyan";s2.setLineDash([5, 5]); n"); 
fprintf(OutputFile,"for(i=0;i<19;i++){s2.moveTo(x+Lx*(i+1)*.05,y);s2.lineTo(x+Lx*(i+1)*.05,y+Ly);} n"); 
fprintf(OutputFile,"s2.lineWidth = 1;s2.strokeStyle = "cyan";for(i=0;i<19;i++){s2.moveTo(x,y+Ly*(i+1)*.05);s2.lineTo(x+Lx,y+Ly*(i+1)*.05);} s2.stroke();n"); 
fprintf(OutputFile,"X=x+.25*Lx;Y=.7*y;s4.translate(X,Y);s4.font="60px serif";s4.fillStyle = "#7fff00";s4.fillText("Base Shear‐Disp. Graph",0,0); n"); 
fprintf(OutputFile,"s4.save();X=‐X+.2*x;Y=‐Y+y+.6*Ly;s4.translate(X,Y);s4.rotate(3*Math.PI/2);s4.font="15px serif"; n"); 
fprintf(OutputFile,"s4.fillStyle = "#7fff00";s4.textAlign = "left";s4.fillText("Base Shear [DOF(1)]",0,0);s4.restore(); n"); 
fprintf(OutputFile,"s4.save();X=.2*Lx;Y=y+Ly‐20;s4.translate(X,Y);s4.rotate(2*Math.PI);s4.font="15px serif";s4.fillStyle = "#7fff00"; n"); 
fprintf(OutputFile,"s4.textAlign = "left";s4.fillText("Displacement [DOF(5)]",0,0);s4.restore(); n"); 
for(i=0;i<10;i++){ 
x=.1*(i+1)*Xmax; 
fprintf(OutputFile,"s5.save();X=‐.29*Lx+Lx*(%d+1)*.1;Y=.3*y+Ly+20;s5.rotate(2*Math.PI);s5.font="16px serif"; n",i); 
fprintf(OutputFile,"s5.fillStyle = "#7fff00";s5.textAlign = "left";s5.fillText("%.3e",X,Y);s5.restore(); n",x); 
} 
for(i=0;i<10;i++){ 
y=.1*(i+1)*Ymax; 
fprintf(OutputFile,"s5.save();X=‐.28*Lx‐50;Y=Ly+.3*y‐Ly*(%d+1)*.1;s5.rotate(2*Math.PI);s5.font="16px serif"; n",i); 
fprintf(OutputFile,"s5.fillStyle = "#7fff00";s5.textAlign = "left";s5.fillText("%.3e",X,Y);s5.restore(); n",y); 
} 
fprintf(OutputFile,"s5.save();X=‐.25*Lx;Y=.3*y+Ly+20;s5.rotate(2*Math.PI);s5.font="16px serif";s5.fillStyle = "#7fff00";s5.fillText(0,X,Y);s5.restore(); n"); 
fprintf(OutputFile,"s5.save();X=‐.25*Lx‐50;Y=Ly+.3*y;s5.rotate(2*Math.PI);s5.font="16px serif";s5.fillStyle = "#7fff00";s5.textAlign = "left";s5.fillText(0,X,Y);s5.restore();}; n"); 
fprintf(OutputFile,"</script></head><body><canvas id="myCanvas" width="1300" height="1300" style="border:1px solid black;"></canvas></body></html> n"); 
fclose(OutputFile); 
} 
 
Figure(1) C program 
 
Figure(2) C program 
 
Figure(3) MATLAB program 
 
Figure(4) MATLAB program 
 
Figure(5) Material properties in SEISMOSTRUCT 
 
Figure(6)  Section properties in SEISMOSTRUCT 
 
Figure(7) Coordinate nodes in SEISMOSTRUCT 
 
Figure(8) Restraints in SEISMOSTRUCT 
 
Figure(9) Applied loads in SEISMOSTRUCT 
 
Figure(10) Force and displacement of each element in SEISMOSTRUCT 
 
Figure(11) Base shear and dispalcement of truss in SEISMOSTRUCT 
 
Figure(12) Material properties in ABAQUS 
 
Figure(13) Applied load in ABAQUS 
 
Figure(14) Boundary condition in ABAQUS 
 
Figure(15) Mesh in ABAQUS 
 
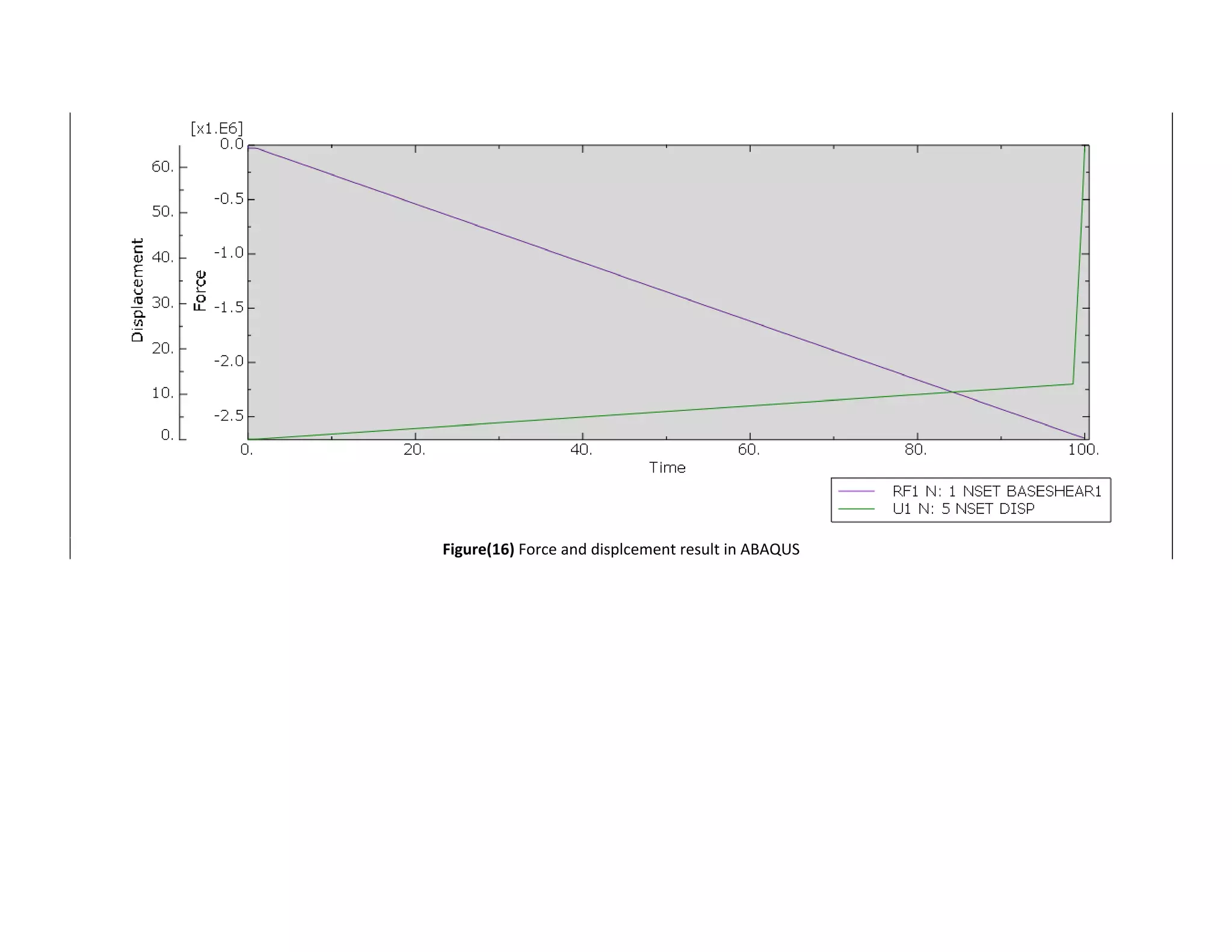
Figure(16) Force and displcement result in ABAQUS 
 
Figure(17) Strain of each element in ABAQUS 
 
Figure(18) Stress of each element in ABAQUS 
Figure(19) Reaction X of truss in ABAQUS 
 
Figure(20) Reaction Y of truss in ABAQUS 
 
 
Figure(21) Displacement X of truss in ABAQUS 
 
Figure(22) Displacement Y of truss in ABAQUS 
Figure(23) Base shear and displacement results 
0
500000
1000000
1500000
2000000
2500000
3000000
0 10 20 30 40 50 60 70 80
Base Shear
Displacement
C MATLAB SeismoStruct ABAQUS

Geometric and material nonlinearity analysis of 2 d truss with force control and ductility damage index control in c, matlab, seismo and abaqus