School of Computer Science & Engineering
Student Name- Amit Singh
Admission Number- 21SCSE1410106
Program- B.Tech CSE
Year/Semester- 3rd / 6th
Course Code- R1UC603C
Course Teacher- Mr. Pradeep Bedi
Presentation Title- Intermediate Code Generation FOR IF ELSE Contruct
Greater Noida, Uttar Pradesh, India
GALGOTIAS UNIVERSITY
Introduction
• Intermediate code is the interface between front end and back end in a
compiler
• Ideally the details of source language are confined to the front end and
the details of target machines to the back end (a m*n model)
Parser
Static
Checker
Intermediate Code
Generator
Code
Generator
Front end Back end
• In this chapter we study intermediate representations, static type
checking and intermediate code generation
Variants of syntax trees
• It is sometimes beneficial to crate a DAG instead of tree for Expressions.
• This way we can easily show the common sub-expressions and then use
that knowledge during code generation
+
+ *
*
-
b c
a
d
• Example: a+a*(b-c)+(b-c)*d
SDD for creating DAG’s
Production
1) E ->
E1+T
2) E -> E1-T
3) E -> T
4) T -> (E)
5) T -> id
6) T -> num Semantic Rules
E.node= new Node(‘+’, E1.node,T.node)
E.node= new Node(‘-’, E1.node,T.node)
E.node = T.node
T.node = E.node
T.node = new Leaf(id, id.entry)
T.node = new Leaf(num, num.val)
Example:
1) p1=Leaf(id, entry-a)
2) P2=Leaf(id, entry-a)=p1
3) p3=Leaf(id, entry-b)
4) p4=Leaf(id, entry-c)
5) p5=Node(‘-’,p3,p4)
6) p6=Node(‘*’,p1,p5)
7) p7=Node(‘+’,p1,p6)
8) p8=Leaf(id,entry-
b)=p3 9)
p9=Leaf(id,entry-c)=p4
10) p10=Node(‘-
’,p3,p4)=p5 11)
p11=Leaf(id,entry-d)
12) p12=Node(‘*’,p5,p11)
13) p13=Node(‘+’,p7,p12)
Value-number method for constructing DAG’s
=To entry for i
i 10
• Algorithm
• Search the array for a node M with label op, left child l and right child r
• If there is such a node, return the value number M
• If not create in the array a new node N with label op, left child l, and right child r
and return its value
• We may use a hash table
Three address code
• In a three address code there is at most one operator at the right side of
an instruction • Example:
id
num 10
+ 1 2
3 1 3
+
t1 = b – c t2 = a * t1 t3 = a +
t2 t4 = t1 * d t5 = t3 + t4
Forms of three address
instructions
• x = y op z
• x = op y
• x = y
• goto L
• if x goto L and ifFalse x goto L
• if x relop y goto L
• Procedure calls using:
• param x
+
+ *
*
-
b c
a
d
• call p,n
• y = call p,n
• x = y[i] and x[i] = y
• x = &y and x = *y and *x =y
Example
• do i = i+1; while (a[i] < v);
L: t1 = i + 1 i = t1
t2 = i * 8 t3 = a[t2] if t3 < v goto L
Symbolic labels
100: t1 = i + 1
101: i = t1
102: t2 = i * 8
103: t3 = a[t2]
104: if t3 < v goto
100
Position
numbers
Data structures for three address codes
• Quadruples
• Has four fields: op, arg1, arg2 and result
• Triples
• Temporaries are not used and instead references to instructions are made
• Indirect triples
• In addition to triples we use a list of pointers to triples
Example
• b * minus c + b * minus c
Quadruples
op arg1 arg2 result
Triples op
arg1 arg2
0 minus c
1 * b
(0) 2
minus c 3
* b
(2) 4 +
(1) (3) 5
= a (4)
Three address code
t1 = minus c
t2 = b * t1
t3 = minus c
minus c t1
* b t1 t2
minus c t3
* b t3 t4
+ t2 t4 t5
= t5 a
t4 = b * t3 t5 = t2 + t4 a = t5
Indirect Triples
op op arg1 arg2
35 (0) 0 minus c 36 (1) 1 *
b (0) 37 (2) 2 minus c
38 (3) 3 * b (2)
39 (4) 4 + (1) (3) 40 (5) 5 = a
(4)
Type Expressions
Example: int[2][3]
array(2,array(3,integer))
• A basic type is a type expression
• A type name is a type expression
• A type expression can be formed by applying the array type constructor to a
number and a type expression.
• A record is a data structure with named field
• A type expression can be formed by using the type constructor  for function
types
• If s and t are type expressions, then their Cartesian product s*t is a type
expression
• Type expressions may contain variables whose values are type expressions
Type Equivalence
• They are the same basic type.
• They are formed by applying the same constructor to structurally
equivalent types.
• One is a type name that denotes the other.
Declarations
Storage Layout for Local Names
• Computing types and their widths
Storage Layout for Local Names
Syntax-directed translation of array types
Sequences of Declarations
•
•
• Actions at the end:
Fields in Records and Classes
•
•
Translation of Expressions and
Statements
• We discussed how to find the types and offset of variables
• We have therefore necessary preparations to discuss about
translation to intermediate code
• We also discuss the type checking
Three-address code for expressions
Incremental Translation
Addressing Array Elements
• Layouts for a two-dimensional array:
Semantic actions for array reference
Translation of Array References
Nonterminal L has three synthesized
attributes:
•L.addr
•L.array
•L.type
Conversions between primitive
types in Java
Introducing type conversions into
expression evaluation
Abstract syntax tree for the function
definition
fun length(x) = if null(x)
then 0 else length(tl(x)+1)
This is a polymorphic function
in ML language
Inferring a type for the function
length
Algorithm for Unification
Unification algorithm
boolean unify (Node m, Node n) { s = find(m); t = find(n); if ( s = t )
return true; else if ( nodes s and t represent the same basic type )
return true; else if (s is an op-node with children s1 and s2 and t
is an op-node with children t1 and t2) { union(s , t) ;
return unify(s1, t1) and unify(s2, t2);
}
else if s or t represents a variable {
union(s, t) ; return true;
}
else return false;
}
Control Flow
boolean expressions are often used to:
•Alter the flow of control.
•Compute logical values.
Short-Circuit Code


Flow-of-Control Statements
Syntax-directed definition
Generating three-address code for booleans
translation of a simple if-
statement
•
•
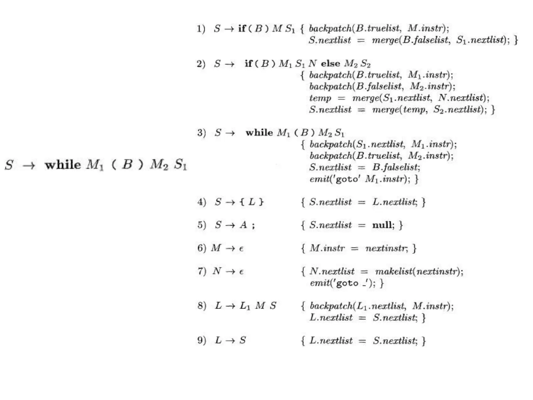
Backpatching
• Previous codes for Boolean expressions insert symbolic labels for
jumps
• It therefore needs a separate pass to set them to appropriate
addresses
• We can use a technique named backpatching to avoid this
• We assume we save instructions into an array and labels will be
indices in the array
• For nonterminal B we use two attributes B.truelist and B.falselist
together with following functions:
• makelist(i): create a new list containing only I, an index into the array of
instructions
• Merge(p1,p2): concatenates the lists pointed by p1 and p2 and returns a pointer
to the concatenated list
• Backpatch(p,i): inserts i as the target label for each of the instruction on the list
pointed to by p
Backpatching for Boolean Expressions
•
•
Backpatching for Boolean Expressions
• Annotated parse tree for x < 100 || x > 200 && x ! = y
Flow-of-Control Statements
Translation of a switch-statement
Thank You

Project presentation PPT.pdf this is help for student who doing this complier design project.

  • 1.
    School of ComputerScience & Engineering Student Name- Amit Singh Admission Number- 21SCSE1410106 Program- B.Tech CSE Year/Semester- 3rd / 6th Course Code- R1UC603C Course Teacher- Mr. Pradeep Bedi Presentation Title- Intermediate Code Generation FOR IF ELSE Contruct Greater Noida, Uttar Pradesh, India GALGOTIAS UNIVERSITY
  • 2.
    Introduction • Intermediate codeis the interface between front end and back end in a compiler • Ideally the details of source language are confined to the front end and the details of target machines to the back end (a m*n model) Parser Static Checker Intermediate Code Generator Code Generator Front end Back end
  • 3.
    • In thischapter we study intermediate representations, static type checking and intermediate code generation Variants of syntax trees • It is sometimes beneficial to crate a DAG instead of tree for Expressions. • This way we can easily show the common sub-expressions and then use that knowledge during code generation + + * * - b c a d
  • 4.
  • 5.
    SDD for creatingDAG’s Production 1) E -> E1+T 2) E -> E1-T 3) E -> T 4) T -> (E) 5) T -> id 6) T -> num Semantic Rules E.node= new Node(‘+’, E1.node,T.node) E.node= new Node(‘-’, E1.node,T.node) E.node = T.node T.node = E.node
  • 6.
    T.node = newLeaf(id, id.entry) T.node = new Leaf(num, num.val) Example: 1) p1=Leaf(id, entry-a) 2) P2=Leaf(id, entry-a)=p1 3) p3=Leaf(id, entry-b) 4) p4=Leaf(id, entry-c) 5) p5=Node(‘-’,p3,p4) 6) p6=Node(‘*’,p1,p5) 7) p7=Node(‘+’,p1,p6) 8) p8=Leaf(id,entry- b)=p3 9) p9=Leaf(id,entry-c)=p4 10) p10=Node(‘- ’,p3,p4)=p5 11) p11=Leaf(id,entry-d) 12) p12=Node(‘*’,p5,p11) 13) p13=Node(‘+’,p7,p12) Value-number method for constructing DAG’s
  • 7.
    =To entry fori i 10 • Algorithm • Search the array for a node M with label op, left child l and right child r • If there is such a node, return the value number M • If not create in the array a new node N with label op, left child l, and right child r and return its value • We may use a hash table Three address code • In a three address code there is at most one operator at the right side of an instruction • Example: id num 10 + 1 2 3 1 3 +
  • 8.
    t1 = b– c t2 = a * t1 t3 = a + t2 t4 = t1 * d t5 = t3 + t4 Forms of three address instructions • x = y op z • x = op y • x = y • goto L • if x goto L and ifFalse x goto L • if x relop y goto L • Procedure calls using: • param x + + * * - b c a d
  • 9.
    • call p,n •y = call p,n • x = y[i] and x[i] = y • x = &y and x = *y and *x =y Example • do i = i+1; while (a[i] < v); L: t1 = i + 1 i = t1 t2 = i * 8 t3 = a[t2] if t3 < v goto L Symbolic labels 100: t1 = i + 1
  • 10.
    101: i =t1 102: t2 = i * 8 103: t3 = a[t2] 104: if t3 < v goto 100 Position numbers Data structures for three address codes • Quadruples • Has four fields: op, arg1, arg2 and result
  • 11.
    • Triples • Temporariesare not used and instead references to instructions are made • Indirect triples • In addition to triples we use a list of pointers to triples Example • b * minus c + b * minus c Quadruples op arg1 arg2 result Triples op arg1 arg2 0 minus c 1 * b (0) 2 minus c 3 * b (2) 4 + (1) (3) 5 = a (4) Three address code t1 = minus c t2 = b * t1 t3 = minus c minus c t1 * b t1 t2 minus c t3 * b t3 t4 + t2 t4 t5 = t5 a
  • 12.
    t4 = b* t3 t5 = t2 + t4 a = t5 Indirect Triples op op arg1 arg2 35 (0) 0 minus c 36 (1) 1 * b (0) 37 (2) 2 minus c 38 (3) 3 * b (2) 39 (4) 4 + (1) (3) 40 (5) 5 = a (4) Type Expressions Example: int[2][3] array(2,array(3,integer)) • A basic type is a type expression • A type name is a type expression • A type expression can be formed by applying the array type constructor to a number and a type expression. • A record is a data structure with named field
  • 13.
    • A typeexpression can be formed by using the type constructor  for function types • If s and t are type expressions, then their Cartesian product s*t is a type expression • Type expressions may contain variables whose values are type expressions Type Equivalence • They are the same basic type. • They are formed by applying the same constructor to structurally equivalent types. • One is a type name that denotes the other.
  • 14.
    Declarations Storage Layout forLocal Names • Computing types and their widths
  • 15.
    Storage Layout forLocal Names Syntax-directed translation of array types
  • 16.
  • 17.
    Fields in Recordsand Classes • •
  • 18.
    Translation of Expressionsand Statements • We discussed how to find the types and offset of variables • We have therefore necessary preparations to discuss about translation to intermediate code • We also discuss the type checking
  • 19.
  • 20.
    Incremental Translation Addressing ArrayElements • Layouts for a two-dimensional array:
  • 22.
    Semantic actions forarray reference
  • 23.
    Translation of ArrayReferences Nonterminal L has three synthesized attributes: •L.addr •L.array •L.type Conversions between primitive types in Java
  • 24.
    Introducing type conversionsinto expression evaluation
  • 25.
    Abstract syntax treefor the function definition fun length(x) = if null(x) then 0 else length(tl(x)+1)
  • 26.
    This is apolymorphic function in ML language Inferring a type for the function length
  • 27.
    Algorithm for Unification Unificationalgorithm boolean unify (Node m, Node n) { s = find(m); t = find(n); if ( s = t ) return true; else if ( nodes s and t represent the same basic type )
  • 28.
    return true; elseif (s is an op-node with children s1 and s2 and t is an op-node with children t1 and t2) { union(s , t) ; return unify(s1, t1) and unify(s2, t2); } else if s or t represents a variable { union(s, t) ; return true; } else return false; } Control Flow boolean expressions are often used to: •Alter the flow of control. •Compute logical values.
  • 29.
  • 30.
  • 31.
  • 32.
  • 33.
    translation of asimple if- statement • •
  • 34.
    Backpatching • Previous codesfor Boolean expressions insert symbolic labels for jumps • It therefore needs a separate pass to set them to appropriate addresses • We can use a technique named backpatching to avoid this • We assume we save instructions into an array and labels will be indices in the array • For nonterminal B we use two attributes B.truelist and B.falselist together with following functions: • makelist(i): create a new list containing only I, an index into the array of instructions • Merge(p1,p2): concatenates the lists pointed by p1 and p2 and returns a pointer to the concatenated list • Backpatch(p,i): inserts i as the target label for each of the instruction on the list pointed to by p
  • 35.
    Backpatching for BooleanExpressions • •
  • 36.
    Backpatching for BooleanExpressions • Annotated parse tree for x < 100 || x > 200 && x ! = y Flow-of-Control Statements
  • 38.
    Translation of aswitch-statement Thank You