Revised Edition - 2015
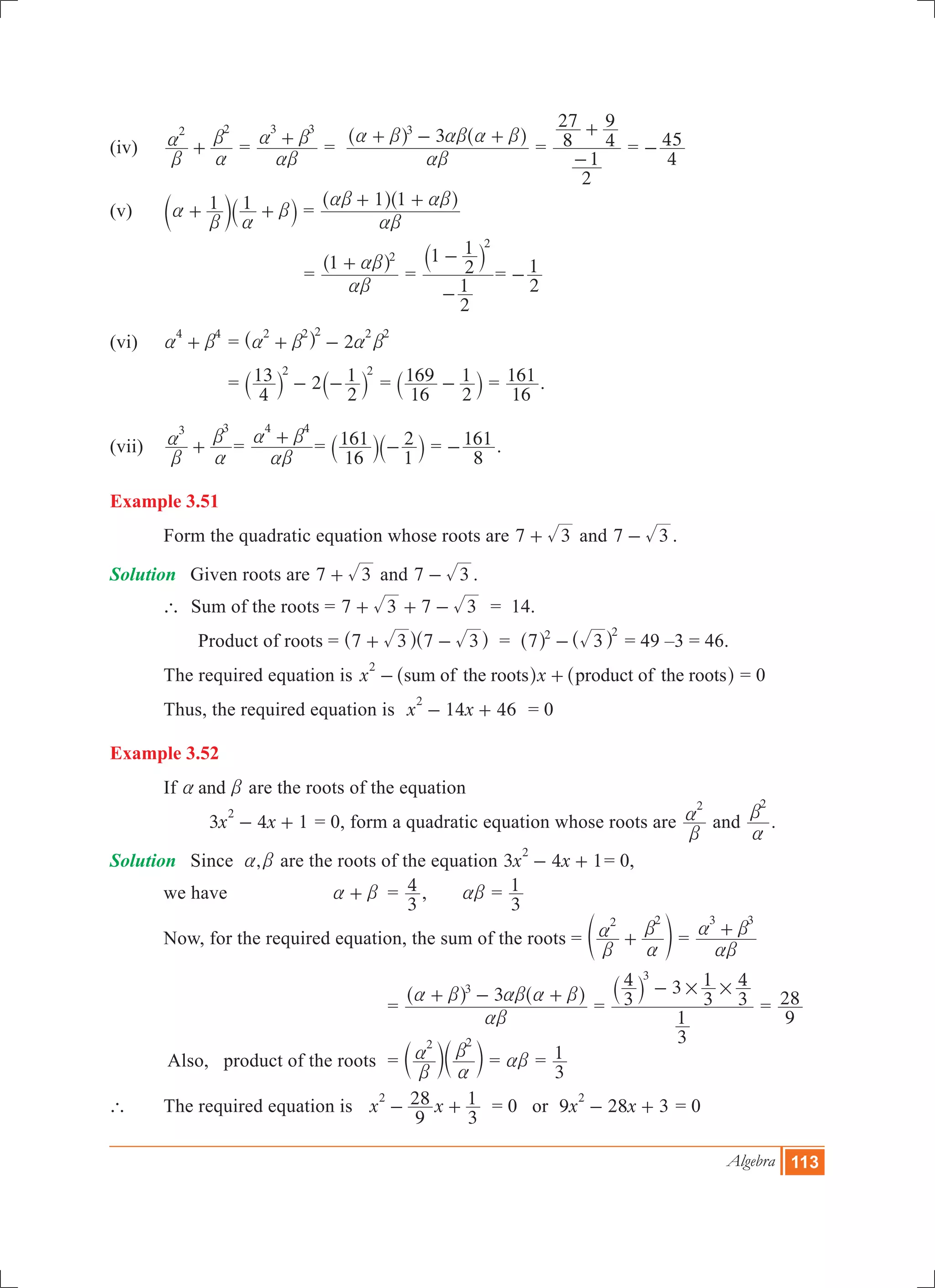
(P
(ii)
(iii)
	 It is gratifying to note that education as a whole and school education in particular
witness marked changes in the state of Tamil Nadu resulting in the implementation of
uniform curriculum for all streams in the school education system. This is a golden
opportunity given by the Government of Tamil Nadu which must be utilized for the
overall improvement of education in Tamil Nadu.
	 Mathematics, the queen of all sciences, remains and will remain as a subject with
great charm having an intrinsic value and beauty of its own. It plays an indispensable
role in sciences, engineering and other subjects as well. So, mathematical knowledge is
essential for the growth of science and technology, and for any individual to shine well
in the field of one’s choice. In addition, a rigorous mathematical training gives one not
only the knowledge of mathematics but also a disciplined thought process, an ability to
analyze complicated problems.
	 Thiruvalluvar, the prophetic Tamil poet, had as far back as at least two thousand
years ago, underlined the importance and the value of mathematical education by saying,
		 v©bz‹g Vid vG¤bj‹g Ï›éu©L«
		 f©bz‹g thG« c殡F. - FwŸ (392)
		 The two that are known as numbers and letters
		 They say are the eyes of people on the earth.
							 – Kural (392)
	 We need the power and prowess of mathematics to face and solve the ever
increasing complex problems that we encounter in our life. Furthermore, mathematics is
a supremely creative force and not just a problem solving tool. The learners will realize
this fact to their immense satisfaction and advantage as they learn more and more of
mathematics.
	 Besides, a good mathematical training is very much essential to create a good
work force for posterity. The rudiments of mathematics attained at the school level form
the basis of higher studies in the field of mathematics and other sciences. Besides learning
the basics of mathematics, it is also important to learn how to apply them in solving
problems.
Preface
(iv)
	 Deeper understanding of basic principles and problem solving are the two
important components of learning mathematics. This book is a step in this direction. It is
intended to help the students to grasp the fundamentals of mathematics and apply them
in problem solving. It also fosters an informed awareness of how mathematics develops
and works in different situations. With this end in view, the chapters are arranged in their
natural and logical order with a good number of worked out examples. Each section of a
chapter is designed in such a way as to provide the students the much needed practice
which promotes a thorough understanding of the concepts. We suggest that before going
into the problems, the teachers and the students get themselves acquainted with the
underlying mathematical ideas and their connections which precede the set of problems
given in the exercises.
	 However, be it remembered that mathematics is more than the science of
numbers. The teacher in the classroom is the most important person whose help and
guidance are indispensable in learning mathematics. During the stage of transition from
basic mathematics to higher mathematics, the teachers have a more significant role to
play. In this context we hope that this book serves the purpose and acts as a catalyst. To
reap the maximum benefit out of this, the teacher should necessarily strive for a two-
way communication. This endeavour will undoubtedly pave the way for learner-centered
activities in the class rooms.	 Moreover, this text book is aimed at giving the students a
space to explore mathematics and develop skills in all directions. As we have mentioned
already, there are two parts in learning mathematics. One is learning the basics and the
other is applying the basics in problem solving. Going through the examples in the text
does help in understanding the methods; but learning basics, solving exercise problems
on one’s own and then trying to create new related problems alone will help consolidate
one’s mathematical knowledge.
We learn Mathematics by doing Mathematics.
	 We would be grateful for suggestions and comments from experts, teachers and
students for the improvement of this book.
-Textbook team
X Std. SYLLABUS
Topic Content
Expected Learning
Outcomes
Transactional
Teaching
Strategy
No. of
Periods
i.	 Introduction
ii.	 Properties of operations on
sets
iii.	De Morgan’s laws-veri-
fication using examples,
Venn diagrams.
iv.	 Formula for ( )n A B C, ,
v.	 Functions
•	 To revise the basic con-
cepts on Set operations
•	 To understand the proper-
ties of operations of sets
- commutative, associative,
and distributive restricted
to three sets.
•	 To understand the laws of
complementation of sets.
•	 To understand De Mor-
gan’s laws and demonstrat-
ing them by Venn diagram
as well.
•	 To solve word problems
using the formula as well
as Venn diagram.
•	 To understand the defini-
tion , types and representa-
tion of functions.
•	 To understand the types
of functions with simple
examples.
Use Venn
diagrams for all
illustrations
Give examples
of functions from
economics, medi-
cine, science etc.
26
i.	 Introduction
ii.	 Sequences
iii.	Arithmetic Progression
(A.P)
iv.	 Geometric Progression
(G.P)
v.	 Series
•	 To understand to identify
an Arithmetic Progression
and a Geometric Progres-
sion.
•	 Able to apply to find the
nth term of an Arithmetic
Progression and a Geomet-
ric Progression.
•	 To determine the sum of
n terms of an Arithmetic
Progression and a Geomet-
ric Progression.
•	 To determine the sum of
some finite series.
Use pattern ap-
proach
Use dot pattern as
teaching aid
Use patterns to
derive formulae
Examples to be
given from real
life situations
27
i.	 Solving linear equations
ii.	 Polynomials
iii.	Synthetic division
iv.	 Greatest Common
Divisor (GCD) and Least
Common Multiple (LCM)
v.	 Rational expressions
vi.	Square root
vii.	Quadratic Equations
•	 To understand the idea about
pair of linear equations in
two unknowns. Solving a
pair of linear equations in
two variables by elimination
method and cross multipli-
cation method.
•	 To understand the relation-
ship between zeros and co-
efficients of a polynomial
with particular reference to
quadratic polynomials.
Illustrative
examples –
Use charts as
teaching aids
Recall GCD and
LCM of numbers
initially
I.SetsandFunctionsII.SequencesandSeriesof
RealNumbersIII.Algebra
(v)
•	 To determine the remain-
der and the quotient of
the given polynomial
using Synthetic Division
Method.
•	 To determine the factors
of the given polynomial
using Synthetic Division
Method.
•	 Able to understand the dif-
ference between GCD and
LCM, of rational expres-
sion.
•	 Able to simplify rational
expressions (Simple Prob-
lems),
•	 To understand square
roots.
•	 To understand the standard
form of a quadratic equa-
tion .
•	 To solve quadratic equa-
tions (only real root) - by
factorization, by complet-
ing the square and by using
quadratic formula.
•	 Able to solve word prob-
lems based on quadratic
equations.
•	 Able to correlate relation-
ship between discriminant
and nature of roots.
•	 Able to Form quadratic
equation when the roots
are given.
Compare with
operations on
fractions
Compare with the
square root opera-
tion on numerals.
Help students
visualize the
nature of roots
algebraically and
graphically.
40
i.	 Introduction
ii.	 Types of matrices
iii.	Addition and subtraction
iv.	 Multiplication
v.	 Matrix equation
•	 Able to identify the order
and formation of matrices
•	 Able to recognize the types
of matrices
•	 Able to add and subtract
the given matrices.
•	 To multiply a matrix by a
scalar, and the transpose of
a matrix.
•	 To multiply the given
matrices (2x2; 2x3; 3x2
Matrices).
•	 Using matrix method solve
the equations of two vari-
ables.
Using of rect-
angular array of
numbers.
Using real life
situations.
Arithmetic opera-
tions to be used 16
III.AlgebraIV.Matrices
(vi)
i.	 Introduction
ii.	 Revision :Distance be-
tween two points
iii.	Section formula, Mid
point formula, Centroid
formula
iv.	 Area of a triangle and
quadrilateral
v.	 Straight line
•	 To recall the distance
between two points, and
locate the mid point of two
given points.
•	 To determine the point
of division using section
formula.
•	 To calculate the area of a
triangle.
•	 To determine the slope of
a line when two points are
given, equation is given.
•	 To find an equation of line
with the given information.
•	 Able to find equation of
a line in: slope-intercept
form, point -slope form,
two -point form, intercept
form.
•	 To find the equation of
a straight line passing
through a point which is (i)
parallel (ii) perpendicular
to a given straight line.
Simple geometri-
cal result related
to triangle and
quadrilaterals to
be verified as ap-
plications.
the form
y = mx + c to be
taken as the start-
ing point
25
i. Basic proportionality theo-
rem (with proof)
ii. Converse of Basic propor-
tionality theorem
(with proof)
iii. Angle bisector theorem
(with proof - internal case
only)
iv. Converse of Angle bisec-
tor theorem (with proof
- internal case only)
v. Similar triangles (theo-
rems without proof)
vi. Pythagoras theorem and
Tangent-Chord theorem
(without proof)
•	 To understand the theo-
rems and apply them to
solve simple problems.
Paper folding
symmetry and
transformation
techniques to be
adopted.
Formal proof to
be given
Drawing of
figures
Step by step
logical proof with
diagrams to be
explained and
discussed
20
i.	 Introduction
ii.	 Identities
iii.	Heights and distances
•	 Able to identify the
Trigonometric identities
and apply them in simple
problems.
•	 To understand trigonomet-
ric ratios and applies them
to calculate heights and
distances.
(not more than two right
triangles)
By using Alge-
braic formulae
Using trigonomet-
ric identities.
The approximate
nature of values
to be explained
21
V.CoordinateGeometryVI.GeometryVII.Trigonometry
(vii)
i.	 Introduction
ii.	 Surface Area and Volume
of Cylinder, Cone, Sphere,
Hemisphere, Frustum
iii.	Surface area and volume
of combined figures
iv.	 Invariant volume
•	 To determine volume and
surface area of cylinder,
cone, sphere, hemisphere,
frustum
•	 Volume and surface area
of combined figures (only
two).
•	 Some problems restricted
to constant Volume.
Use 3D models to
create combined
shapes
Use models and
pictures ad teach-
ing aids.
Choose examples
from real life situ-
ations.
24
i.	 Introduction
ii.	 Construction of tangents
to circles
iii.	Construction of Triangles
iv.	 Construction of cyclic
quadrilateral
•	 Able to construct tangents
to circles.
•	 Able to construct triangles,
given its base, vertical
angle at the opposite vertex
and
(a) median
(b) altitude
•	 Able to construct a cyclic
quadrilateral
To introduce
algebraic verifica-
tion of length of
tangent segments.
Recall related
properties of
angles in a circle
before construc-
tion.
Recall relevant
theorems in theo-
retical geometry
15
i.	 Introduction
ii.	 Quadratic graphs
iii.	Some special graphs
•	 Able to solve quadratic
equations through graphs
•	 Able to apply graphs to
solve word problems
Interpreting skills
also to be taken
care of graphs
of quadratics to
precede algebraic
treatment.
Real life situa-
tions to be intro-
duced.
10
i.	 Recall Measures of central
tendency
ii.	 Measures of dispersion
iii.	Coefficient of variation
•	 To recall Mean for grouped
and ungrouped data situa-
tion to be avoided).
•	 To understand the concept
of Dispersion and able
to find Range, Standard
Deviation and Variance.
•	 Able to calculate the coef-
ficient of variation.
Use real life situa-
tions like perfor-
mance in exami-
nation, sports, etc.
16
i.	 Introduction
ii.	 Probability-theoretical ap-
proach
iii. Addition Theorem on
Probability
•	 To understand Random
experiments, Sample space
and Events – Mutually
Exclusive, Complemen-
tary, certain and impossible
events.
•	 To understand addition
Theorem on probability
and apply it in solving
some simple problems.
Diagrams and
investigations
on coin tossing,
die throwing and
picking up the
cards from a deck
of cards are to be
used.
15
VIII.MensurationIX.PracticalGeometryX.GraphsXI.StatisticsXII.Probability
(viii)
(ix)
CONTENTS
1. 	 SETS AND FUNCTIONS 	 1-33
	 1.1 	 Introduction 	 1
	 1.2. 	 Sets	 1
	 1.3. 	 Operations on Sets	 3
	 1.4. 	 Properties of Set Operations 	 5
	 1.5. 	 De Morgan’s Laws 	 12
	 1.6. 	 Cardinality of Sets 	 16
	 1.7. 	 Relations 	 19
	 1.8. 	 Functions 	 20
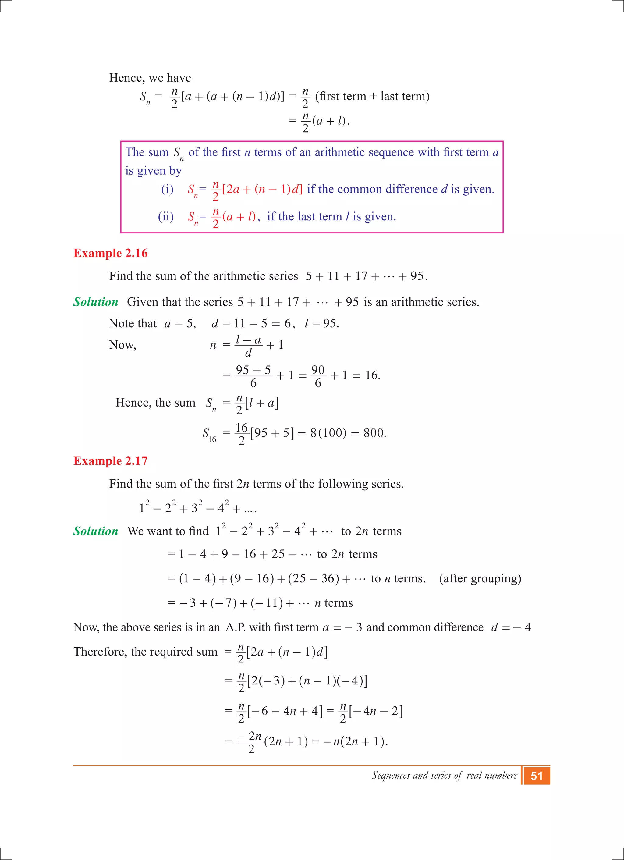
2. 	 SEQUENCES AND SERIES OF REAL NUMBERS 	 34-67
	 2.1. 	 Introduction 	 34
	 2.2. 	 Sequences 	 35
	 2.3. 	 Arithmetic Sequence 	 38
	 2.4. 	 Geometric Sequence 	 43
	 2.5. 	 Series 	 49
	
3. 	 ALGEBRA	 68-117
	 3.1 	 Introduction 	 68
	 3.2 	 System of Linear Equations in Two Unknowns 	 69
	 3.3 	 Quadratic Polynomials 	 80
	 3.4 	 Synthetic Division 	 82
	 3.5 	 Greatest Common Divisor and Least Common Multiple	 86
	 3.6 	 Rational Expressions	 93
	 3.7 	 Square Root 	 97
	 3.8 	 Quadratic Equations 	 101
4. 	 MATRICES 	 118-139
	 4.1 	 Introduction	 118
	 4.2 	 Formation of Matrices	 119
	 4.3 	 Types of Matrices 	 121
	 4.4 	 Operation on Matrices 	 125
	 4.5 	 Properties of Matrix Addition 	 128
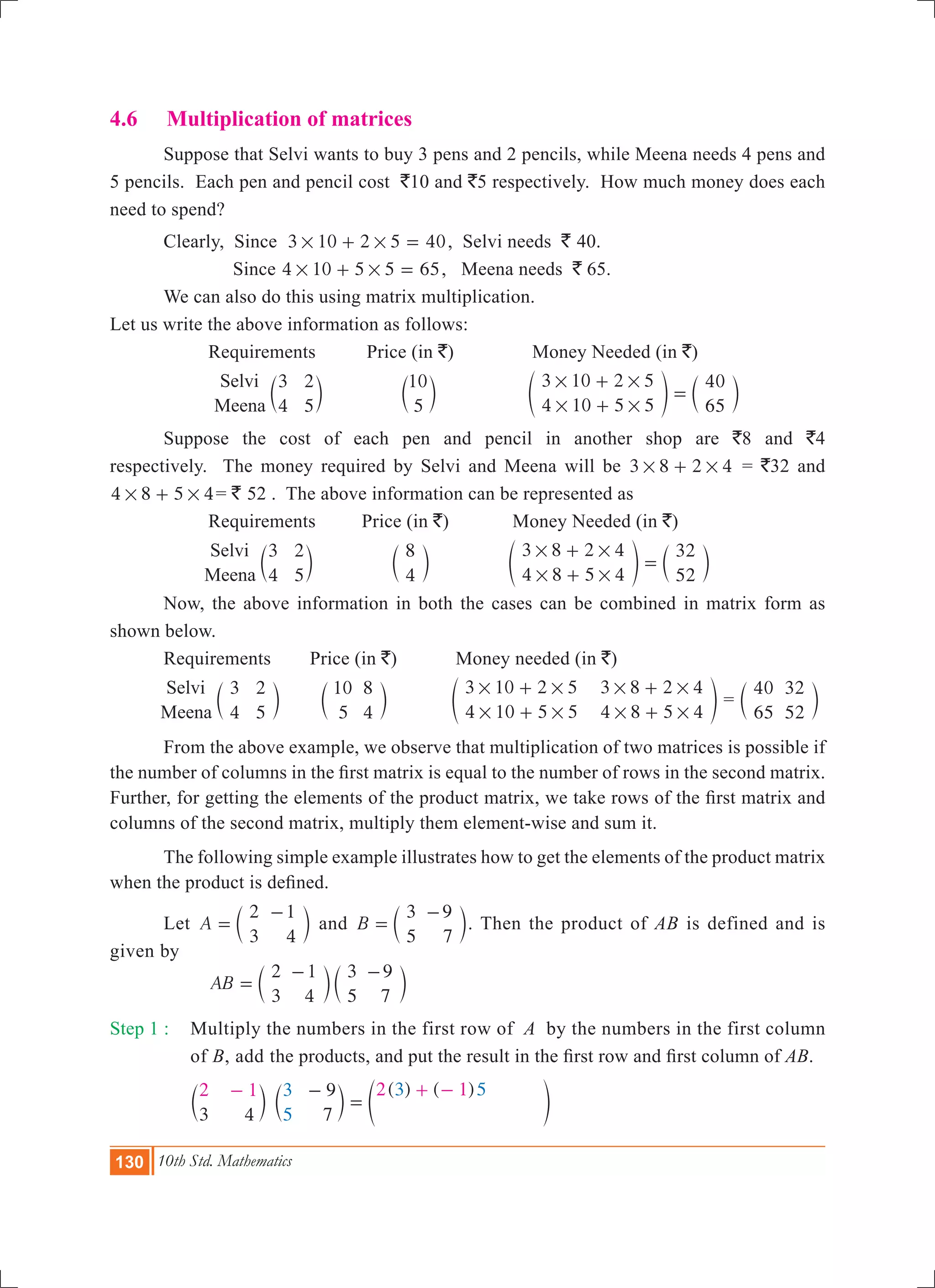
	 4.6 	 Multiplication of Matrices 	 130
	 4.7 	 Properties of Matrix Multiplication	 132
5. 	 COORDINATE GEOMETRY 	 140-170
	 5.1 	 Introduction 	 140
	 5.2 	 Section Formula 	 140
	 5.3 	 Area of a Triangle 	 147
	 5.4 	 Collinearity of Three Points 	 148
	 5.5 	 Area of a Quadrilateral 	 148
	 5.6 	 Straight Lines 	 151
	 5.7 	 General form of Equation of a Straight Line 	 164
(x)
6. 	 GEOMETRY 	 171-195
	 6.1 	 Introduction	 171
	 6.2	 Basic Proportionality and Angle Bisector Theorems	 172
	 6.3 	 Similar Triangles	 182
	 6.4	 Circles and Tangents	 189
7. 	 TRIGONOMETRY 	 196-218
	 7.1 	 Introduction 	 196
	 7.2 	 Trigonometric Identities 	 196
	 7.3 	 Heights and Distances 	 205
	
8. 	 MENSURATION 	 219-248
	 8.1 	 Introduction	 219
	 8.2 	 Surface Area	 219
	 8.3 	 Volume	 230
	 8.4 	 Combination of Solids	 240
9. 	 PRACTICAL GEOMETRY 	 249-266
	 9.1 	 Introduction 	 249
	 9.2 	 Construction of Tangents to a Circle 	 250
	 9.3 	 Construction of Triangles 	 254
	 9.4 	 Construction of Cyclic Quadrilaterals 	 259
10. 	 GRAPHS 	 267-278
	 10.1 	 Introduction	 267
	 10.2 	 Quadratic Graphs	 267
	 10.3 	 Some special Graphs	 275
11. 	 STATISTICS	 279-298
	 11.1 	 Introduction	 279
	 11.2 	 Measures of Dispersion	 280
12. 	 PROBABILITY	 299-316
	 12.1 	 Introduction 	 299
	 12.2 	 Classical Definition of Probability	 302
	 12.3 	 Addition theorem on Probability 	 309
•	 Answers	 317-327
	
•	 Miscellaneous problems	 328-329
	
•	 Bibliography	 330-331
	
•	 Question Paper Design	 331-334
SETS AND
FUNCTIONS
SETS AND
FUNCTIONS
A set is Many that allows itself to be thought of as a One
- Georg Cantor
George Boole
(1815-1864)
England
	 Boole believed that there was
a close analogy between symbols that
represent logical interactions and
algebraic symbols.
He used mathematical symbols
to express logical relations. Although
computers did not exist in his
day, Boole would be pleased to
know that his Boolean algebra
is the basis of all computer arithmetic.
	 As the inventor of Boolean
logic-the basis of modern digital
computer logic - Boole is regarded in
hindsight as a founder of the field of
computer science.
	Introduction
	Sets
	Properties of set operations
	De Morgan’s Laws
	Functions
11
Definition
1.1 	 Introduction
	 The concept of set is one of the fundamental concepts
in mathematics. The notation and terminology of set theory
is useful in every part of mathematics. So, we may say that
set theory is the language of mathematics. This subject, which
originated from the works of George Boole (1815-1864) and
Georg Cantor (1845-1918) in the later part of 19th century,
has had a profound influence on the development of all
branches of mathematics in the 20th century. It has helped
in unifying many disconnected ideas and thus facilitated the
advancement of mathematics.
	 In class IX, we have learnt the concept of set, some
operations like union, intersection and difference of two sets.
Here, we shall learn some more concepts relating to sets and
another important concept in mathematics namely, function.
First let us recall basic definitions with some examples. We
denote all positive integers (natural numbers) by N and all
real numbers by R.
1.2 Sets
A set is a collection of well-defined objects. The objects
in a set are called elements or members of that set.
	 Here, “well-defined” means that the criteria for
deciding if an object belongs to the set or not, should be
defined without confusion.
	 For example, the collection of all “tall people” in
Chennai does not form a set, because here, the deciding criteria
“tall people” is not clearly defined. Hence this collection does
not define a set.
1
2 10th Std. Mathematics
Definition
Definition
Notation
	 We generally use capital letters like A, B, X, etc. to denote a set. We shall use small
letters like x, y, etc. to denote elements of a set. We write x Y! to mean x is an element of
the set Y . We write t Yb to mean t is not an element of the set Y .
Examples
	 (i) 	 The set of all high school students in Tamil Nadu.
	 (ii) 	 The set of all students either in high school or in college in Tamil Nadu.
	 (iii) 	 The set of all positive even integers.
	 (iv) 	The set of all integers whose square is negative.
	 (v) 	The set of all people who landed on the moon.
	 Let , , ,A B C D Eand denote the sets defined in (i), (ii), (iii), (iv), and (v) respectively.
Note that square of any integer is an integer that is either zero or positive and so there is no
integer whose square is negative. Thus, the set D does not contain any element. Any such set
is called an empty set. We denote the empty set by z.
(i)	 A set is said to be a finite set if it contains only a finite number of elements in it.
(ii)	 A set which is not finite is called an infinite set.
	 Observe that the set A given above is a finite set, whereas the set C is an infinite set.
Note that empty set contains no elements in it. That is, the number of elements in an empty
set is zero. Thus, empty set is also a finite set.
	 (i)	 If a set X is finite, then we define the cardinality of X to be the number of
elements in X . Cardinality of a set X is denoted by ( ).n X 	
	 (ii)	 If a set X is infinite, then we denote the cardinality of X by a symbol 3. 	
		 Now looking at the sets ,A B in the above examples, we see that every element of
A is also an element of B. In such cases we say A is a subset of .B
	 Let us recall some of the definitions that we have learnt in class IX.
Subset Let X Yand be two sets. We say X is a subset of Y if every element of X is 	
	 also an 	element of Y . That is, X is a subset of Y if z X! implies z Y! . It is clear 	
	 that every set is a subset of itself.
	 If X is a subset of Y , then we denote this by X Y3 .
Sets and Functions 3
Set Equality Two sets X Yand are said to be equal if both contain exactly same elements.
	 In such a case, we write X Y= . That is, X Y= if and only if X Y3 and Y X3 .
Equivalent Sets Two finite sets X Yand are said to be equivalent if ( ) ( ).n X n Y=
	 For example, let P x x x 6 0
2
;= - - =" , and ,Q 3 2= -" ,. It is easy to see that
both ,P Q contain same elements and so P Q= . If ,F 3 2=" ,, then ,F Q are equivalent
sets but .Q F! Using the concept of function, one can define the equivalent of two infinite sets
Power Set Given a set A, let ( )P A denote the collection of all subsets of A. The set ( )P A
is called the power set of A.
If n(A) = m, then the number of elements in ( )P A is given by n(P(A)) = 2m
.
For example, if A = {a,b,c}, then ( )P A = { ,{ },{ },{ }.{ , },{ , },{ , },{ , , }a b c a b a c b c a b cz }
and hence n(P(A)) = 8.
	 Now, given two sets, how can we create new sets using the given sets?
One possibility is to put all the elements together from both sets and create a new set. Another
possibility is to create a set containing only common elements from both sets. Also, we may
create a set having elements from one set that are not in the other set. Following definitions
give a precise way of formalizing these ideas. We include Venn diagram next to each definition
to illustrate it.
1.3 	 Operations on sets
	 Let X Yand be two sets. We define the following new sets:
(i) 	 Union orX Y z z X z Y, ; ! !=" ,
		 ( read as “X union Y ”)
Note that X Y, contains all the elements of X and all the
elements of Y and the Fig. 1.1 illustrates this.
It is clear that .X X Y Y X Yand also, ,3 3
(ii) 	 Intersection andX Y z z X z Y+ ; ! !=" ,
(read as “X intersection Y ”)
Note that X Y+ contains only those elements which belong
to both X and Y and the Fig. 1.2 illustrates this.
It is trivial that .X Y X X Y Yand also+ +3 3
(iii) 	 Set difference  butX Y z z X z Yb; !=" ,
(read as “X difference Y ”)
Note that X Y contains only elements of X that are not in Y
and the Fig. 1.3 illustrates this. Also, some authors use A B-
for A B. We shall use the notation A B which is widely
used in mathematics for set difference.
(iv)	 Symmetric Difference (  ) (  )X Y X Y Y X3 ,=
(read as “X symmetric difference Y ”). Note that
	 X Y3 contains all elements in X Y, that are not in X Y+ .
X
Y
X Y,
Fig. 1.1
X
Y
X Y+
Fig. 1.2
X  Y
X
Y
Fig. 1.3
X Y3
X
Y
Fig. 1.4
4 10th Std. Mathematics
Remarks
(v) 	 Complement If X U3 , where U is a universal set, then
U X is called the complement of X with respect to .U If
underlying universal set is fixed, then we denote U X by Xl
and is called complement of X . The difference set A B can also
be viewed as the complement of B with respect to A.
(vi)	 Disjoint sets 	 Two sets X Yand are said to be disjoint if
they do not have any common element. That is, X and Y are
disjoint if X Y+ z= .
	 It is clear that ( ) ( ) ( )n A B n A n B, = + if A and B are
disjoint finite sets.
	 Usually circles are used to denote sets in Venn diagrams. However any closed curve
may also be used to represent a set in a Venn diagram. While writing the elements of
a set, we do not allow repetitions of elements in that set.
Now, we shall see some examples.
	 Let 12is a positive less thanA x x integer;=" ,, , , , , , , ,B 1 2 4 6 7 8 12 15=" , and
, , , , , ,C 2 1 0 1 3 5 7= - -" ,. Now let us find the following:
(i) 	 orA B x x A x B, ; ! !=" ,
	 12, 12, 15is a positive less than or orx x xinteger;= =" ,
	 { , , , , , , , , , , , , }1 2 3 4 5 6 7 8 9 10 11 12 15= .
(ii) 	 andC B y y C y B+ ; ! != " , = ,1 7" ,.
(iii) 	  butA C x x A x Cb; != " , , , , , , ,2 4 6 8 9 10 11= " ,.
(iv) 	 (  ) (  )A C A C C A3 ,=
, , , , , , , , { 2, 1, 0, 2, 4, 6, 8, 9,10,11}2 4 6 8 9 10 11 2 1 0,= - - = - -" ", , .
(v) 	 Let U	 = {x | x is an integer} be the universal set.
	 Note that 0 is neither positive nor negative. Therefore, A0 g .
Now, '  { : }is an but it should not be inA U A x x Ainteger= =
{ 12}is either zero or a negative or positive greater than or equal tox x integer integer;=
{ , , , , , } { , , , , }4 3 2 1 0 12 13 14 15,g g= - - - -
{ , 4, 3, 2, 1, 0,12,13,14,15, }g g= - - - - .
Let us list out some useful results.
	 Let U be a universal set and ,A B are subsets of U . Then the following hold:
	 (i) 	 A B A B+= l 	 (ii)	 B A B A+= l
	 (iii)	 A B A A B+ + z= = 	 (iv)	 (  )A B B A B, ,=
	 (v) 	 (  )A B B+ z= 	 (vi)	 (  ) (  ) ( )( )A B B A A B A B, , +=
X
Xl
U
Fig. 1.5
X
Y
Fig. 1.6
Sets and Functions 5
Let us state some properties of set operations.
1.4	 Properties of set operations
	 For any three sets ,A B and C, the following hold.
(i) 	 Commutative property
	(a) A B B A, ,= (set union is commutative)
	(b) A B B A+ += (set intersection is commutative)
(ii) 	 Associative property
	 (a) A B C, ,^ h = A B C, ,^ h (set union is associative)
	 (b) A B C+ +^ h = A B C+ +^ h (set intersection is associative)
(iii) 	 Distributive property
(a) A B C+ ,^ h = ( )A B A C+ , +^ h (intersection distributes over union)
(b) A B C, +^ h = ( )A B A C, + ,^ h (union distributes over intersection)
	 Mostly we shall verify these properties with the given sets. Instead of verifying the
above properties with examples, it is always better to give a mathematical proof. But this is
beyond the scope of this book. However, to understand and appreciate a rigorous mathematical
proof, let us take one property and give the proof.
	 (i) Commutative property of union
	 In this part we want to prove that for any two sets A Band , the sets A B, and B A,
are equal. Our definition of equality of sets says that two sets are equal only if they contain
same elements.
	 First we shall show that every element of A B, , is also an element of B A, .
Let z A B,! be an arbitrary element. Then by the definition of union of A and B
we have z A! or z B! . That is,
for every z A B,! 	( z A! or z B!
				( z B! or z A!
				( z B A,! by the definition of B A, .		 (1)
Since (1) is true for every z A B,! , the above work shows that every element of A B,
is also is an element of B A, . Hence, by the definition of a subset, we have ( ) ( )A B B A, ,3 .
Next, we consider an arbitrary y B A,! and show that this y is also an element of A B, .
Now, 	 for every y B A,! 	(	 y B! or y A!
			 ( y A! or y B!
			 ( y A B,! by the definition of A B, .		 (2)
Since (2) is true for every y B A,! , the above work shows that every element of B A, is
also an element of A B, . Hence, by the definition of a subset, we have ( ) ( )B A A B, ,3 .
	 So, we have shown that ( ) ( )A B B A, ,3 and ( ) ( )B A A B, ,3 . This can happen
only when ( ) ( )A B B A, ,= . One could follow above steps to prove other properties listed
above by exactly the same method.
6 10th Std. Mathematics
About proofs in Mathematics
	 In mathematics, a statement is called a true statement if it is always true. If a statement
is not true even in one instance, then the statement is said to be a false statement. For
example, let us consider a few statements:
(i) Any positive odd integer is a prime number (ii) Sum of all angles in a triangle is 180c
(iii) Every prime number is an odd integer (iv) For any two sets A Band ,  A B B A=
	 Now, the statement (i) is false, though very many odd positive integers are prime,
because integers like , , ,9 15 21 45 etc. are positive and odd but not prime.
	 The statement (ii) is a true statement because no matter which triangle you consider,
the sum of its angles equals 180c.
	 The statement (iii) is false, because 2 is a prime number but it is an even integer. In
fact, the statement (iii) is true for every prime number except for 2. So, if we want to prove a
statement we have to prove that it is true for all instances. If we want to disprove a statement
it is enough to give an example of one instance, where it is false.
	 The statement (iv) is false. Let us analyze this statement. Basically, when we
form A B we are removing all elements of B from A. Similarly, for B A. So it is
highly possible that the above statement is false. Indeed, let us consider a case where
{ 2, 5, 8} {5, 7, 1}.A Band= = - In this case,  {2, 8}A B = and  { 7, 1}B A = - and
we have  A B B A! . Hence the statement given in (iv) is false.
Example 1.1
	 For the given sets { 10,0,1, 9, 2, 4, 5} { 1, 2, 5, 6, 2,3,4}A Band= - = - - ,
verify that (i) set union is commutative. Also verify it by using Venn diagram.
	 (ii) set intersection is commutative. Also verify it by using Venn diagram.
Solution
(i)	 Now, 	 { 10,0,1, 9, 2, 4, 5} { 1, 2, 5, 6, 2,3,4}A B, ,= - - -
	 = { 1 , , ,0,1,2,3,4, , , }0 2 1 5 6 9- - - 			 (1)
	 Also,		 { 1, 2, 5, 6, 2,3,4} { 10,0,1, 9, 2, 4, 5}B A, ,= - - -
{ 10, 2, 1,0,1,2,3,4, 5, 6, 9}= - - - 	 (2)
	 Thus, from (1) and (2) we have verified that A B B A, ,= .
By Venn diagram, we have
	 Hence, it is verified that set union is commutative.
A B B A, ,=
Fig. 1.7
B B
A
A –10
0
1
9
2
5
4
–1
–2
6
3
–1
–2
6
3
–10
0
1
9
2
5
4
Sets and Functions 7
(ii)	 Let us verify that intersection is commutative.
	 Now,	 { 10,0,1, 9, 2, 4, 5} { 1, 2, 5, 6, 2,3,4}A B+ += - - -
			 {2,4, 5}= . 		 (1)
	 Also,	 { 1, 2, 5, 6, 2,3,4} { 10,0,1, 9, 2, 4, 5}B A+ += - - -
	 	 {2,4, 5}= . 		 (2)
	 From (1) and (2), we have A B B A+ += for the given sets A Band .
By Venn diagram, we have
	 Hence, it is verified.
Example 1.2
	 Given, {1, 2, 3, 4, 5}, {3, 4, 5, 6} {5, 6, 7, 8}A B Cand= = = , show that
		 (i) .A B C A B C, , , ,=^ ^h h (ii) Verify (i) using Venn diagram.
Solution
(i) 	 Now,	B C, 	= {3, 4, 5, 6} {5, 6, 7, 8}, = {3, 4, 5, 6, 7, 8}
	 	 ( )A B C` , , 	= {1, 2, 3, 4, 5},{ 3, 4, 5, 6, 7, 8}= {1, 2, 3, 4, 5, 6, 7, 8}	 (1) 	
	 Now, 	 A B, 	= {1, 2, 3, 4, 5} {3, 4, 5, 6}, = { , , , , , }1 2 3 4 5 6
	 A B C` , ,^ h 	= { , , , , , } { , , , }1 2 3 4 5 6 5 6 7 8, = {1, 2, 3, 4, 5, 6, 7, 8}		 (2)
	 From (1) and (2), we have A B C, ,^ h = A B C, ,^ h .
(ii)	 Using Venn diagram, we have
						 (1)					 (3)
						 (2)					 (4)
	 Thus, from (2) and (4), we have verified that the set union is associative.
B C,
A B C, ,^ h A B C, ,^ h
A B B A+ +=
Fig. 1.8
Fig. 1.9
B
B
A
A
2
5
4
2
5
4
5
6
3
4
7
8
5
6
3
4
1
2
5
6
4
7
8
1
5
6
3
4
7
8
1
2
A B,
A
C
B A
C
B
A
C
B
32
A
C
B
8 10th Std. Mathematics
Example 1.3
	 Let { , , , }, { , , } { , }A a b c d B a c e C a eand= = = .
	 (i) Show that A B C+ +^ h = .A B C+ +^ h (ii) Verify (i) using Venn diagram.
Solution
(i)	 We are given 	 { , , , }, { , , } { , }A a b c d B a c e C a eand= = = .
	 We need to show A B C A B C+ + + +=^ ^h h . So, we first consider A B C+ +^ h.
	 Now,		 B C+ 	 = { , , } { , } { , }a c e a e a e+ = ; thus,
			 A B C+ +^ h	 = { , , , } { , } { }a b c d a e a+ = . (1)
	 Next, we shall find	 A B+ 	 = { , , , .} { , , } { , }a b c d a c e a c+ = . Hence
			 A B C+ +^ h 	 = { , } { , } { }a c a e a+ = (2)
	 Now (1) and (2) give the desired result.
(ii)	 Using Venn diagram, we have
						 (1)					 (3)
						
						 (2)					 (4)
	 Thus, from (2) and (4) , it is verified that A B C A B C+ + + +=^ ^h h
Example 1.4
	 Given { , , , , }, { , , , , } { , , , }A a b c d e B a e i o u C c d e uand= = = .
	 (i) Show that    A B C A B C!^ ^h h . (ii) Verify (i) using Venn diagram.
B C+ A B+
A B C+ +^ h A B C+ +^ h 	
Fig. 1.10
a
e
a
c
a a
A
C
B A
C
B
A
C
B A
C
B
Sets and Functions 9
B C^ h
A B^ h
 A B C^ h  A B C^ h
Fig. 1.11
a
Solution
(i)	 First let us find  A B C^ h . To do so, consider
			 B C^ h	 = { , , , , }{ , , , }a e i o u c d e u = { , , }a i o .
	 Thus,		  A B C^ h	 = { , , , , }{ , , }a b c d e a i o = { , , , }b c d e .			 (1)
	 Next, we find  A B C^ h .
			 A B	 = { , , , , }{ , , , , }a b c d e a e i o u = { , , }b c d .
Hence, 	  A B C^ h = { , , }{ , , , }b c d c d e u = { }b .				 (2)
	 From (1) and (2) we see that  A B C^ h !  A B C^ h .
	 Thus, the set difference is not associative.
(ii)	 Using Venn diagram, we have
						 (1)					 (3)
						 (2)					 (4)
	 From (2) and (4), it is verified that  (  ) (  ) A B C A B C! .
	 The set difference is not associative. However, if the sets ,A B and C are mutually
disjoint, then   (  ) A B C A B C=^ h . This is very easy to prove; so let us prove it. Since B and
C are disjoint we have B C B= . Since ,A B are disjoint we have A B A= . Thus, we
have  (  )A B C A= . Again, A B A= and ,A C are disjoint and so we have  .A C A=
Hence, (  ) A B C A= . So we have   (  ) A B C A B C=^ h as desired. Thus, for sets
which are mutually disjoint, the set difference is associative.
i
o
b
c
d
b
c
d e
b
A
C
B A
C
B
A
C
B A
C
B
Remarks
10 10th Std. Mathematics
Example 1.5
	 Let {0,1,2,3,4}, {1, 2, 3,4,5,6} {2,4,6,7}A B Cand= = - = .
	 (i) Show that A B C, +^ h = A B A C, + ,^ ^h h. (ii) Verify using Venn diagram.
Solution	
(i)	 First, we find A B C, +^ h.
	 Consider	 B C+ 	 = {1, 2, 3, 4, 5, 6} {2, 4, 6, 7 } {4, 6}+- = ;
			 A B C, +^ h	 = {0,1, 2, 3, 4} {4, 6}, = { , , , , , }0 1 2 3 4 6 . 	 (1)
	 Next, consider	 A B, 	 = {0,1,2,3,4} {1, , 3,4,5,6}2, -
				 = { 2, 0,1, 2, 3, 4, 5, 6}- ,
			 A C, 	 = {0,1,2,3,4} {2,4,6,7}, = {0,1, 2, 3, 4, 6, 7}.
	 Thus,	 A B A C, + ,^ ^h h	= { 2, 0,1, 2, 3, 4, 5, 6} {0,1, 2, 3, 4, 6, 7}+-
				 = {0,1, 2, 3, 4, 6}. (2)
	 From (1) and (2) ,we get A B C, +^ h = A B A C, + ,^ ^h h.	
(ii)	 Using Venn diagram, we have
						 (1)						 (3)
						 (2)						 (4)
												 (5)
	 From (2) and (5) it is verified that ( ) ( ) ( )A B C A B A C, + , + ,=
A B A C, + ,^ ^h h
A C,
A B,B C+
A B C, +^ h
Fig. 1.12
4
6
1
3
4
62
0 –2
5
1
3
4
62
0 1
3
4
62
0
7
1
3
4
62
0
A
C
B A
C
B
A
C
B
A
C
B
A
C
B
Sets and Functions 11
Example 1.6
	 For { 3 4, }, { 5, }A x x x B x x xR N1 1; # ! ; != - = and
	 { 5, 3, 1,0,1,3}C = - - - , Show that A B C A B A C+ , + , +=^ ^ ^h h h.
Solution	 First note that the set A contains all the real numbers (not just integers) that are
greater than or equal to 3- and less than 4.
On the other hand the set B contains all the positive integers that are less than 5. So,
	 A= { 3 4, }x x x R1; # !- ; that is, A consists of all real
numbers from – 3 upto 4 but 4 is not included.
Also,		 B = { 5, } {1,2,3,4}x x x N1; ! = . Now, we find
			 B C, 	 = { , , , } { , , , , , }1 2 3 4 5 3 1 0 1 3, - - -
				 = { , , , , , , , }1 2 3 4 5 3 1 0- - - ; thus
			 A B C+ ,^ h	 = {1,2,3,4, 5, 3, 1,0}A + - - -
					= { , , , , , }3 1 0 1 2 3- - . 	 (1)
Next, to find A B A C+ , +^ ^h h, we consider
		 	 A B+ 	 = { 3 4, } {1,2,3,4}x x x R +1; # !- = { , , }1 2 3 ;
and 			 A C+ 	 = { , } { 5, 3, 1,0,1,3}x x x3 4 R +1; # !- - - -
				 = { , , , , }3 1 0 1 3- - .
Hence,		 A B A C+ , +^ ^h h	 = {1,2,3,} { 3, 1,0,1,3}, - -
				 = { , , , , , }3 1 0 1 2 3- - .				 (2)
Now (1) and (2) imply A B C+ ,^ h	= A B A C+ , +^ ^h h.
Exercise 1.1
	 1.	 If ,A B1 then show that A B B, = (use Venn diagram).
	 2.	 If ,A B1 then find A B+ and A B (use Venn diagram).
	 3.	 Let { , , }, { , , , } { , , , }P a b c Q g h x y R a e f sand= = = . Find the following:
		 (i) P R 		 (ii) Q R+ (iii) R P Q+^ h.
	 4.	 If {4,6,7,8,9}, {2,4,6} {1,2,3,4,5,6}A B Cand= = = , then find
		 (i) A B C, +^ h 	 (ii) A B C+ ,^ h (iii)  A C B^ h
	 5.	 Given { , , , , }, {1,3,5,7, 10}A a x y r s B= = - , verify the commutative property of set
union.
–3	 4
12 10th Std. Mathematics
	 6.	 Verify the commutative property of set intersection for
		 { , , , , 2, 3, 4, 7} {2, 5, 3, 2, , , , }A l m n o B m n o pand= = - .
	 7.	 For A	= { 4 }x x 2is a prime factor of; , { 5 12, }B x x x N1; # != and
C= { , , , }1 4 5 6 , verify A B C A B C, , , ,=^ ^h h .	
	 8.	 Given { , , , , }, { , , , , } { , , , }P a b c d e Q a e i o u R a c e gand= = = . Verify the associative
property of set intersection.
	 9.	 For {5,10,15, 20}; {6,10,12,18,24} {7,10,12,14,21,28}A B Cand= = = ,
		 verify whether    A B C A B C=^ ^h h . Justify your answer.
	10.	 Let { 5, 3, 2, 1}, { 2, 1,0}, { 6, 4, 2}A B Cand= - - - - = - - = - - - . Find
  (  ) A B C A B Cand^ h . What can we conclude about set difference operation?
	11.	 For { 3, 1, 0, 4,6,8,10}, { 1, 2, 3,4,5,6} { 1, 2,3,4,5,7},A B Cand= - - = - - = -
		 show that (i) A B C, +^ h= A B A C, + ,^ ^h h (ii) A B C+ ,^ h= A B A C+ , +^ ^h h
(iii) Verify (i) using Venn diagram (iv) Verify (ii) using Venn diagram.
1.5 	 De Morgan’s laws
	 De Morgan’s father (a British national) was in the service of East India Company,
India. Augustus De Morgan (1806-1871) was born in Madurai, Tamilnadu, India. His
family moved to England when he was seven months old. He had his education at Trinity
college, Cambridge, England. De Morgan’s laws relate the three basic set operations Union,
Intersection and Complementation.
De Morgan’s laws for set difference
For any three sets ,A B Cand , we have
	 (i)	 A B C,^ h =  A B A C+^ ^h h (ii) A B C+^ h =  A B A C,^ ^h h.
De Morgan’s laws for complementation
Let U be the universal set containing sets A and B. Then
	 (i)	 A B, l^ h 	 = A B+l l (ii) A B+ l^ h = A B,l l.
	 Observe that proof of the laws for complementation follows from that of the set
difference because for any set D, we have ' D U D= . Again we shall not attempt to prove
these; but we shall learn how to apply these laws in problem solving.
Example 1.7
	 Use Venn diagrams to verify A B A B+ ,=l l l^ h .
Sets and Functions 13
Solution
						 (1)					 (3)
					 	 (2)					 (4)
	
											 (5)
	 From (2) and (5) it follows that A B A B+ ,=l l l^ h .
Example 1.8
	 Use Venn diagrams to verify De Morgan’s law for set difference
  A B C A B A C+ ,=^ ^ ^h h h.
Solution
						 (1)					 (3)
						 (2)					 (4)
	
											 (5)
	 From (2) and (5) we have   A B C A B A C+ ,=^ ^ ^h h h.
B C+
A B
C
A B
C
A B
C
( )A B C+
A B
C
A B
A B
C
A C
(  ) (  )A B A C,
Fig. 1.14
A B+
A B
U
A B,l l
Al
U
Bl
U
B
( )A B+ l
U
Fig. 1.13
BA BA
BAA
U
BA
14 10th Std. Mathematics
Example 1.9
	 Let { 2, 1, 0,1, 2, 3, ,10}, { 2, 2,3,4,5}U Ag= - - = - and {1,3,5, ,9}B 8= .
	 Verify De Morgan’s laws of complementation.
Solution	 First we shall verify A B A B, +=l l l^ h . To do this we consider
			 A B, 	 = { , 2, 3, 4, 5} {1, 3, 5, , 9} { , , , , , , , }2 8 2 1 2 3 4 5 8 9,- = - ;
which implies 				
			 A B, l^ h 	 =  { 2,1, 2, 3, 4, 5, 8, 9} { 1, 0, 6,7,10}U - = - .		 (1)
Next, we find	 Al	 =  { 1, 0,1, 6,7,8,9,10}U A = -
			 Bl	 =  { 2, 1, 0, 2,4,6,7,10}U B = - - .
Thus, we have	 A B+l l	 = { 1, , , 6,7,8,9,10}0 1- +{ 2, 1, 0, 2,4,6,7,10}- -
				 = { , , , ,10}1 0 6 7- . 	 (2)
From (1) and (2) it follows that A B, l^ h = A B+l l.
	 Similarly, one can verify A B+ l^ h = A B,l l for the given sets above. We leave the
details as an exercise.
Example 1.10
	 Let A = { , , , , , , , , , }a b c d e f g x y z , B = { , , , , }c d e1 2 and C = { , , , , , }d e f g y2 .
	 Verify   A B C A B A C, +=^ ^ ^h h h.
Solution	 First, we find	 B C, 	 = { , , , , } { , , , , , }c d e d e f g y1 2 2,
		 = { , , , , , , , }c d e f g y1 2 .
Then 				  ( )A B C, 	 = { , , , , , , , , , }  {1, 2, , , , , , }a b c d e f g x y z c d e f g y
					 = { , , , }a b x z . 						 (1)
Next, we have 	 A B	 = { , , , , , , }a b f g x y z and  { , , , , }A C a b c x z=
and so 			 (  ) (  )A B A C+ 	 = { , , , }a b x z . 						 (2)
Hence, from (1) and (2) it follows that   A B C A B A C, +=^ ^ ^h h h.
Exercise 1.2
1.	 Represent the following using Venn diagrams
	 (i)	 {5,6,7,8,......13}, {5,8,10,11}, {5,6,7,9,10}U A Band= = =
	 (ii)	 { , , , , , , , }, { , , , }, { , , , , }U a b c d e f g h M b d f g N a b d e gand= = =
Sets and Functions 15
2.	 Write a description of each shaded area. Use symbols U, , , , ,A B C , +, l and  as
necessary.
		
		 (i)	 (ii)
		 (iii)	 (iv)
3.	 Draw Venn diagram of three sets ,A B Cand illustrating the following:
	 (i)	 A B C+ + 	 (ii)	 A Band are disjoint but both are subsets of C
	 (iii)	 A B C+^ h	 (iv)	 B C A,^ h 	 (v) A B C, +^ h	
	 (vi)	 C B A+^ h	 (vii)	 C B A+ ,^ h
4.	 Use Venn diagram to verify A B A B A+ , =^ ^h h .
5.	 Let U = { , , , , , , }4 8 12 16 20 24 28 , A = { , , }8 16 24 and B = { , , , }4 16 20 28 .	
Find 'A B A Band, + l^ ^h h .
6.	 Given that U	 = { , , , , , , , }a b c d e f g h , { , , , }, { , , },A a b f g B a b cand= = verify
	 De Morgan’s laws of complementation.
7.	 Verify De Morgan’s laws for set difference using the sets given below:
		 {1, 3, 5, 7, 9,11,13,15}, {1, 2, 5, 7} {3,9, , ,13}A B C 10 12and= = = .
8.	 Let A = {10,15, 20, 25, 30, 35, 40, 45, }50 , B = { , ,10,15, 20, 30}1 5
	 and C = { , ,15,2 ,35,45, }7 8 0 48 . Verify   A B C A B A C+ ,=^ ^ ^h h h.
9.	 Using Venn diagram, verify whether the following are true:
	 (i)	 A B C, +^ h = A B A C, + ,^ ^h h 	 (ii) A B C+ ,^ h = A B A C+ , +^ ^h h
	 (iii)	 A B, l^ h = A B+l l 	 (iv)		 A B C,^ h =  A B A C+^ ^h h
16 10th Std. Mathematics
1.6 Cardinality of sets
	 In class IX, we have learnt to solve problems involving two sets, using the formula
n A B n A n B n A B, += + -^ ^ ^ ^h h h h. This formula helps us in calculating the cardinality of
the set A B, when the cardinalities of ,A B and A B+ are known. Suppose we have three sets
,A B and C and we want to find the cardinality of A B C, , , what will be the corresponding
formula? The formula in this case is given by
n A B C, ,^ h= n A n B n C n A B n B C n A C n A B C+ + + + ++ + - - - +^ ^ ^ ^ ^ ^ ^h h h h h h h.
Following example illustrates the usage of the above formula.
Example 1.11
In a group of students, 65 play foot ball, 45 play hockey, 42 play cricket, 20 play foot
ball and hockey, 25 play foot ball and cricket, 15 play hockey and cricket and 8 play
all the three games. Find the number of students in the group.
(Assume that each student in the group plays atleast one game.)
Solution 	Let ,F H and C represent the set of students who play foot ball, hockey and 		
	 cricket 	respectively. Then 65, 45, 42n F n H n Cand= = =^ ^ ^h h h .
	 Also, 	 n F H 20+ =^ h , 25n F C+ =^ h , n H C 15+ =^ h and n F H C 8+ + =^ h .
	 We want to find the number of students in the whole group; that is n F H C, ,^ h.
	 By the formula, we have
		 n F H C, ,^ h	 = n F n H n C n F H++ + -^ ^ ^ ^h h h h
					 n H C n F C n F H C+ + + +- - +^ ^ ^h h h
			 = 65 45 42 20 25 15 8+ + - - - + = 100.
	 Hence, the number of students in the group = 100.
Alternate method
	 The same problem can also be solved using Venn diagram.
Nowadays, it is possible to solve some of the problems that we
come across in daily life using Venn diagrams and logic. The
Venn diagram will have three intersecting sets, each representing
a game. Look at the diagram and try to find the number of players
in the group by working carefully through the statements and fill
in as you go along.
	 Number of students in the group
		 = 28 + 12 + 18 + 7 + 10 + 17 + 8 = 100.
F H
C
8
25–8 15-8
42-(8+17+7)
= 10
= 7= 17
65–(12+8+17)
= 28
20–8
45-(12+8+7)
= 18=12
Fig. 1.15
Sets and Functions 17
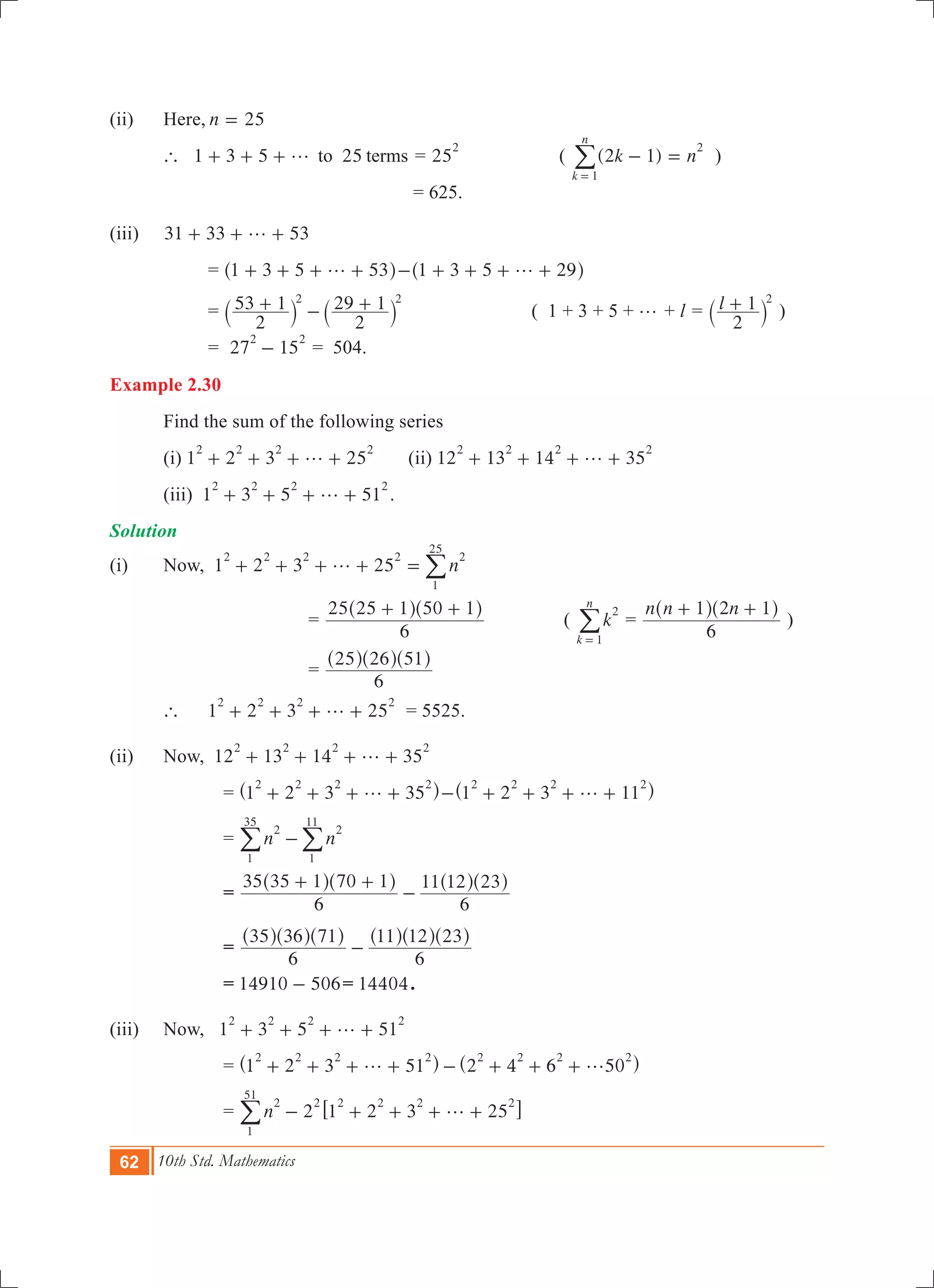
Example 1.12
	 In a survey of university students, 64 had taken mathematics course, 94 had taken
computer science course, 58 had taken physics course, 28 had taken mathematics and
physics, 26 had taken mathematics and computer science, 22 had taken computer science and
physics course, and 14 had taken all the three courses. Find the number of students who were
surveyed. Find how many had taken one course only.
Solution 	Let us represent the given data in a Venn diagram.
	 Let M, C, P represent sets of students who had taken mathematics, computer science
and physics respectively. The given details are filled in the Venn diagram
( )n M C P+ + = 14
( )n M C P+ + l = 26 – 14 = 12
( )n M P C+ + l = 28 – 14 = 14
( )n C P M+ + l = 22 – 14 = 8
Number of students surveyed
= 24 + 12 + 60 + 8 + 22 + 14 + 14 = 154
	 The number of students who had taken only mathematics = 64–(14+14+12) = 24
	 The number of students who had taken only computer science = 94 – (12+14+8) = 60
	 The number of students who had taken only physics 	= 58 – (14+14+8) = 22
	 The number of students who had taken one course only 	= 24+60+22 = 106.
Example 1.13
	 A radio station surveyed 190 students to determine the types of music they liked.
The survey revealed that 114 liked rock music, 50 liked folk music, and 41 liked classical
music, 14 liked rock music and folk music, 15 liked rock music and classical music, 11 liked
classical music and folk music. 5 liked all the three types of music.
Find	 (i) 	 how many did not like any of the 3 types?
	 (ii) 	 how many liked any two types only?
	 (iii)	 how many liked folk music but not rock music?
Solution	 Let R, F and C represent the sets of students
who liked rock music, folk music and classical music
respectively. Let us fill in the given details in the Venn
diagram. Thus, we have
	 ( )n R F C+ + l = 14 – 5 = 9
	 ( )n R C F+ + l = 15 – 5 = 10
	 ( )n F C R+ + l = 11 – 5 = 6.
50-(9+5+6)
= 30
11-5
41-(10+5+6)
= 20
F
C
= 6= 10
190U
20
114–(9+5+10)
= 90
14–5
5
15–5
R
= 9
Fig. 1.16
Fig. 1.17
18 10th Std. Mathematics
	 From the Venn diagram, the number of students who liked any one of the three types 	
	 of music equals 90 + 9 + 30 + 6 + 20 + 10 + 5 = 170.
	 Number of students surveyed = 190.
	 Number of students who did not like any of the three types = 190 170 20- = .
	 Number of students who liked any two types only	= 9 + 6 + 10 = 25.
	 Number of students who liked folk music but not rock music = 30 + 6 = 36.
Exercise 1.3
	 1.	 If Aand B are two sets and U is the universal set such that 700n U =^ h ,
200, 300 100n A n B n A B n A Band , find+ += = = l l^ ^ ^ ^h h h h.
	 2.	 Given 285, 195, 500, 410,n A n B n U n A B n A Bfind, ,= = = = l l^ ^ ^ ^ ^h h h h h.
	 3. 	 For any three sets A, B and C if n A 17=^ h 	 17, 17, 7n B n C n A B+= = =^ ^ ^h h h
		 ( ) , 5 2n B C n A C n A B C6 and+ + + += = =^ ^h h , find n A B C, ,^ h.
	 4. 	Verify 	 n A B C n A n B n C n A B, , += + + - -^ ^ ^ ^ ^h h h h h
				 n B C n A C n A B C+ + + +- +^ ^ ^h h h for the sets given below:
	 (i) 	 {4,5,6}, {5,6,7,8} {6,7,8,9}A B Cand= = =
		 (ii) 	 { , , , , }, { , , } { , , }A a b c d e B x y z C a e xand= = = .
	 5.	 Inacollege,60studentsenrolledinchemistry,40inphysics,30inbiology,15inchemistry
and physics, 10 in physics and biology, 5 in biology and chemistry. No one enrolled in
all the three. Find how many are enrolled in at least one of the subjects.
	 6.	 Inatown85%ofthepeoplespeakTamil,40%speakEnglishand20%speakHindi. Also,
32% speak English and Tamil, 13% speak Tamil and Hindi and 10% speak English and
Hindi, find the percentage of people who can speak all the three languages.
	 7.	 An advertising agency finds that, of its 170 clients, 115 use Television, 110 use Radio
and 130 use Magazines. Also, 85 use Television and Magazines, 75 use Television
and Radio, 95 use Radio and Magazines, 70 use all the three. Draw Venn diagram to
represent these data. Find
		 (i) 	 how many use only Radio?	 (ii) how many use only Television?
		 (iii) 	 how many use Television and magazine but not radio?
	 8.	 In a school of 4000 students, 2000 know French, 3000 know Tamil and 500 know Hindi,
1500 know French and Tamil, 300 know French and Hindi, 200 know Tamil and
Hindi and 50 know all the three languages.
	 (i)	 How many do not know any of the three languages?
	(ii)	 How many know at least one language?
	(iii)	 How many know only two languages?
Sets and Functions 19
Note
	 9.	 In a village of 120 families, 93 families use firewood for cooking, 63 families use
kerosene, 45 families use cooking gas, 45 families use firewood and kerosene, 24
families use kerosene and cooking gas, 27 families use cooking gas and firewood.
Find how many use firewood, kerosene and cooking gas.
1.7	 Relations
	 In the previous section, we have seen the concept of Set. We have also seen how to
create new sets from the given sets by taking union, intersection and complementation. Here
we shall see yet another way of creating a new set from the given two sets A and B. This new
set is important in defining other important concepts of mathematics “relation, function”.
	 Given two non empty sets A and B, we can form a new set A B# , read as‘A cross B’,
called the cartesian product of Awith B. It is defined as
	 A B# 	 = ,a b a A b Band; ! !^ h" ,.
Similarly, the set B cross A is defined as
B A# = ,b a b B a Aand; ! !^ h" ,.
(i) 	The order in the pair ( , )a b is important. That is, ( , ) ( , )a b b a! if a b! .
(ii) 	It is possible that the sets A and B are equal in the cartesian product A B# .
Let us look at an example.
	 Suppose that a cell phone store sells three different types of cell phones and we call
them C1
, C2
, C3
. Let us also suppose that the price of C1
is ` 1200, price of C2
is ` 2500 and
price of C3
is ` 2500.
	 We take A = { C1
, C2
, C3
} and B = { 1200, 2500 }.
In this case, A B# ={(C1
, 1200), (C1
, 2500), (C2
, 1200), (C2
, 2500), (C3
, 1200), (C3
,2500)}
but B A# = {(1200, C1
), (2500, C1
), (1200, C2
), (2500, C2
,),(1200, C3
), (2500, C3
).
	 It is easy to see that A B# ! B A# if A ! B.
Let us consider a subset F = {(C1
, 1200), (C2
, 2500), (C3
, 2500)} of A B# .
	 Every first component in the above ordered pairs is associated with a unique element.
That is no element in the first place is paired with more than one element in the second
place.
	 For every element in F, basically the second component indicates the price of the first
component. Next, consider a subset E= {(1200, C1
), (2500, C2
), (2500, C3
)} of B A# 	
	 Here, the first component 2500 is associated with two different elements C2
and C3
.
20 10th Std. Mathematics
Peter Dirichlet
(1805-1859)
Germany
Dirichlet made major contributions
in the fields of number theory,
analysis and mechanics.
In 1837 he introduced the modern
concept of a function with notation
y = f(x). He also formulated the
well known Pigeonhole principle.
Definition
Definition
	 Let A and B be any two non empty sets. A relation R from A to B is a non-empty
subset of A B# . That is, R A B#3 .
	 Domain of R = ,x A x y R y Bfor some! ; ! !^ h" ,
	 Range of R = ( , )y B x y R x Afor some! ; ! !" ,.
1.8	 Functions
	 Let A and B be any two non empty sets. A function
from A to B is a relation
f A B#3 such that the following hold:
(i)	 Domain of f is A.
(ii) 	For each x ! A, there is only one y B! such that
( , )x y f! .
	 Note that a function from A to B is a special kind of
relation that satisfies (i) and (ii). A function is also called as
a mapping or a transformation.
	 A function from A to B is denoted by :f A B" , and if
,x y f!^ h , then we write ( )y f x= .
	 We can reformulate the definition of a function without
using the idea of relation as follows: In fact, most of the
time this formulation is used as a working definition of a
function,
	 Let A and B be any two non empty sets. A function f from A to B is a rule
of correspondence that assigns each element x A! to a unique element y B! . We
denote ( )y f x= to mean y is a function of x.
	 The set A is called the domain of the function and set B is called the co-domain of
the function. Also, y is called the image of x under f and x is called a preimage of y. The
set of all images of elements of A under f is called the range of f . Note that the range of
a function is a subset of its co-domain.
	 This modern definition of a function, given above, was given by Nikolai Labachevsky
and Peter Dirichlet independently around 1837. Prior to this, there was no clear definition
of a function.
Sets and Functions 21
a
b
c
d
x
y
z
A B
Fig. 1.18
20
30
40
C D
2
4
3
Fig. 1.19
In the example we considered in section 1.7, prior to the above definitions, the set
	 F = {(C1
, 1200), (C2
, 2500), (C3
, 2500)} represents a function; because F A B#3 is
a relation satisfying conditions (i) and (ii) given above.
	 But E = {(1200, C1
), (2500, C2
), (2500, C3
)} does not represent a function, because
condition (ii) given above is not satisfied as (2500, ), (2500, )C C E2 3
! .
	 (i)	 A function f may be thought of as a machine which yields a unique output y for
every input value of x.
	
	 (ii)	 In defining a function we need a domain, co-domain and a rule that assigns each
element of the domain to a unique element in the co-domain.
Example 1.14
	 Let { , , , }A 1 2 3 4= and { , , , , , , , , , , }B 1 2 3 4 5 6 7 9 10 11 12= - .
	 Let R = {(1, 3), (2, 6), (3, 10), (4, 9)} A B#3 be a relation. Show that R is a function
and find its domain, co-domain and the range of R.
Solution	 The domain of R = {1, 2, 3, 4}= A.
	 Also, for each x A! there is only one y B! such that ( )y R x= .
	 So, given R is a function. The co-domain is obviously B. Since
	 ( ) , ( ) , ( )R R R1 3 2 6 3 10= = = and ( )R 4 9= , the range of R is given by { , , , }3 6 10 9 .
Example 1.15
	 Does each of the following arrow diagrams represent a function? Explain.
	 (i)						 (ii)
Solution	 In arrow diagram (i), every element in A has a unique image. Hence it is a function.
In arrow diagram (ii), the element 2 in C has two images namely 20 and 40. Hence, it is not
a function.
Example 1.16
	 Let X = { 1, 2, 3, 4 }. Examine whether each of the relations given below is a function
from X to X or not. Explain.
	 (i) f = { (2, 3), (1, 4), (2, 1), (3, 2), (4, 4) }
	 (ii) g = { (3, 1), (4, 2), (2, 1) }	 (iii) h = { (2, 1), (3, 4), (1, 4), (4, 3) }
( )f x x2
=
Remarks
22 10th Std. Mathematics
Solution	
(i) 	 Now, f = { (2, 3), (1, 4), (2, 1), (3, 2), (4, 4) }
	 f is not a function because 2 is associated with two different elements 3 and 1.
(ii)	 The relation g = { (3, 1), (4, 2), (2, 1)} is not a function because the element 1 does
not have a image. That is, domain of {2, 3, 4}g X!= .
(iii) 	 Next, we consider h = { (2, 1), (3, 4), (1, 4), (4, 3) }.
	 Each element in X is associated with a unique element in X.
	 Thus, h is a function.
Example 1.17
	 Which of the following relations are functions from A = { 1, 4, 9, 16 } to
	 B = { –1, 2, –3, –4, 5, 6 }? In case of a function, write down its range.
	 (i)	 f1
	 = { (1, –1), (4, 2), (9, –3), (16, –4) }
	 (ii)	 f2
	 = { (1, –4), (1, –1), (9, –3), (16, 2) }
	 (iii)	 f3
	 = { (4, 2), (1, 2), (9, 2), (16, 2) }
	 (iv)	 f4
	 = { (1, 2), (4, 5), (9, –4), (16, 5) }
Solution	 (i) We have f1
= { (1, –1), (4, 2), (9, – 3), (16,– 4) }.
	 Each element in A is associated with a unique element in B.
	 Thus, f1
is a function.
Range of f1
is { , , , }1 2 3 4- - - .
(ii) 	 Here, we have f2
= { (1, – 4), (1, –1), (9, – 3), (16, 2) }.
f2
is not a function because 1 is associated with two different image elements
4- and 1- . Also, note that f2
is not a function since 4 has no image.
(iii)	 Consider f3
= { (4, 2), (1, 2), (9, 2), (16, 2) }.
	 Each element in A is associated with a unique element in B.
	 Thus, f3
is a function.
	 Range of f3
= { 2 }.
(iv) 	 We have f4
= { (1, 2), (4, 5), (9, – 4), (16, 5) }.
	 Each element in A is associated with a unique element in B.
	 Hence, f4
is a function.
	 Range of f4
= { 2, 5, – 4}.
Sets and Functions 23
Fig. 1.20
x
y
O
xl
| |y x=
yl
Remarks
Example 1.18	
	 Let ifx x x
x x
0
0if 1
$
=
-
' , where .x Rd Does the relation
{ ( ,x y) | y = |x|, x R! } define a function? Find its range.
Solution	 For every value of x, there exists a unique value y = |x|.
Therefore, the given relation defines a function.
The domain of the function is the set R of all real numbers.
Since | |x is always either zero or positive for every real number ,x
and every positive real number can be obtained as an image under
this function, the range will be the set of non-negative real numbers
(either positive or zero).
	 The function y = ifx x x
x x
0
0if 1
$
=
-
' , where x Rd , is known as
	 modulus or absolute value function.
	 Thus, for example, 8 8.8 8 8and also- =- - = =^ h
1.8.1 	Representation of functions
	 A function may be represented by
	 (i) a set of ordered pairs, (ii) a table, (iii) an arrow diagram, (iv) a graph
	 Let :f A B" be a function.
(i) 	 The set ( , ) : ( ),f x y y f x x Ad= =" ,of all ordered pairs represents the function.
(ii) 	 The values of x and the values of their respective images under f can be given in the
form of a table.
(iii) 	 An arrow diagram indicates the elements of the domain of f and their respective
images by means of arrows.
(iv)	 The ordered pairs in the collection ( , ) : ( ),f x y y f x x Ad= =" , are plotted as points
in the x-y plane. The graph of f is the totality of all such points.
Let us illustrate the representation of functions in different forms through some examples.
	 For many functions we can obtain its graph. But not every graph will represent a
function. Following test helps us in determining if the given graph is a function or not.
1.8.2 Vertical line test
	 A graph represents a function only if every vertical line intersects the graph in at most
one point.
	 It is possible that some vertical lines may not intersect the graph, which is
alright. If there is even one vertical line that meets the graph in more than one point, then that
graph cannot represent a function, because in this case, we shall have at least two y-values
for the same x-value. For example, the graph of y2
= x is not a function.
Note
24 10th Std. Mathematics
1 2 3 4 50-1
1
2
3
-2
x
y
P
Q
Example 1.19
	 Use the vertical line test to determine which of the following graphs represent a
function.
	 (i)							 (ii)
	 (iii)							 (iv)
Solution
(i) 	 The given graph does not represent a function as a vertical line cuts the graph at two
points Pand Q.
(ii) 	 The given graph represents a function as any vertical line will intersect the graph at
most one point P.
(iii) 	 The given graph does not represent a function as a vertical line cuts the graph at two
points A and B.
(iv)	 The given graph represents a function as the graph satisfies the vertical line test.
Example 1.20
	 Let A= { 0, 1, 2, 3 } and B = { 1, 3, 5, 7, 9 } be two sets. Let :f A B" be a function
given by ( )f x x2 1= + . Represent this function as (i) a set of ordered pairs (ii) a table
(iii) an arrow diagram and (iv) a graph.
Solution A = { 0, 1, 2, 3 }, B = { 1, 3, 5, 7, 9 }, ( )f x x2 1= +
	 f (0) = 2(0) + 1 = 1, f (1) = 2(1)+1 = 3 , f (2) = 2(2) + 1 = 5, f (3) = 2(3) + 1 = 7
1 2 3 4 50-1
1
2
3
-2
x
y
A
B
-3
1 2 3
0
-1
1
2
3
-2
x
y
A
-1
-2
yl
yl
yl
yl
xl
xl
xl
xl
Fig. 1.21 Fig. 1.22
Fig. 1.23 Fig. 1.24
x
y
0
P
Sets and Functions 25
(i)	 Set of ordered pairs	
	 The given function f can be represented as a set of ordered pairs as
		 f = { (0, 1), (1, 3), (2, 5), (3, 7) }
(ii)	 Table form
	 Let us represent f using a table as shown below.
x 0 1 2 3
( )f x 1 3 5 7
(iii)	 Arrow Diagram
	 Let us represent f by an arrow diagram.
	 We draw two closed curves to represent the sets A and B.
	 Here each element of A and its unique image element in B are
related with an arrow.
(iv)	 Graph
	 We are given that
	 , ( ) {(0,1), (1, 3), (2, 5), (3, 7)}f x f x x A; != =^ h" , .
	 Now, the points (0, 1), (1, 3), (2, 5) and (3, 7) are
	 plotted on the plane as shown below.
	 The totality of all points represent the graph of
	 the function.
1.8.3	 Types of functions
	 Based on some properties of a function, we divide functions into certain types.
(i)	 One-One function
	 Let :f A B" be a function. The function f is called an
one-one function if it takes different elements of A into different
elements of B. That is, we say f is one-one if u v! in A always
imply ( ) ( )f u f v! . In other words f is one-one if no element in B is
associated with more than one element in A.
	 A one-one function is also called an injective function. The above figure represents a
one-one function.
0
1
2
3
A B
1
3
5
7
9
f A B: ®
Fig. 1.25
Fig. 1.26
f
5
6
7
8
7
9
10
8
4
A B
Fig. 1.27
1 2 3 4 5 6
1
2
3
4
5
6
7
8
x
y
(3, 7)
(2, 5)
(1, 3)
(0, 1)
0
26 10th Std. Mathematics
a
b
c
d
x
y
z
A Bf
x
y
O
y
x=
Fig. 1.28
10
20
30
40
15
25
35
45
A B
Fig. 1.29
x
y
u
v
1
3
5
7
8
10
15
A Bf
Fig. 1.30
Fig. 1.31
Note
(ii)	 Onto function
	 A function :f A B" is said to be an onto function if every
element in B has a pre-image in A. That is, a function f is onto if for
each b B! , there is atleast one element a A! , such that f a b=^ h . This
is same as saying that B is the range of f . An onto function is also called
a surjective function. In the above figure, f is an onto function.
(iii)	 One-One and onto function
	 A function :f A B" is called a one-one and onto or a bijective
function if f is both a one-one and an onto function. Thus :f A B" is
one-one and onto if f maps distinct elements of A into distinct images
in B and every element in B is an image of some element in A.
	 (i)	 Afunction :f A B" is onto if and only if B = range of f .
	 (ii)	 :f A B" is one-one and onto, if and only if f a f a1 2
=^ ^h h implies a a1 2
= in A
and every element in B has exactly one pre-image in A.
(iii)	 If :f A B" is a bijective function and if A and B are finite sets, then the cardinalities
of A and B are same. In Fig.1.29, the function f is one - one and onto.
(iv) If :f A B" is a bijective function, then A and B are equivalent sets
	 (v)	 A one-one and onto function is also called a one-one correspondence.
(iv)	 Constant function
	 A function :f A B" is said to be a constant function if every 	 	
element of A has the same image in B.
	 Range of a constant function is a singleton set.
	 Let A = { , , , ,1x y u v }, B = { 3, 5, 7, 8, 10, 15}.
	 The function :f A B" defined by ( )f x 5= for every x A! is a constant function.
	 The given figure represents a constant function.
(v)	 Identity function
	 Let A be a non-empty set.Afunction :f A A" is called an identity
function of A if ( )f a a= for all a A! . That is, an identity function maps
each element of A into itself.
	 For example, let A R= . The function :f R R$ be defined by
( )f x x= for all x R! is the identity function on R. Fig.1.31 represents
the graph of the identity function on R.
f
Sets and Functions 27
Remarks
Example 1.21
	 Let A = { 1, 2, 3, 4, 5 }, B = N and :f A B" be defined by ( )f x x
2
= .
Find the range of f . Identify the type of function.
Solution	 Now, A = { 1, 2, 3, 4, 5 }; B = { 1, 2, 3, 4, g }
	 Given	 :f A B" and ( )f x x
2
=
	 (1)f` = 12
= 1 ; ( )f 2 = 4 ;	 ( )f 3 = 9 ;	 ( )f 4 = 16 ;	 ( )f 5 = 25.
	 Range of f = { 1, 4, 9, 16, 25}
	 Since distinct elements are mapped into distinct images, it is a one-one function.
	 However, the function is not onto, since B3 ! but there is no x A! such that 		
			 ( ) 3.f x x
2
= =
	 However, a function :g R R$ defined by ( )g x x
2
= is not one-one because, if
u 1= and v 1=- then u v! but ( ) ( ) ( ) ( )g u g g g v1 1 1= = = - = . So, just formula
alone does not make a function one-one or onto. We need to consider the rule, its
domain and co-domain in deciding one-to-one and onto.
Example 1.22
	 A function : [1, 6)f R$ is defined as follows
	
,
,
,
f x
x x
x x
x x
1 1 2
2 1 2 4
3 10 4 62
1
1
1
#
#
#
=
+
-
-
^ h * 		 ( Here, [1 , 6) = { x Re : 1# x 1 6} )
	 Find the value of 	 (i) ( )f 5 		 (ii) f 3^ h		 (iii) f 1^ h
			 (iv) f f2 4-^ ^h h	 (v) 2 3f f5 1-^ ^h h
Solution	
(i)	 Let us find ( )f 5 . Since 5 lies between 4 and 6, we have to use ( ) 3 10f x x
2
= - .
	 Thus , (5) 3(5 ) 10 65.f
2
= - = 	
(ii)	 To find ( )f 3 , note that 3 lies between 2 and 4.
	 So, we use ( )f x = x2 1- to calculate ( ).f 3
	 Thus, 	 (3) ( ) .f 2 3 1 5= - =
(iii) 	 Let us find ( )f 1 .
	 Now, 1 is in the interval x1 21#
	 Thus, we have to use ( )f x = 1 + x to obtain ( ) .f 1 1 1 2= + =
28 10th Std. Mathematics
(iv) 	 ( ) ( )f f2 4-
	 Now, 2 is in the interval x2 41# and so, we use ( )f x = x2 1- .
	 Thus, 	 (2) ( )f 2 2 1 3= - = .			
	 Also, 4 is in the interval x4 61# . Thus, we use ( )f x = 3 10x
2
- .
	 Therefore, (4) 3(4 ) 10 3(16) 10 48 10f 38
2
= - = - = - = .
	 Hence,	 f(2) – f(4) = 3 – 38 = – 35.
(v) 	 To calculate 2 3f f5 1-^ ^h h, we shall make use of the values that we have already
calculated in (i) and (iii). Thus, 2 3f f5 1-^ ^h h ( ) ( ) .2 65 3 2 130 6 124= - = - =
Exercise 1.4
1.	 State whether each of the following arrow diagrams define a function or not. Justify
your answer.
	 (i)					 (ii)
2.	 For the given function F= { (1, 3), (2, 5), (4, 7), (5, 9), (3, 1) }, write the domain and
range.
3.	 Let A = { 10, 11, 12, 13, 14 }; B = { 0, 1, 2, 3, 5 } and :f A Bi " , i = 1,2,3.
State the type of function for the following (give reason):
	 (i)	 f1
= { (10, 1), (11, 2), (12, 3), (13, 5), (14, 3) }
	 (ii)	 f2
= { (10, 1), (11, 1), (12, 1), (13, 1), (14, 1) }
	 (iii)	 f3
= { (10, 0), (11, 1), (12, 2), (13, 3), (14, 5) }
4.	 If X = { 1, 2, 3, 4, 5 }, Y = { 1, 3, 5, 7, 9 } determine which of the following relations
from X to Y are functions? Give reason for your answer. If it is a function, state its
type.
	 (i) R1
= { ,x y^ h|y x 2= + , x X! , y Y! }
	 (ii) R2
= { (1, 1), (2, 1), (3, 3), (4, 3), (5, 5) }
	 (iii) R3
= { (1, 1), (1, 3), (3, 5), (3, 7), (5, 7) }
	 (iv) R4
= { (1, 3), (2, 5), (4, 7), (5, 9), (3, 1) }
5.	 If R {( , 2), ( 5, ), (8, ), ( , 1)}a b c d= - - - represents the identity function, find the
values of , ,a b c and d.
a
b
c
d
x
y
z
P Q
f
–3
–2
–1
1
1
2
3
L Mf
m
Sets and Functions 29
6.	 A = { –2, –1, 1, 2 } and , :f x
x
x A1 != ` j$ .. Write down the range of f . Is f a
function from A to A ?
7.	 Let f = { (2, 7), (3, 4), (7, 9), (–1, 6), (0, 2), (5, 3) } be a function from
A = { –1, 0, 2, 3, 5, 7 } to B = { 2, 3, 4, 6, 7, 9 }. Is this (i) an one-one function
(ii) an onto function (iii) both one-one and onto function?
8.	 Write the pre-images of 2 and 3 in the function
	 f = { (12, 2), (13, 3), (15, 3), (14, 2), (17, 17) }.
9.	 The following table represents a function from A= { 5, 6, 8, 10 } to
B = { 19, 15, 9, 11 } where f x^ h = x2 1- . Find the values of a and b.
x 5 6 8 10
f(x) a 11 b 19
10.	 Let A= { 5, 6, 7, 8 }; B = { –11, 4, 7, –10,–7, –9,–13 } and
	 f = {( ,x y) : y = x3 2- , x A! , y B! }
	 (i)	 Write down the elements of f .		 (ii) What is the co-domain?
	 (iii)	 What is the range ?			 (iv) Identify the type of function.
11.	 State whether the following graphs represent a function. Give reason for your answer.
	 (i)				 (ii)			 (iii)
	 (iv)						 (v)
x
y
O
x
y
O
x
y
O
x
y
O
x
y
O
30 10th Std. Mathematics
12.	 Represent the function f = { (–1, 2), (– 3, 1), (–5, 6), (– 4, 3) } as
	 (i) a table	 (ii) an arrow diagram
13.	 Let A = { 6, 9, 15, 18, 21 }; B = { 1, 2, 4, 5, 6 } and :f A B" be defined by
	 f x^ h = x
3
3- . Represent f by	
	 (i) an arrow diagram	 (ii) a set of ordered pairs		
	 (iii) a table 		 (iv) a graph .
14.	 Let A = {4, 6, 8, 10 } and B = { 3, 4, 5, 6, 7 }. If :f A B" is defined by f x x
2
1 1= +^ h
then represent f by (i) an arrow diagram (ii) a set of ordered pairs and (iii) a table.
15. A function f : ,3 7- h6 " R is defined as follows
	 f x^ h =
;
;
;
x x
x x
x x
4 1 3 2
3 2 2 4
2 3 4 7
2
1
1 1
#
# #
- -
-
-
* .
	 Find		 (i) f f5 6+^ ^h h	 (ii)	 f f1 3- -^ ^h h
			 (iii) f f2 4- -^ ^h h	 	(iv)	
( ) ( )
( ) ( )
f f
f f
2 6 1
3 1
-
+ -
.
16.	 A function f : ,7 6- h6 " R is defined as follows
	 ( )f x =
;
;
; .
x x x
x x
x x
2 1 7 5
5 5 2
1 2 6
2
1
1 1
#
# #
+ + - -
+ -
-
*
	 Find		 (i) ( ) ( )f f2 4 3 2- + 	 (ii) ( ) ( )f f7 3- - - (iii)
( ) ( )
( ) ( )
f f
f f
6 3 1
4 3 2 4
- -
- +
.
Exercise 1.5
Choose the correct answer
1.	 For two sets A and B, A B, = A if and only if
	 (A) B A3 	 (B) A B3 	 (C) A B! 	 (D) A B+ z=
2.	 If A B1 , then A B+ is
	 (A) B 	 (B) A B	 (C) A	 (D) B A
3.	 For any two sets Pand Q, P Q+ is
	 (A) :x x P x Qor! !" ,	 (B) :x x P x Qand b!" ,
	 (C) :x x P x Qand! !" ,	 (D) :x x P x Qandb !" ,
Sets and Functions 31
4.	 If A= { p, q, r, s }, B = { r, s, t, u }, then A B is
	 (A) { p, q }	 (B) { t, u }	 (C) { r, s }	 (D)	 {p, q, r, s }
5.	 If ( )n p A6 @ = 64, then n A^ h is
	 (A) 6	 (B) 8	 (C) 4	 (D) 5
6.	 For any three sets A, B and C, A B C+ ,^ h is
	 (A) A B B C, , +^ ^h h	 (B) A B A C+ , +^ ^h h
	 (C) ( )A B C, + 		 (D) A B B C, + ,^ ^h h
7.	 For any two sets A Band , {(  ) (  )} ( )A B B A A B, + + is
	 (A) z	 (B) A B, 	 (C) A B+ 	 (D) A B+l l
8.	 Which one of the following is not true ?
	 (A) A B = A B+ l	 (B) A B A B+= 	
	 (C)  ( )A B A B B, += l	 (D)  ( ) A B A B B,=
9.	 For any three sets ,A B and C, B A C,^ h is
	 (A)  A B A C+^ ^h h	 (B)  B A B C+^ ^h h
	 (C)  B A A C+^ ^h h	 (D)  A B B C+^ ^h h
10.	 If n(A) = 20 , n(B) = 30 and ( )n A B, = 40, then ( )n A B+ is equal to
	 (A) 50	 (B) 10	 (C) 40	 (D) 70.
11.	 If { (x, 2), (4, y) } represents an identity function, then ( , )x y is
	 (A) (2, 4)	 (B) (4, 2)	 (C) (2, 2)	 (D) (4, 4)
12.	 If { (7, 11), (5, a) } represents a constant function, then the value of ‘a’ is
	 (A) 7	 (B) 11	 (C) 5	 (D) 9
13.	 Given ( )f x = 1 x
-^ h is a function from N to Z. Then the range of f is
	 (A) { 1} 	 (B) N	 (C) { 1, – 1 }	 (D) Z
14.	 If f = { (6, 3), (8, 9), (5, 3), (–1, 6) }, then the pre-images of 3 are
	 (A) 5 and –1	 (B) 6 and 8	 (C) 8 and –1	 (D) 6 and 5.
15.	 Let A = { 1, 3, 4, 7, 11 }, B = {–1, 1, 2, 5, 7, 9 } and :f A B" be given by
	 f = { (1, –1), (3, 2), (4, 1), (7, 5), (11, 9) }. Then f is
	 (A) one-one	 (B) onto	 (C) bijective 	 (D) not a function
32 10th Std. Mathematics
4
2
16
25
2
4
5
C D
f
16.	
	 		 The given diagram represents
	 (A) an onto function	 (B) a constant function
	 (C) an one-one function	 (D) not a function
17.	 If A = { 5, 6, 7 }, B = { 1, 2, 3, 4, 5 }and :f A B" is defined by ( )f x x 2= - , then
the range of f is
	 (A) { 1, 4, 5 } 	 (B) { 1, 2, 3, 4, 5 }	 (C) { 2, 3, 4 } 	 (D) { 3, 4, 5 }
18.	 If ( )f x x 52
= + , then ( )f 4- =
	 (a) 26	 (b) 21	 (c) 20	 (d) –20
19.	 If the range of a function is a singleton set, then it is
	 (A) a constant function	 (B) an identity function	
	 (C) a bijective function	 (D) an one-one function
20.	 If :f A B" is a bijective function and if n(A) = 5 , then n(B) is equal to
	 (A) 10	 (B) 4	 (C) 5	 (D) 25
Sets
q	 A set is a collection of well defined objects.
	 	 Set union is commutative and associative.
	  	Set intersection is commutative and associative.
	  	Set difference is not commutative.
	  	Set difference is associative only when the sets are mutually disjoint.
q	 Distributive Laws 	  A B C A B A C, + , + ,=^ ^ ^h h h				
					  A B C A B A C+ , + , +=^ ^ ^h h h
q	 De Morgan’s Laws for set difference
	  A B C,^ h =  A B A C+^ ^h h 	  A B C+^ h =  A B A C,^ ^h h
q	 De Morgan’s Laws for complementation.
	  ' ' 'A B A B, +=^ h  ' ' 'A B A B+ ,=^ h
q 	 Formulae for the cardinality of union of sets
	  ( ) ( ) ( ) ( )n A B n A n B n A B, += + -
 n A B C, ,^ h 					
			 = n A n B n C n A B n B C n A C n A B C+ + + + ++ + - - - +^ ^ ^ ^ ^ ^ ^h h h h h h h.
Sets and Functions 33
FUNCTIONS
q	 The cartesian product of Awith B is defined as
	 A B# = ,a b a A b Band; ! !^ h" ,.
q	 A relation R from A to B is a non-empty subset of A B# . That is, R A B#3 .
q	 A function :f X Y" is defined if the following condition hold:
	 Every x X! is associated with only one y Y! .
q	 Every function can be represented by a graph. However, the converse is not true in
general.
q	 If every vertical line intersects a graph in at most one point, then the graph represents
a function.
q	 A function can be described by
	  a set of ordered pairs  an arrow diagram  a table and  a graph.
q	 The modulus or absolute value function y = |x| is defined by
					 ifx x x
x x
0
0if 1
$
=
-
'
q	 Some types of functions:
	  One-One function	 	 ( distinct elements have distinct images)
	 (injective function)
	 Onto function 	 (the range and the co-domain are equal )
	 (surjective function)
	 Bijective function 	 (both one-one and onto)
	  Constant function		 (range is a singleton set)
	  Identity function		 (which leaves each input as it is)
Do you know?
The Millennium Prize problems are seven problems in Mathematics that were
stated by the Clay Mathematics Institute in USAin 2000.As ofAugust 2010, six of the
problems remain unsolved. A correct solution to any of the problems results in a US
$1000,000 being awarded by the institute. Only Poincare conjecture has been solved
by a Russian Mathematician Girigori Perelman in 2010. However, he declined the
Millinnium Prize award. (Here, the word conjecture means a mathematical problem
is to be proved or disproved)
34 10th Std. Mathematics
22
Leonardo Pisano
(Fibonacci)
(1170-1250)
Italy
	 Fibonacci played an
important role in reviving ancient
mathematics. His name is
known to modern mathematicians
mainly because of a number
sequence named after him, known
as the ‘Fibonacci numbers’,
which he did not discover but used
as an example.
	Introduction
	Sequences
	Arithmetic Progression (A.P.)
	Geometric Progression (G.P.)
	Series
SEQUENCES AND SERIES
OF REAL NUMBERS
SEQUENCES AND SERIES
OF REAL NUMBERS
2.1 	 Introduction
	 Inthischapter,weshalllearnaboutsequencesandseries
of real numbers. Sequences are fundamental mathematical
objects with a long history in mathematics. They are tools
for the development of other concepts as well as tools for
mathematization of real life situations.
	 Let us recall that the letters N and R denote the set
of all positive integers and real numbers respectively.
Let us consider the following real-life situations.
(i)	 A team of ISRO scientists observes and records the
height of a satellite from the sea level at regular
intervals over a period of time.
(ii)	 The Railway Ministry wants to find out the number of
people using Central railway station in Chennai on a daily
basis and so it records the number of people entering the
Central Railway station daily for 180 days.
(iii)	 A curious 9th standard student is interested in finding
out all the digits that appear in the decimal part of
the irrational number 5 = 2.236067978g and writes
down as
	 2, 3, 6, 0, 6, 7, 9, 7, 8, g .
(iv)	 A student interested in finding all positive fractions
with numerator 1, writes 1, , , , ,
2
1
3
1
4
1
5
1 g .
(v)	 A mathematics teacher writes down the marks of her
class according to alphabetical order of the students’
names as 75, 95, 67, 35, 58, 47, 100, 89, 85, 60..
Mathematics is the Queen of Sciences, and arithmetic
is the Queen of Mathematics - C.F.Gauss
34
Sequences and series of real numbers 35
Definition
(vi)	 The same teacher writes down the same data in an ascending order as
35, 47, 58, 60, 67, 75, 85, 89, 95, 100.
	 In each of the above examples, some sets of real numbers have been listed in a specific  
order.
	 Note that in (iii) and (iv) the arrangements have infinite number of terms. In (i), (ii),
(v) and (vi) there are only finite number of terms; but in (v) and (vi) the same set of numbers
are written in different order.
2.2 Sequences
A sequence of real numbers is an arrangement or a list of real numbers in a specific order.
(i) 	 If a sequence has only finite number of terms, then it is called a finite sequence.
(ii) 	If a sequence has infinitely many terms,  then it is called an infinite sequence.
	 We denote a finite sequence as : , , , ,S a a a an1 2 3 g or { }S aj j
n
1
= =
and  an infinite sequence
as : , , , , , { }S a a a a S aorn j j1 2 3 1
g g =
3
=
where ak
denotes the kth
term of the sequence. For
example, a1
denotes the first term and a7
denotes the seventh term in the sequence.
	 Note that in the above examples, (i), (ii), (v) and (vi) are finite sequences, whereas
(iii) and (iv) are infinite sequences
	 Observe that, when we say that a collection of numbers is listed in a sequence, we
mean that the sequence has an identified first member, second member, third member and so
on. We have already seen some examples of sequences. Let us consider some more examples
below.
	 (i)	 2, 4, 6, 8, g, 2010.	 	   (finite number of terms)	
(ii)	 1, -1, 1, -1, 1, -1, 1, g . (terms just keep oscillating between 1 and -1)
(iii) , , , , .r r r r r 	          (terms are same; such sequences are constant sequences)
(iv)	 2, 3, 5, 7, 11, 13, 17, 19, 23, g . (list of all prime numbers)
(v)	 0.3, 0.33, 0.333, 0.3333, 0.33333, g . (infinite number of terms)	
	 (vi)	 S an 1
= 3
" , where an = 1 or 0 according to the outcome head or tail in the nth
toss
of a coin.
	 From the above examples, (i) and (iii) are finite sequences and the other sequences
are infinite sequences. One can easily see that some of them, i.e., (i) to (v) have a definite
pattern or rule in the listing and hence we can  find  out any term in a particular position in
36 10th Std. Mathematics
Remarks
the sequence. But in (vi), we cannot predict what a particular term is, however, we know it
must be either 1 or 0. Here, we have used the word ‘‘pattern’’ to mean that the nth
term of
a sequence is found based on the knowledge of its preceding elements in the sequence. In
general, sequences can be viewed as functions.
2.2.1 Sequences viewed as functions
	 A finite real sequence , , , ,a a a an1 2 3 g or { }S aj j
n
1
= =
can be viewed as a function
: {1,2,3,4, , }f n R"g defined by , 1,2,3, , .f k a k nk
g= =^ h
	 An infinite real sequence , , , , , { }a a a a S aorn j j1 2 3 1
g g =
3
=
can be viewed as a
function :g N R" defined by ,g k a k Nk
6 !=^ h .
	 The symbol 6 means “for all”. If the general term ak
of a sequence ak 1
3
" , is given,
we can construct the whole sequence. Thus, a sequence is a function whose domain is the
set{ 1, 2, 3, g, }of natural numbers, or some subset of the natural numbers and whose
range is a subset of real numbers.
	 A function is not necessarily a sequence. For example, the function :f R R$
given by ( ) ,f x x x2 1 R6 != + is not a sequence since the required listing is not
possible. Also, note that the domain of f is not N or a subset { , , , }n1 2 g of N.
Example 2.1
	 Write the first three terms in a sequence whose th
term is given by
			 c
n n n
6
1 2 1
n
=
+ +^ ^h h
, n N6 !
Solution	 Here, 		 c
n n n
6
1 2 1
n
=
+ +^ ^h h
, n N6 !
		 For	 ,n 1= 	 c1
	=
6
1 1 1 2 1 1+ +^ ^^h h h
= 1.
		 For 	 ,n 2= c2
	=
6
2 2 1 4 1+ +^ ^h h
=
6
2 3 5^ ^h h
= 5.
		 Finally 	 ,n 3= c3
=
6
3 3 1 7+^ ^h h
=
6
3 4 7^ ^ ^h h h
= 14.
	 Hence, the first three terms of the sequence are 1, 5, and 14.
	 In the above example, we were given a formula for the general term and were able
to find any particular term directly. In the following example, we shall see another way of
generating a sequence.
Example 2.2
	 Write the first five terms of each of the following sequences.
	 (i)	 1,a1
=- 	 , 1a
n
a
n
2n
n 1
2=
+
-
and n N6 !
	 (ii)	 1F F1 2
= = and , 3,4, .F F F nn n n1 2
g= + =- -
Sequences and series of real numbers 37
Remarks
Solution
(i) 	 Given 1a1 =- and	 , 1a
n
a
n
2
1
n
n 2=
+
-
	 		 	 a2
=
a
2 2
1
+
=
4
1-
		 			 a3
=
a
3 2 5
4
1
20
12
+
=
-
=-
		 			 a4
=
a
4 2 6
20
1
120
13
+
=
-
=-
		 			 a5
=
a
5 2 7
120
1
840
14
+
=
-
=-
	 ` The required terms of the sequence are 1, , ,
4
1
20
1
120
1- - - - and
840
1- .
(ii) 	 Given that 1F F1 2
= = and , 3,4,5,F F F nforn n n1 2
g= + =- -
.
	 Now,	 1, 1F F1 2
= =
	 	 1 1 2F F F3 2 1
= + = + =
		 2 1 3F F F4 3 2
= + = + = 		
		 3 2 5F F F5 4 3
= + = + =
	 ` 	 The first five terms of the sequence are 1,  1,  2,  3,  5.
	 The sequence given by 1F F1 2
= = and ,F F Fn n n1 2
= +- -
3,4,n g= is called the Fibonacci sequence. Its terms are listed
as 1, 1, 2, 3, 5, 8, 13, 21, 34, g. The Fibonacci sequence occurs in
nature, like the arrangement of seeds in a sunflower. The number
of spirals in the opposite directions of the seeds in a sunflower
are consecutive numbers of the Fibonacci sequence.
Exercise 2.1
1. 	 Write the first three terms of the following sequences whose nth
terms are given by
	 (i) a
n n
3
2
n
=
-^ h
	 (ii) 3c 1n
n n 2
= -
+
^ h 	 (iii) z
n n
4
1 2
n
n
=
- +^ ^h h
2. 	 Find the indicated terms in each of the sequences whose nth
terms are given by
	 (i) ; ,a
n
n a a
2 3
2
n 7 9
=
+
+ 		 (ii) 2 ; ,a n a a1 1n
n n 3
5 8
= - +
+
^ ^h h 	
	 (iii) 2 3 1; ,a n n a a .n
2
5 7= - + 	 (iv) ( 1) (1 ); ,a n n a an
n 2
5 8
= - - +
38 10th Std. Mathematics
Definition
3. 	 Find the 18th
and 25th
terms of the sequence defined by
		
( ),
, .
if and even
if and odda
n n n n
n
n n n
3
1
2
is
is
N
Nn 2
!
!=
+
+
*
4.	 Find the 13th
and 16th
terms of the sequence defined by
		 ,
( ), .
if and even
if and odd
b
n n n
n n n n2
is
is
N
Nn
2
!
!
=
+
)
5.    	 Find the first five terms of the sequence given by
		 2, 3a a a1 2 1
= = + and 2 5 2a a nforn n 1
2= +-
.
6.	 Find the first six terms of the sequence given by
		 1a a a1 2 3
= = = and a a an n n1 2
= +- -
for n 32 .
2.3 	 Arithmetic sequence or Arithmetic Progression (A.P.)
	 In this section we shall see some special types of sequences.
A sequence , , , , ,a a a an1 2 3
g g is called an arithmetic sequence if
a a dn n1
= ++
, n N! where d is a constant. Here a1
is called the first term and
the constant d is called the common difference. An arithmetic sequence is also
called an Arithmetic Progression (A.P.).
Examples
(i) 	 2, 5, 8, 11, 14, g is an A.P. because a1
= 2 and the common difference d = 3.
	 (ii)	 -4, -4, -4, -4, g is an A.P. because a1
= -4 and d = 0.
	(iii)	 2, 1.5, 1, 0.5, 0, 0.5, 1.0, 1.5,g- - - is an A.P. because a1
= 2 and d = -0.5.
The general form of an A.P.
	 Let us understand the general form of an A.P. Suppose that a is the first  term and d
is the common difference of an arithmetic sequence { }ak k 1
3
=
. Then, we have
		 a a1
= and a a dn n1
= ++
, n N6 ! .
	 For n = 1, 2, 3 we get,
( )
( ) ( )
( ) ( )
a a d a d a d
a a d a d d a d a d
a a d a d d a d a d
2 1
2 3 1
2 3 4 1
2 1
3 2
4 3
= + = + = + -
= + = + + = + = + -
= + = + + = + = + -
	 Following the pattern, we see that the nth
term an
as
	 [ ( 2) ] ( 1) .a a d a n d d a n dn n 1
= + = + - + = + --
Sequences and series of real numbers 39
Note
	 Thus	, we have ( 1)a a n dn
= + - for every n N! .
	 So, a typical arithmetic sequence or A.P. looks like
, , 2 , 3 , , ( 1) , ,a a d a d a d a n d a ndg g+ + + + - +
	 Also, the formula for the general term of an Arithmetic sequence is of the form
( 1)t a n dn
= + - for every n N! .
	 (i)	 Remember a sequence may also be a finite sequence. So, if  an  A.P. has only n terms,
then the last term l is given by l a n d1= + -^ h
	 (ii)	 l a n d1= + -^ h can also be rewritten as 1n
d
l a= - +` j . This helps us to find the
number of terms when the first, the last term and the common difference are given.
	 (iii)	 Three consecutive terms of an A.P. may be taken as , ,m d m m d- +
	 (iv)	 Four consecutive terms of anA.P. may be taken as 3 , , , 3m d m d m d m d- - + +
with common difference 2d.
	 (v)	 An A.P. remains an A.P. if each of its terms is added or subtracted by a same
constant.
	 (vi)	 An A.P. remains an A.P. if each of its terms is multiplied or divided by a non-zero
constant.
Example 2.3
	 Which of the following sequences are in an A.P.?	
	 (i) , , ,
3
2
5
4
7
6 g . (ii) , , , .m m m3 1 3 3 3 5 g- - -
Solution
(i) 	 Let ,t n Nn
d be the nth
term of the given sequence.
	 ` 		 t1
	= ,
3
2 ,t t
5
4
7
6
2 3
= =
	 So 		 t t2 1
- 	=
5
4
3
2- =
15
12 10- =
15
2
		 	 t t3 2
- 	=
7
6
5
4- =
35
30 28- =
35
2
	 Since 	 t t2 1
- 	 t t3 2
= -Y , the given sequence is not an A.P.
(ii)	 Given , , , .m m m3 1 3 3 3 5 g- - -
	 Here 	 t1
	= 3 1, 3 3, 3 5,m t m t m2 3
g- = - = - .	
	 ` 		 t t2 1
- 	= (3 3) (3 1) 2m m- - - =-
	 Also, 	 t t3 2
- 	= (3 5) (3 3) 2m m- - - =-
          	Hence,  the given sequence is an A.P. with first term 3m–1 and the common difference –2.
40 10th Std. Mathematics
Example 2.4
	 Find the first term and common difference of the A.P.
	 (i)	 5, 2, 1, 4,g- - . (ii) , , , , ,
2
1
6
5
6
7
2
3
6
17g
Solution
(i)	 First term ,a 5= and the common difference d = 2 5- = 3- .
(ii)	 a
2
1= and the common difference d =
6
5
2
1- =
6
5 3- =
3
1 .
Example 2.5
	 Find the smallest positive integer n such that tn
of the arithmetic sequence
	 20,19 ,18 ,
4
1
2
1 g is negative.?
Solution	 Here we have ,a 20= d = 19
4
1 20- =
4
3- .
	 We want to find the first positive integer n such that 0tn
1 .
	 This is same as solving ( )a n d1 01+ - for smallest n N! .
	 That is solving 20 0n 1
4
3 1+ - -^ `h j 	 for smallest n N! .
	 Now, n 1
4
3- -^ `h j 201-
( ( 1) 20n
4
3# 2- ( The inequality is reversed on multiplying both sides by 1- )
	 `	 n 1- 20 26
3
4
3
80
3
2#2 = = .
	 This implies 26 1n
3
22 + . That is, 2 .n 7
3
2 27 662 =
	 Thus, the smallest positive integer n N! satisfying the inequality is .n 28=
	 Hence, the 28th
term, t28
is the first negative term of the A.P.
Example 2.6
	 In a flower garden, there are 23 rose plants in the first row, 21 in the second row, 19 in
the third row and so on. There are 5 rose plants in the last row. How many rows are there in
the flower garden?
Solution	 Let n be the number of rows in the flower garden .
	 The number of rose plants in the 1st
, 2nd
, 3rd
, , nth
g rows are 23, 21, 19, g, 5 		
	 respectively.
	 Now, 2 2, , .fort t k nk k 1
g- =- =-
	 Thus, the sequence 23, 21, 19, g, 5 is in an A.P.
Sequences and series of real numbers 41
	 We have ,a 23= 	 ,d 2=- and	 l 5= .
		 ` n =
d
l a 1- + =
2
5 23 1
-
- + = 10.
	 So, there are 10 rows in the flower garden.
Example 2.7
	 If a person joins his work in 2010 with an annual salary of `30,000 and receives an
annual increment of `600 every year, in which year, will his annual salary be `39,000?
Solution	 Suppose that the person’s annual salary reaches `39,000 in the nth
year.
	 Annual salary of the person in 2010, 2011, 2012, g, [2010 +( )n 1- ] will be
	 `30,000, `30,600, `31,200, g , `39000 respectively.
	 First note that the sequence of salaries form an A.P.
	 To find the required number of terms, let us divide  each term of the sequence by a 	
	 fixed constant 100. Now, we get the new sequence 300, 306, 312, g, 390.
	 Here a = 300, d = 6, l = 390.
	 So,	 n	=
d
l a 1- +
			 = 1
6
390 300- + = 1
6
90 + = 16	
	 Thus, 16th
annual salary of the person will be `39,000.
	 ` His annual salary will reach `39,000 in the year 2025.
Example 2.8
	 Three numbers are in the ratio  2 : 5 : 7.  If the first number, the resulting number on the
substraction of 7 from the second number and the third number form an arithmetic sequence,
then find the numbers.
Solution	 Let the numbers be 2 ,5 7x x xand for some unknown x,(x 0! )
	 By the given information, we have that 2 , 5 7, 7x x x- are in A.P.
	 ` 2 ( )x x x x5 7 7 5 7- - = - -^ h ( 3 7x x2 7- = + and so x = 14.
	 Thus, the required numbers are 28, 70, 98.
Exercise 2.2
1. 	 The first term of an A.P. is 6 and the common difference is 5. Find the A.P. and its
general term.
2.	 Find the common difference and 15th
term of the A.P. 125, 120, 115, 110, g.
3.	 Which term of the arithmetic sequence 24, 23 , 22 , 21 , .
4
1
2
1
4
3 g is 3?
42 10th Std. Mathematics
4.	 Find the 12th
term of the A.P. , 3 , 5 , .2 2 2 g
5.	 Find the 17th
term of the A.P. 4, 9, 14, g.	
6.	 How many terms are there in the following Arithmetic Progressions?
	 (i) 1, , , , .
6
5
3
2
3
10g- - - 	 (ii) 7, 13, 19, g, 205.
7.	 If 9th
term of an A.P. is zero, prove that its 29th
term is double (twice) the 19th
term.
8.	 The 10th
and 18th
terms of an A.P. are 41 and 73 respectively. Find the 27th
term.
9.	 Find n so that the nth
terms of the following two A.P.’s are the same.
	 1, 7, 13, 19,g and 100, 95, 90, g.
10.	 How many two digit numbers are divisible by 13?
11.	 A TV manufacturer has produced 1000 TVs in the seventh year and 1450 TVs in the
tenth year. Assuming that the production increases uniformly by a fixed number every
year, find the number of TVs produced in the first year and in the 15th
year.
12.	 A man has saved `640 during the first month, `720 in the second month and `800 in
the third month. If he continues his savings in this sequence, what will be his savings in the
25th
month?
13.	 The sum of three consecutive terms in an A.P. is 6 and their product is –120. Find the
three numbers.
14.	 Find the three consecutive terms in an A. P. whose sum is 18 and the sum of their
squares is 140.
15. 	 If m times the mth
term of an A.P. is equal to n times its nth
term, then show that the
(m+n)th
term of the A.P. is zero.
16. 	 A person has deposited `25,000 in an investment which yields 14% simple interest
annually. Do these amounts (principal + interest) form an A.P.? If so, determine the
amount of investment after 20 years.
17.	 If a, b, c are in A.P. then prove that ( ) 4( )a c b ac
2 2
- = - .
18.	 If a, b, c are in A.P. then prove that , ,
bc ca ab
1 1 1 are also in A.P.
19.	 If , ,a b c
2 2 2
are in A.P. then show that , ,
b c c a a b
1 1 1
+ + +
are also in A.P.
20.	 If , , ,a b c x y z0 0 0
x y z
! ! != = and b ac
2
= , then show that , ,
x y z
1 1 1 are in A.P.
Sequences and series of real numbers 43
Definition
2.4	 Geometric Sequence or Geometric Progression (G.P.)
A sequence , , , , ,a a a an1 2 3
g g is called a geometric sequence if
a a rn n1
=+
, n N! , where r is a non-zero constant. Here, a1
is the first term and
the constant r is called the common ratio. A geometric sequence is also called a
Geometric Progression (G.P.).
Let us consider some examples of geometric sequences.
(i)	 3, 6, 12, 24,g .
	 A sequence an 1
3
" , is a geometric sequence if 0
a
a
r
n
n 1
!=+
, n N! .
	 Now, 2
3
6
6
12
12
24 0!= = = . So the given sequence is a geometric sequence.
(ii)	 , , , ,
9
1
27
1
81
1
243
1 g- - .
	 Here, we have 0
9
1
27
1
27
1
81
1
81
1
243
1
3
1 !
-
=
-
=
-
= - .
	 Thus, the given sequence is a geometric sequence.
The general form of a G.P.
	 Let us derive the general form of a G.P. Suppose that a is the first  term and r is the
common ratio of a geometric sequence { }ak k 1
3
=
. Then, we have
			 a1
	 = a and
a
a
r
n
n 1
=+
for n N! .
	 Thus, 	 an 1+
	 = r an
for n N! .
	 For 		n = 1, 2, 3 we get,
	 a2 	= a r ar ar1
2 1
= =
-
	 a3 	= ( )a r ar r ar ar2
2 3 1
= = =
-
	 a4 	= ( )a r ar r ar ar3
2 3 4 1
= = =
-
	 Following the pattern, we have
			 an
	= ( ) .a r ar r arn
n n
1
2 1
= =-
- -
	 Thus, 	 an 	= ar
n 1-
for every n N! , gives nth
term of the G.P.
	 So, a typical geometric sequence or G.P. looks like
, , , , , , ,a ar ar ar ar ar
n n2 3 1
g g
-
.
	 Thus , the formula for the general term of a geometric sequence is
, 1, 2, 3, .nt arn
n 1
g==
-
44 10th Std. Mathematics
Note
	 Suppose  we are given  the first few terms of  a sequence, how can we determine if the
given sequence is a geometric sequence or not?
	 If ,
t
t
r n N
n
n 1
6 !=+
,where r is a non-zero constant, then tn 1
3
" , is in G.P.
   	 (i)	 If the ratio of any term other than the first term to its preceding term of a sequence
is a non-zero constant, then it is a geometric sequence.
	 (ii)	 A geometric sequence remains a geometric sequence if each term is multiplied or
divided by a non zero constant.
	 (iii)	 Three consecutive terms in a G.P may be taken as , ,
r
a a ar with common ratio r.
	 (iv)	 Four consecutive terms in a G.P may be taken as , , , .
r
a
r
a ar ar3
3
		 (here, the common ratio is r
2
not r as above)
Example 2.9
	 Which of the following sequences are geometric sequences
	 (i) 5, 10, 15, 20, g . (ii) 0.15, 0.015, 0.0015, g . (iii) , , 3 , 3 , .7 21 7 21 g
Solution
(i)	 Considering the ratios of the consecutive terms, we see that
5
10
10
15=Y .
	 Thus, there is no common ratio. Hence it is not a geometric sequence.
(ii)	 We see that
.
.
.
.
0 15
0 015
0 015
0 0015
10
1g= = = ­.
	 Since the common ratio is
10
1 , the given sequence is a geometric sequence.
(iii)	 Now,
7
21
21
3 7
3 7
3 21 3g= = = = . Thus, the common ratio is 3 .
Therefore, the given sequence is a geometric sequence.
Example 2.10
	 Find the common ratio and the general term of the following geometric sequences.
		 (i) , , ,
5
2
25
6
125
18 g .			 (ii) 0.02, 0.006, 0.0018, g .
Solution
(i) 	 Given sequence is a geometric sequence.
	 The common ratio is given by r =
t
t
t
t
1
2
2
3
g= = .
	 Thus, 	 r =
5
2
25
6
5
3= .
Sequences and series of real numbers 45
	 The first term of the sequence is  
5
2 . So, the general term of the sequence is
	 	 		 , 1, 2, 3, .t ar nn
n 1
g= =
-
		 ( 	 , 1,2,3,t n
5
2
5
3
n
n 1
g= =
-
` j
(ii) 	 The common ratio of the given geometric sequence is
			
.
. .r
0 02
0 006 0 3
10
3= = = .
	 The first term of the geometric sequence is 0.02
	 So, the sequence can be represented by
(0.02) , 1,2,3,t n
10
3
n
n 1
g= =
-
` j
Example 2.11
	 The 4th
term of a geometric sequence is
3
2 and the seventh term is
81
16 .
	 Find the geometric sequence.
Solution		 Given that .andt t
3
2
81
16
4 7
= =
	 Using the formula , 1, 2, 3, .t ar nn
n 1
g= =
-
for the general term we have,
			 t4 	 = .andar t ar
3
2
81
163
7
6
= = =
	 Note that in order to find the geometric sequence, we need to find a and r.
	 By dividing t7
by t4
we obtain,
			
t
t
4
7
	 =
ar
ar
3
6
=
3
2
81
16
27
8= .
	
	 Thus, 	 r
3
	 =
27
8
3
2 3
=` j which implies r
3
2= .
	 Now, 	 t4 	 = ar
3
2
3
23
( =` j.
	 (		 ( )a
27
8 	 =
3
2 . 		 ` a	=
4
9 .
	 Hence, the required geometric sequence is , , , , , , ,a ar ar ar ar ar
n n2 3 1
g g
-
		
						 That is, , , ,
4
9
4
9
3
2
4
9
3
2 2
g` `j j .
Example 2.12
	 The number of bacteria in a certain culture doubles every hour. If there were 30 bacteria
present in the culture initially, how many bacteria will be present at the end of 14th
hour?
Solution	 Note that the number of bacteria present in the culture doubles at the end of
successive hours.
46 10th Std. Mathematics
Remarks
	 Number of bacteria present initially in the culture	 = 30
	 Number of bacteria present at the end of first hour  	  =   ( )2 30
	 Number of bacteria present at the end of second hour 	= (2(30)) ( )2 30 22
=
	 Continuing in this way, we see that the number of bacteria present at the end of 		
	 every hour forms a G.P. with the common ratio r = 2.
	 Thus, if tn
denotes the number of bacteria after n hours,
		 30 (2 )tn
n
= is the general term of the G.P.
	 Hence, the number of bacteria at the end of 14th
hour is given by 30 (2 )t14
14
= .
Example 2.13
	 An amount `500 is deposited in a bank which pays annual interest at the rate of 10%
compounded annually. What will be the value of this deposit at the end of 10th
year?
Solution
	 The principal is `500. So, the interest for this principal for one year is 500
100
10 50=` j .
	 Thus, the principal for the 2nd year = Principal for 1st year + Interest
			 = 500 500
100
10 500 1
100
10+ = +` `j j
	 Now, the interest for the second year = 500 1
100
10
100
10+`` `jj j.
	 So, the principal for the third year 	= 500 5001
100
10 1
100
10
100
10+ + +` `j j
			 = 500 1
100
10 2
+` j
	 Continuing in this way we see that
	 the principal for the nth
year	
3
= 500 1
100
10 n 1
+
-
` j .
	 The amount at the end of (n–1)th
year = Principal for the nth
year.
	 Thus, the amount in the account at the end of nth
year.
		 = 500 1
100
10 n 1
+
-
` j + 500 1
100
10
100
10n 1
+
-
` `j j = 500
10
11 n
` j .
	 The amount in the account at the end of 10th
year
			 = ` 500 1
100
10 10
+` j = ` 500
10
11 10
` j .
	 By using the above method, one can derive a formula for finding the total amount for
compound interest problems. Derive the formula:
						 (1 )A P i
n
= +
where A is the amount, P is the principal, i r
100
= , r is the annual interest rate and
n is the number of years.
Sequences and series of real numbers 47
Example 2.14
	 The sum of first three terms of a geometric sequence is
12
13 and their product is -1.
Find the common ratio and the terms.
Solution	 We may take the first  three terms of the geometric sequence as   , ,
r
a a ar.
	 Then,	
r
a a ar+ + 	=
12
13 		
			 a
r
r1 1+ +` j	=
12
13 ( a
r
r r 1
2
+ +c m =
12
13 			 (1)
	 Also,
			
r
a a ar` ^ ^j h h	= 1-
		 ( 	 a
3
	= 1- ` a 1=-
	 Substituting 	 1a =- in (1) we obtain,
			
r
r r1 1
2
- + +^ ch m	=
12
13
	 ( 		 12 12 12r r
2
+ + 	= r13-
			 12 25 12r r
2
+ + 	= 0
			 r r3 4 4 3+ +^ ^h h	= 0
	 Thus, r =
3
4- or
4
3-
	 When r 	=
3
4- and a = – 1, the terms are
4
3 , –1,
3
4 .
	 When r 	=
4
3- and a = – 1, we get
3
4 , –1,
4
3 , which is in the reverse order.
Example 2.15
	 If , , ,a b c d are in geometric sequence, then prove that
	 b c c a d b a d2 2 2 2
- + - + - = -^ ^ ^ ^h h h h
Solution	 Given , , ,a b c d are in a geometric sequence.
	 Let r be the common ratio of the given sequence.  Here, the first term is a.
	 Thus,	 , ,b ar c ar d ar
2 3
= = =
	 Now,	 b c c a d b2 2 2
- + - + -^ ^ ^h h h
			 = ar ar ar a ar ar
2 2 2 2 3 2
- + - + -^ ^ ^h h h
			 = a r r r r r1
2 2 2 2 2 3 2
- + - + -^ ^ ^h h h6 @
			 = a r r r r r r r r2 2 1 2
2 2 3 4 4 2 6 4 2
- + + - + + - +6 @
			 = a r r2 1
2 6 3
- +6 @ = a r 1
2 3 2
-6 @
			 = ar a a ar
3 2 3 2
- = -^ ^h h = ( )a d
2
-
48 10th Std. Mathematics
Exercise 2.3
1.	 Find out which of the following sequences are geometric sequences. For those
geometric sequences, find the common ratio.
	 (i) 0.12, 0.24, 0.48,g.	 (ii) 0.004, 0.02, 0.1,g. (iii) , , , ,
2
1
3
1
9
2
27
4 g.
	 (iv) 12, 1, ,
12
1 g.		 (v) , , ,2
2
1
2 2
1 g. (vi) 4, 2, 1, ,
2
1 g- - - .
2.	 Find the 10th
term and common ratio of the geometric sequence , ,1, 2,
4
1
2
1 g- - .
3.	 If the 4th
and 7th
terms of a G.P. are 54 and 1458 respectively, find the G.P.
4.	 In a geometric sequence, the first term is
3
1 and the sixth term is
729
1 , find the G.P.
5.	 Which term of the geometric sequence,
	 (i) 5, 2, , ,
5
4
25
8 g , is
15625
128 ?	 (ii) 1, 2, 4, 8,g, is 1024 ?
6.	 If the geometric sequences 162, 54, 18,g. and , , ,
81
2
27
2
9
2 g have their nth
term
equal, find the value of n.
7.	 The fifth term of a G.P. is 1875.  If the first term is 3, find the common ratio.
8.	 The sum of three terms of a geometric sequence is
10
39 and their product is 1. Find the
common ratio and the terms.
9.	 If the product of three consecutive terms in G.P. is 216 and sum of their products in
pairs is 156, find them.
10.	 Find the first three consecutive terms in G.P. whose sum is 7 and the sum of their
reciprocals is
4
7
11.	 The sum of the first three terms of a G.P. is 13 and sum of their squares is 91.  Determine
the G.P.
12.	 If `1000 is deposited in a bank which pays annual interest at the rate of 5% compounded
annually, find the maturity amount at the end of 12 years .
13. 	 A company purchases an office copier machine for `50,000. It is estimated that the
copier depreciates in its value at a rate of 15% per year. What will be the value of the
copier after 15 years?
14.	 If , , ,a b c d are in a geometric sequence, then show that
.a b c b c d ab bc cd- + + + = + +^ ^h h
15.	 If , , ,a b c d are in a G.P., then prove that , , ,a b b c c d+ + + are also in G.P.
Sequences and series of real numbers 49
Definition
2.5	 Series
Let us consider the following problem:
	 A person joined a job on January 1, 1990 at an annual salary of `25,000 and
received an annual increment of `500 each year. What is the total salary he has received
upto January 1, 2010?
	 First of all note that his annual salary forms an arithmetic sequence
	 	 25000, 25500, 26000, 26500, , (25000 19(500))g + .
	 To answer the above question, we need to add all of his twenty years salary. That is,
		 25000 25 00 26 00 2 00 (25000 19( 00))5 0 65 5g+ + + + + + .
	 So, we need to develop an idea of summing terms of a sequence.
An expression of addition of terms of a sequence is called a series.
If a series consists only a finite number of terms, it is called a finite series.
If a series consists of infinite number of terms  of a sequence, it is called an infinite series.
	 Consider a sequence S an n 1
= 3
=" , of real numbers. For each n N! we define the
partial sums by , ,S a a an n1 2
g= + + + 1,2,3,n g= . Then { }Sn n 1
3
=
is the sequence of
partial sums of the given sequence an n 1
3
=" , .
	 The ordered pair ,a Sn n n n1 1
3 3
= =^ h" ", , is called an infinite series of terms of the
sequence an 1
3
" , .    The infinite series is denoted by a a a1 2 3
g+ + + , or simply an
n 1
3
=
/
where the symbol / stands for summation and is pronounced as sigma.
	 Well, we can easily understand finite series (adding finite number of terms). It is
impossible to add all the terms of an infinite sequence by the ordinary addition, since one could
never complete the task. How can we understand (or assign a meaning to) adding infinitely
many terms of a sequence? We will learn about this in higher classes in mathematics. For
now we shall focus mostly on finite series.
	 In this section , we shall study Arithmetic series and Geometric series.
2.5.1	 Arithmetic series
	 An arithmetic series is a series whose terms form an arithmetic sequence.
Sum of first n terms of an arithmetic sequence 		
	 Consider an arithmetic sequence with first term a and common difference d
	 given by , , 2 , ..., ,a a d a d a n d1 g+ + + -^ h .
	 Let Sn
be the sum of first  n terms of the arithmetic sequence.
50 10th Std. Mathematics
Carl Fredrick Gauss
(1777 – 1855)
Remarks
	 Thus, 	 ( ) ( 2 ) ( ( 1) )S a a d a d a n dn
g= + + + + + + -
	 ( ( ) )
( ( ) )
S na d d d n d
na d n
2 3 1
1 2 3 1
n
( g
g
= + + + + + -
= + + + + + -
	 So, we can simplify this formula if we can find the sum   ( )n1 2 1g+ + + - .
	 This is nothing but the sum of the arithmetic sequence , , , , ( ).n1 2 3 1g -
	 So, first we find the sum ( )n1 2 1g+ + + - below.
	 Now, let us find the sum of the first n positive integers.
	 Let 1 2 3 ( 2) ( 1)S n n nn
g= + + + + - + - + . 	 	 (1)
	 We shall use a small trick to find the above sum. Note that we can write Sn
also as
( 1) ( 2) 3 2 1S n n nn
g= + - + - + + + + . 			 (2)
Adding (1) and (2) we obtain,
2 ( 1) ( 1) ( 1) ( 1).S n n n nn
g= + + + + + + + + 			 (3)
	 Now, how many ( )n 1+ are there on the right hand side of (3)?
There are n terms in each of (1) and (2). We merely added corresponding terms from (1) and (2). 	
	 Thus, there must be exactly n such ( )n 1+ ’s.
	 Therefore, (3) simplifies to  2 ( 1)S n nn
= + .
	 Hence,  the sum of the first  n positive integers is given by
	
( )
. 1 2 3
( )
S
n n
n
n n
2
1
2
1
So,n
g=
+
+ + + + =
+ . 		 (4)
	 This is a useful formula in finding the sums.
	 The above method was first used by the famous German
mathematician Carl Fredrick Gauss, known as Prince of
Mathematics, to find the sum of positive integers upto 100. This
problem was given to him by his school teacher when he was just five
years old. When you go to higher studies in mathematics, you will
learn other methods to arrive at the above formula.
	 Now, let us go back to summing first n terms of a general arithmetic sequence.
	 We have already seen that
	
[ ( ) ]
[ ( )]
( )
( )4
S na d d d n d
na d n
na d
n n
2 3 1
1 2 3 1
2
1
using
n g
g
= + + + + + -
= + + + + + -
= +
-
		 = [ ( ) ]n a n d
2
2 1+ - 							 (5)
Sequences and series of real numbers 51
	 Hence, we have
		 Sn
	= [ ( ( ) )]n a a n d
2
1+ + - = n
2
(first term + last term)
							 = ( )n a l
2
+ .
The sum Sn
of the first n terms of an arithmetic sequence with first term a
is given by
(i) Sn
= [2 ( 1) ]n a n d
2
+ - if the common difference d is given.
(ii) Sn
= ( )n a l
2
+ , if the last term l is given.
Example 2.16
	 Find the sum of the arithmetic series 5 11 17 95g+ + + + .
Solution	 Given that the series 5 11 17 95g+ + + + is an arithmetic series.
	 Note that a = 5, d = 11 5 6- = , 	 l = 95.
	 Now, 	 n 	= 1
d
l a- +
				 = 1 .
6
95 5
6
90 1 16- + = + =
	 Hence, the sum	 Sn
	 = n l a
2
+6 @
			 S16
	 = ( ) .
2
16 95 5 8 100 800+ = =6 @
Example 2.17
	 Find the sum of the first 2n terms of the following series.
		 1 2 3 4 ...
2 2 2 2
- + - + .
Solution	 We want to find 1 2 3 4
2 2 2 2
g- + - + to n2 terms
		 = 1 4 9 16 25 g- + - + - to n2 terms
		 = 1 4 9 16 25 36 g- + - + - +^ ^ ^h h h to n terms. (after grouping)
		 = 3 7 11 g- + - + - +^ ^h h n terms
Now, the above series is in an  A.P. with first term 3a =- and common difference	 d 4=-
Therefore, the required sum = n a n d
2
2 1+ -^ h6 @
					 = n n
2
2 3 1 4- + - -^ ^ ^h h h6 @
					 = n n
2
6 4 4- - +6 @ = n n
2
4 2- -6 @
					 = n n
2
2 2 1- +^ h = n n2 1- +^ h.
52 10th Std. Mathematics
Example 2.18
	 In an arithmetic series, the sum of  first 14 terms is 203- and the sum of the next 11
terms is –572. Find the arithmetic series.
Solution	 Given that	 S14
	 =	 203-
		 (	 a d
2
14 2 13+6 @	 = 203-
		 (	 a d7 2 13+6 @	 = 203-
		 (	 a d2 13+ 	 = 29- . 	 (1)
	 Also, the sum of the next 11 terms	 =	 572- .
		 Now,	 S25
	 =	 ( 572)S14
+ -
		 That is,	 S25
	 =	 203 572- - = 775- .
		 (	 a d
2
25 2 24+6 @	 =	 775-
		 (	 a d2 24+ 	 =	 31 2#-
		 (	 a d12+ 	 =	 31- 	 (2)
	 Solving (1) and (2) we get, 5a = 	 and d 3=- .
	 Thus, the required arithmetic series is 5 5 3 5 2 3 g+ - + + - +^ ^^h hh .
	 That is, the series is	 5 2 1 4 7 g+ - - - - .
Example 2.19
	 How many terms of the arithmetic series 24 21 18 15 g+ + + + , be taken
continuously so that their sum is – 351.
Solution	 	 In the given arithmetic series, ,a 24= d 3=- .
	 	 Let us find n such that	 Sn
	 =	 – 351
	 Now,	 Sn
	 =	 n a n d
2
2 1+ -^ h6 @ = 351-
	 That is,	 n n
2
2 24 1 3+ - -^ ^ ^h h h6 @	 =	 351-
		 (	 n n
2
48 3 3- +6 @	 =	 351-
		 (	 n n51 3-^ h	 =	 702-
		 (	 17 234n n
2
- - 	 =	 0
			 n n26 9- +^ ^h h	 = 	0
		 ` 	 26n = 	 or	 9n =-
	 Here n, being the number of terms needed, cannot be negative.
	 Thus, 26 terms are needed to get the sum 351- .
Sequences and series of real numbers 53
Example 2.20
	 Find the sum of all 3 digit natural numbers, which are divisible by 8. 	
Solution	
	 The three digit natural numbers divisible by 8 are 104, 112, 120, g, 992.
	 Let Sn
denote their sum. That is, Sn
= 104 112 120 128 , 992g+ + + + + .
	 Now, the sequence 104, 112, 120, g, 992 forms an A.P.
	 Here, 	 ,a 104= 8d = and .l 992=
	 `		 n =
d
l a 1- + =
8
992 104 1- +
				 = 1 .
8
888 112+ =
	 Thus,		 S112
= n a l
2
+6 @
2
112 104 992= +6 @ = 56(1096) 61376= .
	 Hence, the sum of all three digit numbers, which are divisible by 8 is equal to 61376.
Example 2.21
	 The measures of the interior angles taken in order of a polygon form an arithmetic
sequence. The least measurement in the sequence is 85c. The greatest measurement is 215c.
Find the number of sides in the given polygon.
Solution	 Let n denote the number of sides of the polygon.
	 Now, the measures of interior angles form an arithmetic sequence.
	 Let the sum of the interior angles of the polygon be
		 		 Sn
= a a d a d2 g+ + + + +^ ^h h l+ , where a = 85 and l = 215.
	 We have, 	 Sn
= n l a
2
+6 @						 (1)
	 We know that the sum of the interior angles of a polygon is (n 2- ) 180
0
# .
	 Thus,		 Sn
= n 2 180#-^ h
	 From (1), we have 	n l a
2
+6 @ = n 2 180#-^ h
	 ( 	 n
2
215 85+6 @ = n 2 180#-^ h
			 n150 = n180 2-^ h ( n = 12..
	 Hence, the number of sides of the polygon is 12.
Exercise 2.4
1.	 Find the sum of the first   (i) 75 positive integers   (ii) 125 natural numbers.
2.  	 Find the sum of the first 30 terms of an A.P. whose  nth
term is n3 2+ .
3.	 Find the sum of each arithmetic series
	 (i) 38 35 32 2g+ + + + . (ii) 6 5 4 25
4
1
2
1 g+ + + terms.
54 10th Std. Mathematics
4.	 Find the Sn
for the following arithmetic series described.
	 (i) ,a 5= 	 ,n 30= l 121= 	 (ii) ,a 50= 	 ,n 25= d 4=-
5.	 Find the sum  of the first 40 terms of the series  1 2 3 4
2 2 2 2
g- + - + .
6.	 In an arithmetic series, the sum of first 11 terms is 44 and that of the next 11 terms is
55. Find the arithmetic series.
7.	 In the arithmetic sequence 60, 56, 52, 48,g , starting from the first term, how many
terms are needed so that their sum is 368?
8.	 Find the sum of all 3 digit natural numbers, which are divisible by 9.
9.	 Find the sum of first 20 terms of the arithmetic series in which 3rd
term is 7 and 7th
term
is 2 more than three times its 3rd
term.
10.	 Find the sum of all natural numbers between 300 and 500 which are divisible by 11.
11.	 Solve: 1 6 11 16 148xg+ + + + + = .
12.	 Find the sum of all numbers between 100 and 200 which are not divisible by 5.
13.	 A construction company will be penalised each day for delay in construction of a
bridge. The penalty will be `4000 for the first day and will increase by `1000 for each
following day. Based on its budget, the company can afford to pay a maximum of
`1,65,000 towards penalty. Find the maximum number of days by which the completion
of work can be delayed
14.	 A sum of `1000 is deposited every year at 8% simple interest. Calculate the interest
at the end of each year. Do these interest amounts form an A.P.?  If so, find the total
interest at the end of 30 years.
15.	 The sum of first n terms of a certain series is given as 3 2 .n n
2
- Show that the series
is an arithmetic series.
16. 	 If a clock strikes once at 1 o’clock, twice at 2 o’clock and so on, how many times will
it strike in a day?
17.	 Show that the sum of an arithmetic series whose first term is a, second term b and the
last term is c is equal to
b a
a c b c a
2
2
-
+ + -
^
^ ^
h
h h
.
18. 	 If there are n2 1+^ h terms in an arithmetic series, then prove that the ratio of the sum
of odd terms to the sum of even terms is :n n1+^ h .
19.	 The ratio of the sums of first  m  and first  n terms of an arithmetic series is :m n
2 2
show that the ratio of the mth
and nth
terms is :m n2 1 2 1- -^ ^h h
Sequences and series of real numbers 55
Remarks
20.	 A gardener plans to construct a trapezoidal shaped structure in his garden. The longer
side of trapezoid needs to start with a row of 97 bricks. Each row must be decreased
by 2 bricks on each end and the construction should stop at 25th
row. How many bricks
does he need to buy?
2.5.2	 Geometric series
	 A series is a geometric series if the terms of the series form a geometric sequence.
	 Let , , , , , ,a ar ar ar ar
n n2 1
g g
-
be a geometric sequence where r 0=Y is the common 	
	 ratio. We want to find the sum of the first n terms of this sequence.
	 Let S a ar ar arn
n2 1
g= + + + +
-
		 (1)
	 If r 1= , then from (1) it follows that S nan
= .
	 For r 1! , using (1) we have
	 ( )rS r a ar ar ar ar ar ar arn
n n2 1 2 3
g g= + + + + = + + + +
-
.	 (2)
	 Now subtracting (2) from (1), we get
		 		 S rSn n
- = ( )a ar ar ar
n2 1
g+ + + +
-
( )ar ar ar
n2
g- + + +
	 (			 S r1n
-^ h = a r1
n
-^ h
	 Hence, we have Sn
=
r
a r
1
1
n
-
-^ h
, since r 1! .
	
The sum of the first n terms of a geometric series is given by
( ) ( )
,
.
S r
a r
r
a r
r
na r
1
1
1
1
1
1
if
if
n
n n
!= -
-
=
-
-
=
*
where a is the first term and  r is the common ratio.
	 Actually, if 1 1r1 1- , then the following formula holds:
a ar ar ar
r
a
1
n2
g g+ + + + + =
-
.
Note that the sum of infinite number of positive numbers may give a finite value.
Example 2.22
	 Find the sum of the first 25 terms of the geometric series
	 16 48 144 432 g- + - + .
Solution	 Here, ,a 16= 3 1.r
16
48 != - = - Now, , 1S
r
a r r
1
1
n
n
!=
-
-^ h
.
	 So, we have S25
=
1 3
16 1 3 25
- -
- -
^
^^
h
h h
=
4
16 1 3
25
+^ h
4 .1 3
25
= +^ h
56 10th Std. Mathematics
Example 2.23
	 Find Sn 	
for each of the geometric series described below:
	 (i) ,a 2= t6
= 486, n = 6	 	 (ii) a = 2400,	 r = – 3, n = 5
Solution
(i)	 Here	 ,a 2= 	 486,t6
= n 6=
	 Now 2( )t r6
5
= = 486
	 (	 r
5
	 =	 243 ` r = 3.
	 Now,	 Sn
	 =	 1
r
a r r
1
1 if
n
!
-
-^ h
	 Thus,	 S6
	 =	
3 1
2 3 1
6
-
-^ h
= 3 1 728
6
- = .
(ii)	 Here 	 ,a 2400= ,r 3=- n 5= 		
	 Thus,	 S5
	 =	 1
r
a r r
1
1 if
5
-
- =Y
^ h
			 =	
3 1
2400 3 15
- -
- -
^
^
h
h6 @
	 Hence,	 S5
	 =	
4
2400 1 3
5
+^ h = 600 1 243+^ h = 146400.
Example 2.24
	 In the geometric series 2 4 8 g+ + + , starting from the first term how many
consecutive terms are needed to yield the sum 1022?
Solution	 Given the geometric series is 2 + 4 + 8 + g.
	 Let n be the number of terms required to get the sum.
	 Here ,a 2= 	 ,r 2= 	 1022Sn
= .
	 To find  n, let us consider
		 Sn
	 =	 1
r
a r r
1
1 if
n
-
- =Y
6 @
			 =	 2
2 1
2 1
n
-
-^ h; E = 2 2 1
n
-^ h.
	 But Sn
	= 1022 and hence 2 2 1
n
-^ h	= 1022
		 (				 2 1
n
- 	= 511
		 (				 2
n
	= 512 = 2
9
. Thus, n = 9.
Example 2.25
	 The first term of a geometric series is 375 and the fourth term is 192.  Find the common
ratio and the sum of the first 14 terms.
Sequences and series of real numbers 57
Note
Solution	 Let a be the first term and r be the common ratio of the given G.P.
	 Given that ,a 375= 192t4
= .
	 Now,		 tn
	= ar
n 1-
		 `	 t4
	= 375 r
3
	 (	 375 r
3
	= 192
			 r
3
	=
375
192 	 ( r
3
=
125
64
			 r
3
	=
5
4 3
` j ( r =
5
4 , which is the required common ratio.
	 Now,		 Sn
	= 1a
r
r r
1
1 if
n
-
- =Y; E
	 Thus,		 S14
	= ( 1) 5 375
5
4 1
375
5
4 1
5
4 1
14
14
# #
-
-
= - -
`
`
j
j
8
8
B
B
				= 375 5 1
5
4 14
-^ ^ `h h j8 B = 1875 1
5
4 14
-` j8 B.
In the above example, one can use Sn
= 1a
r
r r
1
1 if
n
-
- =Y; E instead of Sn
= 1a
r
r r
1
1 if
n
-
- =Y; E .
Example 2.26
	 A geometric series consists of four terms and has a positive common ratio. The sum
of the first two terms is 8 and the sum of the last two terms is 72.  Find the series.
Solution	 Let the sum of the four terms of the geometric series be a ar ar ar
2 3
+ + + and r 02
	 Given that 8a ar+ = and 72ar ar
2 3
+ =
	 Now,		 ar ar
2 3
+ = ( )r a ar
2
+ 	 = 72
		 (	 (8)r
2
	 = 72 ` r = 3!
	 Since r > 0, we have 	 r	 = 3.
	 Now,		 a + ar	 = 8 ( a = 2
	 Thus, the geometric series is 2 6 18 54+ + + .
Example 2.27
	 Find the sum to n terms of the series 6 + 66 + 666 +g
Solution	 Note that the given series is not a geometric series.
	 We need to find  Sn
= 6 66 666 nto termsg+ + +
					 Sn
= 6( )n1 11 111 to termsg+ + + 	
				 = n
9
6 9 99 999 to termsg+ + +^ h (Multiply and divide by 9)
				 = n
3
2 10 1 100 1 1000 1 to termsg- + - + - +^ ^ ^h h h6 @
				 = [(10 10 10 ) ]n n
3
2 terms
2 3
g+ + + -
	 Thus,		 Sn
	=
( )
n
3
2
9
10 10 1
n
-
-; E.
58 10th Std. Mathematics
Example 2.28
	 An organisation plans to plant saplings in 25 streets in a town in such a way that one
sapling for the first street, two for the second, four for the third, eight for the fourth street and
so on. How many saplings are needed to complete the work?
Solution	 The number of saplings to be planted for each of the 25 streets in the town		
forms a G.P. Let Sn
be the total number of saplings needed.
	 Then,	 Sn
	 = 1 2 4 8 16 .25to termsg+ + + + +
	 Here, 	 ,a 1= 	 ,r 2= n 25=
			 Sn
	 = a
r
r
1
1
n
-
-; E
		 	 S25
	 = (1)
2 1
2 1
25
-
-6 @
				 = 2 1
25
-
	 Thus, the number of saplings to be needed is 2 1
25
- .
Exercise 2.5
1.	 Find the sum of the first 20 terms of the geometric series
2
5
6
5
18
5 g+ + + .
2.	 Find the sum of the first 27 terms of the geometric series
9
1
27
1
81
1 g+ + + .
3.	 Find Sn
for each of the geometric series described below.
	 (i) ,a 3= 384,t8
= n 8= .		 (ii) ,a 5= r 3= , n 12= .
4.	 Find the sum of the following finite series
	 (i) 1 0.1 0.01 0.001 .0 1 9
g+ + + + +^ h 	 (ii) 1 11 111 g+ + + to 20 terms.
5. 	 How many consecutive terms starting from the first term of the series
	 (i) 3 9 27 g+ + + would sum to 1092?	 (ii) 2 6 18 g+ + + would sum to 728 ?
6.	 The second term of a geometric series is 3 and the common ratio is .
5
4 Find the sum
of first 23 consecutive terms in the given geometric series.
7.	 A geometric series consists of four terms and has a positive common ratio. The sum
of the first two terms is 9 and sum of the last two terms is 36.  Find the series.
8.	 Find the sum of first n terms of the series 	
	 (i) 7 77 777 g+ + + .		 (ii) 0.4 0.94 0.994 g+ + + .
9.	 Suppose that five people are ill during the first week of an epidemic and each sick person
spreads the contagious disease to four other people by the end of the second week and
so on. By the end of 15th
week, how many people will be affected by the epidemic?
Sequences and series of real numbers 59
Remarks
10.	 A gardener wanted to reward a boy for his good deeds by giving some mangoes. He
gave the boy two choices. He could either have 1000 mangoes at once or he could
get 1 mango on the first day, 2 on the second day, 4 on the third day, 8 mangoes on
the fourth day and so on for ten days. Which option should the boy choose to get the
maximum number of mangoes?
11.	 A geometric series consists of even number of terms. The sum of all terms is 3 times
the sum of odd terms. Find the common ratio.
12.	 If ,S S Sand1 2 3
are  the sum of first n, 2n and 3n terms of a geometric series respectively,
then prove that S S S S S1 3 2 2 1
2
- = -^ ^h h .
	 The sum of the first n terms of a geometric series with a 1= and common ratio 1,x !
is given by	1 x x x
n2 1
g+ + + +
-
= , 1.
x
x x
1
1
n
-
- =Y
	 Note that the left hand side of the above equation is a special polynomial in x of
degree n 1- . This formula will be useful in finding the sum of some series.
2.5.3 Special series ,k k
k
n
k
n
1
2
1= =
/ / and k
k
n
3
1=
/
	 We have already used the symbol R for summation.
	 Let us list out some examples of finite series represented by sigma notation.
Sl. No. Notation Expansion
1. k
k
n
1=
/ or j
j
n
1=
/ 1 2 3 ng+ + + +
2. ( )n 1
n 2
6
-
=
/ 1 2 3 4 5+ + + +
3. ( )d 5
d 0
5
+
=
/ 5 6 7 8 9 10+ + + + +
4. k
k
n
2
1=
/ 1 2 3 n
2 2 3 2
g+ + + +
5. 33 1
k k1
10
1
10
=
= =
/ / 3 1 1 10 30.termsg+ + =6 @
	 We have derived that n
n n
1 2 3
2
1
g+ + + + =
+^ h
. This can also be obtained
using A.P. with a =1 , d = 1 and l = n as ( ) (1 )S n a l n n
2 2n
= + = + .
60 10th Std. Mathematics
Remarks
	 Hence, using sigma notation we write it as
( )
k
n n
2
1
k
n
1
=
+
=
/ .
Let us derive the formulae for
	 	 (i) k2 1
k
n
1
-
=
^ h/ , (ii) k
k
n
2
1=
/ and (iii) k
k
n
3
1=
/ .
Proof:	
(i)	 Let us find   1 3 5k n2 1 2 1
k
n
1
g- = + + + + -
=
^ ^h h/ .
	 This is an A.P. consisting of n terms with ,a 1= ,d 2= .l n2 1= -^ h
	 `		 Sn
= (1 2 1)n n n
2
2
+ - = 	 (Sn
= ( )n a l
2
+ )	
	 Thus,	 k n2 1
k
n
1
2
- =
=
^ h/ 							 (1)
1. The formula (1) can also be obtained by the following method
		 ( )k2 1
k
n
1
-
=
/ 	= k2 1
k
n
k
n
1 1
-
= =
/ / = 2 k n
k
n
1
-
=
c m/ =
( )( )n n
n
2
2 1+
- = n
2
.
2. From (1), 1 + 3 + 5 + g + l = l
2
1 2
+` j , since l = 2n – 1 1n l
2
( = + .
(ii)	 We know that a b a b a ab b
3 3 2 2
- = - + +^ ^h h.
	 `	 k k 1
3 3
- -^ h 	= k k k k1 1
2 2
+ - + -^ ^h h ( take a = k and b = k – 1)
	 (	 k k 1
3 3
- -^ h 	= 3 3 1k k
2
- + 				 (2)
	 When ,k 1= 	 1 0
3 3
- 	= 3 3 11 12
- +^ ^h h
	 When ,k 2= 	 2 1
3 3
- 	= 3 3 12 22
- +^ ^h h
	 When ,k 3= 	 3 2
3 3
- 	= 3 3 13 32
- +^ ^h h . Continuing this, we have
	 when ,k n= 	 n n 1
3 3
- -^ h 	 = 3 3 1n n2
- +^ ^h h .
	 Adding the above equations corresponding to , , ,k n1 2 g= column-wise, we obtain
		 n
3
= 3 3n n n1 2 1 2
2 2 2
g g+ + + - + + + +6 6@ @
	 Thus,		 3 n1 2
2 2 2
g+ + +6 @ = 3n n n1 2
3
g+ + + + -6 @
		 	3 k
k
n
2
1=
; E/ = n
n n
n
2
3 13
+
+
-
^ h
	 Hence,	 k
k
n
2
1=
/ =
n n n
6
1 2 1+ +^ ^h h
.				 (3)
Sequences and series of real numbers 61
(iii)	 1 2k n
k
n
3
1
3 3 3
g= + +
=
/
	 Let us observe the following pattern.
			 1
3
	= 1 	 = 1 2
^ h
			 1 2
3 3
+ 	= 9 	 = 1 2 2
+^ h
			 1 2 3
3 3 3
+ + 	= 36 	 = 1 2 3 2
+ +^ h
			1 2 3 4
3 3 3 3
+ + + 	= 100 	= 1 2 3 4 2
+ + +^ h .
	 Extending this pattern to n terms, we get
			1 2 3 n
3 3 3 3
g+ + + + 	 = n1 2 3 2
g+ + + +6 @
				 =
n n
2
1 2
+^ h
; E
	 Thus, 	 k
k
n
3
1=
/ 	 = k
n n
2
1
k
n
1
2 2
=
+
=
c
^
m
h
; E/ .			 (4)
(i)     The sum of the first n natural numbers,
( )
k
n n
2
1
k
n
1
=
+
=
/ .
(ii)    The sum of the first n odd natural numbers, k n2 1
k
n
1
2
- =
=
^ h/ .
(iii)   The sum of first n odd natural numbers (when the last term l is given) is
1 + 3 + 5 + g + l = l
2
1 2
+` j .
(iv)   The sum of squares of first n natural numbers,
k
k
n
2
1=
/ =
n n n
6
1 2 1+ +^ ^h h
.
(v)   The sum of cubes of the first n natural numbers,
k
k
n
3
1=
/ =
n n
2
1 2
+^ h
; E .	
Example 2.29
	 Find the sum of the following series
(i) 26 27 28 60g+ + + + (ii) 1 3 5 25tog+ + + terms (iii) 31 33 53.g+ + +
Solution	
(i) We have 26 27 28 60g+ + + + = 1 2 3 60 1 2 3 25g g+ + + + - + + + +^ ^h h
			 = n n
1
60
1
25
-/ /
			 =
2
60 60 1
2
25 25 1+
-
+^ ^h h
			 = (30 61) (25 13)# #- 	= 1830 325- = 1505.
62 10th Std. Mathematics
(ii)	 Here,	n 25=
	 ` 1 3 5 25to termsg+ + + = 25
2
( ( )k n2 1
k
n
1
2
- =
=
/ )
						 = 625. 			
(iii)	 31 33 53g+ + +
		 = 1 3 5 53g+ + + +^ h 1 3 5 29g- + + + +^ h
		 =
2
53 1
2
29 12 2
+ - +` `j j ( 1 + 3 + 5 + g + l = l
2
1 2
+` j )
		 = 27 15
2 2
- = 504.
Example 2.30
	 Find the sum of the following series
	 (i) 1 2 3 25
2 2 2 2
g+ + + + 	 (ii) 12 13 14 35
2 2 2 2
g+ + + +
	 (iii) 1 3 5 51
2 2 2 2
g+ + + + .
Solution
(i)	 Now, 1 2 3 25 n
2 2 2 2 2
1
25
g+ + + + = /
				=
6
25 25 1 50 1+ +^ ^h h
	 ( k
k
n
2
1=
/ =
n n n
6
1 2 1+ +^ ^h h
)
				=
6
25 26 51^ ^ ^h h h
	 ` 	 1 2 3 25
2 2 2 2
g+ + + + 	 = 5525.	
(ii)	 Now, 12 13 14 35
2 2 2 2
g+ + + +
			 = 1 2 3 35
2 2 2 2
g+ + + +^ h 1 2 3 11
2 2 2 2
g- + + + +^ h
			 = n n
2 2
1
11
1
35
-//
			 =
6
35 35 1 70 1
6
11 12 23+ +
-
^ ^ ^ ^h h h h
			 =
6
35 36 71
6
11 12 23
-
^ ^ ^ ^ ^ ^h h h h h h
			 = 14910 506- = 14404.
(iii)	 Now, 1 3 5 51
2 2 2 2
g+ + + +
			 = 1 2 3 51 2 4 6 50
2 2 2 2 2 2 2 2
g g+ + + + - + + +^ ^h h
			 = 2n 1 2 3 25
2
1
51
2 2 2 2 2
g- + + + +6 @/
Sequences and series of real numbers 63
			 = 4n n
2
1
51
2
1
25
-/ /
			 = 4
6
51 51 1 102 1
6
25 25 1 50 1
#
+ +
-
+ +^ ^ ^ ^h h h h
			 = 4
6
51 52 103
6
25 26 51
#-
^ ^ ^ ^ ^h h h h h
			 = 4 221005526 - = 23426.
Example 2.31
	 Find the sum of the series.
	 (i) 1 2 3 20
3 3 3 3
g+ + + + 		 (ii) 11 12 13 28
3 3 3 3
g+ + + +
Solution
(i)	 1 2 3 20 n
3 3 3 3 3
1
20
g+ + + = /
			 =
2
20 20 1 2
+^
c
h
m 	 using k
k
n
3
1=
/ =
n n
2
1 2
+^ h
; E .
			 =
2
20 21 2
#` j = 210 2
^ h = 44100.
(ii)	 Next we consider 11 12 28
3 3 3
g+ + +
		 = 1 2 3 28 1 2 10
3 3 3 3 3 3 3
g g+ + + + - + + +^ ^h h
		 = n n
3
1
28
3
1
10
-/ / 	
		 =
2
28 28 1
2
10 10 12 2
+
-
+^ ^h h
; ;E E
		 = 406 55 (4 6 )( )0 55 406 55
2 2
- = + -
		 = (461)(351) = 161811.
Example 2.32
	 Find the value of k, if 1 2 3 k
3 3 3 3
g+ + + + = 4356
Solution	 Note that k is a positive integer.
	 Given	 that 1 2 3 k
3 3 3 3
g+ + + + = 4356
		 	(
k k
2
1 2
+^
c
h
m = 4356 =6 6 11 11# # #
	 Taking square root, we get
k k
2
1+^ h
= 66
		 	( 132k k
2
+ - = 0 ( k k12 11+ -^ ^h h = 0
	 Thus, k 11= , since k is positive.
64 10th Std. Mathematics
Example 2.33
	 (i)	 If 1 2 3 120ng+ + + + = , find 1 2 3 n
3 3 3 3
g+ + + .
	 (ii)	 If 1 2 3 36100,n
3 3 3 3
g+ + + + = then find 1 2 3 .ng+ + + + 	
Solution
(i)	 Given 	1 2 3 ng+ + + + = 120	 i.e.
n n
2
1+^ h
= 120
	 `	 	1 2 n
3 3 3
g+ + + =
n n
2
1 2
+^
c
h
m = 120
2
= 14400
(ii)	 Given 1 2 3 n
3 3 3 3
g+ + + + = 36100
		 (	
n n
2
1 2
+^
c
h
m 	= 36100 =19 19 10 10# # #
		 (	
n n
2
1+^ h
= 190
	 Thus, 	 1 + 2 + 3 + g + n	 = 190.
Example 2.34
	 Find the total area of 14 squares whose sides are 11cm, 12cm, g, 24cm,
respectively.
Solution	 The areas of the squares form the series 11 12 24
2 2 2
g+ + +
	 Total area of 14 squares = 11 12 13 24
2 2 2 2
g+ + + +
					 = 1 2 3 24
2 2 2 2
g+ + + +^ h 1 2 3 10
2 2 2 2
g- + + + +^ h
					 = n n
2
1
24
2
1
10
-/ /
					 =
6
24 24 1 48 1
6
10 10 1 20 1+ +
-
+ +^ ^ ^ ^h h h h
					 =
6
24 25 49
6
10 11 21
-
^ ^ ^ ^ ^ ^h h h h h h
					 = 4900 385-
					 = 4515 sq. cm.
Exercise 2.6
1.	 Find the sum of the following series.	
	 (i) 1 + 2 + 3 + g + 45 	 (ii) 16 17 18 25
2 2 2 2
g+ + + +
(iii) 2 + 4 + 6 + g + 100 	 (iv) 7 + 14 +21 g + 490
	 (v) 5 7 9 39
2 2 2 2
g+ + + + 	 (vi) 16 17 35
3 3 3
g+ + +
Sequences and series of real numbers 65
2.	 Find the value of k if
	 (i) 1 2 3 6084k
3 3 3 3
g+ + + + = 	 (ii) 1 2 3 2025k
3 3 3 3
g+ + + + =
3. 	 If 1 2 3 171pg+ + + + = ,  then find  1 2 3 p
3 3 3 3
g+ + + + .
4. 	 If 1 2 3 8281k
3 3 3 3
g+ + + + = , then find 1 2 3 kg+ + + + .
5.	 Find the total area of 12 squares whose sides are 12cm, 13cm, g, 23cm. respectively.
6.	 Find the total volume of 15 cubes whose edges are 16cm, 17cm, 18cm, g, 30cm
respectively.
Exercise 2.7
Choose the correct answer.
1.	 Which one of the following is not true?
	 (A)   A sequence is a real valued function defined on N.
	 (B) Every function represents a sequence.
	 (C)   A sequence may have infinitely many terms.
	 (D)   A sequence may have a finite number of terms.
2.	 The 8th
term of the sequence 1, 1, 2, 3, 5, 8, g is
	 (A) 25	 (B) 24	 (C) 23	 (D) 21
3.	 The next term of
20
1 in the sequence , , , ,
2
1
6
1
12
1
20
1 g is
	 (A)
24
1 	 (B)
22
1 	 (C)
30
1 	 (D)
18
1
4.	 If a, b, c, l, m are in A.P, then the value of 4 6 4a b c l m- + - + is
	 (A) 1	 (B) 2	 (C) 3	 (D) 0
5.	 If a, b, c are in A.P. then
b c
a b
-
- is equal to
	 (A)
b
a 	 (B)
c
b 	 (C)
c
a 	 (D) 1
6.	 If the nth
term of a sequence is 100n+10, then the sequence is
	 (A) an A.P.	 (B) a G.P. (C) a constant sequence	 (D) neither A.P. nor G.P.
7.	 If , , ,a a a1 2 3
gare in A.P. such that ,
a
a
2
3
7
4
= then the 13th
term of the A.P. is
	 (A)
2
3 	 (B) 0	 (C) a12 1 	 (D) a14 1
8.	 If the sequence , , ,a a a1 2 3
g is in A.P. , then the sequence , , ,a a a5 10 15
g is
	 (A) a G.P.	 (B) an A.P. (C) neither A.P nor G.P. (D) a constant sequence
9.	 If k+2, 4k–6, 3k–2 are the three consecutive terms of an A.P, then the value of k is
	 (A) 2	 (B) 3	 (C) 4 	 (D) 5
10.	 If a, b, c, l, m. n are in A.P., then 3a+7, 3b+7, 3c+7, 3l+7, 3m+7, 3n+7 form
	 (A) a G.P.	 (B) an A.P. (C) a constant sequence	 (D) neither A.P. nor G.P
66 10th Std. Mathematics
11.	 If the third term of a G.P is 2, then the product of first 5 terms is
	 (A) 5
2
	 (B) 2
5
	 (C) 10	 (D) 15
12.	 If a, b, c are in G.P, then
b c
a b
-
- is equal to
	 (A)
b
a 	 (B)
a
b 	 (C)
c
a 	 (D)
b
c
13.	 If ,x x2 2+ , 3 3x + are in G.P, then ,x5 x10 10+ , 15 15x + form
	 (A) an A.P.	 (B) a G.P. (C) a constant sequence (D) neither A.P. nor a G.P.
14.	 The sequence –3, –3, –3,g is	
	 (A) an A.P. only	 (B) a G.P. only (C) neither A.P. nor G.P	 (D) both A.P. and G.P.
15.	 If the product of the first four consecutive terms of a G.P is 256 and if the common
ratio is 4 and the first term is positive, then its 3rd term is
	 (A) 8	 (B)
16
1 	 (C)
32
1 	 (D) 16
16.	 In a G.P, t
5
3
2
= and t
5
1
3
= . Then the common ratio is
	 (A)
5
1 	 (B)
3
1 	 (C) 1	 (D) 5
17.	 If x 0! , then 1 sec sec sec sec secx x x x x
2 3 4 5
+ + + + + is equal to
	 (A) (1 )( )sec sec sec secx x x x
2 3 4
+ + + 	 (B) (1 )( )sec sec secx x x1
2 4
+ + + 	
	 (C) (1 )( )sec sec sec secx x x x
3 5
- + + 	 (D) (1 )( )sec sec secx x x1
3 4
+ + +
18.	 If the n
th
term of an A.P. is 3 5t nn
= - , then the sum of the first n terms is
	 (A) n n
2
1 5-6 @	 (B) n n1 5-^ h	 (C) n n
2
1 5+^ h	 (D) n n
2
1 +^ h
19.	 The common ratio of the G.P. a
m n-
, a
m
, a
m n+
is
	 (A) a
m
	 (B) a
m-
	 (C) a
n
	 (D) a
n-
20.	 If 1 + 2 + 3 +. . . + n = k then 1
3
n2
3 3
g+ + + is equal to
	 (A) k
2
	 (B) k
3
	 (C)
k k
2
1+^ h
	 (D) k 1 3
+^ h
Sequences and series of real numbers 67
q	A sequence of real numbers is an arrangement or a list of real numbers in a specific order.
q	 The sequence given by 1F F1 2
= = and ,F F Fn n n1 2
= +- -
3,4,n g= is called the
Fibonacci sequence which is nothing but 1, 1, 2, 3, 5, 8, 13, 21, 34, g
q	 A sequence , , , , ,a a a an1 2 3
g g is called an arithmetic sequence if a a dn n1
= ++ , n N!
where d is a constant. Here a1
is called the first term and the constant  d is called the
common difference.
	 The formula for the general term of an A.P. is ( )t a n d n1 Nn 6 != + - .
q	 A sequence , , , , ,a a a an1 2 3
g g is called a geometric sequence if , 0,a a r rwheren n1
!=+
n N! where r is a constant. Here, a1
is the first term and the constant r is called the
common ratio. The formula for the general term of a G.P. is , , , ,t ar n 1 2 3n
n 1
g= =
-
.
q	 An expression of addition of terms of a sequence is called a series. If the sum consists only
finite number of terms, then it is called a finite series. If the sum consists of infinite number
of terms of a sequence, then it is called an infinite series.
q	 The sum Sn
of the first n terms of an arithmetic sequence with first term a and common
difference d is given by Sn = [2 ( 1) ]n a n d
2
+ - = ( )n a l
2
+ , where l is the last term.
q	 The sum of the first n terms of a geometric series is given by
			
( ) ( )
,
.
S r
a r
r
a r
r
na r
1
1
1
1
1
1
if
if
n
n n
!= -
-
=
-
-
=
*
		 where a is the first term and  r is the common ratio.
q	 The sum of the first n natural numbers,
( )
k
n n
2
1
k
n
1
=
+
=
/ .
q	 The sum of the first n odd natural numbers, k n2 1
k
n
1
2
- =
=
^ h/
q	 The sum of first n odd natural numbers ( when the last term l is given) is
					 1 + 3 + 5 + g + l = l
2
1 2
+` j .
q	 The sum of squares of first n natural numbers, k
k
n
2
1=
/ =
n n n
6
1 2 1+ +^ ^h h
.
q	 The sum of cubes of the first n natural numbers, k
k
n
3
1=
/ =
n n
2
1 2
+^ h
; E .
Do you know?
A Mersenne number, named after Marin Mersenne, is a positive integer of the form
M =2 1p
- , where p is a positive integer. If M is a prime, then it is called a Mersenne
prime.Interestingly, if 2 1p
- is prime, then p is prime.The largest known prime number
2 1, ,43 112 609
- is a Mersenne prime.
Points to Remember
68 10th Std. Mathematics
3.1	 Introduction
	 Algebra is an important and a very old branch of
mathematics which deals with solving algebraic equations.
In third century, the Greek mathematician Diophantus wrote
a book “Arithmetic” which contained a large number of
practical problems. In the sixth and seventh centuries,
Indian mathematicians like Aryabhatta and Brahmagupta
have worked on linear equations and quadratic equations
and developed general methods of solving them.
	 The next major development in algebra took place
in ninth century by Arab mathematicians. In particular,
Al-Khwarizmi’s book entitled “Compendium on calculation
by completion and balancing” was an important milestone.
There he used the word aljabra - which was latinized into
algebra - translates as competition or restoration. In the
13th century, Leonardo Fibonacci’s books on algebra
was important and influential. Other highly influential
works on algebra were those of the Italian mathematician
Luca Pacioli (1445-1517), and of the English mathematician
Robert Recorde (1510-1558).
	 In later centuries Algebra blossomed into more
abstract and in 19th century British mathematicians took
the lead in this effort. Peacock (Britain, 1791-1858) was the
founder of axiomatic thinking in arithmetic and algebra. For
this reason he is sometimes called the “Euclid of Algebra”.
DeMorgan (Britain, 1806-1871) extended Peacock’s work to
consider operations defined on abstract symbols.
	 In this chapter, we shall focus on learning
techniques of solving linear system of equations and
quadratic equations.
ALGEBRAALGEBRA
Al-Khwarizmi
(780-850)
Arab
	 Al-Khwarizmi’s contribution
to Mathematics and Geography
established the basis for innovation
in Algebra and Trigonometry. He
presented the first systematic solution
of linear and quadratic equations.
	 He is considered the founder of
algebra. His work on arithmetic was
responsible for introducing the Arabic
numerals based on the Hindu-Arabic
numeral system developed in Indian
Mathematics, to the Western world.
	Introduction
	Polynomials
	Synthetic Division
	GCD and LCM
	Rational Expressions
	Square root
	Quadratic Equations
33 The human mind has never invented a labour-saving machine
equal to algebra - Author unknown
68
Algebra 69
Definition
Remarks
3.2	 System of linear equations in two unknowns
	 In class IX, we have studied the linear equation ax b+ = 0, a 0! , in one unknown x.
	 Let us consider a linear equation ax by c+ = , where at least one of a and b is non-zero,
in two unknowns x and y. An ordered pair ( , )x y0 0 is called a solution to the linear equation if
the values ,x x y y0 0= = satisfy the equation.
	 Geometrically, the graph of the linear equation ax by c+ = is a straight line in a
plane. So each point ( ,x y) on this line corresponds to a solution of the equation ax by c+ = .
Conversely, every solution ( ,x y) of the equation is a point on this straight line. Thus, the
equation ax by c+ = has infinitely many solutions.
	 A set of finite number of linear equations in two unknowns x yand that are to be
treated together, is called a system of linear equations in x yand . Such a system of equations
is also called simultaneous equations.
	 An ordered pair ( , )x y0 0 is called a solution to a linear system in two variables if the
values ,x x y y0 0= = satisfy all the equations in the system.
	 A system of linear equations
					 a x b y c1 11+ = 					
					 a x b y c2 2 2+ =
in two variables is said to be
	 (i) consistent if at least one pair of values of x and y satisfies both equations and
	 (ii) inconsistent if there are no values of x and y that satisfy both equations.
In this section, we shall discuss only a pair of linear equations in two variables.
	 (i)	 An equation of the form ax by c+ = is called linear because the variables are only
to the first power, and there are no products of variables in the equation.
	 (ii)	 It is also possible to consider linear systems in more than two variables. You will
learn this in higher classes.
Let us consider a linear system
					 a x b y c1 11+ = 					 (1)
					 a x b y c2 2 2+ = 					 (2)
in two variables x yand , where any of the constants , ,a b a band1 1 2 2 can be zero with the
exception that each equation must have at least one variable in it or simply,
		 , .a b a b0 01
2
1
2
2
2
2
2
! !+ + 		
Geometrically the following situations occur. The two straight lines represented by (1) and (2)
	 (i)	 may intersect at exactly one point
	 (ii)	 may not intersect at any point
	 (iii)	 may coincide.
70 10th Std. Mathematics
Note
	 If (i) happens, then the intersecting point gives the unique solution of the system.
If (ii) happens, then the system does not have a solution. If (iii) happens, then every point on
the line corresponds to a solution to the system. Thus, the system will have infinitely many
solutions in this case.
	 Now, we will solve a system of linear equations in two unknowns using the following
algebraic methods (i) the method of elimination (ii) the method of cross multiplication.
3.2.1 	Elimination method
	 In this method, we may combine equations of a system in such a manner as to get rid
of one of the unknowns. The elimination of one unknown can be achieved in the following
ways.
	 (i) 	 Multiply or divide the members of the equations by such numbers as to make the
coefficients of the unknown to be eliminated numerically equal.
	 (ii) 	 Then, eliminate by addition if the resulting coefficients have unlike signs and by
subtraction if they have like signs.
Example 3.1
	 Solve 	 x y3 5- = –16 , x y2 5+ = 31
Solution	 The given equations are
	 			 x y3 5- = –16							 (1)	
				 x y2 5+ = 31 							 (2)
	 Note that the coefficients of y in both equations are numerically equal.
	 So, we can eliminate y easily.
	 Adding (1) and (2), we obtain an equation
				 5x = 15							 (3)
	 	 That is,	 x = 3. 	
	 Now, we substitute x = 3 in (1) or (2) to solve for y.
	 Substituting x = 3 in (1) we obtain,	 3(3) –5y = –16
					 ( y = 5.
	 Now, (3, 5) a is solution to the given system because (1) and (2) are true when x = 3 	
	 and y = 5 as from (1) and (2) we get, 3(3) – 5(5) = –16 and 2(3) +5(5) = 31.
	 Obtaining equation (3) in only one variable is an important step in finding the
solution. We obtained equation (3) in one variable x by eliminating the variable y.
So this method of solving a system by eliminating one of the variables first, is called
“method of elimination”.
Algebra 71
Note
Remarks
Example 3.2
	 The cost of 11 pencils and 3 erasers is ` 50 and the cost of 8 pencils and 3 erasers is
` 38. Find the cost of each pencil and each eraser.
Solution	 Let x denote the cost of a pencil in rupees and y denote the cost of an eraser in rupees.
	 Then according to the given information we have
			 x y11 3+ 	 = 50	 					 (1)
			 x y8 3+ 	 = 38						 (2)
	 Subtracting (2) from (1) we get, x3 = 12 which gives 4x = .
	 Now substitute x	= 4 in (1) to find the value of y. We get,
			 11(4) 3y+ 	 = 50	 i.e., y 2= .
	 Therefore, 4 2x yand= = is the solution of the given pair of equations.
	 Thus, the cost of a pencil is ` 4 and that of an eraser is ` 2.
	 It is always better to check that the obtained values satisfy the both equations.
Example 3.3
	 Solve by elimination method 	 3x y4+ = –25, x y2 3- = 6
Solution	 The given system is
				 3x y4+ 	 = –25 					 (1)
			 x y2 3- 	= 6 					 (2)
	 To eliminate the variable x, let us multiply (1) by 2 and (2) by –3 to obtain
		 (1) # 2 ( 	 x y6 8+ 	 = –50					 (3)
		 (2) # –3 ( 	 x y6 9- + 	 = –18					 (4)
	 Now, adding (3) and (4) we get, 	 y17 	= – 68 which gives y = – 4
	 Next, substitute y	= – 4 in (1) to obtain
				 ( )x3 4 4+ - 	 = – 25	
			 That is,	 x = – 3
	 Hence, the solution is ( –3, –4 ).
	 In Example 3.3, it is not possible to eliminate one of the variables by simply
adding or subtracting the given equations as we did in Example 3.1. Thus, first we
shall do some manipulations so that coefficients of either x or y are equal except
for sign. Then we do the elimination.
72 10th Std. Mathematics
Example 3.4
	 Using elimination method, solve x y101 99+ = 499, x y99 101+ = 501
Solution	 The given system of equations is
				 x y101 99+ = 499					 (1)
				 x y99 101+ = 501					 (2)
	 Here, of course we could multiply equations by appropriate numbers to eliminate one
of the variables.
	 However, note that the coefficient of x in one equation is equal to the coefficient of
y in the other equation. In such a case, we add and subtract the two equations to get a new
system of very simple equations having the same solution.
	 Adding (1) and (2), we get 	 x y200 200+ 	= 1000.
	 Dividing by 200 we get,		 x y+ 	 = 5				 (3)
	 Subtracting (2) from (1), we get x y2 2- 	 = –2 which is same as
						 x y- 	 = –1 				 (4)		
	 Solving (3) and (4), we get x = 2, y = 3.
	 Thus, the required solution is ( 2, 3 ).
Example 3.5
	 Solve x y3 2 +^ h = xy7 ; x y3 3+^ h = xy11 using elimination method
Solution	 	 The given system of equations is
				 x y3 2 +^ h = xy7 					 (1)
				 x y3 3+^ h = xy11 					 (2)
Observe that the given system is not linear because of the occurrence of xy term.
	 Also, note that if x = 0, then y = 0 and vice versa. So, (0, 0) is a solution for the 		
	 system 	and any other solution would have both x ! 0 and y 0! .
	 Thus, we consider the case where x 0! , y 0! .
	 Dividing both sides of each equation by xy, we get
			
y x
6 3+ 	= 7, i.e.,
x y
3 6+ = 7			 (3)
	 and
		 	
x y
9 3+ 	= 11					 (4)
	 Let 	 a
x
1= and b
y
1= .
	 Equations (3) and (4) become
			 a b3 6+ 	= 7 					 (5)
			 a b9 3+ 	= 11				 (6)
			 which is a linear system in a and b.
Algebra 73
	 To eliminate b, we have (6) #2 ( 18a + 6b = 22				 (7)
	 Subtracting (7) from (5) we get, 	 a15- 	= –15. That is, a = 1.
	 Substituting a = 1 in (5) we get, 	 b	=
3
2 . Thus, a = 1 and b
3
2= .
	 When a = 1, we have
x
1 1= . 	 Thus, x 1= .
	 When b =
3
2 , we have
y
1
3
2= . 	 Thus, y
2
3= .
	 Thus, the system has two solutions ( 1,
2
3 ) and ( 0, 0 ).
Aliter
	 The given system of equations can also be solved in the following way.
	 Now,		 x y3 2 +^ h	 = xy7 					 (1)
			 x y3 3+^ h	 = xy11 				 (2)
	 Now, (2) × 2 – (1) (	 15y	 = 15xy
		 (	 15y(1–x)	 = 0. Thus, x = 1 and y = 0
	 When x = 1, we have y 	=
2
3 and when y = 0, we have x = 0
	 Hence, the two solutions are ( 1,
2
3 ) and ( 0, 0 ).
Note : In 15y = 15xy, y is not to be cancelled out as y = 0 gives another solution.
Exercise 3.1
Solve each of the following system of equations by elimination method.
1.	 x y2 7+ = , x y2 1- = 	 2.	 x y3 8+ = , x y5 10+ =
3.	 x
y
2
4+ = , x y
3
2 5+ = 	 4.	 x y xy11 7- = , x y xy9 4 6- =
5.	
x y xy
3 5 20+ = ,
x y xy
2 5 15+ = , 0,x y 0! ! 	 6.	 x y xy8 3 5- = , x y xy6 5 2- =-
7.	 x y13 11 70+ = , x y11 13 74+ = 	 8.	 x y65 33 97- = , x y33 65 1- =
9.	
x y
15 2 17+ = , , ,
x y
x y1 1
5
36 0 0! !+ = 10.
x y
2
3
2
6
1+ = , 0, 0, 0
x y
x y3 2 ! !+ =
Cardinality of the set of solutions of the system of linear equations
	 Let us consider the system of two equations
				 a x b y c1 1 1+ + 	= 0 					 (1)	
				 a x b y c2 2 2+ + = 0					 (2)
	 where the coefficients are real numbers such that   , .a b a b0 01
2
1
2
2
2
2
2
! !+ +
74 10th Std. Mathematics
	 Let us apply the elimination method for equating the coefficients of y.
	 Now, multiply equation (1) by b2 and equation (2) by b1 , we get,
			 b a x b b y b c2 1 2 1 2 1+ + = 0						 (3)
	 		 b a x b b y b c1 2 1 2 1 2+ + = 0						 (4)
	 Subtracting equation (4) from (3), we get
			 b a b a x2 1 1 2-^ h 	 = b c b c1 2 2 1- ( x =
a b a b
b c b c
1 2 2 1
1 2 2 1
-
-
provided 0a b a b1 2 2 1 !-
	 Substituting the value of x in either (1) or (2) and solving for y, we get
						 y =
a b a b
c a c a
1 2 2 1
1 2 2 1
-
-
, provided 0a b a b1 2 2 1 !- .
	 Thus, we have
		 x =
a b a b
b c b c
1 2 2 1
1 2 2 1
-
-
and y	 =
a b a b
c a c a
1 2 2 1
1 2 2 1
-
-
, 0a b a b1 2 2 1 !- .		 (5)
	 Here, we have to consider two cases.
Case (i)	 0a b a b1 2 2 1 !- . That is,
a
a
b
b
2
1
2
1
! .
		 In this case, the pair of linear equations has a unique solution.
Case (ii)	 0a b a b1 2 2 1- = . That is,
a
a
b
b
2
1
2
1
= if 0a2 ! and 0b2 ! .
		 In this case, let 	
a
a
b
b
2
1
2
1
m= = .	Then a a1 2m= , b b1 2m=
	 Now, substituting the values of a1 and b1 in equation (1) we get,
	 a x b y c2 2 1m + +^ h 	= 0							 (6)
	 It is easily observed that both the equations (6) and (2) can be satisfied only if
		 	 c1 	 = c2m (
c
c
2
1
= m
If c c1 2m= , any solution of equation (2) will also satisfy the equation (1) and vice versa.
	 So, if
a
a
b
b
c
c
2
1
2
1
2
1
m= = = ; then there are infinitely many solutions to the pair of 		
	 linear equations given by (1) and (2).
	 If c c1 2! m , then any solution of equation (1) will not satisfy equation (2) and vice versa.
	 Hence, if
a
a
b
b
c
c
2
1
2
1
2
1
!= , then the pair of linear equations given by (1) and (2) 	
	 has no solution.
Algebra 75
Note
Now, we summarise the above discussion.
For the system of equations
			 0a x b y c1 1 1+ + = 									
			 0a x b y c2 2 2+ + = , where , .a b a b0 01
2
1
2
2
2
2
2
! !+ +
	(i)	 If 0a b b a1 2 1 2 !- or
a
a
b
b
2
1
2
1
! , then the system of equations has a unique solution.
	(ii)	 If
a
a
b
b
c
c
2
1
2
1
2
1
= = , then the system of equations has infinitely many solutions.
	(iii)	If
a
a
b
b
c
c
2
1
2
1
2
1
!= , then the system of equations has no solution.
3.2.2	 Cross multiplication method
	 While solving a pair of linear equations in two unknowns x and y using elimination
method, we utilised the coefficients effectively to get the solution. There is another method
called the cross multiplication method, which simplifies the procedure. Now, let us describe
this method and see how it works.
Let us consider the system
				 0a x b y c1 1 1+ + = 						 (1)
				 0a x b y c2 2 2+ + = with 0a b b a1 2 1 2 !- 			 (2)
We have already established that the system has the solution
		 x 	=
a b a b
b c b c
1 2 2 1
1 2 2 1
-
-
, y =
a b a b
c a c a
1 2 2 1
1 2 2 1
-
-
Thus, we can write
b c b c
x
1 2 2 1-
=
a b a b
1
1 2 2 1-
,
c a c a
y
1 2 2 1-
=
a b a b
1
1 2 2 1-
	
Let us write the above in the following form
			
b c b c
x
1 2 2 1-
=
c a c a
y
1 2 2 1-
=
a b a b
1
1 2 2 1-
.	
The following arrow diagram may be very useful in remembering the above relation.
x y 1
	 The arrows between the two numbers indicate that they are multiplied, the second
product (upward arrow) is to be subtracted from the first product (downward arrow).
b1
b2
c1
c2
a1
a2
b1
b2
76 10th Std. Mathematics
	 Method of solving a linear system of equations by the above form is called the 	
	 cross multiplication method.
Note that in the representation
b c b c
x
1 2 2 1-
	=
c a c a
y
1 2 2 1-
	=
a b a b
1
1 2 2 1-
	,
b c b c1 2 2 1- or c a c a1 2 2 1- may be equal to 0 but a b a b 01 2 2 1 !- .
Hence, for the system of equations 0a x b y c1 1 1+ + =
			 0a x b y c2 2 2+ + =
(i) if b c b c1 2 2 1- = 0 and a b a b 01 2 2 1 !- , then x = 0
(ii) if c a c a1 2 2 1- = 0 and a b a b 01 2 2 1 !- , then y = 0
	 Hereafter, we shall mostly restrict ourselves to the system of linear equations having
unique solution and find the solution by the method of cross multiplication.
Example 3.6
	 Solve
			 2x + 7y – 5	 = 0
			 –3x + 8y	 = –11
Solution The given system of equations is
			 2x + 7y – 5	 = 0
			 –3x + 8y +11	 = 0
	 For the cross multiplication method, we write the coefficients as
x y 1
7 –5 2 7
8 11 –3 8
Hence, we get
( )( ) ( )( )
x
7 11 8 5- -
=
( )( ) ( )( )
y
5 3 2 11- - -
=
( )( ) ( )( )2 8 3 7
1
- -
.
	 That is, x
117
=
y
7-
=
37
1 . i.e., x = , y
37
117
37
7=- .
	 Hence, the solution is ,
37
117
37
7-` j.
Example 3.7
	 Using cross multiplication method, solve 	3x + 5y = 25
					 7x + 6y	 = 30
Solution The given system of equations is 3x + 5y –25	= 0
					 7x + 6y–30	 = 0
	 Now, writing the coefficients for cross multiplication, we get
x y 1
5 –25 3 5
6 –30 7 6
Algebra 77
Note
(	 x
150 150- +
=
y
175 90- +
=
18 35
1
-
. i.e., x y
0 85 17
1=
-
=
-
.	
	 Thus, we have x = 0, y = 5. Hence, the solution is (0, 5).
	 Here, x
0
=
17
1- is to mean x =
17
0
-
= 0. Thus x
0
is only a notation and it is
not division by zero. It is always true that division by zero is not defined.
Example 3.8
	 In a two digit number, the digit in the unit place is twice of the digit in the tenth
place. If the digits are reversed, the new number is 27 more than the given number. Find the
number.
Solution	 Let x denote the digit in the tenth place and y denote the digit in unit place.. So,
the number may be written as x y10 + in the expanded form. (just like 35= 10(3) +5)
	 When the digits are reversed, x becomes the digit in unit place and y becomes the digit
in the tenth place. The changed number, in the expanded form is 10y + x.
	 According to the first condition, we have y x2= which is written as
	 		 x y2 - 	 = 0					 (1)
	 Also, by second condition, we have
		 	 ( ) ( )y x x y10 10+ - + 	 = 27
	 That is,	 x y9 9- + 	 = 27 ( x y- + = 3		 (2)
	 Adding equations (1) and (2), we get x= 3.
	 Substituting x 3= in the equation (2), we get y = 6.
	 Thus,	the given number is 	(3#10) + 6 = 36.
Example 3.9
	 A fraction is such that if the numerator is multiplied by 3 and the denominator is
reduced by 3, we get
11
18 , but if the numerator is increased by 8 and the denominator is
doubled, we get
5
2 . Find the fraction.
Solution	 Let the fraction be
y
x . According to the given conditions, we have
		
y
x
3
3
-
=
11
18 	 	and	
y
x
2
8+ =
5
2
	 (	 x11 = y6 18- 		and 	 x5 40+ = y4
78 10th Std. Mathematics
	 So, we have	 	 x y11 6 18- + = 0				 (1)
				 x y5 4 40- + = 0				 (2)
On comparing the coefficients of (1) and (2) with 0a x b y c1 1 1+ + = , 0a x b y c2 2 2+ + = ,
	 we have a1 = 11, b1 = – 6, c1 = 18 ; a2 = 5, b2 = –4, c2 = 40.
	 Thus,	 a b a b1 2 2 1- 	= ( )( ) ( )( )11 4 5 6- - - = 14- ! 0.
	 Hence, the system has a unique solution.
	 Now, writing the coefficients for the cross multiplication, we have
x y 1
–6 18 11 –6
–4 40 5 –4
	 ( x
240 72- +
	=
y
90 440-
=
44 30
1
- +
	 ( x
168-
	 =
y
350-
=
14
1
-
	 Thus,	 x	=
14
168 = 12 ; y =
14
350 = 25. Hence, the fraction is
25
12 .
Example 3.10
	 Eight men and twelve boys can finish a piece of work in 10 days while six men and
eight boys can finish the same work in 14 days. Find the number of days taken by one man
alone to complete the work and also one boy alone to complete the work.
Solution	 Let x denote the number of days needed for one man to finish the work and y
denote the number of days needed for one boy to finish the work. Clearly, 0 0.x yand! !
	 So, one man can complete
x
1 part of the work in one day and one boy can complete 	
	
y
1 part of the work in one day.
	 The amount of work done by 8 men and 12 boys in one day is
10
1 .
	 Thus,	we have	
x y
8 12+ =
10
1 						 (1)
	 The amount of work done by 6 men and 8 boys in one day is
14
1 .
	 Thus,	we have	
x y
6 8+ =
14
1 							 (2)
	 Let a =
x
1 and b =
y
1 . Then (1) and (2) give, respectively, 	
	 		 a b8 12+ =
10
1 (	 a b4 6
20
1+ - = 0.			 (3)
	 a b6 8+ =
14
1 	 (	 a b3 4
28
1+ - = 0.			 (4)
Algebra 79
	 Writing the coefficients of (3) and (4) for the cross multiplication, we have
			 a		 b		 1
			 6		
20
1- 		 4		 6
			 4		
28
1- 		 3		 4
Thus, we have a
14
3
5
1- +
= 	 b
20
3
7
1- +
=
16 18
1
-
. i.e., a
70
1-
	= b
140
1-
=
2
1
-
.
	 That is, a =
140
1 , b =
280
1
	 Thus, we have 	 x =
a
1 = 140 , y =
b
1 = 280.
	 Hence, one man can finish the work individually in 140 days and one boy can 		
	 finish 	the work individually in 280 days.
Exercise 3.2
1.	 Solve the following systems of equations using cross multiplication method.
	 (i) x y3 4 24+ = , x y20 11 47- = 	 (ii) . . .x y0 5 0 8 0 44+ = , . . .x y0 8 0 6 0 5+ =
	 (iii) ,x y x y
2
3
3
5
2
3 2 6
13- =- + = 	 (iv) ,
x y x y
5 4 2 2 3 13- =- + =
2.	 Formulate the following problems as a pair of equations, and hence find their solutions:
	 (i)	One number is greater than thrice the other number by 2. If 4 times the smaller
number exceeds the greater by 5, find the numbers.
	 (ii)	The ratio of income of two persons is 9 : 7 and the ratio of their expenditure is 4 : 3.
		If each of them manages to save ` 2000 per month, find their monthly income.
	 (iii)	A two digit number is seven times the sum of its digits. The number formed by
reversing the digits is 18 less than the given number. Find the given number.
	 (iv)	Three chairs and two tables cost ` 700 and five chairs and three tables cost ` 1100.
What is the total cost of 2 chairs and 3 tables?
	 (v)	In a rectangle, if the length is increased and the breadth is reduced each by 2 cm
then the area is reduced by 28 cm
2
. If the length is reduced by 1 cm and the
breadth increased by 2cm , then the area increases by 33cm
2
. Find the area of the
rectangle.
	 (vi)	A train travelled a certain distance at a uniform speed. If the train had been
6 km/hr faster, it would have taken 4 hours less than the scheduled time. If the
train were slower by 6 km/hr, then it would have taken 6 hours more than the
scheduled time. Find the distance covered by the train.
80 10th Std. Mathematics
Remarks
x
y
(2, 0)
(3, 0)
x
y
(0, 1)
y = 5 6x x
2
- +
1y x
2
= +
Fig. 3.1
3.3 	 Quadratic polynomials
A polynomial of degree n in the variable x is a x a x a x a x a
n n n
n n0 1
1
2
2
1
g+ + + + +
- -
-
where 0a0 ! and , , , ...,a a a an1 2 3 are real constants.
	 A polynomial of degree two is called a quadratic polynomial and is normally written as
( )p x ax bx c
2
= + + , where a 0! , b and c are real constants. Real constants are polynomials
of degree zero.
	 For example, 1x x
2
+ + , 3 1x
2
- , 2x x
2
3
3
72
- + - are quadratic polynomials.
	 The value of a quadratic polynomial ( )p x ax bx c
2
= + + at x k= is obtained by
replacing x by k in ( )p x . Thus, the value of ( )p x at x k= is ( )p k ak bk c
2
= + + .
3.3.1	 Zeros of a polynomial
	 Consider a polynomial p(x). If k is a real number such that p(k) = 0, then k is called a
zero of the polynomial p(x).
For example,
the zeros of the polynomial q(x) = 5 6x x
2
- + are 2 and 3 because q(2) = 0 and q(3) = 0.
	 A polynomial may not have any zero in real numbers at all. For example,
( ) 1p x x
2
= + has no zeros in real numbers. That is, there is no real k such that
p k 0=^ h . Geometrically a zero of any polynomial is nothing but the x-coordinate of
the point of intersection of the graph of the polynomial and the x-axis if they intersect.
(see Fig. 3.1 and Fig. 3.2)
	
	 		
3.3.2	 Relationship between zeros and coefficients of a quadratic polynomial
	 In general, if a and b are the zeros of the quadratic polynomial ( )p x ax bx c
2
= + + ,
a 0! , then by factor theorem we get, x a- and x b- are the factors of p(x).
Therefore, ax bx c
2
+ + = k x xa b- -^ ^h h, where k is a non zero constant.
				 = k x x
2
a b ab- + +^ h6 @
Fig. 3.2
Algebra 81
To factorize
209x x
2
+ + , one
can proceed as
follows
20
4	 5 a 4+5=9, 4×5=20
4
1
5
1
( 4x + ) ( 5x + ).
coefficient of x2
constant term
Remarks
Note
	 Comparing the coefficients of x
2
, x and the constant term on both sides, we obtain
			 a = k, b	 = ( )k a b- + 	 and	 c = kab
The basic relationships between the zeros and the coefficients of ( )p x ax bx c
2
= + + are
		 sum of zeros : a b+ =
a
b- =
coefficient of
coefficient of
x
x
2- .
		 product of zeros : ab =
a
c =
coefficient of
constant term
x2 .
Example 3.11
	 Find the zeros of the quadratic polynomial 9 20x x
2
+ + , and verify the basic
relationships between the zeros and the coefficients.
Solution	 Let 	 ( ) 9 20p x x x
2
= + + 	= x x4 5+ +^ ^h h
So, p x 0=^ h (	 x x4 5+ +^ ^h h = 0 	 ` x 4=- or x 5=-
Thus, p(–4)	= (–4+4)(–4+5) = 0 and p(–5) = (–5+4)(–5+5) = 0
Hence, the zeros of ( )p x 	are –4 and –5
Thus, 	sum of zeros = –9 and the product of zeros 20= 	 (1)
From the basic relationships, we get
the sum of the zeros 	=
coefficient of
coefficient of
x
x
2- =
1
9- 9=- 	 (2)	
product of the zeros	=
coefficient of
constant term
x2 =
1
20 20= 	 (3)
	 Thus, the basic relationships are verified.
	 A quadratic polynomial ( )p x ax bx c
2
= + + may have atmost two zeros.
Now, for any a 0! , a x x
2
a b ab- + +^^ h h is a polynomial with zeros a and b. Since
we can choose any non zero a, there are infinitely many quadratic polynomials with
zeros a and b.
Example 3.12
	 Find a quadratic polynomial if the sum and product of zeros of it are –4 and 3
respectively.
Solution	 Let a and b be the zeros of a quadratic polynomial.
	 Given that a b+ = – 4 and ab = 3.
	 One of the such polynomials is ( )p x = ( )x x
2
a b ab- + +
				 = ( 4) 3x x
2
- - + = 4 3x x
2
+ +
82 10th Std. Mathematics
Aliter The required polynomial is obtained
directly as follows:
p(x) 	 = x x
4
1 1- +` ^j h
	 = x x
4
3
4
12
+ - .
Any other polynomial with the desired property
is obtained by multiplying p(x) by any non-
zero real number.
Note
Example 3.13
	 Find a quadratic polynomial with zeros at x =
4
1 and x = –1.
Solution	
Let a and b be the zeros of p(x)
Using the relationship between zeros and
coefficients, we have
	 ( )p x 	= ( )x x
2
a b ab- + +
		= x x
4
1 1
4
1 1
2
- - + -` ` ^j j h	
		= x x
4
3
4
12
+ -
It is a polynomial with zeros
4
1 and –1.
	 x x4 3 12
+ - is also a polynomial with zeros
4
1 and –1.
Exercise 3.3
1.	 Find the zeros of the following quadratic polynomials and verify the basic relationships
between the zeros and the coefficients.
	 (i) 2 8x x
2
- - (ii) 4 4 1x x
2
- + 	 (iii) 6 3 7x x
2
- - 	 (iv) 4 8x x
2
+
	 (v) 15x
2
- 	 (vi) 3 5 2x x
2
- + 	 (vii) 2 2 1x x2
2
- + 	 (viii) 2 143x x
2
+ -
2.	 Find a quadratic polynomial each with the given numbers as the sum and product of
its zeros respectively.
	 (i) 3, 1	 (ii) 2, 4		 (iii) 0, 4		 (iv) ,2
5
1
	 (v) ,
3
1 1	 (vi) ,
2
1 4- 		 (vii) ,
3
1
3
1- 		 (viii) ,3 2
3.4 	 Synthetic division
	 We know that when 29 is divided by 7 we get, 4 as the quotient and 1 as the remainder.
Thus, 29 = 4(7) + 1. Similarly one can divide a polynomial ( )p x by another polynomial ( )q x
which results in getting the quotient and remainder such that
	 		 ( )p x = (quotient) ( )q x + remainder
	 That is, 		 ( )p x = s x q x r x+^ ^ ^h h h, where deg r x^ h < degq x^ h.
	 This is called the Division Algorithm.
	 If ( )q x 	= x a+ , then deg r x^ h = 0. Thus, r x^ h is a constant.
	 Hence, ( )p x 	= s x x a r+ +^ ^h h , where r is a constant.
Now if we put x 	= –a in the above, we have p a-^ h = s a a a r- - + +^ ^h h ( r = p a-^ h.
	 Thus, if q x^ h = x a+ , then the remainder can be calculated by simply evaluating
	 ( )p x at x = –a.
Algebra 83
	 1	 2	 –1	 –4
	 0	 –2	 0	 2
	 1+0	 2+(–2)	 –1+0	 –4+2
	 = 1	 = 0	 = –1	 = –2
1#(–2) 0#(–2) –1#(–2)
–2
1 2 –1 –4
2 4x x x
3 2
+ - -
Paolo Ruffin
(1765-1822, Italy)
Remarks
Division algorithm :
If ( )p x is the dividend and q x^ h is the divisor, then by division
algorithm we write, ( )p x = s x q x r x+^ ^ ^h h h.
Now, we have the following results.
(i)	 If q(x) is linear , then r x^ h= r is a constant.
	 (ii)	 If ( )deg q x 1= (i.e., q(x) is linear), then ( )deg p x = ( )deg s x1 +
	 (iii)	 If ( )p x is divided by x a+ , then the remainder is ( )p a- .
	 (iv)	 If r = 0, we say q(x) divides p(x) or equivalently q(x) is a factor of p(x).
		 An elegant way of dividing a polynomial by a linear
polynomial was introduced by Paolo Ruffin in 1809. His method is
known as synthetic division. It facilitates the division of a polynomial
by a linear polynomial with the help of the coefficients involved.
	 Let us explain the method of synthetic division with an example.
	 Let ( )p x = 2 4x x x
3 2
+ - - 	 be the dividend and ( )q x = x 2+ be the divisor. We
shall find the quotient ( )s x and the remainder r, by proceeding as follows.
Step 1	 Arrange the dividend and the divisor according to the
descending powers of x and then write the coefficients of
dividend in the first row (see figure). Insert 0 for missing
terms.
Step 2	 Find out the zero of the divisor.
Step 3	Put 0 for the first entry in the 2nd
row.
	 Complete the entries of the 2nd
row and 3rd
row as shown below.
	 					
											 #remainder
Step 4	Write down the quotient and the remainder accordingly. All the entries except the last
one in the third row constitute the coefficients of the quotient.
	 Thus, the quotient is 1x
2
- and the remainder is –2.
84 10th Std. Mathematics
Example 3.14
	 Find the quotient and remainder when 7 3x x x
3 2
+ - - is divided by x 3- .
Solution	 Let ( )p x = 7 3x x x
3 2
+ - - . The zero of the divisor is 3. So we consider,
	 3		 1	 1	 –7	 –3
			 0	 3	 12	 15
			 1	 4	 5	 12 $ Remainder.
`	 When ( )p x is divided by x 3- , the quotient is 4 5x x
2
+ + and the remainder is 12.
Example 3.15
	 If the quotient on dividing 2 14 19 6x x x x
4 3 2
+ - - + by x2 1+ is 6x ax bx
3 2
+ - - .
Find the values of a and b, also the remainder.
Solution	 Let ( )p x = 2 14 19 6x x x x
4 3 2
+ - - + .
	 Given that the divisor is x2 1+ . Write x2 1+ = 0. Then x =
2
1-
	 `	 The zero of the divisor is
2
1- .
				
2
1- 	 2	 1	 –14	 –19	 6
					 0	 –1	 0	 7	 6
					 2	 0	 –14	 –12	 12	 $ Remainder
	 So, 2 14 19 6x x x x
4 3 2
+ - - +
2
1 12x x x2 14 12
3
= + - - +` j" ,
			 			 = 12x x x2 1
2
1 2 14 12
3
+ - - +^ ^h h
	 Thus, the quotient is x x
2
1 2 14 12
3
- -^ h = 7 6x x
3
- - and the remainder is 12.
	 But, given quotient is 6x ax bx
3 2
+ - - . Comparing this with the quotient obtained
	 we get, a 0= and b 7= . 	 Thus, a 0= , b 7= and the remainder is 12.
Exercise 3.4
1.	 Find the quotient and remainder using synthetic division.
	 (i)	 ( 3 5x x x
3 2
+ - + ) ' (x 1- ) 	 (ii)	 (3 2 7 5x x x
3 2
- + - ) ' (x 3+ )	
	(iii)	 (3 4 10 6x x x
3 2
+ - + )'( x3 2- )	 (iv)	 (3 4 5x x
3 2
- - ) ' ( 1x3 + )
	 (v)	 (8 2 6 5x x x
4 2
- + - )'( 1x4 + ) 	 (vi)	 (2 7 13 63 48x x x x
4 3 2
- - + - )'( 1x2 - )
2.	 If the quotient on dividing 10 35 50 29x x x x
4 3 2
+ + + + by x 4+ is 6x ax bx
3 2
- + + ,
then find a, b and also the remainder.
3.	 If the quotient on dividing, 8 2 6 7x x x
4 2
- + - by x2 1+ is 4 3x px qx
3 2
+ - + ,
then find p , q and also the remainder.
Algebra 85
Note
3.4.1 	Factorization using synthetic division
	 We have already learnt in class IX, how to factorize quadratic polynomials. In this
section, let us learn, how to factorize the cubic polynomial using synthetic division.
	 If we identify one linear factor of cubic polynomial ( )p x , then using synthetic division
we get the quadratic factor of ( )p x . Further if possible one can factorize the quadratic factor
into two linear factors. Hence the method of synthetic division helps us to factorize a cubic
polynomial into linear factors if it can be factorized.
	 (i)	 For any polynomial p x^ h, x a= is zero if and only if p a 0=^ h .
	 (ii)	 x a- is a factor for p x^ h if and only if p a 0=^ h . ( Factor theorem )
	(iii)	 x 1- is a factor of p x^ h if and only if the sum of coefficients of p x^ h is 0.
	(iv)	 x 1+ is a factor of p x^ h if and only if sum of the coefficients of even powers of x,
including constant is equal to sum of the coefficients of odd powers of x.
Example 3.16
	 (i)	 Prove that x 1- is a factor of 6 11 6x x x
3 2
- + - .
	 (ii)	 Prove that x 1+ is a factor of 6 11 6x x x
3 2
+ + + .
Solution
(i)	 Let	 ( )p x 	= 6 11 6x x x
3 2
- + - .
		 p 1^ h	= 1 – 6 + 11 – 6	 = 0.	 (note that sum of the coefficients is 0)
		Thus, ( )x 1- is a factor of ( )p x .
(ii)	 Let 	 ( )q x 	= 6 11 6x x x
3 2
+ + + .
		 q 1-^ h	= –1 + 6 – 11 + 6 = 0. Hence, x 1+ is a factor of ( )q x
Example 3.17
	 Factorize 2 3 3 2x x x
3 2
- - + into linear factors.
Solution	 Let ( )p x = 2 3 3 2x x x
3 2
- - +
Now, 	 p 1 2 0!=-^ h (note that sum of the coefficients is not zero)
	 `	 (x 1- ) is not a factor of ( )p x .
	 However, p 1-^ h = 2 3 3 21 1 13 2
- - - - - +^ ^ ^h h h = 0.
	 So, x 1+ is a factor of ( )p x .
We shall use synthetic division to find the other factors.
–1	 2	 –3	 –3	 2
		 0	 –2	 5 –2
	 	2	 –5	 2	 0 $ Remainder
	 Thus, p(x) 	= ( 1)(2 5 2)x x x
2
+ - +
	 Now, 2 5 2x x
2
- + = 2 4 2 ( 2)(2 1)x x x x x
2
- - + = - - .
	 Hence, 	2 3 3 2x x x
3 2
- - + = ( )( )( )x x x1 2 2 1+ - - .
coefficient of x2
constant term
To factorize
2x x2 5
2
- + , one
can proceed as
follows
4
–4 –1 a –4+(–1)=–5, –4×(–1)=4
2 1
4 2=- -
2
1-
(x 2- ) ( x2 1- ).
Remarks
86 10th Std. Mathematics
Example 3.18
	 Factorize 3 10 24x x x
3 2
- - +
Solution	 Let ( )p x = 3 10 24x x x
3 2
- - + .
	 Since p 1^ h 0! and p 1 0!-^ h , neither x 1+ nor x 1- is a factor of ( )p x .
Therefore, we have to search for different values of x by trial and error method.
	 When 2x = , 0p 2 =^ h . Thus, x 2- is a factor of ( )p x .
To find the other factors, let us use the synthetic division.
			 2	 1	 –3	 –10	 24
					 0	 2	 –2	 –24
					 1	 –1	 –12	 0 $ Remainder.
	 `	 The other factor is 12x x
2
- - .
	 Now,	 12x x
2
- - 	= 4 3 12x x x
2
- + - = ( )( )x x4 3- +
	 Hence, 	 3 10 24x x x
3 2
- - + 	= x x x2 3 4- + -^ ^ ^h h h
Exercise 3.5
1.	 Factorize each of the following polynomials.
	 (i)	 2 5 6x x x
3 2
- - + 	 (ii)	 4 7 3x x3
- + 	 (iii)	 23 142 120x x x
3 2
- + -
	 (iv)	 4 5 7 6x x x
3 2
- + - 	 (v)	 7 6x x
3
- + 	 (vi)	 13 32 20x x x
3 2
+ + +
	 (vii)	 2 9 7 6x x x
3 2
- + + 	 (viii)	 5 4x x
3
- + 	 (ix)	 10 10x x x
3 2
- - +
	 (x)	 2 11 7 6x x x3 2
+ - - 	 (xi)	 14x x x
3 2
+ + - 	 (xii)	 5 2 24x x x
3 2
- - + 	
3.5	 Greatest Common Divisor (GCD) and Least Common Multiple (LCM)
3.5.1 	Greatest Common Divisor (GCD)
	 The Highest Common Factor (HCF) or Greatest Common Divisor (GCD) of two or
more algebraic expressions is the expression of highest degree which divides each of them
without remainder.
	 Consider the simple expressions
	 (i) , , ,a a a a
4 3 5 6
	 (ii) , ,a b ab c a b c
3 4 5 2 2 7
	 In (i), note that , ,a a a
2 3
are the divisors of all these expressions. Out of them, a
3
is
the divisor with highest power. Therefore a
3
is the GCD of the expressions , , ,a a a a
4 3 5 6
.
	 In (ii), similarly, one can easily see that ab
4
is the GCD of , ,a b ab c a b c
3 4 5 2 2 7
.
	 If the expressions have numerical coefficients, find their greatest common divisor, and
prefix it as a coefficient to the greatest common divisor of the algebraic expressions.
	 Let us consider a few more examples to understand the greatest common divisor.
Algebra 87
Examples 3.19
	 Find the GCD of the following : (i) 90, 150, 225	 (ii) 15x y z
4 3 5
, 12x y z
2 7 2
	 (iii) 6 x x2 3 2
2
- -^ h, 8 x x4 4 1
2
+ +^ h, 12 x x2 7 3
2
+ +^ h
Solution
(i)	 Let us write the numbers 90, 150 and 225 in the product of their prime factors as
90 = 2 3 3 5# # # , 150 = 2 3 5 5# # # and 225 = 3 3 5 5# # #
	 From the above 3 and 5 are common prime factors of all the given numbers. 		
	 Hence the GCD = 3 5# = 15
(ii)	 We shall use similar technique to find the GCD of algebraic expressions.
	 Now let us take the given expressions 15x y z
4 3 5
and 12x y z
2 7 2
.
	 Here the common divisors of the given expressions are 3, x
2
, y
3
and z
2
.
	 Therefore, GCD = 3 x y z
2 3 2
# # # =	3x y z
2 3 2
(iii)	 Given expressions are 6 x x2 3 2
2
- -^ h, 8 x x4 4 1
2
+ +^ h, 	12 x x2 7 3
2
+ +^ h
	 Now, GCD of 6, 8, 12 is 2
	 Next let us find the factors of quadratic expressions.
		 2 3 2x x
2
- - 	=	 x x2 1 2+ -^ ^h h
		 4 4 1x x
2
+ + 	=	 x x2 1 2 1+ +^ ^h h
		 2 7 3x x
2
+ + 	=	 x x2 1 3+ +^ ^h h
	 Common factor of the above quadratic expressions is x2 1+^ h.
	 Therefore, 	 GCD =	 x2 2 1+^ h.
3.5.2	 Greatest common divisor of polynomials using division algorithm
	 First let us consider the simple case of finding GCD of 924 and 105.
	 924	= 8 × 105 + 84
	 105	= 1 × 84 + 21,	 	 (or)
	 84	= 4 × 21 + 0,		
	 21 is the GCD of 924 and 105
	 Similar technique works with polynomials when they have GCD.
	 Let f x^ h and g x^ h be two non constant polynomials with deg( f x^ h) $ deg(g x^ h).We want
to find GCD of f(x) and g(x). If f x^ h and g x^ h can be factored into linear irreducible quadratic
polynomials, then we can easily find the GCD by the method which we have learnt above. If
the polynomials f x^ h and g x^ h are not easily factorable, then it will be a difficult problem.
924
840
84
105
84
21
105 84 84
84
0
21
8 1 4
88 10th Std. Mathematics
Remarks
Remarks
	 However, the following method gives a systematic way of finding GCD.
Step 1		 First, divide f x^ h by g x^ h to obtain f x^ h = g x q x r x+^ ^ ^h h h where q x^ h is the
quotient and r x^ h is remainder, so deg(g x^ h) > deg(r x^ h)
		 If the remainder r(x) is 0, then g(x) is the GCD of f(x) and g(x).
Step 2		 If the remainder ( )r x is non-zero, divide g x^ h by r x^ h to obtain
g x^ h = r x q x r x1+^ ^ ^h h h where r x1
^ h is the remainder. So deg r x^ h > deg r x1
^ h.
		 If the remainder ( ) 0r x is1
, then r(x) is the required GCD.
Step 3		 If ( )r x1 is non-zero, then continue the process until we get zero as remainder.
The remainder in the last but one step is the GCD of f x^ h and g x^ h.
We write GCD( f x^ h , g x^ h) to denote the GCD of the polynomials f x^ h and g x^ h
	 Euclid’s division algorithm is based on the principle that GCD of two numbers
does not change if the small number is subtracted from the larger number. Thus,
GCD (252,105) = GCD (147,105) = GCD(42,105) = GCD(63,42) = GCD(21,42) = 21.
Example 3.20
	 Find the GCD of the polynomials 3 3x x x
4 3
+ - - and 5 3x x x
3 2
+ - + .
Solution	 Let f x^ h = 3 3x x x
4 3
+ - - and g x^ h	= 5 3x x x
3 2
+ - +
	 Here degree of f x^ h > degree of g x^ h. ` Divisor is 5 3x x x
3 2
+ - +
					 x 2+ 			 x–1
5 3x x x
3 2
+ - + 	 3 0 3x x x x
4 3 2
+ + - - 	 x x2 32
+ - 	 5 3x x x
3 2
+ - +
		 2 3x x x
3 2
+ -
		 2 3x x
2
- - +
		 2 3x x
2
- - +
	 ( 0)! 	 0 $ remainder
			 5 3x x x x
4 3 2
+ - +
			 2 5 4 3x x x
3 2
+ - -
			 2 2 10 6x x x
3 2
+ - +
			 3 6 9x x
2
+ -
			 ( x x2 32
+ - $remainder
	 Therefore, GCD ( f x^ h , g x^ h) = x x2 3
2
+ - .
	 The two original expressions have no simple factors (constants). Thus their GCD
can have none. Hence, in the above example we removed the simple factor 3 from
3 6 9x x
2
+ - and took x x2 32
+ - as the new divisor.
Example 3.21
	 Find the GCD of the following polynomials
	 3 6 12 24x x x x
4 3 2
+ - - and 4 14 8 8x x x x
4 3 2
+ + - .
Algebra 89
x – 2
4 4x x2
+ + 	 2 4 8x x x
3 2
+ - -
		 4 4x x x
3 2
+ +
		 2 8 8x x
2
- - -
		 2 8 8x x
2
- - -
0
Solution	 Let f x^ h = 3 6 12 24x x x x
4 3 2
+ - - = 3x x x x2 4 8
3 2
+ - -^ h.
Let g x^ h = 	4 14 8 8x x x x
4 3 2
+ + - = 2x x x x2 7 4 4
3 2
+ + -^ h
	 Let us find the GCD for the polynomials 2 4 8x x x
3 2
+ - - and 2 7 4 4x x x
3 2
+ + -
	 We choose the divisor to be 2 4 8x x x
3 2
+ - - .
					 2
2 4 8x x x
3 2
+ - - 	 2 7 4 4x x x
3 2
+ + -
			 2 4 8 16x x x
3 2
+ - -
			 3 12 12x x
2
+ +
			 ( 4 4)x x2
+ +
				 remainder( 0)! 			 $ remainder
	 Common factor of x x x2 4 83 2
+ - - and 2 7 4 4x x x3 2
+ + - is 4 4x x2
+ +
	 Also common factor of x3 and x2 is x.
	 Thus,    GCD ( f x^ h, g x^ h) = x x x4 4
2
+ +^ h.
Exercise 3.6
1.	 Find the greatest common divisor of
	 (i) 	 7x yz
2 4
,  21x y z
2 5 3
	 (ii) x y
2
,  x y
3
,  x y
2 2
	 (iii) 	25bc d
4 3
,  35b c
2 5
,  45c d
3
	 (iv) 35x y z
5 3 4
,  49x yz
2 3
,  14xy z
2 2
2.	 Find the GCD of the following
	 (i) 	 c d
2 2
- ,  c c d-^ h	 (ii) 27x a x
4 3
- ,   x a3 2
-^ h 	
	 (iii) 	 3 18m m
2
- - ,   5 6m m
2
+ + 	 (iv) 14 33x x
2
+ + ,   10 11x x x
3 2
+ -
	 (v) 	 3 2x xy y
2 2
+ + ,   5 6x xy y
2 2
+ + 	 (vi) 2 1x x
2
- - ,  4 8 3x x
2
+ +
	 (vii) 	 2x x
2
- - ,   6x x
2
+ - ,  3 13 14x x
2
- +   	(viii) 1x x x
3 2
- + - ,   1x
4
-
	 (ix) 	 24 x x x6 2
4 3 2
- -^ h,  20 x x x2 3
6 5 4
+ +^ h
	 (x) 	 a a1 35 2
- +^ ^h h ,   a a a2 1 32 3 4
- - +^ ^ ^h h h
3.	 Find the GCD of the following pairs of polynomials using division algorithm.
	 (i)     9 23 15x x x
3 2
- + - ,  4 16 12x x
2
- +
	 (ii)   3 18 33 18x x x
3 2
+ + + ,  3 13 10x x
2
+ +
	 (iii)  2 2 2 2x x x
3 2
+ + + ,  6 12 6 12x x x
3 2
+ + +
	 (iv)   3 4 12x x x
3 2
- + - ,   4 4x x x x
4 3 2
+ + +
3.5.3 	Least Common Multiple (LCM)
	 The least common multiple of two or more algebraic expressions is the expression of
lowest degree which is divisible by each of them without remainder. For example, consider the
simple expressions , ,a a a
4 3 6
.
90 10th Std. Mathematics
	 Now, , , ,a a a
6 7 8
g are common multiples of ,a a aand
3 4 6
.
	 Of all the common multiples, the least common multiple is a
6
	 Hence LCM of , ,a a a
4 3 6
is a
6
. Similarly, a b
3 7
is the LCM of a b
3 4
, ab
5
, a b
2 7
.
	 We shall consider some more examples of finding LCM.
Example 3.22
	 Find the LCM of the following.
	 (i) 90, 150, 225			 (ii) 35a c b
2 3
, 42a cb
3 2
, 30ac b
2 3
	 (iii) a a1 35 2
- +^ ^h h , a a a2 1 32 3 4
- - +^ ^ ^h h h
	 (iv) x y
3 3
+ , x y
3 3
- , x x y y
4 2 2 4
+ +
Solution
(i)	 Now,	 90	 =	 2 3 3 5# # # = 2 3 5
1 2 1
# #
		 150	 =	 2 3 5 5# # # = 2 3 5
1 1 2
# #
		 225	 =	 3 3 5 5# # # = 3 5
2 2
# 	
		The product 2 3 5
1 2 2
# # = 450 is the required LCM.
(ii)	 Now, LCM of 35, 42 and 30 is 5 7 6# # = 210
	 Hence, the required LCM = 210 a c b
3 3 3
# # # = 210a c b
3 3 3
.
(iii)	 Now, LCM of a a1 35 2
- +^ ^h h , a a a2 1 32 3 4
- - +^ ^ ^h h h is a a a1 3 25 4 2
- + -^ ^ ^h h h .
(iv) 	 Let us first find the factors for each of the given expressions.
		 x y
3 3
+ 	= x y x xy y
2 2
+ - +^ ^h h
		 x y
3 3
- 	= x y x xy y
2 2
- + +^ ^h h
		 x x y y
4 2 2 4
+ + 	= ( )x y x y
2 2 2 2 2
+ - = x xy y x xy y
2 2 2 2
+ + - +^ ^h h
	 Thus, LCM	=	 x y x xy y
2 2
+ - +^ ^h h x y x xy y
2 2
- + +^ ^h h
			 =	 x y x y
3 3 3 3
+ -^ ^h h = x y
6 6
- .	
Exercise 3.7
Find the LCM of the following.
1. 	 x y
3 2
, xyz	 2.	 3x yz
2
, 4x y
3 3
3.	 a bc
2
, b ca
2
, c ab
2
	 4.	 66a b c
4 2 3
, 44a b c
3 4 2
, 24a b c
2 3 4
5.	 a
m 1+
, a
m 2+
, a
m 3+
	 6.	 x y xy
2 2
+ , x xy
2
+
7.	 a3 1-^ h, 2 a 1 2
-^ h , a 1
2
-^ h	 8.	 2 18x y
2 2
- , 5 15x y xy
2 2
+ , 27x y
3 3
+
9.	 x x4 32 3
+ -^ ^h h , x x x1 4 3 2
- + -^ ^ ^h h h
10.	 10 x xy y9 6
2 2
+ +^ h, 12 x xy y3 5 2
2 2
- -^ h, 14 x x6 2
4 3
+^ h.
Algebra 91
3.5.4	 Relation between LCM and GCD
	 We know that the product of two positive integers is equal to the product of their LCM
and GCD. For example, 21 # 35 = 105 # 7, where LCM (21,35) =105 and GCD (21,35) = 7.
	 In the same way, we have the following result:
	 The product of any two polynomials is equal to the product of their LCM and GCD.
	 That is, f x g x#^ ^h h = LCM (f(x) , g(x)) # GCD (f(x) , g(x)).
	 Let us justify this result with an example.
	 Let f x^ h = 12 x x
4 3
-^ h and g x^ h = 8 x x x3 2
4 3 2
- +^ h be two polynomials.
	 Now, f x^ h	= 12 x x
4 3
-^ h = 2 3 x x 1
2 3
# # # -^ h 				 (1)
	 Also, g x^ h	= 8 x x x3 2
4 3 2
- +^ h = 2 x x x1 2
3 2
# # #- -^ ^h h		 (2)
	 From (1) and (2) we get,
	 LCM (f(x) , g(x))	 = 2 3 x x x1 2
3 1 3
# # # #- -^ ^h h = 24x x x1 2
3
- -^ ^h h
	 GCD (f(x) , g(x))	 = 4x x 1
2
-^ h
Therefore, LCM # GCD 	= 24 4x x x x x1 2 1
3 2
#- - -^ ^ ^h h h
		 = 96x x x1 2
5 2
- -^ ^h h			 		 (3)
	 Also, f x g x#^ ^h h	= 12 8x x x x x1 1 2
3 2
#- - -^ ^ ^h h h
		 = 96x x x1 2
5 2
- -^ ^h h 	 				 (4)
	 From (3) and (4) we obtain, LCM # GCD = f x g x#^ ^h h.
	 Thus, the product of LCM and GCD of two polynomials is equal to the product of the
two polynomials. Further, if f x^ h, g x^ h and one of LCM and GCD are given, then the other
can be found without ambiguity because LCM and GCD are unique, except for a factor of –1.
Example 3.23
	 The GCD of 3 5 26 56x x x x
4 3 2
+ + + + and 2 4 28x x x x
4 3 2
+ - - + is 5 7x x
2
+ + .
Find their LCM.
Solution	 Let f x^ h	= 3 5 26 56x x x x
4 3 2
+ + + + and g x^ h = 2 4 28x x x x
4 3 2
+ - - +
	 Given that GCD 	= 5 7x x
2
+ + . Also, we have GCD # LCM = f x g x#^ ^h h.
	 Thus,	 LCM	 =
f x g x
GCD
#^ ^h h
	 					 (1)
	 Now, GCD divides both f x^ h and g x^ h.
	 Let us divide f x^ h by the GCD.
			 1 – 2 8
	 1 5 7	 1 3 5 26 56
			 1 5 7
		 	 2- 2- 26
		 	 2- 10- 14-
			 	 8 40 56
			 	 8 40 56
			 0
92 10th Std. Mathematics
Note
	 When f x^ h is divided by GCD, we get the quotient as 2 8x x
2
- + .
	 Now, (1) (	 LCM	 = x x g x2 8
2
#- +^ ^h h
	 Thus, 	 LCM = x x x x x x2 8 2 4 28
2 4 3 2
- + + - - +^ ^h h.
	 In the above problem, we can also divide g x^ h by GCD and multiply the quotient by
f x^ h to get the required LCM.
Example 3.24
	 The GCD and LCM of two polynomials are x 1+ and 1x
6
- respectively. If one of the
polynomials is 1x
3
+ , find the other.
Solution	 	 Given GCD =	 x 1+ 	 and LCM = 1x
6
- 	
	 Let f x^ h = 1x
3
+ .
	 We know that 	LCM # GCD	 = f x g x#^ ^h h
		 ( g x^ h	=
f x
LCM GCD#
^ h
=
x
x x
1
1 1
3
6
+
- +^ ^h h
			=
x
x x x
1
1 1 1
3
3 3
+
+ - +^ ^ ^h h h
= x x1 1
3
- +^ ^h h
	 Hence, g x^ h = x x1 1
3
- +^ ^h h.
Exercise 3.8
1.	 Find the LCM of each pair of the following polynomials.
	 (i)	 5 6x x
2
- + , 4 12x x
2
+ - whose GCD is x 2- .
	 (ii) 	 3 6 5 3x x x x
4 3 2
+ + + + , 2 2x x x
4 2
+ + + whose GCD is 1x x
2
+ + .
	 (iii) 	 2 15 2 35x x x
3 2
+ + - , 8 4 21x x x
3 2
+ + - whose GCD is x 7+ .
	 (iv) 	 2 3 9 5x x x
3 2
- - + , 2 10 11 8x x x x
4 3 2
- - - + whose GCD is x2 1- .
2.	 Find the other polynomial q x^ h of each of the following, given that LCM and GCD
and one polynomial p x^ h respectively.
	 (i) 		 x x1 22 2
+ +^ ^h h , x x1 2+ +^ ^h h, x x1 22
+ +^ ^h h.
	 (ii) 		 x x4 5 3 73 3
+ -^ ^h h , x x4 5 3 7 2
+ -^ ^h h , x x4 5 3 73 2
+ -^ ^h h .
	 (iii) 		 x y x x y y
4 4 4 2 2 4
- + +^ ^h h, x y
2 2
- , x y
4 4
- .					
	 (iv) 		 x x x4 5 1
3
- +^ ^h h, x x5
2
+^ h, x x x5 9 2
3 2
- -^ h.
	 (v) 		 x x x x1 2 3 3
2
- - - +^ ^ ^h h h, x 1-^ h, x x x4 6 3
3 2
- + -^ h.
	 (vi) 		 2 x x1 4
2
+ -^ ^h h, x 1+^ h, x x1 2+ -^ ^h h.
Algebra 93
3.6 	 Rational expressions
	 A rational number is defined as a quotient
n
m , of two integers m and n ! 0. Similarly
a rational expression is a quotient
q x
p x
^
^
h
h
of two polynomials p x^ h and q x^ h, where q x^ h is a
non zero polynomial.
	 Every polynomial p x^ h is a rational expression, since p x^ h can be written as
p x
1
^ h
where 1 is the constant polynomial.
	 However, a rational expression need not be a polynomial, for example
x
x
1
2
+
is a rational expression but not a polynomial. Some examples of rational expressions are
x2 7+ ,
x x
x
1
3 2
2
+ +
+ ,
x x
x x
3
2 5
2
3
+ -
+ + .
3.6.1	 Rational expressions in lowest form
	 If the two polynomials p x^ h and q x^ h have the integer coefficients such that GCD of
p x^ h and q x^ h is 1, then we say that
q x
p x
^
^
h
h
is a rational expression in its lowest terms.
	 If a rational expression is not in its lowest terms, then it can be reduced to its lowest
terms by dividing both numerator p x^ h and denominator q x^ h by the GCD of p x^ h and q x^ h.
Let us consider some examples.
Example 3.25
	 Simplify the rational expressions into lowest forms.
	 (i)
x
x
7 28
5 20
+
+ 			 (ii)
x x
x x
3 2
5
3 4
3 2
+
-
	 (iii)
x x
x x
9 12 5
6 5 1
2
2
+ -
- + 		 (iv)
x x x
x x x
1 2 3
3 5 4
2
2
- - -
- - +
^ ^
^ ^
h h
h h
Solution
(i)	 Now,		
x
x
7 28
5 20
+
+ 	=
x
x
7 4
5 4
+
+
^
^
h
h
=
7
5
(ii)	 Now, 	
x x
x x
3 2
5
3 4
3 2
+
- 	=
x x
x x
2 3
5
3
2
+
-
^
^
h
h
	=
x x
x
2 3
5
+
-
^ h
(iii)	 Let 	 p x^ h	= 6 5 1x x
2
- + = x x2 1 3 1- -^ ^h h and
		 	 q x^ h	= 9 12 5x x
2
+ - = x x3 5 3 1+ -^ ^h h
	 Therefore,	
q x
p x
^
^
h
h
	=
x x
x x
3 5 3 1
2 1 3 1
+ -
- -
^ ^
^ ^
h h
h h
	 =
x
x
3 5
2 1
+
-
(iv)	 Let 	 f x^ h	= x x x3 5 4
2
- - +^ ^h h= x x x3 1 4- - -^ ^ ^h h h and
	 		 g x^ h	= x x x1 2 3
2
- - -^ ^h h= x x x1 3 1- - +^ ^ ^h h h
	 Therefore, 	
g x
f x
^
^
h
h
	=
x x x
x x x
1 3 1
3 1 4
- - +
- - -
^ ^ ^
^ ^ ^
h h h
h h h
=
x
x
1
4
+
-
94 10th Std. Mathematics
Exercise 3.9
Simplify the following into their lowest forms.
(i) 	
x x
x x
3 12
6 9
2
2
-
+ 	 (ii)	
x
x
1
1
4
2
-
+ 	 (iii)	
x x
x
1
1
2
3
+ +
-
(iv) 	
x
x
9
27
2
3
-
- 	 (v)	
x x
x x
1
1
2
4 2
+ +
+ + (Hint: 1x x
4 2
+ + = x x1
2 2 2
+ -^ h )
(vi) 	
x x
x
4 16
8
4 2
3
+ +
+ 	 (vii)	
x x
x x
2 5 3
2 3
2
2
+ +
+ - 	 (viii)	
x x
x
9 2 6
2 162
2
4
+ -
-
^ ^h h
(ix) 	
x x x
x x x
4 2 3
3 5 4
2
2
- - -
- - +
^ ^
^ ^
h h
h h
	 (x)	
x x x
x x x
10 13 40
8 5 50
2
2
+ - +
- + -
^ ^
^ ^
h h
h h
	(xi)	
x x
x x
8 6 5
4 9 5
2
2
+ -
+ + 	
(xii) 	
x x x
x x x x
7 3 2
1 2 9 14
2
2
- - +
- - - +
^ ^
^ ^ ^
h h
h h h
3.6.2	 Multiplication and division of rational expressions
	 If
q x
p x
^
^
h
h
; q x 0!^ h and
h x
g x
^
^
h
h
; h x 0!^ h are two rational expressions, then
	 (i) their product
q x
p x
h x
g x
#
^
^
^
^
h
h
h
h
is defined as
q x h x
p x g x
#
#
^ ^
^ ^
h h
h h
	 (ii) their division
q x
p x
h x
g x
'
^
^
^
^
h
h
h
h
is defined as
q x
p x
g x
h x
#
^
^
^
^
h
h
h
h
.
	 Thus,	
q x
p x
h x
g x
'
^
^
^
^
h
h
h
h
=
q x g x
p x h x
#
#
^ ^
^ ^
h h
h h
Example 3.26
Multiply (i)
z
x y
9
4
3 2
by
x y
z27
4 2
5
(ii)
a ab b
a b
2
2 2
3 3
+ +
+ by
a b
a b
2 2
-
- (iii)
x
x
4
8
2
3
-
- by
x x
x x
2 4
6 8
2
2
+ +
+ +
Solution
(i) 	 Now, 	
z
x y
x y
z
9
27
4
3 2
4 2
5
# =
(9 ) ( )
( ) (27 )
z x y
x y z
4 4 2
3 2 5
=
x
z3 .
(ii)
a ab b
a b
2
2 2
3 3
+ +
+ #
a b
a b
2 2
-
- =
( )a b a b
a b a ab b
a b
a b a b
2 2
#
+ +
+ - +
-
+ -
^ ^
^ ^ ^ ^
h h
h h h h
= a ab b
2 2
- + .
(iii)	 Now, 	
x
x
4
8
2
3
-
- #
x x
x x
2 4
6 8
2
2
+ +
+ + 	=
x
x
x x
x x
2
2
2 4
4 2
2 2
3 3
2#
-
-
+ +
+ +^ ^h h
				 =
x x
x x x
x x
x x
2 2
2 2 4
2 4
4 2
2
2#
+ -
- + +
+ +
+ +
^ ^
^ ^ ^ ^
h h
h h h h
= x 4+ .
Example 3.27
Divide (i)
x
x
1
4 4
2
-
- by
x
x
1
1
+
- (ii)
x
x
3
1
3
+
- by
x
x x
3 9
1
2
+
+ + 	 (iii)
x
x
25
1
2
2
-
- by
x x
x x
4 5
4 5
2
2
+ -
- -
Algebra 95
Solution
	 (i)	
x
x
1
4 4
2
-
- '
x
x
1
1
+
- 	=
( )
( )x x
x
x
x
1 1
4 1
1
1
#
+ -
-
-
+
^ ^
^
h h
h
=
x 1
4
-
.
	 (ii)	
x
x
3
1
3
+
- '
x
x x
3 9
1
2
+
+ + 	=
( )( )
x
x x x
3
1 1
2
+
- + +
#
( )
x x
x
1
3 3
2
+ +
+ = 3(x–1).
	 (iii)	
x
x
x x
x x
25
1
4 5
4 5
2
2
2
2
'
-
-
+ -
- - =
x x
x x
x x
x x
5 5
1 1
5 1
5 1
#
+ -
+ -
- +
+ -
^ ^
^ ^
^ ^
^ ^
h h
h h
h h
h h
				 =
x x
x x
5 5
1 1
- -
- -
^ ^
^ ^
h h
h h
=
x x
x x
10 25
2 1
2
2
- +
- + .
Exercise 3.10
1.	 Multiply the following and write your answer in lowest terms.
	 (i) 	
x
x x
x
x
2
2
2
3 6
2
#
+
-
-
+ 	 (ii)	
x
x
x x
x x
4
81
5 36
6 8
2
2
2
2
#
-
-
- -
+ +
	 (iii) 	
x x
x x
x
x x
20
3 10
8
2 4
2
2
3
2
#
- -
- -
+
- + 	 (iv)	 4 16
x x
x
x
x
x x
x x
3 2
16
64
4
2 8
2
2
2
3
2
2# #
- +
-
+
-
- -
- +
	 (v) 	
x x
x x
x x
x x
2
3 2 1
3 5 2
2 3 2
2
2
2
2
#
- -
+ -
+ -
- - 	 (vi)	
x x
x
x x
x x
x x
x
2 4
2 1
2 5 3
8
2
3
2 2
4
2# #
+ +
-
+ -
-
-
+
2.	 Divide the following and write your answer in lowest terms.
	 (i) 	
x
x
x
x
1 1
2
2
'
+ -
	 (ii)	
x
x
x
x
49
36
7
6
2
2
'
-
-
+
+ 			
	 (iii) 	
x
x x
x x
x x
25
4 5
7 10
3 10
2
2
2
2
'
-
- -
+ +
- - 	 (iv)	
x x
x x
x x
x x
4 77
11 28
2 15
7 12
2
2
2
2
'
- -
+ +
- -
+ + 	
	 (v) 	
x x
x x
x x
x x
3 10
2 13 15
4 4
2 6
2
2
2
2
'
+ -
+ +
- +
- - 	 (vi)	
x
x x
x x
x
9 16
3 4
3 2 1
4 4
2
2
2
2
'
-
- -
- -
-
	 (vii) 	
x x
x x
x x
x x
2 9 9
2 5 3
2 3
2 1
2
2
2
2
'
+ +
+ -
+ -
+ -
3.6.3	 Addition and subtraction of rational expressions
	 If
q x
p x
^
^
h
h
and
s x
r x
^
^
h
h
are any two rational expressions with q x 0!^ h and s x 0!^ h , then
we define the sum and the difference (subtraction) as
					
q x
p x
s x
r x
!
^
^
^
^
h
h
h
h
=
.
.
q x s x
p x s x q x r x!
^ ^
^ ^ ^ ^
h h
h h h h
Example 3.28
Simplify (i)
x
x
x
x
3
2
2
1
+
+ +
-
- (ii)
x
x
1
1
2
-
+
^ h
+
x 1
1
+
(iii)
x
x x
x x
x x
9
6
12
2 24
2
2
2
2
-
- - +
- -
+ -
96 10th Std. Mathematics
Solution
(i)	
x
x
x
x
3
2
2
1
+
+ +
-
- 	=
x x
x x x x
3 2
2 2 1 3
+ -
+ - + - +
^ ^
^ ^ ^ ^
h h
h h h h
=
x x
x x
6
2 2 7
2
2
+ -
+ -
(ii)	
x
x
1
1
2
-
+
^ h
+
x 1
1
+
	=
x x
x x
1 1
1 1
2
2 2
- +
+ + -
^ ^
^ ^
h h
h h
=
x x
x
1 1
2 2
2
2
- +
+
^ ^h h
	
			 =
x x x
x
1
2 2
3 2
2
- - +
+
(iii)	
x
x x
x x
x x
9
6
12
2 24
2
2
2
2
-
- - +
- -
+ - 		=
x x
x x
x x
x x
3 3
3 2
3 4
6 4
+ -
- +
+
+ -
+ -
^ ^
^ ^
^ ^
^ ^
h h
h h
h h
h h
				 =
x
x
x
x
3
2
3
6
+
+ +
+
+ =
x
x x
3
2 6
+
+ + + =
x
x
3
2 8
+
+
Example 3.29
	 What rational expression should be added to
x
x
2
1
2
3
+
- to get
x
x x
2
2 3
2
3 2
+
- + ?
Solution	 Let p x^ h be the required rational expression.
	 Given that 	
x
x
2
1
2
3
+
- + p x^ h	 =
x
x x
2
2 3
2
3 2
+
- +
			 p x^ h	 =
x
x x
2
2 3
2
3 2
+
- + -
x
x
2
1
2
3
+
-
				 =
x
x x x
2
2 3 1
2
3 2 3
+
- + - + =
x
x x
2
4
2
3 2
+
- +
Example 3.30
Simplify
x
x
x
x
x
x
1
2 1
2 1
1
1
2
-
- -
+
+ +
+
+c m as a quotient of two polynomials in the simplest form.
Solution	 Now,
x
x
x
x
x
x
1
2 1
2 1
1
1
2
-
- -
+
+ +
+
+c m
			 =
x x
x x x x
x
x
1 2 1
2 1 2 1 1 1
1
2
- +
- + - + -
+
+
+
^ ^
^ ^ ^ ^
h h
h h h h
; E
			 =
x x
x x
x
x
1 2 1
4 1 1
1
2
2 2
- +
- - - +
+
+
^ ^
^ ^
h h
h h
=
x x
x
x
x
1 2 1
3
1
2
2
- +
+
+
+
^ ^h h
			 =
x x
x x x x x
1 2 1
3 1 2 1 2 1
2
2
- +
+ + + - +
^ ^
^ ^ ^ ^
h h
h h h h
=
x x x
x x x
2 2 1
5 6 3 2
3 2
3 2
+ - -
+ - -
Exercise 3.11
1.	 Simplify the following as a quotient of two polynomials in the simplest form.
	 (i) 	
x
x
x2 2
8
3
-
+
-
		 (ii)
x x
x
x x
x
3 2
2
2 3
3
2 2
+ +
+ +
- -
-
	 (iii) 	
x
x x
x x
x x
9
6
12
2 24
2
2
2
2
-
- - +
- -
+ - 		 (iv)
x x
x
x x
x
7 10
2
2 15
3
2 2
- +
- +
- -
+
Algebra 97
(v)
x x
x x
x x
x x
3 2
2 5 3
2 3 2
2 7 4
2
2
2
2
- +
- + -
- -
- - 	 (vi)
x x
x
x x
x x
6 8
4
20
11 30
2
2
2
2
+ +
- -
- -
- +
(vii)
x
x
x
x
x
x
1
2 5
1
1
1
3 2
2
2
+
+ +
-
+ -
-
-
` j= G (viii)
x x x x x x3 2
1
5 6
1
4 3
2
2 2 2
+ +
+
+ +
-
+ +
.
2.	 Which rational expression should be added to
x
x
2
1
2
3
+
- to get
x
x x
2
3 2 4
2
3 2
+
+ + ?
3.	 Which rational expression should be subtracted from
	 	
x
x x
2 1
4 7 5
3 2
-
- + to get x x2 5 1
2
- + ?
4.	 If P =
x y
x
+
, Q =
x y
y
+
, then find
P Q P Q
Q1 2
2 2-
-
-
.
3.7 	 Square root
	 Let a R! be a non negative real number. A square root of a, is a real number b such
that b a
2
= . The positive square root of a is denoted by a2
or a . Even though both
( 3) 9 ( )3 9and2 2
- = + = aretrue,theradicalsign isusedtoindicatethepositivesquare
rootofthenumberunderit.Hence 3 .9 = Similarly,wehave 11, 100.121 10000= =
	 In the same way, the square root of any expression or a polynomial is an expression
whose square is equal to the given expression. In the case of polynomials, we take 		
	 p x p x2
=^^ ^hh h , where ( )p x =
( ) ( ) 0
( ) ( ) 0
p x p x
p x p x
if
if 1
$
-
) . For example,
	 x a 2
-^ h = x a-^ h and a b 2
-^ h = a b-^ h .
	 In general, the following two methods are very familiar to find the square root of a
given polynomial (i) factorization method (ii) division method.
	 In this section, let us learn the factorization method through some examples for both
the expressions and polynomials when they are factorable.
3.7.1	 Square root by factorization method
Example 3.31
	 Find the square root of
(i)	 121 x a x b x c4 6 12
- - -^ ^ ^h h h 	 (ii)
w s
x y z
64
81
12 14
4 6 8
	 (iii) (2 3 ) 24x y xy
2
+ - 	
Solution
(i)	 x a x b x c121 4 6 12
- - -^ ^ ^h h h = 11 x a x b x c2 3 6
- - -^ ^ ^h h h
(ii)		
w s
x y z
64
81
12 14
4 6 8
=
w s
x y z
8
9
6 7
2 3 4
(iii)		 x y xy2 3 242
+ -^ h 	 = x xy y xy4 12 9 24
2 2
+ + - = x y2 3 2
-^ h
					 = 2 3x y-^ h
98 10th Std. Mathematics
Example 3.32
	 Find the square root of (i) 4 20 25x xy y
2 2
+ + (ii) 2x
x
16
6+ - 		
					 (iii) x x x x x x6 2 3 5 2 2 1
2 2 2
- - - + - -^ ^ ^h h h
Solution
(i)	 x xy y4 20 25
2 2
+ + 	= x y2 5 2
+^ h 	 = 2 5x y+^ h
(ii)	 x
x
1 2
6
6+ - 	= x
x
13
3
2
-c m = x
x
13
3-c m
(iii)	 First, let us factorize the polynomials
		 6 2x x
2
- - 	= x x2 1 3 2+ -^ ^h h ; 3 5 2x x
2
- + = x x3 2 1- -^ ^h h and
		 2 1x x
2
- - 	= x x1 2 1- +^ ^h h
	 Now, 	 x x x x x x6 2 3 5 2 2 1
2 2 2
- - - + - -^ ^ ^h h h	
		 = x x x x x x2 1 3 2 3 2 1 1 2 1# #+ - - - - +^ ^ ^ ^ ^ ^h h h h h h
		 = x x x2 1 3 2 12 2 2
+ - -^ ^ ^h h h = 2 1 3 2 1x x x+ - -^ ^ ^h h h
Exercise 3.12
1.	 Find the square root of the following
	 (i) 196a b c
6 8 10
(ii) 289 a b b c4 6
- -^ ^h h 	 (iii) 44x x11 2
+ -^ h 	
	 (iv) 4x y xy2
- +^ h (v) 121x y
8 6
' 81x y
4 8
	 (vi)
x y a b b c
a b x y b c
25
64
4 6 10
4 8 6
+ - +
+ - -
^ ^ ^
^ ^ ^
h h h
h h h
2.	 Find the square root of the following:
	 (i)	 16 24 9x x
2
- +
	 (ii) 	 x x x x x25 8 15 2 15
2 2 2
- + + - -^ ^ ^h h h
	 (iii)	 4 9 25 12 30 20x y z xy yz zx
2 2 2
+ + - + -
	 (iv)	 2x
x
14
4+ +
	 (v) 	 x x x x x x6 5 6 6 2 4 8 3
2 2 2
+ - - - + +^ ^ ^h h h
	 (vi)	 x x x x x x2 5 2 3 5 2 6 1
2 2 2
- + - - - -^ ^ ^h h h
3.7.2	 Finding the square root of a polynomial by division method
	 In this method, we find the square root of a polynomial which cannot easily be reduced
into product of factors. Also division method is a convenient one when the polynomials are
of higher degrees.
	 One can find the square root of a polynomial the same way of finding the square root
of a positive integer. Let us explain this method with the following examples.
Algebra 99
Let ( )p x = 9 12 10 4 1x x x x
4 3 2
+ + + +
			 3x
2
+ 2x + 1
	 3x
2
	 9 12 10 4 1x x x x
4 3 2
+ + + +
			 9x
4
6 2x x
2
+ 	 12 10x x
3 2
+
			 12 4x x
3 2
+
6 4 1x x
2
+ + 		 6 4 1x x
2
+ +
				 6 4 1x x
2
+ +
					 0
Remarks
	 To find (i) 66564 		 	 (ii) x x x x9 12 10 4 1
4 3 2
+ + + +
			 2 5 8
		 2 6 65 64
			 4
		 45 2 65
			 2 25
		 508 	 40 64
			 40 64
				 0
	 Therefore, 66564 = 258 and x x x x9 12 10 4 1
4 3 2
+ + + + = x x3 2 1
2
+ +
	 (i)	 While writing the polynomial in ascending or descending powers of x, insert zeros
for missing terms.
	 (ii)	 The above method can be compared with the following procedure.
		 x x x x9 12 10 4 1
4 3 2
+ + + + 	= a b c 2
+ +^ h
	 Therefore, it is a matter of finding the suitable a, b and c.
	 Now,		 ( )a b c
2
+ + 	 = 2 2 2a b c ab bc ca
2 2 2
+ + + + +
				 = 2 2 2a b ab ac bc c
2 2 2
+ + + + +
				 = a a b b a b c c2 2 2
2
+ + + + +^ ^h h
				 = x x x x x x3 6 2 2 6 4 1 1
2 2 2 2
+ + + + +^ ^ ^ ^ ^h h h h h
Thus, x x x x9 12 10 4 1
4 3 2
+ + + + = x x3 2 1
2
+ + , where a = 3x
2
, b = x2 and c = 1 	
	 Aliter : To find the square root, first write 9 12 10 4 1x x x x
4 3 2
+ + + +
			 = ( )mx nx l
2 2
+ + = ( )m x mnx n lm x nlx l2 2 2
2 4 3 2 2 2
+ + + + +
Compare the coefficients and then find the suitable constants m, n, l.
	 (iii)	 It is also quite interesting to note the following :
		 x x x x25 30 29 12 4
4 3 2
- + - + = x x x x x25 30 9 20 12 4
4 3 2 2
- + + - +
		 = 10 ( 3 ) ( )x x x x x x5 3 10 6 2 2
2 2 2 2
+ + - - + - +^ ^h h6 @
		 = ( ) ( ) ( 3 ) 2(5 ) 2( 3 ) 2 2x x x x x x5 2 5 3
2 2 2 2
+ + - - + + - +^ h 6 6@ @
		 = ( ) ( ) 2 2( )a a b b a b c c2
2
+ + - - + + - +6 6@ @
		 = ( ) ( ) ( )a b c a b b c ac2 2 2
2 2 2
+ - + + - + - +
		 = ( )a b c
2
- + , where , ,a x b x c5 3 2
2
= = =
	 `	 5 3 2x x x x x x25 30 29 12 4
24 3 2
- + - + = - + .
100 10th Std. Mathematics
Example 3.33
	 Find the square root of 10 37 60 36x x x x
4 3 2
- + - + .
Solution	 Given polynomial is already in descending powers of x.
			 5 6x x
2
- +
		 x
2
	 10 37 60 36x x x x
4 3 2
- + - + 	
			 x
4
		 2 5x x
2
- 	 10 37x x
3 2
- +
				 10 25x x
3 2
- +
		 2 10 6x x
2
- + 			 12 60 36x x
2
- +
					 12 60 36x x
2
- + 			
						 0
	 Thus, 	 x x x x10 37 60 36
4 3 2
- + - + = x x5 6
2
- +^ h
Example 3.34
	 Find the square root of x x x x6 19 30 25
4 3 2
- + - +
Solution 	 Let us write the polynomial in ascending powers of x and find the square root.
				 x x5 3
2
- +
			 5	 x x x x25 30 19 6
2 3 4
- + - +
				 25
			 10–3x		 x x30 19
2
- +
					 30 9x x
2
- +
	 x x10 6
2
- + 			 x x x10 6
2 3 4
- +
						 x x x10 6
2 3 4
- +
							 0
	 Hence, the square root of the given polynomial is x x3 5
2
- +
Example 3.35
	 If 28 12 9m nx x x x
2 3 4
- + + + is a perfect square, then
	 find the values of m and n.
Solution	 Arrange the polynomial in descending power of x.
		 9 12 28x x x nx m
4 3 2
+ + - + .
Algebra 101
Definition
	 Now,			 3 2 4x x
2
+ +
			 3x
2
	 9 12 28x x x nx m
4 3 2
+ + - +
				 9x
4
	 6 2x x
2
+ 		 12 28x x
3 2
+
					 12 4x x
3 2
+
	 6 4 4x x
2
+ + 			 24x nx m
2
- +
						 24 16 16x x
2
+ + 			
							 0
	 Since the given polynomial is a perfect square, we must have n = –16 and m = 16.
Exercise 3.13
1.	 Find the square root of the following polynomials by division method.
	 (i)	 4 10 12 9x x x x
4 3 2
- + - + 	 (ii)	 4 8 8 4 1x x x x
4 3 2
+ + + + 	
	 (iii)	 9 6 7 2 1x x x x
4 3 2
- + - + 	 (iv)	 4 25 12 24 16x x x x
2 3 4
+ - - +
2.	 Find the values of a and b if the following polynomials are perfect squares.
	 (i)	 4 12 37x x x ax b
4 3 2
- + + + 	 (ii)	 4 10x x x ax b
4 3 2
- + - +
	 (iii)	 109ax bx x x60 36
4 3 2
+ + - + 	 (iv)	 40 24 36ax bx x x
4 3 2
- + + +
3.8	 Quadratic equations
	 Greek mathematician Euclid developed a geometrical approach for finding out lengths
which in our present day terminology, are solutions of quadratic equations. Solving quadratic
equations in general form is often credited to ancient Indian Mathematicians. In fact,
Brahma Gupta (A.D 598 - 665) gave an explicit formula to solve a quadratic equation of the
form ax bx c
2
+ = . Later Sridhar Acharya (1025 A.D) derived a formula, now known as the
quadratic formula, (as quoted by Bhaskara II) for solving a quadratic equation by the method
of completing the square.
	 In this section, we will learn solving quadratic equations, by various methods. We
shall also see some applications of quadratic equations.
	 A quadratic equation in the variable x is an equation of the form 0ax bx c
2
+ + = ,
where a, b, c are real numbers and a 0! .
	 In fact, any equation of the form p x 0=^ h , where p x^ h is a polynomial of degree 2,
is a quadratic equation, whose standard form is 0ax bx c
2
+ + = , a 0! .
For example, 2 3 4 0x x
2
- + = , 1 0x x
2
- + = are some quadratic equations.
102 10th Std. Mathematics
3.8.1	 Solution of a quadratic equation by factorization method
	 Factorization method can be used when the quadratic equation can be factorized
into linear factors. Given a product, if any factor is zero, then the whole product is zero.
Conversely, if a product is equal to zero, then some factor of that product must be zero, and
any factor which contains an unknown may be equal to zero. Thus, in solving a quadratic
equation, we find the values of x which make each of the factors zero. That is, we may equate
each factor to zero and solve for the unknown.
Example 3.36
	 Solve 6 5 25x x
2
- - = 0
Solution	 Given	 6 5 25x x
2
- - 	 = 0.
	 First, let us find a and b such that a b+ = –5 and ab = 6 ×(–25) = –150,
	 where –5 	is the coefficient of x. Thus, we get a = –15 and b = 10.
	 Next, 	6 5 25x x
2
- - = 6 15 10 25x x x
2
- + - = x x x3 2 5 5 2 5- + -^ ^h h
				 = x x2 5 3 5- +^ ^h h.
	 Therefore, the solution set is obtained from x2 5- 	= 0 and x3 5+ = 0
	 Thus, x =
2
5 , x =
3
5- .
	 Hence, solution set is ,
3
5
2
5-$ ..
Example 3.37
	 Solve
x x x x7 21
6
6 9
1
9
1
2 2-
-
- +
+
-
= 0
Solution	 Given equation appears to be a non-quadratic equation. But when we simplify the 	
	 equation, it will reduce to a quadratic equation.
Now, 	
x x x x7 3
6
3
1
3 3
1
2-
-
-
+
+ -^ ^ ^ ^h h h h
	= 0
( 	
x x
x x x
7 3 3
6 9 7 3 7 3
2
2
- +
- - + + -
^ ^
^ ^ ^
h h
h h h
	= 0
( 	6 54 42x
2
- - 	 = 0 ( 16x
2
- = 0
	 The equation 16x
2
= is quadratic and hence we have two values x = 4 and x= –4.
	 ` 	 Solution set is ,4 4-" ,
Example 3.38
	 Solve		 x24 10- = x3 4- , x3 4 0>-
Solution	 Given x24 10- = x3 4-
Squaring on both sides, we get, x24 10- = x3 4 2
-^ h
	 ( 	16 14 15x x
2
- - = 0 ( 16 24 10 15x x x
2
- + - = 0
Algebra 103
Remarks
	 ( 	 ( )( )x x8 5 2 3 0+ - = which gives x =
2
3 or	
8
5-
When x =
2
3 , x3 4 3 4
2
3 01- = - ` j and hence, x =
2
3 is not a solution of the equation.
When ,x x
8
5 3 4 02=- - and hence, the solution set is
8
5-$ ..
	 To solve radical equation like the above, we rely on the squaring property :
	 .a b a b2 2
(= = Unfortunately, this squaring property does not guarantee that all
solutions of the new equation are solutions of the original equation. For example, on squaring
the equation x = 5 we get x 252
= , which in turn gives x = 5 and x = –5. But x = –5 is not a
solution of the original equation. Such a solution is called an extraneous solution.
	 Thus, the above example shows that when squaring on both sides of a radical
equation, the solution of the final equation must be checked to determine whether they
are solutions of the original equation or not. This is necessary because no solution of the
original equation will be lost by squaring but certain values may be introduced which
are roots of the new equation but not of the original equation.
Exercise 3.14
Solve the following quadratic equations by factorization method.
(i)	 81x2 3 2
+ -^ h = 0 	 (ii)	 3 5 12x x
2
- - = 0	 (iii) 3x x5 2 5
2
+ - = 0
	 (iv)	 3 x 6
2
-^ h = x x 7 3+ -^ h 	 (v)	 x
x
3 8- = 2	 (vi) x
x
1+ =
5
26
	 (vii)	
x
x
x
x
1
1
+
+ + =
15
34 	 (viii)	 1a b x a b x
2 2 2 2 2
- + +^ h = 0
	 (ix)	 2 5x x1 12
+ - +^ ^h h = 12 	 (x)	 3 5x x4 42
- - -^ ^h h = 12
3.8.2	 Solution of a quadratic equation by completing square
	 From
2
x b x bx b
2
2 2 2
+ = + +` `j j , note that the last term b
2
2
` j is the square of half
the coefficient of x. Hence, the x bx2
+ lacks only the term b
2
2
` j of being the square
of x b
2
+ .Thus, if the square of half the coefficient of x be added to an expression of the form
x bx2
+ , the result is the square of a binomial. Such an addition is usually known as
completing the square. In this section, we shall find the solution of a quadratic equation by
the method of completing the square through the following steps.
Step 1		 If the coefficient of x2
is 1, go to step 2. If not, divide both sides of the equation
by the coefficient of x2
. Get all the terms with variable on one side of equation.
Step 2 	 Find half the coefficient of x and square it. Add this number to both sides of the
equation. To solve the equation, use the square root property: 				
	 x t x t x tor2
(= = =- where t is non-negative.
104 10th Std. Mathematics
Example 3.39
	 Solve the quadratic equation 5 6 2x x
2
- - = 0 by completing the square.
Solution Given quadratic equation is 5 6 2x x
2
- - = 0
	 (	 	 x x
5
6
5
22
- - 	 = 0		 (Divide on both sides by 5)
	 (	 	 2x x
5
32
- ` j 	 =
5
2 	 (
5
3 is the half of the coefficient of x )
	 (	 	 2x x
5
3
25
92
- +` j 	 =
25
9
5
2+ 	 ( add
5
3
25
92
=` j on both sides )
	 (	 	 x
5
3 2
-` j 	 =
25
19
	 (	 	 x
5
3- 	 =
25
19! (take square root on both sides)
	 Thus, we have x	=
5
3
5
19! =
5
3 19! .
	 Hence, the solution set is ,
5
3 19
5
3 19+ -' 1.
Example 3.40
	 Solve the equation 3 2a x abx b
2 2 2
- + = 0 by completing the square
Solution	 There is nothing to prove if a = 0. For a 0! , we have
			 3 2a x abx b
2 2 2
- + 	 = 0
	 ( 		 x
a
b x
a
b3 22
2
2
- + 	 = 0		 ( 2x
a
b x
2
32
- ` j =
a
b2
2
2
-
	 ( 		 2x
a
b x
a
b
2
3
4
92
2
2
- +` j 	 =
a
b
a
b
4
9 2
2
2
2
2
-
	 (		 x
a
b
2
3 2
-` j 	 =
a
b b
4
9 8
2
2 2
- 	 ( x
a
b
2
3 2
-` j =
a
b
4
2
2
	 ( 		 x
a
b
2
3- 	 =
a
b
2
! 		 ( 	 x =
a
b b
2
3 !
	 Therefore, the solution set is ,
a
b
a
b2
$ ..
3.8.3	 Solution of quadratic equation by formula method
	 In this section, we shall derive the quadratic formula, which is useful for finding
the roots of a quadratic equation. Consider a quadratic equation 0ax bx c
2
+ + = , a 0! .
We rewrite the given equation as
			 x
a
b x
a
c2
+ + 	 = 0	
	 (		 2x
a
b x
a
c
2
2
+ +` j 	 = 0		 ( 2x
a
b x
2
2
+ ` j =
a
c-
	 Adding
a
b
a
b
2 4
2
2
2
=` j both sides we get, 2x
a
b x
a
b
2 2
2 2
+ +` `j j =
a
b
a
c
4
2
2
-
Algebra 105
	 That is,	 x
a
b
2
2
+` j 	 =
a
b ac
4
4
2
2
-
	 (	 x
a
b
2
+ 	 =
a
b ac
4
4
2
2
! - =
a
b ac
2
42
! -
	 So, we have x	=
a
b b ac
2
4
2
!- - 						 (1)
	 The solution set is ,
a
b b ac
a
b b ac
2
4
2
4
2 2
- + - - - -' 1.
	 The formula given in equation (1) is known as quadratic formula.
	 Now, let us solve some quadratic equations using quadratic formula.
Example 3.41
	 Solve the equation
x x1
1
2
2
+
+
+
=
x 4
4
+
, where x 1 0!+ , x 2 0!+ and
	 x 4 0!+ using quadratic formula.
Solution	 Note that the given equation is not in the standard form of a quadratic equation.
Consider	
x x1
1
2
2
+
+
+
	=
x 4
4
+
	 That is,	
x 1
1
+
=
x x
2
4
2
2
1
+
-
+
; E =
x x
x x2
4 2
2 4 4
+ +
+ - -
^ ^h h
; E
		
x 1
1
+
	=
x x
x2
2 4+ +^ ^h h
8 B
			 6 8x x
2
+ + 	 = 2 2x x
2
+
	 Thus, we have 	 4 8x x
2
- - 	= 0, which is a quadratic equation.
		 (The above equation can also be obtained by taking LCM )
	 Using the quadratic formula we get,
			 x	 =
2 1
4 16 4 1 8! - -
^
^ ^
h
h h
=
2
4 48!
	 Thus,		 x	 = 2 2 3+ or 2 2 3-
	 Hence, the solution set is ,2 2 3 2 2 3- +" ,	
Exercise 3.15
1	 Solve the following quadratic equations by completing the square .
	 (i) 6 7x x
2
+ - = 0			 (ii) 3 1x x
2
+ + = 0
	 (iii) 2 5 3x x
2
+ - = 0			 (iv) 4 4x bx a b
2 2 2
+ - -^ h = 0
	 (v) x x3 1 3
2
- + +^ h = 0	 (vi)
x
x
1
5 7
-
+ = x3 2+
106 10th Std. Mathematics
2.	 Solve the following quadratic equations using quadratic formula.
	 (i) 	 7 12x x
2
- + = 0	 (ii)	 15 11 2x x
2
- + = 0		
	 (iii) 	 x
x
1+ = 2
2
1 	 (iv)	 3 2a x abx b
2 2 2
- - = 0		
	 (v) 	 a x 1
2
+^ h = x a 1
2
+^ h 	 (vi)	 36 12x ax a b
2 2 2
- + -^ h = 0	
	 (vii) 	
x
x
x
x
1
1
4
3
+
- +
-
- =
3
10 	 (viii)	 a x a b x b
2 2 2 2 2
+ - -^ h = 0
3.8.4	 Solution of problems involving quadratic equations
	 In this section, we will solve some simple problems expressed in words and some
problems describing day-to-day life situations involving quadratic equation. First we shall
form an equation translating the given statement and then solve it. Finally, we choose the
solution that is relevant to the given problem.
Example 3.42
	 The sum of a number and its reciprocal is 5
5
1 . Find the number.
Solution	 Let x denote the required number. Then its reciprocal is
x
1
By the given condition, x
x
1+ 	= 5
5
1 (
x
x 1
2
+ =
5
26
	 So,			 5 26 5x x
2
- + 	 = 0
		 ( 	5 25 5x x x
2
- - + = 0
	 That is,		 x x5 1 5- -^ ^h h = 0 ( x = 5 or
5
1
	 Thus, the required numbers are 5,
5
1 .
Example 3.43
	 The base of a triangle is 4cm longer than its altitude. If the area of the triangle is
48 sq. cm, then find its base and altitude.
Solution	 Let the altitude of the triangle be x cm.
	 By the given condition, the base of the triangle is (x 4+ ) cm.
	 Now, the area of the triangle =
2
1 base height#^ h
	 By the given condition 	 x x
2
1 4+^ ^h h	= 48
		 (	 4 96x x
2
+ - 	= 0 (	 x x12 8+ -^ ^h h = 0
		 ( x = 12- or 8
	 But x = 	 12- is not possible (since the length should be positive)
	 Therefore, x = 8 and hence, 	x 4+ = 12.
	 Thus, the altitude of the triangle is 8cm and the base of the triangle is 12 cm.
Algebra 107
Example 3.44
	 A car left 30 minutes later than the scheduled time. In order to reach its destination
150km away in time, it has to increase its speed by 25km/hr from its usual speed. Find its
usual speed.
Solution	 Let the usual speed of the car be x km/hr.
Thus, the increased speed of the car is x 25+^ h km/hr
	 Total distance	 = 150km; 	 Time taken =
Speed
Distance .
	 Let T1 and T2 be the time taken in hours by the car to cover the given distance in
scheduled time and decreased time (as the speed is increased) respectively.
	 By the given information 	T T1 2- =
2
1 hr 		 ( 30 minutes =
2
1 hr)
	 ( 	
x x
150
25
150-
+
=
2
1 (
x x
x x150
25
25
+
+ -
^ h
; E =
2
1
	 ( 	x x25 75002
+ - = 0 ( x x100 75+ -^ ^h h	= 0
	 Thus, x = 75 or 100- , but x = 100- is not an admissible value.
	 Therefore, the usual speed of the car is 75 km/hr.
Exercise 3.16
1.	 The sum of a number and its reciprocal is
8
65 . Find the number.
2.	 The difference of the squares of two positive numbers is 45. The square of the smaller
number is four times the larger number. Find the numbers.
3.	 A farmer wishes to start a 100 sq.m rectangular vegetable garden. Since he has only
30 m barbed wire, he fences the sides of the rectangular garden letting his house
compound wall act as the fourth side fence. Find the dimension of the garden.
4.	 A rectangular field is 20 m long and 14 m wide. There is a path of equal width all
around it having an area of 111 sq. metres. Find the width of the path on the outside.
5.	 A train covers a distance of 90 km at a uniform speed. Had the speed been 15 km/hr
more, it would have taken 30 minutes less for the journey. Find the original speed of
the train.
6.	 The speed of a boat in still water is 15 km/hr. It goes 30 km upstream and return
downstream to the original point in 4 hrs 30 minutes. Find the speed of the stream.
7.	 One year ago, a man was 8 times as old as his son. Now his age is equal to the square
of his son’s age. Find their present ages.
8.	 A chess board contains 64 equal squares and the area of each square is 6.25 cm
2
.
A border around the board is 2cm wide. Find the length of the side of the chess board.
108 10th Std. Mathematics
9.	 A takes 6 days less than the time taken by B to finish a piece of work. If both A and B
together can finish it in 4 days, find the time that B would take to finish this work by
himself.
10.	 Two trains leave a railway station at the same time. The first train travels due west and
the second train due north. The first train travels 5km/hr faster than the second train.
If after two hours, they are 50km apart, find the average speed of each train.
3.8.5	 Nature of roots of a quadratic equation
	 The roots of the equation 0ax bx c
2
+ + = are given by x
a
b b ac
2
4
2
!= - - .
	 If 	 4 0b ac >
2
- , we get two distinct real roots
	 	 x =
a
b b ac
2
4
2
- + - and x =
a
b b ac
2
4
2
- - - .
	 If 	 4 0b ac
2
- = , then the equation has two equal roots x
a
b
2
= - .
	 If 	 4 0b ac <
2
- , then b ac4
2
- is not a real number. Therefore there is no real 	
	 root for the given quadratic equation.
	 So, evidently the nature of roots depends on the values of 4b ac
2
- . The value of the
expression 4b ac
2
- discriminates the nature of the roots of 0ax bx c
2
+ + = and so it is
called the discriminant of the quadratic equation and denoted by the symbol 3.
Discriminant 3= 4b ac
2
- Nature of roots
3 > 0 Real and unequal
3 = 0 Real and equal.
3 < 0 No real roots. (It has imaginary roots)
Example 3.45
	 Determine the nature of roots of the following quadratic equations
	 (i) 11 10 0x x
2
- - = 	 (ii) 4 28 49 0x x
2
- + = 	 (iii) 2 5 5 0x x
2
+ + =
Solution	 For 0ax bx c
2
+ + = , the discriminant, 4b ac
2
3= - .
(i)	 Here, a = 1; b = –11 and c = –10.
	 Now, the discriminant is	 3	 = 4b ac
2
-
				 = 411 1 102
- - -^ ^ ^h h h = 121 40+ = 161
	 0Thus, >3 .	Therefore, the roots are real and unequal.
(ii)	 Here, a = 4, b = –28 and 	 c	 = 49.
	 Now, the discriminant is	 3	 = 4b ac
2
-
				 = 428 4 492
- -^ ^ ^h h h	 = 0
	 Since 03= , the roots of the given equation are real and equal.
Algebra 109
(iii)	 Here, a = 2, b = 5 and c = 5.
	 Now, the discriminant	 3 = 4b ac
2
-
				 = 45 2 52
-^ ^ ^h h h
				 = 25 – 40 = –15
	 Since 0<3 , the equation has no real roots.
Example 3.46
	 Prove that the roots of the equation 2 0a b c x a b x a b c
2
- + + - + - - =^ ^ ^h h h are
rational numbers for all real numbers a and b and for all rational c.
Solution	 Let the given equation be of the form 0Ax Bx C
2
+ + = . Then,
	 A a b c= - + , B a b2= -^ h and C a b c= - - .
	 Now, 	 the discriminant of 0Ax Bx C
2
+ + = is
	 4B AC
2
- = 4a b a b c a b c2 2
- - - + - -^ ^ ^h h h6 @
		 	= 4 4a b a b c a b c2
- - - + - -^ ^ ^h h h6 6@ @
		 	= 4 a b a b c42 2 2
- - - -^ ^h h6 @
		 3 = 4 4 4a b a b c2 2 2
- - - +^ ^h h = 4c
2
, a perfect square.
	 Therefore, 0>3 and it is a perfect square.
	 Hence, the roots of the given equation are rational numbers.
Example 3.47
	 Find the values of k so that the equation 2 7 0x x k k1 3 3 2
2
- + + + =^ ^h h has real
and equal roots.
Solution	 The given equation is 2 7 0x x k k1 3 3 2
2
- + + + =^ ^h h .		 (1)
	 Let the equation (1) be in the form 0ax bx c
2
+ + =
	 Here, 	 a 1= , b k2 3 1=- +^ h, c k7 3 2= +^ h.
	 Now, the discriminant is 3 = 4b ac
2
-
			 = 4k k2 3 1 1 7 3 22
- + - +^^ ^ ^ ^hh h h h
				 = 4 28k k k9 6 1 3 2
2
+ + - +^ ^h h = 4 k k9 8 20
2
- -^ h
	 Given that the equation has equal roots. Thus, 3 = 0
		 ( 	 9 8 20k k
2
- - = 0
		 ( 	 k k2 9 10- +^ ^h h = 0
	 Thus, k = 2,
9
10- .
110 10th Std. Mathematics
Exercise 3.17
1.	 Determine the nature of the roots of the equation.
	 (i)	 8 12 0x x
2
- + = 	 (ii)	 2 3 4 0x x
2
- + = 		
	 (iii) 	 9 12 4 0x x
2
+ + = 	 (iv)	 3 2 2 0x x6
2
- + = 	
	 (v)	 1 0x x
5
3
3
22
- + = 	 (vi)	 x a x b ab2 2 4- - =^ ^h h
2.	 Find the values of k for which the roots are real and equal in each of the following
equations.
	 (i)	 2 10 0x x k
2
- + = 		 (ii) 12 4 3 0x kx
2
+ + = 	
	 (iii)	 5 0x k x2 2
2
+ - + =^ h 	 (iv) 2 1 0k x k x1 1
2
+ - - + =^ ^h h
3.	 Show that the roots of the equation 2 2 0x a b x a b
2 2 2
+ + + + =^ ^h h are unreal.
4.	 Show that the roots of the equation 3 2 0p x pqx q
2 2 2
- + = are not real.
5.	 If the roots of the equation 2 0a b x ac bd x c d
2 2 2 2 2
+ - + + + =^ ^h h ,
where a, b, c and d 0! , are equal, prove that
b
a
d
c= .
6.	 Show that the roots of the equation
	 x a x b x b x c x c x a 0- - + - - + - - =^ ^ ^ ^ ^ ^h h h h h h are always real and they
cannot be equal unless a b c= = .
7.	 If the equation 2 0m x mcx c a1
2 2 2 2
+ + + - =^ h has equal roots, then prove that
c a m1
2 2 2
= +^ h.
3.8.6	 Relations between roots and coefficients of a quadratic equation
	 Consider a quadratic equation 0ax bx c
2
+ + = , where a , b , c are real numbers
and a 0! . The roots of the given equation are anda b, where
a =
a
b b ac
2
4
2
- + - and	 b	=
a
b b ac
2
4
2
- - - .
Then, the sum of the roots,	 a b+ 	=
a
b b ac
2
4
2
- + - +
a
b b ac
2
4
2
- - -
		 		=
a
b- =
x
x
coefficient of
coefficient of
2
-
	 and the product of roots,	 ab	=
a
b b ac
2
4
2
- + - #
a
b b ac
2
4
2
- - -
				=
a
b b ac
4
4
2
2 2
- -^ h
=
a
ac
4
4
2
				=
a
c =
xcoefficient of
constant term
2
Algebra 111
Note
	 Therefore, if ,a b are the roots of 0ax bx c
2
+ + = , then
	 (i)	 the sum of the roots, 	a b+ =
a
b- 	
	 (ii)	 the product of roots, 	 ab =
a
c
Formation of quadratic equation when roots are given
	 Let a and b be the roots of a quadratic equation.
	 Then x a-^ h and (x b- ) are factors.
	 `	 x a-^ h (x b- )	=	0
	 (	 x x2
a b ab- + +^ h 	= 0
That is, x xsum of roots product of roots 0
2
- + =^ h
There are infinitely many quadratic equations with the same roots.
Example 3.48
	 If one of the roots of the equation 3 10 0x x k
2
- + = is
3
1 , then find the other root
and also the value of k.
Solution	 The given equation is 3 10 0x x k
2
- + = .
	 Let the two roots be a and b.
	 `		 a b+ 	 =
3
10- -^ h
=
3
10 		 (1)
	 Substituting 	 a	 =
3
1 in (1) we get b = 3
	 Also, 	 ab	 = k
3
, ( k = 3
	 Thus, the other root b = 3 and the value of k = 3.
Example 3.49
	 If the sum and product of the roots of the quadratic equation 5 0ax x c
2
- + = are
both equal to 10, then find the values of a and c.
Solution	 The given equation is 5 0ax x c
2
- + = .
	 Sum of the roots, 	
a
5 = 10, ( a
2
1=
	 Product of the roots,	
a
c = 10
	 ( 	 c	 = 10a 10
2
1#= = 5
	 Hence, 	 a	 =
2
1 	 and c 5=
112 10th Std. Mathematics
Note
	 If anda b are the roots of 0ax bx c
2
+ + = , then many expressions in anda b like
, ,
2 2 2 2 2 2
a b a b a b+ - etc., can be evaluated using the values of a b+ and ab.
Let us write some results involving anda b.
(i)	 ( ) 4
2
a b a b ab- = + -
(ii)	
2 2
a b+ 	= 22
a b ab+ -^ h6 @
(iii)	
2 2
a b- 	= a b a b+ -^ ^h h = 42
a b a b ab+ + -^ ^h h6 @ only if $a b
(iv)	
3 3
a b+ 	= 33
a b ab a b+ - +^ ^h h		
(v)	
3 3
a b- 	= 33
a b ab a b- + -^ ^h h
(vi)	
4 4
a b+ 	= 2
2 2 2 2 2
a b a b+ -^ h = 222 2 2
a b ab ab+ - -^ ^h h6 @
(vii)	
4 4
a b- 	= 2 2
a b a b a b+ - +^ ^ ^h h h
Example 3.50
	 If a and b are the roots of the equation 2 3 1 0x x
2
- - = , find the values of
	 (i) 	
2 2
a b+ 		 (ii) 	
b
a
a
b
+
	 (iii)	 a b- if >a b		 (iv)	
2 2
b
a
a
b
+e o
	 (v)	 1 1a
b a
b+ +c `m j	 (vi)	
4 4
a b+ 	 (vii)	
3 3
b
a
a
b
+
Solution	 Given equation is x x2 3 1 02
- - =
	 Let the given equation be written as 0ax bx c
2
+ + =
	 Then, a 2= , b 3=- , c 1=- . Given a and b are the roots of the equation.
	 ` a b+ =
a
b- 	=
2
3- -^ h
=
2
3 and
2
1ab =-
(i) 		
2 2
a b+ 	= 22
a b ab+ -^ h = 2
2
3
2
12
- -` `j j =
4
9 1+ =
4
13
(ii)	
b
a
a
b
+ 	=
2 2
ab
a b+ =
22
ab
a b ab+ -^ h
=
2
1
2
3 2
2
12
-
- -` `j j
=
4
13 2# -^ h =
2
13-
(iii)	 a b- 		 = 42
a b ab+ -^ h
				=
2
3 4
2
12 2
1
#- -` `j j; E =
4
9 2 2
1
+` j =
2
17
Algebra 113
(iv)	
2 2
b
a
a
b
+ 	=
3 3
ab
a b+ =
33
ab
a b ab a b+ - +^ ^h h
=
2
1
8
27
4
9
-
+
=
4
45-
(v)	 1 1a
b a
b+ +c `m j =
1 1
ab
ab ab+ +^ ^h h
			 =
1 2
ab
ab+^ h
=
2
1
1
2
1 2
-
-` j
=
2
1-
(vi)	
4 4
a b+ 	= 2
2 2 2 2 2
a b a b+ -^ h
		 = 2
4
13
2
12 2
- -` `j j =
16
169
2
1-` j =
16
161 .
(vii)	
3 3
b
a
a
b
+ 	=
4 4
ab
a b+ =
16
161
1
2-` `j j =
8
161- .
Example 3.51
	 Form the quadratic equation whose roots are 7 3+ and 7 3- .
Solution	 Given roots are 7 3+ and 7 3- .
	 ` Sum of the roots = 7 3 7 3+ + - = 14.
	 Product of roots	= 7 3 7 3+ -^ ^h h = 7 32 2
-^ ^h h = 49 –3 = 46.
	 The required equation is x xsum of the roots product of the roots
2
- +^ ^h h = 0
	 Thus, the required equation is 14 46x x
2
- + = 0
Example 3.52
	 If anda b are the roots of the equation
		 3 4 1x x
2
- + = 0, form a quadratic equation whose roots are
2
b
a and
2
a
b
.
Solution	 Since ,a b are the roots of the equation 3 4 1x x
2
- + = 0,
	 we have 	 a b+ 	 =
3
4 , ab =
3
1
	 Now, for the required equation, the sum of the roots =
2 2
b
a
a
b
+e o =
3 3
ab
a b+
	 		 	=
33
ab
a b ab a b+ - +^ ^h h
=
3
1
3
4 3
3
1
3
43
# #-` j
=
9
28
	 Also, product of the roots		 =
2 2
b
a
a
bc cm m = ab =
3
1
` 	 The required equation is 	x x
9
28
3
12
- + = 0 or 9 28 3x x
2
- + = 0
114 10th Std. Mathematics
Exercise 3.18
1.	 Find the sum and the product of the roots of the following equations.
	 (i)	 6 5 0x x
2
- + = 			 (ii) 0kx rx pk
2
+ + =
	 (iii)	 3 5 0x x
2
- = 				 (iv) 8 25 0x
2
- =
2.	 Form a quadratic equation whose roots are
	 (i)	 3 , 4		 (ii) 3 7+ , 3 7- 		 (iii)	 ,
2
4 7
2
4 7+ -
3.	 If a and b are the roots of the equation 3 5 2x x
2
- + = 0 , then find the values of
	 (i)	
b
a
a
b
+ 		 (ii) a b- 	 (iii)	
2 2
b
a
a
b
+
4.	 If a and b are the roots of the equation 3 6 4x x
2
- + = 0, find the value of
2 2
a b+ .
5.	 If a, b are the roots of 2 3 5x x
2
- - = 0, form a equation whose roots are
2
a and
2
b .
6.	 If a, b are the roots of 3 2x x
2
- + = 0, form a quadratic equation whose roots are
a- and b- .
7.	 If a and b are the roots of 3 1x x
2
- - = 0, then form a quadratic equation
whose roots are 1 1and2 2
a b
.
8.	 If a and b are the roots of the equation 3 6 1x x
2
- + = 0, form an equation whose
roots are	 (i) ,1 1
a b
	 (ii)	 ,
2 2
a b b a	 (iii)	 2 , 2a b b a+ +
9.	 Find a quadratic equation whose roots are the reciprocal of the roots of the equation
4 3 1x x
2
- - = 0.
10.	 If one root of the equation 3 81x kx
2
+ - = 0 is the square of the other, find k.
11.	 If one root of the equation x ax2 64 0
2
- + = is twice the other, then find the value of a
12.	 If a and b are the roots of 5 1x px
2
- + = 0 and a b- = 1, then find p.
Exercise 3.19
Choose the correct answer.
1.	 If the system 6x – 2y = 3, kx – y = 2 has a unique solution, then
	 (A) k = 3	 (B) k 3! 	 (C) k = 4 	 (D) k 4! 	
2.	 A system of two linear equations in two variables is inconsistent, if their graphs
	 (A) coincide		 (B) intersect only at a point	
	 (C) do not intersect at any point	 (D) cut the x-axis
3.	 The system of equations x –4y = 8 , 3x –12y =24
	 (A) has infinitely many solutions 	 (B) has no solution
	 (C) has a unique solution	 (D) may or may not have a solution
Algebra 115
4.	 If one zero of the polynomial p x^ h = (k +4)x
2
+13x+3k is reciprocal of the other, then
k is equal to
	 (A) 2	 (B) 3	 (C) 4	 (D) 5
5.	 The sum of two zeros of the polynomial 2 ( 3) 5f x x p x
2
= + + +^ h is zero, then the
value of p is
	 (A) 3	 (B) 4	 (C) –3	 (D) –4
6.	 The remainder when x x2 7
2
- + is divided by x+4 is
	 (A) 28	 (B) 29	 (C) 30	 (D) 31
7.	 The quotient when 5 7 4x x x
3 2
- + - is divided by x–1 is
	 (A) 4 3x x
2
+ + 	 (B) 4 3x x
2
- + 	 (C) 4 3x x
2
- - (D) 4 3x x
2
+ -
8.	 The GCD of x 1
3
+^ h and 1x
4
- is
	 (A) x 1
3
- 	 (B) 1x
3
+ 	 (C) x +1	 (D) x 1-
9.	 The GCD of 2x xy y
2 2
- + and x y
4 4
- is
	 (A) 1	 (B) x+y	 (C) x–y	 (D) x y
2 2
-
10.	 The LCM of x a
3 3
- and (x – a)2 is
	 (A) ( )x a x a
3 3
- +^ h	 (B) ( )x a x a
3 3 2
- -^ h
	 (C) x a x ax a2 2 2
- + +^ ^h h	 (D) x a x ax a2 2 2
+ + +^ ^h h	
11.	 The LCM of , ,a a a
k k k3 5+ +
where k Ne is
	 (A) a
k 9+
	 (B) a
k
	 (C) a
k 6+
	 (D) a
k 5+
12.	 The lowest form of the rational expression
6x x
x x5 6
2
2
- -
+ + is
	 (A)
x
x
3
3
+
- 	 (B)
x
x
3
3
-
+ 	 (C)
x
x
3
2
-
+ 	 (D)
x
x
2
3
+
-
13.	 If
a b
a b
-
+ and
a b
a b
3 3
3 3
+
- are the two rational expressions, then their product is
	 (A)
a ab b
a ab b
2 2
2 2
- +
+ + 	 (B)
a ab b
a ab b
2 2
2 2
+ +
- + 	 (C)
a ab b
a ab b
2 2
2 2
+ +
- - (D)
a ab b
a ab b
2 2
2 2
- -
+ +
14.	 On dividing
x
x
3
25
2
+
- by
9x
x 5
2
-
+ is equal to
	 (A) (x –5)(x–3)	 (B) (x –5)(x+3)	 (C) (x +5)(x–3)	 (D) (x +5)(x+3)
15.	 If
a b
a
3
-
is added with
b a
b
3
-
, then the new expression is
	 (A) a ab b
2 2
+ + 	 (B) a ab b
2 2
- + 	 (C) a b
3 3
+ 	 (D) a b
3 3
-
16.	 The square root of 49 ( 2 )x xy y
2 2 2
- + is
	 (A) 7 x y- 	 (B) 7 x y x y+ -^ ^h h (C) 7( )x y
2
+ (D) 7( )x y
2
-
17.	 The square root of 2 2 2x y z xy yz zx
2 2 2
+ + - + -
	 (A) x y z+ - 	 (B) x y z- + 	 (C) x y z+ + 	 (D) x y z- -
116 10th Std. Mathematics
Points to Remember
18.	 The square root of 121 ( )x y z l m
4 8 6 2
- is
	 (A) 11x y z l m
2 4 4
- 	 (B) 11 ( )x y z l m
34 4
-
	 (C) 11x y z l m
2 4 6
- 	 (D) 11 ( )x y z l m
32 4
-
19.	 If ax bx c 0
2
+ + = has equal roots, then c is equal
	 (A)
a
b
2
2
	 (B)
a
b
4
2
	 (C)
a
b
2
2
- 	 (D)
a
b
4
2
-
20.	 If 5 16 0x kx
2
+ + = has no real roots, then
	 (A) k
5
82 	 (B) k
5
82- 	 (C) k
5
8
5
81 1- 	 (D) k0
5
81 1
21.	 A quadratic equation whose one root is 3 is
	 (A) 6 0x x 5
2
- - = 	 (B) 0x x6 5
2
+ - =
(C) 0x x5 6
2
- - = 	 (D) 0x x5 6
2
- + =
22.	 The common root of the equations 0x bx c
2
- + = and x bx a 0
2
+ - = is
	 (A)
b
c a
2
+ 	 (B)
b
c a
2
- 	 (C)
a
c b
2
+ 	 (D)
c
a b
2
+
23.	 If ,a b are the roots of ax bx c 0
2
+ + = ,a 0=Y then the wrong statement is
	 (A)
a
b ac22
2
2
2
a b+ = - 	 (B)
a
cab = 	
	 (C)
a
ba b+ = 		 (D)
c
b1 1
a b
+ =-
24.	 If anda b are the roots of ax bx c 02
+ + = , then one of the quadratic equations whose
roots are 1 1and
a b
, is
	 (A) ax bx c 02
+ + = 	 (B) 0bx ax c2
+ + =
	 (C) 0cx bx a2
+ + = 	 (D) 0cx ax b2
+ + =
25.	 Let b = a + c . Then the equation 0ax bx c
2
+ + = has equl roots, if
	 (A) a = c (B) a = – c (C) a = 2c	 (D) a = –2c
q	 A set of finite number of linear equations in two variables x yand is called a system
of linear equations in x yand . Such a system is also called simultaneous equations.
q	 Eliminating one of the variables first and then solving a system is called method of
elimination.
q 	The following arrow diagram helps us very much to apply the method of cross
multiplication in solving a x b y c1 1 1+ + = 0 , a x b y c2 2 2+ + = 0.
x y 1
q 	A real number k is said to be a zero of a polynomial p(x), if p(k) = 0.
b1
b2
c1
c2
a1
a2
b1
b2
Algebra 117
q 	The basic relationships between zeros and coefficients of a quadratic polynomial
( )p x ax bx c2
= + + are
			Sum of zeros =
a
b- =
coefficient of
coefficient of
x
x
2-
		 Product of zeros =
a
c =
coefficient of
constant term
x2
q	 (i) 	 For any polynomial p x^ h, x a= is zero if and only if p a 0=^ h .
	 (ii) 	 x a- is a factor for p x^ h if and only if p a 0=^ h .
q 	GCD of two or more algebraic expressions is the expression of highest degree which
divides each of them without remainder.
q 	LCM of two or more algebraic expressions is the expression of lowest degree which is
divisible by each of them without remainder.
q 	The product of LCM and GCD of any two polynomials is equal to the product of the
two polynomials.
q	 Let a R! be a non negative real number. A square root of a, is a real number b such
that b a
2
= . The square root of a is denoted by a2
or a .
q	 A quadratic equation in the variable x is of the form ax bx c 0
2
+ + = , where a,b,c
are real numbers and a 0! .
q	 A quadratic equation can be solved by (i) the method of factorization (ii) the method
of completing square (iii) using a quadratic formula.
q	 The roots of a quadratic equation ax bx c 0
2
+ + = are given by
a
b b ac
2
4
2
!- - ,
provided b ac4 0
2
$- .
q	 A quadratic equation ax bx c 0
2
+ + = has
	 (i) 	two distinct real roots if b ac4 0
2
2-
	 (ii)	 two equal roots if b ac4 0
2
- = , and
	 (iii)	 no real roots if b ac4 0
2
1-
Do you know?
Fermat’s last theorem: Theequation x y zn n n
+ = hasnointegersolutionwhenn>2.
Fermat wrote, “ I have discovered a truely remarkable proof which this margin is
too small to contain ”. No one was able to solve this for over 300 years until British
mathematicianAndrew Wiles solved it in 1994. Interestingly he came to know about this
problem in his city library when he was a high school student.`
118 10th Std. Mathematics
44
4.1	 Introduction
	 In this chapter we are going to discuss an important
mathematical object called “MATRIX”. Here, we shall
introduce matrices and study the basics of matrix algebra.
	 Matrices were formulated and developed as a concept
during 18th and 19th centuries. In the beginning, their
development was due to transformation of geometric objects
and solution of linear equations. However matrices are now
one of the most powerful tools in mathematics. Matrices are
useful because they enable us to consider an array of many
numbers as a single object and perform calculations with
these symbols in a very compact form. The “ mathematical
shorthand” thus obtained is very elegant and powerful and is
suitable for various practical problems.
	 The term “Matrix” for arrangement of numbers, was
introduced in 1850 by James Joseph Sylvester. “Matrix” is the
Latin word for womb, and it retains that sense in English. It
can also mean more generally any place in which something
is formed or produced.
	 Now let us consider the following system of linear
equations in x and y :
	 x y3 2 4- = 					 (1)
	 x y2 5 9+ = 					 (2)
	 We already know how to get the solution (2, 1) of this
system by the method of elimination (also known as Gaussian
Elimination method), where only the coefficients are used and
not the variables. The same method can easily be executed
and the solution can thus be obtained using matrix algebra.
MATRICESMATRICES
James Joseph Sylvester
(1814-1897)
England
	 James Joseph Sylvester made
fundamental contributions to
matrix theory, invariant theory,
number theory and combinatorics. He
determined all matrices that commute
with a given matrix. He introduced
many mathematical terms including
“discriminant”.
	 In 1880, the Royal Society of
London awarded Sylvester the Copley
Medal, a highest award for scientific
achievement. In 1901, Royal Society
of London instituted the Sylvester
medal in his memory, to encourage
mathematical research.
	Introduction
	Formation of Matrices
	Types of Matrices
	Addition, Subtraction and
	 Multiplication of matrices
	Matrix equations
Number, place, and combination - the three intersecting but distinct spheres of
thought to which all mathematical ideas admit of being referred - Sylvester
118
Matrices 119
4.2	 Formation of matrices
	 Let us consider some examples of the ways that matrices can arise.
	 Kumar has 10 pens. We may express it as (10), with the understanding that the number
inside ( ) is the number of pens that Kumar has.
	 Now, if Kumar has 10 pens and 7 pencils, we may express it as (10 7) with the
understanding that the first number inside ( ) is the number of pens while the other one is the
number of pencils.
Look at the following information :
	 Pens and Pencils owned by Kumar and his friends Raju and Gopu are as given below.
	 Kumar has 	 10 pens and 	 7 pencils
	 Raju has 	 8 pens and 	 4 pencils
	 Gopu has 	 6 pens and 	 5 pencils
	 This can be arranged in tabular form as follows:
Pens Pencils
Kumar 10 7
Raju 8 4
Gopu 6 5
	 This can be expressed in a rectangular array where the entries denote the number of
respective items.
	
( )
10
8
6
7
4
5
i
first row
second row
third row
first second
column column
!
!
!
- -
f p
The same information can also be arranged in tabular form as :
Kumar Raju Gopu
Pens 10 8 6
Pencils 7 4 5
	 This can be expressed in a rectangular array.
		
( )
10
7
8
4
6
5
ii
first row
second row
first second third
column column column
!
!
- - -
c m
120 10th Std. Mathematics
Definition
	 In arrangement (i), the entries in the first column represent the number of pens of
Kumar, Raju and Gopu respectively and the second column represents the number of pencils
owned by Kumar, Raju and Gopu respectively.
	 Similarly, in arrangement (ii), the entries in the first row represent the number of pens
of Kumar, Raju and Gopu respectively. The entries in the second row represent the number
of pencils owned by Kumar, Raju and Gopu respectively.
	 An arrangement or display of numbers of the above kind is called a MATRIX.
	 A matrix is a rectangular array of numbers in rows and columns enclosed within
square brackets or parenthesis.
	 A matrix is usually denoted by a single capital letter like A, B, X, Y,g . The
numbers that make up a matrix are called entries or elements of the matrix. Each horizontal
arrangement in a matrix is called a row of that matrix. Each vertical arrangement in a
matrix is called a column of that matrix.
	 Some examples of matrices are
	 ,A
1
4
2
5
3
6
= c m B
2
3
1
0
8
5
1
9
1
= -
-
-
> H and C
1
0
1
= f p
4.2.1 General form of a matrix
	 A matrix A with m rows and n columns, is of the form
				
...
...
...
...
...
...
...
A
a
a
a
a
a
a
a
a
a
a
a
am m
j
j
mj
n
n
mn
11
21
1
12
22
2
1
2
1
2
h h h h h
=
J
L
K
K
K
K
K
N
P
O
O
O
O
O
where , , , ... .a a a11 12 13
are the elements of the matrix. The above matrix can also be written as
A aij m n
=
#
6 @ or A aij m n
=
#
^ h , where 1, 2, 3, ... , .i m= and 1, 2, 3, ... , .j n=
Here, aij
is the element of the matrix lying on the intersection of the i
th
row and j
th
column of A.
	 For example, if A =
4
6
7
5
2
8
3
1
9
f p, then a23
= 1, the element which occurs in the
	 second row and third column.
Similarly, 4a11
= , 5a12
= , 3a13
= , 6a21
= , 2a22
= , 7a31
= , 8a32
= and 9a33
= .
4.2.2 Order or dimension of a matrix
	 If a matrix A has m rows and n columns, then we say that the order of A is m n#
	 (Read as m by n).
Matrices 121
Note
	 The matrix
	 A
1
4
2
5
3
6
= c m has 2 rows and 3 columns. So, the order of A is 2 3# .
	 In a m n# matrix, the first letter m always denotes the number of rows and the
second letter n always denotes the number of columns.
4.3	 Types of matrices
	 Let us learn certain types of matrices.
(i)	 Row matrix
	 A matrix is said to be a row matrix if it has only one row. A row matrix is also
called as a row vector.
For example, A 5 3 4 1=^ h and B = ( –3 0 5 ) are row matrices of orders 1 4# and 1 3#
respectively.
	 In general, A aij n1
=
#
^ h is a row matrix of order n1 # .
(ii)	 Column matrix
	 A matrix is said to be a column matrix if it has only one column. It is also called as 	
	 a column vector.
	 For example, A =
0
2
c m and B
1
2
5
= f p are column matrices of orders 12 # and 13 # 	
	 respectively.
	 In general, A aij m 1
=
#
6 @ is a column matrix of order m 1# .
(iii)	 Square matrix
	 A matrix in which the number of rows and the number of columns are equal is said 	
	 to be a square matrix. For example,
	 A
1
3
2
4
= c m and B
3
1
7
0
5
6
2
7
1
= -f paresquarematricesoforders2and3respectively.
	 In general, A aij m m
=
#
6 @ is a square matrix of order m.
	 The elements , , , ,a a a amm11 22 33
g are called principal or leading diagonal 	elements of 	
	 the square matrix A.
(iv)	 Diagonal matrix
	 A square matrix in which all the elements above and below the leading diagonal are
equal to zero, is called a diagonal matrix. For example,
	 A
5
0
0
2
= c m and B
3
0
0
0
0
0
0
0
1
= f p are diagonal matrices of orders 2 and 3
respectively.	 In general, A aij m m
=
#
6 @ is said to be a diagonal matrix if 0aij
= for all i j! .
122 10th Std. Mathematics
Note
Note
Note
Some of the leading diagonal elements of a diagonal matrix may be zero.
(v)	 Scalar matrix
	 A diagonal matrix in which all the elements along the leading diagonal are equal to a
non-zero constant is called a scalar matrix. For example,
	 A
5
0
0
5
= c m and B
7
0
0
0
7
0
0
0
7
= f p are scalar matrices of orders 2 and 3 respectively.
	 In general, A aij m m
=
#
6 @ is said to be a scalar matrix if
,
,
a
i j
k i j
0 when
whenij
!
=
=
)
where k is a constant.
(vi)	 Unit matrix
	 A diagonal matrix in which all the leading diagonal entries are 1 is called a
unit matrix. A unit matrix of order n is denoted by In
. For example,
	 I
1
0
0
12
= c m and I
1
0
0
0
1
0
0
0
1
3
= f p are unit matrices of orders 2 and 3 respectively.
	 In general, a square matrix A aij n n
=
#
^ h is a unit matrix if a
i j
i j
1
0
if
if
ij
!
=
=
)
	 A unit matrix is also called an identity matrix with respect to multiplication.
Every unit matrix is clearly a scalar matrix. However a scalar matrix need not be a unit matrix.
Aunit matrix plays the role of the number 1 in numbers.
(vii)	 Null matrix or Zero-matrix
	 A matrix is said to be a null matrix or zero-matrix if each of its elements is zero.
It is denoted by O. For example,
	 O
0
0
0
0
0
0
= c m and O
0
0
0
0
= c m are null matrices of order 2 3 2 2and# # .
(i) A zero-matrix need not be a square matrix. (ii) Zero-matrix plays the role of the
number zero in numbers. (iii) A matrix does not change if the zero-matrix of same
order is added to it or subtracted from it.
(viii)	 Transpose of a matrix
	 Definition The transpose of a matrix A is obtained by interchanging rows and columns
of the matrix A and it is denoted by A
T
(read as A transpose). For example,
	 if	 A
1
3
2
4
5
6
= c m, then A
1
2
5
3
4
6
T
= f p
	 In general, if 	 A aij m n
=
#
6 @ then
		 , , 1,2, , 1,2, ,A b b a i n j mwhere for and
T
n m ij jiij
g g= = = =
#
8 B .
Matrices 123
Example 4.1
	 The table shows a five-day forecast
indicating high (H) and low (L) temperatures
in Fahrenheit. Organise the temperatures in a
matrix where the first and second rows represent
the High and Low temperatures respectively and
identify which day will be the warmest?
Solution	 The above information can be represented in matrix form as
	
A
H
L
88
54
90
56
86
53
84
52
85
52
Mon Tue Wed Thu Fri
= c m
. That is , A 88 90 86 84 85
54 56 53 52 52
= e o
	 By reading through the first row (High), the warmest day is Tuesday.
Example 4.2
	 The amount of fat, carbohydrate and protein in grams present in each food item
respectively are as follows:
Item 1 Item 2 Item 3 Item 4
Fat 5 0 1 10
Carbohydrate 0 15 6 9
Protein 7 1 2 8
	 Use the information to write 3 4# and 4 3# matrices.
Solution	 The above information can be represented in the form of 3 4# matrix as
	 A
5
0
7
0
15
1
1
6
2
10
9
8
= f p where the columns correspond to food items. We write
	 a 4 3# matrix as B
5
0
1
10
0
15
6
9
7
1
2
8
=
J
L
K
K
K
KK
N
P
O
O
O
OO
where the rows correspond to food items.
Example 4.3
	 Let A a
1
6
3
9
4
2
7
2
8
5
0
1
ij
= =
- -
J
L
K
K
K
KK
N
P
O
O
O
OO
6 @ . Find
(i) the order of the matrix (ii) the elements a13
and a42
(iii) the position of the element 2.
Solution	 (i) 	 Since the matrix A has 4 rows and 3 columns, A is of order 4 3# .
		 (ii) 	The element a13
is in the first row and third column. 8.a13
` =
				 Similarly, a42
2=- , the element in 4th
row and 2nd
column.
		 (iii) The element 2 occurs in 2nd
row and 2nd
column 2.a22
` =
124 10th Std. Mathematics
Note
Example 4.4
	 Construct a 2 3# matrix A aij
= 6 @ whose elements are given by a i j2 3ij
= -
Solution	 In general a 2 3# matrix is given by
		 	 A
a
a
a
a
a
a
11
21
12
22
13
23
= e o
	 Now,	 a i j2 3ij
= - where ,i 1 2= and , ,j 1 2 3=
		 ( ) ( )a 2 1 3 1 1 111
= - = - = ,	 ( ) ( )a 2 1 3 2 412
= - = ,	 ( ) ( )a 2 1 3 3 713
= - =
		 2(2) 3 1a21
= - = ,	 ( ) ( )a 2 2 3 2 222
= - = ,	 ( )a 2 2 9 523
= - =
	 Hence the required matrix A
1
1
4
2
7
5
= c m
Example 4.5
	 If A
8
1
5
3
2
4
=
-
e o, then find A
T
and ( )A
T T
Solution 	
	 A
8
1
5
3
2
4
=
-
e o
	 The transpose A
T
of a matrix A, is obtained by interchanging rows and columns of the
matrix A.
	 Thus, 	 A
8
5
2
1
3
4
T
= -f p
	 Similarly ( )A
T T
is obtained by interchanging rows and columns of the matrix A
T
.
	 Hence, ( )A
T T 8
1
5
3
2
4
=
-
e o
	 From the above example, we see that ( )A A
T T
= . In fact, it is true that ( )B B
T T
=
for any matrix B. Also, ( )kA kA
T T
= for any scalar k.
Exercise 4.1
1.	 The rates for the entrance tickets at a water theme park are listed below:
Week Days
rates(`)
Week End
rates(`)
Adult 400 500
Children 200 250
Senior Citizen 300 400
	 Write down the matrices for the rates of entrance tickets for adults, children and senior
citizens. Also find the dimensions of the matrices.
Matrices 125
2.	 There are 6 Higher Secondary Schools, 8 High Schools and 13 Primary Schools in a
town. Represent these data in the form of 3 1# and 1 3# matrices.
3.	 Find the order of the following matrices.
	 (i)
1
2
1
3
5
4-
-
e o (ii)
7
8
9
f p	 (iii)
3
6
2
2
1
4
6
1
5
-
-f p (iv) 3 4 5^ h (v)
1
2
9
6
2
3
7
4
-
J
L
K
K
K
KK
N
P
O
O
O
OO
4.	 A matrix has 8 elements. What are the possible orders it can have?
5.	 A matrix consists of 30 elements. What are the possible orders it can have?.
6.	 Construct a 2 2# matrix A aij
= 6 @ whose elements are given by
	 (i) a ijij
= 		 (ii) 2a i jij
= - 	 (iii) a
i j
i j
ij
=
+
-
7.	 Construct a 3 2# matrix A aij
= 6 @ whose elements are given by
	 (i) a
j
i
ij
= 		 (ii)
( )
a
i j
2
2
ij
2
=
-
	 (iii) a
i j
2
2 3
ij
=
-
8.	 If A
1
5
6
1
4
0
3
7
9
2
4
8
=
-
-f p, (i) find the order of the matrix (ii) write down the elements
a24
and a32
(iii) in which row and column does the element 7 occur?
9.	 If A
2
4
5
3
1
0
= f p, then find the transpose of A.
10.	 If A
1
2
3
2
4
5
3
5
6
=
-
-f p, then verify that ( )A A
T T
= .
4.4	 Operation on matrices
	 In this section, we shall discuss the equality of matrices, multiplication of a matrix by
a scalar, addition, subtraction and multiplication of matrices.
(i) Equality of matrices
	 Two matrices A aij m n
=
#
6 @ and B bij m n
=
#
6 @ are said to be equal if
	 (i) 	 they are of the same order and
	 (ii) 	 each element of A is equal to the corresponding element of B, that is a bij ij
= for
all i and j.
	 For example, the matrices
6
0
1
3
9
5
6
3
0
9
1
5
andf cp m are not equal as the orders of the 	
	 matrices are different.
	 Also
1
8
2
5
1
2
8
5
!c cm m , since some of the corresponding elements are not equal.
126 10th Std. Mathematics
Definition
Example 4.6
	 Find the values of x, y and z if
x
y
z
5
5
9
4
1
3
5
5
1
=c cm m
Solution	 As the given matrices are equal, their corresponding elements must be equal.
Comparing the corresponding elements, we get 3, 9x y= = and z 4= .
Example 4.7
	 Solve :
y
x
x
y3
6 2
31 4
=
-
+
c em o
Solution	 Since the matrices are equal, the corresponding elements are equal.
Comparing the corresponding elements, we get y x6 2= - and 3 31 4x y= + .
	 Using y = 6 –2x in the other equation, we get 3 31 4(6 2 )x x= + -
						 		 x x3 31 24 8= + -
	 ` x = 5 and hence ( )y 6 2 5= - = 4- .
	 Thus, 5 4x yand= =- .
(ii) Multiplication of a matrix by a scalar
	 For a given matrix A aij m n
=
#
6 @ and a scalar (real number) k, we define a new matrix 	
		 B bij m n
=
#
6 @ , where b kaij ij
= for all i and j.
	 Thus, the matrix B is obtained by multiplying each entry of A by the scalar k and
written as B = kA. This multiplication is called scalar multiplication.
	 For example, if A =
a
d
b
e
c
f
c m then kA = k
a
d
b
e
c
f
c m =
ka
kd
kb
ke
kc
kf
c m
Example 4.8
	 If A
1
3
2
6
4
5
=
-
-
e o then find 3A
Solution	 The matrix 3A is obtained by multiplying every element of A by 3.
	 3 3A
1
3
2
6
4
5
=
-
-
e o	
( )
( )
( )
( )
( )
( )
3 1
3 3
3 2
3 6
3 4
3 5
=
-
-
e o
3
9
6
18
12
15
=
-
-
e o
(iii) Addition of matrices
	 Matrices A and B given below show the marks obtained by 3 boys and 3 girls in the
subjects Mathematics and Science respectively.
		 Mathematics		 Science
	 A B
45
30
72
90
81
65
51
42
80
85
90
70
Boys
Girls
Boys
Girls
= =c cm m
Matrices 127
Definition
	 To find the total marks obtained by each student, we shall add the corresponding
entries of A and B. We write
	 A B
45
30
72
90
81
65
51
42
80
85
90
70
+ = +c cm m
		
45 51
30 42
72 80
90 85
81 90
65 70
=
+
+
+
+
+
+
e o
96
72
152
175
171
135
= c m
	 The final matrix shows that the first boy scores a total of 96 marks in Mathematics and
Science. Similarly, the last girl scores a total of 135 marks in Mathematics and Science.
	 Hence, we observe that the sum of two matrices of same order is a matrix obtained by
adding the corresponding entries of the given matrices.
	 If A aij m n
=
#
6 @ and B bij m n
=
#
6 @ are two matrices of the same order, then the addition
of A and B is a matrix C = cij m nx
6 @ , where c a bij ij ij
= + for all i and j.
	 Notethattheoperationofadditiononmatricesisdefinedasfornumbers.Theadditionof
twomatricesAandBisdenotedbyA+B.Additionisnotdefinedformatricesofdifferentorders.
Example 4.9
	 Let A
8
5
3
9
2
1
= c m and B
1
3
1
0
=
-
c m. Find A+B if it exists.
Solution 	 Since A is order of 2 3# and B is of order 2 2# , addition of matrices A and B is
not possible.
Example 4.10
	 If A
5
1
6
0
2
4
3
2
=
-
c m and B
3
2
1
8
4
2
7
3
=
-
c m, then find A + B.
Solution	 Since A and B are of the same order 2 4# , addition of A and B is defined.
	 So, 		 A B
5
1
6
0
2
4
3
2
3
2
1
8
4
2
7
3
+ =
-
+
-
c cm m
		
5 3
1 2
6 1
0 8
2 4
4 2
3 7
2 3
=
+
+
-
+
- +
+
+
+
e o
	 Thus, A B
8
3
5
8
2
6
10
5
+ = c m
(iv) Negative of a matrix
The negative of a matrix A a
xij m n
=6 @ is denoted by A- and is defined as ( 1)A A- = - .
That is, ,A b b awhere
xij m n ij ij
- = =-6 @ for all i and j.
(v) Subtraction of matrices
	 If A aij m n
=
#
6 @ and B bij m n
=
#
6 @ are two matrices of the same order, then the
subtraction A B- isdefinedas ( ) .A B A B1- = + - Thatis, A B cij
- = 6 @ where c a bij ij ij
= -
for all i and j.
128 10th Std. Mathematics
Example 4.11
	 Matrix A shows the weight of four boys and four girls in kg at the beginning of a
diet programme to lose weight. Matrix B shows the corresponding weights after the diet
programme.
	 ,A B
35
42
40
38
28
41
45
30
32
40
35
30
27
34
41
27
Boys
Girls
Boys
Girls
= =c cm m
	 Find the weight loss of the Boys and Girls.
Solution	 Weight loss matrix A B
35
42
40
38
28
41
45
30
32
40
35
30
27
34
41
27
- = -c cm m
					
3
2
5
8
1
7
4
3
= c m.
4.5 	 Properties of matrix addition
(i)	 Matrix addition is commutative
	 If A and B are any two matrices of same order, then A+B = B+A
(ii)	 Matrix addition is associative
	 If A, B and C are any three matrices of same order, then ( ) ( )A B C A B C+ + = + +
(iii)	 Existence of additive identity
	 Null or zero matrix is the additive identity for matrix addition. If A is a matrix of order
m # n, then A + O = O + A = A, where O is the null matrix of order m#n,
(iv)	 Existence of additive inverse
	 For a matrix A, B is called the additive inverse of A if B + A = A + B = O .
	 Since ( ) ( )A A A A+ - = - + = O, A- is the additive inverse of A.
	 The additive inverse of a matrix is its negative matrix and it is unique (only one).
Exercise 4.2
1.	 Find the values of x, y and z from the matrix equation
		
x y
z
5 2
0
4
4 6
12
0
8
2
+ -
+
=
-
e co m
2.	 Solve for x and y if
x y
x y
2
3
5
13
+
-
=e co m
3.	 If A
2
9
3
5
1
7
5
1
=
-
-
-
e eo o, then find the additive inverse of A.
4.	 Let A
3
5
2
1
= c m and B
8
4
1
3
=
-
c m. Find the matrix C if C A B2= + .
Note
Matrices 129
5.	 If A B
4
5
2
9
8
1
2
3
and=
-
-
=
- -
e eo o find A B6 3- .
6.	 Find a and b if a b
2
3
1
1
10
5
+
-
=c c cm m m.
7.	 Find X and Y if 2 3X Y
2
4
3
0
+ = c m and 3 2X Y
2
1
2
5
+ =
-
-
e o.
8.	 Solve for x and y if 3x
y
x
y
2 9
4
2
2 +
-
=
-
e e co o m.
9.	 If ,A B O
3
5
2
1
1
2
2
3
0
0
0
0
and= =
-
=c c cm m m then
	 verify:	 (i) A B B A+ = + 	 (ii) ( ) ( )A A O A A+ - = = - + .
10.	 If ,A B
4
1
0
1
2
3
2
3
2
2
6
2
0
2
4
4
8
6
= - =f fp p and C
1
5
1
2
0
1
3
2
1
=
-
-
f p, then
	 verify that ( ) ( )A B C A B C+ + = + + .
11.	 An electronic company records each type of entertainment device sold at three of their
branch stores so that they can monitor their purchases of supplies. The sales in two
weeks are shown in the following spreadsheets.
T.V. DVD Videogames CD Players
Week I
Store I 30 15 12 10
Store II 40 20 15 15
Store III 25 18 10 12
Week II
Store I 25 12 8 6
Store II 32 10 10 12
Store III 22 15 8 10
	 Find the sum of the items sold out in two weeks using matrix addition.
12.	 The fees structure for one-day admission to a swimming pool is as follows:
Daily Admission Fees in `
Member Children Adult
Before 2.00 p.m. 20 30
After 2.00 p.m. 30 40
Non-Member
Before 2.00 p.m. 25 35
After 2.00 p.m. 40 50
	 Write the matrix that represents the additional cost for non-membership.
130 10th Std. Mathematics
4.6 	 Multiplication of matrices
	 Suppose that Selvi wants to buy 3 pens and 2 pencils, while Meena needs 4 pens and
5 pencils. Each pen and pencil cost `10 and `5 respectively. How much money does each
need to spend?
	 Clearly, Since 3 10 2 5 40# #+ = , Selvi needs ` 40.
		 Since 4 10 5 5 65# #+ = , Meena needs ` 65.
	 We can also do this using matrix multiplication.
Let us write the above information as follows:
		 Requirements	 Price (in `)	 Money Needed (in `)
	
3
4
2
5
10
5
Selvi
Meena
c cm m		
3 10 2 5
4 10 5 5
40
65
# #
# #
+
+
=e co m
	 Suppose the cost of each pen and pencil in another shop are `8 and `4
respectively. The money required by Selvi and Meena will be 3 8 2 4# #+ = `32 and
4 8 5 4# #+ = ` 52 . The above information can be represented as
		 Requirements	 Price (in `)		 Money Needed (in `)
	
3
4
2
5
Selvi
Meena
c m	
8
4
c m		
3 8 2 4
4 8 5 4
32
52
# #
# #
+
+
=e co m
	 Now, the above information in both the cases can be combined in matrix form as
shown below.
	 Requirements	 Price (in `) 	 Money needed (in `)
3
4
2
5
Selvi
Meena
c m
10
5
8
4
c m		
3 10 2 5
4 10 5 5
3 8 2 4
4 8 5 4
# #
# #
# #
# #
+
+
+
+
e o =
40
65
32
52
c m
	 From the above example, we observe that multiplication of two matrices is possible if
the number of columns in the first matrix is equal to the number of rows in the second matrix.
Further, for getting the elements of the product matrix, we take rows of the first matrix and
columns of the second matrix, multiply them element-wise and sum it.
	 The following simple example illustrates how to get the elements of the product matrix
when the product is defined.
	 Let A
2
3
1
4
=
-
c m and B
3
5
9
7
=
-
c m. Then the product of AB is defined and is
given by
		 AB
2
3
1
4
3
5
9
7
=
- -
c cm m
Step 1 :	 Multiply the numbers in the first row of A by the numbers in the first column
of B, add the products, and put the result in the first row and first column of AB.
		
( ) ( )
3 4
9
7
2 1 2 13
5
3 5-
=
- + -
c c em m o
Matrices 131
Definition
nm # n p#
A B
same
product matrix AB is of order m p#
Step 2:	 Follow the same procedure as in step 1, using the first row of A and second column
of B. Write the result in the first row and second column of AB.
		
( ) ( ) ( ) ( )
3 4
3
5
2 3 1 52 1 2 19
7
9 7
=
+ - +- -- -
c c em m o
Step 3:	 Follow the same procedure with the second row of A and first column of B. Write
the result in the second row and first column of AB.
		
( ) ( )
( ) ( )
( ) ( )2 1 9
7
2 3 1 5 2 9 1 7
3 4 3 4
3
5 3 5
- -
=
+ -
+
- + -
c c em m o
Step 4:	 The procedure is the same for the numbers in the second row of A and second
column of B.
		
( ) ( )
( ) ( )
( ) ( )
( ) ( )
2 1 3
5
2 3 1 5
3 3 4 5
2 9 1 7
3 4 3 4
9
7 9 7
-
=
+ -
+
- + -
+
-
-
c c em m o
Step 5:	 Simplify to get the product matrix AB
		
( ) ( )
( ) ( )
( ) ( )
( ) ( )
2 1
3 4
2 1
3 4
3 5
3 5
9 7
9 7
1
29
25
1
+
+
+
+
=
- --
-
-
e co m
	 If A aij m n
=
#
6 @ and B bij n p
=
#
6 @ then the product matrix AB is defined and is of
order m p# .This fact is explained in the following diagram.
Example 4.12
	 Determine whether each matrix product is defined or not. If the product is defined,
state the dimension of the product matrix.
	 (i) A Band2 5 5 4# #
		 (ii) A Band1 3 4 3# #
Solution
(i) 	 Now, the number of columns in A and the number of rows in B are equal.
			 So, the product AB is defined.
			 Also, the product matrix AB is of order 2 4# .
(ii)	 Given that A is of order 1 3# and B is of order 4 3#
		 Now, the number of columns in A and the number of rows in B are not equal.
		 So, the matrix product AB is not defined.
132 10th Std. Mathematics
Example 4.13
	 Solve
x
y
3
4
2
5
8
13
=c c cm m m
Solution Given that 	
x
y
3
4
2
5
8
13
=c c cm m m
		 ( 	
x y
x y
3 2
4 5
8
13
+
+
=e co m
	 Equating the corresponding elements, we get
	
.
x y x y
x y x y
3 2 8 4 5 13
3 2 8 0 4 5 13 0
and
and(
+ = + =
+ - = + - =
	 Solving the equations by the method of cross multiplication, we get
			 x		 y	 1
		 2	 –8	 3	 2
		 5	 –13	 4	 5
	 ( x
26 40- +
=
y
32 39- +
=
15 8
1
-
( x
14
=
y
7
=
7
1
		 Thus, 	 ,x y2 1= =
Example 4.14
	 If A
a
c
b
d
I
1
0
0
1
and 2
= =c cm m , then show that ( ) ( )A a d A bc ad I
2
2
- + = - .
Solution	 Consider	 A A A
2
#=
				
a
c
b
d
a
c
b
d
= c cm m
a bc
ac cd
ab bd
bc d
2
2=
+
+
+
+
e o 	 (1)
	 Now, 	 ( ) ( )a d A a d
a
c
b
d
+ = + c m
				
a ad
ac cd
ab bd
ad d
2
2=
+
+
+
+
e o					 (2)
	 From (1) and (2) we get,
		 ( )A a d A
a bc
ac cd
ab bd
bc d
a ad
ac cd
ab bd
ad d
2
2
2
2
2- + =
+
+
+
+
-
+
+
+
+
e eo o
				
bc ad
bc ad0
0
=
-
-
e o ( )bc ad
1
0
0
1
= - c m
Thus, ( ) ( )A a d A bc ad I
2
2
- + = - .
4.7 	 Properties of matrix multiplication
	 The matrix multiplication does not retain some important properties enjoyed by
multiplication of numbers. Some of such properties are (i) AB BA! (in general) (ii) AB = 0
does not imply that either A or B is a zero-matrix and (iii) ,AB AC= A is a non-zero matrix,
does not imply always that B = C.
Matrices 133
Remarks
	 For example, let , ,A B C D
0
0
0
1
1
3
2
4
5
3
6
4
1
0
0
0
and= = = =c c c cm m m m. Then,
	 (i) AB BA! (ii) AD = O, however, A and D are not zero-matrices and (iii) ,AB AC=
but B ! C. Let us see some properties of matrix multiplication through examples.
(i)	 Matrix multiplication is not commutative in general
	 If A and B are two matrices and if AB and BA both are defined, it is not necessary
that AB = BA.
Example 4.15
	 If A B
8
2
0
7
4
3
9
6
3
1
2
5
and= -
-
=
-
- -
f ep o , then find AB and BA if they exist.
Solution	 The matrix A is of order 3 2# and B is of order 32 # . Thus, both the products
AB and BA are defined.
	 Now, AB
8
2
0
7
4
3
9
6
3
1
2
5
= -
-
-
- -
f ep o
			
72 42
18 24
0 18
24 7
6 4
0 3
16 35
4 20
0 15
=
-
- +
+
- +
-
-
+
- -
-
f p =
30
6
18
17
2
3
51
24
15
-
-
-
-
f p
Similarly,
		 BA
9
6
3
1
2
5
8
2
0
7
4
3
=
-
- -
-
-
e fo p
78
50
69
61
=
-
-
e o. (Note that AB BA! )
	 Multiplication of two diagonal matrices of same order is commutative.
	 Also, under matrix multiplication unit matrix commutes with any
	 square matrix of same order.
(ii)	 Matrix multiplication is always associative
	 For any three matrices A, B and C, we have (AB)C = A(BC), whenever both sides of
the equality are defined.
(iii)	 Matrix multiplication is distributive over addition
	 For any three matrices A, B and C, we have (i) ( )A B C AB AC+ = +
	 (ii) ( )A B C AC BC+ = + , whenever both sides of equality are defined.
Example 4.16
	 If ,A B C
3
1
2
4
2
6
5
7
1
5
1
3
and=
-
=
-
=
-
e c eo m o verify that ( )A B C AB AC+ = +
Solution 	 Now, B C
2
6
5
7
1
5
1
3
+ =
-
+
-
c em o
1
1
6
10
=
-
c m
Thus, ( )A B C
3
1
2
4
1
1
6
10
+ =
-
-
e co m
1
5
38
34
=
-
c m			 (1)
134 10th Std. Mathematics
Note
	 Now, AB AC
3
1
2
4
2
6
5
7
3
1
2
4
1
5
1
3
+ =
-
-
+
- -
e c e eo m o o
			
6 12
2 24
15 14
5 28
3 10
1 20
3 6
1 12
=
- +
+
+
- +
+
-
- -
+
- +
e eo o
		 	
6
26
29
23
7
21
9
11
= +
-
-
c em o
			
1
5
38
34
=
-
c m							 (2)
	 From (1) and (2), we have ( )A B C AB AC+ = + .
(iv)	 Existence of multiplicative identity
	 In ordinary algebra we have the number 1, which has the property that its product
with any number is the number itself. We now introduce an analogous concept in matrix
algebra.
	 For any square matrix A of order n, we have AI IA A= = , where I is the unit matrix
of order n. Hence, I is known as the identity matrix under multiplication.
Example 4.17
	 If A
1
9
3
6
=
-
e o , then verify AI IA A= = , where I is the unit matrix of order 2.
Solution
	 Now, 	 AI
1
9
3
6
1
0
0
1
=
-
e co m =
1 0
9 0
0 3
0 6
+
+
+
-
e o
1
9
3
6
=
-
e o A=
	 Also,	 IA
1
0
0
1
1
9
3
6
=
-
c em o
1 0
0 9
3 0
0 6
=
+
+
+
-
e o
1
9
3
6
=
-
e o A=
	 Hence AI IA A= = .
(v)	 Existence of multiplicative inverse
	 If A is a square matrix of order n, and if there exists a square matrix B of the same
order n, such that ,AB BA I= = where I is the unit matrix of order n, then B is called the
multiplicative inverse matrix of A and it is denoted by A
1-
.
(i) Some of the square matrices like
2
4
3
6
c m do not have multiplicative inverses.
(ii) If B is the multiplicative inverse of A, then is the multiplicative inverse of B.
(iii) If multiplicative inverse of a square matrix exists, then it is unique.	
Example 4.18
	 Prove that
3
1
5
2
2
1
5
3
and
-
-
c em o are multiplicative inverses to each other.
Matrices 135
Solution	 Now, I
3
1
5
2
2
1
5
3
6 5
2 2
15 15
5 6
1
0
0
1-
-
=
-
-
- +
- +
= =c e e cm o o m
Also, I
2
1
5
3
3
1
5
2
6 5
3 3
10 10
5 6
1
0
0
1-
-
=
-
- +
-
- +
= =e c e co m o m
	 ` The given matrices are inverses to each other under matrix multiplication.
(vi)	 Reversal law for transpose of matrices
	 If A and B are two matrices and if AB is defined , then ( )AB B A
T T T
= .
Example 4.19
	 If A B
2
4
5
1 3 6and=
-
= -f ^p h , then verify that ( )AB B A
T T T
= .
Solution	 Now, 	 AB	 =
2
4
5
1 3 6
-
-f ^p h 	
2
4
5
6
12
15
12
24
30
=
- -
-
-
f p
	 Thus,	 AB T
^ h 	 =
2
6
12
4
12
24
5
15
30
-
-
- -
f p 					 (1)	
	 Now, B A
1
3
6
2 4 5T T
=
-
-f ^p h
		 		
2
6
12
4
12
24
5
15
30
=
-
-
- -
f p 					 (2)
	 From (1) and (2), we get ( )AB B A
T T T
= .
Exercise 4.3
1.	 Determine whether the product of the matrices is defined in each case. If so, state the
order of the product.
	 (i)	 AB, where ,A a B b
x xij ij4 3 3 2
= =6 6@ @ 	 (ii) PQ, where ,P p Q q
x xij ij4 3 4 3
= =6 6@ @
	 (iii)	 MN, where ,M m N n
x xij ij3 1 1 5
= =6 6@ @ 	 (iv) RS, where ,R r S s
x xij ij2 2 2 2
= =6 6@ @
2.	 Find the product of the matrices, if exists,
	 (i)	 2 1
5
4
-^ ch m			 (ii)
3
5
2
1
4
2
1
7
-
c cm m
	 (iii)	
2
4
9
1
3
0
4
6
2
2
7
1
-
-
-
-
e fo p	 (iv)
6
3
2 7
-
-e ^o h
136 10th Std. Mathematics
3.	 A fruit vendor sells fruits from his shop. Selling prices of Apple, Mango and Orange
are ` 20, ` 10 and ` 5 each respectively. The sales in three days are given below
Day Apples Mangoes Oranges
1 50 60 30
2 40 70 20
3 60 40 10
	 Write the matrix indicating the total amount collected on each day and hence find the
total amount collected from selling of all three fruits combined.
4.	 Find the values of x and y if 	
x
y
x1
3
2
3 0
0
9
0
0
=c c cm m m.
5.	 If ,A X
x
y
C
5
7
3
5
5
11
and= = =
-
-
c c em m o and if AX C= , then find the values
	 of x and y.
6.	 If A
1
2
1
3
=
-
c m then show that 4 5A A I O
2
2
- + = .
7.	 If A B
3
4
2
0
3
3
0
2
and= =c cm m then find AB and BA. Are they equal?
8.	 If ,A B C
1
1
2
2
1
3
0
1
2
2 1and=
-
= =c f ^m p h verify ( ) ( )AB C A BC= .
9.	 If A B
5
7
2
3
2
1
1
1
and= =
-
-
c em o verify that ( )AB B A
T T T
= .
10.	 Prove that A B
5
7
2
3
3
7
2
5
and= =
-
-
c em o are inverses to each other under matrix 	
multiplication.
11.	 Solve 0x
x
1
1
2
0
3 5- -
=^ e c ^h o m h.
12.	 If A B
1
2
4
3
1
3
6
2
and=
-
-
=
-
-
e eo o , then prove that ( ) 2A B A AB B
2 2 2
!+ + + .
13.	 If ,A B C
3
7
3
6
8
0
7
9
2
4
3
6
and= = =
-
c c cm m m, find ( )A B C AC BCand+ + .
	 Is ( )A B C AC BC+ = + ?
Matrices 137
Exercise 4.4
Choose the correct answer.
1.	 Which one of the following statements is not true?	
	 (A) 	 A scalar matrix is a square matrix	
	 (B) 	A diagonal matrix is a square matrix
	 (C) 	A scalar matrix is a diagonal matrix	
	 (D) 	 A diagonal matrix is a scalar matrix.
2.	 Matrix A aij m n
=
#
6 @ is a square matrix if
	 (A) m n1 	 (B) m n2 	 (C) m 1= 	 (D) m = n
3.	 If
x
y x
y3 7
1
5
2 3
1
8
2
8
+
+ -
=
-
e eo o then the values of x and y respectively are
	 (A) 	 –2 , 7	 (B)
3
1- , 7	 (C)
3
1- ,
3
2- 	 (D) 2 , –7
4.	 If A B1 2 3
1
2
3
and= - =
-
-
^ fh p then A + B
	 (a) 0 0 0^ h		 (b)
0
0
0
f p
	 (c) 14-^ h 		 (d) not defined
5.	 If a matrix is of order ,2 3# then the number of elements in the matrix is
	 (a) 5	 (b) 6	 (c) 2	 (d) 3
6.	 If 4
x
8 4
8
2
1
1
2
=c cm m then the value of x is
	 (a) 1	 (b) 2	 (c)
4
1 	 (d) 4
7.	 If A is of order 3 4# and B is of order 4 3# , then the order of BA is
	 (a) 3 3# 	 (b) 4 4# 	 (c) 4 3# 	 (d) not defined
8.	 If A
1
0
1
2
1 2# =c ^m h, then the order of A is
	 (a) 2 1# 	 (b) 2 2# 	 (c) 1 2# 	 (d) 3 2#
9.	 If A and B are square matrices such that AB = I and BA = I , then B is
	 (A) Unit matrix		 (B) Null matrix
	 (C) Multiplicative inverse matrix of A	 (D) A-
10.	 If
x
y
1
2
2
1
2
4
=c c cm m m, then the values of x and y respectively, are
	 (a) 2 , 0 	 (b) 0 , 2	 (c) 0 , 2- 	 (d) 1 , 1
138 10th Std. Mathematics
11.	 If A
1
3
2
4
=
-
-
e o and A B O+ = , then B is
	 (a)
1
3
2
4-
-
e o	 (b)
1
3
2
4
-
-
e o	 (c)
1
3
2
4
-
-
-
-
e o	 (d)
1
0
0
1
c m
12.	 If A
4
6
2
3
=
-
-
e o, then A2
is
	 (a)
16
36
4
9
c m	 (b)
8
12
4
6
-
-
e o	 (c)
4
6
2
3
-
-
e o	 (d)
4
6
2
3
-
-
e o
13.	 A is of order m n# and B is of order p q# , addition of A and B is possible only if
	 (A) m p= 	 (B) n = q	 (C) n = p	 (D) m = p, n = q
14.	 If ,
a
1
3
2
2
1
5
0-
=c e cm o m then the value of a is
	 (A) 8	 (B) 4	 (C) 2	 (D) 11
15.	 If A
a
c
b
a
=
-
e o is such that A I2
= , then
	 (A) 1 0
2
a bc+ + = 	 	 (B) 1 0
2
a bc- + =
	 (C) 1 0
2
a bc- - = 		 (D) 1 0
2
a bc+ - =
16.	 If A aij 2 2
=
#
6 @ and ,a i jij
= + then A =
	 (A)
1
3
2
4
c m	 (B)
2
3
3
4
c m	 (C)
2
4
3
5
c m	 (D)
4
6
5
7
c m
17.	
a
c
b
d
1
0
0
1
1
0
0
1
-
=
-
c c em m o, then the values of a, b, c and d respectively are
	 (A) , , ,1 0 0 1- - 	 (B) 1, 0, 0, 1	 (C) , , ,1 0 1 0- 	 (d) 1, 0, 0, 0
18.	 If A
7
1
2
3
= c m and A B
1
2
0
4
+ =
-
-
e o, then the matrix B =
	 (A)
1
0
0
1
c m	 (B)
6
3
2
1-
e o	 (C)
8
1
2
7
- -
-
e o	 (D)
8
1
2
7-
e o
19.	 If 20x5 1
2
1
3
- =^ f ^h p h, then the value of x is
	 (A) 7		 (B) 7- 	 (C)
7
1 	 (D) 0
20.	 Which one of the following is true for any two square matrices A and B of same
order?.
	 (a) ( )AB A B
T T T
= 	 (b) ( )A B A B
T T T T
= (c) ( )AB BAT
= 	 (d) ( )AB B A
T T T
=
Matrices 139
Points to Remember
q	 A matrix is a rectangular array of numbers.
q	 A matrix having m rows and n columns, is of the order m n# .
q	 A aij m n
=
#
6 @ is a row matrix if m = 1.
q	 A aij m n
=
#
6 @ is a column matrix if n = 1.
q	 A aij m n
=
#
6 @ is a square matrix if m n= .
q	 A aij n n
=
#
6 @ is diagonal matrix if 0,a i jwhenij
!= .
q	 A aij n n
=
#
6 @ is a scalar matrix if 0,a i jwhenij
!= and ,a kij
= when i j= .
(k is a non-zero constant ).
q	 A aij
= 6 @ is unit matrix if 1,a i jwhenij
= = and 0,a i jwhenij
!= .
q	 A matrix is said to be a zero matrix if all its elements are zero.
q	 Two matrices A and B are equal if the matrices A and B are of same order and their
corresponding entries are equal.
q	 Addition or subtraction of two matrices are possible only when they are of same
order.
q	 Matrix addition is commutative.
	 That is, A B B A+ = + , if A and B are matrices of same order.
q	 Matrix addition is Associative.
	 That is, ( ) ( ),A B C A B C+ + = + + if A, B and C are matrices of same order.	
q	 If A is a matrix of order m#n and B is a matrix of order n#p, then the product matrix
AB is defined and is of order m#p.
q	 Matrix multiplication is not commutative in general. i.e.,AB BA! .
q	 Matrix multiplication is associative. i.e., (AB)C = A(BC), if both sides are defined.
q	 ( ) , ( ) ( )A A A B A B AB B Aand
T T T T T T T T
= + = + = .
q 	Matrices A and B are multiplicative inverses to each other if AB = BA = I.
q	 If AB = O, it is not necessary that A = O or B = O.
	 That is, product of two non-zero matrices may be a zero matrix.
Do you know?
The Abel Prize , which was awarded for the first time in 2003, amounts to One Million
US dollar. It is an International Prize awarded by Norwegian Academy of Science and
presented annually by the King of Norway to one or more outstanding Mathematicians.
S.R. Srinivasa Varadhan, an Indian-American Mathematician born in Chennai, was
awarded the Abel Prize in 2007 for his fundamental contributions to Probability Theory
and in particular for creating a unified theory of large deviations.
140 10th Std. Mathematics
5.1 Introduction
	 Coordinate geometry, also known as analytical
geometry is the study of geometry using a coordinate
system and the principles of algebra and analysis. It helps
us to interpret algebraic results geometrically and serves as
a bridge between algebra and geometry. A systematic study
of geometry using algebra was carried out by a French
philosopher and a mathematician Rene Descartes. The
use of coordinates was Descartes’s great contribution to
mathematics, which revolutionized the study of geometry.
He published his book “La Geometry” in 1637. In this book,
he converted a geometric problem into an algebraic equation,
simplified and then solved the equation geometrically.
French mathematician Pierre De Fermat also formulated
the coordinate geometry at the same period and made great
contribution to this field. In 1692, a German mathematician
Gottfried Wilhelm Von Leibnitz introduced the modern terms
like abscissa and ordinate in coordinate geometry .According
to Nicholas Murray Butler, “The analytical geometry of
Descartes and the calculus of Newton and Leibntiz have
expanded into the marvelous mathematical method”.
	 In class IX, we have studied the basic concepts of
the coordinate geometry namely, the coordinate axes, plane,
plotting of points in a plane and the distance between two
points.	In this chapter, we shall study about section formula,
area of a triangle, slope and equation of a straight line.
5.2 	 Section formula
	 Let us look at the following problem.
Let A and B be two towns. Assume that one can reach town B
from A by moving 60km towards east and then 30km towards
north . A telephone company wants to raise a relay tower at
COORDINATE
				 GEOMETRY
COORDINATE
				 GEOMETRY
Pierre de Fermat
(1601-1665)
France
	 Together with Rene Descartes,
Fermat was one of the two leading
mathematicians of the first half of
the 17th century. He discovered the
fundamental principles of analytical
geometry. He discovered an original
method of finding the greatest and
the smallest ordinates of curved lines.
	 He made notable contributions
to coordinate geometry. Fermat’s
pioneering work in analytic geometry
was circulated in manuscript form in
1636, predating the publication of
Descarte’s famous “La geometrie”.
	Introduction
	Section Formula
	Area of Triangle and
	 Quadrilateral
	Straight Lines
55
No human investigation can be called real science if it cannot be
demonstrated mathematically - Leonardo de Vinci
140
Coordinate Geometry 141
P which divides the line joining A and B in the ratio 1:2 internally. Now, it wants to find the
position of P where the relay tower is to be set up.
	 Choose the point A as the origin. Let P ,x y^ h be
the point. Draw the perpendiculars from P and B to the
x-axis, meeting it in C and D respectively. Also draw a
perpendicular from P to BD, intersecting at E.
	 Since TPAC and BPET are similar, we have
	
PE
AC =
BE
PC
PB
AP
2
1= =
		 Now 	
PE
AC 	=
2
1
	
x
x
60
(
-
=
2
1 	 Also, 	
BE
PC 	=
2
1
			 2x	= 60 x- 		
y
y
30
(
-
	=
2
1
		 Thus,	 x	= 20.	 Thus,	 2y	= 30 - y ( y = 10.
	 ` The position of the relay tower is at P , .20 10^ h
	 Taking the above problem as a model, we shall derive the general section formula.
	 Let ( , )A x y1 1
and ,B x y2 2^ h be two distinct points such that a point ,P x y^ h divides AB
internally in the ratio :l m. That is,
PB
AP =
m
l
	 From the Fig. 5.2, we get
	 			 AF CD OD OC x x1
= = - = -
			 	 PG DE OE OD x x2
= = - = -
			 Also, PF PD FD y y1
= - = -
			 BG BE GE y y2
= - = -
	 Now, T AFP and PGBT are similar.
	 (Refer chapter 6, section 6.3)
	 Thus,	
PG
AF
BG
PF
PB
AP
m
l= = =
	 `		
PG
AF 	
m
l= and	
BG
PF 	
m
l=
	 (	
x x
x x
2
1
-
-
	
m
l= 		 (	
y y
y y
2
1
-
-
	
m
l=
	 (	 mx mx1
- 	 = lx lx2
- 	 	 (	 my my1
- 	 = ly ly2
-
				 lx mx+ 	 = lx mx2 1
+ 			 ly my+ 	 = ly my2 1
+
	 (	 x	 =
l m
lx mx2 1
+
+
	( 	 y	 =
l m
ly my2 1
+
+
Fig. 5.1
O
x
y
F
G
C ED
A
x
y
(
,
)
1
1
B x y( , )2 2
P(x,y)
Fig. 5.2
142 10th Std. Mathematics
Thus, the point P which divides the line segment joining the two points
A x y,1 1^ h and B ,x y2 2^ h internally in the ratio :l m is
	 This formula is known as section formula.
	 It is clear that the section formula can be used only when the related three points are collinear.
Results
(i) 	 If P divides a line segment AB joining the two points ,A x y1 1^ h and ,B x y2 2^ h externally
in the ratio :l m, then the point P is ,
l m
lx mx
l m
ly my2 1 2 1
-
-
-
-
c m. In this case
m
l is negative.
(ii) 	 Midpoint of AB
	 If M is the midpoint of AB, then M divides the line segment AB internally in the ratio 1:1.
	 By substituting l = 1 and m = 1 in the section formula, we obtain
		 the midpoint of AB as ,M
x x y y
2 2
2 1 2 1
+ +
c m.
The midpoint of the line segment joining the points
A ,x y1 1^ h and ,B x y2 2^ h is ,
x x y y
2 2
1 2 1 2
+ +
c m.
(iii) 	 Centroid of a triangle
	 Consider a ABCT whose vertices are ,A x y1 1^ h, ,B x y2 2^ h and ,C x y3 3^ h. Let AD,
	 BE and CF be the medians of the ABCT .
We know that the medians of a triangle are concurrent and
the point of concurrency is the centroid.
	 Let G(x , y) be the centroid of ABCT .
	 Now the midpoint of BC is D ,
x x y y
2 2
2 3 2 3
+ +
c m
	 By the property of triangle, the centroid G divides the 	
	 median AD internally in the ratio 2 : 1
	 ` By section formula, the centroid
			 G(x , y)	 = G ,
x x
x
y y
y
2 1
2
2
1
2 1
2
2
12 3
1
2 3
1
+
+
+
+
+
+
^
^
^
^f
h
h
h
h p
				 = G ,
x x x y y y
3 3
1 2 3 1 2 3
+ + + +
c m
Fig. 5.3
B
A
F
1
2
D C
E
G
,P
l m
lx mx
l m
ly my2 1 2 1
+
+
+
+
c m
Coordinate Geometry 143
The centroid of the triangle whose vertices are
, , , ,x y x y x yand1 1 2 2 3 3^ ^ ^h h h, is ,
x x x y y y
3 3
1 2 3 1 2 3
+ + + +
c m.
Example 5.1
	 Find the midpoint of the line segment joining the points ,3 0^ h and ,1 4-^ h.
Solution	 Midpoint M(x , y) of the line segment joining the points ,x y1 1^ h and ,x y2 2^ h is
			 	 M(x , y) = ,M
x x y y
2 2
1 2 1 2
+ +
c m
	 ` 	 Midpoint of the line segment joining the
		 points ,3 0^ h and ,1 4-^ h is
			 	 M(x , y ) = ,
2
3 1
2
0 4- +` j = M ,1 2^ h.
Example 5.2
	 Find the point which divides the line segment joining the points (3 , 5) and (8 , 10)
internally in the ratio 2 : 3.
Solution 	 Let ,A 3 5^ h and ,B 8 10^ h be the given points.
	 Let the point P(x,y) divide the line AB
		 internally in the ratio 2 :3.
	 By section formula, P(x , y) = P ,
l m
lx mx
l m
ly my2 1 2 1
+
+
+
+
c m
	 Here 3, 5, 8 , 10x y x y1 1 2 2
= = = = and ,l m2 3= =
		 `	 P(x , y)	= P ,
2 3
2 8 3 3
2 3
2 10 3 5
+
+
+
+^ ^ ^ ^
c
h h h h
m = P(5 , 7)	
Example 5.3
	 In what ratio does the point P(-2 , 3) divide the line segment joining the points
A(-3, 5) and B ( 4, -9) internally?
Solution	 Given points are ,A 3 5-^ h and ,B 4 9-^ h.
	 Let P (-2 , 3) divide AB internally in the ratio :l m
	 By the section formula,
	 P ,
l m
lx mx
l m
ly my2 1 2 1
+
+
+
+
c m= P(-2, 3) 		 (1)
	 Here 3, 5, 4, 9x y x y1 1 2 2
=- = = =- .
– – –
Fig. 5.6
P B –( 1,4)A(3, 0) ( )x, yM(x, y)
Fig. 5.4
l m
P B(8,10)A(3, 5) ( )x, y
Fig. 5.5
2 3
144 10th Std. Mathematics
A
1 2
P B(-2,-3)
Fig. 5.8
A(4, –1)
A(4,-1) P Q B(-2,-3)
Fig. 5.7
A(4, –1)
A(4,-1)
2 1
Q B(-2,-3)
Fig. 5.9
A(4, –1)
Note
(1) ,
l m
l m
l m
l m4 3 9 5
(
+
+ -
+
- +^ ^ ^ ^
c
h h h h
m	= (-2, 3)
	 Equating the x-coordinates, we get
			
l m
l m4 3
+
- 	= 2-
		 (	 6l	= m
			
m
l 	=
6
1
		 i.e.,	 l : m	= 1 : 6
	 Hence P divides AB internally in the ratio 1 : 6
	 (i)	 In the above example, one may get the ratio by equating y-coordinates also.
	 (ii)	 The ratios obtained by equating x-coordinates and by equating y-coordinates are
same only when the three points are collinear.
	 (ii)	 If a point divides the line segment internally in the ratio :l m, then
m
l is positive.
	 (iii)	If a point divides the line segment externally in the ratio :l m, then
m
l is
negative. 	
Example 5.4
	 Find the points of trisection of the line segment joining ,4 1-^ h and ,2 3- -^ h.
Solution 	 Let A(4,-1) and B(-2,-3) be the given points.
	 Let P(x,y) and Q(a,b) be the points of
	 trisection of AB so that AP PQ QB= =
	 Hence P divides AB internally in the
	 ratio 1 : 2 and Q divides AB internally
	 in the ratio 2 : 1
` 	 By the section formula, the required points are
	 P ,
1 2
1 2 2 4
1 2
1 3 2 1
+
- +
+
- + -^ ^ ^ ^
c
h h h h
m and
	 Q ,
2 1
2 2 1 4
2 1
2 3 1 1
+
- +
+
- + -^ ^ ^ ^
c
h h h h
m
	 ( , ) ,P x y P
3
2 8
3
3 2( = - + - -` j and ( , ) ,Q a b Q
3
4 4
3
6 1= - + - -` j
	 = ,P 2
3
5-` j 	 = ,Q 0
3
7-` j.
	 Note that Q is the midpoint of PB and P is the midpoint of AQ.
Coordinate Geometry 145
Example 5.5
	 Find the centroid of the triangle whose vertices are A(4, -6), B(3,-2) and C(5, 2).
Solution	 The centroid G(x , y) of a triangle whose vertices are
		 ,x y1 1^ h , ,x y2 2^ h and ,x y3 3^ h is given by
		 G(x , y) = G ,
x x x y y y
3 3
1 2 3 1 2 3
+ + + +
c m.
We have ( , ) (4, 6) , ( , )x y x y1 1 2 2
= - (3, 2), ( , ) (5 , 2)x y3 3
= - =
`	 The centroid of the triangle whose vertices are
	 , , ,4 6 3 2- -^ ^h h and (5, 2) is
G(x , y) = G ,
3
4 3 5
3
6 2 2+ + - - +` j
			 = G ,4 2-^ h.
Example 5.6
	 If , , , ,7 3 6 1^ ^h h ,8 2^ h and ,p 4^ h are the vertices of a parallelogram taken in order, then
find the value of p.
Solution	 Let the vertices of the parallelogram be A ,7 3^ h, , , ,B C6 1 8 2^ ^h h and ,D p 4^ h.
We know that the diagonals of a parallelogram bisect each other.
` 	 The midpoints of the diagonal AC
	 and the diagonal BD coincide.
	 Hence 	 ,
2
7 8
2
3 2+ +` j 	= ,
p
2
6
2
1 4+ +c m
	 ( 	 ,
p
2
6
2
5+
c m	= ,
2
15
2
5
` j
	 Equating the x-coordinates, we get,
			
p
2
6 +
	=
2
15
			 p` 	 = 9
Example 5.7
	 If C is the midpoint of the line segment joining A(4 , 0) and B(0 , 6) and if O is the
origin, then show that C is equidistant from all the vertices of 3OAB.
Solution 	 The midpoint of AB is ,C
2
4 0
2
0 6+ +` j = C ,2 3^ h
	 We know that the distance between ( , ) ( , )P x y Q x yand1 1 2 2
is ( ) ( ) .x x y y1 2
2
1 2
2
- + -
	 Distance between O ,0 0^ h and C ,2 3^ h is
		 OC 	= 2 0 3 02 2
- + -^ ^h h = 13 .
B(3,-2)
A(4,-6)
C(5,2)
G
D
F E
Fig. 5.10
B(6,1)A(7,3)
C(8,2)D(P,4)
Fig. 5.11
D(p,4)
146 10th Std. Mathematics
O
B
x
y
A(4,0)
(0,6)
C
Fig. 5.12
Note
	 Distance between A ,4 0^ h and ,C 2 3^ h,
		 AC	= 2 4 3 02 2
- + -^ ^h h = 4 9+ = 13
	 Distance between B ,0 6^ h and ,C 2 3^ h,
		 BC	= 2 0 3 62 2
- + -^ ^h h = 4 9+ = 13
	 `	 OC	= AC = BC
` The point C is equidistant from all the vertices of the 3OAB.
	 The midpoint C of the hypotenuse, is the circumcentre of the right angled 3OAB.
	 Exercise 5.1
1. 	 Find the midpoint of the line segment joining the points
(i) ,1 1-^ h and ,5 3-^ h 	 (ii) ,0 0^ h and ,0 4^ h
2. 	 Find the centroid of the triangle whose vertices are
	 (i) , , , ,1 3 2 7 12 16and -^ ^ ^h h h 	 (ii) , , , ,3 5 7 4 10 2and- - -^ ^ ^h h h
3. 	 The centre of a circle is at (-6, 4). If one end of a diameter of the circle is at the origin,
then find the other end.
4. 	 If the centroid of a triangle is at (1, 3) and two of its vertices are (-7, 6) and (8, 5) then
find the third vertex of the triangle .
5. 	 Using the section formula, show that the points A(1,0), B(5,3), C(2,7) and
D(-2, 4) are the vertices of a parallelogram taken in order.
6. 	 Find the coordinates of the point which divides the line segment joining (3, 4) and
(–6, 2) in the ratio 3 : 2 externally.
7.	 Find the coordinates of the point which divides the line segment joining (-3, 5) and
(4, -9) in the ratio 1 : 6 internally.
8. 	 Let A (-6,-5) and B (-6, 4) be two points such that a point P on the line AB satisfies
AP =
9
2 AB. Find the point P.
9. 	 Find the points of trisection of the line segment joining the points A(2,-2) and
B(-7, 4).
10.	 Find the points which divide the line segment joining A(-4 ,0) and B (0,6) into four
equal parts.
11. 	 Find the ratio in which the x-axis divides the line segment joining the points (6, 4) and (1,-7).
12.	 In what ratio is the line joining the points (-5, 1) and (2 , 3) divided by the y-axis?
Also, find the point of intersection .
13. 	 Find the length of the medians of the triangle whose vertices are (1, -1) , (0, 4)
and (-5, 3).
Coordinate Geometry 147
O
A x y( , )1 1
C x y( , )3 3
x
y
y1
x3
x1
x2
y3y2
E FD
Fig. 5.13
Note
5.3 	 Area of a triangle			
	 We have already learnt how to calculate the area of a triangle, when some measurements
of the triangle are given. Now, if the coordinates of the vertices of a triangle are given, can we
find its area ?
	 Let ABC be a triangle whose vertices are , , , ,A x y B x y C x yand,1 1 2 2 3 3^ ^ ^h h h.
	 Draw the lines AD, BE and CF perpendicular to x-axis.
	 From the figure, ED =x x1 2
- , DF x x3 1
= - and
	 EF x x3 2
= - .
	 Area of the triangle ABC
	 = Area of the trapezium ABED
	 + Area of the trapezium ADFC
	 - Area of the trapezium BEFC
	 = BE AD ED AD CF DF BE CF EF
2
1
2
1
2
1+ + + - +^ ^ ^h h h
	 = y y x x y y x x y y x x
2
1
2
1
2
1
2 1 1 2 1 3 3 1 2 3 3 2
+ - + + - - + -^ ^ ^ ^ ^ ^h h h h h h
= }x y x y x y x y x y x y x y x y x y x y x y x y
2
1
1 2 2 2 1 1 2 1 3 1 1 1 3 3 1 3 3 2 2 2 3 3 2 3
- + - + - + - - + - +"
` 	 Area of the ABCT is x y y x y y x y y
2
1
1 2 3 2 3 1 3 1 2
- + - + -^ ^ ^h h h" ,.sq.units.
If , , , , ,A x y B x y C x yand1 1 2 2 3 3^ ^ ^h h h are the vertices of a ABCT ,
then the area of the ABCT is x y y x y y x y y
2
1
1 2 3 2 3 1 3 1 2
- + - + -^ ^ ^h h h" ,.sq.units.
	 The area of the triangle can also be written as
	 	 		 x y x y x y x y x y x y
2
1
1 2 1 3 2 3 2 1 3 1 3 2
- + - + -" , sq.units.
	 	 (or) 	 ( )x y x y x y x y x y x y
2
1
1 2 2 3 3 1 2 1 3 2 1 3
+ + - + +^ h$ .sq.units
	 The following pictorial representation helps us to write the above formula very easily.
	 Take the vertices A ,x y1 1^ h, B , ,x y C x yand2 2 3 3^ ^h h of ABCT in counter clockwise
direction and write them column-wise as shown below.
			
x
y
x
y
x
y
x
y2
1 1
1
2
2
3
3
1
1
) 3
	 Add the diagonal products ,x y x y x yand1 2 2 3 3 1
as shown in the dark arrows.
148 10th Std. Mathematics
O
A(x ,y )1 1
C x ,y( )3 3
x
y
L PM N
Fig. 5.14
Note
Also add the products ,x y x y x yand2 1 3 2 1 3
as shown in the dotted arrows and then subtract
the latter from the former to get the expression ( )x y x y x y x y x y x y
2
1
1 2 2 3 3 1 2 1 3 2 1 3
+ + - + +^ h$ .
	 To find the area of a triangle, the following steps may be useful.
	 (i) 	 Plot the points in a rough diagram.
	 (ii) 	Take the vertices in counter clock-wise direction. Otherwise the formula gives a
negative value.
	 (iii)	Use the formula, area of the ABCT = ( )x y x y x y x y x y x y
2
1
1 2 2 3 3 1 2 1 3 2 1 3
+ + - + +^ h$ .
5.4 	 Collinearity of three points
	 Three or more points in a plane are said to be collinear, if they lie on the same straight line.
	 In other words, three points , , , ,A x y B x y C x yand1 1 2 2 3 3^ ^ ^h h h are collinear if any one of
these points lies on the straight line joining the other two points.
	 Suppose that the three points , , , ,A x y B x y C x yand1 1 2 2 3 3^ ^ ^h h h are collinear. Then they 	
	 cannot form a triangle. Hence the area of the 3ABC is zero.
	 . .,i e x y x y x y x y x y x y
2
1
1 2 2 3 3 1 2 1 3 2 1 3
+ + - + +^ ^h h" , = 0
	 (	 x y x y x y1 2 2 3 3 1
+ + = x y x y x y2 1 3 2 1 3
+ +
	 One can prove that the converse is also true.
	 Hence the area of ABC3 is zero if and only if the points A, B and C are collinear.
5.5 Area of the Quadrilateral
Let A , , , , , ,x y B x y C x y D x yand1 1 2 2 3 3 4 4^ ^ ^ ^h h h h be the vertices of a quadrilateral ABCD.
	 Now the area of the quadrilateral ABCD = area of the ABDT +area of the BCDT
						 x y x y x y x y x y x y
2
1
1 2 2 4 4 1 2 1 4 2 1 4
= + + - + +^ ^h h" ,
	 						 ( )x y x y x y x y x y x y
2
1
2 3 3 4 4 2 3 2 4 3 2 4
+ + + - + +^ h" ,
	 ` 	 Area of the quadrilateral ABCD
= x y x y x y x y x y x y x y x y
2
1
1 2 2 3 3 4 4 1 2 1 3 2 4 3 1 4
+ + + - + + +^ ^h h" ,
				 or
x x y y x x y y
2
1
1 3 2 4 2 4 1 3
- - - - -^ ^ ^ ^h h h h" , sq.units
	 The following pictorial representation helps us to
write the above formula very easily.
Coordinate Geometry 149
	 Take the vertices A ,x y1 1^ h, B , , ,x y C x y2 2 3 3^ ^h h and D ,x y4 4^ h in counter clockwise
direction and write them column-wise as shown below. Follow the same technique as we did
in the case of finding the area of a triangle.
		
x
y
x
y
x
y
x
y
x
y2
1 1
1
2
2
3
3
4
4
1
1
) 3.
	 This helps us to get the required expression.
	 Thus, the area of the quadrilateral ABCD
		 = x y x y x y x y x y x y x y x y
2
1
1 2 2 3 3 4 4 1 2 1 3 2 4 3 1 4
+ + + - + + +^ ^h h" , sq. units.
Example 5.8
	 Find the area of the triangle whose vertices are
	 (1, 2), (-3 , 4), and (-5 ,-6).
Solution 	 Plot the points in a rough diagram and take them 	
	 in order.
	 Let the vertices be A(1 , 2), B(-3 , 4) and C (–5, –6).
	 Now the area of 3ABC is
	 = ( )x y x y x y x y x y x y
2
1
1 2 2 3 3 1 2 1 3 2 1 3
+ + - + +^ h$ .
	 =
2
1 4 18 10 6 20 6+ - - - - -^ ^h h" , 	 use :
2
1 1
2
3
4
5
6
1
2
- -
-
) 3
	 =
2
1 12 32+" , = 22. sq. units
Example 5.9
	 If the area of the ABCT is 68 sq.units and the vertices are A(6 ,7), B(-4 , 1) and
C(a , –9) taken in order, then find the value of a.
Solution	 Area of 3ABC is
	 a a
2
1 6 36 7 28 54+ + - - + -^ ^h h" ,= 68 use :
a
2
1 6
7
4
1 9
6
7
-
-
) 3
		 a a42 7 82( + - -^ ^h h = 136
	 6a( = 12 ` a 2=
Example 5.10
	 Show that the points A(2 , 3), B(4 , 0) and C(6, -3) are collinear.
Solution	 Area of the ABCD is
				 =
2
1 0 12 18 12 0 6- + - + -^ ^h h" , use :
2
1 2
3
4
0
6
3
2
3-
) 3
	 =
2
1 6 6-" , = 0.
	 ` The given points are collinear.
Fig. 5.15
x
B(–3, 4)
C(–5, –6)
O
A(1, 2)
y
150 10th Std. Mathematics
Example 5.11	
	 If P ,x y^ h is any point on the line segment joining the points ,a 0^ h and , b0^ h, then , 	
	 prove that
a
x
b
y
1+ = , where a, b 0! .
Solution	 Now the points ,x y^ h, ,a 0^ h and , b0^ h are collinear.
	 ` The area of the triangle formed by them is zero.
	 ( 	ab – bx – ay = 0 		 use:
a
b
x
y
a
2
1
0
0
0
' 1
		 ` 	 bx ay+ = ab
	 Dividing by ab on both sides, we get,
			
a
x
b
y
+ 	 = 1, , 0a bwhere !
Example 5.12
	 Find the area of the quadrilateral formed by the points
(-4, -2), (-3, -5), (3, -2) and (2 , 3).
Solution	 Let us plot the points roughly and take the vertices
in counter clock-wise direction.
Let the vertices be
	 A(-4, -2), B(-3, -5), C(3, -2) and D(2, 3).
Area of the quadrilateral ABCD
	 = x y x y x y x y x y x y x y x y
2
1
1 2 2 3 3 4 4 1 2 1 3 2 4 3 1 4
+ + + - + + +^ ^h h" ,.
	 =
2
1 20 6 9 4 6 15 4 12+ + - - - - -^ ^h h" ,
	 =
2
1 31 25+" , = 28 sq.units.	 2
1 4
2
3
5
3
2
2
3
4
2
-
-
-
- -
-
-
) 3
Exercise 5.2
1. 	 Find the area of the triangle formed by the points
	 (i) (0, 0), (3, 0) and (0, 2)		 (ii) (5, 2), (3, -5) and (-5, -1)
	 (iii)	 (-4, -5), (4, 5) and (-1, -6)
2.	 Vertices of the triangles taken in order and their areas are given below. In each of the
following find the value of a.
Vertices 		 Area (in sq. units)
		 (i) 	 ( , )0 0 , (4, a), (6, 4)				 17
		 (ii) 	(a, a), (4, 5), (6,-1)			 9
		 (iii)	(a, -3), (3, a), (-1,5) 			 12
O
x
y
A
–
–
(
4,
2)
B – –( 3, 5)
D(2, 3)
C ,(3 –2)
Fig. 5.16
Coordinate Geometry 151
i
O
x
y
l
Fig. 5.17
A
Remarks
Definition
3.	 Determine if the following set of points are collinear or not.
	 (i) (4, 3), (1, 2) and (-2, 1) (ii) (-2, -2), (-6, -2) and (-2, 2)
	 (iii)
2
3 ,3-` j,(6, -2) and (-3, 4)
4.	 In each of the following, find the value of k for which the given points are collinear.
	 (i) (k, -1), (2, 1) and (4, 5)		 (ii) , , , ,and k2 5 3 4 9- -^ ^ ^h h h
	 (iii) , , , ,andk k 2 3 4 1-^ ^ ^h h h
5.	 Find the area of the quadrilateral whose vertices are
	 (i) , , , , , ,and6 9 7 4 4 2 3 7^ ^ ^ ^h h h h		 (ii) , , , , , ,and3 4 5 6 4 1 1 2- - - -^ ^ ^ ^h h h h
	 (iii) , , , , , ,and4 5 0 7 5 5 4 2- - - -^ ^ ^ ^h h h h
6.	 If the three points , , ( , ) ,h a b k0 0and^ ^h h lie on a straight line, then using the area of
the triangle formula, show that 1, , 0
h
a
k
b h kwhere !+ = .
7.	 Find the area of the triangle formed by joining the midpoints of the sides of a triangle
whose vertices are , , , ,and0 1 2 1 0 3-^ ^ ^h h h. Find the ratio of this area to the area of
the given triangle.
5.6 Straight Lines
5.6.1 Angle of Inclination
	 Let a straight line l intersect the x-axis at A. The angle between the
positive x-axis and the line l,  measured in counter clockwise direction is
called the angle of inclination of the straight line l.
			 If i is the angle of inclination of a straight line l, then
	 (i)	 0 # #ic 180c
	 (ii)	 For horizontal lines, 0 180ori = c c  and for vertical lines, 90i = %
	 (iii) 	If a straight line initially lies along the x-axis and starts rotating  about  a fixed
point A on the x-axis in the counter clockwise direction  and finally coincides
with the x-axis, then the angle of inclination of the straight line in the initial
position is 0c and that of the line in the final position is 180c.
	 (iv)	 Lines which are perpendicular to x-axis are called as vertical lines. Other lines
which are not perpendicular to x-axis are called as non vertical lines.
5.6.2 	Slope of a straight line
	 If i is the angle of inclination of a non-vertical straight line  l, then tani is called the
Slope or Gradient of the line and is denoted by m.
` The slope of the straight line, m = tani for 0 180 ,# #i
% %
90!i c
152 10th Std. Mathematics
Fig. 5.18
i
l
O
X
x2
x1
Y
F
DC E
B
x
y
(
,
)
2
2
A
x
y
(
,
)
1
1
y2
y1
i
Remarks
Note
	 (i)	 Thus, the slope of x-axis or straight lines parallel to x-axis is zero.
	 (ii)	 The slope of y-axis or a straight line parallel to y-axis is not defined because
tan 900
is not defined. Therefore, whenever we talk about the slope of a straight
line, we mean that of a non-vertical straight line.
	 (iii) 	 If i is acute, then the slope is positive, whereas if i is obtuse then the slope is
negative.
5.6.3 	Slope of a straight line when any two points on the line are given	
	 Let ,A x y B x yand,1 1 2 2^ ^h h be any two points on the straight line l whose angle of
inclination is i. Here, 0 180 ,# #i
% %
90!i c
	 Let the straight line AB intersect the x-axis at C.
	 Now, the slope of the line l is m = tan i					 (1)
	 Draw AD and BE perpendicular to x-axis and draw the perpendicular AF line from
A to BE.
	 From the figure, we have
		 AF =DE OE OD x x2 1
= - = - 	
and BF = BE EF BE AD y y2 1
- = - = -
	 Also, we observe that 	 DCA FAB i= =
	 In the right angled ABFT , we have 	
	 tan
AF
BF
x x
y y
2 1
2 1
i = =
-
-
if x x1 2
! 					 (2)
	 From (1) and (2), we get the slope, m =
x x
y y
2 1
2 1
-
-
The slope of the straight line joining the points , ,x y x yand1 1 2 2^ ^h h is
m = x x
x x
y y
x x
y y
where 1 2
2 1
2 1
1 2
1 2
!=
-
-
-
-
as 90!i c.
The slope of the straight line joining the points ,x y x yand,1 1 2 2^ ^h h is also interpreted as
m =
x
y
x x
y y
change in coordinates
change in coordinates
2 1
2 1
=
-
-
.
Coordinate Geometry 153
5.6.4 	Condition for parallel lines in terms of their slopes
	 Consider parallel lines l land1 2
whose angles of inclination are and1 2
i i and slopes 	
	 are m mand1 2
respectively.
	 Since l land1 2
are parallel, the angles of inclinations
	 and1 2
i i are equal.
		 tan tan1 2
` i i= m m1 2
( =
	 ` 	 If two non-vertical straight lines are parallel, then 		
	 their slopes are equal.
	 The converse is also true. i.e., if the slopes of two lines are 	
	 equal, then the straight lines are parallel.
5.6.5 	Condition for perpendicular lines in terms of their slopes
	 Let l1
and l2
be two perpendicular straight lines passing through the points ,A x y1 1^ h 	
	 and ,B x y2 2^ h respectively.
	 Let m1
and m2
be their slopes.
	 Let ,C x y3 3^ h be their point of intersection.
	 The slope of the straight line l1
is m1 x x
y y
3 1
3 1
=
-
-
	 The slope of the straight line l2
is m2 x x
y y
3 2
3 2
=
-
-
	 In the right angled 3ABC, we have
				 AB AC BC
2 2 2
= +
			 x x y y2 1
2
2 1
2( - + -^ ^h h x x y y x x y y3 1
2
3 1
2
3 2
2
3 2
2= - + - + - + -^ ^ ^ ^h h h h
x x x x y y y y2 3 3 1
2
2 3 3 1
2( - + - + - + -^ ^h h 							
							 x x y y x x y y3 1
2
3 1
2
3 2
2
3 2
2
= - + - + - + -^ ^ ^ ^h h h h
) ( 2 )( ( ) ( ) 2( )( )x x x x x x x x y y y y y y y y2 3
2
3 1
2
2 3 3 1 2 3
2
3 1
2
2 3 3 1
( - + - + - - + - + - + - -` ^j h
x x y y x x y y3 1
2
3 1
2
3 2
2
3 2
2= - + - + - + -^ ^ ^ ^h h h h
(2 )( 2( )( ) 0x x x x y y y y2 3 3 1 2 3 3 1
- - + - - =^ h
				 y y y y2 3 3 1
( - - =^ ^h h x x x x2 3 3 1
- - -^ ^h h
				
x x
y y
x x
y y
3 1
3 1
3 2
3 2
-
-
-
-
e eo o 1=- .
				
1m m m
m
1or1 2 1
2
( =- =-
	 If two non-vertical straight lines with slopes m1
and m2 ,
are perpendicular, then
					 m1
m2
= –1. 	
	 On the other hand, if m1
m2
= –1, then the two straight lines are perpendicular.
O
x
y
l1
l2
1i 2i
Fig. 5.19
O X
Y
B(x2
, y2
)
A(x1
, y1
)
C(x3
, y3
)
l2 l1
Fig. 5.20
Y
XO
154 10th Std. Mathematics
Note
	 The straight lines x-axis and y-axis are perpendicular to each other. But, the condition
1m m1 2
=- is not true because the slope of the x-axis is zero and the slope of the y-axis
is not defined.
Example 5.13
	 Find the angle of inclination of the straight line whose slope is
3
1 .
Solution	 If i is the angle of inclination of the line, then the slope of the line is
			 0tanm where # #i i= c 180c , !i 90c.
	 tan
3
1` i = ( i = 30c
Example 5.14
	 Find the slope of the straight line whose angle of inclination is 45c.
Solution 	 If i is the angle of inclination of the line, then the slope of the line is tanm i=
		 Given that 45tanm = c ( m 1= .
Example 5.15
	 Find the slope of the straight line passing through the points , ,3 2 1 4and- -^ ^h h.
Solution	 Slope of the straight line passing through the points , ,x y x yand1 1 2 2^ ^h h is given by
					 m
x x
y y
2 1
2 1
=
-
-
	 Slope of the straight line passing through the points (3 , -2) and (-1 , 4) is
					 m =
1 3
4 2
- -
+ =
2
3- .
Example 5.16
	 Using the concept of slope, show that the points A(5, -2), B(4, -1) and C(1, 2) are
collinear.
Solution	 Slope of the line joining the points , ,x y x yand is given by1 1 2 2^ ^h h m
x x
y y
2 1
2 1
=
-
-
Slope of the line AB joining the points A , isB5 2 4 1and- -^ ^h h m
4 5
1 2
1
=
-
- + = – 1
Slope of the line BC joining the points B(4,–1) and C(1, 2) is m
1 4
2 1
2
=
-
+ = – 1
	 Thus, slope of AB = slope of BC.
	 Also, B is the common point.
	 Hence, the points A , B and C are collinear.
Coordinate Geometry 155
Example 5.17
	 Using the concept of slope, show that the points (-2 , -1), (4 , 0), (3 , 3)
and (-3 , 2) taken in order form a parallelogram.
Solution	 Let A(-2 , -1), B(4 , 0), C(3 , 3) and D(-3 , 2) be the given points taken in 	
		 order.
	 Now the slope of 	 AB	 =
4 2
0 1
+
+ =
6
1
		 Slope of 	 CD	 =
3 3
2 3
- -
- =
6
1
` 	 Slope of 	 AB 	=	 slope of CD
	 Hence, AB is parallel to CD.	 (1)
	 Now the slope of 	BC 	=
3 4
3 0
-
- = -3
		 Slope of AD	 =
3 2
2 1 3
- +
+ =-
		 ` Slope of BC	=	 slope of AD
	 Hence, BC is parallel to AD.	 (2)
From (1) and (2), we see that opposite sides of quadrilateral ABCD are parallel
	 ` ABCD is a parallelogram.
Example 5.18
	 The vertices of a 3ABC are A(1 , 2), B(-4 , 5) and C(0 , 1). Find the slopes of the
altitudes of the triangle.
Solution	 Let AD, BE and CF be the altitudes of a 3ABC.
			 slope of BC	=	
0 4
1 5
+
- = -1
	 Since the altitude AD is perpendicular to BC,
			 slope of AD	 = 1 a m m1 2
= -1
	 		 slope of AC	=	
0 1
1 2
-
- = 1
	 Thus,	 slope of BE	=	-1 BE ACa =
	 Also, slope of AB 	=
4 1
5 2
5
3
- -
- =-
	 ` 		 slope of CF	 =	
3
5 CF ABa =
O
X
Y
A – –( 2, 1)
B(4, 0)
C(3, 3)
D(–3, 2)
Fig. 5.21
Fig. 5.22
A(1, 2)
E
F
C(0, 1)B –( 4, 5) D
156 10th Std. Mathematics
Exercise 5.3
1.	 Find the angle of inclination of the straight line whose slope is
	 (i) 1		 (ii) 3 	 (iii) 0
2.	 Find the slope of the straight line whose angle of inclination is
	 (i) 30c	 (ii) 60c	 (iii) 90c
3.	 Find the slope of the straight line passing through the points
	 (i) (3 , -2) and (7 , 2)			(ii) (2 , -4) and origin	
	 (iii) ,1 3 2+^ h and ,3 3 4+^ h
4.	 Find the angle of inclination of the line passing through the points
	 (i) ,1 2^ h and ,2 3^ h		 (ii) ,3 3^ h and ,0 0^ h
	 (iii) (a , b) and (-a , -b)
5.	 Find the slope of the line which passes through the origin and the midpoint of
the line segment joining the points ,0 4-^ h and (8 , 0).
6.	 The side AB of a square ABCD is parallel to x-axis . Find the
	 (i) slope of AB	 (ii) slope of BC	 (iii) slope of the diagonal AC
7.	 The side BC of an equilateral 3ABC is parallel to x-axis. Find the slope of AB and
the slope of BC.
8.	 Using the concept of slope, show that each of the following set of points are collinear.
	 (i) (2 , 3), (3 , -1) and (4 , -5)		
(ii) (4 , 1), (-2 , -3) and (-5 , -5)	 (iii) (4 , 4), (-2 , 6) and (1 , 5)
9.	 If the points (a, 1), (1, 2) and (0, b+1) are collinear, then show that
a b
1 1+ = 1.
10.	 The line joining the points A(-2 , 3) and B(a , 5) is parallel to the line joining
the points C(0 , 5) and D(-2 , 1). Find the value of a.
11.	 The line joining the points A(0, 5) and B(4, 2) is perpendicular to the line joining
the points C(-1, -2) and D(5, b). Find the value of b.
12.	 The vertices of 3ABC are A(1, 8), B(-2, 4), C(8, -5). If M and N are the midpoints
of AB and AC respectively, find the slope of MN and hence verify that MN is
parallel to BC.
13.	 A triangle has vertices at (6 , 7), (2 , -9) and (-4 , 1). Find the slopes of its
medians.
14.	 The vertices of a 3ABC are A(-5 , 7), B(-4 , -5) and C(4 , 5). Find the slopes
of the altitudes of the triangle.
Coordinate Geometry 157
15.	 Using the concept of slope, show that the vertices (1 , 2), (-2 , 2), (-4 , -3)
and (-1, -3) taken in order form a parallelogram.
16.	 Show that the opposite sides of a quadrilateral with vertices A(-2 ,-4),
B(5 , -1), C(6 , 4) and D(-1, 1) taken in order are parallel.
5.6.6 	Equation of a straight line
	 Let L be a straight line in the plane. A first degree equation px qy r 0+ + = in the
variables x and y is satisfied by the x-coordinate and y-coordinate of any point on the line L
and any values of x and y that satisfy this equation will be the coordinates of a point on the
line L. Hence this equation is called the equation of the straight line L. We want to describe
this line L algebraically. That is, we want to describe L by an algebraic equation. Now L is in
any one of the following forms:
	 (i) horizontal line (ii) vertical line (iii) neither vertical nor horizontal
(i) 	 Horizontal line: 	 Let L be a horizontal line.
	 Then either L is x-axis or L is a horizontal line other than x-axis.
Case (a)	 If L is x – axis, then a point (x, y) lies on L
			 if and only if y = 0 and x can be any real number.
			 Thus, y = 0 describes x – axis.
			 ` The equation of x-axis is y = 0
Case (b)	 L is a horizontal line other than x-axis.
			 That is, L is parallel to x-axis.
			 Now, a point (x, y) lies on L if and only if the
	 		 y-coordinate must remain a constant and x
			 can be any real number.
	 ` 		 The equation of a straight line parallel to 						
	 x-axis is y = k, where k is a constant.
	 Note that if k > 0, then L lies above x-axis and if k < 0, then L lies below x- axis. 	
	 If k = 0, then L is nothing but the x-axis.
(ii)	 Vertical line:	 Let L be a vertical line.
	 Then either L is y-axis or L is a vertical line other than y-axis.
O x
y
k
k
l
Ll
y = k
y = –k
L
Fig. 5.23
y = 0
158 10th Std. Mathematics
Case (a) If L is y-axis, then a point (x, y) in the plane lies on L if and only if x = 0 and y can
be any real number.
			 Thus x = 0 describes y – axis.
	 ` 		 The equation of y-axis is x = 0
Case (b) 	 If L is a vertical line other than y-axis, then it is parallel
to y-axis.
			 Now a point (x, y) lies on L if and only if
x-coordinate must remain constant and y can be
any real number.
` The equation of a straight line parallel to y-axis is x = c, 		
						 where 	c is a constant.
Note that if c > 0, then L lies to the right y-axis and
		 if c < 0, then L lies to the left of y-axis.
		 If c = 0, then L is nothing but the y-axis. 	
(iii) 	 Neither vertical nor horizontal: Let L be neither vertical nor horizontal.
	 In this case how do we describe L by an equation? Let i denote the angle of inclination.
Observe that if we know this i and a point on L, then we can easily describe L.
Slope m of a non-vertical line L can be calculated using
(i) tanm i= if we know the angle of inclination i.	
(ii) m =
x x
y y
2 1
2 1
-
-
if we know two distinct points ,x y1 1^ h, ,x y2 2^ h on L.
(iii) m = 0 if and only if L is horizontal.
Now consider the case where L is not a vertical line and derive the equation of a straight line in the
following forms: (a) Slope-Point form (b) Two-Points form 		
		 (c) Slope-Intercept form (d) Intercepts form
(a) 	 Slope-Point form
Let m be the slope of L and Q ,x y1 1^ h be a point on L.
Let P ,x y^ h be an arbitrary point on L other than Q. Then, we have
	 m
x x
y y
1
1
=
-
-
+ m x x y y1 1
- = -^ h
	 Thus, the equation of a straight line with slope m and passing through ,x y1 1^ h is
	 y y m x x1 1
- = -^ h for all points ,x y^ h	 on L.			 	 (1)
O
x
y
l
P(x, y)
Q(x1
, y1
)
L
Fig. 5.25
Ll
x=c
x=–c
L
Fig. 5.24
x=0
Coordinate Geometry 159
O
P x y( , )
x
y
L
A(x1
, y1
)
B(x2
, y2
) Fig. 5.26
L
Fig. 5.27
Remarks
Note
	 (i)	 Now the first degree equation (1) in the variables x and y is satisfied by the
x-coordinate and y-coordinate of any point on the line L. Any value of x and y that
satisfies this equation will be the coordinates of a point on the line L. Hence the
equation (1) is called the equation of the straight line L.
	 (ii)	 The equation (1) says that the change in y-coordinates of the points on L is directly
proportional to the change in x-coordinates. The proportionality constant m is the
slope.
(b)	 Two-Points form
	 Suppose that two distinct points
	 ,x y1 1^ h, ,x y2 2^ h are given on a
	 non-vertical line L.
	 To find the equation of L, we find the slope
	 of L first and then use (1) .
	 The slope of L is
			 m =
x x
y y
2 1
2 1
-
-
, where x x2 1
! as L is non-vertical.
	 Now, the formula (1) gives
	 y y
x x
y y
x x1
2 1
2 1
1
- =
-
-
-e ^o h
(	
y y
y y
2 1
1
-
-
=
x x
x x
2 1
1
-
-
(
x x
x x
2 1
1
-
-
=
y y
y y
2 1
1
-
-
for all points ,x y^ h on L	 (2)
	 To get the equation of L, we can also use the point ,x y2 2^ h instead of ,x y1 1^ h.
(c)	 Slope-Intercept form
	 Suppose that m is the slope of L and c is the
	 y-intercept of L.
	 Since c is the y-intercept, the point , c0^ h
	 lies on L. Now using (1) with
	 ,x y1 1^ h = , c0^ h we obtain, y c m x 0- = -^ h
	 ( y mx c= + 	 for all points ,x y^ h	 on L.			 (3)
	 Thus, y mx c= + is the equation of straight line in the Slope-Intercept form.
160 10th Std. Mathematics
Fig. 5.28
y = –4
x=3
Fig. 5.29
L
Ll
Note
(d) 	 Intercepts form
	 Suppose that the straight line L makes non-zero intercepts 	
	 a and b on the x-axis and on the y-axis respectively.
	 ` The straight line cuts the x-axis at A(a, 0) and the y-axis 	
	 at B(0, b)
	 The slope of AB is m
a
b=- . 	
	 Now (1) gives, 	 y – 0 	= ( )
a
b x a- -
	 (		 ay	 = bx ab- +
			 bx ay+ 	 = ab
Divide by ab to get	
a
x
b
y
+ 	 = 1
` 	 Equation of a straight line having x-intercept a and y-intercept b is
			
a
x
b
y
+ 	= 1 for all points ,x y^ h	 on L	 		 (4)
	 (i)	 If the line L with slope m, makes x-intercept d, then the equation of the line is
y m x d= -^ h.
	 (ii)	 The straight line y mx= passes through the origin.( both x and y-intercepts are
zero for m 0! ).	
	 (iii)	Equations (1), (2) and (4) can be simplified to slope-intercept form given by (3).
	 (iv)	 Each equation in (1), (2), (3) and (4) can be rewritten in the form
px qy r 0+ + = for all points ,x y^ h on L, which is called the general form of
equation of a straight line.
Example 5.19
	 Find the equations of the straight lines parallel to the coordinate axes and passing
through the point ,3 4-^ h.
Solution	 Let L and Ll be the straight lines passing through the 	
	 point ,3 4-^ h and parallel to x-axis and y-axis respectively.
	 The y-coordinate of every point on the line L is – 4.
	 Hence, the equation of the line L is y 4=-
	 Similarly, the x-coordinate of every point on the
	 straight line Ll is 3
	 Hence, the equation of the line Ll is x 3= .
Coordinate Geometry 161
Example 5.20
	 Find the equation of straight line whose angle of inclination is 45c and
	 y-intercept is
5
2 .
Solution	 Slope of the line, 	 m = tani
					 = 45tan c = 1
			 y-intercept is	 c =
5
2
	 By the slope-intercept form, the equation of the straight line is
					 y = mx c+
				 y = x
5
2+ y( = x
5
5 2+
	 ` The equation of the straight line is x y5 5 2- + = 0
Example 5.21
	 Find the equation of the straight line passing through the point ,2 3-^ h with slope
3
1 .
Solution	 Given that the slope m =
3
1 and a point ,x y1 1^ h = ,2 3-^ h
	 By slope-point formula, the equation of the straight line is
			 y y m x x1 1
- = -^ h
		 (	 y 3- = x
3
1 2+^ h
	 Thus,		 x y3 11- + = 0 is the required equation.
Example 5.22
	 Find the equation of the straight line passing through the points ,1 1-^ h and ,2 4-^ h.
Solution	 Let A ,x y1 1^ h and B ,x y2 2^ h be the given points.
	 Here x 11 =- , 1y1
= and 2x2
= , 4y2
=- .
	 Using two-points formula, the equation of the straight line is
			
y y
y y
2 1
1
-
-
=
x x
x x
2 1
1
-
-
		 	 (
y
4 1
1
- -
-
= x
2 1
1
+
+
		 ( 	 y3 3- = x5 5- -
	 Hence,	 x y5 3 2+ + 	 = 0	 is the required equation of the straight line.
Example 5.23
	 The vertices of a 3ABC are A(2, 1), B(-2, 3) and C(4, 5). Find the equation of the 	
	 median through the vertex A.
162 10th Std. Mathematics
Solution	 Median is a straight line joining a vertex and the midpoint of the opposite side.
	 Let D be the midpoint of BC.
	 ` Midpoint of BC 	is D ,
2
2 4
2
3 5- + +` j = D(1, 4)
	 Now the equation of the median AD is
	
y
4 1
1
-
-
	= x
1 2
2
-
- ( , ) (2,1)x y1 1
a = and ( , ) ( , )x y 1 42 2
=
	
y
3
1-
= x
1
2
-
- 	
	 ` 	 x y3 7+ - 	= 0 is the required equation.
Example 5.24
	 If the x-intercept and y-intercept of a straight line are
3
2 and
4
3 respectively, then
find the equation of the straight line.
Solution	 Given that x-intercept of the straight line, a =
3
2
		 and the y-intercept of the straight line, b =
4
3
	 Using intercept form, the equation of the straight line is
	
a
x
b
y
+ = 	1 x y
3
2
4
3
( + = 1
			 x y
2
3
3
4
( + = 1
	 Hence, x y9 8+ -	6 = 0 is the required equation.
Example 5.25
	 Find the equations of the straight lines each passing through the point (6, -2) and
whose sum of the intercepts is 5.
Solution	 Let a and b be the x-intercept and y-intercept of the required straight line 		
	 respectively.
	 Given that sum of the intercepts, a b+ = 5
	 ( 	 	 b = a5 -
	 Now, the equation of the straight line in the intercept form is
		
a
x
b
y
+ = 1 	(
a
x
a
y
5
+
-
= 1
		 ( 	
a a
a x ay
5
5
-
- +
^
^
h
h
= 1
	 Thus,		 a x ay5 - +^ h 	 = a a5 -^ h 					 (1)
	 Since the straight line given by (1) passes through (6,-2), we get,
Fig. 5.30
B
A
(–2,3) (4,5)
(2,1)
D C
Coordinate Geometry 163
			 ( )a a5 6 2- + -^ h 	 = a a5 -^ h
		 (	 a a13 302
- + 	 = 0.
	 That is,	 a a3 10- -^ ^h h	 = 0
		 `	 a 3= or a 10=
	 When a 3= , (1) (	 3x y5 3- +^ h 	 = 3 5 3-^ h
			 ( x y2 3+ 	 = 6				 (2)
	 When a 10= , (1) (	 x y5 10 10- +^ h 	 = 10 5 10-^ h
			 ( x y5 10- + 	= -50
		 That is, 	 2 10x y- - 	 = 0. 				 (3)
Hence, x y2 3+ = 6 and 	 2 10x y- - 	= 0 are the equations of required straight lines.
Exercise 5.4
1.	 Write the equations of the straight lines parallel to x- axis which are at a distance of 5
units from the x-axis.
2.	 Find the equations of the straight lines parallel to the coordinate axes and passing
through the point (-5,-2).
3.	 Find the equation of a straight line whose
	 (i)	 slope is -3 and y-intercept is 4.
	 (ii)	 angle of inclination is 600
and y-intercept is 3.
4.	 Find the equation of the line intersecting the y- axis at a distance of 3 units above the
origin and tan
2
1i = , where i is the angle of inclination.
5.	 Find the slope and y-intercept of the line whose equation is
	 (i) y x 1= + 	 (ii) x y5 3= 	 (iii) x y4 2 1 0- + = (iv) x y10 15 6 0+ + =
6.	 Find the equation of the straight line whose
	 (i)	 slope is -4 and passing through (1, 2)
	 (ii)	 slope is
3
2 and passing through (5, -4)
7.	 Find the equation of the straight line which passes through the midpoint of the line
segment joining (4, 2) and (3, 1) whose angle of inclination is 300
.
8.	 Find the equation of the straight line passing through the points
	 (i) (-2, 5) and (3, 6)		 (ii) (0, -6) and (-8, 2)
9.	 Find the equation of the median from the vertex R in a 3PQR with vertices at
	 P(1, -3), Q(-2, 5) and R(-3, 4).
164 10th Std. Mathematics
10.	 By using the concept of the equation of the straight line, prove that the given three
points are collinear.
	 (i) (4, 2), (7, 5) and (9, 7)		 (ii) (1, 4), (3, -2) and (-3, 16)
11.	 Find the equation of the straight line whose x and y-intercepts on the axes are given by
	 (i) 2 and 3		 (ii)
3
1- and
2
3 		 (iii)
5
2 and
4
3-
12.	 Find the x and y intercepts of the straight line
	 (i) x y5 3 15 0+ - = 		 (ii) 2 1 0x y 6- + = (iii) x y3 10 4 0+ + =
13.	 Find the equation of the straight line passing through the point (3, 4) and has 		
	 intercepts which are in the ratio 3 : 2.
14.	 Find the equation of the straight lines passing through the point (2, 2) and the sum of
the intercepts is 9.
15.	 Find the equation of the straight line passing through the point (5, -3) and whose
intercepts on the axes are equal in magnitude but opposite in sign.
16.	 Find the equation of the line passing through the point (9, -1) and having its
x-intercept thrice as its y-intercept.
17.	 A straight line cuts the coordinate axes at A and B. If the midpoint of AB is (3, 2), then
find the equation of AB.
18. 	Find the equation of the line passing through (22, -6) and having intercept on x-axis
exceeds the intercept on y-axis by 5.
19. 	If A(3, 6) and C(-1, 2) are two vertices of a rhombus ABCD, then	find the equation
of straight line that lies along the diagonal BD.
20. 	 Find the equation of the line whose gradient is
2
3 and which passes through P, where
P divides the line segment joining A(-2, 6) and B (3, -4) in the ratio 2 : 3 internally.
5.7 	 General Form of Equation of a straight line
	 We have already pointed out that different forms of the equation of a straight line may
be converted into the standard form 0ax by c+ + = , where a , b and c are real constants
such that either 0 0ora b! ! .
	 Now let us find out
	 (i) 	 the slope of 0ax by c+ + =
	 (ii) 	 the equation of a straight line parallel to 0ax by c+ + =
	 (iii) 	 the equation of a straight line perpendicular to 0ax by c+ + = and
	 (iv)	 the point of intersection of two intersecting straight lines.
Coordinate Geometry 165
(i)	 The general form of the equation of a straight line is 0ax by c+ + = .
	 The above equation is rewritten as y = ,
b
a x
b
c b 0!- - (1)
	 Comparing (1) with the slope-intercept form y mx k= + , we get,
		 	 slope, m	 =
b
a- and the y-intercept =
b
c-
	 ` For the equation 0ax by c+ + = , we have	
	 slope m =
coefficient of
coefficient of
y
x- and the y-intercept is
coefficient of
constant term
y
- .
(ii)	 Equation of a line parallel to the line 0ax by c+ + = .
	 We know that two straight lines are parallel if and only if their slopes are equal.
Hence the equations of all lines parallel to the line 0ax by c+ + = are of the form
					 0ax by k+ + = , for different values of k.
(iii)	 Equation of a line perpendicular to the line 0ax by c+ + =
	 We know that two non-vertical lines are perpendicular if and only if the product of
their slopes is –1.
	 Hence the equations of all lines perpendicular to the line 0ax by c+ + = are
				 0bx ay k- + = , for different values of k.
	 Two straight lines a x b y c 01 1 1+ + = and 0a x b y c2 2 2+ + = , where the 		
	 coefficients are non-zero,
	 (i)	 are parallel if and only if
a
a
b
b
2
1
2
1
=
	 (ii)	 are perpendicular if and only if a a b b 01 2 1 2+ =
(iv) 	 The point of intersection of two straight lines
	 If two straight lines are not parallel, then they will intersect at a point. This point lies
on both the straight lines. Hence, the point of intersection is obtained by solving the given
two equations.
Example 5.26
	 Show that the straight lines x y3 2 12 0+ - = and x y6 4 8 0+ + = are parallel.
Solution	 Slope of the straight line x y3 2 12 0+ - = is m1 =
coefficient of
coefficient of
y
x- =
2
3-
Similarly, the slope of the line 	 x y6 4 8 0+ + = is m2 =
4
6- =
2
3-
	 ` 	 m1 = m2 . Hence, the two straight lines are parallel.
Note
166 10th Std. Mathematics
Example 5.27
	 Prove that the straight lines x y2 1 0+ + = and x y2 5 0- + = are perpendicular to
each other.
Solution	 Slope of the straight line x y2 1 0+ + = 	is	 m1
	 =
coefficient of
coefficient of
y
x- =
2
1-
	 Slope of the straight line x y2 5 0- + = 	 is	 m2
	 =
coefficient of
coefficient of
y
x- =
1
2
-
- = 2
	 Product of the slopes			m m1 2
	 =
2
1 2#- = – 1
	 ` The two straight lines are perpendicular.
Example 5.28
	 Find the equation of the straight line parallel to the line x y8 13 0- + = and passing
through the point (2, 5).
Solution	 Equation of the straight line parallel to x y8 13 0- + = is x y k8 0- + =
Since it passes through the point (2, 5)
			 ( ) k2 8 5- + 	 = 0 ( k = 38
	 ` 	 Equation of the required straight line is x y8 38 0- + =
Example 5.29
	 The vertices of ABC3 are A(2, 1), B(6, –1) and C(4, 11). Find the equation of the
straight line along the altitude from the vertex A.
Solution			 Slope of BC	 =
4 6
11 1
-
+ = – 6
Since the line AD is perpendicular to the line BC, slope of AD =
6
1
` 	 Equation of AD is y y1
- = m x x1
-^ h
	 y 1- 	= x
6
1 2-^ h ( y6 6- = x 2-
`	 Equation of the required straight line is x y6 4- + = 0
Exercise 5.5
1.	 Find the slope of the straight line
	 (i) x y3 4 6 0+ - = 		 (ii) y x7 6= + 	 (iii) x y4 5 3= + .
2.	 Show that the straight lines x y2 1 0+ + = and x y3 6 2 0+ + = are parallel.
3.	 Show that the straight lines x y3 5 7 0- + = and x y15 9 4 0+ + = are perpendicular.
4.	 If the straight lines 5 3
y
x p ax y
2
and= - + = are parallel, then find a.
5.	 Find the value of a if the straight lines x y5 2 9 0- - = and 11 0ay x2+ - = are
perpendicular to each other.
B(6,-1)
A(2,1)
C(4,11)D
Fig. 5.31
Coordinate Geometry 167
6.	 Find the values of p for which the straight lines px p y8 2 3 1 0+ - + =^ h and
px y8 7 0+ - = are perpendicular to each other.
7.	 If the straight line passing through the points ,h 3^ h and (4, 1) intersects the line
x y7 9 19 0- - = at right angle, then find the value of h.
8.	 Find the equation of the straight line parallel to the line x y3 7 0- + = and passing
through the point (1, -2).
9.	 Find the equation of the straight line perpendicular to the straight line x y2 3 0- + =
and passing through the point (1, -2).
10.	 Find the equation of the perpendicular bisector of the straight line segment joining the
points (3, 4) and (-1, 2).
11.	 Find the equation of the straight line passing through the point of intersection of the
lines x y2 3 0+ - = and x y5 6 0+ - = and parallel to the line joining the points
	 (1, 2) and (2, 1).
12.	 Find the equation of the straight line which passes through the point of intersection of
the straight lines x y5 6 1- = and x y3 2 5 0+ + = and is perpendicular to the straight
line x y3 5 11 0- + = .
13.	 Find the equation of the straight line joining the point of intersection of the lines
3 0x y 9- + = and x y2 4+ = andthepointofintersectionofthelines 2 0x y 4+ - =
and x y2 3 0- + = .
14.	 If the vertices of a 3ABC are A(2, -4), B(3, 3) and C(-1, 5). Find the equation of the
straight line along the altitude from the vertex B.
15.	 If the vertices of a 3ABC are A(-4,4 ), B(8 ,4) and C(8,10). Find the equation of the
straight line along the median from the vertex A.
16.	 Find the coordinates of the foot of the perpendicular from the origin on the straight
line x y3 2 13+ = .
17.	 If 2 7x y+ = and x y2 8+ = are the equations of the lines of two diameters of a
circle, find the radius of the circle if the point (0, -2) lies on the circle.
18.	 Find the equation of the straight line segment whose end points are the point of
intersection of the straight lines x y2 3 4 0- + = , x y2 3 0- + = and the midpoint
of the line joining the points (3, -2) and (-5, 8).
19. 	In an isosceles 3PQR, PQ = PR. The base QR lies on the x-axis, P lies on the y- axis
and x y2 3 9 0- + = is the equation of PQ. Find the equation of the straight line along PR.
168 10th Std. Mathematics
Exercise 5.6
Choose the correct answer
1.	 The midpoint of the line joining ,a b-^ h and ,a b3 5^ h is
	 (a) ,a b2-^ h		 (b) ,a b2 4^ h		 (c) ,a b2 2^ h		 (d) ,a b3- -^ h
2.	 The point P which divides the line segment joining the points ,A 1 3-^ h and ,B 3 9-^ h
internally in the ratio 1:3 is
	 (a) ,2 1^ h		 (b) ,0 0^ h		 (c) ,
3
5 2` j		 (d) ,1 2-^ h
3.	 If the line segment joining the points ,A 3 4^ h and ,B 14 3-^ h meets the x-axis at P,
then the ratio in which P divides the segment AB is
	 (a) 4 : 3		 (b) 3 : 4		 (c) 2 : 3		 (d) 4 : 1
4.	 The centroid of the triangle with vertices at ,2 5- -^ h, ,2 12-^ h and ,10 1-^ h is
	 (a) ,6 6^ h		 (b) ,4 4^ h		 (c) ,3 3^ h		 (d) ,2 2^ h
5.	 If ,1 2^ h, ,4 6^ h, ,x 6^ h and ,3 2^ h are the vertices of a parallelogram taken in order, then
the value of x is
	 (a) 6			 (b) 2			 (c) 1			 (d) 3
6.	 Area of the triangle formed by the points (0,0), ,2 0^ h and ,0 2^ h is
	 (a) 1 sq. units		 (B) 2 sq. units	 (C) 4 sq. units		 (D) 8 sq. units
7.	 Area of the quadrilateral formed by the points ,1 1^ h, ,0 1^ h, ,0 0^ h and ,1 0^ h is
	 (A) 3 sq. units		 (B) 2 sq. units		 (C) 4 sq. units		 (D) 1 sq. units
8.	 The angle of inclination of a straight line parallel to x-axis is equal to
	 (a) 0c			 (b) 60c		 (c) 45c		 (d) 90c
9.	 Slope of the line joining the points ,3 2-^ h and , a1-^ h is
2
3- , then the value of a
	 is equal to
	 (a) 1				 (b) 2			 (c) 3			 (d) 4
10.	 Slope of the straight line which is perpendicular to the straight line joining the points
,2 6-^ h and ,4 8^ h is equal to
	 (a)
3
1 			 (b) 3			 (c) -3		 (d)
3
1-
11.	 The point of intersection of the straight lines x y9 2 0- - = and x y2 9 0+ - = is
	 (A) ,1 7-^ h		 (B) ,7 1^ h		 (C) ,1 7^ h		 (D) ,1 7- -^ h
12.	 The straight line x y4 3 12 0+ - = intersects the y- axis at
	 (A) ,3 0^ h		 (B) ,0 4^ h		 (C) ,3 4^ h		 (D) ,0 4-^ h
13.	 The slope of the straight line y x7 2 11- = is equal to
	 (a)
2
7- 		 (b)
2
7 			 (c)
7
2 			 (d)
7
2-
14.	 The equation of a straight line passing through the point (2 , –7) and parallel to x-axis is
	 (a) x 2= 		 (b) x 7=- 		 (c) y 7=- 		 (d) y 2=
Coordinate Geometry 169
15.	 The x and y-intercepts of the line x y2 3 6 0- + = , respectively are
	 (a) 2, 3		 (b) 3, 2		 (c) -3, 2		 (d) 3, -2
16.	 The centre of a circle is (-6, 4). If one end of the diameter of the circle is at (-12, 8),
then the other end is at
	 (a) (-18, 12)		 (b) (-9, 6)		 (c) (-3, 2)		 (d) (0, 0)
17.	 The equation of the straight line passing through the origin and perpendicular to the
straight line x y2 3 7 0+ - = is
	 (a) x y2 3 0+ = 	 (b) x y3 2 0- = 	 (c) y 5 0+ = 		 (d) y 5 0- =
18.	 The equation of a straight line parallel to y-axis and passing through the point ,2 5-^ h is
	 (a) x 2 0- = 		 (b) x 2 0+ = 		 (c) y 5 0+ = 		 (d) y 5 0- =
19.	 If the points (2, 5), (4, 6) and ,a a^ h are collinear, then the value of a is equal to
	 (a) -8			 (b) 4			 (c) -4		 (d) 8
20.	 If a straight line y x k2= + passes through the point (1, 2), then the value of k is equal to
	 (a) 0			 (b) 4			 (c) 5			 (d) -3
21.	 The equation of a straight line having slope 3 and y-intercept -4 is
	 (a) x y3 4 0- - = 				 (b) x y3 4 0+ - =
	 (c) x y3 4 0- + = 				 (d) x y3 4 0+ + =
22.	 The point of intersection of the straight lines y 0= and x 4=- is
	 (a) ,0 4-^ h		 (b) ,4 0-^ h		 (c) ,0 4^ h		 (d) ,4 0^ h
23.	 The value of k if the straight lines 3x + 6y + 7 = 0 and 2x + ky = 5 are perpendicular is
	 (A) 1			 (B) –1			 (C) 2			 (D)
2
1
q The distance between ( , )P x y1 1
and ,Q x y2 2^ h is x x y y2 1
2
2 1
2- + -^ ^h h
q The point P which divides the line segment joining the points ,A x y1 1^ h and ,B x y2 2^ h
internally in the ratio :l m is ,
l m
lx mx
l m
ly my2 1 2 1
+
+
+
+
c m.
q The point Q which divides the line segment joining the points ,A x y1 1^ h and ,B x y2 2^ h
extrenally in the ratio :l m is ,
l m
lx mx
l m
ly my2 1 2 1
-
-
-
-
c m.
q Midpoint of the line segment joining the points ,x y1 1^ h and ,x y2 2^ h is ,
x x y y
2 2
1 2 1 2
+ +
c m
Points to Remember
170 10th Std. Mathematics
q The area of the triangle formed by the points ,x y1 1^ h, ,x y2 2^ h and ,x y3 3^ h is
		 ( )x y y
2
1 1 2 3-/ = x y y x y y x y y
2
1
1 2 3 2 3 1 3 1 2
- + - + -^ ^ ^h h h" ,
		 = x y x y x y x y x y x y
2
1
1 2 2 3 3 1 2 1 3 2 1 3
+ + - + +^ ^h h" ,.
q Three points ,A x y1 1^ h, ,B x y2 2^ h and ,C x y3 3^ h are collinear if and only if
	 (i) 	 x y x y x y1 2 2 3 3 1
+ + = x y x y x y2 1 3 2 1 3
+ + 	 (or)
	 (ii)	 Slope of AB = Slope of BC or slope of AC.
q If a line makes an angle i with the positive direction of x- axis, then the slope m = tani.
q	 Slope of the non-vertical line passing through the points ,x y1 1^ h and ,x y2 2^ h is
				 m =
x x
y y
2 1
2 1
-
-
=
x x
y y
1 2
1 2
-
-
q Slope of the line 0ax by c+ + = is m =
coefficient of
coefficient of
y
x- =
b
a- , 0b !
q Slope of the horizontal line is 0 and slope of the vertical line is undefined.
q Two lines are parallel if and only if their slopes are equal.
q Two non-vertical lines are perpendicular if and only if the product of their slopes
	 is -1. That is, m1
m2
= -1.
Equation of straight lines
Sl.No Straight line Equation
1. x-axis y = 0
2. y-axis x = 0
3. Parallel to x-axis y = k
4. Parallel to y-axis x = k
5. Parallel to ax+by+c =0 ax+by+k = 0
6. Perpendiculartoax+by+c =0 bx–ay+k = 0
Given Equation
1. Passing through the origin y = mx
2. Slope m, y-intercept c y = mx + c
3. Slope m, a point (x1
, y1
) y – y1
= m(x–x1
)
4. Passing through two points (x1
, y1
), (x2
, y2
) y y
y y
x x
x x
2 1
1
2 1
1
-
-
=
-
-
5. x-intercept a , y-intercept b 1
a
x
b
y
+ =

Std10-Maths-EM-1.pdf

  • 2.
    Revised Edition -2015 (P (ii)
  • 3.
    (iii) It isgratifying to note that education as a whole and school education in particular witness marked changes in the state of Tamil Nadu resulting in the implementation of uniform curriculum for all streams in the school education system. This is a golden opportunity given by the Government of Tamil Nadu which must be utilized for the overall improvement of education in Tamil Nadu. Mathematics, the queen of all sciences, remains and will remain as a subject with great charm having an intrinsic value and beauty of its own. It plays an indispensable role in sciences, engineering and other subjects as well. So, mathematical knowledge is essential for the growth of science and technology, and for any individual to shine well in the field of one’s choice. In addition, a rigorous mathematical training gives one not only the knowledge of mathematics but also a disciplined thought process, an ability to analyze complicated problems. Thiruvalluvar, the prophetic Tamil poet, had as far back as at least two thousand years ago, underlined the importance and the value of mathematical education by saying, v©bz‹g Vid vG¤bj‹g Ï›éu©L« f©bz‹g thG« c殡F. - FwŸ (392) The two that are known as numbers and letters They say are the eyes of people on the earth. – Kural (392) We need the power and prowess of mathematics to face and solve the ever increasing complex problems that we encounter in our life. Furthermore, mathematics is a supremely creative force and not just a problem solving tool. The learners will realize this fact to their immense satisfaction and advantage as they learn more and more of mathematics. Besides, a good mathematical training is very much essential to create a good work force for posterity. The rudiments of mathematics attained at the school level form the basis of higher studies in the field of mathematics and other sciences. Besides learning the basics of mathematics, it is also important to learn how to apply them in solving problems. Preface
  • 4.
    (iv) Deeper understandingof basic principles and problem solving are the two important components of learning mathematics. This book is a step in this direction. It is intended to help the students to grasp the fundamentals of mathematics and apply them in problem solving. It also fosters an informed awareness of how mathematics develops and works in different situations. With this end in view, the chapters are arranged in their natural and logical order with a good number of worked out examples. Each section of a chapter is designed in such a way as to provide the students the much needed practice which promotes a thorough understanding of the concepts. We suggest that before going into the problems, the teachers and the students get themselves acquainted with the underlying mathematical ideas and their connections which precede the set of problems given in the exercises. However, be it remembered that mathematics is more than the science of numbers. The teacher in the classroom is the most important person whose help and guidance are indispensable in learning mathematics. During the stage of transition from basic mathematics to higher mathematics, the teachers have a more significant role to play. In this context we hope that this book serves the purpose and acts as a catalyst. To reap the maximum benefit out of this, the teacher should necessarily strive for a two- way communication. This endeavour will undoubtedly pave the way for learner-centered activities in the class rooms. Moreover, this text book is aimed at giving the students a space to explore mathematics and develop skills in all directions. As we have mentioned already, there are two parts in learning mathematics. One is learning the basics and the other is applying the basics in problem solving. Going through the examples in the text does help in understanding the methods; but learning basics, solving exercise problems on one’s own and then trying to create new related problems alone will help consolidate one’s mathematical knowledge. We learn Mathematics by doing Mathematics. We would be grateful for suggestions and comments from experts, teachers and students for the improvement of this book. -Textbook team
  • 5.
    X Std. SYLLABUS TopicContent Expected Learning Outcomes Transactional Teaching Strategy No. of Periods i. Introduction ii. Properties of operations on sets iii. De Morgan’s laws-veri- fication using examples, Venn diagrams. iv. Formula for ( )n A B C, , v. Functions • To revise the basic con- cepts on Set operations • To understand the proper- ties of operations of sets - commutative, associative, and distributive restricted to three sets. • To understand the laws of complementation of sets. • To understand De Mor- gan’s laws and demonstrat- ing them by Venn diagram as well. • To solve word problems using the formula as well as Venn diagram. • To understand the defini- tion , types and representa- tion of functions. • To understand the types of functions with simple examples. Use Venn diagrams for all illustrations Give examples of functions from economics, medi- cine, science etc. 26 i. Introduction ii. Sequences iii. Arithmetic Progression (A.P) iv. Geometric Progression (G.P) v. Series • To understand to identify an Arithmetic Progression and a Geometric Progres- sion. • Able to apply to find the nth term of an Arithmetic Progression and a Geomet- ric Progression. • To determine the sum of n terms of an Arithmetic Progression and a Geomet- ric Progression. • To determine the sum of some finite series. Use pattern ap- proach Use dot pattern as teaching aid Use patterns to derive formulae Examples to be given from real life situations 27 i. Solving linear equations ii. Polynomials iii. Synthetic division iv. Greatest Common Divisor (GCD) and Least Common Multiple (LCM) v. Rational expressions vi. Square root vii. Quadratic Equations • To understand the idea about pair of linear equations in two unknowns. Solving a pair of linear equations in two variables by elimination method and cross multipli- cation method. • To understand the relation- ship between zeros and co- efficients of a polynomial with particular reference to quadratic polynomials. Illustrative examples – Use charts as teaching aids Recall GCD and LCM of numbers initially I.SetsandFunctionsII.SequencesandSeriesof RealNumbersIII.Algebra (v)
  • 6.
    • To determinethe remain- der and the quotient of the given polynomial using Synthetic Division Method. • To determine the factors of the given polynomial using Synthetic Division Method. • Able to understand the dif- ference between GCD and LCM, of rational expres- sion. • Able to simplify rational expressions (Simple Prob- lems), • To understand square roots. • To understand the standard form of a quadratic equa- tion . • To solve quadratic equa- tions (only real root) - by factorization, by complet- ing the square and by using quadratic formula. • Able to solve word prob- lems based on quadratic equations. • Able to correlate relation- ship between discriminant and nature of roots. • Able to Form quadratic equation when the roots are given. Compare with operations on fractions Compare with the square root opera- tion on numerals. Help students visualize the nature of roots algebraically and graphically. 40 i. Introduction ii. Types of matrices iii. Addition and subtraction iv. Multiplication v. Matrix equation • Able to identify the order and formation of matrices • Able to recognize the types of matrices • Able to add and subtract the given matrices. • To multiply a matrix by a scalar, and the transpose of a matrix. • To multiply the given matrices (2x2; 2x3; 3x2 Matrices). • Using matrix method solve the equations of two vari- ables. Using of rect- angular array of numbers. Using real life situations. Arithmetic opera- tions to be used 16 III.AlgebraIV.Matrices (vi)
  • 7.
    i. Introduction ii. Revision:Distance be- tween two points iii. Section formula, Mid point formula, Centroid formula iv. Area of a triangle and quadrilateral v. Straight line • To recall the distance between two points, and locate the mid point of two given points. • To determine the point of division using section formula. • To calculate the area of a triangle. • To determine the slope of a line when two points are given, equation is given. • To find an equation of line with the given information. • Able to find equation of a line in: slope-intercept form, point -slope form, two -point form, intercept form. • To find the equation of a straight line passing through a point which is (i) parallel (ii) perpendicular to a given straight line. Simple geometri- cal result related to triangle and quadrilaterals to be verified as ap- plications. the form y = mx + c to be taken as the start- ing point 25 i. Basic proportionality theo- rem (with proof) ii. Converse of Basic propor- tionality theorem (with proof) iii. Angle bisector theorem (with proof - internal case only) iv. Converse of Angle bisec- tor theorem (with proof - internal case only) v. Similar triangles (theo- rems without proof) vi. Pythagoras theorem and Tangent-Chord theorem (without proof) • To understand the theo- rems and apply them to solve simple problems. Paper folding symmetry and transformation techniques to be adopted. Formal proof to be given Drawing of figures Step by step logical proof with diagrams to be explained and discussed 20 i. Introduction ii. Identities iii. Heights and distances • Able to identify the Trigonometric identities and apply them in simple problems. • To understand trigonomet- ric ratios and applies them to calculate heights and distances. (not more than two right triangles) By using Alge- braic formulae Using trigonomet- ric identities. The approximate nature of values to be explained 21 V.CoordinateGeometryVI.GeometryVII.Trigonometry (vii)
  • 8.
    i. Introduction ii. SurfaceArea and Volume of Cylinder, Cone, Sphere, Hemisphere, Frustum iii. Surface area and volume of combined figures iv. Invariant volume • To determine volume and surface area of cylinder, cone, sphere, hemisphere, frustum • Volume and surface area of combined figures (only two). • Some problems restricted to constant Volume. Use 3D models to create combined shapes Use models and pictures ad teach- ing aids. Choose examples from real life situ- ations. 24 i. Introduction ii. Construction of tangents to circles iii. Construction of Triangles iv. Construction of cyclic quadrilateral • Able to construct tangents to circles. • Able to construct triangles, given its base, vertical angle at the opposite vertex and (a) median (b) altitude • Able to construct a cyclic quadrilateral To introduce algebraic verifica- tion of length of tangent segments. Recall related properties of angles in a circle before construc- tion. Recall relevant theorems in theo- retical geometry 15 i. Introduction ii. Quadratic graphs iii. Some special graphs • Able to solve quadratic equations through graphs • Able to apply graphs to solve word problems Interpreting skills also to be taken care of graphs of quadratics to precede algebraic treatment. Real life situa- tions to be intro- duced. 10 i. Recall Measures of central tendency ii. Measures of dispersion iii. Coefficient of variation • To recall Mean for grouped and ungrouped data situa- tion to be avoided). • To understand the concept of Dispersion and able to find Range, Standard Deviation and Variance. • Able to calculate the coef- ficient of variation. Use real life situa- tions like perfor- mance in exami- nation, sports, etc. 16 i. Introduction ii. Probability-theoretical ap- proach iii. Addition Theorem on Probability • To understand Random experiments, Sample space and Events – Mutually Exclusive, Complemen- tary, certain and impossible events. • To understand addition Theorem on probability and apply it in solving some simple problems. Diagrams and investigations on coin tossing, die throwing and picking up the cards from a deck of cards are to be used. 15 VIII.MensurationIX.PracticalGeometryX.GraphsXI.StatisticsXII.Probability (viii)
  • 9.
    (ix) CONTENTS 1. SETSAND FUNCTIONS 1-33 1.1 Introduction 1 1.2. Sets 1 1.3. Operations on Sets 3 1.4. Properties of Set Operations 5 1.5. De Morgan’s Laws 12 1.6. Cardinality of Sets 16 1.7. Relations 19 1.8. Functions 20 2. SEQUENCES AND SERIES OF REAL NUMBERS 34-67 2.1. Introduction 34 2.2. Sequences 35 2.3. Arithmetic Sequence 38 2.4. Geometric Sequence 43 2.5. Series 49 3. ALGEBRA 68-117 3.1 Introduction 68 3.2 System of Linear Equations in Two Unknowns 69 3.3 Quadratic Polynomials 80 3.4 Synthetic Division 82 3.5 Greatest Common Divisor and Least Common Multiple 86 3.6 Rational Expressions 93 3.7 Square Root 97 3.8 Quadratic Equations 101 4. MATRICES 118-139 4.1 Introduction 118 4.2 Formation of Matrices 119 4.3 Types of Matrices 121 4.4 Operation on Matrices 125 4.5 Properties of Matrix Addition 128 4.6 Multiplication of Matrices 130 4.7 Properties of Matrix Multiplication 132 5. COORDINATE GEOMETRY 140-170 5.1 Introduction 140 5.2 Section Formula 140 5.3 Area of a Triangle 147 5.4 Collinearity of Three Points 148 5.5 Area of a Quadrilateral 148 5.6 Straight Lines 151 5.7 General form of Equation of a Straight Line 164
  • 10.
    (x) 6. GEOMETRY 171-195 6.1 Introduction 171 6.2 Basic Proportionality and Angle Bisector Theorems 172 6.3 Similar Triangles 182 6.4 Circles and Tangents 189 7. TRIGONOMETRY 196-218 7.1 Introduction 196 7.2 Trigonometric Identities 196 7.3 Heights and Distances 205 8. MENSURATION 219-248 8.1 Introduction 219 8.2 Surface Area 219 8.3 Volume 230 8.4 Combination of Solids 240 9. PRACTICAL GEOMETRY 249-266 9.1 Introduction 249 9.2 Construction of Tangents to a Circle 250 9.3 Construction of Triangles 254 9.4 Construction of Cyclic Quadrilaterals 259 10. GRAPHS 267-278 10.1 Introduction 267 10.2 Quadratic Graphs 267 10.3 Some special Graphs 275 11. STATISTICS 279-298 11.1 Introduction 279 11.2 Measures of Dispersion 280 12. PROBABILITY 299-316 12.1 Introduction 299 12.2 Classical Definition of Probability 302 12.3 Addition theorem on Probability 309 • Answers 317-327 • Miscellaneous problems 328-329 • Bibliography 330-331 • Question Paper Design 331-334
  • 11.
    SETS AND FUNCTIONS SETS AND FUNCTIONS Aset is Many that allows itself to be thought of as a One - Georg Cantor George Boole (1815-1864) England Boole believed that there was a close analogy between symbols that represent logical interactions and algebraic symbols. He used mathematical symbols to express logical relations. Although computers did not exist in his day, Boole would be pleased to know that his Boolean algebra is the basis of all computer arithmetic. As the inventor of Boolean logic-the basis of modern digital computer logic - Boole is regarded in hindsight as a founder of the field of computer science.  Introduction  Sets  Properties of set operations  De Morgan’s Laws  Functions 11 Definition 1.1 Introduction The concept of set is one of the fundamental concepts in mathematics. The notation and terminology of set theory is useful in every part of mathematics. So, we may say that set theory is the language of mathematics. This subject, which originated from the works of George Boole (1815-1864) and Georg Cantor (1845-1918) in the later part of 19th century, has had a profound influence on the development of all branches of mathematics in the 20th century. It has helped in unifying many disconnected ideas and thus facilitated the advancement of mathematics. In class IX, we have learnt the concept of set, some operations like union, intersection and difference of two sets. Here, we shall learn some more concepts relating to sets and another important concept in mathematics namely, function. First let us recall basic definitions with some examples. We denote all positive integers (natural numbers) by N and all real numbers by R. 1.2 Sets A set is a collection of well-defined objects. The objects in a set are called elements or members of that set. Here, “well-defined” means that the criteria for deciding if an object belongs to the set or not, should be defined without confusion. For example, the collection of all “tall people” in Chennai does not form a set, because here, the deciding criteria “tall people” is not clearly defined. Hence this collection does not define a set. 1
  • 12.
    2 10th Std.Mathematics Definition Definition Notation We generally use capital letters like A, B, X, etc. to denote a set. We shall use small letters like x, y, etc. to denote elements of a set. We write x Y! to mean x is an element of the set Y . We write t Yb to mean t is not an element of the set Y . Examples (i) The set of all high school students in Tamil Nadu. (ii) The set of all students either in high school or in college in Tamil Nadu. (iii) The set of all positive even integers. (iv) The set of all integers whose square is negative. (v) The set of all people who landed on the moon. Let , , ,A B C D Eand denote the sets defined in (i), (ii), (iii), (iv), and (v) respectively. Note that square of any integer is an integer that is either zero or positive and so there is no integer whose square is negative. Thus, the set D does not contain any element. Any such set is called an empty set. We denote the empty set by z. (i) A set is said to be a finite set if it contains only a finite number of elements in it. (ii) A set which is not finite is called an infinite set. Observe that the set A given above is a finite set, whereas the set C is an infinite set. Note that empty set contains no elements in it. That is, the number of elements in an empty set is zero. Thus, empty set is also a finite set. (i) If a set X is finite, then we define the cardinality of X to be the number of elements in X . Cardinality of a set X is denoted by ( ).n X (ii) If a set X is infinite, then we denote the cardinality of X by a symbol 3. Now looking at the sets ,A B in the above examples, we see that every element of A is also an element of B. In such cases we say A is a subset of .B Let us recall some of the definitions that we have learnt in class IX. Subset Let X Yand be two sets. We say X is a subset of Y if every element of X is also an element of Y . That is, X is a subset of Y if z X! implies z Y! . It is clear that every set is a subset of itself. If X is a subset of Y , then we denote this by X Y3 .
  • 13.
    Sets and Functions3 Set Equality Two sets X Yand are said to be equal if both contain exactly same elements. In such a case, we write X Y= . That is, X Y= if and only if X Y3 and Y X3 . Equivalent Sets Two finite sets X Yand are said to be equivalent if ( ) ( ).n X n Y= For example, let P x x x 6 0 2 ;= - - =" , and ,Q 3 2= -" ,. It is easy to see that both ,P Q contain same elements and so P Q= . If ,F 3 2=" ,, then ,F Q are equivalent sets but .Q F! Using the concept of function, one can define the equivalent of two infinite sets Power Set Given a set A, let ( )P A denote the collection of all subsets of A. The set ( )P A is called the power set of A. If n(A) = m, then the number of elements in ( )P A is given by n(P(A)) = 2m . For example, if A = {a,b,c}, then ( )P A = { ,{ },{ },{ }.{ , },{ , },{ , },{ , , }a b c a b a c b c a b cz } and hence n(P(A)) = 8. Now, given two sets, how can we create new sets using the given sets? One possibility is to put all the elements together from both sets and create a new set. Another possibility is to create a set containing only common elements from both sets. Also, we may create a set having elements from one set that are not in the other set. Following definitions give a precise way of formalizing these ideas. We include Venn diagram next to each definition to illustrate it. 1.3 Operations on sets Let X Yand be two sets. We define the following new sets: (i) Union orX Y z z X z Y, ; ! !=" , ( read as “X union Y ”) Note that X Y, contains all the elements of X and all the elements of Y and the Fig. 1.1 illustrates this. It is clear that .X X Y Y X Yand also, ,3 3 (ii) Intersection andX Y z z X z Y+ ; ! !=" , (read as “X intersection Y ”) Note that X Y+ contains only those elements which belong to both X and Y and the Fig. 1.2 illustrates this. It is trivial that .X Y X X Y Yand also+ +3 3 (iii) Set difference butX Y z z X z Yb; !=" , (read as “X difference Y ”) Note that X Y contains only elements of X that are not in Y and the Fig. 1.3 illustrates this. Also, some authors use A B- for A B. We shall use the notation A B which is widely used in mathematics for set difference. (iv) Symmetric Difference ( ) ( )X Y X Y Y X3 ,= (read as “X symmetric difference Y ”). Note that X Y3 contains all elements in X Y, that are not in X Y+ . X Y X Y, Fig. 1.1 X Y X Y+ Fig. 1.2 X Y X Y Fig. 1.3 X Y3 X Y Fig. 1.4
  • 14.
    4 10th Std.Mathematics Remarks (v) Complement If X U3 , where U is a universal set, then U X is called the complement of X with respect to .U If underlying universal set is fixed, then we denote U X by Xl and is called complement of X . The difference set A B can also be viewed as the complement of B with respect to A. (vi) Disjoint sets Two sets X Yand are said to be disjoint if they do not have any common element. That is, X and Y are disjoint if X Y+ z= . It is clear that ( ) ( ) ( )n A B n A n B, = + if A and B are disjoint finite sets. Usually circles are used to denote sets in Venn diagrams. However any closed curve may also be used to represent a set in a Venn diagram. While writing the elements of a set, we do not allow repetitions of elements in that set. Now, we shall see some examples. Let 12is a positive less thanA x x integer;=" ,, , , , , , , ,B 1 2 4 6 7 8 12 15=" , and , , , , , ,C 2 1 0 1 3 5 7= - -" ,. Now let us find the following: (i) orA B x x A x B, ; ! !=" , 12, 12, 15is a positive less than or orx x xinteger;= =" , { , , , , , , , , , , , , }1 2 3 4 5 6 7 8 9 10 11 12 15= . (ii) andC B y y C y B+ ; ! != " , = ,1 7" ,. (iii) butA C x x A x Cb; != " , , , , , , ,2 4 6 8 9 10 11= " ,. (iv) ( ) ( )A C A C C A3 ,= , , , , , , , , { 2, 1, 0, 2, 4, 6, 8, 9,10,11}2 4 6 8 9 10 11 2 1 0,= - - = - -" ", , . (v) Let U = {x | x is an integer} be the universal set. Note that 0 is neither positive nor negative. Therefore, A0 g . Now, ' { : }is an but it should not be inA U A x x Ainteger= = { 12}is either zero or a negative or positive greater than or equal tox x integer integer;= { , , , , , } { , , , , }4 3 2 1 0 12 13 14 15,g g= - - - - { , 4, 3, 2, 1, 0,12,13,14,15, }g g= - - - - . Let us list out some useful results. Let U be a universal set and ,A B are subsets of U . Then the following hold: (i) A B A B+= l (ii) B A B A+= l (iii) A B A A B+ + z= = (iv) ( )A B B A B, ,= (v) ( )A B B+ z= (vi) ( ) ( ) ( )( )A B B A A B A B, , += X Xl U Fig. 1.5 X Y Fig. 1.6
  • 15.
    Sets and Functions5 Let us state some properties of set operations. 1.4 Properties of set operations For any three sets ,A B and C, the following hold. (i) Commutative property (a) A B B A, ,= (set union is commutative) (b) A B B A+ += (set intersection is commutative) (ii) Associative property (a) A B C, ,^ h = A B C, ,^ h (set union is associative) (b) A B C+ +^ h = A B C+ +^ h (set intersection is associative) (iii) Distributive property (a) A B C+ ,^ h = ( )A B A C+ , +^ h (intersection distributes over union) (b) A B C, +^ h = ( )A B A C, + ,^ h (union distributes over intersection) Mostly we shall verify these properties with the given sets. Instead of verifying the above properties with examples, it is always better to give a mathematical proof. But this is beyond the scope of this book. However, to understand and appreciate a rigorous mathematical proof, let us take one property and give the proof. (i) Commutative property of union In this part we want to prove that for any two sets A Band , the sets A B, and B A, are equal. Our definition of equality of sets says that two sets are equal only if they contain same elements. First we shall show that every element of A B, , is also an element of B A, . Let z A B,! be an arbitrary element. Then by the definition of union of A and B we have z A! or z B! . That is, for every z A B,! ( z A! or z B! ( z B! or z A! ( z B A,! by the definition of B A, . (1) Since (1) is true for every z A B,! , the above work shows that every element of A B, is also is an element of B A, . Hence, by the definition of a subset, we have ( ) ( )A B B A, ,3 . Next, we consider an arbitrary y B A,! and show that this y is also an element of A B, . Now, for every y B A,! ( y B! or y A! ( y A! or y B! ( y A B,! by the definition of A B, . (2) Since (2) is true for every y B A,! , the above work shows that every element of B A, is also an element of A B, . Hence, by the definition of a subset, we have ( ) ( )B A A B, ,3 . So, we have shown that ( ) ( )A B B A, ,3 and ( ) ( )B A A B, ,3 . This can happen only when ( ) ( )A B B A, ,= . One could follow above steps to prove other properties listed above by exactly the same method.
  • 16.
    6 10th Std.Mathematics About proofs in Mathematics In mathematics, a statement is called a true statement if it is always true. If a statement is not true even in one instance, then the statement is said to be a false statement. For example, let us consider a few statements: (i) Any positive odd integer is a prime number (ii) Sum of all angles in a triangle is 180c (iii) Every prime number is an odd integer (iv) For any two sets A Band , A B B A= Now, the statement (i) is false, though very many odd positive integers are prime, because integers like , , ,9 15 21 45 etc. are positive and odd but not prime. The statement (ii) is a true statement because no matter which triangle you consider, the sum of its angles equals 180c. The statement (iii) is false, because 2 is a prime number but it is an even integer. In fact, the statement (iii) is true for every prime number except for 2. So, if we want to prove a statement we have to prove that it is true for all instances. If we want to disprove a statement it is enough to give an example of one instance, where it is false. The statement (iv) is false. Let us analyze this statement. Basically, when we form A B we are removing all elements of B from A. Similarly, for B A. So it is highly possible that the above statement is false. Indeed, let us consider a case where { 2, 5, 8} {5, 7, 1}.A Band= = - In this case, {2, 8}A B = and { 7, 1}B A = - and we have A B B A! . Hence the statement given in (iv) is false. Example 1.1 For the given sets { 10,0,1, 9, 2, 4, 5} { 1, 2, 5, 6, 2,3,4}A Band= - = - - , verify that (i) set union is commutative. Also verify it by using Venn diagram. (ii) set intersection is commutative. Also verify it by using Venn diagram. Solution (i) Now, { 10,0,1, 9, 2, 4, 5} { 1, 2, 5, 6, 2,3,4}A B, ,= - - - = { 1 , , ,0,1,2,3,4, , , }0 2 1 5 6 9- - - (1) Also, { 1, 2, 5, 6, 2,3,4} { 10,0,1, 9, 2, 4, 5}B A, ,= - - - { 10, 2, 1,0,1,2,3,4, 5, 6, 9}= - - - (2) Thus, from (1) and (2) we have verified that A B B A, ,= . By Venn diagram, we have Hence, it is verified that set union is commutative. A B B A, ,= Fig. 1.7 B B A A –10 0 1 9 2 5 4 –1 –2 6 3 –1 –2 6 3 –10 0 1 9 2 5 4
  • 17.
    Sets and Functions7 (ii) Let us verify that intersection is commutative. Now, { 10,0,1, 9, 2, 4, 5} { 1, 2, 5, 6, 2,3,4}A B+ += - - - {2,4, 5}= . (1) Also, { 1, 2, 5, 6, 2,3,4} { 10,0,1, 9, 2, 4, 5}B A+ += - - - {2,4, 5}= . (2) From (1) and (2), we have A B B A+ += for the given sets A Band . By Venn diagram, we have Hence, it is verified. Example 1.2 Given, {1, 2, 3, 4, 5}, {3, 4, 5, 6} {5, 6, 7, 8}A B Cand= = = , show that (i) .A B C A B C, , , ,=^ ^h h (ii) Verify (i) using Venn diagram. Solution (i) Now, B C, = {3, 4, 5, 6} {5, 6, 7, 8}, = {3, 4, 5, 6, 7, 8} ( )A B C` , , = {1, 2, 3, 4, 5},{ 3, 4, 5, 6, 7, 8}= {1, 2, 3, 4, 5, 6, 7, 8} (1) Now, A B, = {1, 2, 3, 4, 5} {3, 4, 5, 6}, = { , , , , , }1 2 3 4 5 6 A B C` , ,^ h = { , , , , , } { , , , }1 2 3 4 5 6 5 6 7 8, = {1, 2, 3, 4, 5, 6, 7, 8} (2) From (1) and (2), we have A B C, ,^ h = A B C, ,^ h . (ii) Using Venn diagram, we have (1) (3) (2) (4) Thus, from (2) and (4), we have verified that the set union is associative. B C, A B C, ,^ h A B C, ,^ h A B B A+ += Fig. 1.8 Fig. 1.9 B B A A 2 5 4 2 5 4 5 6 3 4 7 8 5 6 3 4 1 2 5 6 4 7 8 1 5 6 3 4 7 8 1 2 A B, A C B A C B A C B 32 A C B
  • 18.
    8 10th Std.Mathematics Example 1.3 Let { , , , }, { , , } { , }A a b c d B a c e C a eand= = = . (i) Show that A B C+ +^ h = .A B C+ +^ h (ii) Verify (i) using Venn diagram. Solution (i) We are given { , , , }, { , , } { , }A a b c d B a c e C a eand= = = . We need to show A B C A B C+ + + +=^ ^h h . So, we first consider A B C+ +^ h. Now, B C+ = { , , } { , } { , }a c e a e a e+ = ; thus, A B C+ +^ h = { , , , } { , } { }a b c d a e a+ = . (1) Next, we shall find A B+ = { , , , .} { , , } { , }a b c d a c e a c+ = . Hence A B C+ +^ h = { , } { , } { }a c a e a+ = (2) Now (1) and (2) give the desired result. (ii) Using Venn diagram, we have (1) (3) (2) (4) Thus, from (2) and (4) , it is verified that A B C A B C+ + + +=^ ^h h Example 1.4 Given { , , , , }, { , , , , } { , , , }A a b c d e B a e i o u C c d e uand= = = . (i) Show that A B C A B C!^ ^h h . (ii) Verify (i) using Venn diagram. B C+ A B+ A B C+ +^ h A B C+ +^ h Fig. 1.10 a e a c a a A C B A C B A C B A C B
  • 19.
    Sets and Functions9 B C^ h A B^ h A B C^ h A B C^ h Fig. 1.11 a Solution (i) First let us find A B C^ h . To do so, consider B C^ h = { , , , , }{ , , , }a e i o u c d e u = { , , }a i o . Thus, A B C^ h = { , , , , }{ , , }a b c d e a i o = { , , , }b c d e . (1) Next, we find A B C^ h . A B = { , , , , }{ , , , , }a b c d e a e i o u = { , , }b c d . Hence, A B C^ h = { , , }{ , , , }b c d c d e u = { }b . (2) From (1) and (2) we see that A B C^ h ! A B C^ h . Thus, the set difference is not associative. (ii) Using Venn diagram, we have (1) (3) (2) (4) From (2) and (4), it is verified that ( ) ( ) A B C A B C! . The set difference is not associative. However, if the sets ,A B and C are mutually disjoint, then ( ) A B C A B C=^ h . This is very easy to prove; so let us prove it. Since B and C are disjoint we have B C B= . Since ,A B are disjoint we have A B A= . Thus, we have ( )A B C A= . Again, A B A= and ,A C are disjoint and so we have .A C A= Hence, ( ) A B C A= . So we have ( ) A B C A B C=^ h as desired. Thus, for sets which are mutually disjoint, the set difference is associative. i o b c d b c d e b A C B A C B A C B A C B Remarks
  • 20.
    10 10th Std.Mathematics Example 1.5 Let {0,1,2,3,4}, {1, 2, 3,4,5,6} {2,4,6,7}A B Cand= = - = . (i) Show that A B C, +^ h = A B A C, + ,^ ^h h. (ii) Verify using Venn diagram. Solution (i) First, we find A B C, +^ h. Consider B C+ = {1, 2, 3, 4, 5, 6} {2, 4, 6, 7 } {4, 6}+- = ; A B C, +^ h = {0,1, 2, 3, 4} {4, 6}, = { , , , , , }0 1 2 3 4 6 . (1) Next, consider A B, = {0,1,2,3,4} {1, , 3,4,5,6}2, - = { 2, 0,1, 2, 3, 4, 5, 6}- , A C, = {0,1,2,3,4} {2,4,6,7}, = {0,1, 2, 3, 4, 6, 7}. Thus, A B A C, + ,^ ^h h = { 2, 0,1, 2, 3, 4, 5, 6} {0,1, 2, 3, 4, 6, 7}+- = {0,1, 2, 3, 4, 6}. (2) From (1) and (2) ,we get A B C, +^ h = A B A C, + ,^ ^h h. (ii) Using Venn diagram, we have (1) (3) (2) (4) (5) From (2) and (5) it is verified that ( ) ( ) ( )A B C A B A C, + , + ,= A B A C, + ,^ ^h h A C, A B,B C+ A B C, +^ h Fig. 1.12 4 6 1 3 4 62 0 –2 5 1 3 4 62 0 1 3 4 62 0 7 1 3 4 62 0 A C B A C B A C B A C B A C B
  • 21.
    Sets and Functions11 Example 1.6 For { 3 4, }, { 5, }A x x x B x x xR N1 1; # ! ; != - = and { 5, 3, 1,0,1,3}C = - - - , Show that A B C A B A C+ , + , +=^ ^ ^h h h. Solution First note that the set A contains all the real numbers (not just integers) that are greater than or equal to 3- and less than 4. On the other hand the set B contains all the positive integers that are less than 5. So, A= { 3 4, }x x x R1; # !- ; that is, A consists of all real numbers from – 3 upto 4 but 4 is not included. Also, B = { 5, } {1,2,3,4}x x x N1; ! = . Now, we find B C, = { , , , } { , , , , , }1 2 3 4 5 3 1 0 1 3, - - - = { , , , , , , , }1 2 3 4 5 3 1 0- - - ; thus A B C+ ,^ h = {1,2,3,4, 5, 3, 1,0}A + - - - = { , , , , , }3 1 0 1 2 3- - . (1) Next, to find A B A C+ , +^ ^h h, we consider A B+ = { 3 4, } {1,2,3,4}x x x R +1; # !- = { , , }1 2 3 ; and A C+ = { , } { 5, 3, 1,0,1,3}x x x3 4 R +1; # !- - - - = { , , , , }3 1 0 1 3- - . Hence, A B A C+ , +^ ^h h = {1,2,3,} { 3, 1,0,1,3}, - - = { , , , , , }3 1 0 1 2 3- - . (2) Now (1) and (2) imply A B C+ ,^ h = A B A C+ , +^ ^h h. Exercise 1.1 1. If ,A B1 then show that A B B, = (use Venn diagram). 2. If ,A B1 then find A B+ and A B (use Venn diagram). 3. Let { , , }, { , , , } { , , , }P a b c Q g h x y R a e f sand= = = . Find the following: (i) P R (ii) Q R+ (iii) R P Q+^ h. 4. If {4,6,7,8,9}, {2,4,6} {1,2,3,4,5,6}A B Cand= = = , then find (i) A B C, +^ h (ii) A B C+ ,^ h (iii) A C B^ h 5. Given { , , , , }, {1,3,5,7, 10}A a x y r s B= = - , verify the commutative property of set union. –3 4
  • 22.
    12 10th Std.Mathematics 6. Verify the commutative property of set intersection for { , , , , 2, 3, 4, 7} {2, 5, 3, 2, , , , }A l m n o B m n o pand= = - . 7. For A = { 4 }x x 2is a prime factor of; , { 5 12, }B x x x N1; # != and C= { , , , }1 4 5 6 , verify A B C A B C, , , ,=^ ^h h . 8. Given { , , , , }, { , , , , } { , , , }P a b c d e Q a e i o u R a c e gand= = = . Verify the associative property of set intersection. 9. For {5,10,15, 20}; {6,10,12,18,24} {7,10,12,14,21,28}A B Cand= = = , verify whether A B C A B C=^ ^h h . Justify your answer. 10. Let { 5, 3, 2, 1}, { 2, 1,0}, { 6, 4, 2}A B Cand= - - - - = - - = - - - . Find ( ) A B C A B Cand^ h . What can we conclude about set difference operation? 11. For { 3, 1, 0, 4,6,8,10}, { 1, 2, 3,4,5,6} { 1, 2,3,4,5,7},A B Cand= - - = - - = - show that (i) A B C, +^ h= A B A C, + ,^ ^h h (ii) A B C+ ,^ h= A B A C+ , +^ ^h h (iii) Verify (i) using Venn diagram (iv) Verify (ii) using Venn diagram. 1.5 De Morgan’s laws De Morgan’s father (a British national) was in the service of East India Company, India. Augustus De Morgan (1806-1871) was born in Madurai, Tamilnadu, India. His family moved to England when he was seven months old. He had his education at Trinity college, Cambridge, England. De Morgan’s laws relate the three basic set operations Union, Intersection and Complementation. De Morgan’s laws for set difference For any three sets ,A B Cand , we have (i) A B C,^ h = A B A C+^ ^h h (ii) A B C+^ h = A B A C,^ ^h h. De Morgan’s laws for complementation Let U be the universal set containing sets A and B. Then (i) A B, l^ h = A B+l l (ii) A B+ l^ h = A B,l l. Observe that proof of the laws for complementation follows from that of the set difference because for any set D, we have ' D U D= . Again we shall not attempt to prove these; but we shall learn how to apply these laws in problem solving. Example 1.7 Use Venn diagrams to verify A B A B+ ,=l l l^ h .
  • 23.
    Sets and Functions13 Solution (1) (3) (2) (4) (5) From (2) and (5) it follows that A B A B+ ,=l l l^ h . Example 1.8 Use Venn diagrams to verify De Morgan’s law for set difference A B C A B A C+ ,=^ ^ ^h h h. Solution (1) (3) (2) (4) (5) From (2) and (5) we have A B C A B A C+ ,=^ ^ ^h h h. B C+ A B C A B C A B C ( )A B C+ A B C A B A B C A C ( ) ( )A B A C, Fig. 1.14 A B+ A B U A B,l l Al U Bl U B ( )A B+ l U Fig. 1.13 BA BA BAA U BA
  • 24.
    14 10th Std.Mathematics Example 1.9 Let { 2, 1, 0,1, 2, 3, ,10}, { 2, 2,3,4,5}U Ag= - - = - and {1,3,5, ,9}B 8= . Verify De Morgan’s laws of complementation. Solution First we shall verify A B A B, +=l l l^ h . To do this we consider A B, = { , 2, 3, 4, 5} {1, 3, 5, , 9} { , , , , , , , }2 8 2 1 2 3 4 5 8 9,- = - ; which implies A B, l^ h = { 2,1, 2, 3, 4, 5, 8, 9} { 1, 0, 6,7,10}U - = - . (1) Next, we find Al = { 1, 0,1, 6,7,8,9,10}U A = - Bl = { 2, 1, 0, 2,4,6,7,10}U B = - - . Thus, we have A B+l l = { 1, , , 6,7,8,9,10}0 1- +{ 2, 1, 0, 2,4,6,7,10}- - = { , , , ,10}1 0 6 7- . (2) From (1) and (2) it follows that A B, l^ h = A B+l l. Similarly, one can verify A B+ l^ h = A B,l l for the given sets above. We leave the details as an exercise. Example 1.10 Let A = { , , , , , , , , , }a b c d e f g x y z , B = { , , , , }c d e1 2 and C = { , , , , , }d e f g y2 . Verify A B C A B A C, +=^ ^ ^h h h. Solution First, we find B C, = { , , , , } { , , , , , }c d e d e f g y1 2 2, = { , , , , , , , }c d e f g y1 2 . Then ( )A B C, = { , , , , , , , , , } {1, 2, , , , , , }a b c d e f g x y z c d e f g y = { , , , }a b x z . (1) Next, we have A B = { , , , , , , }a b f g x y z and { , , , , }A C a b c x z= and so ( ) ( )A B A C+ = { , , , }a b x z . (2) Hence, from (1) and (2) it follows that A B C A B A C, +=^ ^ ^h h h. Exercise 1.2 1. Represent the following using Venn diagrams (i) {5,6,7,8,......13}, {5,8,10,11}, {5,6,7,9,10}U A Band= = = (ii) { , , , , , , , }, { , , , }, { , , , , }U a b c d e f g h M b d f g N a b d e gand= = =
  • 25.
    Sets and Functions15 2. Write a description of each shaded area. Use symbols U, , , , ,A B C , +, l and as necessary. (i) (ii) (iii) (iv) 3. Draw Venn diagram of three sets ,A B Cand illustrating the following: (i) A B C+ + (ii) A Band are disjoint but both are subsets of C (iii) A B C+^ h (iv) B C A,^ h (v) A B C, +^ h (vi) C B A+^ h (vii) C B A+ ,^ h 4. Use Venn diagram to verify A B A B A+ , =^ ^h h . 5. Let U = { , , , , , , }4 8 12 16 20 24 28 , A = { , , }8 16 24 and B = { , , , }4 16 20 28 . Find 'A B A Band, + l^ ^h h . 6. Given that U = { , , , , , , , }a b c d e f g h , { , , , }, { , , },A a b f g B a b cand= = verify De Morgan’s laws of complementation. 7. Verify De Morgan’s laws for set difference using the sets given below: {1, 3, 5, 7, 9,11,13,15}, {1, 2, 5, 7} {3,9, , ,13}A B C 10 12and= = = . 8. Let A = {10,15, 20, 25, 30, 35, 40, 45, }50 , B = { , ,10,15, 20, 30}1 5 and C = { , ,15,2 ,35,45, }7 8 0 48 . Verify A B C A B A C+ ,=^ ^ ^h h h. 9. Using Venn diagram, verify whether the following are true: (i) A B C, +^ h = A B A C, + ,^ ^h h (ii) A B C+ ,^ h = A B A C+ , +^ ^h h (iii) A B, l^ h = A B+l l (iv) A B C,^ h = A B A C+^ ^h h
  • 26.
    16 10th Std.Mathematics 1.6 Cardinality of sets In class IX, we have learnt to solve problems involving two sets, using the formula n A B n A n B n A B, += + -^ ^ ^ ^h h h h. This formula helps us in calculating the cardinality of the set A B, when the cardinalities of ,A B and A B+ are known. Suppose we have three sets ,A B and C and we want to find the cardinality of A B C, , , what will be the corresponding formula? The formula in this case is given by n A B C, ,^ h= n A n B n C n A B n B C n A C n A B C+ + + + ++ + - - - +^ ^ ^ ^ ^ ^ ^h h h h h h h. Following example illustrates the usage of the above formula. Example 1.11 In a group of students, 65 play foot ball, 45 play hockey, 42 play cricket, 20 play foot ball and hockey, 25 play foot ball and cricket, 15 play hockey and cricket and 8 play all the three games. Find the number of students in the group. (Assume that each student in the group plays atleast one game.) Solution Let ,F H and C represent the set of students who play foot ball, hockey and cricket respectively. Then 65, 45, 42n F n H n Cand= = =^ ^ ^h h h . Also, n F H 20+ =^ h , 25n F C+ =^ h , n H C 15+ =^ h and n F H C 8+ + =^ h . We want to find the number of students in the whole group; that is n F H C, ,^ h. By the formula, we have n F H C, ,^ h = n F n H n C n F H++ + -^ ^ ^ ^h h h h n H C n F C n F H C+ + + +- - +^ ^ ^h h h = 65 45 42 20 25 15 8+ + - - - + = 100. Hence, the number of students in the group = 100. Alternate method The same problem can also be solved using Venn diagram. Nowadays, it is possible to solve some of the problems that we come across in daily life using Venn diagrams and logic. The Venn diagram will have three intersecting sets, each representing a game. Look at the diagram and try to find the number of players in the group by working carefully through the statements and fill in as you go along. Number of students in the group = 28 + 12 + 18 + 7 + 10 + 17 + 8 = 100. F H C 8 25–8 15-8 42-(8+17+7) = 10 = 7= 17 65–(12+8+17) = 28 20–8 45-(12+8+7) = 18=12 Fig. 1.15
  • 27.
    Sets and Functions17 Example 1.12 In a survey of university students, 64 had taken mathematics course, 94 had taken computer science course, 58 had taken physics course, 28 had taken mathematics and physics, 26 had taken mathematics and computer science, 22 had taken computer science and physics course, and 14 had taken all the three courses. Find the number of students who were surveyed. Find how many had taken one course only. Solution Let us represent the given data in a Venn diagram. Let M, C, P represent sets of students who had taken mathematics, computer science and physics respectively. The given details are filled in the Venn diagram ( )n M C P+ + = 14 ( )n M C P+ + l = 26 – 14 = 12 ( )n M P C+ + l = 28 – 14 = 14 ( )n C P M+ + l = 22 – 14 = 8 Number of students surveyed = 24 + 12 + 60 + 8 + 22 + 14 + 14 = 154 The number of students who had taken only mathematics = 64–(14+14+12) = 24 The number of students who had taken only computer science = 94 – (12+14+8) = 60 The number of students who had taken only physics = 58 – (14+14+8) = 22 The number of students who had taken one course only = 24+60+22 = 106. Example 1.13 A radio station surveyed 190 students to determine the types of music they liked. The survey revealed that 114 liked rock music, 50 liked folk music, and 41 liked classical music, 14 liked rock music and folk music, 15 liked rock music and classical music, 11 liked classical music and folk music. 5 liked all the three types of music. Find (i) how many did not like any of the 3 types? (ii) how many liked any two types only? (iii) how many liked folk music but not rock music? Solution Let R, F and C represent the sets of students who liked rock music, folk music and classical music respectively. Let us fill in the given details in the Venn diagram. Thus, we have ( )n R F C+ + l = 14 – 5 = 9 ( )n R C F+ + l = 15 – 5 = 10 ( )n F C R+ + l = 11 – 5 = 6. 50-(9+5+6) = 30 11-5 41-(10+5+6) = 20 F C = 6= 10 190U 20 114–(9+5+10) = 90 14–5 5 15–5 R = 9 Fig. 1.16 Fig. 1.17
  • 28.
    18 10th Std.Mathematics From the Venn diagram, the number of students who liked any one of the three types of music equals 90 + 9 + 30 + 6 + 20 + 10 + 5 = 170. Number of students surveyed = 190. Number of students who did not like any of the three types = 190 170 20- = . Number of students who liked any two types only = 9 + 6 + 10 = 25. Number of students who liked folk music but not rock music = 30 + 6 = 36. Exercise 1.3 1. If Aand B are two sets and U is the universal set such that 700n U =^ h , 200, 300 100n A n B n A B n A Band , find+ += = = l l^ ^ ^ ^h h h h. 2. Given 285, 195, 500, 410,n A n B n U n A B n A Bfind, ,= = = = l l^ ^ ^ ^ ^h h h h h. 3. For any three sets A, B and C if n A 17=^ h 17, 17, 7n B n C n A B+= = =^ ^ ^h h h ( ) , 5 2n B C n A C n A B C6 and+ + + += = =^ ^h h , find n A B C, ,^ h. 4. Verify n A B C n A n B n C n A B, , += + + - -^ ^ ^ ^ ^h h h h h n B C n A C n A B C+ + + +- +^ ^ ^h h h for the sets given below: (i) {4,5,6}, {5,6,7,8} {6,7,8,9}A B Cand= = = (ii) { , , , , }, { , , } { , , }A a b c d e B x y z C a e xand= = = . 5. Inacollege,60studentsenrolledinchemistry,40inphysics,30inbiology,15inchemistry and physics, 10 in physics and biology, 5 in biology and chemistry. No one enrolled in all the three. Find how many are enrolled in at least one of the subjects. 6. Inatown85%ofthepeoplespeakTamil,40%speakEnglishand20%speakHindi. Also, 32% speak English and Tamil, 13% speak Tamil and Hindi and 10% speak English and Hindi, find the percentage of people who can speak all the three languages. 7. An advertising agency finds that, of its 170 clients, 115 use Television, 110 use Radio and 130 use Magazines. Also, 85 use Television and Magazines, 75 use Television and Radio, 95 use Radio and Magazines, 70 use all the three. Draw Venn diagram to represent these data. Find (i) how many use only Radio? (ii) how many use only Television? (iii) how many use Television and magazine but not radio? 8. In a school of 4000 students, 2000 know French, 3000 know Tamil and 500 know Hindi, 1500 know French and Tamil, 300 know French and Hindi, 200 know Tamil and Hindi and 50 know all the three languages. (i) How many do not know any of the three languages? (ii) How many know at least one language? (iii) How many know only two languages?
  • 29.
    Sets and Functions19 Note 9. In a village of 120 families, 93 families use firewood for cooking, 63 families use kerosene, 45 families use cooking gas, 45 families use firewood and kerosene, 24 families use kerosene and cooking gas, 27 families use cooking gas and firewood. Find how many use firewood, kerosene and cooking gas. 1.7 Relations In the previous section, we have seen the concept of Set. We have also seen how to create new sets from the given sets by taking union, intersection and complementation. Here we shall see yet another way of creating a new set from the given two sets A and B. This new set is important in defining other important concepts of mathematics “relation, function”. Given two non empty sets A and B, we can form a new set A B# , read as‘A cross B’, called the cartesian product of Awith B. It is defined as A B# = ,a b a A b Band; ! !^ h" ,. Similarly, the set B cross A is defined as B A# = ,b a b B a Aand; ! !^ h" ,. (i) The order in the pair ( , )a b is important. That is, ( , ) ( , )a b b a! if a b! . (ii) It is possible that the sets A and B are equal in the cartesian product A B# . Let us look at an example. Suppose that a cell phone store sells three different types of cell phones and we call them C1 , C2 , C3 . Let us also suppose that the price of C1 is ` 1200, price of C2 is ` 2500 and price of C3 is ` 2500. We take A = { C1 , C2 , C3 } and B = { 1200, 2500 }. In this case, A B# ={(C1 , 1200), (C1 , 2500), (C2 , 1200), (C2 , 2500), (C3 , 1200), (C3 ,2500)} but B A# = {(1200, C1 ), (2500, C1 ), (1200, C2 ), (2500, C2 ,),(1200, C3 ), (2500, C3 ). It is easy to see that A B# ! B A# if A ! B. Let us consider a subset F = {(C1 , 1200), (C2 , 2500), (C3 , 2500)} of A B# . Every first component in the above ordered pairs is associated with a unique element. That is no element in the first place is paired with more than one element in the second place. For every element in F, basically the second component indicates the price of the first component. Next, consider a subset E= {(1200, C1 ), (2500, C2 ), (2500, C3 )} of B A# Here, the first component 2500 is associated with two different elements C2 and C3 .
  • 30.
    20 10th Std.Mathematics Peter Dirichlet (1805-1859) Germany Dirichlet made major contributions in the fields of number theory, analysis and mechanics. In 1837 he introduced the modern concept of a function with notation y = f(x). He also formulated the well known Pigeonhole principle. Definition Definition Let A and B be any two non empty sets. A relation R from A to B is a non-empty subset of A B# . That is, R A B#3 . Domain of R = ,x A x y R y Bfor some! ; ! !^ h" , Range of R = ( , )y B x y R x Afor some! ; ! !" ,. 1.8 Functions Let A and B be any two non empty sets. A function from A to B is a relation f A B#3 such that the following hold: (i) Domain of f is A. (ii) For each x ! A, there is only one y B! such that ( , )x y f! . Note that a function from A to B is a special kind of relation that satisfies (i) and (ii). A function is also called as a mapping or a transformation. A function from A to B is denoted by :f A B" , and if ,x y f!^ h , then we write ( )y f x= . We can reformulate the definition of a function without using the idea of relation as follows: In fact, most of the time this formulation is used as a working definition of a function, Let A and B be any two non empty sets. A function f from A to B is a rule of correspondence that assigns each element x A! to a unique element y B! . We denote ( )y f x= to mean y is a function of x. The set A is called the domain of the function and set B is called the co-domain of the function. Also, y is called the image of x under f and x is called a preimage of y. The set of all images of elements of A under f is called the range of f . Note that the range of a function is a subset of its co-domain. This modern definition of a function, given above, was given by Nikolai Labachevsky and Peter Dirichlet independently around 1837. Prior to this, there was no clear definition of a function.
  • 31.
    Sets and Functions21 a b c d x y z A B Fig. 1.18 20 30 40 C D 2 4 3 Fig. 1.19 In the example we considered in section 1.7, prior to the above definitions, the set F = {(C1 , 1200), (C2 , 2500), (C3 , 2500)} represents a function; because F A B#3 is a relation satisfying conditions (i) and (ii) given above. But E = {(1200, C1 ), (2500, C2 ), (2500, C3 )} does not represent a function, because condition (ii) given above is not satisfied as (2500, ), (2500, )C C E2 3 ! . (i) A function f may be thought of as a machine which yields a unique output y for every input value of x. (ii) In defining a function we need a domain, co-domain and a rule that assigns each element of the domain to a unique element in the co-domain. Example 1.14 Let { , , , }A 1 2 3 4= and { , , , , , , , , , , }B 1 2 3 4 5 6 7 9 10 11 12= - . Let R = {(1, 3), (2, 6), (3, 10), (4, 9)} A B#3 be a relation. Show that R is a function and find its domain, co-domain and the range of R. Solution The domain of R = {1, 2, 3, 4}= A. Also, for each x A! there is only one y B! such that ( )y R x= . So, given R is a function. The co-domain is obviously B. Since ( ) , ( ) , ( )R R R1 3 2 6 3 10= = = and ( )R 4 9= , the range of R is given by { , , , }3 6 10 9 . Example 1.15 Does each of the following arrow diagrams represent a function? Explain. (i) (ii) Solution In arrow diagram (i), every element in A has a unique image. Hence it is a function. In arrow diagram (ii), the element 2 in C has two images namely 20 and 40. Hence, it is not a function. Example 1.16 Let X = { 1, 2, 3, 4 }. Examine whether each of the relations given below is a function from X to X or not. Explain. (i) f = { (2, 3), (1, 4), (2, 1), (3, 2), (4, 4) } (ii) g = { (3, 1), (4, 2), (2, 1) } (iii) h = { (2, 1), (3, 4), (1, 4), (4, 3) } ( )f x x2 = Remarks
  • 32.
    22 10th Std.Mathematics Solution (i) Now, f = { (2, 3), (1, 4), (2, 1), (3, 2), (4, 4) } f is not a function because 2 is associated with two different elements 3 and 1. (ii) The relation g = { (3, 1), (4, 2), (2, 1)} is not a function because the element 1 does not have a image. That is, domain of {2, 3, 4}g X!= . (iii) Next, we consider h = { (2, 1), (3, 4), (1, 4), (4, 3) }. Each element in X is associated with a unique element in X. Thus, h is a function. Example 1.17 Which of the following relations are functions from A = { 1, 4, 9, 16 } to B = { –1, 2, –3, –4, 5, 6 }? In case of a function, write down its range. (i) f1 = { (1, –1), (4, 2), (9, –3), (16, –4) } (ii) f2 = { (1, –4), (1, –1), (9, –3), (16, 2) } (iii) f3 = { (4, 2), (1, 2), (9, 2), (16, 2) } (iv) f4 = { (1, 2), (4, 5), (9, –4), (16, 5) } Solution (i) We have f1 = { (1, –1), (4, 2), (9, – 3), (16,– 4) }. Each element in A is associated with a unique element in B. Thus, f1 is a function. Range of f1 is { , , , }1 2 3 4- - - . (ii) Here, we have f2 = { (1, – 4), (1, –1), (9, – 3), (16, 2) }. f2 is not a function because 1 is associated with two different image elements 4- and 1- . Also, note that f2 is not a function since 4 has no image. (iii) Consider f3 = { (4, 2), (1, 2), (9, 2), (16, 2) }. Each element in A is associated with a unique element in B. Thus, f3 is a function. Range of f3 = { 2 }. (iv) We have f4 = { (1, 2), (4, 5), (9, – 4), (16, 5) }. Each element in A is associated with a unique element in B. Hence, f4 is a function. Range of f4 = { 2, 5, – 4}.
  • 33.
    Sets and Functions23 Fig. 1.20 x y O xl | |y x= yl Remarks Example 1.18 Let ifx x x x x 0 0if 1 $ = - ' , where .x Rd Does the relation { ( ,x y) | y = |x|, x R! } define a function? Find its range. Solution For every value of x, there exists a unique value y = |x|. Therefore, the given relation defines a function. The domain of the function is the set R of all real numbers. Since | |x is always either zero or positive for every real number ,x and every positive real number can be obtained as an image under this function, the range will be the set of non-negative real numbers (either positive or zero). The function y = ifx x x x x 0 0if 1 $ = - ' , where x Rd , is known as modulus or absolute value function. Thus, for example, 8 8.8 8 8and also- =- - = =^ h 1.8.1 Representation of functions A function may be represented by (i) a set of ordered pairs, (ii) a table, (iii) an arrow diagram, (iv) a graph Let :f A B" be a function. (i) The set ( , ) : ( ),f x y y f x x Ad= =" ,of all ordered pairs represents the function. (ii) The values of x and the values of their respective images under f can be given in the form of a table. (iii) An arrow diagram indicates the elements of the domain of f and their respective images by means of arrows. (iv) The ordered pairs in the collection ( , ) : ( ),f x y y f x x Ad= =" , are plotted as points in the x-y plane. The graph of f is the totality of all such points. Let us illustrate the representation of functions in different forms through some examples. For many functions we can obtain its graph. But not every graph will represent a function. Following test helps us in determining if the given graph is a function or not. 1.8.2 Vertical line test A graph represents a function only if every vertical line intersects the graph in at most one point. It is possible that some vertical lines may not intersect the graph, which is alright. If there is even one vertical line that meets the graph in more than one point, then that graph cannot represent a function, because in this case, we shall have at least two y-values for the same x-value. For example, the graph of y2 = x is not a function. Note
  • 34.
    24 10th Std.Mathematics 1 2 3 4 50-1 1 2 3 -2 x y P Q Example 1.19 Use the vertical line test to determine which of the following graphs represent a function. (i) (ii) (iii) (iv) Solution (i) The given graph does not represent a function as a vertical line cuts the graph at two points Pand Q. (ii) The given graph represents a function as any vertical line will intersect the graph at most one point P. (iii) The given graph does not represent a function as a vertical line cuts the graph at two points A and B. (iv) The given graph represents a function as the graph satisfies the vertical line test. Example 1.20 Let A= { 0, 1, 2, 3 } and B = { 1, 3, 5, 7, 9 } be two sets. Let :f A B" be a function given by ( )f x x2 1= + . Represent this function as (i) a set of ordered pairs (ii) a table (iii) an arrow diagram and (iv) a graph. Solution A = { 0, 1, 2, 3 }, B = { 1, 3, 5, 7, 9 }, ( )f x x2 1= + f (0) = 2(0) + 1 = 1, f (1) = 2(1)+1 = 3 , f (2) = 2(2) + 1 = 5, f (3) = 2(3) + 1 = 7 1 2 3 4 50-1 1 2 3 -2 x y A B -3 1 2 3 0 -1 1 2 3 -2 x y A -1 -2 yl yl yl yl xl xl xl xl Fig. 1.21 Fig. 1.22 Fig. 1.23 Fig. 1.24 x y 0 P
  • 35.
    Sets and Functions25 (i) Set of ordered pairs The given function f can be represented as a set of ordered pairs as f = { (0, 1), (1, 3), (2, 5), (3, 7) } (ii) Table form Let us represent f using a table as shown below. x 0 1 2 3 ( )f x 1 3 5 7 (iii) Arrow Diagram Let us represent f by an arrow diagram. We draw two closed curves to represent the sets A and B. Here each element of A and its unique image element in B are related with an arrow. (iv) Graph We are given that , ( ) {(0,1), (1, 3), (2, 5), (3, 7)}f x f x x A; != =^ h" , . Now, the points (0, 1), (1, 3), (2, 5) and (3, 7) are plotted on the plane as shown below. The totality of all points represent the graph of the function. 1.8.3 Types of functions Based on some properties of a function, we divide functions into certain types. (i) One-One function Let :f A B" be a function. The function f is called an one-one function if it takes different elements of A into different elements of B. That is, we say f is one-one if u v! in A always imply ( ) ( )f u f v! . In other words f is one-one if no element in B is associated with more than one element in A. A one-one function is also called an injective function. The above figure represents a one-one function. 0 1 2 3 A B 1 3 5 7 9 f A B: ® Fig. 1.25 Fig. 1.26 f 5 6 7 8 7 9 10 8 4 A B Fig. 1.27 1 2 3 4 5 6 1 2 3 4 5 6 7 8 x y (3, 7) (2, 5) (1, 3) (0, 1) 0
  • 36.
    26 10th Std.Mathematics a b c d x y z A Bf x y O y x= Fig. 1.28 10 20 30 40 15 25 35 45 A B Fig. 1.29 x y u v 1 3 5 7 8 10 15 A Bf Fig. 1.30 Fig. 1.31 Note (ii) Onto function A function :f A B" is said to be an onto function if every element in B has a pre-image in A. That is, a function f is onto if for each b B! , there is atleast one element a A! , such that f a b=^ h . This is same as saying that B is the range of f . An onto function is also called a surjective function. In the above figure, f is an onto function. (iii) One-One and onto function A function :f A B" is called a one-one and onto or a bijective function if f is both a one-one and an onto function. Thus :f A B" is one-one and onto if f maps distinct elements of A into distinct images in B and every element in B is an image of some element in A. (i) Afunction :f A B" is onto if and only if B = range of f . (ii) :f A B" is one-one and onto, if and only if f a f a1 2 =^ ^h h implies a a1 2 = in A and every element in B has exactly one pre-image in A. (iii) If :f A B" is a bijective function and if A and B are finite sets, then the cardinalities of A and B are same. In Fig.1.29, the function f is one - one and onto. (iv) If :f A B" is a bijective function, then A and B are equivalent sets (v) A one-one and onto function is also called a one-one correspondence. (iv) Constant function A function :f A B" is said to be a constant function if every element of A has the same image in B. Range of a constant function is a singleton set. Let A = { , , , ,1x y u v }, B = { 3, 5, 7, 8, 10, 15}. The function :f A B" defined by ( )f x 5= for every x A! is a constant function. The given figure represents a constant function. (v) Identity function Let A be a non-empty set.Afunction :f A A" is called an identity function of A if ( )f a a= for all a A! . That is, an identity function maps each element of A into itself. For example, let A R= . The function :f R R$ be defined by ( )f x x= for all x R! is the identity function on R. Fig.1.31 represents the graph of the identity function on R. f
  • 37.
    Sets and Functions27 Remarks Example 1.21 Let A = { 1, 2, 3, 4, 5 }, B = N and :f A B" be defined by ( )f x x 2 = . Find the range of f . Identify the type of function. Solution Now, A = { 1, 2, 3, 4, 5 }; B = { 1, 2, 3, 4, g } Given :f A B" and ( )f x x 2 = (1)f` = 12 = 1 ; ( )f 2 = 4 ; ( )f 3 = 9 ; ( )f 4 = 16 ; ( )f 5 = 25. Range of f = { 1, 4, 9, 16, 25} Since distinct elements are mapped into distinct images, it is a one-one function. However, the function is not onto, since B3 ! but there is no x A! such that ( ) 3.f x x 2 = = However, a function :g R R$ defined by ( )g x x 2 = is not one-one because, if u 1= and v 1=- then u v! but ( ) ( ) ( ) ( )g u g g g v1 1 1= = = - = . So, just formula alone does not make a function one-one or onto. We need to consider the rule, its domain and co-domain in deciding one-to-one and onto. Example 1.22 A function : [1, 6)f R$ is defined as follows , , , f x x x x x x x 1 1 2 2 1 2 4 3 10 4 62 1 1 1 # # # = + - - ^ h * ( Here, [1 , 6) = { x Re : 1# x 1 6} ) Find the value of (i) ( )f 5 (ii) f 3^ h (iii) f 1^ h (iv) f f2 4-^ ^h h (v) 2 3f f5 1-^ ^h h Solution (i) Let us find ( )f 5 . Since 5 lies between 4 and 6, we have to use ( ) 3 10f x x 2 = - . Thus , (5) 3(5 ) 10 65.f 2 = - = (ii) To find ( )f 3 , note that 3 lies between 2 and 4. So, we use ( )f x = x2 1- to calculate ( ).f 3 Thus, (3) ( ) .f 2 3 1 5= - = (iii) Let us find ( )f 1 . Now, 1 is in the interval x1 21# Thus, we have to use ( )f x = 1 + x to obtain ( ) .f 1 1 1 2= + =
  • 38.
    28 10th Std.Mathematics (iv) ( ) ( )f f2 4- Now, 2 is in the interval x2 41# and so, we use ( )f x = x2 1- . Thus, (2) ( )f 2 2 1 3= - = . Also, 4 is in the interval x4 61# . Thus, we use ( )f x = 3 10x 2 - . Therefore, (4) 3(4 ) 10 3(16) 10 48 10f 38 2 = - = - = - = . Hence, f(2) – f(4) = 3 – 38 = – 35. (v) To calculate 2 3f f5 1-^ ^h h, we shall make use of the values that we have already calculated in (i) and (iii). Thus, 2 3f f5 1-^ ^h h ( ) ( ) .2 65 3 2 130 6 124= - = - = Exercise 1.4 1. State whether each of the following arrow diagrams define a function or not. Justify your answer. (i) (ii) 2. For the given function F= { (1, 3), (2, 5), (4, 7), (5, 9), (3, 1) }, write the domain and range. 3. Let A = { 10, 11, 12, 13, 14 }; B = { 0, 1, 2, 3, 5 } and :f A Bi " , i = 1,2,3. State the type of function for the following (give reason): (i) f1 = { (10, 1), (11, 2), (12, 3), (13, 5), (14, 3) } (ii) f2 = { (10, 1), (11, 1), (12, 1), (13, 1), (14, 1) } (iii) f3 = { (10, 0), (11, 1), (12, 2), (13, 3), (14, 5) } 4. If X = { 1, 2, 3, 4, 5 }, Y = { 1, 3, 5, 7, 9 } determine which of the following relations from X to Y are functions? Give reason for your answer. If it is a function, state its type. (i) R1 = { ,x y^ h|y x 2= + , x X! , y Y! } (ii) R2 = { (1, 1), (2, 1), (3, 3), (4, 3), (5, 5) } (iii) R3 = { (1, 1), (1, 3), (3, 5), (3, 7), (5, 7) } (iv) R4 = { (1, 3), (2, 5), (4, 7), (5, 9), (3, 1) } 5. If R {( , 2), ( 5, ), (8, ), ( , 1)}a b c d= - - - represents the identity function, find the values of , ,a b c and d. a b c d x y z P Q f –3 –2 –1 1 1 2 3 L Mf m
  • 39.
    Sets and Functions29 6. A = { –2, –1, 1, 2 } and , :f x x x A1 != ` j$ .. Write down the range of f . Is f a function from A to A ? 7. Let f = { (2, 7), (3, 4), (7, 9), (–1, 6), (0, 2), (5, 3) } be a function from A = { –1, 0, 2, 3, 5, 7 } to B = { 2, 3, 4, 6, 7, 9 }. Is this (i) an one-one function (ii) an onto function (iii) both one-one and onto function? 8. Write the pre-images of 2 and 3 in the function f = { (12, 2), (13, 3), (15, 3), (14, 2), (17, 17) }. 9. The following table represents a function from A= { 5, 6, 8, 10 } to B = { 19, 15, 9, 11 } where f x^ h = x2 1- . Find the values of a and b. x 5 6 8 10 f(x) a 11 b 19 10. Let A= { 5, 6, 7, 8 }; B = { –11, 4, 7, –10,–7, –9,–13 } and f = {( ,x y) : y = x3 2- , x A! , y B! } (i) Write down the elements of f . (ii) What is the co-domain? (iii) What is the range ? (iv) Identify the type of function. 11. State whether the following graphs represent a function. Give reason for your answer. (i) (ii) (iii) (iv) (v) x y O x y O x y O x y O x y O
  • 40.
    30 10th Std.Mathematics 12. Represent the function f = { (–1, 2), (– 3, 1), (–5, 6), (– 4, 3) } as (i) a table (ii) an arrow diagram 13. Let A = { 6, 9, 15, 18, 21 }; B = { 1, 2, 4, 5, 6 } and :f A B" be defined by f x^ h = x 3 3- . Represent f by (i) an arrow diagram (ii) a set of ordered pairs (iii) a table (iv) a graph . 14. Let A = {4, 6, 8, 10 } and B = { 3, 4, 5, 6, 7 }. If :f A B" is defined by f x x 2 1 1= +^ h then represent f by (i) an arrow diagram (ii) a set of ordered pairs and (iii) a table. 15. A function f : ,3 7- h6 " R is defined as follows f x^ h = ; ; ; x x x x x x 4 1 3 2 3 2 2 4 2 3 4 7 2 1 1 1 # # # - - - - * . Find (i) f f5 6+^ ^h h (ii) f f1 3- -^ ^h h (iii) f f2 4- -^ ^h h (iv) ( ) ( ) ( ) ( ) f f f f 2 6 1 3 1 - + - . 16. A function f : ,7 6- h6 " R is defined as follows ( )f x = ; ; ; . x x x x x x x 2 1 7 5 5 5 2 1 2 6 2 1 1 1 # # # + + - - + - - * Find (i) ( ) ( )f f2 4 3 2- + (ii) ( ) ( )f f7 3- - - (iii) ( ) ( ) ( ) ( ) f f f f 6 3 1 4 3 2 4 - - - + . Exercise 1.5 Choose the correct answer 1. For two sets A and B, A B, = A if and only if (A) B A3 (B) A B3 (C) A B! (D) A B+ z= 2. If A B1 , then A B+ is (A) B (B) A B (C) A (D) B A 3. For any two sets Pand Q, P Q+ is (A) :x x P x Qor! !" , (B) :x x P x Qand b!" , (C) :x x P x Qand! !" , (D) :x x P x Qandb !" ,
  • 41.
    Sets and Functions31 4. If A= { p, q, r, s }, B = { r, s, t, u }, then A B is (A) { p, q } (B) { t, u } (C) { r, s } (D) {p, q, r, s } 5. If ( )n p A6 @ = 64, then n A^ h is (A) 6 (B) 8 (C) 4 (D) 5 6. For any three sets A, B and C, A B C+ ,^ h is (A) A B B C, , +^ ^h h (B) A B A C+ , +^ ^h h (C) ( )A B C, + (D) A B B C, + ,^ ^h h 7. For any two sets A Band , {( ) ( )} ( )A B B A A B, + + is (A) z (B) A B, (C) A B+ (D) A B+l l 8. Which one of the following is not true ? (A) A B = A B+ l (B) A B A B+= (C) ( )A B A B B, += l (D) ( ) A B A B B,= 9. For any three sets ,A B and C, B A C,^ h is (A) A B A C+^ ^h h (B) B A B C+^ ^h h (C) B A A C+^ ^h h (D) A B B C+^ ^h h 10. If n(A) = 20 , n(B) = 30 and ( )n A B, = 40, then ( )n A B+ is equal to (A) 50 (B) 10 (C) 40 (D) 70. 11. If { (x, 2), (4, y) } represents an identity function, then ( , )x y is (A) (2, 4) (B) (4, 2) (C) (2, 2) (D) (4, 4) 12. If { (7, 11), (5, a) } represents a constant function, then the value of ‘a’ is (A) 7 (B) 11 (C) 5 (D) 9 13. Given ( )f x = 1 x -^ h is a function from N to Z. Then the range of f is (A) { 1} (B) N (C) { 1, – 1 } (D) Z 14. If f = { (6, 3), (8, 9), (5, 3), (–1, 6) }, then the pre-images of 3 are (A) 5 and –1 (B) 6 and 8 (C) 8 and –1 (D) 6 and 5. 15. Let A = { 1, 3, 4, 7, 11 }, B = {–1, 1, 2, 5, 7, 9 } and :f A B" be given by f = { (1, –1), (3, 2), (4, 1), (7, 5), (11, 9) }. Then f is (A) one-one (B) onto (C) bijective (D) not a function
  • 42.
    32 10th Std.Mathematics 4 2 16 25 2 4 5 C D f 16. The given diagram represents (A) an onto function (B) a constant function (C) an one-one function (D) not a function 17. If A = { 5, 6, 7 }, B = { 1, 2, 3, 4, 5 }and :f A B" is defined by ( )f x x 2= - , then the range of f is (A) { 1, 4, 5 } (B) { 1, 2, 3, 4, 5 } (C) { 2, 3, 4 } (D) { 3, 4, 5 } 18. If ( )f x x 52 = + , then ( )f 4- = (a) 26 (b) 21 (c) 20 (d) –20 19. If the range of a function is a singleton set, then it is (A) a constant function (B) an identity function (C) a bijective function (D) an one-one function 20. If :f A B" is a bijective function and if n(A) = 5 , then n(B) is equal to (A) 10 (B) 4 (C) 5 (D) 25 Sets q A set is a collection of well defined objects.  Set union is commutative and associative.  Set intersection is commutative and associative.  Set difference is not commutative.  Set difference is associative only when the sets are mutually disjoint. q Distributive Laws  A B C A B A C, + , + ,=^ ^ ^h h h  A B C A B A C+ , + , +=^ ^ ^h h h q De Morgan’s Laws for set difference  A B C,^ h = A B A C+^ ^h h  A B C+^ h = A B A C,^ ^h h q De Morgan’s Laws for complementation.  ' ' 'A B A B, +=^ h  ' ' 'A B A B+ ,=^ h q Formulae for the cardinality of union of sets  ( ) ( ) ( ) ( )n A B n A n B n A B, += + -  n A B C, ,^ h = n A n B n C n A B n B C n A C n A B C+ + + + ++ + - - - +^ ^ ^ ^ ^ ^ ^h h h h h h h.
  • 43.
    Sets and Functions33 FUNCTIONS q The cartesian product of Awith B is defined as A B# = ,a b a A b Band; ! !^ h" ,. q A relation R from A to B is a non-empty subset of A B# . That is, R A B#3 . q A function :f X Y" is defined if the following condition hold: Every x X! is associated with only one y Y! . q Every function can be represented by a graph. However, the converse is not true in general. q If every vertical line intersects a graph in at most one point, then the graph represents a function. q A function can be described by  a set of ordered pairs  an arrow diagram  a table and  a graph. q The modulus or absolute value function y = |x| is defined by ifx x x x x 0 0if 1 $ = - ' q Some types of functions:  One-One function ( distinct elements have distinct images) (injective function)  Onto function (the range and the co-domain are equal ) (surjective function)  Bijective function (both one-one and onto)  Constant function (range is a singleton set)  Identity function (which leaves each input as it is) Do you know? The Millennium Prize problems are seven problems in Mathematics that were stated by the Clay Mathematics Institute in USAin 2000.As ofAugust 2010, six of the problems remain unsolved. A correct solution to any of the problems results in a US $1000,000 being awarded by the institute. Only Poincare conjecture has been solved by a Russian Mathematician Girigori Perelman in 2010. However, he declined the Millinnium Prize award. (Here, the word conjecture means a mathematical problem is to be proved or disproved)
  • 44.
    34 10th Std.Mathematics 22 Leonardo Pisano (Fibonacci) (1170-1250) Italy Fibonacci played an important role in reviving ancient mathematics. His name is known to modern mathematicians mainly because of a number sequence named after him, known as the ‘Fibonacci numbers’, which he did not discover but used as an example.  Introduction  Sequences  Arithmetic Progression (A.P.)  Geometric Progression (G.P.)  Series SEQUENCES AND SERIES OF REAL NUMBERS SEQUENCES AND SERIES OF REAL NUMBERS 2.1 Introduction Inthischapter,weshalllearnaboutsequencesandseries of real numbers. Sequences are fundamental mathematical objects with a long history in mathematics. They are tools for the development of other concepts as well as tools for mathematization of real life situations. Let us recall that the letters N and R denote the set of all positive integers and real numbers respectively. Let us consider the following real-life situations. (i) A team of ISRO scientists observes and records the height of a satellite from the sea level at regular intervals over a period of time. (ii) The Railway Ministry wants to find out the number of people using Central railway station in Chennai on a daily basis and so it records the number of people entering the Central Railway station daily for 180 days. (iii) A curious 9th standard student is interested in finding out all the digits that appear in the decimal part of the irrational number 5 = 2.236067978g and writes down as 2, 3, 6, 0, 6, 7, 9, 7, 8, g . (iv) A student interested in finding all positive fractions with numerator 1, writes 1, , , , , 2 1 3 1 4 1 5 1 g . (v) A mathematics teacher writes down the marks of her class according to alphabetical order of the students’ names as 75, 95, 67, 35, 58, 47, 100, 89, 85, 60.. Mathematics is the Queen of Sciences, and arithmetic is the Queen of Mathematics - C.F.Gauss 34
  • 45.
    Sequences and seriesof real numbers 35 Definition (vi) The same teacher writes down the same data in an ascending order as 35, 47, 58, 60, 67, 75, 85, 89, 95, 100. In each of the above examples, some sets of real numbers have been listed in a specific order. Note that in (iii) and (iv) the arrangements have infinite number of terms. In (i), (ii), (v) and (vi) there are only finite number of terms; but in (v) and (vi) the same set of numbers are written in different order. 2.2 Sequences A sequence of real numbers is an arrangement or a list of real numbers in a specific order. (i) If a sequence has only finite number of terms, then it is called a finite sequence. (ii) If a sequence has infinitely many terms, then it is called an infinite sequence. We denote a finite sequence as : , , , ,S a a a an1 2 3 g or { }S aj j n 1 = = and an infinite sequence as : , , , , , { }S a a a a S aorn j j1 2 3 1 g g = 3 = where ak denotes the kth term of the sequence. For example, a1 denotes the first term and a7 denotes the seventh term in the sequence. Note that in the above examples, (i), (ii), (v) and (vi) are finite sequences, whereas (iii) and (iv) are infinite sequences Observe that, when we say that a collection of numbers is listed in a sequence, we mean that the sequence has an identified first member, second member, third member and so on. We have already seen some examples of sequences. Let us consider some more examples below. (i) 2, 4, 6, 8, g, 2010. (finite number of terms) (ii) 1, -1, 1, -1, 1, -1, 1, g . (terms just keep oscillating between 1 and -1) (iii) , , , , .r r r r r (terms are same; such sequences are constant sequences) (iv) 2, 3, 5, 7, 11, 13, 17, 19, 23, g . (list of all prime numbers) (v) 0.3, 0.33, 0.333, 0.3333, 0.33333, g . (infinite number of terms) (vi) S an 1 = 3 " , where an = 1 or 0 according to the outcome head or tail in the nth toss of a coin. From the above examples, (i) and (iii) are finite sequences and the other sequences are infinite sequences. One can easily see that some of them, i.e., (i) to (v) have a definite pattern or rule in the listing and hence we can find out any term in a particular position in
  • 46.
    36 10th Std.Mathematics Remarks the sequence. But in (vi), we cannot predict what a particular term is, however, we know it must be either 1 or 0. Here, we have used the word ‘‘pattern’’ to mean that the nth term of a sequence is found based on the knowledge of its preceding elements in the sequence. In general, sequences can be viewed as functions. 2.2.1 Sequences viewed as functions A finite real sequence , , , ,a a a an1 2 3 g or { }S aj j n 1 = = can be viewed as a function : {1,2,3,4, , }f n R"g defined by , 1,2,3, , .f k a k nk g= =^ h An infinite real sequence , , , , , { }a a a a S aorn j j1 2 3 1 g g = 3 = can be viewed as a function :g N R" defined by ,g k a k Nk 6 !=^ h . The symbol 6 means “for all”. If the general term ak of a sequence ak 1 3 " , is given, we can construct the whole sequence. Thus, a sequence is a function whose domain is the set{ 1, 2, 3, g, }of natural numbers, or some subset of the natural numbers and whose range is a subset of real numbers. A function is not necessarily a sequence. For example, the function :f R R$ given by ( ) ,f x x x2 1 R6 != + is not a sequence since the required listing is not possible. Also, note that the domain of f is not N or a subset { , , , }n1 2 g of N. Example 2.1 Write the first three terms in a sequence whose th term is given by c n n n 6 1 2 1 n = + +^ ^h h , n N6 ! Solution Here, c n n n 6 1 2 1 n = + +^ ^h h , n N6 ! For ,n 1= c1 = 6 1 1 1 2 1 1+ +^ ^^h h h = 1. For ,n 2= c2 = 6 2 2 1 4 1+ +^ ^h h = 6 2 3 5^ ^h h = 5. Finally ,n 3= c3 = 6 3 3 1 7+^ ^h h = 6 3 4 7^ ^ ^h h h = 14. Hence, the first three terms of the sequence are 1, 5, and 14. In the above example, we were given a formula for the general term and were able to find any particular term directly. In the following example, we shall see another way of generating a sequence. Example 2.2 Write the first five terms of each of the following sequences. (i) 1,a1 =- , 1a n a n 2n n 1 2= + - and n N6 ! (ii) 1F F1 2 = = and , 3,4, .F F F nn n n1 2 g= + =- -
  • 47.
    Sequences and seriesof real numbers 37 Remarks Solution (i) Given 1a1 =- and , 1a n a n 2 1 n n 2= + - a2 = a 2 2 1 + = 4 1- a3 = a 3 2 5 4 1 20 12 + = - =- a4 = a 4 2 6 20 1 120 13 + = - =- a5 = a 5 2 7 120 1 840 14 + = - =- ` The required terms of the sequence are 1, , , 4 1 20 1 120 1- - - - and 840 1- . (ii) Given that 1F F1 2 = = and , 3,4,5,F F F nforn n n1 2 g= + =- - . Now, 1, 1F F1 2 = = 1 1 2F F F3 2 1 = + = + = 2 1 3F F F4 3 2 = + = + = 3 2 5F F F5 4 3 = + = + = ` The first five terms of the sequence are 1, 1, 2, 3, 5. The sequence given by 1F F1 2 = = and ,F F Fn n n1 2 = +- - 3,4,n g= is called the Fibonacci sequence. Its terms are listed as 1, 1, 2, 3, 5, 8, 13, 21, 34, g. The Fibonacci sequence occurs in nature, like the arrangement of seeds in a sunflower. The number of spirals in the opposite directions of the seeds in a sunflower are consecutive numbers of the Fibonacci sequence. Exercise 2.1 1. Write the first three terms of the following sequences whose nth terms are given by (i) a n n 3 2 n = -^ h (ii) 3c 1n n n 2 = - + ^ h (iii) z n n 4 1 2 n n = - +^ ^h h 2. Find the indicated terms in each of the sequences whose nth terms are given by (i) ; ,a n n a a 2 3 2 n 7 9 = + + (ii) 2 ; ,a n a a1 1n n n 3 5 8 = - + + ^ ^h h (iii) 2 3 1; ,a n n a a .n 2 5 7= - + (iv) ( 1) (1 ); ,a n n a an n 2 5 8 = - - +
  • 48.
    38 10th Std.Mathematics Definition 3. Find the 18th and 25th terms of the sequence defined by ( ), , . if and even if and odda n n n n n n n n 3 1 2 is is N Nn 2 ! != + + * 4. Find the 13th and 16th terms of the sequence defined by , ( ), . if and even if and odd b n n n n n n n2 is is N Nn 2 ! ! = + ) 5. Find the first five terms of the sequence given by 2, 3a a a1 2 1 = = + and 2 5 2a a nforn n 1 2= +- . 6. Find the first six terms of the sequence given by 1a a a1 2 3 = = = and a a an n n1 2 = +- - for n 32 . 2.3 Arithmetic sequence or Arithmetic Progression (A.P.) In this section we shall see some special types of sequences. A sequence , , , , ,a a a an1 2 3 g g is called an arithmetic sequence if a a dn n1 = ++ , n N! where d is a constant. Here a1 is called the first term and the constant d is called the common difference. An arithmetic sequence is also called an Arithmetic Progression (A.P.). Examples (i) 2, 5, 8, 11, 14, g is an A.P. because a1 = 2 and the common difference d = 3. (ii) -4, -4, -4, -4, g is an A.P. because a1 = -4 and d = 0. (iii) 2, 1.5, 1, 0.5, 0, 0.5, 1.0, 1.5,g- - - is an A.P. because a1 = 2 and d = -0.5. The general form of an A.P. Let us understand the general form of an A.P. Suppose that a is the first term and d is the common difference of an arithmetic sequence { }ak k 1 3 = . Then, we have a a1 = and a a dn n1 = ++ , n N6 ! . For n = 1, 2, 3 we get, ( ) ( ) ( ) ( ) ( ) a a d a d a d a a d a d d a d a d a a d a d d a d a d 2 1 2 3 1 2 3 4 1 2 1 3 2 4 3 = + = + = + - = + = + + = + = + - = + = + + = + = + - Following the pattern, we see that the nth term an as [ ( 2) ] ( 1) .a a d a n d d a n dn n 1 = + = + - + = + --
  • 49.
    Sequences and seriesof real numbers 39 Note Thus , we have ( 1)a a n dn = + - for every n N! . So, a typical arithmetic sequence or A.P. looks like , , 2 , 3 , , ( 1) , ,a a d a d a d a n d a ndg g+ + + + - + Also, the formula for the general term of an Arithmetic sequence is of the form ( 1)t a n dn = + - for every n N! . (i) Remember a sequence may also be a finite sequence. So, if an A.P. has only n terms, then the last term l is given by l a n d1= + -^ h (ii) l a n d1= + -^ h can also be rewritten as 1n d l a= - +` j . This helps us to find the number of terms when the first, the last term and the common difference are given. (iii) Three consecutive terms of an A.P. may be taken as , ,m d m m d- + (iv) Four consecutive terms of anA.P. may be taken as 3 , , , 3m d m d m d m d- - + + with common difference 2d. (v) An A.P. remains an A.P. if each of its terms is added or subtracted by a same constant. (vi) An A.P. remains an A.P. if each of its terms is multiplied or divided by a non-zero constant. Example 2.3 Which of the following sequences are in an A.P.? (i) , , , 3 2 5 4 7 6 g . (ii) , , , .m m m3 1 3 3 3 5 g- - - Solution (i) Let ,t n Nn d be the nth term of the given sequence. ` t1 = , 3 2 ,t t 5 4 7 6 2 3 = = So t t2 1 - = 5 4 3 2- = 15 12 10- = 15 2 t t3 2 - = 7 6 5 4- = 35 30 28- = 35 2 Since t t2 1 - t t3 2 = -Y , the given sequence is not an A.P. (ii) Given , , , .m m m3 1 3 3 3 5 g- - - Here t1 = 3 1, 3 3, 3 5,m t m t m2 3 g- = - = - . ` t t2 1 - = (3 3) (3 1) 2m m- - - =- Also, t t3 2 - = (3 5) (3 3) 2m m- - - =- Hence, the given sequence is an A.P. with first term 3m–1 and the common difference –2.
  • 50.
    40 10th Std.Mathematics Example 2.4 Find the first term and common difference of the A.P. (i) 5, 2, 1, 4,g- - . (ii) , , , , , 2 1 6 5 6 7 2 3 6 17g Solution (i) First term ,a 5= and the common difference d = 2 5- = 3- . (ii) a 2 1= and the common difference d = 6 5 2 1- = 6 5 3- = 3 1 . Example 2.5 Find the smallest positive integer n such that tn of the arithmetic sequence 20,19 ,18 , 4 1 2 1 g is negative.? Solution Here we have ,a 20= d = 19 4 1 20- = 4 3- . We want to find the first positive integer n such that 0tn 1 . This is same as solving ( )a n d1 01+ - for smallest n N! . That is solving 20 0n 1 4 3 1+ - -^ `h j for smallest n N! . Now, n 1 4 3- -^ `h j 201- ( ( 1) 20n 4 3# 2- ( The inequality is reversed on multiplying both sides by 1- ) ` n 1- 20 26 3 4 3 80 3 2#2 = = . This implies 26 1n 3 22 + . That is, 2 .n 7 3 2 27 662 = Thus, the smallest positive integer n N! satisfying the inequality is .n 28= Hence, the 28th term, t28 is the first negative term of the A.P. Example 2.6 In a flower garden, there are 23 rose plants in the first row, 21 in the second row, 19 in the third row and so on. There are 5 rose plants in the last row. How many rows are there in the flower garden? Solution Let n be the number of rows in the flower garden . The number of rose plants in the 1st , 2nd , 3rd , , nth g rows are 23, 21, 19, g, 5 respectively. Now, 2 2, , .fort t k nk k 1 g- =- =- Thus, the sequence 23, 21, 19, g, 5 is in an A.P.
  • 51.
    Sequences and seriesof real numbers 41 We have ,a 23= ,d 2=- and l 5= . ` n = d l a 1- + = 2 5 23 1 - - + = 10. So, there are 10 rows in the flower garden. Example 2.7 If a person joins his work in 2010 with an annual salary of `30,000 and receives an annual increment of `600 every year, in which year, will his annual salary be `39,000? Solution Suppose that the person’s annual salary reaches `39,000 in the nth year. Annual salary of the person in 2010, 2011, 2012, g, [2010 +( )n 1- ] will be `30,000, `30,600, `31,200, g , `39000 respectively. First note that the sequence of salaries form an A.P. To find the required number of terms, let us divide each term of the sequence by a fixed constant 100. Now, we get the new sequence 300, 306, 312, g, 390. Here a = 300, d = 6, l = 390. So, n = d l a 1- + = 1 6 390 300- + = 1 6 90 + = 16 Thus, 16th annual salary of the person will be `39,000. ` His annual salary will reach `39,000 in the year 2025. Example 2.8 Three numbers are in the ratio 2 : 5 : 7. If the first number, the resulting number on the substraction of 7 from the second number and the third number form an arithmetic sequence, then find the numbers. Solution Let the numbers be 2 ,5 7x x xand for some unknown x,(x 0! ) By the given information, we have that 2 , 5 7, 7x x x- are in A.P. ` 2 ( )x x x x5 7 7 5 7- - = - -^ h ( 3 7x x2 7- = + and so x = 14. Thus, the required numbers are 28, 70, 98. Exercise 2.2 1. The first term of an A.P. is 6 and the common difference is 5. Find the A.P. and its general term. 2. Find the common difference and 15th term of the A.P. 125, 120, 115, 110, g. 3. Which term of the arithmetic sequence 24, 23 , 22 , 21 , . 4 1 2 1 4 3 g is 3?
  • 52.
    42 10th Std.Mathematics 4. Find the 12th term of the A.P. , 3 , 5 , .2 2 2 g 5. Find the 17th term of the A.P. 4, 9, 14, g. 6. How many terms are there in the following Arithmetic Progressions? (i) 1, , , , . 6 5 3 2 3 10g- - - (ii) 7, 13, 19, g, 205. 7. If 9th term of an A.P. is zero, prove that its 29th term is double (twice) the 19th term. 8. The 10th and 18th terms of an A.P. are 41 and 73 respectively. Find the 27th term. 9. Find n so that the nth terms of the following two A.P.’s are the same. 1, 7, 13, 19,g and 100, 95, 90, g. 10. How many two digit numbers are divisible by 13? 11. A TV manufacturer has produced 1000 TVs in the seventh year and 1450 TVs in the tenth year. Assuming that the production increases uniformly by a fixed number every year, find the number of TVs produced in the first year and in the 15th year. 12. A man has saved `640 during the first month, `720 in the second month and `800 in the third month. If he continues his savings in this sequence, what will be his savings in the 25th month? 13. The sum of three consecutive terms in an A.P. is 6 and their product is –120. Find the three numbers. 14. Find the three consecutive terms in an A. P. whose sum is 18 and the sum of their squares is 140. 15. If m times the mth term of an A.P. is equal to n times its nth term, then show that the (m+n)th term of the A.P. is zero. 16. A person has deposited `25,000 in an investment which yields 14% simple interest annually. Do these amounts (principal + interest) form an A.P.? If so, determine the amount of investment after 20 years. 17. If a, b, c are in A.P. then prove that ( ) 4( )a c b ac 2 2 - = - . 18. If a, b, c are in A.P. then prove that , , bc ca ab 1 1 1 are also in A.P. 19. If , ,a b c 2 2 2 are in A.P. then show that , , b c c a a b 1 1 1 + + + are also in A.P. 20. If , , ,a b c x y z0 0 0 x y z ! ! != = and b ac 2 = , then show that , , x y z 1 1 1 are in A.P.
  • 53.
    Sequences and seriesof real numbers 43 Definition 2.4 Geometric Sequence or Geometric Progression (G.P.) A sequence , , , , ,a a a an1 2 3 g g is called a geometric sequence if a a rn n1 =+ , n N! , where r is a non-zero constant. Here, a1 is the first term and the constant r is called the common ratio. A geometric sequence is also called a Geometric Progression (G.P.). Let us consider some examples of geometric sequences. (i) 3, 6, 12, 24,g . A sequence an 1 3 " , is a geometric sequence if 0 a a r n n 1 !=+ , n N! . Now, 2 3 6 6 12 12 24 0!= = = . So the given sequence is a geometric sequence. (ii) , , , , 9 1 27 1 81 1 243 1 g- - . Here, we have 0 9 1 27 1 27 1 81 1 81 1 243 1 3 1 ! - = - = - = - . Thus, the given sequence is a geometric sequence. The general form of a G.P. Let us derive the general form of a G.P. Suppose that a is the first term and r is the common ratio of a geometric sequence { }ak k 1 3 = . Then, we have a1 = a and a a r n n 1 =+ for n N! . Thus, an 1+ = r an for n N! . For n = 1, 2, 3 we get, a2 = a r ar ar1 2 1 = = - a3 = ( )a r ar r ar ar2 2 3 1 = = = - a4 = ( )a r ar r ar ar3 2 3 4 1 = = = - Following the pattern, we have an = ( ) .a r ar r arn n n 1 2 1 = =- - - Thus, an = ar n 1- for every n N! , gives nth term of the G.P. So, a typical geometric sequence or G.P. looks like , , , , , , ,a ar ar ar ar ar n n2 3 1 g g - . Thus , the formula for the general term of a geometric sequence is , 1, 2, 3, .nt arn n 1 g== -
  • 54.
    44 10th Std.Mathematics Note Suppose we are given the first few terms of a sequence, how can we determine if the given sequence is a geometric sequence or not? If , t t r n N n n 1 6 !=+ ,where r is a non-zero constant, then tn 1 3 " , is in G.P. (i) If the ratio of any term other than the first term to its preceding term of a sequence is a non-zero constant, then it is a geometric sequence. (ii) A geometric sequence remains a geometric sequence if each term is multiplied or divided by a non zero constant. (iii) Three consecutive terms in a G.P may be taken as , , r a a ar with common ratio r. (iv) Four consecutive terms in a G.P may be taken as , , , . r a r a ar ar3 3 (here, the common ratio is r 2 not r as above) Example 2.9 Which of the following sequences are geometric sequences (i) 5, 10, 15, 20, g . (ii) 0.15, 0.015, 0.0015, g . (iii) , , 3 , 3 , .7 21 7 21 g Solution (i) Considering the ratios of the consecutive terms, we see that 5 10 10 15=Y . Thus, there is no common ratio. Hence it is not a geometric sequence. (ii) We see that . . . . 0 15 0 015 0 015 0 0015 10 1g= = = ­. Since the common ratio is 10 1 , the given sequence is a geometric sequence. (iii) Now, 7 21 21 3 7 3 7 3 21 3g= = = = . Thus, the common ratio is 3 . Therefore, the given sequence is a geometric sequence. Example 2.10 Find the common ratio and the general term of the following geometric sequences. (i) , , , 5 2 25 6 125 18 g . (ii) 0.02, 0.006, 0.0018, g . Solution (i) Given sequence is a geometric sequence. The common ratio is given by r = t t t t 1 2 2 3 g= = . Thus, r = 5 2 25 6 5 3= .
  • 55.
    Sequences and seriesof real numbers 45 The first term of the sequence is 5 2 . So, the general term of the sequence is , 1, 2, 3, .t ar nn n 1 g= = - ( , 1,2,3,t n 5 2 5 3 n n 1 g= = - ` j (ii) The common ratio of the given geometric sequence is . . .r 0 02 0 006 0 3 10 3= = = . The first term of the geometric sequence is 0.02 So, the sequence can be represented by (0.02) , 1,2,3,t n 10 3 n n 1 g= = - ` j Example 2.11 The 4th term of a geometric sequence is 3 2 and the seventh term is 81 16 . Find the geometric sequence. Solution Given that .andt t 3 2 81 16 4 7 = = Using the formula , 1, 2, 3, .t ar nn n 1 g= = - for the general term we have, t4 = .andar t ar 3 2 81 163 7 6 = = = Note that in order to find the geometric sequence, we need to find a and r. By dividing t7 by t4 we obtain, t t 4 7 = ar ar 3 6 = 3 2 81 16 27 8= . Thus, r 3 = 27 8 3 2 3 =` j which implies r 3 2= . Now, t4 = ar 3 2 3 23 ( =` j. ( ( )a 27 8 = 3 2 . ` a = 4 9 . Hence, the required geometric sequence is , , , , , , ,a ar ar ar ar ar n n2 3 1 g g - That is, , , , 4 9 4 9 3 2 4 9 3 2 2 g` `j j . Example 2.12 The number of bacteria in a certain culture doubles every hour. If there were 30 bacteria present in the culture initially, how many bacteria will be present at the end of 14th hour? Solution Note that the number of bacteria present in the culture doubles at the end of successive hours.
  • 56.
    46 10th Std.Mathematics Remarks Number of bacteria present initially in the culture = 30 Number of bacteria present at the end of first hour = ( )2 30 Number of bacteria present at the end of second hour = (2(30)) ( )2 30 22 = Continuing in this way, we see that the number of bacteria present at the end of every hour forms a G.P. with the common ratio r = 2. Thus, if tn denotes the number of bacteria after n hours, 30 (2 )tn n = is the general term of the G.P. Hence, the number of bacteria at the end of 14th hour is given by 30 (2 )t14 14 = . Example 2.13 An amount `500 is deposited in a bank which pays annual interest at the rate of 10% compounded annually. What will be the value of this deposit at the end of 10th year? Solution The principal is `500. So, the interest for this principal for one year is 500 100 10 50=` j . Thus, the principal for the 2nd year = Principal for 1st year + Interest = 500 500 100 10 500 1 100 10+ = +` `j j Now, the interest for the second year = 500 1 100 10 100 10+`` `jj j. So, the principal for the third year = 500 5001 100 10 1 100 10 100 10+ + +` `j j = 500 1 100 10 2 +` j Continuing in this way we see that the principal for the nth year 3 = 500 1 100 10 n 1 + - ` j . The amount at the end of (n–1)th year = Principal for the nth year. Thus, the amount in the account at the end of nth year. = 500 1 100 10 n 1 + - ` j + 500 1 100 10 100 10n 1 + - ` `j j = 500 10 11 n ` j . The amount in the account at the end of 10th year = ` 500 1 100 10 10 +` j = ` 500 10 11 10 ` j . By using the above method, one can derive a formula for finding the total amount for compound interest problems. Derive the formula: (1 )A P i n = + where A is the amount, P is the principal, i r 100 = , r is the annual interest rate and n is the number of years.
  • 57.
    Sequences and seriesof real numbers 47 Example 2.14 The sum of first three terms of a geometric sequence is 12 13 and their product is -1. Find the common ratio and the terms. Solution We may take the first three terms of the geometric sequence as , , r a a ar. Then, r a a ar+ + = 12 13 a r r1 1+ +` j = 12 13 ( a r r r 1 2 + +c m = 12 13 (1) Also, r a a ar` ^ ^j h h = 1- ( a 3 = 1- ` a 1=- Substituting 1a =- in (1) we obtain, r r r1 1 2 - + +^ ch m = 12 13 ( 12 12 12r r 2 + + = r13- 12 25 12r r 2 + + = 0 r r3 4 4 3+ +^ ^h h = 0 Thus, r = 3 4- or 4 3- When r = 3 4- and a = – 1, the terms are 4 3 , –1, 3 4 . When r = 4 3- and a = – 1, we get 3 4 , –1, 4 3 , which is in the reverse order. Example 2.15 If , , ,a b c d are in geometric sequence, then prove that b c c a d b a d2 2 2 2 - + - + - = -^ ^ ^ ^h h h h Solution Given , , ,a b c d are in a geometric sequence. Let r be the common ratio of the given sequence. Here, the first term is a. Thus, , ,b ar c ar d ar 2 3 = = = Now, b c c a d b2 2 2 - + - + -^ ^ ^h h h = ar ar ar a ar ar 2 2 2 2 3 2 - + - + -^ ^ ^h h h = a r r r r r1 2 2 2 2 2 3 2 - + - + -^ ^ ^h h h6 @ = a r r r r r r r r2 2 1 2 2 2 3 4 4 2 6 4 2 - + + - + + - +6 @ = a r r2 1 2 6 3 - +6 @ = a r 1 2 3 2 -6 @ = ar a a ar 3 2 3 2 - = -^ ^h h = ( )a d 2 -
  • 58.
    48 10th Std.Mathematics Exercise 2.3 1. Find out which of the following sequences are geometric sequences. For those geometric sequences, find the common ratio. (i) 0.12, 0.24, 0.48,g. (ii) 0.004, 0.02, 0.1,g. (iii) , , , , 2 1 3 1 9 2 27 4 g. (iv) 12, 1, , 12 1 g. (v) , , ,2 2 1 2 2 1 g. (vi) 4, 2, 1, , 2 1 g- - - . 2. Find the 10th term and common ratio of the geometric sequence , ,1, 2, 4 1 2 1 g- - . 3. If the 4th and 7th terms of a G.P. are 54 and 1458 respectively, find the G.P. 4. In a geometric sequence, the first term is 3 1 and the sixth term is 729 1 , find the G.P. 5. Which term of the geometric sequence, (i) 5, 2, , , 5 4 25 8 g , is 15625 128 ? (ii) 1, 2, 4, 8,g, is 1024 ? 6. If the geometric sequences 162, 54, 18,g. and , , , 81 2 27 2 9 2 g have their nth term equal, find the value of n. 7. The fifth term of a G.P. is 1875. If the first term is 3, find the common ratio. 8. The sum of three terms of a geometric sequence is 10 39 and their product is 1. Find the common ratio and the terms. 9. If the product of three consecutive terms in G.P. is 216 and sum of their products in pairs is 156, find them. 10. Find the first three consecutive terms in G.P. whose sum is 7 and the sum of their reciprocals is 4 7 11. The sum of the first three terms of a G.P. is 13 and sum of their squares is 91. Determine the G.P. 12. If `1000 is deposited in a bank which pays annual interest at the rate of 5% compounded annually, find the maturity amount at the end of 12 years . 13. A company purchases an office copier machine for `50,000. It is estimated that the copier depreciates in its value at a rate of 15% per year. What will be the value of the copier after 15 years? 14. If , , ,a b c d are in a geometric sequence, then show that .a b c b c d ab bc cd- + + + = + +^ ^h h 15. If , , ,a b c d are in a G.P., then prove that , , ,a b b c c d+ + + are also in G.P.
  • 59.
    Sequences and seriesof real numbers 49 Definition 2.5 Series Let us consider the following problem: A person joined a job on January 1, 1990 at an annual salary of `25,000 and received an annual increment of `500 each year. What is the total salary he has received upto January 1, 2010? First of all note that his annual salary forms an arithmetic sequence 25000, 25500, 26000, 26500, , (25000 19(500))g + . To answer the above question, we need to add all of his twenty years salary. That is, 25000 25 00 26 00 2 00 (25000 19( 00))5 0 65 5g+ + + + + + . So, we need to develop an idea of summing terms of a sequence. An expression of addition of terms of a sequence is called a series. If a series consists only a finite number of terms, it is called a finite series. If a series consists of infinite number of terms of a sequence, it is called an infinite series. Consider a sequence S an n 1 = 3 =" , of real numbers. For each n N! we define the partial sums by , ,S a a an n1 2 g= + + + 1,2,3,n g= . Then { }Sn n 1 3 = is the sequence of partial sums of the given sequence an n 1 3 =" , . The ordered pair ,a Sn n n n1 1 3 3 = =^ h" ", , is called an infinite series of terms of the sequence an 1 3 " , . The infinite series is denoted by a a a1 2 3 g+ + + , or simply an n 1 3 = / where the symbol / stands for summation and is pronounced as sigma. Well, we can easily understand finite series (adding finite number of terms). It is impossible to add all the terms of an infinite sequence by the ordinary addition, since one could never complete the task. How can we understand (or assign a meaning to) adding infinitely many terms of a sequence? We will learn about this in higher classes in mathematics. For now we shall focus mostly on finite series. In this section , we shall study Arithmetic series and Geometric series. 2.5.1 Arithmetic series An arithmetic series is a series whose terms form an arithmetic sequence. Sum of first n terms of an arithmetic sequence Consider an arithmetic sequence with first term a and common difference d given by , , 2 , ..., ,a a d a d a n d1 g+ + + -^ h . Let Sn be the sum of first n terms of the arithmetic sequence.
  • 60.
    50 10th Std.Mathematics Carl Fredrick Gauss (1777 – 1855) Remarks Thus, ( ) ( 2 ) ( ( 1) )S a a d a d a n dn g= + + + + + + - ( ( ) ) ( ( ) ) S na d d d n d na d n 2 3 1 1 2 3 1 n ( g g = + + + + + - = + + + + + - So, we can simplify this formula if we can find the sum ( )n1 2 1g+ + + - . This is nothing but the sum of the arithmetic sequence , , , , ( ).n1 2 3 1g - So, first we find the sum ( )n1 2 1g+ + + - below. Now, let us find the sum of the first n positive integers. Let 1 2 3 ( 2) ( 1)S n n nn g= + + + + - + - + . (1) We shall use a small trick to find the above sum. Note that we can write Sn also as ( 1) ( 2) 3 2 1S n n nn g= + - + - + + + + . (2) Adding (1) and (2) we obtain, 2 ( 1) ( 1) ( 1) ( 1).S n n n nn g= + + + + + + + + (3) Now, how many ( )n 1+ are there on the right hand side of (3)? There are n terms in each of (1) and (2). We merely added corresponding terms from (1) and (2). Thus, there must be exactly n such ( )n 1+ ’s. Therefore, (3) simplifies to 2 ( 1)S n nn = + . Hence, the sum of the first n positive integers is given by ( ) . 1 2 3 ( ) S n n n n n 2 1 2 1 So,n g= + + + + + = + . (4) This is a useful formula in finding the sums. The above method was first used by the famous German mathematician Carl Fredrick Gauss, known as Prince of Mathematics, to find the sum of positive integers upto 100. This problem was given to him by his school teacher when he was just five years old. When you go to higher studies in mathematics, you will learn other methods to arrive at the above formula. Now, let us go back to summing first n terms of a general arithmetic sequence. We have already seen that [ ( ) ] [ ( )] ( ) ( )4 S na d d d n d na d n na d n n 2 3 1 1 2 3 1 2 1 using n g g = + + + + + - = + + + + + - = + - = [ ( ) ]n a n d 2 2 1+ - (5)
  • 61.
    Sequences and seriesof real numbers 51 Hence, we have Sn = [ ( ( ) )]n a a n d 2 1+ + - = n 2 (first term + last term) = ( )n a l 2 + . The sum Sn of the first n terms of an arithmetic sequence with first term a is given by (i) Sn = [2 ( 1) ]n a n d 2 + - if the common difference d is given. (ii) Sn = ( )n a l 2 + , if the last term l is given. Example 2.16 Find the sum of the arithmetic series 5 11 17 95g+ + + + . Solution Given that the series 5 11 17 95g+ + + + is an arithmetic series. Note that a = 5, d = 11 5 6- = , l = 95. Now, n = 1 d l a- + = 1 . 6 95 5 6 90 1 16- + = + = Hence, the sum Sn = n l a 2 +6 @ S16 = ( ) . 2 16 95 5 8 100 800+ = =6 @ Example 2.17 Find the sum of the first 2n terms of the following series. 1 2 3 4 ... 2 2 2 2 - + - + . Solution We want to find 1 2 3 4 2 2 2 2 g- + - + to n2 terms = 1 4 9 16 25 g- + - + - to n2 terms = 1 4 9 16 25 36 g- + - + - +^ ^ ^h h h to n terms. (after grouping) = 3 7 11 g- + - + - +^ ^h h n terms Now, the above series is in an A.P. with first term 3a =- and common difference d 4=- Therefore, the required sum = n a n d 2 2 1+ -^ h6 @ = n n 2 2 3 1 4- + - -^ ^ ^h h h6 @ = n n 2 6 4 4- - +6 @ = n n 2 4 2- -6 @ = n n 2 2 2 1- +^ h = n n2 1- +^ h.
  • 62.
    52 10th Std.Mathematics Example 2.18 In an arithmetic series, the sum of first 14 terms is 203- and the sum of the next 11 terms is –572. Find the arithmetic series. Solution Given that S14 = 203- ( a d 2 14 2 13+6 @ = 203- ( a d7 2 13+6 @ = 203- ( a d2 13+ = 29- . (1) Also, the sum of the next 11 terms = 572- . Now, S25 = ( 572)S14 + - That is, S25 = 203 572- - = 775- . ( a d 2 25 2 24+6 @ = 775- ( a d2 24+ = 31 2#- ( a d12+ = 31- (2) Solving (1) and (2) we get, 5a = and d 3=- . Thus, the required arithmetic series is 5 5 3 5 2 3 g+ - + + - +^ ^^h hh . That is, the series is 5 2 1 4 7 g+ - - - - . Example 2.19 How many terms of the arithmetic series 24 21 18 15 g+ + + + , be taken continuously so that their sum is – 351. Solution In the given arithmetic series, ,a 24= d 3=- . Let us find n such that Sn = – 351 Now, Sn = n a n d 2 2 1+ -^ h6 @ = 351- That is, n n 2 2 24 1 3+ - -^ ^ ^h h h6 @ = 351- ( n n 2 48 3 3- +6 @ = 351- ( n n51 3-^ h = 702- ( 17 234n n 2 - - = 0 n n26 9- +^ ^h h = 0 ` 26n = or 9n =- Here n, being the number of terms needed, cannot be negative. Thus, 26 terms are needed to get the sum 351- .
  • 63.
    Sequences and seriesof real numbers 53 Example 2.20 Find the sum of all 3 digit natural numbers, which are divisible by 8. Solution The three digit natural numbers divisible by 8 are 104, 112, 120, g, 992. Let Sn denote their sum. That is, Sn = 104 112 120 128 , 992g+ + + + + . Now, the sequence 104, 112, 120, g, 992 forms an A.P. Here, ,a 104= 8d = and .l 992= ` n = d l a 1- + = 8 992 104 1- + = 1 . 8 888 112+ = Thus, S112 = n a l 2 +6 @ 2 112 104 992= +6 @ = 56(1096) 61376= . Hence, the sum of all three digit numbers, which are divisible by 8 is equal to 61376. Example 2.21 The measures of the interior angles taken in order of a polygon form an arithmetic sequence. The least measurement in the sequence is 85c. The greatest measurement is 215c. Find the number of sides in the given polygon. Solution Let n denote the number of sides of the polygon. Now, the measures of interior angles form an arithmetic sequence. Let the sum of the interior angles of the polygon be Sn = a a d a d2 g+ + + + +^ ^h h l+ , where a = 85 and l = 215. We have, Sn = n l a 2 +6 @ (1) We know that the sum of the interior angles of a polygon is (n 2- ) 180 0 # . Thus, Sn = n 2 180#-^ h From (1), we have n l a 2 +6 @ = n 2 180#-^ h ( n 2 215 85+6 @ = n 2 180#-^ h n150 = n180 2-^ h ( n = 12.. Hence, the number of sides of the polygon is 12. Exercise 2.4 1. Find the sum of the first (i) 75 positive integers (ii) 125 natural numbers. 2. Find the sum of the first 30 terms of an A.P. whose nth term is n3 2+ . 3. Find the sum of each arithmetic series (i) 38 35 32 2g+ + + + . (ii) 6 5 4 25 4 1 2 1 g+ + + terms.
  • 64.
    54 10th Std.Mathematics 4. Find the Sn for the following arithmetic series described. (i) ,a 5= ,n 30= l 121= (ii) ,a 50= ,n 25= d 4=- 5. Find the sum of the first 40 terms of the series 1 2 3 4 2 2 2 2 g- + - + . 6. In an arithmetic series, the sum of first 11 terms is 44 and that of the next 11 terms is 55. Find the arithmetic series. 7. In the arithmetic sequence 60, 56, 52, 48,g , starting from the first term, how many terms are needed so that their sum is 368? 8. Find the sum of all 3 digit natural numbers, which are divisible by 9. 9. Find the sum of first 20 terms of the arithmetic series in which 3rd term is 7 and 7th term is 2 more than three times its 3rd term. 10. Find the sum of all natural numbers between 300 and 500 which are divisible by 11. 11. Solve: 1 6 11 16 148xg+ + + + + = . 12. Find the sum of all numbers between 100 and 200 which are not divisible by 5. 13. A construction company will be penalised each day for delay in construction of a bridge. The penalty will be `4000 for the first day and will increase by `1000 for each following day. Based on its budget, the company can afford to pay a maximum of `1,65,000 towards penalty. Find the maximum number of days by which the completion of work can be delayed 14. A sum of `1000 is deposited every year at 8% simple interest. Calculate the interest at the end of each year. Do these interest amounts form an A.P.? If so, find the total interest at the end of 30 years. 15. The sum of first n terms of a certain series is given as 3 2 .n n 2 - Show that the series is an arithmetic series. 16. If a clock strikes once at 1 o’clock, twice at 2 o’clock and so on, how many times will it strike in a day? 17. Show that the sum of an arithmetic series whose first term is a, second term b and the last term is c is equal to b a a c b c a 2 2 - + + - ^ ^ ^ h h h . 18. If there are n2 1+^ h terms in an arithmetic series, then prove that the ratio of the sum of odd terms to the sum of even terms is :n n1+^ h . 19. The ratio of the sums of first m and first n terms of an arithmetic series is :m n 2 2 show that the ratio of the mth and nth terms is :m n2 1 2 1- -^ ^h h
  • 65.
    Sequences and seriesof real numbers 55 Remarks 20. A gardener plans to construct a trapezoidal shaped structure in his garden. The longer side of trapezoid needs to start with a row of 97 bricks. Each row must be decreased by 2 bricks on each end and the construction should stop at 25th row. How many bricks does he need to buy? 2.5.2 Geometric series A series is a geometric series if the terms of the series form a geometric sequence. Let , , , , , ,a ar ar ar ar n n2 1 g g - be a geometric sequence where r 0=Y is the common ratio. We want to find the sum of the first n terms of this sequence. Let S a ar ar arn n2 1 g= + + + + - (1) If r 1= , then from (1) it follows that S nan = . For r 1! , using (1) we have ( )rS r a ar ar ar ar ar ar arn n n2 1 2 3 g g= + + + + = + + + + - . (2) Now subtracting (2) from (1), we get S rSn n - = ( )a ar ar ar n2 1 g+ + + + - ( )ar ar ar n2 g- + + + ( S r1n -^ h = a r1 n -^ h Hence, we have Sn = r a r 1 1 n - -^ h , since r 1! . The sum of the first n terms of a geometric series is given by ( ) ( ) , . S r a r r a r r na r 1 1 1 1 1 1 if if n n n != - - = - - = * where a is the first term and r is the common ratio. Actually, if 1 1r1 1- , then the following formula holds: a ar ar ar r a 1 n2 g g+ + + + + = - . Note that the sum of infinite number of positive numbers may give a finite value. Example 2.22 Find the sum of the first 25 terms of the geometric series 16 48 144 432 g- + - + . Solution Here, ,a 16= 3 1.r 16 48 != - = - Now, , 1S r a r r 1 1 n n != - -^ h . So, we have S25 = 1 3 16 1 3 25 - - - - ^ ^^ h h h = 4 16 1 3 25 +^ h 4 .1 3 25 = +^ h
  • 66.
    56 10th Std.Mathematics Example 2.23 Find Sn for each of the geometric series described below: (i) ,a 2= t6 = 486, n = 6 (ii) a = 2400, r = – 3, n = 5 Solution (i) Here ,a 2= 486,t6 = n 6= Now 2( )t r6 5 = = 486 ( r 5 = 243 ` r = 3. Now, Sn = 1 r a r r 1 1 if n ! - -^ h Thus, S6 = 3 1 2 3 1 6 - -^ h = 3 1 728 6 - = . (ii) Here ,a 2400= ,r 3=- n 5= Thus, S5 = 1 r a r r 1 1 if 5 - - =Y ^ h = 3 1 2400 3 15 - - - - ^ ^ h h6 @ Hence, S5 = 4 2400 1 3 5 +^ h = 600 1 243+^ h = 146400. Example 2.24 In the geometric series 2 4 8 g+ + + , starting from the first term how many consecutive terms are needed to yield the sum 1022? Solution Given the geometric series is 2 + 4 + 8 + g. Let n be the number of terms required to get the sum. Here ,a 2= ,r 2= 1022Sn = . To find n, let us consider Sn = 1 r a r r 1 1 if n - - =Y 6 @ = 2 2 1 2 1 n - -^ h; E = 2 2 1 n -^ h. But Sn = 1022 and hence 2 2 1 n -^ h = 1022 ( 2 1 n - = 511 ( 2 n = 512 = 2 9 . Thus, n = 9. Example 2.25 The first term of a geometric series is 375 and the fourth term is 192. Find the common ratio and the sum of the first 14 terms.
  • 67.
    Sequences and seriesof real numbers 57 Note Solution Let a be the first term and r be the common ratio of the given G.P. Given that ,a 375= 192t4 = . Now, tn = ar n 1- ` t4 = 375 r 3 ( 375 r 3 = 192 r 3 = 375 192 ( r 3 = 125 64 r 3 = 5 4 3 ` j ( r = 5 4 , which is the required common ratio. Now, Sn = 1a r r r 1 1 if n - - =Y; E Thus, S14 = ( 1) 5 375 5 4 1 375 5 4 1 5 4 1 14 14 # # - - = - - ` ` j j 8 8 B B = 375 5 1 5 4 14 -^ ^ `h h j8 B = 1875 1 5 4 14 -` j8 B. In the above example, one can use Sn = 1a r r r 1 1 if n - - =Y; E instead of Sn = 1a r r r 1 1 if n - - =Y; E . Example 2.26 A geometric series consists of four terms and has a positive common ratio. The sum of the first two terms is 8 and the sum of the last two terms is 72. Find the series. Solution Let the sum of the four terms of the geometric series be a ar ar ar 2 3 + + + and r 02 Given that 8a ar+ = and 72ar ar 2 3 + = Now, ar ar 2 3 + = ( )r a ar 2 + = 72 ( (8)r 2 = 72 ` r = 3! Since r > 0, we have r = 3. Now, a + ar = 8 ( a = 2 Thus, the geometric series is 2 6 18 54+ + + . Example 2.27 Find the sum to n terms of the series 6 + 66 + 666 +g Solution Note that the given series is not a geometric series. We need to find Sn = 6 66 666 nto termsg+ + + Sn = 6( )n1 11 111 to termsg+ + + = n 9 6 9 99 999 to termsg+ + +^ h (Multiply and divide by 9) = n 3 2 10 1 100 1 1000 1 to termsg- + - + - +^ ^ ^h h h6 @ = [(10 10 10 ) ]n n 3 2 terms 2 3 g+ + + - Thus, Sn = ( ) n 3 2 9 10 10 1 n - -; E.
  • 68.
    58 10th Std.Mathematics Example 2.28 An organisation plans to plant saplings in 25 streets in a town in such a way that one sapling for the first street, two for the second, four for the third, eight for the fourth street and so on. How many saplings are needed to complete the work? Solution The number of saplings to be planted for each of the 25 streets in the town forms a G.P. Let Sn be the total number of saplings needed. Then, Sn = 1 2 4 8 16 .25to termsg+ + + + + Here, ,a 1= ,r 2= n 25= Sn = a r r 1 1 n - -; E S25 = (1) 2 1 2 1 25 - -6 @ = 2 1 25 - Thus, the number of saplings to be needed is 2 1 25 - . Exercise 2.5 1. Find the sum of the first 20 terms of the geometric series 2 5 6 5 18 5 g+ + + . 2. Find the sum of the first 27 terms of the geometric series 9 1 27 1 81 1 g+ + + . 3. Find Sn for each of the geometric series described below. (i) ,a 3= 384,t8 = n 8= . (ii) ,a 5= r 3= , n 12= . 4. Find the sum of the following finite series (i) 1 0.1 0.01 0.001 .0 1 9 g+ + + + +^ h (ii) 1 11 111 g+ + + to 20 terms. 5. How many consecutive terms starting from the first term of the series (i) 3 9 27 g+ + + would sum to 1092? (ii) 2 6 18 g+ + + would sum to 728 ? 6. The second term of a geometric series is 3 and the common ratio is . 5 4 Find the sum of first 23 consecutive terms in the given geometric series. 7. A geometric series consists of four terms and has a positive common ratio. The sum of the first two terms is 9 and sum of the last two terms is 36. Find the series. 8. Find the sum of first n terms of the series (i) 7 77 777 g+ + + . (ii) 0.4 0.94 0.994 g+ + + . 9. Suppose that five people are ill during the first week of an epidemic and each sick person spreads the contagious disease to four other people by the end of the second week and so on. By the end of 15th week, how many people will be affected by the epidemic?
  • 69.
    Sequences and seriesof real numbers 59 Remarks 10. A gardener wanted to reward a boy for his good deeds by giving some mangoes. He gave the boy two choices. He could either have 1000 mangoes at once or he could get 1 mango on the first day, 2 on the second day, 4 on the third day, 8 mangoes on the fourth day and so on for ten days. Which option should the boy choose to get the maximum number of mangoes? 11. A geometric series consists of even number of terms. The sum of all terms is 3 times the sum of odd terms. Find the common ratio. 12. If ,S S Sand1 2 3 are the sum of first n, 2n and 3n terms of a geometric series respectively, then prove that S S S S S1 3 2 2 1 2 - = -^ ^h h . The sum of the first n terms of a geometric series with a 1= and common ratio 1,x ! is given by 1 x x x n2 1 g+ + + + - = , 1. x x x 1 1 n - - =Y Note that the left hand side of the above equation is a special polynomial in x of degree n 1- . This formula will be useful in finding the sum of some series. 2.5.3 Special series ,k k k n k n 1 2 1= = / / and k k n 3 1= / We have already used the symbol R for summation. Let us list out some examples of finite series represented by sigma notation. Sl. No. Notation Expansion 1. k k n 1= / or j j n 1= / 1 2 3 ng+ + + + 2. ( )n 1 n 2 6 - = / 1 2 3 4 5+ + + + 3. ( )d 5 d 0 5 + = / 5 6 7 8 9 10+ + + + + 4. k k n 2 1= / 1 2 3 n 2 2 3 2 g+ + + + 5. 33 1 k k1 10 1 10 = = = / / 3 1 1 10 30.termsg+ + =6 @ We have derived that n n n 1 2 3 2 1 g+ + + + = +^ h . This can also be obtained using A.P. with a =1 , d = 1 and l = n as ( ) (1 )S n a l n n 2 2n = + = + .
  • 70.
    60 10th Std.Mathematics Remarks Hence, using sigma notation we write it as ( ) k n n 2 1 k n 1 = + = / . Let us derive the formulae for (i) k2 1 k n 1 - = ^ h/ , (ii) k k n 2 1= / and (iii) k k n 3 1= / . Proof: (i) Let us find 1 3 5k n2 1 2 1 k n 1 g- = + + + + - = ^ ^h h/ . This is an A.P. consisting of n terms with ,a 1= ,d 2= .l n2 1= -^ h ` Sn = (1 2 1)n n n 2 2 + - = (Sn = ( )n a l 2 + ) Thus, k n2 1 k n 1 2 - = = ^ h/ (1) 1. The formula (1) can also be obtained by the following method ( )k2 1 k n 1 - = / = k2 1 k n k n 1 1 - = = / / = 2 k n k n 1 - = c m/ = ( )( )n n n 2 2 1+ - = n 2 . 2. From (1), 1 + 3 + 5 + g + l = l 2 1 2 +` j , since l = 2n – 1 1n l 2 ( = + . (ii) We know that a b a b a ab b 3 3 2 2 - = - + +^ ^h h. ` k k 1 3 3 - -^ h = k k k k1 1 2 2 + - + -^ ^h h ( take a = k and b = k – 1) ( k k 1 3 3 - -^ h = 3 3 1k k 2 - + (2) When ,k 1= 1 0 3 3 - = 3 3 11 12 - +^ ^h h When ,k 2= 2 1 3 3 - = 3 3 12 22 - +^ ^h h When ,k 3= 3 2 3 3 - = 3 3 13 32 - +^ ^h h . Continuing this, we have when ,k n= n n 1 3 3 - -^ h = 3 3 1n n2 - +^ ^h h . Adding the above equations corresponding to , , ,k n1 2 g= column-wise, we obtain n 3 = 3 3n n n1 2 1 2 2 2 2 g g+ + + - + + + +6 6@ @ Thus, 3 n1 2 2 2 2 g+ + +6 @ = 3n n n1 2 3 g+ + + + -6 @ 3 k k n 2 1= ; E/ = n n n n 2 3 13 + + - ^ h Hence, k k n 2 1= / = n n n 6 1 2 1+ +^ ^h h . (3)
  • 71.
    Sequences and seriesof real numbers 61 (iii) 1 2k n k n 3 1 3 3 3 g= + + = / Let us observe the following pattern. 1 3 = 1 = 1 2 ^ h 1 2 3 3 + = 9 = 1 2 2 +^ h 1 2 3 3 3 3 + + = 36 = 1 2 3 2 + +^ h 1 2 3 4 3 3 3 3 + + + = 100 = 1 2 3 4 2 + + +^ h . Extending this pattern to n terms, we get 1 2 3 n 3 3 3 3 g+ + + + = n1 2 3 2 g+ + + +6 @ = n n 2 1 2 +^ h ; E Thus, k k n 3 1= / = k n n 2 1 k n 1 2 2 = + = c ^ m h ; E/ . (4) (i) The sum of the first n natural numbers, ( ) k n n 2 1 k n 1 = + = / . (ii) The sum of the first n odd natural numbers, k n2 1 k n 1 2 - = = ^ h/ . (iii) The sum of first n odd natural numbers (when the last term l is given) is 1 + 3 + 5 + g + l = l 2 1 2 +` j . (iv) The sum of squares of first n natural numbers, k k n 2 1= / = n n n 6 1 2 1+ +^ ^h h . (v) The sum of cubes of the first n natural numbers, k k n 3 1= / = n n 2 1 2 +^ h ; E . Example 2.29 Find the sum of the following series (i) 26 27 28 60g+ + + + (ii) 1 3 5 25tog+ + + terms (iii) 31 33 53.g+ + + Solution (i) We have 26 27 28 60g+ + + + = 1 2 3 60 1 2 3 25g g+ + + + - + + + +^ ^h h = n n 1 60 1 25 -/ / = 2 60 60 1 2 25 25 1+ - +^ ^h h = (30 61) (25 13)# #- = 1830 325- = 1505.
  • 72.
    62 10th Std.Mathematics (ii) Here, n 25= ` 1 3 5 25to termsg+ + + = 25 2 ( ( )k n2 1 k n 1 2 - = = / ) = 625. (iii) 31 33 53g+ + + = 1 3 5 53g+ + + +^ h 1 3 5 29g- + + + +^ h = 2 53 1 2 29 12 2 + - +` `j j ( 1 + 3 + 5 + g + l = l 2 1 2 +` j ) = 27 15 2 2 - = 504. Example 2.30 Find the sum of the following series (i) 1 2 3 25 2 2 2 2 g+ + + + (ii) 12 13 14 35 2 2 2 2 g+ + + + (iii) 1 3 5 51 2 2 2 2 g+ + + + . Solution (i) Now, 1 2 3 25 n 2 2 2 2 2 1 25 g+ + + + = / = 6 25 25 1 50 1+ +^ ^h h ( k k n 2 1= / = n n n 6 1 2 1+ +^ ^h h ) = 6 25 26 51^ ^ ^h h h ` 1 2 3 25 2 2 2 2 g+ + + + = 5525. (ii) Now, 12 13 14 35 2 2 2 2 g+ + + + = 1 2 3 35 2 2 2 2 g+ + + +^ h 1 2 3 11 2 2 2 2 g- + + + +^ h = n n 2 2 1 11 1 35 -// = 6 35 35 1 70 1 6 11 12 23+ + - ^ ^ ^ ^h h h h = 6 35 36 71 6 11 12 23 - ^ ^ ^ ^ ^ ^h h h h h h = 14910 506- = 14404. (iii) Now, 1 3 5 51 2 2 2 2 g+ + + + = 1 2 3 51 2 4 6 50 2 2 2 2 2 2 2 2 g g+ + + + - + + +^ ^h h = 2n 1 2 3 25 2 1 51 2 2 2 2 2 g- + + + +6 @/
  • 73.
    Sequences and seriesof real numbers 63 = 4n n 2 1 51 2 1 25 -/ / = 4 6 51 51 1 102 1 6 25 25 1 50 1 # + + - + +^ ^ ^ ^h h h h = 4 6 51 52 103 6 25 26 51 #- ^ ^ ^ ^ ^h h h h h = 4 221005526 - = 23426. Example 2.31 Find the sum of the series. (i) 1 2 3 20 3 3 3 3 g+ + + + (ii) 11 12 13 28 3 3 3 3 g+ + + + Solution (i) 1 2 3 20 n 3 3 3 3 3 1 20 g+ + + = / = 2 20 20 1 2 +^ c h m using k k n 3 1= / = n n 2 1 2 +^ h ; E . = 2 20 21 2 #` j = 210 2 ^ h = 44100. (ii) Next we consider 11 12 28 3 3 3 g+ + + = 1 2 3 28 1 2 10 3 3 3 3 3 3 3 g g+ + + + - + + +^ ^h h = n n 3 1 28 3 1 10 -/ / = 2 28 28 1 2 10 10 12 2 + - +^ ^h h ; ;E E = 406 55 (4 6 )( )0 55 406 55 2 2 - = + - = (461)(351) = 161811. Example 2.32 Find the value of k, if 1 2 3 k 3 3 3 3 g+ + + + = 4356 Solution Note that k is a positive integer. Given that 1 2 3 k 3 3 3 3 g+ + + + = 4356 ( k k 2 1 2 +^ c h m = 4356 =6 6 11 11# # # Taking square root, we get k k 2 1+^ h = 66 ( 132k k 2 + - = 0 ( k k12 11+ -^ ^h h = 0 Thus, k 11= , since k is positive.
  • 74.
    64 10th Std.Mathematics Example 2.33 (i) If 1 2 3 120ng+ + + + = , find 1 2 3 n 3 3 3 3 g+ + + . (ii) If 1 2 3 36100,n 3 3 3 3 g+ + + + = then find 1 2 3 .ng+ + + + Solution (i) Given 1 2 3 ng+ + + + = 120 i.e. n n 2 1+^ h = 120 ` 1 2 n 3 3 3 g+ + + = n n 2 1 2 +^ c h m = 120 2 = 14400 (ii) Given 1 2 3 n 3 3 3 3 g+ + + + = 36100 ( n n 2 1 2 +^ c h m = 36100 =19 19 10 10# # # ( n n 2 1+^ h = 190 Thus, 1 + 2 + 3 + g + n = 190. Example 2.34 Find the total area of 14 squares whose sides are 11cm, 12cm, g, 24cm, respectively. Solution The areas of the squares form the series 11 12 24 2 2 2 g+ + + Total area of 14 squares = 11 12 13 24 2 2 2 2 g+ + + + = 1 2 3 24 2 2 2 2 g+ + + +^ h 1 2 3 10 2 2 2 2 g- + + + +^ h = n n 2 1 24 2 1 10 -/ / = 6 24 24 1 48 1 6 10 10 1 20 1+ + - + +^ ^ ^ ^h h h h = 6 24 25 49 6 10 11 21 - ^ ^ ^ ^ ^ ^h h h h h h = 4900 385- = 4515 sq. cm. Exercise 2.6 1. Find the sum of the following series. (i) 1 + 2 + 3 + g + 45 (ii) 16 17 18 25 2 2 2 2 g+ + + + (iii) 2 + 4 + 6 + g + 100 (iv) 7 + 14 +21 g + 490 (v) 5 7 9 39 2 2 2 2 g+ + + + (vi) 16 17 35 3 3 3 g+ + +
  • 75.
    Sequences and seriesof real numbers 65 2. Find the value of k if (i) 1 2 3 6084k 3 3 3 3 g+ + + + = (ii) 1 2 3 2025k 3 3 3 3 g+ + + + = 3. If 1 2 3 171pg+ + + + = , then find 1 2 3 p 3 3 3 3 g+ + + + . 4. If 1 2 3 8281k 3 3 3 3 g+ + + + = , then find 1 2 3 kg+ + + + . 5. Find the total area of 12 squares whose sides are 12cm, 13cm, g, 23cm. respectively. 6. Find the total volume of 15 cubes whose edges are 16cm, 17cm, 18cm, g, 30cm respectively. Exercise 2.7 Choose the correct answer. 1. Which one of the following is not true? (A) A sequence is a real valued function defined on N. (B) Every function represents a sequence. (C) A sequence may have infinitely many terms. (D) A sequence may have a finite number of terms. 2. The 8th term of the sequence 1, 1, 2, 3, 5, 8, g is (A) 25 (B) 24 (C) 23 (D) 21 3. The next term of 20 1 in the sequence , , , , 2 1 6 1 12 1 20 1 g is (A) 24 1 (B) 22 1 (C) 30 1 (D) 18 1 4. If a, b, c, l, m are in A.P, then the value of 4 6 4a b c l m- + - + is (A) 1 (B) 2 (C) 3 (D) 0 5. If a, b, c are in A.P. then b c a b - - is equal to (A) b a (B) c b (C) c a (D) 1 6. If the nth term of a sequence is 100n+10, then the sequence is (A) an A.P. (B) a G.P. (C) a constant sequence (D) neither A.P. nor G.P. 7. If , , ,a a a1 2 3 gare in A.P. such that , a a 2 3 7 4 = then the 13th term of the A.P. is (A) 2 3 (B) 0 (C) a12 1 (D) a14 1 8. If the sequence , , ,a a a1 2 3 g is in A.P. , then the sequence , , ,a a a5 10 15 g is (A) a G.P. (B) an A.P. (C) neither A.P nor G.P. (D) a constant sequence 9. If k+2, 4k–6, 3k–2 are the three consecutive terms of an A.P, then the value of k is (A) 2 (B) 3 (C) 4 (D) 5 10. If a, b, c, l, m. n are in A.P., then 3a+7, 3b+7, 3c+7, 3l+7, 3m+7, 3n+7 form (A) a G.P. (B) an A.P. (C) a constant sequence (D) neither A.P. nor G.P
  • 76.
    66 10th Std.Mathematics 11. If the third term of a G.P is 2, then the product of first 5 terms is (A) 5 2 (B) 2 5 (C) 10 (D) 15 12. If a, b, c are in G.P, then b c a b - - is equal to (A) b a (B) a b (C) c a (D) b c 13. If ,x x2 2+ , 3 3x + are in G.P, then ,x5 x10 10+ , 15 15x + form (A) an A.P. (B) a G.P. (C) a constant sequence (D) neither A.P. nor a G.P. 14. The sequence –3, –3, –3,g is (A) an A.P. only (B) a G.P. only (C) neither A.P. nor G.P (D) both A.P. and G.P. 15. If the product of the first four consecutive terms of a G.P is 256 and if the common ratio is 4 and the first term is positive, then its 3rd term is (A) 8 (B) 16 1 (C) 32 1 (D) 16 16. In a G.P, t 5 3 2 = and t 5 1 3 = . Then the common ratio is (A) 5 1 (B) 3 1 (C) 1 (D) 5 17. If x 0! , then 1 sec sec sec sec secx x x x x 2 3 4 5 + + + + + is equal to (A) (1 )( )sec sec sec secx x x x 2 3 4 + + + (B) (1 )( )sec sec secx x x1 2 4 + + + (C) (1 )( )sec sec sec secx x x x 3 5 - + + (D) (1 )( )sec sec secx x x1 3 4 + + + 18. If the n th term of an A.P. is 3 5t nn = - , then the sum of the first n terms is (A) n n 2 1 5-6 @ (B) n n1 5-^ h (C) n n 2 1 5+^ h (D) n n 2 1 +^ h 19. The common ratio of the G.P. a m n- , a m , a m n+ is (A) a m (B) a m- (C) a n (D) a n- 20. If 1 + 2 + 3 +. . . + n = k then 1 3 n2 3 3 g+ + + is equal to (A) k 2 (B) k 3 (C) k k 2 1+^ h (D) k 1 3 +^ h
  • 77.
    Sequences and seriesof real numbers 67 q A sequence of real numbers is an arrangement or a list of real numbers in a specific order. q The sequence given by 1F F1 2 = = and ,F F Fn n n1 2 = +- - 3,4,n g= is called the Fibonacci sequence which is nothing but 1, 1, 2, 3, 5, 8, 13, 21, 34, g q A sequence , , , , ,a a a an1 2 3 g g is called an arithmetic sequence if a a dn n1 = ++ , n N! where d is a constant. Here a1 is called the first term and the constant d is called the common difference. The formula for the general term of an A.P. is ( )t a n d n1 Nn 6 != + - . q A sequence , , , , ,a a a an1 2 3 g g is called a geometric sequence if , 0,a a r rwheren n1 !=+ n N! where r is a constant. Here, a1 is the first term and the constant r is called the common ratio. The formula for the general term of a G.P. is , , , ,t ar n 1 2 3n n 1 g= = - . q An expression of addition of terms of a sequence is called a series. If the sum consists only finite number of terms, then it is called a finite series. If the sum consists of infinite number of terms of a sequence, then it is called an infinite series. q The sum Sn of the first n terms of an arithmetic sequence with first term a and common difference d is given by Sn = [2 ( 1) ]n a n d 2 + - = ( )n a l 2 + , where l is the last term. q The sum of the first n terms of a geometric series is given by ( ) ( ) , . S r a r r a r r na r 1 1 1 1 1 1 if if n n n != - - = - - = * where a is the first term and r is the common ratio. q The sum of the first n natural numbers, ( ) k n n 2 1 k n 1 = + = / . q The sum of the first n odd natural numbers, k n2 1 k n 1 2 - = = ^ h/ q The sum of first n odd natural numbers ( when the last term l is given) is 1 + 3 + 5 + g + l = l 2 1 2 +` j . q The sum of squares of first n natural numbers, k k n 2 1= / = n n n 6 1 2 1+ +^ ^h h . q The sum of cubes of the first n natural numbers, k k n 3 1= / = n n 2 1 2 +^ h ; E . Do you know? A Mersenne number, named after Marin Mersenne, is a positive integer of the form M =2 1p - , where p is a positive integer. If M is a prime, then it is called a Mersenne prime.Interestingly, if 2 1p - is prime, then p is prime.The largest known prime number 2 1, ,43 112 609 - is a Mersenne prime. Points to Remember
  • 78.
    68 10th Std.Mathematics 3.1 Introduction Algebra is an important and a very old branch of mathematics which deals with solving algebraic equations. In third century, the Greek mathematician Diophantus wrote a book “Arithmetic” which contained a large number of practical problems. In the sixth and seventh centuries, Indian mathematicians like Aryabhatta and Brahmagupta have worked on linear equations and quadratic equations and developed general methods of solving them. The next major development in algebra took place in ninth century by Arab mathematicians. In particular, Al-Khwarizmi’s book entitled “Compendium on calculation by completion and balancing” was an important milestone. There he used the word aljabra - which was latinized into algebra - translates as competition or restoration. In the 13th century, Leonardo Fibonacci’s books on algebra was important and influential. Other highly influential works on algebra were those of the Italian mathematician Luca Pacioli (1445-1517), and of the English mathematician Robert Recorde (1510-1558). In later centuries Algebra blossomed into more abstract and in 19th century British mathematicians took the lead in this effort. Peacock (Britain, 1791-1858) was the founder of axiomatic thinking in arithmetic and algebra. For this reason he is sometimes called the “Euclid of Algebra”. DeMorgan (Britain, 1806-1871) extended Peacock’s work to consider operations defined on abstract symbols. In this chapter, we shall focus on learning techniques of solving linear system of equations and quadratic equations. ALGEBRAALGEBRA Al-Khwarizmi (780-850) Arab Al-Khwarizmi’s contribution to Mathematics and Geography established the basis for innovation in Algebra and Trigonometry. He presented the first systematic solution of linear and quadratic equations. He is considered the founder of algebra. His work on arithmetic was responsible for introducing the Arabic numerals based on the Hindu-Arabic numeral system developed in Indian Mathematics, to the Western world.  Introduction  Polynomials  Synthetic Division  GCD and LCM  Rational Expressions  Square root  Quadratic Equations 33 The human mind has never invented a labour-saving machine equal to algebra - Author unknown 68
  • 79.
    Algebra 69 Definition Remarks 3.2 Systemof linear equations in two unknowns In class IX, we have studied the linear equation ax b+ = 0, a 0! , in one unknown x. Let us consider a linear equation ax by c+ = , where at least one of a and b is non-zero, in two unknowns x and y. An ordered pair ( , )x y0 0 is called a solution to the linear equation if the values ,x x y y0 0= = satisfy the equation. Geometrically, the graph of the linear equation ax by c+ = is a straight line in a plane. So each point ( ,x y) on this line corresponds to a solution of the equation ax by c+ = . Conversely, every solution ( ,x y) of the equation is a point on this straight line. Thus, the equation ax by c+ = has infinitely many solutions. A set of finite number of linear equations in two unknowns x yand that are to be treated together, is called a system of linear equations in x yand . Such a system of equations is also called simultaneous equations. An ordered pair ( , )x y0 0 is called a solution to a linear system in two variables if the values ,x x y y0 0= = satisfy all the equations in the system. A system of linear equations a x b y c1 11+ = a x b y c2 2 2+ = in two variables is said to be (i) consistent if at least one pair of values of x and y satisfies both equations and (ii) inconsistent if there are no values of x and y that satisfy both equations. In this section, we shall discuss only a pair of linear equations in two variables. (i) An equation of the form ax by c+ = is called linear because the variables are only to the first power, and there are no products of variables in the equation. (ii) It is also possible to consider linear systems in more than two variables. You will learn this in higher classes. Let us consider a linear system a x b y c1 11+ = (1) a x b y c2 2 2+ = (2) in two variables x yand , where any of the constants , ,a b a band1 1 2 2 can be zero with the exception that each equation must have at least one variable in it or simply, , .a b a b0 01 2 1 2 2 2 2 2 ! !+ + Geometrically the following situations occur. The two straight lines represented by (1) and (2) (i) may intersect at exactly one point (ii) may not intersect at any point (iii) may coincide.
  • 80.
    70 10th Std.Mathematics Note If (i) happens, then the intersecting point gives the unique solution of the system. If (ii) happens, then the system does not have a solution. If (iii) happens, then every point on the line corresponds to a solution to the system. Thus, the system will have infinitely many solutions in this case. Now, we will solve a system of linear equations in two unknowns using the following algebraic methods (i) the method of elimination (ii) the method of cross multiplication. 3.2.1 Elimination method In this method, we may combine equations of a system in such a manner as to get rid of one of the unknowns. The elimination of one unknown can be achieved in the following ways. (i) Multiply or divide the members of the equations by such numbers as to make the coefficients of the unknown to be eliminated numerically equal. (ii) Then, eliminate by addition if the resulting coefficients have unlike signs and by subtraction if they have like signs. Example 3.1 Solve x y3 5- = –16 , x y2 5+ = 31 Solution The given equations are x y3 5- = –16 (1) x y2 5+ = 31 (2) Note that the coefficients of y in both equations are numerically equal. So, we can eliminate y easily. Adding (1) and (2), we obtain an equation 5x = 15 (3) That is, x = 3. Now, we substitute x = 3 in (1) or (2) to solve for y. Substituting x = 3 in (1) we obtain, 3(3) –5y = –16 ( y = 5. Now, (3, 5) a is solution to the given system because (1) and (2) are true when x = 3 and y = 5 as from (1) and (2) we get, 3(3) – 5(5) = –16 and 2(3) +5(5) = 31. Obtaining equation (3) in only one variable is an important step in finding the solution. We obtained equation (3) in one variable x by eliminating the variable y. So this method of solving a system by eliminating one of the variables first, is called “method of elimination”.
  • 81.
    Algebra 71 Note Remarks Example 3.2 The cost of 11 pencils and 3 erasers is ` 50 and the cost of 8 pencils and 3 erasers is ` 38. Find the cost of each pencil and each eraser. Solution Let x denote the cost of a pencil in rupees and y denote the cost of an eraser in rupees. Then according to the given information we have x y11 3+ = 50 (1) x y8 3+ = 38 (2) Subtracting (2) from (1) we get, x3 = 12 which gives 4x = . Now substitute x = 4 in (1) to find the value of y. We get, 11(4) 3y+ = 50 i.e., y 2= . Therefore, 4 2x yand= = is the solution of the given pair of equations. Thus, the cost of a pencil is ` 4 and that of an eraser is ` 2. It is always better to check that the obtained values satisfy the both equations. Example 3.3 Solve by elimination method 3x y4+ = –25, x y2 3- = 6 Solution The given system is 3x y4+ = –25 (1) x y2 3- = 6 (2) To eliminate the variable x, let us multiply (1) by 2 and (2) by –3 to obtain (1) # 2 ( x y6 8+ = –50 (3) (2) # –3 ( x y6 9- + = –18 (4) Now, adding (3) and (4) we get, y17 = – 68 which gives y = – 4 Next, substitute y = – 4 in (1) to obtain ( )x3 4 4+ - = – 25 That is, x = – 3 Hence, the solution is ( –3, –4 ). In Example 3.3, it is not possible to eliminate one of the variables by simply adding or subtracting the given equations as we did in Example 3.1. Thus, first we shall do some manipulations so that coefficients of either x or y are equal except for sign. Then we do the elimination.
  • 82.
    72 10th Std.Mathematics Example 3.4 Using elimination method, solve x y101 99+ = 499, x y99 101+ = 501 Solution The given system of equations is x y101 99+ = 499 (1) x y99 101+ = 501 (2) Here, of course we could multiply equations by appropriate numbers to eliminate one of the variables. However, note that the coefficient of x in one equation is equal to the coefficient of y in the other equation. In such a case, we add and subtract the two equations to get a new system of very simple equations having the same solution. Adding (1) and (2), we get x y200 200+ = 1000. Dividing by 200 we get, x y+ = 5 (3) Subtracting (2) from (1), we get x y2 2- = –2 which is same as x y- = –1 (4) Solving (3) and (4), we get x = 2, y = 3. Thus, the required solution is ( 2, 3 ). Example 3.5 Solve x y3 2 +^ h = xy7 ; x y3 3+^ h = xy11 using elimination method Solution The given system of equations is x y3 2 +^ h = xy7 (1) x y3 3+^ h = xy11 (2) Observe that the given system is not linear because of the occurrence of xy term. Also, note that if x = 0, then y = 0 and vice versa. So, (0, 0) is a solution for the system and any other solution would have both x ! 0 and y 0! . Thus, we consider the case where x 0! , y 0! . Dividing both sides of each equation by xy, we get y x 6 3+ = 7, i.e., x y 3 6+ = 7 (3) and x y 9 3+ = 11 (4) Let a x 1= and b y 1= . Equations (3) and (4) become a b3 6+ = 7 (5) a b9 3+ = 11 (6) which is a linear system in a and b.
  • 83.
    Algebra 73 Toeliminate b, we have (6) #2 ( 18a + 6b = 22 (7) Subtracting (7) from (5) we get, a15- = –15. That is, a = 1. Substituting a = 1 in (5) we get, b = 3 2 . Thus, a = 1 and b 3 2= . When a = 1, we have x 1 1= . Thus, x 1= . When b = 3 2 , we have y 1 3 2= . Thus, y 2 3= . Thus, the system has two solutions ( 1, 2 3 ) and ( 0, 0 ). Aliter The given system of equations can also be solved in the following way. Now, x y3 2 +^ h = xy7 (1) x y3 3+^ h = xy11 (2) Now, (2) × 2 – (1) ( 15y = 15xy ( 15y(1–x) = 0. Thus, x = 1 and y = 0 When x = 1, we have y = 2 3 and when y = 0, we have x = 0 Hence, the two solutions are ( 1, 2 3 ) and ( 0, 0 ). Note : In 15y = 15xy, y is not to be cancelled out as y = 0 gives another solution. Exercise 3.1 Solve each of the following system of equations by elimination method. 1. x y2 7+ = , x y2 1- = 2. x y3 8+ = , x y5 10+ = 3. x y 2 4+ = , x y 3 2 5+ = 4. x y xy11 7- = , x y xy9 4 6- = 5. x y xy 3 5 20+ = , x y xy 2 5 15+ = , 0,x y 0! ! 6. x y xy8 3 5- = , x y xy6 5 2- =- 7. x y13 11 70+ = , x y11 13 74+ = 8. x y65 33 97- = , x y33 65 1- = 9. x y 15 2 17+ = , , , x y x y1 1 5 36 0 0! !+ = 10. x y 2 3 2 6 1+ = , 0, 0, 0 x y x y3 2 ! !+ = Cardinality of the set of solutions of the system of linear equations Let us consider the system of two equations a x b y c1 1 1+ + = 0 (1) a x b y c2 2 2+ + = 0 (2) where the coefficients are real numbers such that , .a b a b0 01 2 1 2 2 2 2 2 ! !+ +
  • 84.
    74 10th Std.Mathematics Let us apply the elimination method for equating the coefficients of y. Now, multiply equation (1) by b2 and equation (2) by b1 , we get, b a x b b y b c2 1 2 1 2 1+ + = 0 (3) b a x b b y b c1 2 1 2 1 2+ + = 0 (4) Subtracting equation (4) from (3), we get b a b a x2 1 1 2-^ h = b c b c1 2 2 1- ( x = a b a b b c b c 1 2 2 1 1 2 2 1 - - provided 0a b a b1 2 2 1 !- Substituting the value of x in either (1) or (2) and solving for y, we get y = a b a b c a c a 1 2 2 1 1 2 2 1 - - , provided 0a b a b1 2 2 1 !- . Thus, we have x = a b a b b c b c 1 2 2 1 1 2 2 1 - - and y = a b a b c a c a 1 2 2 1 1 2 2 1 - - , 0a b a b1 2 2 1 !- . (5) Here, we have to consider two cases. Case (i) 0a b a b1 2 2 1 !- . That is, a a b b 2 1 2 1 ! . In this case, the pair of linear equations has a unique solution. Case (ii) 0a b a b1 2 2 1- = . That is, a a b b 2 1 2 1 = if 0a2 ! and 0b2 ! . In this case, let a a b b 2 1 2 1 m= = . Then a a1 2m= , b b1 2m= Now, substituting the values of a1 and b1 in equation (1) we get, a x b y c2 2 1m + +^ h = 0 (6) It is easily observed that both the equations (6) and (2) can be satisfied only if c1 = c2m ( c c 2 1 = m If c c1 2m= , any solution of equation (2) will also satisfy the equation (1) and vice versa. So, if a a b b c c 2 1 2 1 2 1 m= = = ; then there are infinitely many solutions to the pair of linear equations given by (1) and (2). If c c1 2! m , then any solution of equation (1) will not satisfy equation (2) and vice versa. Hence, if a a b b c c 2 1 2 1 2 1 != , then the pair of linear equations given by (1) and (2) has no solution.
  • 85.
    Algebra 75 Note Now, wesummarise the above discussion. For the system of equations 0a x b y c1 1 1+ + = 0a x b y c2 2 2+ + = , where , .a b a b0 01 2 1 2 2 2 2 2 ! !+ + (i) If 0a b b a1 2 1 2 !- or a a b b 2 1 2 1 ! , then the system of equations has a unique solution. (ii) If a a b b c c 2 1 2 1 2 1 = = , then the system of equations has infinitely many solutions. (iii) If a a b b c c 2 1 2 1 2 1 != , then the system of equations has no solution. 3.2.2 Cross multiplication method While solving a pair of linear equations in two unknowns x and y using elimination method, we utilised the coefficients effectively to get the solution. There is another method called the cross multiplication method, which simplifies the procedure. Now, let us describe this method and see how it works. Let us consider the system 0a x b y c1 1 1+ + = (1) 0a x b y c2 2 2+ + = with 0a b b a1 2 1 2 !- (2) We have already established that the system has the solution x = a b a b b c b c 1 2 2 1 1 2 2 1 - - , y = a b a b c a c a 1 2 2 1 1 2 2 1 - - Thus, we can write b c b c x 1 2 2 1- = a b a b 1 1 2 2 1- , c a c a y 1 2 2 1- = a b a b 1 1 2 2 1- Let us write the above in the following form b c b c x 1 2 2 1- = c a c a y 1 2 2 1- = a b a b 1 1 2 2 1- . The following arrow diagram may be very useful in remembering the above relation. x y 1 The arrows between the two numbers indicate that they are multiplied, the second product (upward arrow) is to be subtracted from the first product (downward arrow). b1 b2 c1 c2 a1 a2 b1 b2
  • 86.
    76 10th Std.Mathematics Method of solving a linear system of equations by the above form is called the cross multiplication method. Note that in the representation b c b c x 1 2 2 1- = c a c a y 1 2 2 1- = a b a b 1 1 2 2 1- , b c b c1 2 2 1- or c a c a1 2 2 1- may be equal to 0 but a b a b 01 2 2 1 !- . Hence, for the system of equations 0a x b y c1 1 1+ + = 0a x b y c2 2 2+ + = (i) if b c b c1 2 2 1- = 0 and a b a b 01 2 2 1 !- , then x = 0 (ii) if c a c a1 2 2 1- = 0 and a b a b 01 2 2 1 !- , then y = 0 Hereafter, we shall mostly restrict ourselves to the system of linear equations having unique solution and find the solution by the method of cross multiplication. Example 3.6 Solve 2x + 7y – 5 = 0 –3x + 8y = –11 Solution The given system of equations is 2x + 7y – 5 = 0 –3x + 8y +11 = 0 For the cross multiplication method, we write the coefficients as x y 1 7 –5 2 7 8 11 –3 8 Hence, we get ( )( ) ( )( ) x 7 11 8 5- - = ( )( ) ( )( ) y 5 3 2 11- - - = ( )( ) ( )( )2 8 3 7 1 - - . That is, x 117 = y 7- = 37 1 . i.e., x = , y 37 117 37 7=- . Hence, the solution is , 37 117 37 7-` j. Example 3.7 Using cross multiplication method, solve 3x + 5y = 25 7x + 6y = 30 Solution The given system of equations is 3x + 5y –25 = 0 7x + 6y–30 = 0 Now, writing the coefficients for cross multiplication, we get x y 1 5 –25 3 5 6 –30 7 6
  • 87.
    Algebra 77 Note ( x 150150- + = y 175 90- + = 18 35 1 - . i.e., x y 0 85 17 1= - = - . Thus, we have x = 0, y = 5. Hence, the solution is (0, 5). Here, x 0 = 17 1- is to mean x = 17 0 - = 0. Thus x 0 is only a notation and it is not division by zero. It is always true that division by zero is not defined. Example 3.8 In a two digit number, the digit in the unit place is twice of the digit in the tenth place. If the digits are reversed, the new number is 27 more than the given number. Find the number. Solution Let x denote the digit in the tenth place and y denote the digit in unit place.. So, the number may be written as x y10 + in the expanded form. (just like 35= 10(3) +5) When the digits are reversed, x becomes the digit in unit place and y becomes the digit in the tenth place. The changed number, in the expanded form is 10y + x. According to the first condition, we have y x2= which is written as x y2 - = 0 (1) Also, by second condition, we have ( ) ( )y x x y10 10+ - + = 27 That is, x y9 9- + = 27 ( x y- + = 3 (2) Adding equations (1) and (2), we get x= 3. Substituting x 3= in the equation (2), we get y = 6. Thus, the given number is (3#10) + 6 = 36. Example 3.9 A fraction is such that if the numerator is multiplied by 3 and the denominator is reduced by 3, we get 11 18 , but if the numerator is increased by 8 and the denominator is doubled, we get 5 2 . Find the fraction. Solution Let the fraction be y x . According to the given conditions, we have y x 3 3 - = 11 18 and y x 2 8+ = 5 2 ( x11 = y6 18- and x5 40+ = y4
  • 88.
    78 10th Std.Mathematics So, we have x y11 6 18- + = 0 (1) x y5 4 40- + = 0 (2) On comparing the coefficients of (1) and (2) with 0a x b y c1 1 1+ + = , 0a x b y c2 2 2+ + = , we have a1 = 11, b1 = – 6, c1 = 18 ; a2 = 5, b2 = –4, c2 = 40. Thus, a b a b1 2 2 1- = ( )( ) ( )( )11 4 5 6- - - = 14- ! 0. Hence, the system has a unique solution. Now, writing the coefficients for the cross multiplication, we have x y 1 –6 18 11 –6 –4 40 5 –4 ( x 240 72- + = y 90 440- = 44 30 1 - + ( x 168- = y 350- = 14 1 - Thus, x = 14 168 = 12 ; y = 14 350 = 25. Hence, the fraction is 25 12 . Example 3.10 Eight men and twelve boys can finish a piece of work in 10 days while six men and eight boys can finish the same work in 14 days. Find the number of days taken by one man alone to complete the work and also one boy alone to complete the work. Solution Let x denote the number of days needed for one man to finish the work and y denote the number of days needed for one boy to finish the work. Clearly, 0 0.x yand! ! So, one man can complete x 1 part of the work in one day and one boy can complete y 1 part of the work in one day. The amount of work done by 8 men and 12 boys in one day is 10 1 . Thus, we have x y 8 12+ = 10 1 (1) The amount of work done by 6 men and 8 boys in one day is 14 1 . Thus, we have x y 6 8+ = 14 1 (2) Let a = x 1 and b = y 1 . Then (1) and (2) give, respectively, a b8 12+ = 10 1 ( a b4 6 20 1+ - = 0. (3) a b6 8+ = 14 1 ( a b3 4 28 1+ - = 0. (4)
  • 89.
    Algebra 79 Writingthe coefficients of (3) and (4) for the cross multiplication, we have a b 1 6 20 1- 4 6 4 28 1- 3 4 Thus, we have a 14 3 5 1- + = b 20 3 7 1- + = 16 18 1 - . i.e., a 70 1- = b 140 1- = 2 1 - . That is, a = 140 1 , b = 280 1 Thus, we have x = a 1 = 140 , y = b 1 = 280. Hence, one man can finish the work individually in 140 days and one boy can finish the work individually in 280 days. Exercise 3.2 1. Solve the following systems of equations using cross multiplication method. (i) x y3 4 24+ = , x y20 11 47- = (ii) . . .x y0 5 0 8 0 44+ = , . . .x y0 8 0 6 0 5+ = (iii) ,x y x y 2 3 3 5 2 3 2 6 13- =- + = (iv) , x y x y 5 4 2 2 3 13- =- + = 2. Formulate the following problems as a pair of equations, and hence find their solutions: (i) One number is greater than thrice the other number by 2. If 4 times the smaller number exceeds the greater by 5, find the numbers. (ii) The ratio of income of two persons is 9 : 7 and the ratio of their expenditure is 4 : 3. If each of them manages to save ` 2000 per month, find their monthly income. (iii) A two digit number is seven times the sum of its digits. The number formed by reversing the digits is 18 less than the given number. Find the given number. (iv) Three chairs and two tables cost ` 700 and five chairs and three tables cost ` 1100. What is the total cost of 2 chairs and 3 tables? (v) In a rectangle, if the length is increased and the breadth is reduced each by 2 cm then the area is reduced by 28 cm 2 . If the length is reduced by 1 cm and the breadth increased by 2cm , then the area increases by 33cm 2 . Find the area of the rectangle. (vi) A train travelled a certain distance at a uniform speed. If the train had been 6 km/hr faster, it would have taken 4 hours less than the scheduled time. If the train were slower by 6 km/hr, then it would have taken 6 hours more than the scheduled time. Find the distance covered by the train.
  • 90.
    80 10th Std.Mathematics Remarks x y (2, 0) (3, 0) x y (0, 1) y = 5 6x x 2 - + 1y x 2 = + Fig. 3.1 3.3 Quadratic polynomials A polynomial of degree n in the variable x is a x a x a x a x a n n n n n0 1 1 2 2 1 g+ + + + + - - - where 0a0 ! and , , , ...,a a a an1 2 3 are real constants. A polynomial of degree two is called a quadratic polynomial and is normally written as ( )p x ax bx c 2 = + + , where a 0! , b and c are real constants. Real constants are polynomials of degree zero. For example, 1x x 2 + + , 3 1x 2 - , 2x x 2 3 3 72 - + - are quadratic polynomials. The value of a quadratic polynomial ( )p x ax bx c 2 = + + at x k= is obtained by replacing x by k in ( )p x . Thus, the value of ( )p x at x k= is ( )p k ak bk c 2 = + + . 3.3.1 Zeros of a polynomial Consider a polynomial p(x). If k is a real number such that p(k) = 0, then k is called a zero of the polynomial p(x). For example, the zeros of the polynomial q(x) = 5 6x x 2 - + are 2 and 3 because q(2) = 0 and q(3) = 0. A polynomial may not have any zero in real numbers at all. For example, ( ) 1p x x 2 = + has no zeros in real numbers. That is, there is no real k such that p k 0=^ h . Geometrically a zero of any polynomial is nothing but the x-coordinate of the point of intersection of the graph of the polynomial and the x-axis if they intersect. (see Fig. 3.1 and Fig. 3.2) 3.3.2 Relationship between zeros and coefficients of a quadratic polynomial In general, if a and b are the zeros of the quadratic polynomial ( )p x ax bx c 2 = + + , a 0! , then by factor theorem we get, x a- and x b- are the factors of p(x). Therefore, ax bx c 2 + + = k x xa b- -^ ^h h, where k is a non zero constant. = k x x 2 a b ab- + +^ h6 @ Fig. 3.2
  • 91.
    Algebra 81 To factorize 209xx 2 + + , one can proceed as follows 20 4 5 a 4+5=9, 4×5=20 4 1 5 1 ( 4x + ) ( 5x + ). coefficient of x2 constant term Remarks Note Comparing the coefficients of x 2 , x and the constant term on both sides, we obtain a = k, b = ( )k a b- + and c = kab The basic relationships between the zeros and the coefficients of ( )p x ax bx c 2 = + + are sum of zeros : a b+ = a b- = coefficient of coefficient of x x 2- . product of zeros : ab = a c = coefficient of constant term x2 . Example 3.11 Find the zeros of the quadratic polynomial 9 20x x 2 + + , and verify the basic relationships between the zeros and the coefficients. Solution Let ( ) 9 20p x x x 2 = + + = x x4 5+ +^ ^h h So, p x 0=^ h ( x x4 5+ +^ ^h h = 0 ` x 4=- or x 5=- Thus, p(–4) = (–4+4)(–4+5) = 0 and p(–5) = (–5+4)(–5+5) = 0 Hence, the zeros of ( )p x are –4 and –5 Thus, sum of zeros = –9 and the product of zeros 20= (1) From the basic relationships, we get the sum of the zeros = coefficient of coefficient of x x 2- = 1 9- 9=- (2) product of the zeros = coefficient of constant term x2 = 1 20 20= (3) Thus, the basic relationships are verified. A quadratic polynomial ( )p x ax bx c 2 = + + may have atmost two zeros. Now, for any a 0! , a x x 2 a b ab- + +^^ h h is a polynomial with zeros a and b. Since we can choose any non zero a, there are infinitely many quadratic polynomials with zeros a and b. Example 3.12 Find a quadratic polynomial if the sum and product of zeros of it are –4 and 3 respectively. Solution Let a and b be the zeros of a quadratic polynomial. Given that a b+ = – 4 and ab = 3. One of the such polynomials is ( )p x = ( )x x 2 a b ab- + + = ( 4) 3x x 2 - - + = 4 3x x 2 + +
  • 92.
    82 10th Std.Mathematics Aliter The required polynomial is obtained directly as follows: p(x) = x x 4 1 1- +` ^j h = x x 4 3 4 12 + - . Any other polynomial with the desired property is obtained by multiplying p(x) by any non- zero real number. Note Example 3.13 Find a quadratic polynomial with zeros at x = 4 1 and x = –1. Solution Let a and b be the zeros of p(x) Using the relationship between zeros and coefficients, we have ( )p x = ( )x x 2 a b ab- + + = x x 4 1 1 4 1 1 2 - - + -` ` ^j j h = x x 4 3 4 12 + - It is a polynomial with zeros 4 1 and –1. x x4 3 12 + - is also a polynomial with zeros 4 1 and –1. Exercise 3.3 1. Find the zeros of the following quadratic polynomials and verify the basic relationships between the zeros and the coefficients. (i) 2 8x x 2 - - (ii) 4 4 1x x 2 - + (iii) 6 3 7x x 2 - - (iv) 4 8x x 2 + (v) 15x 2 - (vi) 3 5 2x x 2 - + (vii) 2 2 1x x2 2 - + (viii) 2 143x x 2 + - 2. Find a quadratic polynomial each with the given numbers as the sum and product of its zeros respectively. (i) 3, 1 (ii) 2, 4 (iii) 0, 4 (iv) ,2 5 1 (v) , 3 1 1 (vi) , 2 1 4- (vii) , 3 1 3 1- (viii) ,3 2 3.4 Synthetic division We know that when 29 is divided by 7 we get, 4 as the quotient and 1 as the remainder. Thus, 29 = 4(7) + 1. Similarly one can divide a polynomial ( )p x by another polynomial ( )q x which results in getting the quotient and remainder such that ( )p x = (quotient) ( )q x + remainder That is, ( )p x = s x q x r x+^ ^ ^h h h, where deg r x^ h < degq x^ h. This is called the Division Algorithm. If ( )q x = x a+ , then deg r x^ h = 0. Thus, r x^ h is a constant. Hence, ( )p x = s x x a r+ +^ ^h h , where r is a constant. Now if we put x = –a in the above, we have p a-^ h = s a a a r- - + +^ ^h h ( r = p a-^ h. Thus, if q x^ h = x a+ , then the remainder can be calculated by simply evaluating ( )p x at x = –a.
  • 93.
    Algebra 83 1 2 –1 –4 0 –2 0 2 1+0 2+(–2) –1+0 –4+2 = 1 = 0 = –1 = –2 1#(–2) 0#(–2) –1#(–2) –2 1 2 –1 –4 2 4x x x 3 2 + - - Paolo Ruffin (1765-1822, Italy) Remarks Division algorithm : If ( )p x is the dividend and q x^ h is the divisor, then by division algorithm we write, ( )p x = s x q x r x+^ ^ ^h h h. Now, we have the following results. (i) If q(x) is linear , then r x^ h= r is a constant. (ii) If ( )deg q x 1= (i.e., q(x) is linear), then ( )deg p x = ( )deg s x1 + (iii) If ( )p x is divided by x a+ , then the remainder is ( )p a- . (iv) If r = 0, we say q(x) divides p(x) or equivalently q(x) is a factor of p(x). An elegant way of dividing a polynomial by a linear polynomial was introduced by Paolo Ruffin in 1809. His method is known as synthetic division. It facilitates the division of a polynomial by a linear polynomial with the help of the coefficients involved. Let us explain the method of synthetic division with an example. Let ( )p x = 2 4x x x 3 2 + - - be the dividend and ( )q x = x 2+ be the divisor. We shall find the quotient ( )s x and the remainder r, by proceeding as follows. Step 1 Arrange the dividend and the divisor according to the descending powers of x and then write the coefficients of dividend in the first row (see figure). Insert 0 for missing terms. Step 2 Find out the zero of the divisor. Step 3 Put 0 for the first entry in the 2nd row. Complete the entries of the 2nd row and 3rd row as shown below. #remainder Step 4 Write down the quotient and the remainder accordingly. All the entries except the last one in the third row constitute the coefficients of the quotient. Thus, the quotient is 1x 2 - and the remainder is –2.
  • 94.
    84 10th Std.Mathematics Example 3.14 Find the quotient and remainder when 7 3x x x 3 2 + - - is divided by x 3- . Solution Let ( )p x = 7 3x x x 3 2 + - - . The zero of the divisor is 3. So we consider, 3 1 1 –7 –3 0 3 12 15 1 4 5 12 $ Remainder. ` When ( )p x is divided by x 3- , the quotient is 4 5x x 2 + + and the remainder is 12. Example 3.15 If the quotient on dividing 2 14 19 6x x x x 4 3 2 + - - + by x2 1+ is 6x ax bx 3 2 + - - . Find the values of a and b, also the remainder. Solution Let ( )p x = 2 14 19 6x x x x 4 3 2 + - - + . Given that the divisor is x2 1+ . Write x2 1+ = 0. Then x = 2 1- ` The zero of the divisor is 2 1- . 2 1- 2 1 –14 –19 6 0 –1 0 7 6 2 0 –14 –12 12 $ Remainder So, 2 14 19 6x x x x 4 3 2 + - - + 2 1 12x x x2 14 12 3 = + - - +` j" , = 12x x x2 1 2 1 2 14 12 3 + - - +^ ^h h Thus, the quotient is x x 2 1 2 14 12 3 - -^ h = 7 6x x 3 - - and the remainder is 12. But, given quotient is 6x ax bx 3 2 + - - . Comparing this with the quotient obtained we get, a 0= and b 7= . Thus, a 0= , b 7= and the remainder is 12. Exercise 3.4 1. Find the quotient and remainder using synthetic division. (i) ( 3 5x x x 3 2 + - + ) ' (x 1- ) (ii) (3 2 7 5x x x 3 2 - + - ) ' (x 3+ ) (iii) (3 4 10 6x x x 3 2 + - + )'( x3 2- ) (iv) (3 4 5x x 3 2 - - ) ' ( 1x3 + ) (v) (8 2 6 5x x x 4 2 - + - )'( 1x4 + ) (vi) (2 7 13 63 48x x x x 4 3 2 - - + - )'( 1x2 - ) 2. If the quotient on dividing 10 35 50 29x x x x 4 3 2 + + + + by x 4+ is 6x ax bx 3 2 - + + , then find a, b and also the remainder. 3. If the quotient on dividing, 8 2 6 7x x x 4 2 - + - by x2 1+ is 4 3x px qx 3 2 + - + , then find p , q and also the remainder.
  • 95.
    Algebra 85 Note 3.4.1 Factorizationusing synthetic division We have already learnt in class IX, how to factorize quadratic polynomials. In this section, let us learn, how to factorize the cubic polynomial using synthetic division. If we identify one linear factor of cubic polynomial ( )p x , then using synthetic division we get the quadratic factor of ( )p x . Further if possible one can factorize the quadratic factor into two linear factors. Hence the method of synthetic division helps us to factorize a cubic polynomial into linear factors if it can be factorized. (i) For any polynomial p x^ h, x a= is zero if and only if p a 0=^ h . (ii) x a- is a factor for p x^ h if and only if p a 0=^ h . ( Factor theorem ) (iii) x 1- is a factor of p x^ h if and only if the sum of coefficients of p x^ h is 0. (iv) x 1+ is a factor of p x^ h if and only if sum of the coefficients of even powers of x, including constant is equal to sum of the coefficients of odd powers of x. Example 3.16 (i) Prove that x 1- is a factor of 6 11 6x x x 3 2 - + - . (ii) Prove that x 1+ is a factor of 6 11 6x x x 3 2 + + + . Solution (i) Let ( )p x = 6 11 6x x x 3 2 - + - . p 1^ h = 1 – 6 + 11 – 6 = 0. (note that sum of the coefficients is 0) Thus, ( )x 1- is a factor of ( )p x . (ii) Let ( )q x = 6 11 6x x x 3 2 + + + . q 1-^ h = –1 + 6 – 11 + 6 = 0. Hence, x 1+ is a factor of ( )q x Example 3.17 Factorize 2 3 3 2x x x 3 2 - - + into linear factors. Solution Let ( )p x = 2 3 3 2x x x 3 2 - - + Now, p 1 2 0!=-^ h (note that sum of the coefficients is not zero) ` (x 1- ) is not a factor of ( )p x . However, p 1-^ h = 2 3 3 21 1 13 2 - - - - - +^ ^ ^h h h = 0. So, x 1+ is a factor of ( )p x . We shall use synthetic division to find the other factors. –1 2 –3 –3 2 0 –2 5 –2 2 –5 2 0 $ Remainder Thus, p(x) = ( 1)(2 5 2)x x x 2 + - + Now, 2 5 2x x 2 - + = 2 4 2 ( 2)(2 1)x x x x x 2 - - + = - - . Hence, 2 3 3 2x x x 3 2 - - + = ( )( )( )x x x1 2 2 1+ - - . coefficient of x2 constant term To factorize 2x x2 5 2 - + , one can proceed as follows 4 –4 –1 a –4+(–1)=–5, –4×(–1)=4 2 1 4 2=- - 2 1- (x 2- ) ( x2 1- ). Remarks
  • 96.
    86 10th Std.Mathematics Example 3.18 Factorize 3 10 24x x x 3 2 - - + Solution Let ( )p x = 3 10 24x x x 3 2 - - + . Since p 1^ h 0! and p 1 0!-^ h , neither x 1+ nor x 1- is a factor of ( )p x . Therefore, we have to search for different values of x by trial and error method. When 2x = , 0p 2 =^ h . Thus, x 2- is a factor of ( )p x . To find the other factors, let us use the synthetic division. 2 1 –3 –10 24 0 2 –2 –24 1 –1 –12 0 $ Remainder. ` The other factor is 12x x 2 - - . Now, 12x x 2 - - = 4 3 12x x x 2 - + - = ( )( )x x4 3- + Hence, 3 10 24x x x 3 2 - - + = x x x2 3 4- + -^ ^ ^h h h Exercise 3.5 1. Factorize each of the following polynomials. (i) 2 5 6x x x 3 2 - - + (ii) 4 7 3x x3 - + (iii) 23 142 120x x x 3 2 - + - (iv) 4 5 7 6x x x 3 2 - + - (v) 7 6x x 3 - + (vi) 13 32 20x x x 3 2 + + + (vii) 2 9 7 6x x x 3 2 - + + (viii) 5 4x x 3 - + (ix) 10 10x x x 3 2 - - + (x) 2 11 7 6x x x3 2 + - - (xi) 14x x x 3 2 + + - (xii) 5 2 24x x x 3 2 - - + 3.5 Greatest Common Divisor (GCD) and Least Common Multiple (LCM) 3.5.1 Greatest Common Divisor (GCD) The Highest Common Factor (HCF) or Greatest Common Divisor (GCD) of two or more algebraic expressions is the expression of highest degree which divides each of them without remainder. Consider the simple expressions (i) , , ,a a a a 4 3 5 6 (ii) , ,a b ab c a b c 3 4 5 2 2 7 In (i), note that , ,a a a 2 3 are the divisors of all these expressions. Out of them, a 3 is the divisor with highest power. Therefore a 3 is the GCD of the expressions , , ,a a a a 4 3 5 6 . In (ii), similarly, one can easily see that ab 4 is the GCD of , ,a b ab c a b c 3 4 5 2 2 7 . If the expressions have numerical coefficients, find their greatest common divisor, and prefix it as a coefficient to the greatest common divisor of the algebraic expressions. Let us consider a few more examples to understand the greatest common divisor.
  • 97.
    Algebra 87 Examples 3.19 Find the GCD of the following : (i) 90, 150, 225 (ii) 15x y z 4 3 5 , 12x y z 2 7 2 (iii) 6 x x2 3 2 2 - -^ h, 8 x x4 4 1 2 + +^ h, 12 x x2 7 3 2 + +^ h Solution (i) Let us write the numbers 90, 150 and 225 in the product of their prime factors as 90 = 2 3 3 5# # # , 150 = 2 3 5 5# # # and 225 = 3 3 5 5# # # From the above 3 and 5 are common prime factors of all the given numbers. Hence the GCD = 3 5# = 15 (ii) We shall use similar technique to find the GCD of algebraic expressions. Now let us take the given expressions 15x y z 4 3 5 and 12x y z 2 7 2 . Here the common divisors of the given expressions are 3, x 2 , y 3 and z 2 . Therefore, GCD = 3 x y z 2 3 2 # # # = 3x y z 2 3 2 (iii) Given expressions are 6 x x2 3 2 2 - -^ h, 8 x x4 4 1 2 + +^ h, 12 x x2 7 3 2 + +^ h Now, GCD of 6, 8, 12 is 2 Next let us find the factors of quadratic expressions. 2 3 2x x 2 - - = x x2 1 2+ -^ ^h h 4 4 1x x 2 + + = x x2 1 2 1+ +^ ^h h 2 7 3x x 2 + + = x x2 1 3+ +^ ^h h Common factor of the above quadratic expressions is x2 1+^ h. Therefore, GCD = x2 2 1+^ h. 3.5.2 Greatest common divisor of polynomials using division algorithm First let us consider the simple case of finding GCD of 924 and 105. 924 = 8 × 105 + 84 105 = 1 × 84 + 21, (or) 84 = 4 × 21 + 0, 21 is the GCD of 924 and 105 Similar technique works with polynomials when they have GCD. Let f x^ h and g x^ h be two non constant polynomials with deg( f x^ h) $ deg(g x^ h).We want to find GCD of f(x) and g(x). If f x^ h and g x^ h can be factored into linear irreducible quadratic polynomials, then we can easily find the GCD by the method which we have learnt above. If the polynomials f x^ h and g x^ h are not easily factorable, then it will be a difficult problem. 924 840 84 105 84 21 105 84 84 84 0 21 8 1 4
  • 98.
    88 10th Std.Mathematics Remarks Remarks However, the following method gives a systematic way of finding GCD. Step 1 First, divide f x^ h by g x^ h to obtain f x^ h = g x q x r x+^ ^ ^h h h where q x^ h is the quotient and r x^ h is remainder, so deg(g x^ h) > deg(r x^ h) If the remainder r(x) is 0, then g(x) is the GCD of f(x) and g(x). Step 2 If the remainder ( )r x is non-zero, divide g x^ h by r x^ h to obtain g x^ h = r x q x r x1+^ ^ ^h h h where r x1 ^ h is the remainder. So deg r x^ h > deg r x1 ^ h. If the remainder ( ) 0r x is1 , then r(x) is the required GCD. Step 3 If ( )r x1 is non-zero, then continue the process until we get zero as remainder. The remainder in the last but one step is the GCD of f x^ h and g x^ h. We write GCD( f x^ h , g x^ h) to denote the GCD of the polynomials f x^ h and g x^ h Euclid’s division algorithm is based on the principle that GCD of two numbers does not change if the small number is subtracted from the larger number. Thus, GCD (252,105) = GCD (147,105) = GCD(42,105) = GCD(63,42) = GCD(21,42) = 21. Example 3.20 Find the GCD of the polynomials 3 3x x x 4 3 + - - and 5 3x x x 3 2 + - + . Solution Let f x^ h = 3 3x x x 4 3 + - - and g x^ h = 5 3x x x 3 2 + - + Here degree of f x^ h > degree of g x^ h. ` Divisor is 5 3x x x 3 2 + - + x 2+ x–1 5 3x x x 3 2 + - + 3 0 3x x x x 4 3 2 + + - - x x2 32 + - 5 3x x x 3 2 + - + 2 3x x x 3 2 + - 2 3x x 2 - - + 2 3x x 2 - - + ( 0)! 0 $ remainder 5 3x x x x 4 3 2 + - + 2 5 4 3x x x 3 2 + - - 2 2 10 6x x x 3 2 + - + 3 6 9x x 2 + - ( x x2 32 + - $remainder Therefore, GCD ( f x^ h , g x^ h) = x x2 3 2 + - . The two original expressions have no simple factors (constants). Thus their GCD can have none. Hence, in the above example we removed the simple factor 3 from 3 6 9x x 2 + - and took x x2 32 + - as the new divisor. Example 3.21 Find the GCD of the following polynomials 3 6 12 24x x x x 4 3 2 + - - and 4 14 8 8x x x x 4 3 2 + + - .
  • 99.
    Algebra 89 x –2 4 4x x2 + + 2 4 8x x x 3 2 + - - 4 4x x x 3 2 + + 2 8 8x x 2 - - - 2 8 8x x 2 - - - 0 Solution Let f x^ h = 3 6 12 24x x x x 4 3 2 + - - = 3x x x x2 4 8 3 2 + - -^ h. Let g x^ h = 4 14 8 8x x x x 4 3 2 + + - = 2x x x x2 7 4 4 3 2 + + -^ h Let us find the GCD for the polynomials 2 4 8x x x 3 2 + - - and 2 7 4 4x x x 3 2 + + - We choose the divisor to be 2 4 8x x x 3 2 + - - . 2 2 4 8x x x 3 2 + - - 2 7 4 4x x x 3 2 + + - 2 4 8 16x x x 3 2 + - - 3 12 12x x 2 + + ( 4 4)x x2 + + remainder( 0)! $ remainder Common factor of x x x2 4 83 2 + - - and 2 7 4 4x x x3 2 + + - is 4 4x x2 + + Also common factor of x3 and x2 is x. Thus, GCD ( f x^ h, g x^ h) = x x x4 4 2 + +^ h. Exercise 3.6 1. Find the greatest common divisor of (i) 7x yz 2 4 , 21x y z 2 5 3 (ii) x y 2 , x y 3 , x y 2 2 (iii) 25bc d 4 3 , 35b c 2 5 , 45c d 3 (iv) 35x y z 5 3 4 , 49x yz 2 3 , 14xy z 2 2 2. Find the GCD of the following (i) c d 2 2 - , c c d-^ h (ii) 27x a x 4 3 - , x a3 2 -^ h (iii) 3 18m m 2 - - , 5 6m m 2 + + (iv) 14 33x x 2 + + , 10 11x x x 3 2 + - (v) 3 2x xy y 2 2 + + , 5 6x xy y 2 2 + + (vi) 2 1x x 2 - - , 4 8 3x x 2 + + (vii) 2x x 2 - - , 6x x 2 + - , 3 13 14x x 2 - + (viii) 1x x x 3 2 - + - , 1x 4 - (ix) 24 x x x6 2 4 3 2 - -^ h, 20 x x x2 3 6 5 4 + +^ h (x) a a1 35 2 - +^ ^h h , a a a2 1 32 3 4 - - +^ ^ ^h h h 3. Find the GCD of the following pairs of polynomials using division algorithm. (i) 9 23 15x x x 3 2 - + - , 4 16 12x x 2 - + (ii) 3 18 33 18x x x 3 2 + + + , 3 13 10x x 2 + + (iii) 2 2 2 2x x x 3 2 + + + , 6 12 6 12x x x 3 2 + + + (iv) 3 4 12x x x 3 2 - + - , 4 4x x x x 4 3 2 + + + 3.5.3 Least Common Multiple (LCM) The least common multiple of two or more algebraic expressions is the expression of lowest degree which is divisible by each of them without remainder. For example, consider the simple expressions , ,a a a 4 3 6 .
  • 100.
    90 10th Std.Mathematics Now, , , ,a a a 6 7 8 g are common multiples of ,a a aand 3 4 6 . Of all the common multiples, the least common multiple is a 6 Hence LCM of , ,a a a 4 3 6 is a 6 . Similarly, a b 3 7 is the LCM of a b 3 4 , ab 5 , a b 2 7 . We shall consider some more examples of finding LCM. Example 3.22 Find the LCM of the following. (i) 90, 150, 225 (ii) 35a c b 2 3 , 42a cb 3 2 , 30ac b 2 3 (iii) a a1 35 2 - +^ ^h h , a a a2 1 32 3 4 - - +^ ^ ^h h h (iv) x y 3 3 + , x y 3 3 - , x x y y 4 2 2 4 + + Solution (i) Now, 90 = 2 3 3 5# # # = 2 3 5 1 2 1 # # 150 = 2 3 5 5# # # = 2 3 5 1 1 2 # # 225 = 3 3 5 5# # # = 3 5 2 2 # The product 2 3 5 1 2 2 # # = 450 is the required LCM. (ii) Now, LCM of 35, 42 and 30 is 5 7 6# # = 210 Hence, the required LCM = 210 a c b 3 3 3 # # # = 210a c b 3 3 3 . (iii) Now, LCM of a a1 35 2 - +^ ^h h , a a a2 1 32 3 4 - - +^ ^ ^h h h is a a a1 3 25 4 2 - + -^ ^ ^h h h . (iv) Let us first find the factors for each of the given expressions. x y 3 3 + = x y x xy y 2 2 + - +^ ^h h x y 3 3 - = x y x xy y 2 2 - + +^ ^h h x x y y 4 2 2 4 + + = ( )x y x y 2 2 2 2 2 + - = x xy y x xy y 2 2 2 2 + + - +^ ^h h Thus, LCM = x y x xy y 2 2 + - +^ ^h h x y x xy y 2 2 - + +^ ^h h = x y x y 3 3 3 3 + -^ ^h h = x y 6 6 - . Exercise 3.7 Find the LCM of the following. 1. x y 3 2 , xyz 2. 3x yz 2 , 4x y 3 3 3. a bc 2 , b ca 2 , c ab 2 4. 66a b c 4 2 3 , 44a b c 3 4 2 , 24a b c 2 3 4 5. a m 1+ , a m 2+ , a m 3+ 6. x y xy 2 2 + , x xy 2 + 7. a3 1-^ h, 2 a 1 2 -^ h , a 1 2 -^ h 8. 2 18x y 2 2 - , 5 15x y xy 2 2 + , 27x y 3 3 + 9. x x4 32 3 + -^ ^h h , x x x1 4 3 2 - + -^ ^ ^h h h 10. 10 x xy y9 6 2 2 + +^ h, 12 x xy y3 5 2 2 2 - -^ h, 14 x x6 2 4 3 +^ h.
  • 101.
    Algebra 91 3.5.4 Relationbetween LCM and GCD We know that the product of two positive integers is equal to the product of their LCM and GCD. For example, 21 # 35 = 105 # 7, where LCM (21,35) =105 and GCD (21,35) = 7. In the same way, we have the following result: The product of any two polynomials is equal to the product of their LCM and GCD. That is, f x g x#^ ^h h = LCM (f(x) , g(x)) # GCD (f(x) , g(x)). Let us justify this result with an example. Let f x^ h = 12 x x 4 3 -^ h and g x^ h = 8 x x x3 2 4 3 2 - +^ h be two polynomials. Now, f x^ h = 12 x x 4 3 -^ h = 2 3 x x 1 2 3 # # # -^ h (1) Also, g x^ h = 8 x x x3 2 4 3 2 - +^ h = 2 x x x1 2 3 2 # # #- -^ ^h h (2) From (1) and (2) we get, LCM (f(x) , g(x)) = 2 3 x x x1 2 3 1 3 # # # #- -^ ^h h = 24x x x1 2 3 - -^ ^h h GCD (f(x) , g(x)) = 4x x 1 2 -^ h Therefore, LCM # GCD = 24 4x x x x x1 2 1 3 2 #- - -^ ^ ^h h h = 96x x x1 2 5 2 - -^ ^h h (3) Also, f x g x#^ ^h h = 12 8x x x x x1 1 2 3 2 #- - -^ ^ ^h h h = 96x x x1 2 5 2 - -^ ^h h (4) From (3) and (4) we obtain, LCM # GCD = f x g x#^ ^h h. Thus, the product of LCM and GCD of two polynomials is equal to the product of the two polynomials. Further, if f x^ h, g x^ h and one of LCM and GCD are given, then the other can be found without ambiguity because LCM and GCD are unique, except for a factor of –1. Example 3.23 The GCD of 3 5 26 56x x x x 4 3 2 + + + + and 2 4 28x x x x 4 3 2 + - - + is 5 7x x 2 + + . Find their LCM. Solution Let f x^ h = 3 5 26 56x x x x 4 3 2 + + + + and g x^ h = 2 4 28x x x x 4 3 2 + - - + Given that GCD = 5 7x x 2 + + . Also, we have GCD # LCM = f x g x#^ ^h h. Thus, LCM = f x g x GCD #^ ^h h (1) Now, GCD divides both f x^ h and g x^ h. Let us divide f x^ h by the GCD. 1 – 2 8 1 5 7 1 3 5 26 56 1 5 7 2- 2- 26 2- 10- 14- 8 40 56 8 40 56 0
  • 102.
    92 10th Std.Mathematics Note When f x^ h is divided by GCD, we get the quotient as 2 8x x 2 - + . Now, (1) ( LCM = x x g x2 8 2 #- +^ ^h h Thus, LCM = x x x x x x2 8 2 4 28 2 4 3 2 - + + - - +^ ^h h. In the above problem, we can also divide g x^ h by GCD and multiply the quotient by f x^ h to get the required LCM. Example 3.24 The GCD and LCM of two polynomials are x 1+ and 1x 6 - respectively. If one of the polynomials is 1x 3 + , find the other. Solution Given GCD = x 1+ and LCM = 1x 6 - Let f x^ h = 1x 3 + . We know that LCM # GCD = f x g x#^ ^h h ( g x^ h = f x LCM GCD# ^ h = x x x 1 1 1 3 6 + - +^ ^h h = x x x x 1 1 1 1 3 3 3 + + - +^ ^ ^h h h = x x1 1 3 - +^ ^h h Hence, g x^ h = x x1 1 3 - +^ ^h h. Exercise 3.8 1. Find the LCM of each pair of the following polynomials. (i) 5 6x x 2 - + , 4 12x x 2 + - whose GCD is x 2- . (ii) 3 6 5 3x x x x 4 3 2 + + + + , 2 2x x x 4 2 + + + whose GCD is 1x x 2 + + . (iii) 2 15 2 35x x x 3 2 + + - , 8 4 21x x x 3 2 + + - whose GCD is x 7+ . (iv) 2 3 9 5x x x 3 2 - - + , 2 10 11 8x x x x 4 3 2 - - - + whose GCD is x2 1- . 2. Find the other polynomial q x^ h of each of the following, given that LCM and GCD and one polynomial p x^ h respectively. (i) x x1 22 2 + +^ ^h h , x x1 2+ +^ ^h h, x x1 22 + +^ ^h h. (ii) x x4 5 3 73 3 + -^ ^h h , x x4 5 3 7 2 + -^ ^h h , x x4 5 3 73 2 + -^ ^h h . (iii) x y x x y y 4 4 4 2 2 4 - + +^ ^h h, x y 2 2 - , x y 4 4 - . (iv) x x x4 5 1 3 - +^ ^h h, x x5 2 +^ h, x x x5 9 2 3 2 - -^ h. (v) x x x x1 2 3 3 2 - - - +^ ^ ^h h h, x 1-^ h, x x x4 6 3 3 2 - + -^ h. (vi) 2 x x1 4 2 + -^ ^h h, x 1+^ h, x x1 2+ -^ ^h h.
  • 103.
    Algebra 93 3.6 Rational expressions A rational number is defined as a quotient n m , of two integers m and n ! 0. Similarly a rational expression is a quotient q x p x ^ ^ h h of two polynomials p x^ h and q x^ h, where q x^ h is a non zero polynomial. Every polynomial p x^ h is a rational expression, since p x^ h can be written as p x 1 ^ h where 1 is the constant polynomial. However, a rational expression need not be a polynomial, for example x x 1 2 + is a rational expression but not a polynomial. Some examples of rational expressions are x2 7+ , x x x 1 3 2 2 + + + , x x x x 3 2 5 2 3 + - + + . 3.6.1 Rational expressions in lowest form If the two polynomials p x^ h and q x^ h have the integer coefficients such that GCD of p x^ h and q x^ h is 1, then we say that q x p x ^ ^ h h is a rational expression in its lowest terms. If a rational expression is not in its lowest terms, then it can be reduced to its lowest terms by dividing both numerator p x^ h and denominator q x^ h by the GCD of p x^ h and q x^ h. Let us consider some examples. Example 3.25 Simplify the rational expressions into lowest forms. (i) x x 7 28 5 20 + + (ii) x x x x 3 2 5 3 4 3 2 + - (iii) x x x x 9 12 5 6 5 1 2 2 + - - + (iv) x x x x x x 1 2 3 3 5 4 2 2 - - - - - + ^ ^ ^ ^ h h h h Solution (i) Now, x x 7 28 5 20 + + = x x 7 4 5 4 + + ^ ^ h h = 7 5 (ii) Now, x x x x 3 2 5 3 4 3 2 + - = x x x x 2 3 5 3 2 + - ^ ^ h h = x x x 2 3 5 + - ^ h (iii) Let p x^ h = 6 5 1x x 2 - + = x x2 1 3 1- -^ ^h h and q x^ h = 9 12 5x x 2 + - = x x3 5 3 1+ -^ ^h h Therefore, q x p x ^ ^ h h = x x x x 3 5 3 1 2 1 3 1 + - - - ^ ^ ^ ^ h h h h = x x 3 5 2 1 + - (iv) Let f x^ h = x x x3 5 4 2 - - +^ ^h h= x x x3 1 4- - -^ ^ ^h h h and g x^ h = x x x1 2 3 2 - - -^ ^h h= x x x1 3 1- - +^ ^ ^h h h Therefore, g x f x ^ ^ h h = x x x x x x 1 3 1 3 1 4 - - + - - - ^ ^ ^ ^ ^ ^ h h h h h h = x x 1 4 + -
  • 104.
    94 10th Std.Mathematics Exercise 3.9 Simplify the following into their lowest forms. (i) x x x x 3 12 6 9 2 2 - + (ii) x x 1 1 4 2 - + (iii) x x x 1 1 2 3 + + - (iv) x x 9 27 2 3 - - (v) x x x x 1 1 2 4 2 + + + + (Hint: 1x x 4 2 + + = x x1 2 2 2 + -^ h ) (vi) x x x 4 16 8 4 2 3 + + + (vii) x x x x 2 5 3 2 3 2 2 + + + - (viii) x x x 9 2 6 2 162 2 4 + - - ^ ^h h (ix) x x x x x x 4 2 3 3 5 4 2 2 - - - - - + ^ ^ ^ ^ h h h h (x) x x x x x x 10 13 40 8 5 50 2 2 + - + - + - ^ ^ ^ ^ h h h h (xi) x x x x 8 6 5 4 9 5 2 2 + - + + (xii) x x x x x x x 7 3 2 1 2 9 14 2 2 - - + - - - + ^ ^ ^ ^ ^ h h h h h 3.6.2 Multiplication and division of rational expressions If q x p x ^ ^ h h ; q x 0!^ h and h x g x ^ ^ h h ; h x 0!^ h are two rational expressions, then (i) their product q x p x h x g x # ^ ^ ^ ^ h h h h is defined as q x h x p x g x # # ^ ^ ^ ^ h h h h (ii) their division q x p x h x g x ' ^ ^ ^ ^ h h h h is defined as q x p x g x h x # ^ ^ ^ ^ h h h h . Thus, q x p x h x g x ' ^ ^ ^ ^ h h h h = q x g x p x h x # # ^ ^ ^ ^ h h h h Example 3.26 Multiply (i) z x y 9 4 3 2 by x y z27 4 2 5 (ii) a ab b a b 2 2 2 3 3 + + + by a b a b 2 2 - - (iii) x x 4 8 2 3 - - by x x x x 2 4 6 8 2 2 + + + + Solution (i) Now, z x y x y z 9 27 4 3 2 4 2 5 # = (9 ) ( ) ( ) (27 ) z x y x y z 4 4 2 3 2 5 = x z3 . (ii) a ab b a b 2 2 2 3 3 + + + # a b a b 2 2 - - = ( )a b a b a b a ab b a b a b a b 2 2 # + + + - + - + - ^ ^ ^ ^ ^ ^ h h h h h h = a ab b 2 2 - + . (iii) Now, x x 4 8 2 3 - - # x x x x 2 4 6 8 2 2 + + + + = x x x x x x 2 2 2 4 4 2 2 2 3 3 2# - - + + + +^ ^h h = x x x x x x x x x 2 2 2 2 4 2 4 4 2 2 2# + - - + + + + + + ^ ^ ^ ^ ^ ^ h h h h h h = x 4+ . Example 3.27 Divide (i) x x 1 4 4 2 - - by x x 1 1 + - (ii) x x 3 1 3 + - by x x x 3 9 1 2 + + + (iii) x x 25 1 2 2 - - by x x x x 4 5 4 5 2 2 + - - -
  • 105.
    Algebra 95 Solution (i) x x 1 44 2 - - ' x x 1 1 + - = ( ) ( )x x x x x 1 1 4 1 1 1 # + - - - + ^ ^ ^ h h h = x 1 4 - . (ii) x x 3 1 3 + - ' x x x 3 9 1 2 + + + = ( )( ) x x x x 3 1 1 2 + - + + # ( ) x x x 1 3 3 2 + + + = 3(x–1). (iii) x x x x x x 25 1 4 5 4 5 2 2 2 2 ' - - + - - - = x x x x x x x x 5 5 1 1 5 1 5 1 # + - + - - + + - ^ ^ ^ ^ ^ ^ ^ ^ h h h h h h h h = x x x x 5 5 1 1 - - - - ^ ^ ^ ^ h h h h = x x x x 10 25 2 1 2 2 - + - + . Exercise 3.10 1. Multiply the following and write your answer in lowest terms. (i) x x x x x 2 2 2 3 6 2 # + - - + (ii) x x x x x x 4 81 5 36 6 8 2 2 2 2 # - - - - + + (iii) x x x x x x x 20 3 10 8 2 4 2 2 3 2 # - - - - + - + (iv) 4 16 x x x x x x x x x 3 2 16 64 4 2 8 2 2 2 3 2 2# # - + - + - - - - + (v) x x x x x x x x 2 3 2 1 3 5 2 2 3 2 2 2 2 2 # - - + - + - - - (vi) x x x x x x x x x x 2 4 2 1 2 5 3 8 2 3 2 2 4 2# # + + - + - - - + 2. Divide the following and write your answer in lowest terms. (i) x x x x 1 1 2 2 ' + - (ii) x x x x 49 36 7 6 2 2 ' - - + + (iii) x x x x x x x 25 4 5 7 10 3 10 2 2 2 2 ' - - - + + - - (iv) x x x x x x x x 4 77 11 28 2 15 7 12 2 2 2 2 ' - - + + - - + + (v) x x x x x x x x 3 10 2 13 15 4 4 2 6 2 2 2 2 ' + - + + - + - - (vi) x x x x x x 9 16 3 4 3 2 1 4 4 2 2 2 2 ' - - - - - - (vii) x x x x x x x x 2 9 9 2 5 3 2 3 2 1 2 2 2 2 ' + + + - + - + - 3.6.3 Addition and subtraction of rational expressions If q x p x ^ ^ h h and s x r x ^ ^ h h are any two rational expressions with q x 0!^ h and s x 0!^ h , then we define the sum and the difference (subtraction) as q x p x s x r x ! ^ ^ ^ ^ h h h h = . . q x s x p x s x q x r x! ^ ^ ^ ^ ^ ^ h h h h h h Example 3.28 Simplify (i) x x x x 3 2 2 1 + + + - - (ii) x x 1 1 2 - + ^ h + x 1 1 + (iii) x x x x x x x 9 6 12 2 24 2 2 2 2 - - - + - - + -
  • 106.
    96 10th Std.Mathematics Solution (i) x x x x 3 2 2 1 + + + - - = x x x x x x 3 2 2 2 1 3 + - + - + - + ^ ^ ^ ^ ^ ^ h h h h h h = x x x x 6 2 2 7 2 2 + - + - (ii) x x 1 1 2 - + ^ h + x 1 1 + = x x x x 1 1 1 1 2 2 2 - + + + - ^ ^ ^ ^ h h h h = x x x 1 1 2 2 2 2 - + + ^ ^h h = x x x x 1 2 2 3 2 2 - - + + (iii) x x x x x x x 9 6 12 2 24 2 2 2 2 - - - + - - + - = x x x x x x x x 3 3 3 2 3 4 6 4 + - - + + + - + - ^ ^ ^ ^ ^ ^ ^ ^ h h h h h h h h = x x x x 3 2 3 6 + + + + + = x x x 3 2 6 + + + + = x x 3 2 8 + + Example 3.29 What rational expression should be added to x x 2 1 2 3 + - to get x x x 2 2 3 2 3 2 + - + ? Solution Let p x^ h be the required rational expression. Given that x x 2 1 2 3 + - + p x^ h = x x x 2 2 3 2 3 2 + - + p x^ h = x x x 2 2 3 2 3 2 + - + - x x 2 1 2 3 + - = x x x x 2 2 3 1 2 3 2 3 + - + - + = x x x 2 4 2 3 2 + - + Example 3.30 Simplify x x x x x x 1 2 1 2 1 1 1 2 - - - + + + + +c m as a quotient of two polynomials in the simplest form. Solution Now, x x x x x x 1 2 1 2 1 1 1 2 - - - + + + + +c m = x x x x x x x x 1 2 1 2 1 2 1 1 1 1 2 - + - + - + - + + + ^ ^ ^ ^ ^ ^ h h h h h h ; E = x x x x x x 1 2 1 4 1 1 1 2 2 2 - + - - - + + + ^ ^ ^ ^ h h h h = x x x x x 1 2 1 3 1 2 2 - + + + + ^ ^h h = x x x x x x x 1 2 1 3 1 2 1 2 1 2 2 - + + + + - + ^ ^ ^ ^ ^ ^ h h h h h h = x x x x x x 2 2 1 5 6 3 2 3 2 3 2 + - - + - - Exercise 3.11 1. Simplify the following as a quotient of two polynomials in the simplest form. (i) x x x2 2 8 3 - + - (ii) x x x x x x 3 2 2 2 3 3 2 2 + + + + - - - (iii) x x x x x x x 9 6 12 2 24 2 2 2 2 - - - + - - + - (iv) x x x x x x 7 10 2 2 15 3 2 2 - + - + - - +
  • 107.
    Algebra 97 (v) x x xx x x x x 3 2 2 5 3 2 3 2 2 7 4 2 2 2 2 - + - + - - - - - (vi) x x x x x x x 6 8 4 20 11 30 2 2 2 2 + + - - - - - + (vii) x x x x x x 1 2 5 1 1 1 3 2 2 2 + + + - + - - - ` j= G (viii) x x x x x x3 2 1 5 6 1 4 3 2 2 2 2 + + + + + - + + . 2. Which rational expression should be added to x x 2 1 2 3 + - to get x x x 2 3 2 4 2 3 2 + + + ? 3. Which rational expression should be subtracted from x x x 2 1 4 7 5 3 2 - - + to get x x2 5 1 2 - + ? 4. If P = x y x + , Q = x y y + , then find P Q P Q Q1 2 2 2- - - . 3.7 Square root Let a R! be a non negative real number. A square root of a, is a real number b such that b a 2 = . The positive square root of a is denoted by a2 or a . Even though both ( 3) 9 ( )3 9and2 2 - = + = aretrue,theradicalsign isusedtoindicatethepositivesquare rootofthenumberunderit.Hence 3 .9 = Similarly,wehave 11, 100.121 10000= = In the same way, the square root of any expression or a polynomial is an expression whose square is equal to the given expression. In the case of polynomials, we take p x p x2 =^^ ^hh h , where ( )p x = ( ) ( ) 0 ( ) ( ) 0 p x p x p x p x if if 1 $ - ) . For example, x a 2 -^ h = x a-^ h and a b 2 -^ h = a b-^ h . In general, the following two methods are very familiar to find the square root of a given polynomial (i) factorization method (ii) division method. In this section, let us learn the factorization method through some examples for both the expressions and polynomials when they are factorable. 3.7.1 Square root by factorization method Example 3.31 Find the square root of (i) 121 x a x b x c4 6 12 - - -^ ^ ^h h h (ii) w s x y z 64 81 12 14 4 6 8 (iii) (2 3 ) 24x y xy 2 + - Solution (i) x a x b x c121 4 6 12 - - -^ ^ ^h h h = 11 x a x b x c2 3 6 - - -^ ^ ^h h h (ii) w s x y z 64 81 12 14 4 6 8 = w s x y z 8 9 6 7 2 3 4 (iii) x y xy2 3 242 + -^ h = x xy y xy4 12 9 24 2 2 + + - = x y2 3 2 -^ h = 2 3x y-^ h
  • 108.
    98 10th Std.Mathematics Example 3.32 Find the square root of (i) 4 20 25x xy y 2 2 + + (ii) 2x x 16 6+ - (iii) x x x x x x6 2 3 5 2 2 1 2 2 2 - - - + - -^ ^ ^h h h Solution (i) x xy y4 20 25 2 2 + + = x y2 5 2 +^ h = 2 5x y+^ h (ii) x x 1 2 6 6+ - = x x 13 3 2 -c m = x x 13 3-c m (iii) First, let us factorize the polynomials 6 2x x 2 - - = x x2 1 3 2+ -^ ^h h ; 3 5 2x x 2 - + = x x3 2 1- -^ ^h h and 2 1x x 2 - - = x x1 2 1- +^ ^h h Now, x x x x x x6 2 3 5 2 2 1 2 2 2 - - - + - -^ ^ ^h h h = x x x x x x2 1 3 2 3 2 1 1 2 1# #+ - - - - +^ ^ ^ ^ ^ ^h h h h h h = x x x2 1 3 2 12 2 2 + - -^ ^ ^h h h = 2 1 3 2 1x x x+ - -^ ^ ^h h h Exercise 3.12 1. Find the square root of the following (i) 196a b c 6 8 10 (ii) 289 a b b c4 6 - -^ ^h h (iii) 44x x11 2 + -^ h (iv) 4x y xy2 - +^ h (v) 121x y 8 6 ' 81x y 4 8 (vi) x y a b b c a b x y b c 25 64 4 6 10 4 8 6 + - + + - - ^ ^ ^ ^ ^ ^ h h h h h h 2. Find the square root of the following: (i) 16 24 9x x 2 - + (ii) x x x x x25 8 15 2 15 2 2 2 - + + - -^ ^ ^h h h (iii) 4 9 25 12 30 20x y z xy yz zx 2 2 2 + + - + - (iv) 2x x 14 4+ + (v) x x x x x x6 5 6 6 2 4 8 3 2 2 2 + - - - + +^ ^ ^h h h (vi) x x x x x x2 5 2 3 5 2 6 1 2 2 2 - + - - - -^ ^ ^h h h 3.7.2 Finding the square root of a polynomial by division method In this method, we find the square root of a polynomial which cannot easily be reduced into product of factors. Also division method is a convenient one when the polynomials are of higher degrees. One can find the square root of a polynomial the same way of finding the square root of a positive integer. Let us explain this method with the following examples.
  • 109.
    Algebra 99 Let ()p x = 9 12 10 4 1x x x x 4 3 2 + + + + 3x 2 + 2x + 1 3x 2 9 12 10 4 1x x x x 4 3 2 + + + + 9x 4 6 2x x 2 + 12 10x x 3 2 + 12 4x x 3 2 + 6 4 1x x 2 + + 6 4 1x x 2 + + 6 4 1x x 2 + + 0 Remarks To find (i) 66564 (ii) x x x x9 12 10 4 1 4 3 2 + + + + 2 5 8 2 6 65 64 4 45 2 65 2 25 508 40 64 40 64 0 Therefore, 66564 = 258 and x x x x9 12 10 4 1 4 3 2 + + + + = x x3 2 1 2 + + (i) While writing the polynomial in ascending or descending powers of x, insert zeros for missing terms. (ii) The above method can be compared with the following procedure. x x x x9 12 10 4 1 4 3 2 + + + + = a b c 2 + +^ h Therefore, it is a matter of finding the suitable a, b and c. Now, ( )a b c 2 + + = 2 2 2a b c ab bc ca 2 2 2 + + + + + = 2 2 2a b ab ac bc c 2 2 2 + + + + + = a a b b a b c c2 2 2 2 + + + + +^ ^h h = x x x x x x3 6 2 2 6 4 1 1 2 2 2 2 + + + + +^ ^ ^ ^ ^h h h h h Thus, x x x x9 12 10 4 1 4 3 2 + + + + = x x3 2 1 2 + + , where a = 3x 2 , b = x2 and c = 1 Aliter : To find the square root, first write 9 12 10 4 1x x x x 4 3 2 + + + + = ( )mx nx l 2 2 + + = ( )m x mnx n lm x nlx l2 2 2 2 4 3 2 2 2 + + + + + Compare the coefficients and then find the suitable constants m, n, l. (iii) It is also quite interesting to note the following : x x x x25 30 29 12 4 4 3 2 - + - + = x x x x x25 30 9 20 12 4 4 3 2 2 - + + - + = 10 ( 3 ) ( )x x x x x x5 3 10 6 2 2 2 2 2 2 + + - - + - +^ ^h h6 @ = ( ) ( ) ( 3 ) 2(5 ) 2( 3 ) 2 2x x x x x x5 2 5 3 2 2 2 2 + + - - + + - +^ h 6 6@ @ = ( ) ( ) 2 2( )a a b b a b c c2 2 + + - - + + - +6 6@ @ = ( ) ( ) ( )a b c a b b c ac2 2 2 2 2 2 + - + + - + - + = ( )a b c 2 - + , where , ,a x b x c5 3 2 2 = = = ` 5 3 2x x x x x x25 30 29 12 4 24 3 2 - + - + = - + .
  • 110.
    100 10th Std.Mathematics Example 3.33 Find the square root of 10 37 60 36x x x x 4 3 2 - + - + . Solution Given polynomial is already in descending powers of x. 5 6x x 2 - + x 2 10 37 60 36x x x x 4 3 2 - + - + x 4 2 5x x 2 - 10 37x x 3 2 - + 10 25x x 3 2 - + 2 10 6x x 2 - + 12 60 36x x 2 - + 12 60 36x x 2 - + 0 Thus, x x x x10 37 60 36 4 3 2 - + - + = x x5 6 2 - +^ h Example 3.34 Find the square root of x x x x6 19 30 25 4 3 2 - + - + Solution Let us write the polynomial in ascending powers of x and find the square root. x x5 3 2 - + 5 x x x x25 30 19 6 2 3 4 - + - + 25 10–3x x x30 19 2 - + 30 9x x 2 - + x x10 6 2 - + x x x10 6 2 3 4 - + x x x10 6 2 3 4 - + 0 Hence, the square root of the given polynomial is x x3 5 2 - + Example 3.35 If 28 12 9m nx x x x 2 3 4 - + + + is a perfect square, then find the values of m and n. Solution Arrange the polynomial in descending power of x. 9 12 28x x x nx m 4 3 2 + + - + .
  • 111.
    Algebra 101 Definition Now, 3 2 4x x 2 + + 3x 2 9 12 28x x x nx m 4 3 2 + + - + 9x 4 6 2x x 2 + 12 28x x 3 2 + 12 4x x 3 2 + 6 4 4x x 2 + + 24x nx m 2 - + 24 16 16x x 2 + + 0 Since the given polynomial is a perfect square, we must have n = –16 and m = 16. Exercise 3.13 1. Find the square root of the following polynomials by division method. (i) 4 10 12 9x x x x 4 3 2 - + - + (ii) 4 8 8 4 1x x x x 4 3 2 + + + + (iii) 9 6 7 2 1x x x x 4 3 2 - + - + (iv) 4 25 12 24 16x x x x 2 3 4 + - - + 2. Find the values of a and b if the following polynomials are perfect squares. (i) 4 12 37x x x ax b 4 3 2 - + + + (ii) 4 10x x x ax b 4 3 2 - + - + (iii) 109ax bx x x60 36 4 3 2 + + - + (iv) 40 24 36ax bx x x 4 3 2 - + + + 3.8 Quadratic equations Greek mathematician Euclid developed a geometrical approach for finding out lengths which in our present day terminology, are solutions of quadratic equations. Solving quadratic equations in general form is often credited to ancient Indian Mathematicians. In fact, Brahma Gupta (A.D 598 - 665) gave an explicit formula to solve a quadratic equation of the form ax bx c 2 + = . Later Sridhar Acharya (1025 A.D) derived a formula, now known as the quadratic formula, (as quoted by Bhaskara II) for solving a quadratic equation by the method of completing the square. In this section, we will learn solving quadratic equations, by various methods. We shall also see some applications of quadratic equations. A quadratic equation in the variable x is an equation of the form 0ax bx c 2 + + = , where a, b, c are real numbers and a 0! . In fact, any equation of the form p x 0=^ h , where p x^ h is a polynomial of degree 2, is a quadratic equation, whose standard form is 0ax bx c 2 + + = , a 0! . For example, 2 3 4 0x x 2 - + = , 1 0x x 2 - + = are some quadratic equations.
  • 112.
    102 10th Std.Mathematics 3.8.1 Solution of a quadratic equation by factorization method Factorization method can be used when the quadratic equation can be factorized into linear factors. Given a product, if any factor is zero, then the whole product is zero. Conversely, if a product is equal to zero, then some factor of that product must be zero, and any factor which contains an unknown may be equal to zero. Thus, in solving a quadratic equation, we find the values of x which make each of the factors zero. That is, we may equate each factor to zero and solve for the unknown. Example 3.36 Solve 6 5 25x x 2 - - = 0 Solution Given 6 5 25x x 2 - - = 0. First, let us find a and b such that a b+ = –5 and ab = 6 ×(–25) = –150, where –5 is the coefficient of x. Thus, we get a = –15 and b = 10. Next, 6 5 25x x 2 - - = 6 15 10 25x x x 2 - + - = x x x3 2 5 5 2 5- + -^ ^h h = x x2 5 3 5- +^ ^h h. Therefore, the solution set is obtained from x2 5- = 0 and x3 5+ = 0 Thus, x = 2 5 , x = 3 5- . Hence, solution set is , 3 5 2 5-$ .. Example 3.37 Solve x x x x7 21 6 6 9 1 9 1 2 2- - - + + - = 0 Solution Given equation appears to be a non-quadratic equation. But when we simplify the equation, it will reduce to a quadratic equation. Now, x x x x7 3 6 3 1 3 3 1 2- - - + + -^ ^ ^ ^h h h h = 0 ( x x x x x 7 3 3 6 9 7 3 7 3 2 2 - + - - + + - ^ ^ ^ ^ ^ h h h h h = 0 ( 6 54 42x 2 - - = 0 ( 16x 2 - = 0 The equation 16x 2 = is quadratic and hence we have two values x = 4 and x= –4. ` Solution set is ,4 4-" , Example 3.38 Solve x24 10- = x3 4- , x3 4 0>- Solution Given x24 10- = x3 4- Squaring on both sides, we get, x24 10- = x3 4 2 -^ h ( 16 14 15x x 2 - - = 0 ( 16 24 10 15x x x 2 - + - = 0
  • 113.
    Algebra 103 Remarks ( ( )( )x x8 5 2 3 0+ - = which gives x = 2 3 or 8 5- When x = 2 3 , x3 4 3 4 2 3 01- = - ` j and hence, x = 2 3 is not a solution of the equation. When ,x x 8 5 3 4 02=- - and hence, the solution set is 8 5-$ .. To solve radical equation like the above, we rely on the squaring property : .a b a b2 2 (= = Unfortunately, this squaring property does not guarantee that all solutions of the new equation are solutions of the original equation. For example, on squaring the equation x = 5 we get x 252 = , which in turn gives x = 5 and x = –5. But x = –5 is not a solution of the original equation. Such a solution is called an extraneous solution. Thus, the above example shows that when squaring on both sides of a radical equation, the solution of the final equation must be checked to determine whether they are solutions of the original equation or not. This is necessary because no solution of the original equation will be lost by squaring but certain values may be introduced which are roots of the new equation but not of the original equation. Exercise 3.14 Solve the following quadratic equations by factorization method. (i) 81x2 3 2 + -^ h = 0 (ii) 3 5 12x x 2 - - = 0 (iii) 3x x5 2 5 2 + - = 0 (iv) 3 x 6 2 -^ h = x x 7 3+ -^ h (v) x x 3 8- = 2 (vi) x x 1+ = 5 26 (vii) x x x x 1 1 + + + = 15 34 (viii) 1a b x a b x 2 2 2 2 2 - + +^ h = 0 (ix) 2 5x x1 12 + - +^ ^h h = 12 (x) 3 5x x4 42 - - -^ ^h h = 12 3.8.2 Solution of a quadratic equation by completing square From 2 x b x bx b 2 2 2 2 + = + +` `j j , note that the last term b 2 2 ` j is the square of half the coefficient of x. Hence, the x bx2 + lacks only the term b 2 2 ` j of being the square of x b 2 + .Thus, if the square of half the coefficient of x be added to an expression of the form x bx2 + , the result is the square of a binomial. Such an addition is usually known as completing the square. In this section, we shall find the solution of a quadratic equation by the method of completing the square through the following steps. Step 1 If the coefficient of x2 is 1, go to step 2. If not, divide both sides of the equation by the coefficient of x2 . Get all the terms with variable on one side of equation. Step 2 Find half the coefficient of x and square it. Add this number to both sides of the equation. To solve the equation, use the square root property: x t x t x tor2 (= = =- where t is non-negative.
  • 114.
    104 10th Std.Mathematics Example 3.39 Solve the quadratic equation 5 6 2x x 2 - - = 0 by completing the square. Solution Given quadratic equation is 5 6 2x x 2 - - = 0 ( x x 5 6 5 22 - - = 0 (Divide on both sides by 5) ( 2x x 5 32 - ` j = 5 2 ( 5 3 is the half of the coefficient of x ) ( 2x x 5 3 25 92 - +` j = 25 9 5 2+ ( add 5 3 25 92 =` j on both sides ) ( x 5 3 2 -` j = 25 19 ( x 5 3- = 25 19! (take square root on both sides) Thus, we have x = 5 3 5 19! = 5 3 19! . Hence, the solution set is , 5 3 19 5 3 19+ -' 1. Example 3.40 Solve the equation 3 2a x abx b 2 2 2 - + = 0 by completing the square Solution There is nothing to prove if a = 0. For a 0! , we have 3 2a x abx b 2 2 2 - + = 0 ( x a b x a b3 22 2 2 - + = 0 ( 2x a b x 2 32 - ` j = a b2 2 2 - ( 2x a b x a b 2 3 4 92 2 2 - +` j = a b a b 4 9 2 2 2 2 2 - ( x a b 2 3 2 -` j = a b b 4 9 8 2 2 2 - ( x a b 2 3 2 -` j = a b 4 2 2 ( x a b 2 3- = a b 2 ! ( x = a b b 2 3 ! Therefore, the solution set is , a b a b2 $ .. 3.8.3 Solution of quadratic equation by formula method In this section, we shall derive the quadratic formula, which is useful for finding the roots of a quadratic equation. Consider a quadratic equation 0ax bx c 2 + + = , a 0! . We rewrite the given equation as x a b x a c2 + + = 0 ( 2x a b x a c 2 2 + +` j = 0 ( 2x a b x 2 2 + ` j = a c- Adding a b a b 2 4 2 2 2 =` j both sides we get, 2x a b x a b 2 2 2 2 + +` `j j = a b a c 4 2 2 -
  • 115.
    Algebra 105 Thatis, x a b 2 2 +` j = a b ac 4 4 2 2 - ( x a b 2 + = a b ac 4 4 2 2 ! - = a b ac 2 42 ! - So, we have x = a b b ac 2 4 2 !- - (1) The solution set is , a b b ac a b b ac 2 4 2 4 2 2 - + - - - -' 1. The formula given in equation (1) is known as quadratic formula. Now, let us solve some quadratic equations using quadratic formula. Example 3.41 Solve the equation x x1 1 2 2 + + + = x 4 4 + , where x 1 0!+ , x 2 0!+ and x 4 0!+ using quadratic formula. Solution Note that the given equation is not in the standard form of a quadratic equation. Consider x x1 1 2 2 + + + = x 4 4 + That is, x 1 1 + = x x 2 4 2 2 1 + - + ; E = x x x x2 4 2 2 4 4 + + + - - ^ ^h h ; E x 1 1 + = x x x2 2 4+ +^ ^h h 8 B 6 8x x 2 + + = 2 2x x 2 + Thus, we have 4 8x x 2 - - = 0, which is a quadratic equation. (The above equation can also be obtained by taking LCM ) Using the quadratic formula we get, x = 2 1 4 16 4 1 8! - - ^ ^ ^ h h h = 2 4 48! Thus, x = 2 2 3+ or 2 2 3- Hence, the solution set is ,2 2 3 2 2 3- +" , Exercise 3.15 1 Solve the following quadratic equations by completing the square . (i) 6 7x x 2 + - = 0 (ii) 3 1x x 2 + + = 0 (iii) 2 5 3x x 2 + - = 0 (iv) 4 4x bx a b 2 2 2 + - -^ h = 0 (v) x x3 1 3 2 - + +^ h = 0 (vi) x x 1 5 7 - + = x3 2+
  • 116.
    106 10th Std.Mathematics 2. Solve the following quadratic equations using quadratic formula. (i) 7 12x x 2 - + = 0 (ii) 15 11 2x x 2 - + = 0 (iii) x x 1+ = 2 2 1 (iv) 3 2a x abx b 2 2 2 - - = 0 (v) a x 1 2 +^ h = x a 1 2 +^ h (vi) 36 12x ax a b 2 2 2 - + -^ h = 0 (vii) x x x x 1 1 4 3 + - + - - = 3 10 (viii) a x a b x b 2 2 2 2 2 + - -^ h = 0 3.8.4 Solution of problems involving quadratic equations In this section, we will solve some simple problems expressed in words and some problems describing day-to-day life situations involving quadratic equation. First we shall form an equation translating the given statement and then solve it. Finally, we choose the solution that is relevant to the given problem. Example 3.42 The sum of a number and its reciprocal is 5 5 1 . Find the number. Solution Let x denote the required number. Then its reciprocal is x 1 By the given condition, x x 1+ = 5 5 1 ( x x 1 2 + = 5 26 So, 5 26 5x x 2 - + = 0 ( 5 25 5x x x 2 - - + = 0 That is, x x5 1 5- -^ ^h h = 0 ( x = 5 or 5 1 Thus, the required numbers are 5, 5 1 . Example 3.43 The base of a triangle is 4cm longer than its altitude. If the area of the triangle is 48 sq. cm, then find its base and altitude. Solution Let the altitude of the triangle be x cm. By the given condition, the base of the triangle is (x 4+ ) cm. Now, the area of the triangle = 2 1 base height#^ h By the given condition x x 2 1 4+^ ^h h = 48 ( 4 96x x 2 + - = 0 ( x x12 8+ -^ ^h h = 0 ( x = 12- or 8 But x = 12- is not possible (since the length should be positive) Therefore, x = 8 and hence, x 4+ = 12. Thus, the altitude of the triangle is 8cm and the base of the triangle is 12 cm.
  • 117.
    Algebra 107 Example 3.44 A car left 30 minutes later than the scheduled time. In order to reach its destination 150km away in time, it has to increase its speed by 25km/hr from its usual speed. Find its usual speed. Solution Let the usual speed of the car be x km/hr. Thus, the increased speed of the car is x 25+^ h km/hr Total distance = 150km; Time taken = Speed Distance . Let T1 and T2 be the time taken in hours by the car to cover the given distance in scheduled time and decreased time (as the speed is increased) respectively. By the given information T T1 2- = 2 1 hr ( 30 minutes = 2 1 hr) ( x x 150 25 150- + = 2 1 ( x x x x150 25 25 + + - ^ h ; E = 2 1 ( x x25 75002 + - = 0 ( x x100 75+ -^ ^h h = 0 Thus, x = 75 or 100- , but x = 100- is not an admissible value. Therefore, the usual speed of the car is 75 km/hr. Exercise 3.16 1. The sum of a number and its reciprocal is 8 65 . Find the number. 2. The difference of the squares of two positive numbers is 45. The square of the smaller number is four times the larger number. Find the numbers. 3. A farmer wishes to start a 100 sq.m rectangular vegetable garden. Since he has only 30 m barbed wire, he fences the sides of the rectangular garden letting his house compound wall act as the fourth side fence. Find the dimension of the garden. 4. A rectangular field is 20 m long and 14 m wide. There is a path of equal width all around it having an area of 111 sq. metres. Find the width of the path on the outside. 5. A train covers a distance of 90 km at a uniform speed. Had the speed been 15 km/hr more, it would have taken 30 minutes less for the journey. Find the original speed of the train. 6. The speed of a boat in still water is 15 km/hr. It goes 30 km upstream and return downstream to the original point in 4 hrs 30 minutes. Find the speed of the stream. 7. One year ago, a man was 8 times as old as his son. Now his age is equal to the square of his son’s age. Find their present ages. 8. A chess board contains 64 equal squares and the area of each square is 6.25 cm 2 . A border around the board is 2cm wide. Find the length of the side of the chess board.
  • 118.
    108 10th Std.Mathematics 9. A takes 6 days less than the time taken by B to finish a piece of work. If both A and B together can finish it in 4 days, find the time that B would take to finish this work by himself. 10. Two trains leave a railway station at the same time. The first train travels due west and the second train due north. The first train travels 5km/hr faster than the second train. If after two hours, they are 50km apart, find the average speed of each train. 3.8.5 Nature of roots of a quadratic equation The roots of the equation 0ax bx c 2 + + = are given by x a b b ac 2 4 2 != - - . If 4 0b ac > 2 - , we get two distinct real roots x = a b b ac 2 4 2 - + - and x = a b b ac 2 4 2 - - - . If 4 0b ac 2 - = , then the equation has two equal roots x a b 2 = - . If 4 0b ac < 2 - , then b ac4 2 - is not a real number. Therefore there is no real root for the given quadratic equation. So, evidently the nature of roots depends on the values of 4b ac 2 - . The value of the expression 4b ac 2 - discriminates the nature of the roots of 0ax bx c 2 + + = and so it is called the discriminant of the quadratic equation and denoted by the symbol 3. Discriminant 3= 4b ac 2 - Nature of roots 3 > 0 Real and unequal 3 = 0 Real and equal. 3 < 0 No real roots. (It has imaginary roots) Example 3.45 Determine the nature of roots of the following quadratic equations (i) 11 10 0x x 2 - - = (ii) 4 28 49 0x x 2 - + = (iii) 2 5 5 0x x 2 + + = Solution For 0ax bx c 2 + + = , the discriminant, 4b ac 2 3= - . (i) Here, a = 1; b = –11 and c = –10. Now, the discriminant is 3 = 4b ac 2 - = 411 1 102 - - -^ ^ ^h h h = 121 40+ = 161 0Thus, >3 . Therefore, the roots are real and unequal. (ii) Here, a = 4, b = –28 and c = 49. Now, the discriminant is 3 = 4b ac 2 - = 428 4 492 - -^ ^ ^h h h = 0 Since 03= , the roots of the given equation are real and equal.
  • 119.
    Algebra 109 (iii) Here,a = 2, b = 5 and c = 5. Now, the discriminant 3 = 4b ac 2 - = 45 2 52 -^ ^ ^h h h = 25 – 40 = –15 Since 0<3 , the equation has no real roots. Example 3.46 Prove that the roots of the equation 2 0a b c x a b x a b c 2 - + + - + - - =^ ^ ^h h h are rational numbers for all real numbers a and b and for all rational c. Solution Let the given equation be of the form 0Ax Bx C 2 + + = . Then, A a b c= - + , B a b2= -^ h and C a b c= - - . Now, the discriminant of 0Ax Bx C 2 + + = is 4B AC 2 - = 4a b a b c a b c2 2 - - - + - -^ ^ ^h h h6 @ = 4 4a b a b c a b c2 - - - + - -^ ^ ^h h h6 6@ @ = 4 a b a b c42 2 2 - - - -^ ^h h6 @ 3 = 4 4 4a b a b c2 2 2 - - - +^ ^h h = 4c 2 , a perfect square. Therefore, 0>3 and it is a perfect square. Hence, the roots of the given equation are rational numbers. Example 3.47 Find the values of k so that the equation 2 7 0x x k k1 3 3 2 2 - + + + =^ ^h h has real and equal roots. Solution The given equation is 2 7 0x x k k1 3 3 2 2 - + + + =^ ^h h . (1) Let the equation (1) be in the form 0ax bx c 2 + + = Here, a 1= , b k2 3 1=- +^ h, c k7 3 2= +^ h. Now, the discriminant is 3 = 4b ac 2 - = 4k k2 3 1 1 7 3 22 - + - +^^ ^ ^ ^hh h h h = 4 28k k k9 6 1 3 2 2 + + - +^ ^h h = 4 k k9 8 20 2 - -^ h Given that the equation has equal roots. Thus, 3 = 0 ( 9 8 20k k 2 - - = 0 ( k k2 9 10- +^ ^h h = 0 Thus, k = 2, 9 10- .
  • 120.
    110 10th Std.Mathematics Exercise 3.17 1. Determine the nature of the roots of the equation. (i) 8 12 0x x 2 - + = (ii) 2 3 4 0x x 2 - + = (iii) 9 12 4 0x x 2 + + = (iv) 3 2 2 0x x6 2 - + = (v) 1 0x x 5 3 3 22 - + = (vi) x a x b ab2 2 4- - =^ ^h h 2. Find the values of k for which the roots are real and equal in each of the following equations. (i) 2 10 0x x k 2 - + = (ii) 12 4 3 0x kx 2 + + = (iii) 5 0x k x2 2 2 + - + =^ h (iv) 2 1 0k x k x1 1 2 + - - + =^ ^h h 3. Show that the roots of the equation 2 2 0x a b x a b 2 2 2 + + + + =^ ^h h are unreal. 4. Show that the roots of the equation 3 2 0p x pqx q 2 2 2 - + = are not real. 5. If the roots of the equation 2 0a b x ac bd x c d 2 2 2 2 2 + - + + + =^ ^h h , where a, b, c and d 0! , are equal, prove that b a d c= . 6. Show that the roots of the equation x a x b x b x c x c x a 0- - + - - + - - =^ ^ ^ ^ ^ ^h h h h h h are always real and they cannot be equal unless a b c= = . 7. If the equation 2 0m x mcx c a1 2 2 2 2 + + + - =^ h has equal roots, then prove that c a m1 2 2 2 = +^ h. 3.8.6 Relations between roots and coefficients of a quadratic equation Consider a quadratic equation 0ax bx c 2 + + = , where a , b , c are real numbers and a 0! . The roots of the given equation are anda b, where a = a b b ac 2 4 2 - + - and b = a b b ac 2 4 2 - - - . Then, the sum of the roots, a b+ = a b b ac 2 4 2 - + - + a b b ac 2 4 2 - - - = a b- = x x coefficient of coefficient of 2 - and the product of roots, ab = a b b ac 2 4 2 - + - # a b b ac 2 4 2 - - - = a b b ac 4 4 2 2 2 - -^ h = a ac 4 4 2 = a c = xcoefficient of constant term 2
  • 121.
    Algebra 111 Note Therefore,if ,a b are the roots of 0ax bx c 2 + + = , then (i) the sum of the roots, a b+ = a b- (ii) the product of roots, ab = a c Formation of quadratic equation when roots are given Let a and b be the roots of a quadratic equation. Then x a-^ h and (x b- ) are factors. ` x a-^ h (x b- ) = 0 ( x x2 a b ab- + +^ h = 0 That is, x xsum of roots product of roots 0 2 - + =^ h There are infinitely many quadratic equations with the same roots. Example 3.48 If one of the roots of the equation 3 10 0x x k 2 - + = is 3 1 , then find the other root and also the value of k. Solution The given equation is 3 10 0x x k 2 - + = . Let the two roots be a and b. ` a b+ = 3 10- -^ h = 3 10 (1) Substituting a = 3 1 in (1) we get b = 3 Also, ab = k 3 , ( k = 3 Thus, the other root b = 3 and the value of k = 3. Example 3.49 If the sum and product of the roots of the quadratic equation 5 0ax x c 2 - + = are both equal to 10, then find the values of a and c. Solution The given equation is 5 0ax x c 2 - + = . Sum of the roots, a 5 = 10, ( a 2 1= Product of the roots, a c = 10 ( c = 10a 10 2 1#= = 5 Hence, a = 2 1 and c 5=
  • 122.
    112 10th Std.Mathematics Note If anda b are the roots of 0ax bx c 2 + + = , then many expressions in anda b like , , 2 2 2 2 2 2 a b a b a b+ - etc., can be evaluated using the values of a b+ and ab. Let us write some results involving anda b. (i) ( ) 4 2 a b a b ab- = + - (ii) 2 2 a b+ = 22 a b ab+ -^ h6 @ (iii) 2 2 a b- = a b a b+ -^ ^h h = 42 a b a b ab+ + -^ ^h h6 @ only if $a b (iv) 3 3 a b+ = 33 a b ab a b+ - +^ ^h h (v) 3 3 a b- = 33 a b ab a b- + -^ ^h h (vi) 4 4 a b+ = 2 2 2 2 2 2 a b a b+ -^ h = 222 2 2 a b ab ab+ - -^ ^h h6 @ (vii) 4 4 a b- = 2 2 a b a b a b+ - +^ ^ ^h h h Example 3.50 If a and b are the roots of the equation 2 3 1 0x x 2 - - = , find the values of (i) 2 2 a b+ (ii) b a a b + (iii) a b- if >a b (iv) 2 2 b a a b +e o (v) 1 1a b a b+ +c `m j (vi) 4 4 a b+ (vii) 3 3 b a a b + Solution Given equation is x x2 3 1 02 - - = Let the given equation be written as 0ax bx c 2 + + = Then, a 2= , b 3=- , c 1=- . Given a and b are the roots of the equation. ` a b+ = a b- = 2 3- -^ h = 2 3 and 2 1ab =- (i) 2 2 a b+ = 22 a b ab+ -^ h = 2 2 3 2 12 - -` `j j = 4 9 1+ = 4 13 (ii) b a a b + = 2 2 ab a b+ = 22 ab a b ab+ -^ h = 2 1 2 3 2 2 12 - - -` `j j = 4 13 2# -^ h = 2 13- (iii) a b- = 42 a b ab+ -^ h = 2 3 4 2 12 2 1 #- -` `j j; E = 4 9 2 2 1 +` j = 2 17
  • 123.
    Algebra 113 (iv) 2 2 b a a b + = 3 3 ab a b+ = 33 ab a b ab a b+ - +^ ^h h = 2 1 8 27 4 9 - + = 4 45- (v) 1 1a b a b+ +c `m j = 1 1 ab ab ab+ +^ ^h h = 1 2 ab ab+^ h = 2 1 1 2 1 2 - -` j = 2 1- (vi) 4 4 a b+ = 2 2 2 2 2 2 a b a b+ -^ h = 2 4 13 2 12 2 - -` `j j = 16 169 2 1-` j = 16 161 . (vii) 3 3 b a a b + = 4 4 ab a b+ = 16 161 1 2-` `j j = 8 161- . Example 3.51 Form the quadratic equation whose roots are 7 3+ and 7 3- . Solution Given roots are 7 3+ and 7 3- . ` Sum of the roots = 7 3 7 3+ + - = 14. Product of roots = 7 3 7 3+ -^ ^h h = 7 32 2 -^ ^h h = 49 –3 = 46. The required equation is x xsum of the roots product of the roots 2 - +^ ^h h = 0 Thus, the required equation is 14 46x x 2 - + = 0 Example 3.52 If anda b are the roots of the equation 3 4 1x x 2 - + = 0, form a quadratic equation whose roots are 2 b a and 2 a b . Solution Since ,a b are the roots of the equation 3 4 1x x 2 - + = 0, we have a b+ = 3 4 , ab = 3 1 Now, for the required equation, the sum of the roots = 2 2 b a a b +e o = 3 3 ab a b+ = 33 ab a b ab a b+ - +^ ^h h = 3 1 3 4 3 3 1 3 43 # #-` j = 9 28 Also, product of the roots = 2 2 b a a bc cm m = ab = 3 1 ` The required equation is x x 9 28 3 12 - + = 0 or 9 28 3x x 2 - + = 0
  • 124.
    114 10th Std.Mathematics Exercise 3.18 1. Find the sum and the product of the roots of the following equations. (i) 6 5 0x x 2 - + = (ii) 0kx rx pk 2 + + = (iii) 3 5 0x x 2 - = (iv) 8 25 0x 2 - = 2. Form a quadratic equation whose roots are (i) 3 , 4 (ii) 3 7+ , 3 7- (iii) , 2 4 7 2 4 7+ - 3. If a and b are the roots of the equation 3 5 2x x 2 - + = 0 , then find the values of (i) b a a b + (ii) a b- (iii) 2 2 b a a b + 4. If a and b are the roots of the equation 3 6 4x x 2 - + = 0, find the value of 2 2 a b+ . 5. If a, b are the roots of 2 3 5x x 2 - - = 0, form a equation whose roots are 2 a and 2 b . 6. If a, b are the roots of 3 2x x 2 - + = 0, form a quadratic equation whose roots are a- and b- . 7. If a and b are the roots of 3 1x x 2 - - = 0, then form a quadratic equation whose roots are 1 1and2 2 a b . 8. If a and b are the roots of the equation 3 6 1x x 2 - + = 0, form an equation whose roots are (i) ,1 1 a b (ii) , 2 2 a b b a (iii) 2 , 2a b b a+ + 9. Find a quadratic equation whose roots are the reciprocal of the roots of the equation 4 3 1x x 2 - - = 0. 10. If one root of the equation 3 81x kx 2 + - = 0 is the square of the other, find k. 11. If one root of the equation x ax2 64 0 2 - + = is twice the other, then find the value of a 12. If a and b are the roots of 5 1x px 2 - + = 0 and a b- = 1, then find p. Exercise 3.19 Choose the correct answer. 1. If the system 6x – 2y = 3, kx – y = 2 has a unique solution, then (A) k = 3 (B) k 3! (C) k = 4 (D) k 4! 2. A system of two linear equations in two variables is inconsistent, if their graphs (A) coincide (B) intersect only at a point (C) do not intersect at any point (D) cut the x-axis 3. The system of equations x –4y = 8 , 3x –12y =24 (A) has infinitely many solutions (B) has no solution (C) has a unique solution (D) may or may not have a solution
  • 125.
    Algebra 115 4. Ifone zero of the polynomial p x^ h = (k +4)x 2 +13x+3k is reciprocal of the other, then k is equal to (A) 2 (B) 3 (C) 4 (D) 5 5. The sum of two zeros of the polynomial 2 ( 3) 5f x x p x 2 = + + +^ h is zero, then the value of p is (A) 3 (B) 4 (C) –3 (D) –4 6. The remainder when x x2 7 2 - + is divided by x+4 is (A) 28 (B) 29 (C) 30 (D) 31 7. The quotient when 5 7 4x x x 3 2 - + - is divided by x–1 is (A) 4 3x x 2 + + (B) 4 3x x 2 - + (C) 4 3x x 2 - - (D) 4 3x x 2 + - 8. The GCD of x 1 3 +^ h and 1x 4 - is (A) x 1 3 - (B) 1x 3 + (C) x +1 (D) x 1- 9. The GCD of 2x xy y 2 2 - + and x y 4 4 - is (A) 1 (B) x+y (C) x–y (D) x y 2 2 - 10. The LCM of x a 3 3 - and (x – a)2 is (A) ( )x a x a 3 3 - +^ h (B) ( )x a x a 3 3 2 - -^ h (C) x a x ax a2 2 2 - + +^ ^h h (D) x a x ax a2 2 2 + + +^ ^h h 11. The LCM of , ,a a a k k k3 5+ + where k Ne is (A) a k 9+ (B) a k (C) a k 6+ (D) a k 5+ 12. The lowest form of the rational expression 6x x x x5 6 2 2 - - + + is (A) x x 3 3 + - (B) x x 3 3 - + (C) x x 3 2 - + (D) x x 2 3 + - 13. If a b a b - + and a b a b 3 3 3 3 + - are the two rational expressions, then their product is (A) a ab b a ab b 2 2 2 2 - + + + (B) a ab b a ab b 2 2 2 2 + + - + (C) a ab b a ab b 2 2 2 2 + + - - (D) a ab b a ab b 2 2 2 2 - - + + 14. On dividing x x 3 25 2 + - by 9x x 5 2 - + is equal to (A) (x –5)(x–3) (B) (x –5)(x+3) (C) (x +5)(x–3) (D) (x +5)(x+3) 15. If a b a 3 - is added with b a b 3 - , then the new expression is (A) a ab b 2 2 + + (B) a ab b 2 2 - + (C) a b 3 3 + (D) a b 3 3 - 16. The square root of 49 ( 2 )x xy y 2 2 2 - + is (A) 7 x y- (B) 7 x y x y+ -^ ^h h (C) 7( )x y 2 + (D) 7( )x y 2 - 17. The square root of 2 2 2x y z xy yz zx 2 2 2 + + - + - (A) x y z+ - (B) x y z- + (C) x y z+ + (D) x y z- -
  • 126.
    116 10th Std.Mathematics Points to Remember 18. The square root of 121 ( )x y z l m 4 8 6 2 - is (A) 11x y z l m 2 4 4 - (B) 11 ( )x y z l m 34 4 - (C) 11x y z l m 2 4 6 - (D) 11 ( )x y z l m 32 4 - 19. If ax bx c 0 2 + + = has equal roots, then c is equal (A) a b 2 2 (B) a b 4 2 (C) a b 2 2 - (D) a b 4 2 - 20. If 5 16 0x kx 2 + + = has no real roots, then (A) k 5 82 (B) k 5 82- (C) k 5 8 5 81 1- (D) k0 5 81 1 21. A quadratic equation whose one root is 3 is (A) 6 0x x 5 2 - - = (B) 0x x6 5 2 + - = (C) 0x x5 6 2 - - = (D) 0x x5 6 2 - + = 22. The common root of the equations 0x bx c 2 - + = and x bx a 0 2 + - = is (A) b c a 2 + (B) b c a 2 - (C) a c b 2 + (D) c a b 2 + 23. If ,a b are the roots of ax bx c 0 2 + + = ,a 0=Y then the wrong statement is (A) a b ac22 2 2 2 a b+ = - (B) a cab = (C) a ba b+ = (D) c b1 1 a b + =- 24. If anda b are the roots of ax bx c 02 + + = , then one of the quadratic equations whose roots are 1 1and a b , is (A) ax bx c 02 + + = (B) 0bx ax c2 + + = (C) 0cx bx a2 + + = (D) 0cx ax b2 + + = 25. Let b = a + c . Then the equation 0ax bx c 2 + + = has equl roots, if (A) a = c (B) a = – c (C) a = 2c (D) a = –2c q A set of finite number of linear equations in two variables x yand is called a system of linear equations in x yand . Such a system is also called simultaneous equations. q Eliminating one of the variables first and then solving a system is called method of elimination. q The following arrow diagram helps us very much to apply the method of cross multiplication in solving a x b y c1 1 1+ + = 0 , a x b y c2 2 2+ + = 0. x y 1 q A real number k is said to be a zero of a polynomial p(x), if p(k) = 0. b1 b2 c1 c2 a1 a2 b1 b2
  • 127.
    Algebra 117 q Thebasic relationships between zeros and coefficients of a quadratic polynomial ( )p x ax bx c2 = + + are Sum of zeros = a b- = coefficient of coefficient of x x 2- Product of zeros = a c = coefficient of constant term x2 q (i) For any polynomial p x^ h, x a= is zero if and only if p a 0=^ h . (ii) x a- is a factor for p x^ h if and only if p a 0=^ h . q GCD of two or more algebraic expressions is the expression of highest degree which divides each of them without remainder. q LCM of two or more algebraic expressions is the expression of lowest degree which is divisible by each of them without remainder. q The product of LCM and GCD of any two polynomials is equal to the product of the two polynomials. q Let a R! be a non negative real number. A square root of a, is a real number b such that b a 2 = . The square root of a is denoted by a2 or a . q A quadratic equation in the variable x is of the form ax bx c 0 2 + + = , where a,b,c are real numbers and a 0! . q A quadratic equation can be solved by (i) the method of factorization (ii) the method of completing square (iii) using a quadratic formula. q The roots of a quadratic equation ax bx c 0 2 + + = are given by a b b ac 2 4 2 !- - , provided b ac4 0 2 $- . q A quadratic equation ax bx c 0 2 + + = has (i) two distinct real roots if b ac4 0 2 2- (ii) two equal roots if b ac4 0 2 - = , and (iii) no real roots if b ac4 0 2 1- Do you know? Fermat’s last theorem: Theequation x y zn n n + = hasnointegersolutionwhenn>2. Fermat wrote, “ I have discovered a truely remarkable proof which this margin is too small to contain ”. No one was able to solve this for over 300 years until British mathematicianAndrew Wiles solved it in 1994. Interestingly he came to know about this problem in his city library when he was a high school student.`
  • 128.
    118 10th Std.Mathematics 44 4.1 Introduction In this chapter we are going to discuss an important mathematical object called “MATRIX”. Here, we shall introduce matrices and study the basics of matrix algebra. Matrices were formulated and developed as a concept during 18th and 19th centuries. In the beginning, their development was due to transformation of geometric objects and solution of linear equations. However matrices are now one of the most powerful tools in mathematics. Matrices are useful because they enable us to consider an array of many numbers as a single object and perform calculations with these symbols in a very compact form. The “ mathematical shorthand” thus obtained is very elegant and powerful and is suitable for various practical problems. The term “Matrix” for arrangement of numbers, was introduced in 1850 by James Joseph Sylvester. “Matrix” is the Latin word for womb, and it retains that sense in English. It can also mean more generally any place in which something is formed or produced. Now let us consider the following system of linear equations in x and y : x y3 2 4- = (1) x y2 5 9+ = (2) We already know how to get the solution (2, 1) of this system by the method of elimination (also known as Gaussian Elimination method), where only the coefficients are used and not the variables. The same method can easily be executed and the solution can thus be obtained using matrix algebra. MATRICESMATRICES James Joseph Sylvester (1814-1897) England James Joseph Sylvester made fundamental contributions to matrix theory, invariant theory, number theory and combinatorics. He determined all matrices that commute with a given matrix. He introduced many mathematical terms including “discriminant”. In 1880, the Royal Society of London awarded Sylvester the Copley Medal, a highest award for scientific achievement. In 1901, Royal Society of London instituted the Sylvester medal in his memory, to encourage mathematical research.  Introduction  Formation of Matrices  Types of Matrices  Addition, Subtraction and Multiplication of matrices  Matrix equations Number, place, and combination - the three intersecting but distinct spheres of thought to which all mathematical ideas admit of being referred - Sylvester 118
  • 129.
    Matrices 119 4.2 Formationof matrices Let us consider some examples of the ways that matrices can arise. Kumar has 10 pens. We may express it as (10), with the understanding that the number inside ( ) is the number of pens that Kumar has. Now, if Kumar has 10 pens and 7 pencils, we may express it as (10 7) with the understanding that the first number inside ( ) is the number of pens while the other one is the number of pencils. Look at the following information : Pens and Pencils owned by Kumar and his friends Raju and Gopu are as given below. Kumar has 10 pens and 7 pencils Raju has 8 pens and 4 pencils Gopu has 6 pens and 5 pencils This can be arranged in tabular form as follows: Pens Pencils Kumar 10 7 Raju 8 4 Gopu 6 5 This can be expressed in a rectangular array where the entries denote the number of respective items. ( ) 10 8 6 7 4 5 i first row second row third row first second column column ! ! ! - - f p The same information can also be arranged in tabular form as : Kumar Raju Gopu Pens 10 8 6 Pencils 7 4 5 This can be expressed in a rectangular array. ( ) 10 7 8 4 6 5 ii first row second row first second third column column column ! ! - - - c m
  • 130.
    120 10th Std.Mathematics Definition In arrangement (i), the entries in the first column represent the number of pens of Kumar, Raju and Gopu respectively and the second column represents the number of pencils owned by Kumar, Raju and Gopu respectively. Similarly, in arrangement (ii), the entries in the first row represent the number of pens of Kumar, Raju and Gopu respectively. The entries in the second row represent the number of pencils owned by Kumar, Raju and Gopu respectively. An arrangement or display of numbers of the above kind is called a MATRIX. A matrix is a rectangular array of numbers in rows and columns enclosed within square brackets or parenthesis. A matrix is usually denoted by a single capital letter like A, B, X, Y,g . The numbers that make up a matrix are called entries or elements of the matrix. Each horizontal arrangement in a matrix is called a row of that matrix. Each vertical arrangement in a matrix is called a column of that matrix. Some examples of matrices are ,A 1 4 2 5 3 6 = c m B 2 3 1 0 8 5 1 9 1 = - - - > H and C 1 0 1 = f p 4.2.1 General form of a matrix A matrix A with m rows and n columns, is of the form ... ... ... ... ... ... ... A a a a a a a a a a a a am m j j mj n n mn 11 21 1 12 22 2 1 2 1 2 h h h h h = J L K K K K K N P O O O O O where , , , ... .a a a11 12 13 are the elements of the matrix. The above matrix can also be written as A aij m n = # 6 @ or A aij m n = # ^ h , where 1, 2, 3, ... , .i m= and 1, 2, 3, ... , .j n= Here, aij is the element of the matrix lying on the intersection of the i th row and j th column of A. For example, if A = 4 6 7 5 2 8 3 1 9 f p, then a23 = 1, the element which occurs in the second row and third column. Similarly, 4a11 = , 5a12 = , 3a13 = , 6a21 = , 2a22 = , 7a31 = , 8a32 = and 9a33 = . 4.2.2 Order or dimension of a matrix If a matrix A has m rows and n columns, then we say that the order of A is m n# (Read as m by n).
  • 131.
    Matrices 121 Note Thematrix A 1 4 2 5 3 6 = c m has 2 rows and 3 columns. So, the order of A is 2 3# . In a m n# matrix, the first letter m always denotes the number of rows and the second letter n always denotes the number of columns. 4.3 Types of matrices Let us learn certain types of matrices. (i) Row matrix A matrix is said to be a row matrix if it has only one row. A row matrix is also called as a row vector. For example, A 5 3 4 1=^ h and B = ( –3 0 5 ) are row matrices of orders 1 4# and 1 3# respectively. In general, A aij n1 = # ^ h is a row matrix of order n1 # . (ii) Column matrix A matrix is said to be a column matrix if it has only one column. It is also called as a column vector. For example, A = 0 2 c m and B 1 2 5 = f p are column matrices of orders 12 # and 13 # respectively. In general, A aij m 1 = # 6 @ is a column matrix of order m 1# . (iii) Square matrix A matrix in which the number of rows and the number of columns are equal is said to be a square matrix. For example, A 1 3 2 4 = c m and B 3 1 7 0 5 6 2 7 1 = -f paresquarematricesoforders2and3respectively. In general, A aij m m = # 6 @ is a square matrix of order m. The elements , , , ,a a a amm11 22 33 g are called principal or leading diagonal elements of the square matrix A. (iv) Diagonal matrix A square matrix in which all the elements above and below the leading diagonal are equal to zero, is called a diagonal matrix. For example, A 5 0 0 2 = c m and B 3 0 0 0 0 0 0 0 1 = f p are diagonal matrices of orders 2 and 3 respectively. In general, A aij m m = # 6 @ is said to be a diagonal matrix if 0aij = for all i j! .
  • 132.
    122 10th Std.Mathematics Note Note Note Some of the leading diagonal elements of a diagonal matrix may be zero. (v) Scalar matrix A diagonal matrix in which all the elements along the leading diagonal are equal to a non-zero constant is called a scalar matrix. For example, A 5 0 0 5 = c m and B 7 0 0 0 7 0 0 0 7 = f p are scalar matrices of orders 2 and 3 respectively. In general, A aij m m = # 6 @ is said to be a scalar matrix if , , a i j k i j 0 when whenij ! = = ) where k is a constant. (vi) Unit matrix A diagonal matrix in which all the leading diagonal entries are 1 is called a unit matrix. A unit matrix of order n is denoted by In . For example, I 1 0 0 12 = c m and I 1 0 0 0 1 0 0 0 1 3 = f p are unit matrices of orders 2 and 3 respectively. In general, a square matrix A aij n n = # ^ h is a unit matrix if a i j i j 1 0 if if ij ! = = ) A unit matrix is also called an identity matrix with respect to multiplication. Every unit matrix is clearly a scalar matrix. However a scalar matrix need not be a unit matrix. Aunit matrix plays the role of the number 1 in numbers. (vii) Null matrix or Zero-matrix A matrix is said to be a null matrix or zero-matrix if each of its elements is zero. It is denoted by O. For example, O 0 0 0 0 0 0 = c m and O 0 0 0 0 = c m are null matrices of order 2 3 2 2and# # . (i) A zero-matrix need not be a square matrix. (ii) Zero-matrix plays the role of the number zero in numbers. (iii) A matrix does not change if the zero-matrix of same order is added to it or subtracted from it. (viii) Transpose of a matrix Definition The transpose of a matrix A is obtained by interchanging rows and columns of the matrix A and it is denoted by A T (read as A transpose). For example, if A 1 3 2 4 5 6 = c m, then A 1 2 5 3 4 6 T = f p In general, if A aij m n = # 6 @ then , , 1,2, , 1,2, ,A b b a i n j mwhere for and T n m ij jiij g g= = = = # 8 B .
  • 133.
    Matrices 123 Example 4.1 The table shows a five-day forecast indicating high (H) and low (L) temperatures in Fahrenheit. Organise the temperatures in a matrix where the first and second rows represent the High and Low temperatures respectively and identify which day will be the warmest? Solution The above information can be represented in matrix form as A H L 88 54 90 56 86 53 84 52 85 52 Mon Tue Wed Thu Fri = c m . That is , A 88 90 86 84 85 54 56 53 52 52 = e o By reading through the first row (High), the warmest day is Tuesday. Example 4.2 The amount of fat, carbohydrate and protein in grams present in each food item respectively are as follows: Item 1 Item 2 Item 3 Item 4 Fat 5 0 1 10 Carbohydrate 0 15 6 9 Protein 7 1 2 8 Use the information to write 3 4# and 4 3# matrices. Solution The above information can be represented in the form of 3 4# matrix as A 5 0 7 0 15 1 1 6 2 10 9 8 = f p where the columns correspond to food items. We write a 4 3# matrix as B 5 0 1 10 0 15 6 9 7 1 2 8 = J L K K K KK N P O O O OO where the rows correspond to food items. Example 4.3 Let A a 1 6 3 9 4 2 7 2 8 5 0 1 ij = = - - J L K K K KK N P O O O OO 6 @ . Find (i) the order of the matrix (ii) the elements a13 and a42 (iii) the position of the element 2. Solution (i) Since the matrix A has 4 rows and 3 columns, A is of order 4 3# . (ii) The element a13 is in the first row and third column. 8.a13 ` = Similarly, a42 2=- , the element in 4th row and 2nd column. (iii) The element 2 occurs in 2nd row and 2nd column 2.a22 ` =
  • 134.
    124 10th Std.Mathematics Note Example 4.4 Construct a 2 3# matrix A aij = 6 @ whose elements are given by a i j2 3ij = - Solution In general a 2 3# matrix is given by A a a a a a a 11 21 12 22 13 23 = e o Now, a i j2 3ij = - where ,i 1 2= and , ,j 1 2 3= ( ) ( )a 2 1 3 1 1 111 = - = - = , ( ) ( )a 2 1 3 2 412 = - = , ( ) ( )a 2 1 3 3 713 = - = 2(2) 3 1a21 = - = , ( ) ( )a 2 2 3 2 222 = - = , ( )a 2 2 9 523 = - = Hence the required matrix A 1 1 4 2 7 5 = c m Example 4.5 If A 8 1 5 3 2 4 = - e o, then find A T and ( )A T T Solution A 8 1 5 3 2 4 = - e o The transpose A T of a matrix A, is obtained by interchanging rows and columns of the matrix A. Thus, A 8 5 2 1 3 4 T = -f p Similarly ( )A T T is obtained by interchanging rows and columns of the matrix A T . Hence, ( )A T T 8 1 5 3 2 4 = - e o From the above example, we see that ( )A A T T = . In fact, it is true that ( )B B T T = for any matrix B. Also, ( )kA kA T T = for any scalar k. Exercise 4.1 1. The rates for the entrance tickets at a water theme park are listed below: Week Days rates(`) Week End rates(`) Adult 400 500 Children 200 250 Senior Citizen 300 400 Write down the matrices for the rates of entrance tickets for adults, children and senior citizens. Also find the dimensions of the matrices.
  • 135.
    Matrices 125 2. Thereare 6 Higher Secondary Schools, 8 High Schools and 13 Primary Schools in a town. Represent these data in the form of 3 1# and 1 3# matrices. 3. Find the order of the following matrices. (i) 1 2 1 3 5 4- - e o (ii) 7 8 9 f p (iii) 3 6 2 2 1 4 6 1 5 - -f p (iv) 3 4 5^ h (v) 1 2 9 6 2 3 7 4 - J L K K K KK N P O O O OO 4. A matrix has 8 elements. What are the possible orders it can have? 5. A matrix consists of 30 elements. What are the possible orders it can have?. 6. Construct a 2 2# matrix A aij = 6 @ whose elements are given by (i) a ijij = (ii) 2a i jij = - (iii) a i j i j ij = + - 7. Construct a 3 2# matrix A aij = 6 @ whose elements are given by (i) a j i ij = (ii) ( ) a i j 2 2 ij 2 = - (iii) a i j 2 2 3 ij = - 8. If A 1 5 6 1 4 0 3 7 9 2 4 8 = - -f p, (i) find the order of the matrix (ii) write down the elements a24 and a32 (iii) in which row and column does the element 7 occur? 9. If A 2 4 5 3 1 0 = f p, then find the transpose of A. 10. If A 1 2 3 2 4 5 3 5 6 = - -f p, then verify that ( )A A T T = . 4.4 Operation on matrices In this section, we shall discuss the equality of matrices, multiplication of a matrix by a scalar, addition, subtraction and multiplication of matrices. (i) Equality of matrices Two matrices A aij m n = # 6 @ and B bij m n = # 6 @ are said to be equal if (i) they are of the same order and (ii) each element of A is equal to the corresponding element of B, that is a bij ij = for all i and j. For example, the matrices 6 0 1 3 9 5 6 3 0 9 1 5 andf cp m are not equal as the orders of the matrices are different. Also 1 8 2 5 1 2 8 5 !c cm m , since some of the corresponding elements are not equal.
  • 136.
    126 10th Std.Mathematics Definition Example 4.6 Find the values of x, y and z if x y z 5 5 9 4 1 3 5 5 1 =c cm m Solution As the given matrices are equal, their corresponding elements must be equal. Comparing the corresponding elements, we get 3, 9x y= = and z 4= . Example 4.7 Solve : y x x y3 6 2 31 4 = - + c em o Solution Since the matrices are equal, the corresponding elements are equal. Comparing the corresponding elements, we get y x6 2= - and 3 31 4x y= + . Using y = 6 –2x in the other equation, we get 3 31 4(6 2 )x x= + - x x3 31 24 8= + - ` x = 5 and hence ( )y 6 2 5= - = 4- . Thus, 5 4x yand= =- . (ii) Multiplication of a matrix by a scalar For a given matrix A aij m n = # 6 @ and a scalar (real number) k, we define a new matrix B bij m n = # 6 @ , where b kaij ij = for all i and j. Thus, the matrix B is obtained by multiplying each entry of A by the scalar k and written as B = kA. This multiplication is called scalar multiplication. For example, if A = a d b e c f c m then kA = k a d b e c f c m = ka kd kb ke kc kf c m Example 4.8 If A 1 3 2 6 4 5 = - - e o then find 3A Solution The matrix 3A is obtained by multiplying every element of A by 3. 3 3A 1 3 2 6 4 5 = - - e o ( ) ( ) ( ) ( ) ( ) ( ) 3 1 3 3 3 2 3 6 3 4 3 5 = - - e o 3 9 6 18 12 15 = - - e o (iii) Addition of matrices Matrices A and B given below show the marks obtained by 3 boys and 3 girls in the subjects Mathematics and Science respectively. Mathematics Science A B 45 30 72 90 81 65 51 42 80 85 90 70 Boys Girls Boys Girls = =c cm m
  • 137.
    Matrices 127 Definition Tofind the total marks obtained by each student, we shall add the corresponding entries of A and B. We write A B 45 30 72 90 81 65 51 42 80 85 90 70 + = +c cm m 45 51 30 42 72 80 90 85 81 90 65 70 = + + + + + + e o 96 72 152 175 171 135 = c m The final matrix shows that the first boy scores a total of 96 marks in Mathematics and Science. Similarly, the last girl scores a total of 135 marks in Mathematics and Science. Hence, we observe that the sum of two matrices of same order is a matrix obtained by adding the corresponding entries of the given matrices. If A aij m n = # 6 @ and B bij m n = # 6 @ are two matrices of the same order, then the addition of A and B is a matrix C = cij m nx 6 @ , where c a bij ij ij = + for all i and j. Notethattheoperationofadditiononmatricesisdefinedasfornumbers.Theadditionof twomatricesAandBisdenotedbyA+B.Additionisnotdefinedformatricesofdifferentorders. Example 4.9 Let A 8 5 3 9 2 1 = c m and B 1 3 1 0 = - c m. Find A+B if it exists. Solution Since A is order of 2 3# and B is of order 2 2# , addition of matrices A and B is not possible. Example 4.10 If A 5 1 6 0 2 4 3 2 = - c m and B 3 2 1 8 4 2 7 3 = - c m, then find A + B. Solution Since A and B are of the same order 2 4# , addition of A and B is defined. So, A B 5 1 6 0 2 4 3 2 3 2 1 8 4 2 7 3 + = - + - c cm m 5 3 1 2 6 1 0 8 2 4 4 2 3 7 2 3 = + + - + - + + + + e o Thus, A B 8 3 5 8 2 6 10 5 + = c m (iv) Negative of a matrix The negative of a matrix A a xij m n =6 @ is denoted by A- and is defined as ( 1)A A- = - . That is, ,A b b awhere xij m n ij ij - = =-6 @ for all i and j. (v) Subtraction of matrices If A aij m n = # 6 @ and B bij m n = # 6 @ are two matrices of the same order, then the subtraction A B- isdefinedas ( ) .A B A B1- = + - Thatis, A B cij - = 6 @ where c a bij ij ij = - for all i and j.
  • 138.
    128 10th Std.Mathematics Example 4.11 Matrix A shows the weight of four boys and four girls in kg at the beginning of a diet programme to lose weight. Matrix B shows the corresponding weights after the diet programme. ,A B 35 42 40 38 28 41 45 30 32 40 35 30 27 34 41 27 Boys Girls Boys Girls = =c cm m Find the weight loss of the Boys and Girls. Solution Weight loss matrix A B 35 42 40 38 28 41 45 30 32 40 35 30 27 34 41 27 - = -c cm m 3 2 5 8 1 7 4 3 = c m. 4.5 Properties of matrix addition (i) Matrix addition is commutative If A and B are any two matrices of same order, then A+B = B+A (ii) Matrix addition is associative If A, B and C are any three matrices of same order, then ( ) ( )A B C A B C+ + = + + (iii) Existence of additive identity Null or zero matrix is the additive identity for matrix addition. If A is a matrix of order m # n, then A + O = O + A = A, where O is the null matrix of order m#n, (iv) Existence of additive inverse For a matrix A, B is called the additive inverse of A if B + A = A + B = O . Since ( ) ( )A A A A+ - = - + = O, A- is the additive inverse of A. The additive inverse of a matrix is its negative matrix and it is unique (only one). Exercise 4.2 1. Find the values of x, y and z from the matrix equation x y z 5 2 0 4 4 6 12 0 8 2 + - + = - e co m 2. Solve for x and y if x y x y 2 3 5 13 + - =e co m 3. If A 2 9 3 5 1 7 5 1 = - - - e eo o, then find the additive inverse of A. 4. Let A 3 5 2 1 = c m and B 8 4 1 3 = - c m. Find the matrix C if C A B2= + . Note
  • 139.
    Matrices 129 5. IfA B 4 5 2 9 8 1 2 3 and= - - = - - e eo o find A B6 3- . 6. Find a and b if a b 2 3 1 1 10 5 + - =c c cm m m. 7. Find X and Y if 2 3X Y 2 4 3 0 + = c m and 3 2X Y 2 1 2 5 + = - - e o. 8. Solve for x and y if 3x y x y 2 9 4 2 2 + - = - e e co o m. 9. If ,A B O 3 5 2 1 1 2 2 3 0 0 0 0 and= = - =c c cm m m then verify: (i) A B B A+ = + (ii) ( ) ( )A A O A A+ - = = - + . 10. If ,A B 4 1 0 1 2 3 2 3 2 2 6 2 0 2 4 4 8 6 = - =f fp p and C 1 5 1 2 0 1 3 2 1 = - - f p, then verify that ( ) ( )A B C A B C+ + = + + . 11. An electronic company records each type of entertainment device sold at three of their branch stores so that they can monitor their purchases of supplies. The sales in two weeks are shown in the following spreadsheets. T.V. DVD Videogames CD Players Week I Store I 30 15 12 10 Store II 40 20 15 15 Store III 25 18 10 12 Week II Store I 25 12 8 6 Store II 32 10 10 12 Store III 22 15 8 10 Find the sum of the items sold out in two weeks using matrix addition. 12. The fees structure for one-day admission to a swimming pool is as follows: Daily Admission Fees in ` Member Children Adult Before 2.00 p.m. 20 30 After 2.00 p.m. 30 40 Non-Member Before 2.00 p.m. 25 35 After 2.00 p.m. 40 50 Write the matrix that represents the additional cost for non-membership.
  • 140.
    130 10th Std.Mathematics 4.6 Multiplication of matrices Suppose that Selvi wants to buy 3 pens and 2 pencils, while Meena needs 4 pens and 5 pencils. Each pen and pencil cost `10 and `5 respectively. How much money does each need to spend? Clearly, Since 3 10 2 5 40# #+ = , Selvi needs ` 40. Since 4 10 5 5 65# #+ = , Meena needs ` 65. We can also do this using matrix multiplication. Let us write the above information as follows: Requirements Price (in `) Money Needed (in `) 3 4 2 5 10 5 Selvi Meena c cm m 3 10 2 5 4 10 5 5 40 65 # # # # + + =e co m Suppose the cost of each pen and pencil in another shop are `8 and `4 respectively. The money required by Selvi and Meena will be 3 8 2 4# #+ = `32 and 4 8 5 4# #+ = ` 52 . The above information can be represented as Requirements Price (in `) Money Needed (in `) 3 4 2 5 Selvi Meena c m 8 4 c m 3 8 2 4 4 8 5 4 32 52 # # # # + + =e co m Now, the above information in both the cases can be combined in matrix form as shown below. Requirements Price (in `) Money needed (in `) 3 4 2 5 Selvi Meena c m 10 5 8 4 c m 3 10 2 5 4 10 5 5 3 8 2 4 4 8 5 4 # # # # # # # # + + + + e o = 40 65 32 52 c m From the above example, we observe that multiplication of two matrices is possible if the number of columns in the first matrix is equal to the number of rows in the second matrix. Further, for getting the elements of the product matrix, we take rows of the first matrix and columns of the second matrix, multiply them element-wise and sum it. The following simple example illustrates how to get the elements of the product matrix when the product is defined. Let A 2 3 1 4 = - c m and B 3 5 9 7 = - c m. Then the product of AB is defined and is given by AB 2 3 1 4 3 5 9 7 = - - c cm m Step 1 : Multiply the numbers in the first row of A by the numbers in the first column of B, add the products, and put the result in the first row and first column of AB. ( ) ( ) 3 4 9 7 2 1 2 13 5 3 5- = - + - c c em m o
  • 141.
    Matrices 131 Definition nm #n p# A B same product matrix AB is of order m p# Step 2: Follow the same procedure as in step 1, using the first row of A and second column of B. Write the result in the first row and second column of AB. ( ) ( ) ( ) ( ) 3 4 3 5 2 3 1 52 1 2 19 7 9 7 = + - +- -- - c c em m o Step 3: Follow the same procedure with the second row of A and first column of B. Write the result in the second row and first column of AB. ( ) ( ) ( ) ( ) ( ) ( )2 1 9 7 2 3 1 5 2 9 1 7 3 4 3 4 3 5 3 5 - - = + - + - + - c c em m o Step 4: The procedure is the same for the numbers in the second row of A and second column of B. ( ) ( ) ( ) ( ) ( ) ( ) ( ) ( ) 2 1 3 5 2 3 1 5 3 3 4 5 2 9 1 7 3 4 3 4 9 7 9 7 - = + - + - + - + - - c c em m o Step 5: Simplify to get the product matrix AB ( ) ( ) ( ) ( ) ( ) ( ) ( ) ( ) 2 1 3 4 2 1 3 4 3 5 3 5 9 7 9 7 1 29 25 1 + + + + = - -- - - e co m If A aij m n = # 6 @ and B bij n p = # 6 @ then the product matrix AB is defined and is of order m p# .This fact is explained in the following diagram. Example 4.12 Determine whether each matrix product is defined or not. If the product is defined, state the dimension of the product matrix. (i) A Band2 5 5 4# # (ii) A Band1 3 4 3# # Solution (i) Now, the number of columns in A and the number of rows in B are equal. So, the product AB is defined. Also, the product matrix AB is of order 2 4# . (ii) Given that A is of order 1 3# and B is of order 4 3# Now, the number of columns in A and the number of rows in B are not equal. So, the matrix product AB is not defined.
  • 142.
    132 10th Std.Mathematics Example 4.13 Solve x y 3 4 2 5 8 13 =c c cm m m Solution Given that x y 3 4 2 5 8 13 =c c cm m m ( x y x y 3 2 4 5 8 13 + + =e co m Equating the corresponding elements, we get . x y x y x y x y 3 2 8 4 5 13 3 2 8 0 4 5 13 0 and and( + = + = + - = + - = Solving the equations by the method of cross multiplication, we get x y 1 2 –8 3 2 5 –13 4 5 ( x 26 40- + = y 32 39- + = 15 8 1 - ( x 14 = y 7 = 7 1 Thus, ,x y2 1= = Example 4.14 If A a c b d I 1 0 0 1 and 2 = =c cm m , then show that ( ) ( )A a d A bc ad I 2 2 - + = - . Solution Consider A A A 2 #= a c b d a c b d = c cm m a bc ac cd ab bd bc d 2 2= + + + + e o (1) Now, ( ) ( )a d A a d a c b d + = + c m a ad ac cd ab bd ad d 2 2= + + + + e o (2) From (1) and (2) we get, ( )A a d A a bc ac cd ab bd bc d a ad ac cd ab bd ad d 2 2 2 2 2- + = + + + + - + + + + e eo o bc ad bc ad0 0 = - - e o ( )bc ad 1 0 0 1 = - c m Thus, ( ) ( )A a d A bc ad I 2 2 - + = - . 4.7 Properties of matrix multiplication The matrix multiplication does not retain some important properties enjoyed by multiplication of numbers. Some of such properties are (i) AB BA! (in general) (ii) AB = 0 does not imply that either A or B is a zero-matrix and (iii) ,AB AC= A is a non-zero matrix, does not imply always that B = C.
  • 143.
    Matrices 133 Remarks Forexample, let , ,A B C D 0 0 0 1 1 3 2 4 5 3 6 4 1 0 0 0 and= = = =c c c cm m m m. Then, (i) AB BA! (ii) AD = O, however, A and D are not zero-matrices and (iii) ,AB AC= but B ! C. Let us see some properties of matrix multiplication through examples. (i) Matrix multiplication is not commutative in general If A and B are two matrices and if AB and BA both are defined, it is not necessary that AB = BA. Example 4.15 If A B 8 2 0 7 4 3 9 6 3 1 2 5 and= - - = - - - f ep o , then find AB and BA if they exist. Solution The matrix A is of order 3 2# and B is of order 32 # . Thus, both the products AB and BA are defined. Now, AB 8 2 0 7 4 3 9 6 3 1 2 5 = - - - - - f ep o 72 42 18 24 0 18 24 7 6 4 0 3 16 35 4 20 0 15 = - - + + - + - - + - - - f p = 30 6 18 17 2 3 51 24 15 - - - - f p Similarly, BA 9 6 3 1 2 5 8 2 0 7 4 3 = - - - - - e fo p 78 50 69 61 = - - e o. (Note that AB BA! ) Multiplication of two diagonal matrices of same order is commutative. Also, under matrix multiplication unit matrix commutes with any square matrix of same order. (ii) Matrix multiplication is always associative For any three matrices A, B and C, we have (AB)C = A(BC), whenever both sides of the equality are defined. (iii) Matrix multiplication is distributive over addition For any three matrices A, B and C, we have (i) ( )A B C AB AC+ = + (ii) ( )A B C AC BC+ = + , whenever both sides of equality are defined. Example 4.16 If ,A B C 3 1 2 4 2 6 5 7 1 5 1 3 and= - = - = - e c eo m o verify that ( )A B C AB AC+ = + Solution Now, B C 2 6 5 7 1 5 1 3 + = - + - c em o 1 1 6 10 = - c m Thus, ( )A B C 3 1 2 4 1 1 6 10 + = - - e co m 1 5 38 34 = - c m (1)
  • 144.
    134 10th Std.Mathematics Note Now, AB AC 3 1 2 4 2 6 5 7 3 1 2 4 1 5 1 3 + = - - + - - e c e eo m o o 6 12 2 24 15 14 5 28 3 10 1 20 3 6 1 12 = - + + + - + + - - - + - + e eo o 6 26 29 23 7 21 9 11 = + - - c em o 1 5 38 34 = - c m (2) From (1) and (2), we have ( )A B C AB AC+ = + . (iv) Existence of multiplicative identity In ordinary algebra we have the number 1, which has the property that its product with any number is the number itself. We now introduce an analogous concept in matrix algebra. For any square matrix A of order n, we have AI IA A= = , where I is the unit matrix of order n. Hence, I is known as the identity matrix under multiplication. Example 4.17 If A 1 9 3 6 = - e o , then verify AI IA A= = , where I is the unit matrix of order 2. Solution Now, AI 1 9 3 6 1 0 0 1 = - e co m = 1 0 9 0 0 3 0 6 + + + - e o 1 9 3 6 = - e o A= Also, IA 1 0 0 1 1 9 3 6 = - c em o 1 0 0 9 3 0 0 6 = + + + - e o 1 9 3 6 = - e o A= Hence AI IA A= = . (v) Existence of multiplicative inverse If A is a square matrix of order n, and if there exists a square matrix B of the same order n, such that ,AB BA I= = where I is the unit matrix of order n, then B is called the multiplicative inverse matrix of A and it is denoted by A 1- . (i) Some of the square matrices like 2 4 3 6 c m do not have multiplicative inverses. (ii) If B is the multiplicative inverse of A, then is the multiplicative inverse of B. (iii) If multiplicative inverse of a square matrix exists, then it is unique. Example 4.18 Prove that 3 1 5 2 2 1 5 3 and - - c em o are multiplicative inverses to each other.
  • 145.
    Matrices 135 Solution Now,I 3 1 5 2 2 1 5 3 6 5 2 2 15 15 5 6 1 0 0 1- - = - - - + - + = =c e e cm o o m Also, I 2 1 5 3 3 1 5 2 6 5 3 3 10 10 5 6 1 0 0 1- - = - - + - - + = =e c e co m o m ` The given matrices are inverses to each other under matrix multiplication. (vi) Reversal law for transpose of matrices If A and B are two matrices and if AB is defined , then ( )AB B A T T T = . Example 4.19 If A B 2 4 5 1 3 6and= - = -f ^p h , then verify that ( )AB B A T T T = . Solution Now, AB = 2 4 5 1 3 6 - -f ^p h 2 4 5 6 12 15 12 24 30 = - - - - f p Thus, AB T ^ h = 2 6 12 4 12 24 5 15 30 - - - - f p (1) Now, B A 1 3 6 2 4 5T T = - -f ^p h 2 6 12 4 12 24 5 15 30 = - - - - f p (2) From (1) and (2), we get ( )AB B A T T T = . Exercise 4.3 1. Determine whether the product of the matrices is defined in each case. If so, state the order of the product. (i) AB, where ,A a B b x xij ij4 3 3 2 = =6 6@ @ (ii) PQ, where ,P p Q q x xij ij4 3 4 3 = =6 6@ @ (iii) MN, where ,M m N n x xij ij3 1 1 5 = =6 6@ @ (iv) RS, where ,R r S s x xij ij2 2 2 2 = =6 6@ @ 2. Find the product of the matrices, if exists, (i) 2 1 5 4 -^ ch m (ii) 3 5 2 1 4 2 1 7 - c cm m (iii) 2 4 9 1 3 0 4 6 2 2 7 1 - - - - e fo p (iv) 6 3 2 7 - -e ^o h
  • 146.
    136 10th Std.Mathematics 3. A fruit vendor sells fruits from his shop. Selling prices of Apple, Mango and Orange are ` 20, ` 10 and ` 5 each respectively. The sales in three days are given below Day Apples Mangoes Oranges 1 50 60 30 2 40 70 20 3 60 40 10 Write the matrix indicating the total amount collected on each day and hence find the total amount collected from selling of all three fruits combined. 4. Find the values of x and y if x y x1 3 2 3 0 0 9 0 0 =c c cm m m. 5. If ,A X x y C 5 7 3 5 5 11 and= = = - - c c em m o and if AX C= , then find the values of x and y. 6. If A 1 2 1 3 = - c m then show that 4 5A A I O 2 2 - + = . 7. If A B 3 4 2 0 3 3 0 2 and= =c cm m then find AB and BA. Are they equal? 8. If ,A B C 1 1 2 2 1 3 0 1 2 2 1and= - = =c f ^m p h verify ( ) ( )AB C A BC= . 9. If A B 5 7 2 3 2 1 1 1 and= = - - c em o verify that ( )AB B A T T T = . 10. Prove that A B 5 7 2 3 3 7 2 5 and= = - - c em o are inverses to each other under matrix multiplication. 11. Solve 0x x 1 1 2 0 3 5- - =^ e c ^h o m h. 12. If A B 1 2 4 3 1 3 6 2 and= - - = - - e eo o , then prove that ( ) 2A B A AB B 2 2 2 !+ + + . 13. If ,A B C 3 7 3 6 8 0 7 9 2 4 3 6 and= = = - c c cm m m, find ( )A B C AC BCand+ + . Is ( )A B C AC BC+ = + ?
  • 147.
    Matrices 137 Exercise 4.4 Choosethe correct answer. 1. Which one of the following statements is not true? (A) A scalar matrix is a square matrix (B) A diagonal matrix is a square matrix (C) A scalar matrix is a diagonal matrix (D) A diagonal matrix is a scalar matrix. 2. Matrix A aij m n = # 6 @ is a square matrix if (A) m n1 (B) m n2 (C) m 1= (D) m = n 3. If x y x y3 7 1 5 2 3 1 8 2 8 + + - = - e eo o then the values of x and y respectively are (A) –2 , 7 (B) 3 1- , 7 (C) 3 1- , 3 2- (D) 2 , –7 4. If A B1 2 3 1 2 3 and= - = - - ^ fh p then A + B (a) 0 0 0^ h (b) 0 0 0 f p (c) 14-^ h (d) not defined 5. If a matrix is of order ,2 3# then the number of elements in the matrix is (a) 5 (b) 6 (c) 2 (d) 3 6. If 4 x 8 4 8 2 1 1 2 =c cm m then the value of x is (a) 1 (b) 2 (c) 4 1 (d) 4 7. If A is of order 3 4# and B is of order 4 3# , then the order of BA is (a) 3 3# (b) 4 4# (c) 4 3# (d) not defined 8. If A 1 0 1 2 1 2# =c ^m h, then the order of A is (a) 2 1# (b) 2 2# (c) 1 2# (d) 3 2# 9. If A and B are square matrices such that AB = I and BA = I , then B is (A) Unit matrix (B) Null matrix (C) Multiplicative inverse matrix of A (D) A- 10. If x y 1 2 2 1 2 4 =c c cm m m, then the values of x and y respectively, are (a) 2 , 0 (b) 0 , 2 (c) 0 , 2- (d) 1 , 1
  • 148.
    138 10th Std.Mathematics 11. If A 1 3 2 4 = - - e o and A B O+ = , then B is (a) 1 3 2 4- - e o (b) 1 3 2 4 - - e o (c) 1 3 2 4 - - - - e o (d) 1 0 0 1 c m 12. If A 4 6 2 3 = - - e o, then A2 is (a) 16 36 4 9 c m (b) 8 12 4 6 - - e o (c) 4 6 2 3 - - e o (d) 4 6 2 3 - - e o 13. A is of order m n# and B is of order p q# , addition of A and B is possible only if (A) m p= (B) n = q (C) n = p (D) m = p, n = q 14. If , a 1 3 2 2 1 5 0- =c e cm o m then the value of a is (A) 8 (B) 4 (C) 2 (D) 11 15. If A a c b a = - e o is such that A I2 = , then (A) 1 0 2 a bc+ + = (B) 1 0 2 a bc- + = (C) 1 0 2 a bc- - = (D) 1 0 2 a bc+ - = 16. If A aij 2 2 = # 6 @ and ,a i jij = + then A = (A) 1 3 2 4 c m (B) 2 3 3 4 c m (C) 2 4 3 5 c m (D) 4 6 5 7 c m 17. a c b d 1 0 0 1 1 0 0 1 - = - c c em m o, then the values of a, b, c and d respectively are (A) , , ,1 0 0 1- - (B) 1, 0, 0, 1 (C) , , ,1 0 1 0- (d) 1, 0, 0, 0 18. If A 7 1 2 3 = c m and A B 1 2 0 4 + = - - e o, then the matrix B = (A) 1 0 0 1 c m (B) 6 3 2 1- e o (C) 8 1 2 7 - - - e o (D) 8 1 2 7- e o 19. If 20x5 1 2 1 3 - =^ f ^h p h, then the value of x is (A) 7 (B) 7- (C) 7 1 (D) 0 20. Which one of the following is true for any two square matrices A and B of same order?. (a) ( )AB A B T T T = (b) ( )A B A B T T T T = (c) ( )AB BAT = (d) ( )AB B A T T T =
  • 149.
    Matrices 139 Points toRemember q A matrix is a rectangular array of numbers. q A matrix having m rows and n columns, is of the order m n# . q A aij m n = # 6 @ is a row matrix if m = 1. q A aij m n = # 6 @ is a column matrix if n = 1. q A aij m n = # 6 @ is a square matrix if m n= . q A aij n n = # 6 @ is diagonal matrix if 0,a i jwhenij != . q A aij n n = # 6 @ is a scalar matrix if 0,a i jwhenij != and ,a kij = when i j= . (k is a non-zero constant ). q A aij = 6 @ is unit matrix if 1,a i jwhenij = = and 0,a i jwhenij != . q A matrix is said to be a zero matrix if all its elements are zero. q Two matrices A and B are equal if the matrices A and B are of same order and their corresponding entries are equal. q Addition or subtraction of two matrices are possible only when they are of same order. q Matrix addition is commutative. That is, A B B A+ = + , if A and B are matrices of same order. q Matrix addition is Associative. That is, ( ) ( ),A B C A B C+ + = + + if A, B and C are matrices of same order. q If A is a matrix of order m#n and B is a matrix of order n#p, then the product matrix AB is defined and is of order m#p. q Matrix multiplication is not commutative in general. i.e.,AB BA! . q Matrix multiplication is associative. i.e., (AB)C = A(BC), if both sides are defined. q ( ) , ( ) ( )A A A B A B AB B Aand T T T T T T T T = + = + = . q Matrices A and B are multiplicative inverses to each other if AB = BA = I. q If AB = O, it is not necessary that A = O or B = O. That is, product of two non-zero matrices may be a zero matrix. Do you know? The Abel Prize , which was awarded for the first time in 2003, amounts to One Million US dollar. It is an International Prize awarded by Norwegian Academy of Science and presented annually by the King of Norway to one or more outstanding Mathematicians. S.R. Srinivasa Varadhan, an Indian-American Mathematician born in Chennai, was awarded the Abel Prize in 2007 for his fundamental contributions to Probability Theory and in particular for creating a unified theory of large deviations.
  • 150.
    140 10th Std.Mathematics 5.1 Introduction Coordinate geometry, also known as analytical geometry is the study of geometry using a coordinate system and the principles of algebra and analysis. It helps us to interpret algebraic results geometrically and serves as a bridge between algebra and geometry. A systematic study of geometry using algebra was carried out by a French philosopher and a mathematician Rene Descartes. The use of coordinates was Descartes’s great contribution to mathematics, which revolutionized the study of geometry. He published his book “La Geometry” in 1637. In this book, he converted a geometric problem into an algebraic equation, simplified and then solved the equation geometrically. French mathematician Pierre De Fermat also formulated the coordinate geometry at the same period and made great contribution to this field. In 1692, a German mathematician Gottfried Wilhelm Von Leibnitz introduced the modern terms like abscissa and ordinate in coordinate geometry .According to Nicholas Murray Butler, “The analytical geometry of Descartes and the calculus of Newton and Leibntiz have expanded into the marvelous mathematical method”. In class IX, we have studied the basic concepts of the coordinate geometry namely, the coordinate axes, plane, plotting of points in a plane and the distance between two points. In this chapter, we shall study about section formula, area of a triangle, slope and equation of a straight line. 5.2 Section formula Let us look at the following problem. Let A and B be two towns. Assume that one can reach town B from A by moving 60km towards east and then 30km towards north . A telephone company wants to raise a relay tower at COORDINATE GEOMETRY COORDINATE GEOMETRY Pierre de Fermat (1601-1665) France Together with Rene Descartes, Fermat was one of the two leading mathematicians of the first half of the 17th century. He discovered the fundamental principles of analytical geometry. He discovered an original method of finding the greatest and the smallest ordinates of curved lines. He made notable contributions to coordinate geometry. Fermat’s pioneering work in analytic geometry was circulated in manuscript form in 1636, predating the publication of Descarte’s famous “La geometrie”.  Introduction  Section Formula  Area of Triangle and Quadrilateral  Straight Lines 55 No human investigation can be called real science if it cannot be demonstrated mathematically - Leonardo de Vinci 140
  • 151.
    Coordinate Geometry 141 Pwhich divides the line joining A and B in the ratio 1:2 internally. Now, it wants to find the position of P where the relay tower is to be set up. Choose the point A as the origin. Let P ,x y^ h be the point. Draw the perpendiculars from P and B to the x-axis, meeting it in C and D respectively. Also draw a perpendicular from P to BD, intersecting at E. Since TPAC and BPET are similar, we have PE AC = BE PC PB AP 2 1= = Now PE AC = 2 1 x x 60 ( - = 2 1 Also, BE PC = 2 1 2x = 60 x- y y 30 ( - = 2 1 Thus, x = 20. Thus, 2y = 30 - y ( y = 10. ` The position of the relay tower is at P , .20 10^ h Taking the above problem as a model, we shall derive the general section formula. Let ( , )A x y1 1 and ,B x y2 2^ h be two distinct points such that a point ,P x y^ h divides AB internally in the ratio :l m. That is, PB AP = m l From the Fig. 5.2, we get AF CD OD OC x x1 = = - = - PG DE OE OD x x2 = = - = - Also, PF PD FD y y1 = - = - BG BE GE y y2 = - = - Now, T AFP and PGBT are similar. (Refer chapter 6, section 6.3) Thus, PG AF BG PF PB AP m l= = = ` PG AF m l= and BG PF m l= ( x x x x 2 1 - - m l= ( y y y y 2 1 - - m l= ( mx mx1 - = lx lx2 - ( my my1 - = ly ly2 - lx mx+ = lx mx2 1 + ly my+ = ly my2 1 + ( x = l m lx mx2 1 + + ( y = l m ly my2 1 + + Fig. 5.1 O x y F G C ED A x y ( , ) 1 1 B x y( , )2 2 P(x,y) Fig. 5.2
  • 152.
    142 10th Std.Mathematics Thus, the point P which divides the line segment joining the two points A x y,1 1^ h and B ,x y2 2^ h internally in the ratio :l m is This formula is known as section formula. It is clear that the section formula can be used only when the related three points are collinear. Results (i) If P divides a line segment AB joining the two points ,A x y1 1^ h and ,B x y2 2^ h externally in the ratio :l m, then the point P is , l m lx mx l m ly my2 1 2 1 - - - - c m. In this case m l is negative. (ii) Midpoint of AB If M is the midpoint of AB, then M divides the line segment AB internally in the ratio 1:1. By substituting l = 1 and m = 1 in the section formula, we obtain the midpoint of AB as ,M x x y y 2 2 2 1 2 1 + + c m. The midpoint of the line segment joining the points A ,x y1 1^ h and ,B x y2 2^ h is , x x y y 2 2 1 2 1 2 + + c m. (iii) Centroid of a triangle Consider a ABCT whose vertices are ,A x y1 1^ h, ,B x y2 2^ h and ,C x y3 3^ h. Let AD, BE and CF be the medians of the ABCT . We know that the medians of a triangle are concurrent and the point of concurrency is the centroid. Let G(x , y) be the centroid of ABCT . Now the midpoint of BC is D , x x y y 2 2 2 3 2 3 + + c m By the property of triangle, the centroid G divides the median AD internally in the ratio 2 : 1 ` By section formula, the centroid G(x , y) = G , x x x y y y 2 1 2 2 1 2 1 2 2 12 3 1 2 3 1 + + + + + + ^ ^ ^ ^f h h h h p = G , x x x y y y 3 3 1 2 3 1 2 3 + + + + c m Fig. 5.3 B A F 1 2 D C E G ,P l m lx mx l m ly my2 1 2 1 + + + + c m
  • 153.
    Coordinate Geometry 143 Thecentroid of the triangle whose vertices are , , , ,x y x y x yand1 1 2 2 3 3^ ^ ^h h h, is , x x x y y y 3 3 1 2 3 1 2 3 + + + + c m. Example 5.1 Find the midpoint of the line segment joining the points ,3 0^ h and ,1 4-^ h. Solution Midpoint M(x , y) of the line segment joining the points ,x y1 1^ h and ,x y2 2^ h is M(x , y) = ,M x x y y 2 2 1 2 1 2 + + c m ` Midpoint of the line segment joining the points ,3 0^ h and ,1 4-^ h is M(x , y ) = , 2 3 1 2 0 4- +` j = M ,1 2^ h. Example 5.2 Find the point which divides the line segment joining the points (3 , 5) and (8 , 10) internally in the ratio 2 : 3. Solution Let ,A 3 5^ h and ,B 8 10^ h be the given points. Let the point P(x,y) divide the line AB internally in the ratio 2 :3. By section formula, P(x , y) = P , l m lx mx l m ly my2 1 2 1 + + + + c m Here 3, 5, 8 , 10x y x y1 1 2 2 = = = = and ,l m2 3= = ` P(x , y) = P , 2 3 2 8 3 3 2 3 2 10 3 5 + + + +^ ^ ^ ^ c h h h h m = P(5 , 7) Example 5.3 In what ratio does the point P(-2 , 3) divide the line segment joining the points A(-3, 5) and B ( 4, -9) internally? Solution Given points are ,A 3 5-^ h and ,B 4 9-^ h. Let P (-2 , 3) divide AB internally in the ratio :l m By the section formula, P , l m lx mx l m ly my2 1 2 1 + + + + c m= P(-2, 3) (1) Here 3, 5, 4, 9x y x y1 1 2 2 =- = = =- . – – – Fig. 5.6 P B –( 1,4)A(3, 0) ( )x, yM(x, y) Fig. 5.4 l m P B(8,10)A(3, 5) ( )x, y Fig. 5.5 2 3
  • 154.
    144 10th Std.Mathematics A 1 2 P B(-2,-3) Fig. 5.8 A(4, –1) A(4,-1) P Q B(-2,-3) Fig. 5.7 A(4, –1) A(4,-1) 2 1 Q B(-2,-3) Fig. 5.9 A(4, –1) Note (1) , l m l m l m l m4 3 9 5 ( + + - + - +^ ^ ^ ^ c h h h h m = (-2, 3) Equating the x-coordinates, we get l m l m4 3 + - = 2- ( 6l = m m l = 6 1 i.e., l : m = 1 : 6 Hence P divides AB internally in the ratio 1 : 6 (i) In the above example, one may get the ratio by equating y-coordinates also. (ii) The ratios obtained by equating x-coordinates and by equating y-coordinates are same only when the three points are collinear. (ii) If a point divides the line segment internally in the ratio :l m, then m l is positive. (iii) If a point divides the line segment externally in the ratio :l m, then m l is negative. Example 5.4 Find the points of trisection of the line segment joining ,4 1-^ h and ,2 3- -^ h. Solution Let A(4,-1) and B(-2,-3) be the given points. Let P(x,y) and Q(a,b) be the points of trisection of AB so that AP PQ QB= = Hence P divides AB internally in the ratio 1 : 2 and Q divides AB internally in the ratio 2 : 1 ` By the section formula, the required points are P , 1 2 1 2 2 4 1 2 1 3 2 1 + - + + - + -^ ^ ^ ^ c h h h h m and Q , 2 1 2 2 1 4 2 1 2 3 1 1 + - + + - + -^ ^ ^ ^ c h h h h m ( , ) ,P x y P 3 2 8 3 3 2( = - + - -` j and ( , ) ,Q a b Q 3 4 4 3 6 1= - + - -` j = ,P 2 3 5-` j = ,Q 0 3 7-` j. Note that Q is the midpoint of PB and P is the midpoint of AQ.
  • 155.
    Coordinate Geometry 145 Example5.5 Find the centroid of the triangle whose vertices are A(4, -6), B(3,-2) and C(5, 2). Solution The centroid G(x , y) of a triangle whose vertices are ,x y1 1^ h , ,x y2 2^ h and ,x y3 3^ h is given by G(x , y) = G , x x x y y y 3 3 1 2 3 1 2 3 + + + + c m. We have ( , ) (4, 6) , ( , )x y x y1 1 2 2 = - (3, 2), ( , ) (5 , 2)x y3 3 = - = ` The centroid of the triangle whose vertices are , , ,4 6 3 2- -^ ^h h and (5, 2) is G(x , y) = G , 3 4 3 5 3 6 2 2+ + - - +` j = G ,4 2-^ h. Example 5.6 If , , , ,7 3 6 1^ ^h h ,8 2^ h and ,p 4^ h are the vertices of a parallelogram taken in order, then find the value of p. Solution Let the vertices of the parallelogram be A ,7 3^ h, , , ,B C6 1 8 2^ ^h h and ,D p 4^ h. We know that the diagonals of a parallelogram bisect each other. ` The midpoints of the diagonal AC and the diagonal BD coincide. Hence , 2 7 8 2 3 2+ +` j = , p 2 6 2 1 4+ +c m ( , p 2 6 2 5+ c m = , 2 15 2 5 ` j Equating the x-coordinates, we get, p 2 6 + = 2 15 p` = 9 Example 5.7 If C is the midpoint of the line segment joining A(4 , 0) and B(0 , 6) and if O is the origin, then show that C is equidistant from all the vertices of 3OAB. Solution The midpoint of AB is ,C 2 4 0 2 0 6+ +` j = C ,2 3^ h We know that the distance between ( , ) ( , )P x y Q x yand1 1 2 2 is ( ) ( ) .x x y y1 2 2 1 2 2 - + - Distance between O ,0 0^ h and C ,2 3^ h is OC = 2 0 3 02 2 - + -^ ^h h = 13 . B(3,-2) A(4,-6) C(5,2) G D F E Fig. 5.10 B(6,1)A(7,3) C(8,2)D(P,4) Fig. 5.11 D(p,4)
  • 156.
    146 10th Std.Mathematics O B x y A(4,0) (0,6) C Fig. 5.12 Note Distance between A ,4 0^ h and ,C 2 3^ h, AC = 2 4 3 02 2 - + -^ ^h h = 4 9+ = 13 Distance between B ,0 6^ h and ,C 2 3^ h, BC = 2 0 3 62 2 - + -^ ^h h = 4 9+ = 13 ` OC = AC = BC ` The point C is equidistant from all the vertices of the 3OAB. The midpoint C of the hypotenuse, is the circumcentre of the right angled 3OAB. Exercise 5.1 1. Find the midpoint of the line segment joining the points (i) ,1 1-^ h and ,5 3-^ h (ii) ,0 0^ h and ,0 4^ h 2. Find the centroid of the triangle whose vertices are (i) , , , ,1 3 2 7 12 16and -^ ^ ^h h h (ii) , , , ,3 5 7 4 10 2and- - -^ ^ ^h h h 3. The centre of a circle is at (-6, 4). If one end of a diameter of the circle is at the origin, then find the other end. 4. If the centroid of a triangle is at (1, 3) and two of its vertices are (-7, 6) and (8, 5) then find the third vertex of the triangle . 5. Using the section formula, show that the points A(1,0), B(5,3), C(2,7) and D(-2, 4) are the vertices of a parallelogram taken in order. 6. Find the coordinates of the point which divides the line segment joining (3, 4) and (–6, 2) in the ratio 3 : 2 externally. 7. Find the coordinates of the point which divides the line segment joining (-3, 5) and (4, -9) in the ratio 1 : 6 internally. 8. Let A (-6,-5) and B (-6, 4) be two points such that a point P on the line AB satisfies AP = 9 2 AB. Find the point P. 9. Find the points of trisection of the line segment joining the points A(2,-2) and B(-7, 4). 10. Find the points which divide the line segment joining A(-4 ,0) and B (0,6) into four equal parts. 11. Find the ratio in which the x-axis divides the line segment joining the points (6, 4) and (1,-7). 12. In what ratio is the line joining the points (-5, 1) and (2 , 3) divided by the y-axis? Also, find the point of intersection . 13. Find the length of the medians of the triangle whose vertices are (1, -1) , (0, 4) and (-5, 3).
  • 157.
    Coordinate Geometry 147 O Ax y( , )1 1 C x y( , )3 3 x y y1 x3 x1 x2 y3y2 E FD Fig. 5.13 Note 5.3 Area of a triangle We have already learnt how to calculate the area of a triangle, when some measurements of the triangle are given. Now, if the coordinates of the vertices of a triangle are given, can we find its area ? Let ABC be a triangle whose vertices are , , , ,A x y B x y C x yand,1 1 2 2 3 3^ ^ ^h h h. Draw the lines AD, BE and CF perpendicular to x-axis. From the figure, ED =x x1 2 - , DF x x3 1 = - and EF x x3 2 = - . Area of the triangle ABC = Area of the trapezium ABED + Area of the trapezium ADFC - Area of the trapezium BEFC = BE AD ED AD CF DF BE CF EF 2 1 2 1 2 1+ + + - +^ ^ ^h h h = y y x x y y x x y y x x 2 1 2 1 2 1 2 1 1 2 1 3 3 1 2 3 3 2 + - + + - - + -^ ^ ^ ^ ^ ^h h h h h h = }x y x y x y x y x y x y x y x y x y x y x y x y 2 1 1 2 2 2 1 1 2 1 3 1 1 1 3 3 1 3 3 2 2 2 3 3 2 3 - + - + - + - - + - +" ` Area of the ABCT is x y y x y y x y y 2 1 1 2 3 2 3 1 3 1 2 - + - + -^ ^ ^h h h" ,.sq.units. If , , , , ,A x y B x y C x yand1 1 2 2 3 3^ ^ ^h h h are the vertices of a ABCT , then the area of the ABCT is x y y x y y x y y 2 1 1 2 3 2 3 1 3 1 2 - + - + -^ ^ ^h h h" ,.sq.units. The area of the triangle can also be written as x y x y x y x y x y x y 2 1 1 2 1 3 2 3 2 1 3 1 3 2 - + - + -" , sq.units. (or) ( )x y x y x y x y x y x y 2 1 1 2 2 3 3 1 2 1 3 2 1 3 + + - + +^ h$ .sq.units The following pictorial representation helps us to write the above formula very easily. Take the vertices A ,x y1 1^ h, B , ,x y C x yand2 2 3 3^ ^h h of ABCT in counter clockwise direction and write them column-wise as shown below. x y x y x y x y2 1 1 1 2 2 3 3 1 1 ) 3 Add the diagonal products ,x y x y x yand1 2 2 3 3 1 as shown in the dark arrows.
  • 158.
    148 10th Std.Mathematics O A(x ,y )1 1 C x ,y( )3 3 x y L PM N Fig. 5.14 Note Also add the products ,x y x y x yand2 1 3 2 1 3 as shown in the dotted arrows and then subtract the latter from the former to get the expression ( )x y x y x y x y x y x y 2 1 1 2 2 3 3 1 2 1 3 2 1 3 + + - + +^ h$ . To find the area of a triangle, the following steps may be useful. (i) Plot the points in a rough diagram. (ii) Take the vertices in counter clock-wise direction. Otherwise the formula gives a negative value. (iii) Use the formula, area of the ABCT = ( )x y x y x y x y x y x y 2 1 1 2 2 3 3 1 2 1 3 2 1 3 + + - + +^ h$ . 5.4 Collinearity of three points Three or more points in a plane are said to be collinear, if they lie on the same straight line. In other words, three points , , , ,A x y B x y C x yand1 1 2 2 3 3^ ^ ^h h h are collinear if any one of these points lies on the straight line joining the other two points. Suppose that the three points , , , ,A x y B x y C x yand1 1 2 2 3 3^ ^ ^h h h are collinear. Then they cannot form a triangle. Hence the area of the 3ABC is zero. . .,i e x y x y x y x y x y x y 2 1 1 2 2 3 3 1 2 1 3 2 1 3 + + - + +^ ^h h" , = 0 ( x y x y x y1 2 2 3 3 1 + + = x y x y x y2 1 3 2 1 3 + + One can prove that the converse is also true. Hence the area of ABC3 is zero if and only if the points A, B and C are collinear. 5.5 Area of the Quadrilateral Let A , , , , , ,x y B x y C x y D x yand1 1 2 2 3 3 4 4^ ^ ^ ^h h h h be the vertices of a quadrilateral ABCD. Now the area of the quadrilateral ABCD = area of the ABDT +area of the BCDT x y x y x y x y x y x y 2 1 1 2 2 4 4 1 2 1 4 2 1 4 = + + - + +^ ^h h" , ( )x y x y x y x y x y x y 2 1 2 3 3 4 4 2 3 2 4 3 2 4 + + + - + +^ h" , ` Area of the quadrilateral ABCD = x y x y x y x y x y x y x y x y 2 1 1 2 2 3 3 4 4 1 2 1 3 2 4 3 1 4 + + + - + + +^ ^h h" , or x x y y x x y y 2 1 1 3 2 4 2 4 1 3 - - - - -^ ^ ^ ^h h h h" , sq.units The following pictorial representation helps us to write the above formula very easily.
  • 159.
    Coordinate Geometry 149 Take the vertices A ,x y1 1^ h, B , , ,x y C x y2 2 3 3^ ^h h and D ,x y4 4^ h in counter clockwise direction and write them column-wise as shown below. Follow the same technique as we did in the case of finding the area of a triangle. x y x y x y x y x y2 1 1 1 2 2 3 3 4 4 1 1 ) 3. This helps us to get the required expression. Thus, the area of the quadrilateral ABCD = x y x y x y x y x y x y x y x y 2 1 1 2 2 3 3 4 4 1 2 1 3 2 4 3 1 4 + + + - + + +^ ^h h" , sq. units. Example 5.8 Find the area of the triangle whose vertices are (1, 2), (-3 , 4), and (-5 ,-6). Solution Plot the points in a rough diagram and take them in order. Let the vertices be A(1 , 2), B(-3 , 4) and C (–5, –6). Now the area of 3ABC is = ( )x y x y x y x y x y x y 2 1 1 2 2 3 3 1 2 1 3 2 1 3 + + - + +^ h$ . = 2 1 4 18 10 6 20 6+ - - - - -^ ^h h" , use : 2 1 1 2 3 4 5 6 1 2 - - - ) 3 = 2 1 12 32+" , = 22. sq. units Example 5.9 If the area of the ABCT is 68 sq.units and the vertices are A(6 ,7), B(-4 , 1) and C(a , –9) taken in order, then find the value of a. Solution Area of 3ABC is a a 2 1 6 36 7 28 54+ + - - + -^ ^h h" ,= 68 use : a 2 1 6 7 4 1 9 6 7 - - ) 3 a a42 7 82( + - -^ ^h h = 136 6a( = 12 ` a 2= Example 5.10 Show that the points A(2 , 3), B(4 , 0) and C(6, -3) are collinear. Solution Area of the ABCD is = 2 1 0 12 18 12 0 6- + - + -^ ^h h" , use : 2 1 2 3 4 0 6 3 2 3- ) 3 = 2 1 6 6-" , = 0. ` The given points are collinear. Fig. 5.15 x B(–3, 4) C(–5, –6) O A(1, 2) y
  • 160.
    150 10th Std.Mathematics Example 5.11 If P ,x y^ h is any point on the line segment joining the points ,a 0^ h and , b0^ h, then , prove that a x b y 1+ = , where a, b 0! . Solution Now the points ,x y^ h, ,a 0^ h and , b0^ h are collinear. ` The area of the triangle formed by them is zero. ( ab – bx – ay = 0 use: a b x y a 2 1 0 0 0 ' 1 ` bx ay+ = ab Dividing by ab on both sides, we get, a x b y + = 1, , 0a bwhere ! Example 5.12 Find the area of the quadrilateral formed by the points (-4, -2), (-3, -5), (3, -2) and (2 , 3). Solution Let us plot the points roughly and take the vertices in counter clock-wise direction. Let the vertices be A(-4, -2), B(-3, -5), C(3, -2) and D(2, 3). Area of the quadrilateral ABCD = x y x y x y x y x y x y x y x y 2 1 1 2 2 3 3 4 4 1 2 1 3 2 4 3 1 4 + + + - + + +^ ^h h" ,. = 2 1 20 6 9 4 6 15 4 12+ + - - - - -^ ^h h" , = 2 1 31 25+" , = 28 sq.units. 2 1 4 2 3 5 3 2 2 3 4 2 - - - - - - - ) 3 Exercise 5.2 1. Find the area of the triangle formed by the points (i) (0, 0), (3, 0) and (0, 2) (ii) (5, 2), (3, -5) and (-5, -1) (iii) (-4, -5), (4, 5) and (-1, -6) 2. Vertices of the triangles taken in order and their areas are given below. In each of the following find the value of a. Vertices Area (in sq. units) (i) ( , )0 0 , (4, a), (6, 4) 17 (ii) (a, a), (4, 5), (6,-1) 9 (iii) (a, -3), (3, a), (-1,5) 12 O x y A – – ( 4, 2) B – –( 3, 5) D(2, 3) C ,(3 –2) Fig. 5.16
  • 161.
    Coordinate Geometry 151 i O x y l Fig.5.17 A Remarks Definition 3. Determine if the following set of points are collinear or not. (i) (4, 3), (1, 2) and (-2, 1) (ii) (-2, -2), (-6, -2) and (-2, 2) (iii) 2 3 ,3-` j,(6, -2) and (-3, 4) 4. In each of the following, find the value of k for which the given points are collinear. (i) (k, -1), (2, 1) and (4, 5) (ii) , , , ,and k2 5 3 4 9- -^ ^ ^h h h (iii) , , , ,andk k 2 3 4 1-^ ^ ^h h h 5. Find the area of the quadrilateral whose vertices are (i) , , , , , ,and6 9 7 4 4 2 3 7^ ^ ^ ^h h h h (ii) , , , , , ,and3 4 5 6 4 1 1 2- - - -^ ^ ^ ^h h h h (iii) , , , , , ,and4 5 0 7 5 5 4 2- - - -^ ^ ^ ^h h h h 6. If the three points , , ( , ) ,h a b k0 0and^ ^h h lie on a straight line, then using the area of the triangle formula, show that 1, , 0 h a k b h kwhere !+ = . 7. Find the area of the triangle formed by joining the midpoints of the sides of a triangle whose vertices are , , , ,and0 1 2 1 0 3-^ ^ ^h h h. Find the ratio of this area to the area of the given triangle. 5.6 Straight Lines 5.6.1 Angle of Inclination Let a straight line l intersect the x-axis at A. The angle between the positive x-axis and the line l, measured in counter clockwise direction is called the angle of inclination of the straight line l. If i is the angle of inclination of a straight line l, then (i) 0 # #ic 180c (ii) For horizontal lines, 0 180ori = c c and for vertical lines, 90i = % (iii) If a straight line initially lies along the x-axis and starts rotating about a fixed point A on the x-axis in the counter clockwise direction and finally coincides with the x-axis, then the angle of inclination of the straight line in the initial position is 0c and that of the line in the final position is 180c. (iv) Lines which are perpendicular to x-axis are called as vertical lines. Other lines which are not perpendicular to x-axis are called as non vertical lines. 5.6.2 Slope of a straight line If i is the angle of inclination of a non-vertical straight line l, then tani is called the Slope or Gradient of the line and is denoted by m. ` The slope of the straight line, m = tani for 0 180 ,# #i % % 90!i c
  • 162.
    152 10th Std.Mathematics Fig. 5.18 i l O X x2 x1 Y F DC E B x y ( , ) 2 2 A x y ( , ) 1 1 y2 y1 i Remarks Note (i) Thus, the slope of x-axis or straight lines parallel to x-axis is zero. (ii) The slope of y-axis or a straight line parallel to y-axis is not defined because tan 900 is not defined. Therefore, whenever we talk about the slope of a straight line, we mean that of a non-vertical straight line. (iii) If i is acute, then the slope is positive, whereas if i is obtuse then the slope is negative. 5.6.3 Slope of a straight line when any two points on the line are given Let ,A x y B x yand,1 1 2 2^ ^h h be any two points on the straight line l whose angle of inclination is i. Here, 0 180 ,# #i % % 90!i c Let the straight line AB intersect the x-axis at C. Now, the slope of the line l is m = tan i (1) Draw AD and BE perpendicular to x-axis and draw the perpendicular AF line from A to BE. From the figure, we have AF =DE OE OD x x2 1 = - = - and BF = BE EF BE AD y y2 1 - = - = - Also, we observe that DCA FAB i= = In the right angled ABFT , we have tan AF BF x x y y 2 1 2 1 i = = - - if x x1 2 ! (2) From (1) and (2), we get the slope, m = x x y y 2 1 2 1 - - The slope of the straight line joining the points , ,x y x yand1 1 2 2^ ^h h is m = x x x x y y x x y y where 1 2 2 1 2 1 1 2 1 2 != - - - - as 90!i c. The slope of the straight line joining the points ,x y x yand,1 1 2 2^ ^h h is also interpreted as m = x y x x y y change in coordinates change in coordinates 2 1 2 1 = - - .
  • 163.
    Coordinate Geometry 153 5.6.4 Condition for parallel lines in terms of their slopes Consider parallel lines l land1 2 whose angles of inclination are and1 2 i i and slopes are m mand1 2 respectively. Since l land1 2 are parallel, the angles of inclinations and1 2 i i are equal. tan tan1 2 ` i i= m m1 2 ( = ` If two non-vertical straight lines are parallel, then their slopes are equal. The converse is also true. i.e., if the slopes of two lines are equal, then the straight lines are parallel. 5.6.5 Condition for perpendicular lines in terms of their slopes Let l1 and l2 be two perpendicular straight lines passing through the points ,A x y1 1^ h and ,B x y2 2^ h respectively. Let m1 and m2 be their slopes. Let ,C x y3 3^ h be their point of intersection. The slope of the straight line l1 is m1 x x y y 3 1 3 1 = - - The slope of the straight line l2 is m2 x x y y 3 2 3 2 = - - In the right angled 3ABC, we have AB AC BC 2 2 2 = + x x y y2 1 2 2 1 2( - + -^ ^h h x x y y x x y y3 1 2 3 1 2 3 2 2 3 2 2= - + - + - + -^ ^ ^ ^h h h h x x x x y y y y2 3 3 1 2 2 3 3 1 2( - + - + - + -^ ^h h x x y y x x y y3 1 2 3 1 2 3 2 2 3 2 2 = - + - + - + -^ ^ ^ ^h h h h ) ( 2 )( ( ) ( ) 2( )( )x x x x x x x x y y y y y y y y2 3 2 3 1 2 2 3 3 1 2 3 2 3 1 2 2 3 3 1 ( - + - + - - + - + - + - -` ^j h x x y y x x y y3 1 2 3 1 2 3 2 2 3 2 2= - + - + - + -^ ^ ^ ^h h h h (2 )( 2( )( ) 0x x x x y y y y2 3 3 1 2 3 3 1 - - + - - =^ h y y y y2 3 3 1 ( - - =^ ^h h x x x x2 3 3 1 - - -^ ^h h x x y y x x y y 3 1 3 1 3 2 3 2 - - - - e eo o 1=- . 1m m m m 1or1 2 1 2 ( =- =- If two non-vertical straight lines with slopes m1 and m2 , are perpendicular, then m1 m2 = –1. On the other hand, if m1 m2 = –1, then the two straight lines are perpendicular. O x y l1 l2 1i 2i Fig. 5.19 O X Y B(x2 , y2 ) A(x1 , y1 ) C(x3 , y3 ) l2 l1 Fig. 5.20 Y XO
  • 164.
    154 10th Std.Mathematics Note The straight lines x-axis and y-axis are perpendicular to each other. But, the condition 1m m1 2 =- is not true because the slope of the x-axis is zero and the slope of the y-axis is not defined. Example 5.13 Find the angle of inclination of the straight line whose slope is 3 1 . Solution If i is the angle of inclination of the line, then the slope of the line is 0tanm where # #i i= c 180c , !i 90c. tan 3 1` i = ( i = 30c Example 5.14 Find the slope of the straight line whose angle of inclination is 45c. Solution If i is the angle of inclination of the line, then the slope of the line is tanm i= Given that 45tanm = c ( m 1= . Example 5.15 Find the slope of the straight line passing through the points , ,3 2 1 4and- -^ ^h h. Solution Slope of the straight line passing through the points , ,x y x yand1 1 2 2^ ^h h is given by m x x y y 2 1 2 1 = - - Slope of the straight line passing through the points (3 , -2) and (-1 , 4) is m = 1 3 4 2 - - + = 2 3- . Example 5.16 Using the concept of slope, show that the points A(5, -2), B(4, -1) and C(1, 2) are collinear. Solution Slope of the line joining the points , ,x y x yand is given by1 1 2 2^ ^h h m x x y y 2 1 2 1 = - - Slope of the line AB joining the points A , isB5 2 4 1and- -^ ^h h m 4 5 1 2 1 = - - + = – 1 Slope of the line BC joining the points B(4,–1) and C(1, 2) is m 1 4 2 1 2 = - + = – 1 Thus, slope of AB = slope of BC. Also, B is the common point. Hence, the points A , B and C are collinear.
  • 165.
    Coordinate Geometry 155 Example5.17 Using the concept of slope, show that the points (-2 , -1), (4 , 0), (3 , 3) and (-3 , 2) taken in order form a parallelogram. Solution Let A(-2 , -1), B(4 , 0), C(3 , 3) and D(-3 , 2) be the given points taken in order. Now the slope of AB = 4 2 0 1 + + = 6 1 Slope of CD = 3 3 2 3 - - - = 6 1 ` Slope of AB = slope of CD Hence, AB is parallel to CD. (1) Now the slope of BC = 3 4 3 0 - - = -3 Slope of AD = 3 2 2 1 3 - + + =- ` Slope of BC = slope of AD Hence, BC is parallel to AD. (2) From (1) and (2), we see that opposite sides of quadrilateral ABCD are parallel ` ABCD is a parallelogram. Example 5.18 The vertices of a 3ABC are A(1 , 2), B(-4 , 5) and C(0 , 1). Find the slopes of the altitudes of the triangle. Solution Let AD, BE and CF be the altitudes of a 3ABC. slope of BC = 0 4 1 5 + - = -1 Since the altitude AD is perpendicular to BC, slope of AD = 1 a m m1 2 = -1 slope of AC = 0 1 1 2 - - = 1 Thus, slope of BE = -1 BE ACa = Also, slope of AB = 4 1 5 2 5 3 - - - =- ` slope of CF = 3 5 CF ABa = O X Y A – –( 2, 1) B(4, 0) C(3, 3) D(–3, 2) Fig. 5.21 Fig. 5.22 A(1, 2) E F C(0, 1)B –( 4, 5) D
  • 166.
    156 10th Std.Mathematics Exercise 5.3 1. Find the angle of inclination of the straight line whose slope is (i) 1 (ii) 3 (iii) 0 2. Find the slope of the straight line whose angle of inclination is (i) 30c (ii) 60c (iii) 90c 3. Find the slope of the straight line passing through the points (i) (3 , -2) and (7 , 2) (ii) (2 , -4) and origin (iii) ,1 3 2+^ h and ,3 3 4+^ h 4. Find the angle of inclination of the line passing through the points (i) ,1 2^ h and ,2 3^ h (ii) ,3 3^ h and ,0 0^ h (iii) (a , b) and (-a , -b) 5. Find the slope of the line which passes through the origin and the midpoint of the line segment joining the points ,0 4-^ h and (8 , 0). 6. The side AB of a square ABCD is parallel to x-axis . Find the (i) slope of AB (ii) slope of BC (iii) slope of the diagonal AC 7. The side BC of an equilateral 3ABC is parallel to x-axis. Find the slope of AB and the slope of BC. 8. Using the concept of slope, show that each of the following set of points are collinear. (i) (2 , 3), (3 , -1) and (4 , -5) (ii) (4 , 1), (-2 , -3) and (-5 , -5) (iii) (4 , 4), (-2 , 6) and (1 , 5) 9. If the points (a, 1), (1, 2) and (0, b+1) are collinear, then show that a b 1 1+ = 1. 10. The line joining the points A(-2 , 3) and B(a , 5) is parallel to the line joining the points C(0 , 5) and D(-2 , 1). Find the value of a. 11. The line joining the points A(0, 5) and B(4, 2) is perpendicular to the line joining the points C(-1, -2) and D(5, b). Find the value of b. 12. The vertices of 3ABC are A(1, 8), B(-2, 4), C(8, -5). If M and N are the midpoints of AB and AC respectively, find the slope of MN and hence verify that MN is parallel to BC. 13. A triangle has vertices at (6 , 7), (2 , -9) and (-4 , 1). Find the slopes of its medians. 14. The vertices of a 3ABC are A(-5 , 7), B(-4 , -5) and C(4 , 5). Find the slopes of the altitudes of the triangle.
  • 167.
    Coordinate Geometry 157 15. Using the concept of slope, show that the vertices (1 , 2), (-2 , 2), (-4 , -3) and (-1, -3) taken in order form a parallelogram. 16. Show that the opposite sides of a quadrilateral with vertices A(-2 ,-4), B(5 , -1), C(6 , 4) and D(-1, 1) taken in order are parallel. 5.6.6 Equation of a straight line Let L be a straight line in the plane. A first degree equation px qy r 0+ + = in the variables x and y is satisfied by the x-coordinate and y-coordinate of any point on the line L and any values of x and y that satisfy this equation will be the coordinates of a point on the line L. Hence this equation is called the equation of the straight line L. We want to describe this line L algebraically. That is, we want to describe L by an algebraic equation. Now L is in any one of the following forms: (i) horizontal line (ii) vertical line (iii) neither vertical nor horizontal (i) Horizontal line: Let L be a horizontal line. Then either L is x-axis or L is a horizontal line other than x-axis. Case (a) If L is x – axis, then a point (x, y) lies on L if and only if y = 0 and x can be any real number. Thus, y = 0 describes x – axis. ` The equation of x-axis is y = 0 Case (b) L is a horizontal line other than x-axis. That is, L is parallel to x-axis. Now, a point (x, y) lies on L if and only if the y-coordinate must remain a constant and x can be any real number. ` The equation of a straight line parallel to x-axis is y = k, where k is a constant. Note that if k > 0, then L lies above x-axis and if k < 0, then L lies below x- axis. If k = 0, then L is nothing but the x-axis. (ii) Vertical line: Let L be a vertical line. Then either L is y-axis or L is a vertical line other than y-axis. O x y k k l Ll y = k y = –k L Fig. 5.23 y = 0
  • 168.
    158 10th Std.Mathematics Case (a) If L is y-axis, then a point (x, y) in the plane lies on L if and only if x = 0 and y can be any real number. Thus x = 0 describes y – axis. ` The equation of y-axis is x = 0 Case (b) If L is a vertical line other than y-axis, then it is parallel to y-axis. Now a point (x, y) lies on L if and only if x-coordinate must remain constant and y can be any real number. ` The equation of a straight line parallel to y-axis is x = c, where c is a constant. Note that if c > 0, then L lies to the right y-axis and if c < 0, then L lies to the left of y-axis. If c = 0, then L is nothing but the y-axis. (iii) Neither vertical nor horizontal: Let L be neither vertical nor horizontal. In this case how do we describe L by an equation? Let i denote the angle of inclination. Observe that if we know this i and a point on L, then we can easily describe L. Slope m of a non-vertical line L can be calculated using (i) tanm i= if we know the angle of inclination i. (ii) m = x x y y 2 1 2 1 - - if we know two distinct points ,x y1 1^ h, ,x y2 2^ h on L. (iii) m = 0 if and only if L is horizontal. Now consider the case where L is not a vertical line and derive the equation of a straight line in the following forms: (a) Slope-Point form (b) Two-Points form (c) Slope-Intercept form (d) Intercepts form (a) Slope-Point form Let m be the slope of L and Q ,x y1 1^ h be a point on L. Let P ,x y^ h be an arbitrary point on L other than Q. Then, we have m x x y y 1 1 = - - + m x x y y1 1 - = -^ h Thus, the equation of a straight line with slope m and passing through ,x y1 1^ h is y y m x x1 1 - = -^ h for all points ,x y^ h on L. (1) O x y l P(x, y) Q(x1 , y1 ) L Fig. 5.25 Ll x=c x=–c L Fig. 5.24 x=0
  • 169.
    Coordinate Geometry 159 O Px y( , ) x y L A(x1 , y1 ) B(x2 , y2 ) Fig. 5.26 L Fig. 5.27 Remarks Note (i) Now the first degree equation (1) in the variables x and y is satisfied by the x-coordinate and y-coordinate of any point on the line L. Any value of x and y that satisfies this equation will be the coordinates of a point on the line L. Hence the equation (1) is called the equation of the straight line L. (ii) The equation (1) says that the change in y-coordinates of the points on L is directly proportional to the change in x-coordinates. The proportionality constant m is the slope. (b) Two-Points form Suppose that two distinct points ,x y1 1^ h, ,x y2 2^ h are given on a non-vertical line L. To find the equation of L, we find the slope of L first and then use (1) . The slope of L is m = x x y y 2 1 2 1 - - , where x x2 1 ! as L is non-vertical. Now, the formula (1) gives y y x x y y x x1 2 1 2 1 1 - = - - -e ^o h ( y y y y 2 1 1 - - = x x x x 2 1 1 - - ( x x x x 2 1 1 - - = y y y y 2 1 1 - - for all points ,x y^ h on L (2) To get the equation of L, we can also use the point ,x y2 2^ h instead of ,x y1 1^ h. (c) Slope-Intercept form Suppose that m is the slope of L and c is the y-intercept of L. Since c is the y-intercept, the point , c0^ h lies on L. Now using (1) with ,x y1 1^ h = , c0^ h we obtain, y c m x 0- = -^ h ( y mx c= + for all points ,x y^ h on L. (3) Thus, y mx c= + is the equation of straight line in the Slope-Intercept form.
  • 170.
    160 10th Std.Mathematics Fig. 5.28 y = –4 x=3 Fig. 5.29 L Ll Note (d) Intercepts form Suppose that the straight line L makes non-zero intercepts a and b on the x-axis and on the y-axis respectively. ` The straight line cuts the x-axis at A(a, 0) and the y-axis at B(0, b) The slope of AB is m a b=- . Now (1) gives, y – 0 = ( ) a b x a- - ( ay = bx ab- + bx ay+ = ab Divide by ab to get a x b y + = 1 ` Equation of a straight line having x-intercept a and y-intercept b is a x b y + = 1 for all points ,x y^ h on L (4) (i) If the line L with slope m, makes x-intercept d, then the equation of the line is y m x d= -^ h. (ii) The straight line y mx= passes through the origin.( both x and y-intercepts are zero for m 0! ). (iii) Equations (1), (2) and (4) can be simplified to slope-intercept form given by (3). (iv) Each equation in (1), (2), (3) and (4) can be rewritten in the form px qy r 0+ + = for all points ,x y^ h on L, which is called the general form of equation of a straight line. Example 5.19 Find the equations of the straight lines parallel to the coordinate axes and passing through the point ,3 4-^ h. Solution Let L and Ll be the straight lines passing through the point ,3 4-^ h and parallel to x-axis and y-axis respectively. The y-coordinate of every point on the line L is – 4. Hence, the equation of the line L is y 4=- Similarly, the x-coordinate of every point on the straight line Ll is 3 Hence, the equation of the line Ll is x 3= .
  • 171.
    Coordinate Geometry 161 Example5.20 Find the equation of straight line whose angle of inclination is 45c and y-intercept is 5 2 . Solution Slope of the line, m = tani = 45tan c = 1 y-intercept is c = 5 2 By the slope-intercept form, the equation of the straight line is y = mx c+ y = x 5 2+ y( = x 5 5 2+ ` The equation of the straight line is x y5 5 2- + = 0 Example 5.21 Find the equation of the straight line passing through the point ,2 3-^ h with slope 3 1 . Solution Given that the slope m = 3 1 and a point ,x y1 1^ h = ,2 3-^ h By slope-point formula, the equation of the straight line is y y m x x1 1 - = -^ h ( y 3- = x 3 1 2+^ h Thus, x y3 11- + = 0 is the required equation. Example 5.22 Find the equation of the straight line passing through the points ,1 1-^ h and ,2 4-^ h. Solution Let A ,x y1 1^ h and B ,x y2 2^ h be the given points. Here x 11 =- , 1y1 = and 2x2 = , 4y2 =- . Using two-points formula, the equation of the straight line is y y y y 2 1 1 - - = x x x x 2 1 1 - - ( y 4 1 1 - - - = x 2 1 1 + + ( y3 3- = x5 5- - Hence, x y5 3 2+ + = 0 is the required equation of the straight line. Example 5.23 The vertices of a 3ABC are A(2, 1), B(-2, 3) and C(4, 5). Find the equation of the median through the vertex A.
  • 172.
    162 10th Std.Mathematics Solution Median is a straight line joining a vertex and the midpoint of the opposite side. Let D be the midpoint of BC. ` Midpoint of BC is D , 2 2 4 2 3 5- + +` j = D(1, 4) Now the equation of the median AD is y 4 1 1 - - = x 1 2 2 - - ( , ) (2,1)x y1 1 a = and ( , ) ( , )x y 1 42 2 = y 3 1- = x 1 2 - - ` x y3 7+ - = 0 is the required equation. Example 5.24 If the x-intercept and y-intercept of a straight line are 3 2 and 4 3 respectively, then find the equation of the straight line. Solution Given that x-intercept of the straight line, a = 3 2 and the y-intercept of the straight line, b = 4 3 Using intercept form, the equation of the straight line is a x b y + = 1 x y 3 2 4 3 ( + = 1 x y 2 3 3 4 ( + = 1 Hence, x y9 8+ - 6 = 0 is the required equation. Example 5.25 Find the equations of the straight lines each passing through the point (6, -2) and whose sum of the intercepts is 5. Solution Let a and b be the x-intercept and y-intercept of the required straight line respectively. Given that sum of the intercepts, a b+ = 5 ( b = a5 - Now, the equation of the straight line in the intercept form is a x b y + = 1 ( a x a y 5 + - = 1 ( a a a x ay 5 5 - - + ^ ^ h h = 1 Thus, a x ay5 - +^ h = a a5 -^ h (1) Since the straight line given by (1) passes through (6,-2), we get, Fig. 5.30 B A (–2,3) (4,5) (2,1) D C
  • 173.
    Coordinate Geometry 163 ( )a a5 6 2- + -^ h = a a5 -^ h ( a a13 302 - + = 0. That is, a a3 10- -^ ^h h = 0 ` a 3= or a 10= When a 3= , (1) ( 3x y5 3- +^ h = 3 5 3-^ h ( x y2 3+ = 6 (2) When a 10= , (1) ( x y5 10 10- +^ h = 10 5 10-^ h ( x y5 10- + = -50 That is, 2 10x y- - = 0. (3) Hence, x y2 3+ = 6 and 2 10x y- - = 0 are the equations of required straight lines. Exercise 5.4 1. Write the equations of the straight lines parallel to x- axis which are at a distance of 5 units from the x-axis. 2. Find the equations of the straight lines parallel to the coordinate axes and passing through the point (-5,-2). 3. Find the equation of a straight line whose (i) slope is -3 and y-intercept is 4. (ii) angle of inclination is 600 and y-intercept is 3. 4. Find the equation of the line intersecting the y- axis at a distance of 3 units above the origin and tan 2 1i = , where i is the angle of inclination. 5. Find the slope and y-intercept of the line whose equation is (i) y x 1= + (ii) x y5 3= (iii) x y4 2 1 0- + = (iv) x y10 15 6 0+ + = 6. Find the equation of the straight line whose (i) slope is -4 and passing through (1, 2) (ii) slope is 3 2 and passing through (5, -4) 7. Find the equation of the straight line which passes through the midpoint of the line segment joining (4, 2) and (3, 1) whose angle of inclination is 300 . 8. Find the equation of the straight line passing through the points (i) (-2, 5) and (3, 6) (ii) (0, -6) and (-8, 2) 9. Find the equation of the median from the vertex R in a 3PQR with vertices at P(1, -3), Q(-2, 5) and R(-3, 4).
  • 174.
    164 10th Std.Mathematics 10. By using the concept of the equation of the straight line, prove that the given three points are collinear. (i) (4, 2), (7, 5) and (9, 7) (ii) (1, 4), (3, -2) and (-3, 16) 11. Find the equation of the straight line whose x and y-intercepts on the axes are given by (i) 2 and 3 (ii) 3 1- and 2 3 (iii) 5 2 and 4 3- 12. Find the x and y intercepts of the straight line (i) x y5 3 15 0+ - = (ii) 2 1 0x y 6- + = (iii) x y3 10 4 0+ + = 13. Find the equation of the straight line passing through the point (3, 4) and has intercepts which are in the ratio 3 : 2. 14. Find the equation of the straight lines passing through the point (2, 2) and the sum of the intercepts is 9. 15. Find the equation of the straight line passing through the point (5, -3) and whose intercepts on the axes are equal in magnitude but opposite in sign. 16. Find the equation of the line passing through the point (9, -1) and having its x-intercept thrice as its y-intercept. 17. A straight line cuts the coordinate axes at A and B. If the midpoint of AB is (3, 2), then find the equation of AB. 18. Find the equation of the line passing through (22, -6) and having intercept on x-axis exceeds the intercept on y-axis by 5. 19. If A(3, 6) and C(-1, 2) are two vertices of a rhombus ABCD, then find the equation of straight line that lies along the diagonal BD. 20. Find the equation of the line whose gradient is 2 3 and which passes through P, where P divides the line segment joining A(-2, 6) and B (3, -4) in the ratio 2 : 3 internally. 5.7 General Form of Equation of a straight line We have already pointed out that different forms of the equation of a straight line may be converted into the standard form 0ax by c+ + = , where a , b and c are real constants such that either 0 0ora b! ! . Now let us find out (i) the slope of 0ax by c+ + = (ii) the equation of a straight line parallel to 0ax by c+ + = (iii) the equation of a straight line perpendicular to 0ax by c+ + = and (iv) the point of intersection of two intersecting straight lines.
  • 175.
    Coordinate Geometry 165 (i) The general form of the equation of a straight line is 0ax by c+ + = . The above equation is rewritten as y = , b a x b c b 0!- - (1) Comparing (1) with the slope-intercept form y mx k= + , we get, slope, m = b a- and the y-intercept = b c- ` For the equation 0ax by c+ + = , we have slope m = coefficient of coefficient of y x- and the y-intercept is coefficient of constant term y - . (ii) Equation of a line parallel to the line 0ax by c+ + = . We know that two straight lines are parallel if and only if their slopes are equal. Hence the equations of all lines parallel to the line 0ax by c+ + = are of the form 0ax by k+ + = , for different values of k. (iii) Equation of a line perpendicular to the line 0ax by c+ + = We know that two non-vertical lines are perpendicular if and only if the product of their slopes is –1. Hence the equations of all lines perpendicular to the line 0ax by c+ + = are 0bx ay k- + = , for different values of k. Two straight lines a x b y c 01 1 1+ + = and 0a x b y c2 2 2+ + = , where the coefficients are non-zero, (i) are parallel if and only if a a b b 2 1 2 1 = (ii) are perpendicular if and only if a a b b 01 2 1 2+ = (iv) The point of intersection of two straight lines If two straight lines are not parallel, then they will intersect at a point. This point lies on both the straight lines. Hence, the point of intersection is obtained by solving the given two equations. Example 5.26 Show that the straight lines x y3 2 12 0+ - = and x y6 4 8 0+ + = are parallel. Solution Slope of the straight line x y3 2 12 0+ - = is m1 = coefficient of coefficient of y x- = 2 3- Similarly, the slope of the line x y6 4 8 0+ + = is m2 = 4 6- = 2 3- ` m1 = m2 . Hence, the two straight lines are parallel. Note
  • 176.
    166 10th Std.Mathematics Example 5.27 Prove that the straight lines x y2 1 0+ + = and x y2 5 0- + = are perpendicular to each other. Solution Slope of the straight line x y2 1 0+ + = is m1 = coefficient of coefficient of y x- = 2 1- Slope of the straight line x y2 5 0- + = is m2 = coefficient of coefficient of y x- = 1 2 - - = 2 Product of the slopes m m1 2 = 2 1 2#- = – 1 ` The two straight lines are perpendicular. Example 5.28 Find the equation of the straight line parallel to the line x y8 13 0- + = and passing through the point (2, 5). Solution Equation of the straight line parallel to x y8 13 0- + = is x y k8 0- + = Since it passes through the point (2, 5) ( ) k2 8 5- + = 0 ( k = 38 ` Equation of the required straight line is x y8 38 0- + = Example 5.29 The vertices of ABC3 are A(2, 1), B(6, –1) and C(4, 11). Find the equation of the straight line along the altitude from the vertex A. Solution Slope of BC = 4 6 11 1 - + = – 6 Since the line AD is perpendicular to the line BC, slope of AD = 6 1 ` Equation of AD is y y1 - = m x x1 -^ h y 1- = x 6 1 2-^ h ( y6 6- = x 2- ` Equation of the required straight line is x y6 4- + = 0 Exercise 5.5 1. Find the slope of the straight line (i) x y3 4 6 0+ - = (ii) y x7 6= + (iii) x y4 5 3= + . 2. Show that the straight lines x y2 1 0+ + = and x y3 6 2 0+ + = are parallel. 3. Show that the straight lines x y3 5 7 0- + = and x y15 9 4 0+ + = are perpendicular. 4. If the straight lines 5 3 y x p ax y 2 and= - + = are parallel, then find a. 5. Find the value of a if the straight lines x y5 2 9 0- - = and 11 0ay x2+ - = are perpendicular to each other. B(6,-1) A(2,1) C(4,11)D Fig. 5.31
  • 177.
    Coordinate Geometry 167 6. Find the values of p for which the straight lines px p y8 2 3 1 0+ - + =^ h and px y8 7 0+ - = are perpendicular to each other. 7. If the straight line passing through the points ,h 3^ h and (4, 1) intersects the line x y7 9 19 0- - = at right angle, then find the value of h. 8. Find the equation of the straight line parallel to the line x y3 7 0- + = and passing through the point (1, -2). 9. Find the equation of the straight line perpendicular to the straight line x y2 3 0- + = and passing through the point (1, -2). 10. Find the equation of the perpendicular bisector of the straight line segment joining the points (3, 4) and (-1, 2). 11. Find the equation of the straight line passing through the point of intersection of the lines x y2 3 0+ - = and x y5 6 0+ - = and parallel to the line joining the points (1, 2) and (2, 1). 12. Find the equation of the straight line which passes through the point of intersection of the straight lines x y5 6 1- = and x y3 2 5 0+ + = and is perpendicular to the straight line x y3 5 11 0- + = . 13. Find the equation of the straight line joining the point of intersection of the lines 3 0x y 9- + = and x y2 4+ = andthepointofintersectionofthelines 2 0x y 4+ - = and x y2 3 0- + = . 14. If the vertices of a 3ABC are A(2, -4), B(3, 3) and C(-1, 5). Find the equation of the straight line along the altitude from the vertex B. 15. If the vertices of a 3ABC are A(-4,4 ), B(8 ,4) and C(8,10). Find the equation of the straight line along the median from the vertex A. 16. Find the coordinates of the foot of the perpendicular from the origin on the straight line x y3 2 13+ = . 17. If 2 7x y+ = and x y2 8+ = are the equations of the lines of two diameters of a circle, find the radius of the circle if the point (0, -2) lies on the circle. 18. Find the equation of the straight line segment whose end points are the point of intersection of the straight lines x y2 3 4 0- + = , x y2 3 0- + = and the midpoint of the line joining the points (3, -2) and (-5, 8). 19. In an isosceles 3PQR, PQ = PR. The base QR lies on the x-axis, P lies on the y- axis and x y2 3 9 0- + = is the equation of PQ. Find the equation of the straight line along PR.
  • 178.
    168 10th Std.Mathematics Exercise 5.6 Choose the correct answer 1. The midpoint of the line joining ,a b-^ h and ,a b3 5^ h is (a) ,a b2-^ h (b) ,a b2 4^ h (c) ,a b2 2^ h (d) ,a b3- -^ h 2. The point P which divides the line segment joining the points ,A 1 3-^ h and ,B 3 9-^ h internally in the ratio 1:3 is (a) ,2 1^ h (b) ,0 0^ h (c) , 3 5 2` j (d) ,1 2-^ h 3. If the line segment joining the points ,A 3 4^ h and ,B 14 3-^ h meets the x-axis at P, then the ratio in which P divides the segment AB is (a) 4 : 3 (b) 3 : 4 (c) 2 : 3 (d) 4 : 1 4. The centroid of the triangle with vertices at ,2 5- -^ h, ,2 12-^ h and ,10 1-^ h is (a) ,6 6^ h (b) ,4 4^ h (c) ,3 3^ h (d) ,2 2^ h 5. If ,1 2^ h, ,4 6^ h, ,x 6^ h and ,3 2^ h are the vertices of a parallelogram taken in order, then the value of x is (a) 6 (b) 2 (c) 1 (d) 3 6. Area of the triangle formed by the points (0,0), ,2 0^ h and ,0 2^ h is (a) 1 sq. units (B) 2 sq. units (C) 4 sq. units (D) 8 sq. units 7. Area of the quadrilateral formed by the points ,1 1^ h, ,0 1^ h, ,0 0^ h and ,1 0^ h is (A) 3 sq. units (B) 2 sq. units (C) 4 sq. units (D) 1 sq. units 8. The angle of inclination of a straight line parallel to x-axis is equal to (a) 0c (b) 60c (c) 45c (d) 90c 9. Slope of the line joining the points ,3 2-^ h and , a1-^ h is 2 3- , then the value of a is equal to (a) 1 (b) 2 (c) 3 (d) 4 10. Slope of the straight line which is perpendicular to the straight line joining the points ,2 6-^ h and ,4 8^ h is equal to (a) 3 1 (b) 3 (c) -3 (d) 3 1- 11. The point of intersection of the straight lines x y9 2 0- - = and x y2 9 0+ - = is (A) ,1 7-^ h (B) ,7 1^ h (C) ,1 7^ h (D) ,1 7- -^ h 12. The straight line x y4 3 12 0+ - = intersects the y- axis at (A) ,3 0^ h (B) ,0 4^ h (C) ,3 4^ h (D) ,0 4-^ h 13. The slope of the straight line y x7 2 11- = is equal to (a) 2 7- (b) 2 7 (c) 7 2 (d) 7 2- 14. The equation of a straight line passing through the point (2 , –7) and parallel to x-axis is (a) x 2= (b) x 7=- (c) y 7=- (d) y 2=
  • 179.
    Coordinate Geometry 169 15. The x and y-intercepts of the line x y2 3 6 0- + = , respectively are (a) 2, 3 (b) 3, 2 (c) -3, 2 (d) 3, -2 16. The centre of a circle is (-6, 4). If one end of the diameter of the circle is at (-12, 8), then the other end is at (a) (-18, 12) (b) (-9, 6) (c) (-3, 2) (d) (0, 0) 17. The equation of the straight line passing through the origin and perpendicular to the straight line x y2 3 7 0+ - = is (a) x y2 3 0+ = (b) x y3 2 0- = (c) y 5 0+ = (d) y 5 0- = 18. The equation of a straight line parallel to y-axis and passing through the point ,2 5-^ h is (a) x 2 0- = (b) x 2 0+ = (c) y 5 0+ = (d) y 5 0- = 19. If the points (2, 5), (4, 6) and ,a a^ h are collinear, then the value of a is equal to (a) -8 (b) 4 (c) -4 (d) 8 20. If a straight line y x k2= + passes through the point (1, 2), then the value of k is equal to (a) 0 (b) 4 (c) 5 (d) -3 21. The equation of a straight line having slope 3 and y-intercept -4 is (a) x y3 4 0- - = (b) x y3 4 0+ - = (c) x y3 4 0- + = (d) x y3 4 0+ + = 22. The point of intersection of the straight lines y 0= and x 4=- is (a) ,0 4-^ h (b) ,4 0-^ h (c) ,0 4^ h (d) ,4 0^ h 23. The value of k if the straight lines 3x + 6y + 7 = 0 and 2x + ky = 5 are perpendicular is (A) 1 (B) –1 (C) 2 (D) 2 1 q The distance between ( , )P x y1 1 and ,Q x y2 2^ h is x x y y2 1 2 2 1 2- + -^ ^h h q The point P which divides the line segment joining the points ,A x y1 1^ h and ,B x y2 2^ h internally in the ratio :l m is , l m lx mx l m ly my2 1 2 1 + + + + c m. q The point Q which divides the line segment joining the points ,A x y1 1^ h and ,B x y2 2^ h extrenally in the ratio :l m is , l m lx mx l m ly my2 1 2 1 - - - - c m. q Midpoint of the line segment joining the points ,x y1 1^ h and ,x y2 2^ h is , x x y y 2 2 1 2 1 2 + + c m Points to Remember
  • 180.
    170 10th Std.Mathematics q The area of the triangle formed by the points ,x y1 1^ h, ,x y2 2^ h and ,x y3 3^ h is ( )x y y 2 1 1 2 3-/ = x y y x y y x y y 2 1 1 2 3 2 3 1 3 1 2 - + - + -^ ^ ^h h h" , = x y x y x y x y x y x y 2 1 1 2 2 3 3 1 2 1 3 2 1 3 + + - + +^ ^h h" ,. q Three points ,A x y1 1^ h, ,B x y2 2^ h and ,C x y3 3^ h are collinear if and only if (i) x y x y x y1 2 2 3 3 1 + + = x y x y x y2 1 3 2 1 3 + + (or) (ii) Slope of AB = Slope of BC or slope of AC. q If a line makes an angle i with the positive direction of x- axis, then the slope m = tani. q Slope of the non-vertical line passing through the points ,x y1 1^ h and ,x y2 2^ h is m = x x y y 2 1 2 1 - - = x x y y 1 2 1 2 - - q Slope of the line 0ax by c+ + = is m = coefficient of coefficient of y x- = b a- , 0b ! q Slope of the horizontal line is 0 and slope of the vertical line is undefined. q Two lines are parallel if and only if their slopes are equal. q Two non-vertical lines are perpendicular if and only if the product of their slopes is -1. That is, m1 m2 = -1. Equation of straight lines Sl.No Straight line Equation 1. x-axis y = 0 2. y-axis x = 0 3. Parallel to x-axis y = k 4. Parallel to y-axis x = k 5. Parallel to ax+by+c =0 ax+by+k = 0 6. Perpendiculartoax+by+c =0 bx–ay+k = 0 Given Equation 1. Passing through the origin y = mx 2. Slope m, y-intercept c y = mx + c 3. Slope m, a point (x1 , y1 ) y – y1 = m(x–x1 ) 4. Passing through two points (x1 , y1 ), (x2 , y2 ) y y y y x x x x 2 1 1 2 1 1 - - = - - 5. x-intercept a , y-intercept b 1 a x b y + =