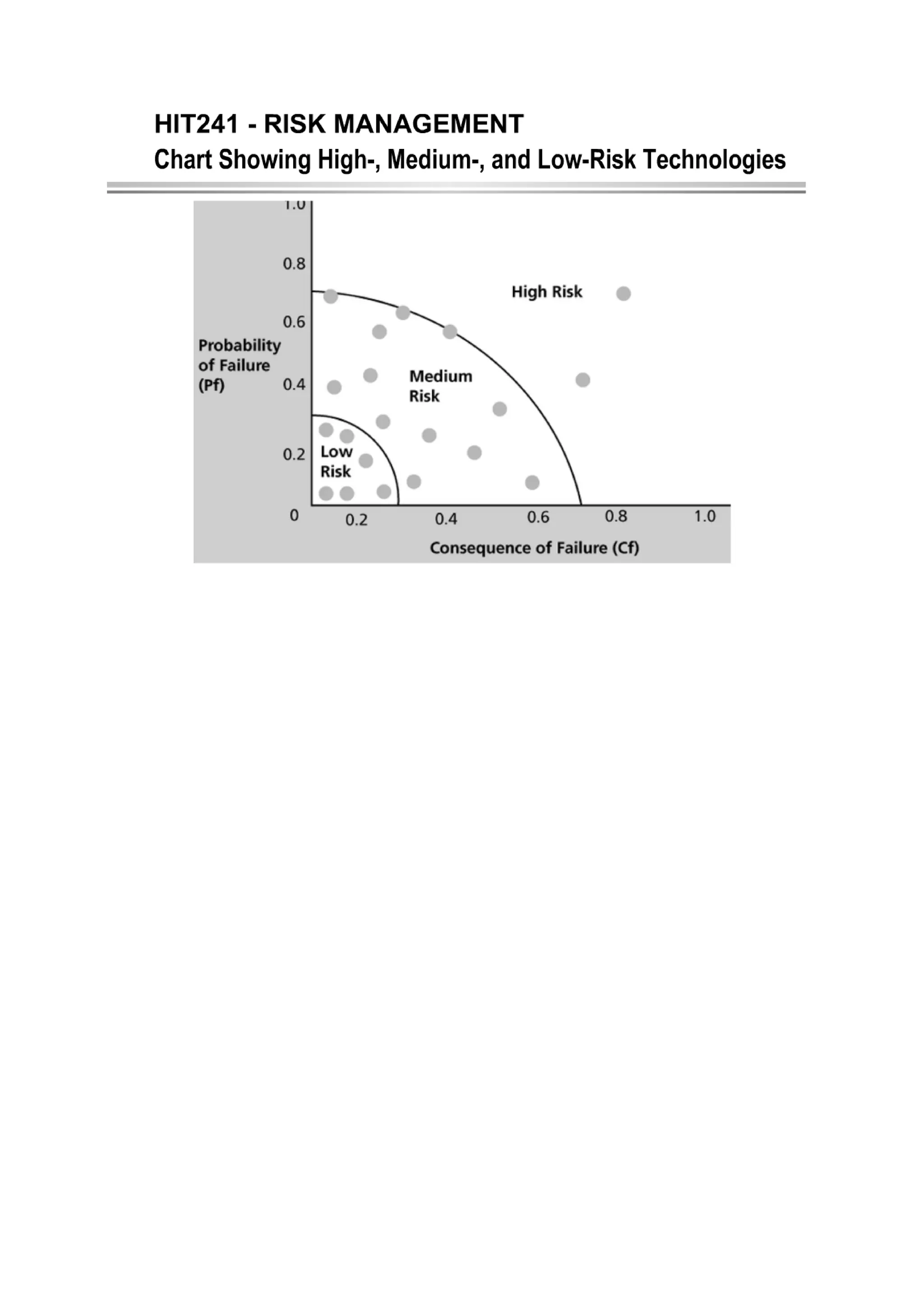
Risks in Technology Projects
                      Technology projects can present high risks. The rate of failed or
                      challenged projects is quite high.


                                  IT Projects Present Risks


                                                                              46% Challenged

                                                                              28% Failed/Cancelled

                                                                              26% Successful




                                                              Source: Standish Group International, Inc.
                                                                  CIO Magazine, November 1998



                      Typical Causes of Failures
                      Many surveys are conducted yearly on the successes and failures of
                      technology project.

                      Obstacles for Getting Benefits from Enterprise Resource Planning
                      (ERP) Implementations
                      Enterprise Resource Planning (ERP) implementations present multiple
                      challenges.

                      Information Technology and Business Alignment

                      Even when companies invest in innovative technology, the long-term
                      benefits will not be realized unless Information Technology and business
                      executives communicate better among themselves and with the rest of
                      the organization. This is the conclusion of a five-year study conducted
                      by IBM's Advanced Business Institute to assess Information Technology
                      and business alignment.
Project Size Risks

The authors measured size according on the basis of four dimensions:

      Effort (measured in person-months)
      Duration (measured in elapsed time)
      Team size
      Budget
      Overall, increases in the size of a project mean increased risk, even for experienced
       project managers. However, conventional wisdom that restricts project size using
       budget or duration is somewhat misguided. A focus first on effort, then on team size
       and duration will limit risk of underperformance.
      Surprisingly, we found that one-quarter of projects underperform however small their
       size. Even projects with budget less than £50,000, effort less than 24 person-months,
       duration shorter than six months, or team size of less than five experienced 25% risk.
       There is a significant level of risk regardless of size.

This size data is reported in the tables below:
Implementation Guidelines
                    Successful implementations of applications include key strategies to align
                    technology, process and people to the business strategy. In this context,
                    they address the needs of all targeted groups of stakeholders who
                    determine and execute the business processes with the use of the new
                    enabling technology to achieve the expected business benefits.



                                             Business Benefit Achievement
                                                   Implementation

                                              Technology
                                                                                             IT Groups
                                                                                          Users
                                                                                       Functional Managers
                                                                                     Implementation Team
                                                                                   Executives




                                                 People              Process




                    Application Implementation Project Management

                    The following guidelines apply to the management of the
                    implementation project:
                        1. Establish a clear link between project vision and business strategy.
                        2. Identify and eliminate or delay other projects that compete for
                           these project resources.
                        3. Take the time to plan at the outset (and reduce need for damage
                           control).
                        4. Clarify rules of engagement for all the parties involved in the
                           implementation.
                        5. Evaluate and manage scope change in controlled manner by
                           matching the requirements to dedicated resources: understand the
                           impact on cost and time.
                        6. Revalidate the project vision periodically and keep it visible.
                        7. Build enduring sponsorship throughout the organization for the
                           life of the project.
                        8. Obtain firm commitment from business/functional managers to
                           provide the “best and brightest” staff consistently throughout the
                           implementation.
                        9. Plan for the transition period starting with the “go live” date up to
                           the full achievement of the expected business benefits (future
                           state).
Technology
The following guidelines apply to the technology aspect of the
implementation project:
    10. Consider the long term business implications of the application
        technical configuration decisions.
    11. Give people access to the tools and information they need to
        make informed, timely decisions.
    12. Use customer (internal and external) impact as a criteria for
        decisions on technology requirements.
    13. Map the infrastructure requirements for the project with the long
        term technology plan for the organization.
    14. Plan for multiple environments to support development, testing,
        production and learning events.
    15. Plan for sufficient lead time for acquisition and installation of
        hardware and networks.
    16. Plan for anticipated enterprise-wide changes, such as mergers,
        acquisitions, , downsizing, etc.

Process
The following guidelines apply to the process aspect of the
implementation project:
    17. Align business processes and applications supported processes.
    18. Design work flows and organizational structure to support
        enterprise-wide information flows; for instance, create cross-
        functional teams.
    19. Validate business processes with the customer.
    20. Document the procedures that support the business processes.
    21. Define and implement post-implementation support processes.

People
The following guidelines apply to the people aspect of the
implementation project:
    22. Keep representative users involved in decision making around
        roll out, requirements and work flows.
    23. Encourage innovative thinking among users when making
        workflow design decisions.
    24. Communicate early wins and ongoing successes to all people
        impacted.
    25. Encourage people to share knowledge beyond their own
        business unit/department.
    26. Re-skill users to self-sufficiency so they are not overly dependent
        on support group.
    27. Adjust the authority levels to allow users to make expected
        decisions based on newly available information.
    28. Provide performers with the capability and incentives to perform
        their new roles.
    29. Provide incentives to users to keep their knowledge and skills
        levels state-of-the-art.
30. Implement retention strategies to keep best talent.
31. Institute recognition and reward programs for those who
    contribute to the success of the project.

Подборка о рисках ИТ-проектов

  • 1.
    Risks in TechnologyProjects Technology projects can present high risks. The rate of failed or challenged projects is quite high. IT Projects Present Risks 46% Challenged 28% Failed/Cancelled 26% Successful Source: Standish Group International, Inc. CIO Magazine, November 1998 Typical Causes of Failures Many surveys are conducted yearly on the successes and failures of technology project. Obstacles for Getting Benefits from Enterprise Resource Planning (ERP) Implementations Enterprise Resource Planning (ERP) implementations present multiple challenges. Information Technology and Business Alignment Even when companies invest in innovative technology, the long-term benefits will not be realized unless Information Technology and business executives communicate better among themselves and with the rest of the organization. This is the conclusion of a five-year study conducted by IBM's Advanced Business Institute to assess Information Technology and business alignment.
  • 6.
    Project Size Risks Theauthors measured size according on the basis of four dimensions:  Effort (measured in person-months)  Duration (measured in elapsed time)  Team size  Budget  Overall, increases in the size of a project mean increased risk, even for experienced project managers. However, conventional wisdom that restricts project size using budget or duration is somewhat misguided. A focus first on effort, then on team size and duration will limit risk of underperformance.  Surprisingly, we found that one-quarter of projects underperform however small their size. Even projects with budget less than £50,000, effort less than 24 person-months, duration shorter than six months, or team size of less than five experienced 25% risk. There is a significant level of risk regardless of size. This size data is reported in the tables below:
  • 8.
    Implementation Guidelines Successful implementations of applications include key strategies to align technology, process and people to the business strategy. In this context, they address the needs of all targeted groups of stakeholders who determine and execute the business processes with the use of the new enabling technology to achieve the expected business benefits. Business Benefit Achievement Implementation Technology IT Groups Users Functional Managers Implementation Team Executives People Process Application Implementation Project Management The following guidelines apply to the management of the implementation project: 1. Establish a clear link between project vision and business strategy. 2. Identify and eliminate or delay other projects that compete for these project resources. 3. Take the time to plan at the outset (and reduce need for damage control). 4. Clarify rules of engagement for all the parties involved in the implementation. 5. Evaluate and manage scope change in controlled manner by matching the requirements to dedicated resources: understand the impact on cost and time. 6. Revalidate the project vision periodically and keep it visible. 7. Build enduring sponsorship throughout the organization for the life of the project. 8. Obtain firm commitment from business/functional managers to provide the “best and brightest” staff consistently throughout the implementation. 9. Plan for the transition period starting with the “go live” date up to the full achievement of the expected business benefits (future state).
  • 9.
    Technology The following guidelinesapply to the technology aspect of the implementation project: 10. Consider the long term business implications of the application technical configuration decisions. 11. Give people access to the tools and information they need to make informed, timely decisions. 12. Use customer (internal and external) impact as a criteria for decisions on technology requirements. 13. Map the infrastructure requirements for the project with the long term technology plan for the organization. 14. Plan for multiple environments to support development, testing, production and learning events. 15. Plan for sufficient lead time for acquisition and installation of hardware and networks. 16. Plan for anticipated enterprise-wide changes, such as mergers, acquisitions, , downsizing, etc. Process The following guidelines apply to the process aspect of the implementation project: 17. Align business processes and applications supported processes. 18. Design work flows and organizational structure to support enterprise-wide information flows; for instance, create cross- functional teams. 19. Validate business processes with the customer. 20. Document the procedures that support the business processes. 21. Define and implement post-implementation support processes. People The following guidelines apply to the people aspect of the implementation project: 22. Keep representative users involved in decision making around roll out, requirements and work flows. 23. Encourage innovative thinking among users when making workflow design decisions. 24. Communicate early wins and ongoing successes to all people impacted. 25. Encourage people to share knowledge beyond their own business unit/department. 26. Re-skill users to self-sufficiency so they are not overly dependent on support group. 27. Adjust the authority levels to allow users to make expected decisions based on newly available information. 28. Provide performers with the capability and incentives to perform their new roles. 29. Provide incentives to users to keep their knowledge and skills levels state-of-the-art.
  • 10.
    30. Implement retentionstrategies to keep best talent. 31. Institute recognition and reward programs for those who contribute to the success of the project.