HYPOTHESIS AND ITS
TESTING
forshaf@gmail.com
MUHAMMAD SHAFIQ,
COMMERCE DEPARTMENT
UNIVERSITY OF BALOCHISTAN, QUETTA
Hypothesis
• Unproven proposition
• Supposition that tentatively explains certain facts or phenomena
• Assumption about nature of the world
Hypothesis
• An unproven proposition or supposition that tentatively explains
certain facts or phenomena
• Null hypothesis
• Alternative hypothesis
Null Hypothesis
• Statement about the status quo
• No difference
Alternative Hypothesis
• Statement that indicates the opposite of the null hypothesis
Introduction:
inferential statistics for hypothesis
• Empirical testing involves Inferential statistics
• Inference is drawn about the population on basis of observations of
sample
Inferential statistical inference types
• Univarate statistical analysis
• Test hypotheses having one variable
• Bivariate statistical analysis
• Test hypotheses having two variables
• Multivariate statistical analysis
• Test hypotheses and models involving multiple (three or more) variables or set
of variables
Common Types of hypotheses tested
• Relational hypotheses
• e-g how changes in a variable vary with changes in another (regression analysis)
• Hypotheses about differences between the groups
• How a variable varies from one group or other (causal design)
• Hypotheses about differences from some standard
• How a variable differs from some preconceived standard (Univarate testing)
Hypothesis testing procedure
• Get the research hypothesis from the research objective
• Sample is obtained and relevant variable is measured.
• Measured value obtained in the sample is to compare to the value
stated explicitly or implied in the hypothesis. If value is consistent
with hypothesis, the hypothesis is supported or vice versa.
• Example:
• H1 The average satisfaction of a plant is more than 34 pieces in an hour. If the
average is less than 34 pieces in an hour than hypothesis not support or
otherwise.
Significance Level
• Critical probability in choosing between the null hypothesis and the
alternative hypothesis
• Indicates how likely it is that an inference support the difference
between an observed value and some statistical expectation
Significance Level
• Critical Probability
• Confidence Level
• Alpha (α)
• Probability Level selected is typically.10, 0 .05 or 0.01
• Too low to warrant support for the null hypothesis
P-value (observed or computed significance level)
• In statistics, the p-value is a function of the observed sample results
(a statistic) that is used for testing a statistical hypothesis. Before the
test is performed, a threshold value is chosen, called the significance
level of the test, traditionally 5% or 1% and denoted as α.
• Probability value or the observed or computed significance level.
• P-values are compared to significance levels to test hypotheses
• The probability in a p-value is that the statistical expectation (null) for
a given test is true.
• Low P-value mean there is little likelihood that the statistical
expectation is true
Critical values
• The values that lie exactly on the boundary of the region of rejection
.025
.025
Example of hypothesis testing
• A restaurant owner is concerned about his business image. He is
investigating whether customers perceive the service friendly. Sample
size is 225 customers, using five point scale where 1 indicates the
most unfriendly and 5 is the most friendly with the interval scale.
Suppose that service has to be different from 3.0.
• H1 Customer perception of friendly services are significantly greater
than three. or
We can write it as:
H0 µ= 3.0
H1 µ ≠ 3.0
Formula for solving z score
n
S
ZZSX
 or 
Example of hypothesis testing…
• Sample size is 225 on the basis of sample, mean was calculated which
is 3.78
• If SD of population is known then it will be used in solution but here
the sample standard deviation was S= 1.5
• Now enough information to test the hypothesis
• Formula for solving z value:
n
S
ZZSX
 or 
0.3: oH
The null hypothesis that the mean is
equal to 3.0:
0.3:1 H
The alternative hypothesis that the
mean does not equal to 3.0:
A Sampling Distribution
3.0 x
3.0
x
a.025 a.025
A Sampling Distribution
LOWER
LIMIT
UPPER
LIMIT
3.0
A Sampling Distribution
Critical values of 
Critical value - upper limit
n
S
ZZSX
 or 







225
5.1
96.10.3
 1.096.10.3 
196.0.3 
196.3
Critical values of 
Critical value - lower limit
n
S
ZZSX
-or- 







225
5.1
96.1-0.3
Critical values of 
 1.096.10.3 
196.0.3 
804.2
Critical values of 
Region of Rejection
LOWER
LIMIT
UPPER
LIMIT
3.0
Hypothesis Test  3.0
2.804 3.1963.0 3.78
Type I error
• An error caused by rejecting the null hypothesis when it is true
• Practically, a type I error occurs when the researcher concludes that a
relationship or difference exists in the population when in reality it
does not
Type II error
• An error caused by falling to reject the null hypothesis when the
alternative hypothesis is true
• Has a probability of beta (β)
• Practically, a type II error occurs when a researcher concludes that no
relationship or difference exist when in fact one does exist
Accept null Reject null
Null is true
Null is false
Correct-
no error
Type I
error
Type II
error
Correct-
no error
Type I and Type II Errors
Type I and Type II Errors
in Hypothesis Testing
State of Null Hypothesis Decision
in the Population Accept Ho Reject Ho
Ho is true Correct--no error Type I error
Ho is false Type II error Correct--no error
Calculating Zobs : another way of testing
hypothesis through z test
xs
x
zobs


X
obs
S
X
Z


Alternate Way of Testing the Hypothesis
X
obs
S
Z


78.3
1.
0.378.3 

1.
78.0
 8.7
Alternate Way of Testing the Hypothesis
Choosing the Appropriate Statistical Technique
• Type of question to be answered
• Number of variables
• Univarate
• Bivariate
• Multivariate
• Scale of measurement
Statistical technique:
Type of question to be answered
• If a researcher is simply with central tendency of a variable or with
the distribution of variable or comparison of different business
division sales result with some target level
•One sample t –test
• Comparison of two salespersons average monthly sales will require:
•t-test of two means
• Comparison of quarterly sales distribution:
•Chi-square test
Number of variables
•Univarate
•Bivariate
•Multivariate
Scale of measurement
• Nominal
• Ordinal frequencies, mode or cross tabulation
• Interval
• Ratio
PARAMETRIC
STATISTICS
NONPARAMETRIC
STATISTICS
t-Distribution
• Symmetrical, bell-shaped distribution
• Mean of zero and a unit standard deviation
• Shape influenced by degrees of freedom
Degrees of Freedom(df)
• df are equal to sample size (n) minus one
• The number of observations minus the number of constraint or
assumptions needed to calculate a statistical term
• Abbreviated d.f.
• Number of observations
• Number of constraints
• For example 4+2+1+X =12 the value is 5: means value of first three
can be change but not the 4th one. There are three degree of freedom
• Use of computer software in this regard to calculate
Calculating the confidence interval
estimate by using the t-distribution
• Suppose that a researcher is interested to investigate that how long do
the fresh post graduate stay in the organization at 95% confidence
level. The data from the sample are presented below:
No. of years stay at job: 3 5 1 12 1 2 2 2 5
4 2 3 1 3 4 2 6 7
formula µ = X ± t cl S//n
Steps to calculate
1. Calculate the sample mean (sum all and divide by No. of
observation)
2. Since population SD is unknown, estimate it through sample SD
S=2.81
3. Estimate the standard error of the mean using the formula Sx =S//n
4. 2.81//18 =.66
5. Determine the t-value form t-table i-e A.3
or
Xlc StX ..
n
S
tX lc ..limitUpper 
n
S
tX lc ..limitLower 
Confidence Interval Estimate Using the t-
distribution
= population mean
= sample mean
= critical value of t at a specified confidence
level
= standard error of the mean
= sample standard deviation
= sample size
..lct

X
X
S
S
n
Confidence Interval Estimate Using
the t-distribution
xcl stX 
17
81.2
89.3



n
S
X
Confidence Interval Estimate Using
the t-distribution
Use of t table i-e table A.3
• Go to t table in the appendix i-e A.3. t-table provides information
similar to that in the Z table, however it is somewhat different.
The t-table format stresses the chance of error or significance level
(α), rather than the 95% chance of including the population mean in
the estimate. Our example I a two-tailed test. Since a 95% confidence
level is selected so the significance level is 5%. Once this has been
determined all we have to do to find the t-value is look under the 0.05
(1.00 -0.95= 0.05). Column for two-tailed test at the row in which
degree of freedom equal the appropriate value (n-1). Below 17 degrees
of freedom t-value at 95% confidence level is t=2.12
Lower limit = 3.89 -2.12 (2.81 //18)
=2.28
Upper limit= 3.89 +2.12 (2.81 //18)
= 5.28
Hypothesis Test Using the
t-Distribution
Suppose that a production manager believes
the average number of defective assemblies
each day to be 20. The factory records the
number of defective assemblies for each of the
25 days it was opened in a given month. The
mean was calculated to be 22, and the
standard deviation, ,to be 5.
X
S
Univariate Hypothesis Test Utilizing the t-
Distribution
20:
20:
1
0




H
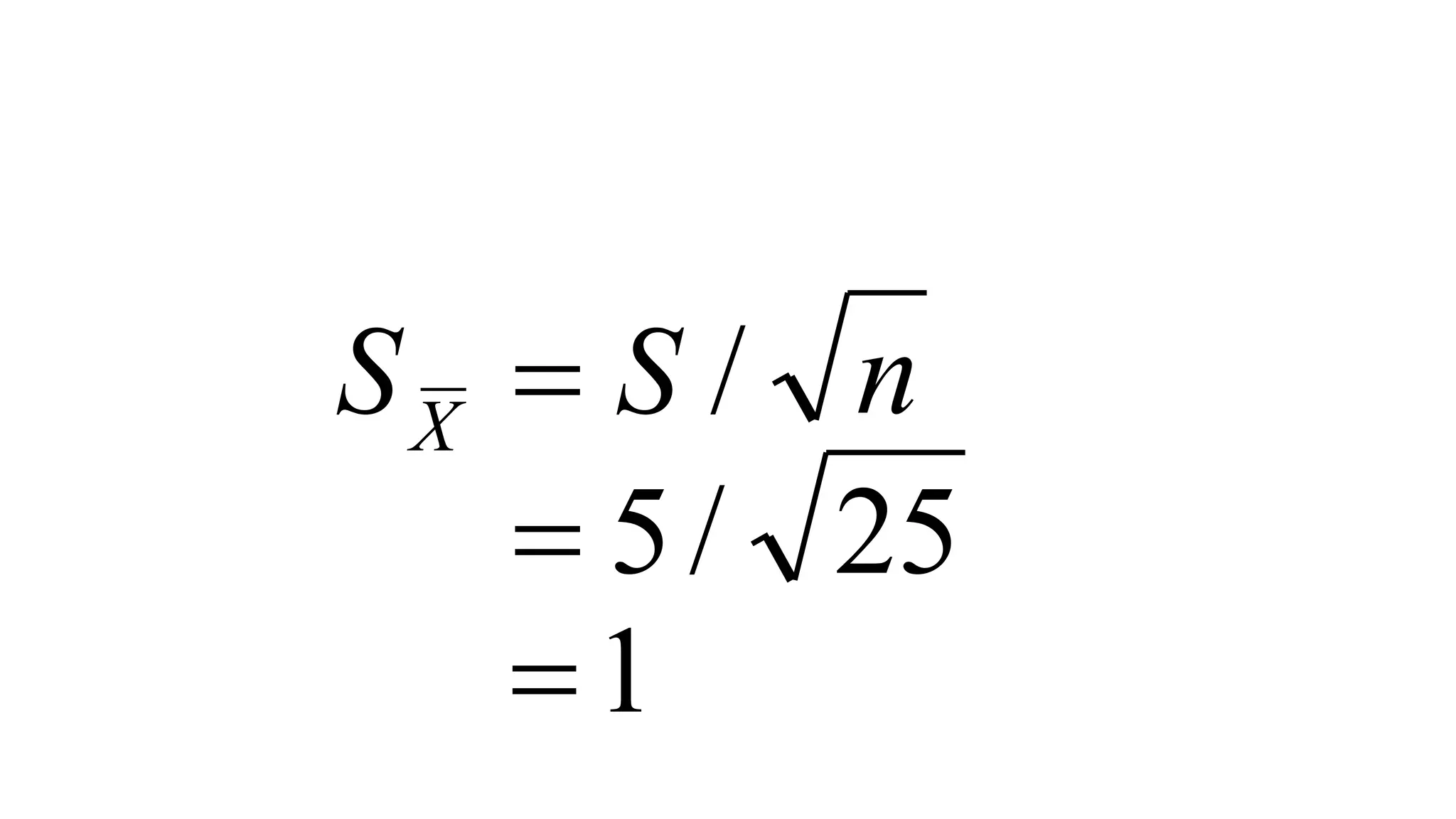
H
nSSX
/
25/5
1
Testing a Hypothesis about a Distribution
• Chi-Square test
• Test for significance in the analysis of frequency distributions
• Compare observed frequencies with expected frequencies
• “Goodness of Fit”
The researcher desired a 95 percent
confidence, and the significance level becomes
.05.The researcher must then find the upper
and lower limits of the confidence interval to
determine the region of rejection. Thus, the
value of t is needed. For 24 degrees of
freedom (n-1, 25-1), the t-value is 2.064.
Univariate Hypothesis Test Utilizing the t-
Distribution
:limitLower
 25/5064.220..  Xlc St
 1064.220
936.17
:limitUpper
 25/5064.220..  Xlc St
 1064.220
064.20
X
obs
S
X
t


1
2022 

1
2

2
Univariate Hypothesis Test
t-Test
Chi square test
• a statistical method assessing the goodness of fit between a set of
observed values and those expected theoretically
• The chi-squared test is used to determine whether there is a
significant difference between the expected frequencies and the
observed frequencies in one or more categories.



i
ii )²(
²
E
EO
x
Chi-Square Test
x² = chi-square statistics
Oi = observed frequency in the ith cell
Ei = expected frequency on the ith cell
Chi-Square Test
n
CR
E
ji
ij 
Chi-Square Test
Estimation for Expected Number for Each Cell
Chi-Square Test
Estimation for Expected Number for Each Cell
Ri = total observed frequency in the ith row
Cj = total observed frequency in the jth column
n = sample size
   
2
2
22
1
2
112
E
EO
E
EO
X




Univariate Hypothesis Test
Chi-square Example
   
50
5040
50
5060
22
2 


X
4
Univariate Hypothesis Test
Chi-square Example
Hypothesis Test of a Proportion
p is the population proportion
p is the sample proportion
p is estimated with p
5.:H
5.:H
1
0
p
p
Hypothesis Test of a Proportion
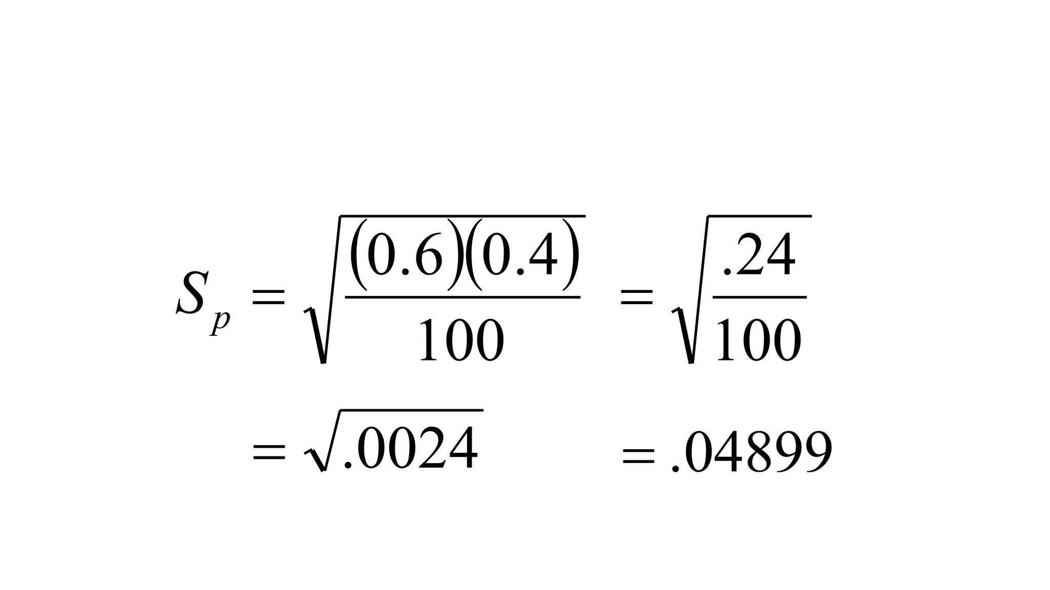
  
100
4.06.0
pS
100
24.

0024. 04899.
pS
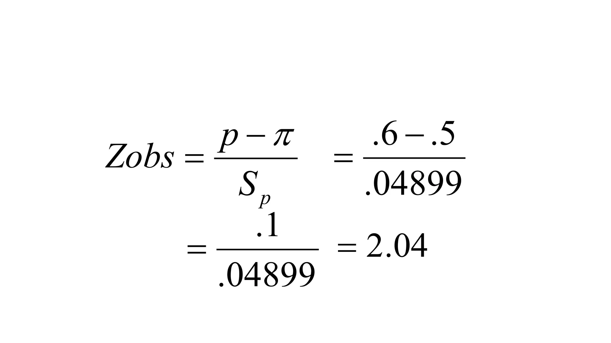
p
Zobs
p

04899.
5.6. 

04899.
1.
 04.2
0115.Sp

000133.Sp

1200
16.
Sp

1200
)8)(.2(.
Sp

n
pq
Sp

20.p 
200,1n 
Hypothesis Test of a Proportion: Another
Example
0115.Sp

000133.Sp

1200
16.
Sp

1200
)8)(.2(.
Sp

n
pq
Sp

20.p 
200,1n 
Hypothesis Test of a Proportion: Another
Example
Indeed .001thebeyondtsignificantisit
level..05theatrejectedbeshouldhypothesisnulltheso1.96,exceedsvalueZThe
348.4Z
0115.
05.
Z
0115.
15.20.
Z
S
p
Z
p




p

Hypothesis Test of a Proportion: Another
Example
Allah may shower his blessing upon you
Bye bye…

Hypothsis testing

  • 1.
    HYPOTHESIS AND ITS TESTING forshaf@gmail.com MUHAMMADSHAFIQ, COMMERCE DEPARTMENT UNIVERSITY OF BALOCHISTAN, QUETTA
  • 2.
    Hypothesis • Unproven proposition •Supposition that tentatively explains certain facts or phenomena • Assumption about nature of the world
  • 3.
    Hypothesis • An unprovenproposition or supposition that tentatively explains certain facts or phenomena • Null hypothesis • Alternative hypothesis
  • 4.
    Null Hypothesis • Statementabout the status quo • No difference
  • 5.
    Alternative Hypothesis • Statementthat indicates the opposite of the null hypothesis
  • 6.
    Introduction: inferential statistics forhypothesis • Empirical testing involves Inferential statistics • Inference is drawn about the population on basis of observations of sample
  • 7.
    Inferential statistical inferencetypes • Univarate statistical analysis • Test hypotheses having one variable • Bivariate statistical analysis • Test hypotheses having two variables • Multivariate statistical analysis • Test hypotheses and models involving multiple (three or more) variables or set of variables
  • 8.
    Common Types ofhypotheses tested • Relational hypotheses • e-g how changes in a variable vary with changes in another (regression analysis) • Hypotheses about differences between the groups • How a variable varies from one group or other (causal design) • Hypotheses about differences from some standard • How a variable differs from some preconceived standard (Univarate testing)
  • 9.
    Hypothesis testing procedure •Get the research hypothesis from the research objective • Sample is obtained and relevant variable is measured. • Measured value obtained in the sample is to compare to the value stated explicitly or implied in the hypothesis. If value is consistent with hypothesis, the hypothesis is supported or vice versa. • Example: • H1 The average satisfaction of a plant is more than 34 pieces in an hour. If the average is less than 34 pieces in an hour than hypothesis not support or otherwise.
  • 10.
    Significance Level • Criticalprobability in choosing between the null hypothesis and the alternative hypothesis • Indicates how likely it is that an inference support the difference between an observed value and some statistical expectation
  • 11.
    Significance Level • CriticalProbability • Confidence Level • Alpha (α) • Probability Level selected is typically.10, 0 .05 or 0.01 • Too low to warrant support for the null hypothesis
  • 12.
    P-value (observed orcomputed significance level) • In statistics, the p-value is a function of the observed sample results (a statistic) that is used for testing a statistical hypothesis. Before the test is performed, a threshold value is chosen, called the significance level of the test, traditionally 5% or 1% and denoted as α. • Probability value or the observed or computed significance level. • P-values are compared to significance levels to test hypotheses • The probability in a p-value is that the statistical expectation (null) for a given test is true. • Low P-value mean there is little likelihood that the statistical expectation is true
  • 13.
    Critical values • Thevalues that lie exactly on the boundary of the region of rejection .025 .025
  • 14.
    Example of hypothesistesting • A restaurant owner is concerned about his business image. He is investigating whether customers perceive the service friendly. Sample size is 225 customers, using five point scale where 1 indicates the most unfriendly and 5 is the most friendly with the interval scale. Suppose that service has to be different from 3.0. • H1 Customer perception of friendly services are significantly greater than three. or We can write it as: H0 µ= 3.0 H1 µ ≠ 3.0 Formula for solving z score n S ZZSX  or 
  • 15.
    Example of hypothesistesting… • Sample size is 225 on the basis of sample, mean was calculated which is 3.78 • If SD of population is known then it will be used in solution but here the sample standard deviation was S= 1.5 • Now enough information to test the hypothesis • Formula for solving z value: n S ZZSX  or 
  • 16.
    0.3: oH The nullhypothesis that the mean is equal to 3.0:
  • 17.
    0.3:1 H The alternativehypothesis that the mean does not equal to 3.0:
  • 18.
  • 19.
  • 20.
  • 21.
    Critical values of Critical value - upper limit n S ZZSX  or         225 5.1 96.10.3
  • 22.
     1.096.10.3  196.0.3 196.3 Critical values of 
  • 23.
    Critical value -lower limit n S ZZSX -or-         225 5.1 96.1-0.3 Critical values of 
  • 24.
     1.096.10.3  196.0.3 804.2 Critical values of 
  • 25.
  • 26.
    Hypothesis Test 3.0 2.804 3.1963.0 3.78
  • 27.
    Type I error •An error caused by rejecting the null hypothesis when it is true • Practically, a type I error occurs when the researcher concludes that a relationship or difference exists in the population when in reality it does not
  • 28.
    Type II error •An error caused by falling to reject the null hypothesis when the alternative hypothesis is true • Has a probability of beta (β) • Practically, a type II error occurs when a researcher concludes that no relationship or difference exist when in fact one does exist
  • 29.
    Accept null Rejectnull Null is true Null is false Correct- no error Type I error Type II error Correct- no error Type I and Type II Errors
  • 30.
    Type I andType II Errors in Hypothesis Testing State of Null Hypothesis Decision in the Population Accept Ho Reject Ho Ho is true Correct--no error Type I error Ho is false Type II error Correct--no error
  • 31.
    Calculating Zobs :another way of testing hypothesis through z test xs x zobs  
  • 32.
  • 33.
  • 34.
    Choosing the AppropriateStatistical Technique • Type of question to be answered • Number of variables • Univarate • Bivariate • Multivariate • Scale of measurement
  • 35.
    Statistical technique: Type ofquestion to be answered • If a researcher is simply with central tendency of a variable or with the distribution of variable or comparison of different business division sales result with some target level •One sample t –test • Comparison of two salespersons average monthly sales will require: •t-test of two means • Comparison of quarterly sales distribution: •Chi-square test
  • 36.
  • 37.
    Scale of measurement •Nominal • Ordinal frequencies, mode or cross tabulation • Interval • Ratio
  • 38.
  • 39.
    t-Distribution • Symmetrical, bell-shapeddistribution • Mean of zero and a unit standard deviation • Shape influenced by degrees of freedom
  • 40.
    Degrees of Freedom(df) •df are equal to sample size (n) minus one • The number of observations minus the number of constraint or assumptions needed to calculate a statistical term • Abbreviated d.f. • Number of observations • Number of constraints • For example 4+2+1+X =12 the value is 5: means value of first three can be change but not the 4th one. There are three degree of freedom • Use of computer software in this regard to calculate
  • 41.
    Calculating the confidenceinterval estimate by using the t-distribution • Suppose that a researcher is interested to investigate that how long do the fresh post graduate stay in the organization at 95% confidence level. The data from the sample are presented below: No. of years stay at job: 3 5 1 12 1 2 2 2 5 4 2 3 1 3 4 2 6 7 formula µ = X ± t cl S//n
  • 42.
    Steps to calculate 1.Calculate the sample mean (sum all and divide by No. of observation) 2. Since population SD is unknown, estimate it through sample SD S=2.81 3. Estimate the standard error of the mean using the formula Sx =S//n 4. 2.81//18 =.66 5. Determine the t-value form t-table i-e A.3
  • 43.
    or Xlc StX .. n S tXlc ..limitUpper  n S tX lc ..limitLower  Confidence Interval Estimate Using the t- distribution
  • 44.
    = population mean =sample mean = critical value of t at a specified confidence level = standard error of the mean = sample standard deviation = sample size ..lct  X X S S n Confidence Interval Estimate Using the t-distribution
  • 45.
    xcl stX  17 81.2 89.3    n S X ConfidenceInterval Estimate Using the t-distribution
  • 46.
    Use of ttable i-e table A.3 • Go to t table in the appendix i-e A.3. t-table provides information similar to that in the Z table, however it is somewhat different. The t-table format stresses the chance of error or significance level (α), rather than the 95% chance of including the population mean in the estimate. Our example I a two-tailed test. Since a 95% confidence level is selected so the significance level is 5%. Once this has been determined all we have to do to find the t-value is look under the 0.05 (1.00 -0.95= 0.05). Column for two-tailed test at the row in which degree of freedom equal the appropriate value (n-1). Below 17 degrees of freedom t-value at 95% confidence level is t=2.12
  • 47.
    Lower limit =3.89 -2.12 (2.81 //18) =2.28 Upper limit= 3.89 +2.12 (2.81 //18) = 5.28
  • 48.
    Hypothesis Test Usingthe t-Distribution
  • 49.
    Suppose that aproduction manager believes the average number of defective assemblies each day to be 20. The factory records the number of defective assemblies for each of the 25 days it was opened in a given month. The mean was calculated to be 22, and the standard deviation, ,to be 5. X S Univariate Hypothesis Test Utilizing the t- Distribution
  • 50.
  • 51.
  • 52.
    Testing a Hypothesisabout a Distribution • Chi-Square test • Test for significance in the analysis of frequency distributions • Compare observed frequencies with expected frequencies • “Goodness of Fit”
  • 53.
    The researcher desireda 95 percent confidence, and the significance level becomes .05.The researcher must then find the upper and lower limits of the confidence interval to determine the region of rejection. Thus, the value of t is needed. For 24 degrees of freedom (n-1, 25-1), the t-value is 2.064. Univariate Hypothesis Test Utilizing the t- Distribution
  • 54.
    :limitLower  25/5064.220.. Xlc St  1064.220 936.17
  • 55.
    :limitUpper  25/5064.220.. Xlc St  1064.220 064.20
  • 56.
  • 57.
    Chi square test •a statistical method assessing the goodness of fit between a set of observed values and those expected theoretically • The chi-squared test is used to determine whether there is a significant difference between the expected frequencies and the observed frequencies in one or more categories.
  • 58.
  • 59.
    x² = chi-squarestatistics Oi = observed frequency in the ith cell Ei = expected frequency on the ith cell Chi-Square Test
  • 60.
    n CR E ji ij  Chi-Square Test Estimationfor Expected Number for Each Cell
  • 61.
    Chi-Square Test Estimation forExpected Number for Each Cell Ri = total observed frequency in the ith row Cj = total observed frequency in the jth column n = sample size
  • 62.
       2 2 22 1 2 112 E EO E EO X     Univariate Hypothesis Test Chi-square Example
  • 63.
       50 5040 50 5060 22 2    X 4 Univariate Hypothesis Test Chi-square Example
  • 64.
    Hypothesis Test ofa Proportion p is the population proportion p is the sample proportion p is estimated with p
  • 65.
  • 66.
  • 67.
  • 68.
  • 69.
  • 70.
  • 71.
    Allah may showerhis blessing upon you Bye bye…